Тепловая изоляция оборудования и трубопроводов. СНиП 2.04.14-88

(утв. Постановлением Госстроя СССР от 09.08.88 N 155)
Редакция от 09.08.1988 — Документ не действует

СТРОИТЕЛЬНЫЕ НОРМЫ И ПРАВИЛА

ТЕПЛОВАЯ ИЗОЛЯЦИЯ ОБОРУДОВАНИЯ И ТРУБОПРОВОДОВ

СНиП 2.04.14-88

Срок введения в действие
1 января 1990 г.

РАЗРАБОТАНЫ ВНИПИ Теплопроект Минмонтажспецстроя СССР (В.В. Попова - руководитель темы, Л.В. Ставрицкая; кандидаты техн. наук В.Г. Петров-Денисов, И.Л. Майзель, В.И. Калинин; А.И. Лисенкова, О.В. Дибровенко, В.Н. Гордеева), ЦНИИПроект Госстроя СССР (И.М. Губакина), ВНИИПО МВД СССР (кандидаты техн. наук М.Н. Колганова, Р.З. Фахрисламов).

ВНЕСЕНЫ Министерством монтажных и специальных строительных работ СССР.

ПОДГОТОВЛЕНЫ К УТВЕРЖДЕНИЮ Управлением стандартизации и технических норм в строительстве Госстроя СССР.

ВЗАМЕН разд. 8 и прил. 12-19 СНиП 2.04.07-86, разд. 13 и прил. 6 - 8 СНиП II-35-76, СН 542-81, разд. 7 СН 527-80, разд. 6 СН 550-82, п. 1.5 СНиП 2.04.05-86.

УТВЕРЖДЕНЫ постановлением Государственного строительного комитета СССР от 9 августа 1988 г. N 155.

Настоящие строительные нормы и правила следует соблюдать при проектировании тепловой изоляции наружной поверхности оборудования, трубопроводов и воздуховодов в зданиях, сооружениях и наружных установках с температурой содержащихся в них веществ от минус 180 до 600 °С.

Настоящие нормы не распространяются на проектирование тепловой изоляции оборудования и трубопроводов, содержащих и транспортирующих взрывчатые вещества, изотермических хранилищ сжиженных газов, зданий и помещений для производства и хранения взрывчатых веществ, атомных электростанций и установок.

1. ОБЩИЕ ПОЛОЖЕНИЯ

1.1. Для тепловой изоляции оборудования, трубопроводов и воздуховодов, как правило, следует применять полносборные или комплектные конструкции заводского изготовления, а также трубы с тепловой изоляцией полной заводской готовности.

1.2. Для трубопроводов тепловых сетей, включая арматуру, фланцевые соединения и компенсаторы, тепловую изоляцию необходимо предусматривать независимо от температуры теплоносителя и способов прокладки.

Для обратных трубопроводов тепловых сетей при D_y<= 200 мм, прокладываемых в помещениях, тепловой поток от которых используется для отопления помещений, а также конденсатопроводов при сбросе конденсата в канализацию, тепловую изоляцию допускается не предусматривать. При технико-экономическом обосновании допускается прокладывать конденсатные сети без тепловой изоляции.

1.3. Арматуру, фланцевые соединения, люки, компенсаторы следует изолировать, если изолируется оборудование или трубопровод, на котором они установлены.

1.4. При проектировании необходимо также соблюдать требования к тепловой изоляции, содержащиеся в других нормативных документах, утвержденных или согласованных с Госстроем СССР.

2. ТРЕБОВАНИЯ К ТЕПЛОИЗОЛЯЦИОННЫМ КОНСТРУКЦИЯМ, ИЗДЕЛИЯМ И МАТЕРИАЛАМ

2.1. Теплоизоляционные конструкции следует предусматривать из следующих элементов:

теплоизоляционного слоя;

армирующих и крепежных деталей;

пароизоляционного слоя;

покровного слоя.

Защитные покрытие изолируемой поверхности от коррозии не входит в состав теплоизоляционной конструкции.

2.2. В теплоизоляционной конструкции пароизоляционный слой следует предусматривать при температуре изолируемой поверхности ниже 12 °С. Необходимость устройства пароизоляционного слоя при температуре от 12 до 20 °С определяется расчетом.

2.3. Для теплоизоляционного слоя оборудования и трубопроводов с положительными температурами содержащихся в них веществ для всех способов прокладок, кроме бесканальной, следует применять материалы и изделия со средней плотностью не более 400 кг/м3 и теплопроводностью не более 0,07 Вт/(м·°С) (при температуре 25°С и влажности, указанной в соответствующих государственных стандартах и технических условиях на материалы и изделия). Допускается применение шнуров асбестовых для изоляции трубопроводов условным проходом до 50 мм включительно.

Для изоляции поверхности с температурой выше 400 °С в качестве первого слоя допускается применение изделий с теплопроводностью более 0,07 Вт/(м·°С).

2.4. Для теплоизоляционного слоя оборудования и трубопроводов с отрицательными температурами следует применять теплоизоляционные материалы и изделия со средней плотностью не более 200 кг/м3 и расчетной теплопроводностью в конструкции не более 0,07 Вт/(м·°С).

Примечание. При выборе теплоизоляционной конструкции поверхности с температурой от 19 до 0 °С следует относить к поверхностям с отрицательными температурами.

2.5. Число слоев пароизоляционного материала в теплоизоляционных конструкциях для оборудования и трубопроводов с отрицательными температурами содержащихся в них веществ приведено в табл. 1.

2.6. Для теплоизоляционного слоя трубопроводов с положительной температурой при бесканальной прокладке следует применять материалы со средней плотностью не более 600 кг/м3 и теплопроводностью не более 0,13 Вт/(м·°С) при температуре материала 20 °С и влажности, указанной в соответствующих государственных стандартах или технических условиях.

Конструкция тепловой изоляции трубопроводов при бесканальной прокладке должна обладать прочностью на сжатие не менее 0,4 МПа. Тепловую изоляцию трубопроводов, предназначенных для бесканальной прокладки, следует выполнять в заводских условиях.

2.7. Расчетные характеристики теплоизоляционных материалов и изделий следует принимать по справочным приложениям 1 и 2.

2.8. Теплоизоляционные конструкции следует предусматривать из материалов, обеспечивающих:

тепловой поток через изолированные поверхности оборудования и трубопроводов согласно заданному технологическому режиму или нормированной плотности теплового потока;

исключение выделения в процессе эксплуатации вредных, пожароопасных и взрывоопасных, неприятно пахнущих веществ в количествах, превышающих предельно допустимые концентрации;

исключение выделения в процессе эксплуатации болезнетворных бактерий, вирусов и грибков.

2.9. Съемные теплоизоляционные конструкции должны применяться для изоляции люков, фланцевых соединений, арматуры, сальниковых и сильфонных компенсаторов трубопроводов, а также в местах измерений и проверки состояния изолируемых поверхностей.

Таблица 1.

Пароизоляционный материал Толщина, мм Число слоев пароизоляционного материала при различных температурах изолируемой поверхности и сроках эксплуатации теплоизоляционной конструкции
от минус 60 до 19 °С от минус 61 до минус 100 °С ниже минус 100 °С
8 лет 12 лет 8 лет 12 лет 8 лет 12 лет
Полиэтиленовая пленка, ГОСТ 10354-82 0,15-0,2 2 2 2 2 3 -
0,21-0,3 1 2 2 2 2 3
  0,31-0,5 1 1 1 1 2 2
Фольга алюминиевая, ГОСТ 618-73 0,06-0,1 1 2 2 2 2 2
Изол, ГОСТ 10296-79 2 1 2 2 2 2 2
Рубероид, ГОСТ 10923-82 1 3 - - - - -
1,5 2 3 3 - - -

Примечания: 1. Допускается замена пленки полиэтиленовой на пленку поливинилбутиральную клеящую по ГОСТ 9438-85; ленту поливинилхлоридную липкую по ТУ 6-19-103-78, ТУ 102-320-82; пленку полиэтиленовую термоусадочную по ГОСТ 25951-83 с соблюдением толщин, указанных в таблице.

2. Допускается применение других материалов, обеспечивающих уровень сопротивления паропроницанию не ниже, чем у приведенных в таблице.

Для материалов с закрытой пористостью, имеющих коэффициент паропроницаемости менее 0,1 мг/(м·ч·Па), во всех случаях принимается один пароизоляционный слой. При применении заливочного пенополиуретана пароизоляционный слой не устанавливается.

Швы пароизоляционного слоя должны быть герметизированы; при температуре изолируемой поверхности ниже минус 60 °С следует также производить герметизацию швов покровного слоя герметиками или пленочными клеящимися материалами.

В конструкциях не следует применять металлические крепежные детали, проходящие через всю толщину теплоизоляционного слоя. Крепежные детали или их части следует предусматривать из материалов с теплопроводностью не более 0,23 Вт/(м·°С).

Деревянные крепежные детали должны быть обработаны антисептическим составом. Стальные части крепежных деталей должны быть окрашены битумным лаком.

2.10. Применение засыпной изоляции трубопроводов при подземной прокладке в каналах и бесканально не допускается.

2.11. Для тепловой изоляции оборудования и трубопроводов, содержащих вещества, являющиеся активными окислителями, не следует применять материалы самовозгорающиеся и изменяющие физико-химические, в том числе взрыво- и пожароопасные свойства при контакте с ними.

2.12. Для оборудования и трубопроводов, подвергающихся ударным воздействиям и вибрации, не следует применять теплоизоляционные изделия на основе минеральной ваты и засыпную теплоизоляционную конструкцию.

2.13. Для оборудования и трубопроводов, устанавливаемых в цехах для производства и в зданиях для хранения пищевых продуктов и химико-фармацевтических товаров, следует применять теплоизоляционные материалы, не допускающие загрязнения окружающего воздуха. Под покровный слой из неметаллических материалов в помещениях хранения и переработки пищевых продуктов следует предусматривать установку сетки стальной из проволоки диаметром не менее 1 мм с ячейками размером не более 12 x 12 мм.

Применение теплоизоляционных изделий из минеральной ваты, базальтового или супертонкого стекловолокна допускается только в обкладках со всех сторон из стеклянной или кремнеземной ткани и под металлическим покровным слоем.

2.14. Перечень материалов, применяемых для покровного слоя, приведен в рекомендуемом приложении 3.

Не допускается применение металлических покровных слоев при подземной прокладке трубопроводов. Покровный слой из стали рулонной холоднокатаной с полимерным покрытием (металлопласт) не допускается применять в местах, подверженных прямому воздействию солнечных лучей.

При применении напыляемого пенополиуретана для трубопроводов, прокладываемых в каналах, допускается покровный слой не предусматривать.

2.15. Теплоизоляционные конструкции из горючих не допускается предусматривать для оборудования и трубопроводов, расположенных:

а) в зданиях, кроме зданий IVа и V степеней огнестойкости, одно- и двухквартирных жилых домов и охлаждаемых помещений холодильников;

б) в наружных технологических установках, кроме отдельно стоящего оборудования;

в) на эстакадах и галереях при наличии кабелей и трубопроводов, транспортирующих горючие вещества.

При этом допускается применение из горючих материалов:

пароизоляционного слоя толщиной не более 2 мм;

слоя окраски или пленки толщиной не более 0,4 мм;

покровного слоя трубопроводов, расположенных в технических подвальных этажах и подпольях с выходом только наружу в зданиях I и II степеней огнестойкости при устройстве вставок длиной 3 м из негорючих материалов не менее чем через 30 м длины трубопровода;

теплоизоляционного слоя из заливочного пенополиуретана при покровном слое из оцинкованной стали для аппаратов и трубопроводов, содержащих горючие вещества с температурой минус 40 °С и ниже в наружных технологических установках.

Покровный слой из трудногорючих материалов, применяемый для наружных технологических установок высотой 6 м и более, должен быть на основе стекловолокна.

2.16. Для трубопроводов надземной прокладки при применении теплоизоляционных конструкций из горючих материалов следует предусматривать вставки длиной 3 м из негорючих материалов не менее чем через 100 м длины трубопровода, участки теплоизоляционных конструкций из негорючих материалов на расстоянии не менее 5 м от технологических установок, содержащих горючие газы и жидкости.

При пересечении трубопроводом противопожарной преграды следует предусматривать теплоизоляционные конструкции из негорючих материалов в пределах размера противопожарной преграды.

3. РАСЧЕТ ТЕПЛОВОЙ ИЗОЛЯЦИИ

3.1. Расчет толщины теплоизоляционного слоя производится:

а) по нормативной плотности теплового потока через изолированную поверхность, которую следует принимать:

для оборудования и трубопроводов с положительными температурами, расположенных на открытом воздухе, - по обязательному приложению 4 (табл. 1, 2), расположенных в помещении, - по обязательному приложению 4 (табл. 3, 4);

для оборудования и трубопроводов с отрицательными температурами, расположенных на открытом воздухе, - по обязательному приложению 5 (табл. 1), расположенных в помещении, - по обязательному приложению 5 (табл. 2);

для паропроводов с конденсатопроводами при их совместной прокладке в непроходных каналах - по обязательному приложению 6;

для трубопроводов двухтрубных водяных тепловых сетей при прокладке в непроходных каналах - по обязательному приложению 7 (табл. 1, 2);

для трубопроводов водяных тепловых сетей при двухтрубной подземной бесканальной прокладке - по обязательному приложению 8 (табл. 1, 2).

При проектировании тепловой изоляции для технологических трубопроводов, прокладываемых в каналах и бесканально, нормы плотности теплового потока следует принимать как для трубопроводов, прокладываемых на открытом воздухе;

б) по заданной величине теплового потока;

в) по заданной величине охлаждения (нагревания) вещества, сохраняемого в емкостях в течение определенного времени;

г) по заданному снижению (повышению) температуры вещества, транспортируемого трубопроводами;

д) по заданному количеству конденсата в паропроводах;

е) по заданному времени приостановки движения жидкого вещества в трубопроводах в целях предотвращения его замерзания или увеличения вязкости;

ж) по температуре на поверхности изоляции, принимаемой не более, °С:

для изолируемых поверхностей, расположенных в рабочей или обслуживаемой зоне помещений и содержащих вещества:

температурой выше 100 °С ………………………………… 45

температурой 100 °С и ниже ……………………………….. 35

температурой вспышки паров не выше 45 °С …………….. 35

для изолируемых поверхностей, расположенных на открытом воздухе в рабочей или обслуживаемой зоне, при:

металлическом покровном слое …………………………… 55

для других видов покровного слоя ………………………… 60

Температура на поверхности тепловой изоляции трубопроводов, расположенных за пределами рабочей или обслуживаемой зоны, не должна превышать температурных пределов применения материалов покровного слоя, но не выше 75 °С;

и) с целью предотвращения конденсации влаги из окружающего воздуха на покровном слое тепловой изоляции оборудования и трубопроводов, содержащих вещества с температурой ниже температуры окружающего воздуха. Данный расчет следует выполнять только для изолируемых поверхностей, расположенных в помещении. Расчетная относительная влажность воздуха принимается в соответствии с заданием на проектирование, но не менее 60 %;

к) с целью предотвращения конденсации влаги на внутренних поверхностях объектов, транспортирующих газообразные вещества, содержащие водяные пары или водяные пары и газы, которые при растворении в сконденсировавшихся водяных парах могут привести к образованию агрессивных продуктов.

3.2. Толщина теплоизоляционного слоя для оборудования и трубопроводов с положительными температурами определяется исходя из условий, приведенных в подп. 3.1а - 3.1ж, 3.1к, для трубопроводов с отрицательными температурами - из условий подп. 3.1а - 3.1г.

Для плоской поверхности и цилиндрических объектов диаметром 2 м и более толщина теплоизоляционного слоя дельта_k, м, определяется по формуле

(1)

где лямбда_k - теплопроводность теплоизоляционного слоя, определяемая по пп. 2.7 и 3.11, Вт/(м·°С);

R_k - термическое сопротивление теплоизоляционной конструкции, м2·°С/Вт;

R_tot - сопротивление теплопередаче теплоизоляционной конструкции, м2·°С/Вт;

альфа_e - коэффициент теплоотдачи от наружной поверхности изоляции, принимаемый по справочному приложению 9, Вт/(м2·°С);

R_m - термическое сопротивление неметаллической стенки объекта, определяемое по п. 3.3, м2·°С/Вт.

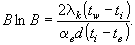
Для цилиндрических объектов диаметром менее 2 м толщина теплоизоляционного слоя определяется по формуле

(2)
   
(3)

где B = d_1 / d - отношение наружного диаметра изоляционного слоя к наружному диаметру изолируемого объекта;

r_tot - сопротивление теплопередачи на 1 м длины теплоизоляционной конструкции цилиндрических объектов диаметром менее 2 м, (м·°С)/Вт;

r_m - термическое сопротивление стенки трубопровода, определяемое по формуле (15);

d - наружный диаметр изолируемого объекта, м.

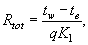
Величины R_tot и r_tot в зависимости от исходных условий определяются по формулам:

а) по нормированной поверхностной плотности теплового потока (подп. 3.1а)

(4)

где t_w - температура вещества, °С;

t_e - температура окружающей среды, принимаемая согласно п. 3.6, °С;

q - нормированная поверхностная плотность теплового потока, принимаемая по обязательным приложениям 4-8, Вт/м2;

K_1 - коэффициент, принимаемый по обязательному приложению 10;

по нормированной линейной плотности теплового потока

(5)

где q_e - нормированная линейная плотность теплового потока с 1 м длины цилиндрической теплоизоляционной конструкции, принимаемая по обязательным приложениям 4-8, Вт/м;

б) по заданной величине теплового потока (подп. 3.1б)

(6)

где A - теплоотдающая поверхность изолируемого объекта, м2;

K_red - коэффициент, учитывающий дополнительный поток теплоты через опоры, принимаемый согласно табл. 4;

Q - тепловой поток через теплоизоляционную конструкцию, Вт;

(7)

где l - длина теплоотдающего объекта (трубопровода), м;

в) по заданной величине охлаждения (нагревания) вещества, сохраняемого в емкостях (подп. 3.1в)

(8)

где 3,6 - коэффициент приведения единице теплоемкости, кДж/(кг·°С) к единице Вт·ч/(кг·°С);

t_wm - средняя температура вещества, °С;

Z - заданное время хранения вещества, ч;

V_m - объем стенки емкости, м3;

ро_m - плотность материала стенки, кг/м3;

c_m - удельная теплоемкость материала стенки, кДж/(кг·°С);

V_w - объем вещества в емкости, м3;

ро_w - плотность вещества, кг/м3;

c_w - удельная теплоемкость вещества, кДж/(кг·°С);

t_w1 - начальная температура вещества, °С;

t_w2 - конечная температура вещества, °С;

г) по заданному снижению (повышению) температуры вещества, транспортируемого трубопроводами (подп. 3.1г):

(9)
   
(10)

где G_w - расход вещества, кг/ч.

Формулы (9), (10) применяются для газопроводов сухого газа, если отношение t_w1 / P < 5, где P - давление газа, МПа. Для паропроводов перегретого пара в знаменатель формулы (10) следует поставить произведение расхода пара на разность удельных энтальпий пара в начале и конце трубопровода;

д) по заданному количеству конденсата в паропроводе насыщенного пара (подп. 3.1д)

(11)

где m - коэффициент, определяющий допустимое количество конденсата в паре;

r_p - удельное количество теплоты конденсата пара, кДж/кг;

е) по заданному времени приостановка движения жидкого вещества в трубопроводе в целях предотвращения его замерзания или увеличения вязкости (подп. 3.1е)

(12)

где Z - заданное время при остановке движения жидкого вещества, ч;

t_wz - температура замерзания (твердения) вещества, °С;

V'_w и V'_m - приведенные объемы вещества и материала трубопровода к метру длины, м3/м;

r_w - удельное количество теплоты замерзания (твердения) жидкого вещества, кДж/кг;

ж) для предотвращения конденсации влаги на внутренних поверхностях объектов, транспортирующих газообразные вещества, содержащие водяные пары (подп. 3.1к):

для объектов (газоходов) прямоугольного сечения

(13)

где t_int - температура внутренней поверхности изолируемого объекта (газохода), °С;

альфа_int - коэффициент теплоотдачи от транспортируемого вещества к внутренней поверхности изолируемого объекта, Вт/(м2·°С);

для объектов (газоходов) диаметром менее 2 м

(14)

где d_int - внутренний диаметр изолируемого объекта, м.

Примечание. При расчете толщины изоляции трубопроводов, прокладываемых в непроходных каналах и бесканально, следует дополнительно учитывать термическое сопротивление грунта, воздуха внутри канала и взаимное влияние трубопроводов.

3.3. При применении неметаллических трубопроводов следует учитывать термическое сопротивление стенки трубопровода, определяемое по формуле

(15)

где лямбда_m - теплопроводность материала стенки, Вт/(м·°С).

Дополнительное термическое сопротивление плоских и криволинейных неметаллических поверхностей оборудования определяется по формуле

(16)

где дельта_m - толщина стенки оборудования.

3.4. Толщина теплоизоляционного слоя, обеспечивающая заданную температуру на поверхности изоляции (подп. 3.1ж), определяется:

для плоской и цилиндрической поверхности диаметром 2 м и более

(17)

где t_i - температура поверхности изоляции, °С;

для цилиндрических объектов диаметром менее 2 м по формуле (2), причем B следует определять по формуле

(18)

3.5. Толщина теплоизоляционного слоя, обеспечивающая предотвращение конденсации влаги из воздуха на поверхности изолированного объекта (подп. 3.1и), определяется по формулам:

для плоской и цилиндрической поверхности диаметром 2 м и более

(19)

для цилиндрических объектов диаметром менее 2 м - по формуле (2), где B следует определять по формуле

(20)

Расчетные значения перепада t_e - t_i, °С, следует принимать по табл. 2.

Таблица 2

Температура окружающего воздуха, °С Расчетный перепад t_e - t_i, °С, при относительной влажности окружающего воздуха, %
50 60 70 80 90
10 10,0 7,4 5,2 3,3 1,6
15 10,3 7,7 5,4 3,4 1,6
20 10,7 8,0 5,6 3,6 1,7
25 11,1 8,4 5,9 3,7 1,8
30 11,6 8,6 6,1 3,8 1,8

3.6. За расчетную температуру окружающей среды следует принимать:

а) для изолируемых поверхностей, расположенных на открытом воздухе:

для оборудования и трубопроводов при расчетах по нормированной плотности теплового потока - среднюю за год;

для трубопроводов тепловых сетей, работающих только в отопительный период, - среднюю за период со среднесуточной температурой наружного воздуха 8 °С и ниже;

при расчетах с целью обеспечения нормированной температуры на поверхности изоляции - среднюю максимальную наиболее жаркого месяца;

при расчетах по условиям, приведенным в подп. 3.1в - 3.1е, 3.1к, - среднюю наиболее холодной пятидневки - для поверхностей с положительными температурами; среднюю максимальную наиболее жаркого месяца - для поверхностей с отрицательными температурами веществ;

б) для изолируемых поверхностей, расположенных в помещении, - согласно техническому заданию на проектирование, а при отсутствии данных о температуре окружающего воздуха 20 °С;

в) для трубопроводов, расположенных в тоннелях, 40 °С;

г) для подземной прокладки в каналах или при бесканальной прокладке трубопроводов:

при определении толщины теплоизоляционного слоя по нормам плотности теплового потока - среднюю за год температуру грунта на глубине заложения оси трубопровода;

при определении толщины теплоизоляционного слоя по заданной конечной температуре вещества - минимальную среднемесячную температуру грунта на глубине заложения оси трубопровода.

Примечание. При величине заглубления верхней части перекрытия канала (при прокладке в каналах) или верха теплоизоляционной конструкции трубопровода (при бесканальной прокладке) 0,7 м и менее за расчетную температуру окружающей среды должна приниматься та же температура наружного воздуха, что и при надземной прокладке.

3.7. За расчетную температуру теплоносителя при определении толщины теплоизоляционного слоя теплоизоляционной конструкции по нормам плотности теплового потока следует принимать среднюю за год, а в остальных случаях - в соответствии с техническим заданием.

При этом для трубопроводов тепловых сетей за расчетную температуру теплоносителя принимают:

для водяных сетей - среднюю за год температуру воды, а для сетей, работающих только в отопительный период, - среднюю за отопительный период;

для паровых сетей - среднюю по длине паропровода максимальную температуру пара;

для конденсатных сетей горячего водоснабжения - максимальную температуру конденсата или горячей воды.

При заданной конечной температуре пара принимается наибольшая из полученных толщин тепловой изоляции, определенных для различных режимов работы паровых сетей.

3.8. При определении температуры грунта в температурном поле подземного трубопровода тепловых сетей температуру теплоносителя следует принимать:

для водяных тепловых сетей - по графику температур при среднемесячной температуре наружного воздуха расчетного месяца;

для паровых сетей - максимальную температуру пара в рассматриваемом месте паропровода (с учетом падения температуры пара по длине трубопровода);

для конденсатных сетей и сетей горячего водоснабжения - максимальную температуру конденсата или воды.

Примечание. Температуру грунта в расчетах следует принимать: для отопительного периода - минимальную среднемесячную, для неотопительного периода - максимальную среднемесячную.

3.9. За расчетную температуру окружающей среды при определении количества теплоты, выделившейся с поверхности теплоизоляционной конструкции за год, принимают:

для изолируемых поверхностей, расположенных на открытом воздухе, - в соответствии с подп. 3.6а;

для изолируемых поверхностей, расположенных в помещении или тоннеле, - в соответствии с подп. 3.6б,в;

для трубопроводов при прокладке в каналах или бесканальной - в соответствии с подп. 3.6г.

3.10. Для изолируемых поверхностей с положительными температурами толщина теплоизоляционного слоя, определенная по условиям п. 3.1, должна быть проверена по подп. 3.1а и 3.1ж, для поверхностей с отрицательными температурами - по подп. 3.1а и 3.1и. В результате принимается большее значение толщины слоя.

3.11. При бесканальной прокладке теплопроводность основного слоя теплоизоляционной конструкции lk определяется по формуле

(21)

где лямбда - теплопроводность сухого материала основного слоя, Вт/(м2·°С), принимаемая по справочному приложению 2;

K - коэффициент увлажнения, учитывающий увеличение теплопроводности от увлажнения, принимаемый в зависимости от вида теплоизоляционного материала и типа грунта по табл. 3.

Таблица 3

Материал теплоизоляционного слоя Коэффициент увлажнения K
Тип грунта по ГОСТ 25100-82
маловлажный влажный насыщенный водой
Армопенобетон 1,15 1,25 1,4
Битумоперлит 1,1 1,15 1,3
Битумовермикулит 1,1 1,15 1,3
Битумокерамзит 1,1 1,15 1,25
Пенополиуретан 1,0 1,05 1,1
Полимербетон 1,05 1,1 1,15
Фенольный поропласт ФЛ 1,05 1,1 1,15

3.12. Тепловой поток через изолированные опоры труб, фланцевые соединения и арматуру следует учитывать коэффициентом к длине трубопровода K_red, принимаемым по табл. 4.

Таблица 4

Способ прокладки трубопроводов Коэффициент K_red
На открытом воздухе, в непроходных каналах, тоннелях и помещениях:  
для стальных трубопроводов на подвижных опорах, условным проходом, мм:  
до 150 1,2
150 и более 1,15
для стальных трубопроводов на подвесных опорах 1,05
для неметаллических трубопроводов на подвижных и подвесных опорах 1,7
для неметаллических трубопроводов, изолируемых совместно с основанием при групповой прокладке 1,2
неметаллических трубопроводов на сплошном настиле 2,0
Бесканальный 1,15

Тепловой поток через опоры оборудования следует учитывать коэффициентом 1,1.

3.13. Значения коэффициента теплоотдачи от наружной поверхности покровного слоя и коэффициента теплоотдачи от воздуха в канале к стенке канала определяются расчетом. Допускается принимать эти коэффициенты по справочному приложению 9.

4.ТЕПЛОИЗОЛЯЦИОННЫЕ КОНСТРУКЦИИ

4.1. Расчетную толщину индустриальных теплоизоляционных конструкций из волокнистых материалов и изделий следует округлять до значений, кратных 20, и принимать согласно рекомендуемому приложению 11; для жестких, ячеистых материалов и пенопластов следует принимать ближайшую к расчетной толщине изделий по соответствующим государственным стандартам или техническим условиям.

4.2. Минимальную толщину теплоизоляционного слоя из неуплотняющихся материалов следует принимать:

при изоляции тканями, полотном холстопрошивным, шнурами - 30 мм;

при изоляции жесткоформованными изделиями - равной минимальной толщине, предусматриваемой государственными стандартами или техническими условиями;

при изоляции изделиями из волокнистых уплотняющихся материалов - 40 мм.

4.3. Предельная толщина теплоизоляционной конструкции при подземной прокладке в каналах и тоннелях приведена в рекомендуемом приложении 12.

4.4. Толщину и объем теплоизоляционных изделий из уплотняющихся материалов до установки на изолируемую поверхность следует определять по рекомендуемому приложению 13.

4.5. Для поверхностей с температурой выше 250 °С и ниже минус 60 °С не допускается применение однослойных конструкций. При многослойной конструкции последующие слои должны перекрывать швы предыдущего. При изоляции жесткоформованными изделиями следует предусматривать вставки из волокнистых материалов в местах устройства температурных швов.

4.6. Толщину металлических листов, лент, применяемых для покровного слоя, в зависимости от наружного диаметра или конфигурации теплоизоляционной конструкции следует принимать по табл. 5.

4.7. Для предохранения покровного слоя от коррозии следует предусматривать:

для кровельной стали - окраску;

для листов и лент из алюминия и алюминиевых сплавов при применении теплоизоляционного слоя в стальной некрашеной сетке или устройстве стального каркаса - установку под покровный слой прокладки из рулонного материала.

4.8. Конструкцию тепловой изоляции следует предусматривать исключающей деформацию и сползание теплоизоляционного слоя в процессе эксплуатации.

На вертикальных участках трубопроводов и оборудования через каждые 3-4 м по высоте следует предусматривать опорные конструкции.

Таблица 5

Материал Толщина листа, мм, при диаметре изоляции, мм
350 и менее св. 350 до 600 св. 600 до 1600 св. 1600 и плоские поверхности
Сталь тонколистовая 0,35-0,5 0,5-0,8 0,8 1,0
Листы из алюминия и алюминиевых сплавов 0,3 0,5-0,8 0,8 1,0
Ленты из алюминия и алюминиевых сплавов 0,25-0,3 0,3-0,8 0,8 1,0

Примечания: 1. Листы и ленты из алюминия и алюминиевых сплавов толщиной 0,25-0,3 мм рекомендуется применять гофрированными.

2. Для изоляции поверхностей диаметром изоляции более 1600 мм и плоских, расположенных в помещении с неагрессивными и слабо агрессивными средами, допускается применять металлические листы и ленты толщиной 0,8 мм, а для трубопроводов диаметром изоляции более 600 до 1600 мм - 0,5 мм.

4.9. Размещение крепежных деталей на изолируемых поверхностях следует принимать в соответствии с ГОСТ 17314-81.

4.10. Детали, предусматриваемые для крепления теплоизоляционной конструкции на поверхности с отрицательными температурами, должны иметь защитное покрытие от коррозии или изготавливаться из коррозионностойких материалов.

Крепежные детали, соприкасающиеся с изолируемой поверхностью, следует предусматривать:

для поверхностей с температурой от минус 40 до 400 °С - из углеродистой стали;

для поверхностей с температурой выше 400 и ниже минус 40 °С - из того же материала, что и изолируемая поверхность.

Крепежные детали основного и покровного слоев теплоизоляционных конструкций оборудования и трубопроводов, расположенных на открытом воздухе в районах с расчетной температурой окружающего воздуха ниже минус 40 °С, следует применять из легированной стали или алюминия.

4.11. Температурные швы в покровных слоях горизонтальных трубопроводов следует предусматривать у компенсаторов, опор и поворотов, а не вертикальных трубопроводах - в местах установки опорных конструкций.

4.12. Выбор материала покровных слоев теплоизоляционных конструкций оборудования и трубопроводов, расположенных на открытом воздухе в районах с расчетной температурой окружающего воздуха минус 40 °С и ниже, следует производить с учетом температурных пределов применения материалов по государственным стандартам или техническим условиям.

4.13. Для конструкций тепловой изоляции оборудования и трубопроводов с отрицательными температурами веществ крепление покровного слоя следует предусматривать, как правило, бандажами. Крепление покровного слоя винтами допускается предусматривать при диаметре изоляционной конструкции более 800 мм.

ПРИЛОЖЕНИЕ 1
Справочное

РАСЧЕТНЫЕ ТЕХНИЧЕСКИЕ ХАРАКТЕРИСТИКИ ТЕПЛОИЗОЛЯЦИОННЫХ МАТЕРИАЛОВ И ИЗДЕЛИЙ

Материал, изделие, ГОСТ или ТУ Средняя плотность в конструкции ро, кг/м3 Теплопроводность теплоизоляционного материала в конструкции лямбда_k, Вт/(м·°С) Температура применения, °С Группа горючести
для поверхностей с температурой, °С
20 и выше 19 и ниже
Изделия из пенопласта ФРП-1 и резопена, ГОСТ 22546-77, группы:
75 65-85 0,041+0,00023t_m 0,051-0,045 От минус 180 до 130 Трудногорючие
100 86-110 0,043+0,00019t_m 0,057-0,051 От минус 180 до 150
Изделия перлитоцементные ГОСТ 18109-80, марки:
250 250 0,07+0,00019t_m -
300 300 0,076+0,00019t_m - От 20 до 600 Негорючие
350 350 0,081+0,00019t_m - От 20 до 600
Изделия теплоизоляционные известково-кремнеземистые, ГОСТ 24748-81, марки:
200 200 0,069+0,00015t_m - Негорючие
225 225 0,078+0,00015t_m -
Изделия минераловатные с гофрированной структурой для промышленной тепловой изоляции, ТУ 36.16.22-8-86, марки: В зависимости от диаметра изолируемой поверхности
75 От 66 до 98 0,041+0,00034t_m 0,054-0,05 От минус 60 Негорючие
100 -"- 84 -"- 130 0,042+0,0003t_m до 400
Изделия теплоизоляционные вулканитовые, ГОСТ 10179-74, марки:
300 300 0,074+0,00015t_m - От 20 до 600 Негорючие
350 350 0,079+0,00015t_m -
400 400 0,084+0,00015t_m -
Маты звукопоглощающие базальтовые марки БЗМ, РСТ УССР 1977-87 До 80 0,04+0,0003t_m - От минус 180 до 450 в оболочке из ткани стеклянной; до 700 - в оболочке из кремнеземной ткани Негорючие
Маты минераловатные прошивные, ГОСТ 21880-86, марки: От минус 180 до 450 для матов на ткани, сетке, холсте из стекловолокна; до 700 - на металлической основе Негорючие
100 102-132 0,045+0,00021t_m 0,059-0,054
125 133-162 0,049+0,0002t_m
Маты из стеклянного штапельного волокна на синтетическом связующем ГОСТ 10499-78, марки:
МС-35 40-56 0,04+0,0003tm 0,048 От минус 60 до 180 Негорючие
МС-50 58-80 0,042+0,00028tm 0,047    
Маты и вата из супертонкого стеклянного волокна без связующего ТУ 21 РСФСР 224-87 60-80 0,033+0,00014t_m 0,044-0,037 От минус 180 до 400 Негорючие
Плиты теплоизоляционные из минеральной ваты на синтетическом связующем ГОСТ 9573-82, марки:
50 55-75 0,04+0,00029t_m 0,054-0,05 От минус 60 до 400
75 75-115 0,043+0,00022t_m 0,054-0,05 Негорючие
125 90-150 0,044+0,00021t_m 0,057-0,051 От минус 180 до 400
175 150-210 0,052+0,0002t_m 0,06-0,054
Плиты из стеклянного штапельного волокна полужесткие, технические, ГОСТ 10499-78, марки:
ППТ-50 42-58 0,042+0,00035t_m 0,053 От минус 60 до 180 Трудногорючие
ППТ-75 59-86 0,044+0,00023t_m
Плиты теплоизоляционные из минеральной ваты на битумном связующем, ГОСТ 10140-80, марки:
75 75-115 - 0,054-0,057 От минус 100 до 60 Марки 75- негорючие; остальные - горючие
100 90-120 - 0,054-0,057
150 121-180 - 0,058-0,062
200 151-200 - 0,061-0,066
Плиты теплоизоляционные из пенопласта на основе резольных фенолформальдегидных смол, ГОСТ 20916-87, марки:
50 Не более 50 0,040+0,00022t_m 0,049-0,042 От минус 180 до 130 Трудногорючие
80 Св. 70 до 80 0,042+0,00023t_m 0,051-0,045
90 Св. 80 до 100 0,043+0,00019t_m 0,057-0,051
Полотна холстопрошивные стекловолокнистые, ТУ 6-48-0209777-1-88, марки:
ХПС-Т-5 180-320 0,047+0,00023t_m 0,053-0,047 От минус 200 до 550 Негорючие
ХПС-Т-2,5 130-230
Песок перлитовый вспученный мелкий, ГОСТ 10832-83, марки:
75 110 0,052+0,00012t_m 0,05-0,042 От минус 200 до 875 Негорючий
100 150 0,055+0,00012t_m 0,054-0,047
150 225 0,058+0,00012t_m -
Полуцилиндры и цилиндры минераловатные на синтетическом связующем, ГОСТ 23208-83, марки:
100 75-125 0,049+0,00021t_m 0,047-0,053 От минус 180 до 400 Негорючие
150 126-175 0,051+0,0002t_m 0,054-0,059
200 176-225 0,053+0,00019t_m 0,062-0,057
Плиты пенополистирольные ГОСТ 15588-86, марки:
20 20 - 0,048-0,04 От минус 180 до 70 Горючие
25 25 - 0,044-0,035    
30, 40 30, 40 - 0,042-0,032    
Пенопласт плиточный, ТУ 6-05-1178-87, марки:
ПС-4-40 40 - 0,041-0,032 От минус 180 до 60 Горючий
ПС-4-60 60 - 0,048-0,039
ПС-4-65 65 - 0,048-0,039
Пенопласт плиточный ПХВ, ТУ 6-05-1179-83, марки:
ПХВ-1-85 85 - 0,04-0,03 От минус 180 до 60 Горючий
ПХВ-1-115 115 - 0,043-0,032
ПХВ-2-150 150 - 0,047-0,036
Пенопласт плиточный марки ПВ-1, ТУ 6-05-1158-87 65, 95 - 0,043-0,032 От минус 180 до 60 Горючий
Пенопласт поливинилхлоридный эластичный ПВХ-Э, ТУ 6-05-1269-75 150 - 0,05-0,04 От минус 180 до 60 Горючий
Пенопласт термореактивный ФК-20 и ФФ, жесткий, ТУ 6-05-1303-76, марки:
ФК-20 170, 200 - 0,055-0,052 От 0 до 120 Горючий
ФФ 170, 200 - 0,055-0,052 От минус 60 до 150 Трудногорючий
Пенополиуретан ППУ-331/3 (заливочный) 40-60 - 0,036-0,031 От минус 180 до 120 Горючий
60-80 - 0,037-0,032    
Пенопласт пенополиуретановый эластичный ППУ-ЭТ, ТУ 6-05-1734-75 40-50 - 0,043-0,038 От минус 60 до 100 Горючий
Полотно иглопробивное стеклянное теплоизоляционное марки ИПС-Т-1000, ТУ 6-11-570-83 140 0,047+0,00023t_m 0,053-0,047 От минус 200 до 550 Негорючее
Ровинг (жгут) из стеклянных комплексных нитей, ГОСТ 17139-79 200-250 - 0,065-0,062 От минус 180 до 450 Негорючий
Шнур асбестовый, ГОСТ 1779-83,марки:
ШАП 100-160 0,093+0,0002t_m - От 20 до 220 Трудногорючий
ШАОН 750-600 0,13+0,00026t_m - От 20 до 400 Негорючий
Шнур теплоизоляционный из минеральной ваты, ТУ 36-1695-79, марки: От минус 180 до 600 в зависимости от материала сетчатой трубки В сетчатых трубках из металлической проволоки и нити стеклянной - негорючий; остальной - трудногорючий
200 200 0,056+0,00019t_m 0,069-0,068
250 250 0,058+0,00019t_m -
Холсты из микро-ультрасупертонкого стекломикрокристаллического штапельного волокна из горных пород, РСТ УССР 1970-86, марка БСТВ-ст До 80 0,041+0,00029t_m 0,04 От минус 269 до 600 Негорючие

Примечания: 1. t_m - средняя температура теплоизоляционного слоя, °С; t_m = (t_w + 40)/2 - на открытом воздухе в летнее время, в помещении, в каналах, тоннелях, технических подпольях, на чердаках и в подвалах зданий; t_m = t_w / 2 - на открытом воздухе в зимнее время, где t_w - температура вещества.

2. Большее значение расчетной теплопроводности теплоизоляционного материала в конструкции для поверхностей с температурой 19 °С и ниже относится к температуре вещества от минус 60 до 20 °С, меньшее - к температуре минус 140 °С и ниже. Для промежуточных значений температур теплопроводность определяется интерполяцией.

3. При изоляции поверхностей с применением жестких плит расчетную теплопроводность следует увеличивать на 10%.

4. Допускается применение других материалов, отвечающих требованиям пп. 2.3; 2.4.

ПРИЛОЖЕНИЕ 2
Справочное

РАСЧЕТНЫЕ ТЕХНИЧЕСКИЕ ХАРАКТЕРИСТИКИ МАТЕРИАЛОВ, ПРИМЕНЯЕМЫХ ДЛЯ ИЗОЛЯЦИИ ТРУБОПРОВОДОВ ПРИ БЕСКАНАЛЬНОЙ ПРОКЛАДКЕ

Материал Условный проход трубопровода, мм Средняя плотность ро, кг/м3 Теплопроводность сухого материала лямбда, Вт/(м·°С), при 20 °С Максимальная температура вещества, °С
Армопенобетон 150-800 350-450 0,105-0,13 150
Битумоперлит 50-400 450-550 0,11-0,13 130 <*>
Битумокерамзит До 500 600 0, 13 130 <*>
Битумовермикулит До 500 600 0,13 130 <*>
Пенополимербетон 100-400 400 0,07 150
Пенополиуретан 100-400 60-80 0,05 120
Фенольный поропласт ФЛ монолитный До 1000 100 0,05 150

<*> Допускает применение до температуры 150 °С при качественном методе отпуска теплоты.

ПРИЛОЖЕНИЕ 3
Рекомендуемое

МАТЕРИАЛЫ ДЛЯ ПОКРОВНОГО СЛОЯ ТЕПЛОВОЙ ИЗОЛЯЦИИ

Материал, ГОСТ или ТУ Применяемая толщина, мм Группа горючести
1. Металлические
Листы из алюминия и алюминиевых сплавов, ГОСТ 21631-76, марки АДО, АД1, АМц, Амг2, В95 0,3; 0,5-1 Негорючие
Ленты из алюминия и алюминиевых сплавов, ГОСТ 13726-78, марки АДО, АД1, АМц, Амг2, В95 0,25-1 Негорючие
Сталь тонколистовая оцинкованная с непрерывных линий, ГОСТ 14918-80 0,35-1 Негорючая
Сталь тонколистовая кровельная, ОСТ 14-11-196-86 0,5-0,8 Негорючая
Прокат тонколистовой из углеродистой стали качественной и обыкновенного качества, ГОСТ 16523-70 0,35-1 Негорючий
Оболочки гофрированные для теплоизоляционных конструкций отводов трубопроводов, ОСТ 36-67-82 0,2 Негорючие
2,5 Горючие
Сталь рулонная холоднокатанная с полимерным покрытием (металлопласт) ТУ 14-1-1114-74 0,8-1,3 Трудногорючая
2. На основе синтетических полимеров
Стеклотекстолит конструкционный КАСТ-В, ГОСТ 10292-74Е 0,5-1,2 Горючий
Материалы армопластмассовые для защиты покрытий тепловой изоляции трубопроводов, ТУ 36-2168-85, марки:
АПМ-1 2,2 Горючий
АПМ-2 2,1 Трудногорючий
АПМ-К 2,1 Горючий
Стеклопластик рулонный РСТ, ТУ 6-11-145-80, марки РСТ-А, РСТ-Б, РСТ-Х 0,25-0,5 Трудногорючий
Стеклопластик марки ФСП (стеклопластик фенольный покровный), ТУ 6-11-150-76 0,3; 0,6 Горючий
Пленка винипластовая каландрированная КПО, ГОСТ 16398-81 0,4-1 Горючая
Пленка из вторичного поливинилхлоридного сырья, ТУ 63.032.3-88 1,3 Горючая
Стеклотекстолит покровный листовой СТПЛ, ТУ 36-1583-88, марки:
СТПЛ-СБ 0,3
СТПЛ-ТБ 0,5 Трудногорючий
СТПЛ-ВП 0,8
3. На основе природных полимеров
Рубероид, ГОСТ 10923-82, марка РКК-420 2-3 Горючий
Стеклорубероид, ГОСТ 15879-70 2,5 Горючий
Толь кровельный и гидроизоляционный, ГОСТ 10999-76, марки ТКК-350, ТКК-400 1,0-1,5 Горючий
Пергамин кровельный, ГОСТ 2697-83 1,0-1,5 Горючий
Рубероид, покрытый стеклотканью, ТУ 21 ЭССР 48-83 - Горючий
Изол, ГОСТ 10296-79 2 Горючий
4. Минеральные
Стеклоцемент текстолитовый для теплоизоляционных конструкций, ТУ 36-940-85 1,5-2 Негорючий
Листы асбестоцементные плоские, ГОСТ 18124-75 6-10 Негорючие
Листы асбестоцементные волнистые унифицированного профиля, ГОСТ 16233-77 5-8 Негорючие
Штукатурка асбестоцементная 10-20 Негорючая
5. Дублированные фольгой
Фольга алюминиевая дублированная для теплоизоляционных конструкций, ТУ 36-1177 -77 0,5-1,5 Дублированная бумагой и картоном - горючая, остальные - трудногорючие
Фольгорубероид для защитной гидроизоляции утеплителя трубопроводов, ТУ 21 ЭССР 69-83 1,7-2 Горючий
Фольгоизол, ГОСТ 20429-84 2-2,5 Горючий

Примечание. При применении покровных слоев из листового металла следует учитывать характер и степень агрессивности окружающей среды и производства.

ПРИЛОЖЕНИЕ 4
Обязательное

НОРМЫ ПЛОТНОСТИ ТЕПЛОВОГО ПОТОКА ЧЕРЕЗ ИЗОЛИРОВАННУЮ ПОВЕРХНОСТЬ ОБОРУДОВАНИЯ И ТРУБОПРОВОДОВ С ПОЛОЖИТЕЛЬНЫМИ ТЕМПЕРАТУРАМИ

Таблица 1

НОРМЫ ПЛОТНОСТИ ТЕПЛОВОГО ПОТОКА ПРИ РАСПОЛОЖЕНИИ НА ОТКРЫТОМ ВОЗДУХЕ И ЧИСЛЕ ЧАСОВ РАБОТЫ В ГОД БОЛЕЕ 5000

Условный проход трубопровода, мм Средняя температура теплоносителя, °С
20 50 100 150 200 250 300 350 400 450 500 550 600
Нормы линейной плотности теплового потока, Вт/м
15 4 10 20 30 42 55 68 83 99 115 133 152 172
20 5 11 22 34 47 60 75 91 108 127 147 167 188
25 5 13 25 37 52 66 82 99 117 137 158 180 203
40 7 15 29 44 59 77 95 115 136 158 182 206 232
50 7 17 31 47 64 82 102 123 145 168 193 219 246
65 9 19 36 54 72 93 114 137 162 187 214 243 272
80 10 21 39 58 77 99 122 147 172 200 228 258 279
100 11 24 43 64 85 109 134 160 187 216 247 278 311
125 12 27 49 70 93 122 149 178 208 240 273 308 344
150 14 30 54 77 102 134 164 194 226 260 296 333 372
200 18 37 65 93 122 159 194 228 266 305 345 387 431
250 21 43 75 106 138 179 215 254 294 337 381 426 474
300 25 49 84 118 155 198 239 280 324 370 418 467 518
350 28 55 93 131 170 218 261 306 353 403 454 507 561
400 30 61 102 142 185 236 282 330 380 433 487 543 601
450 33 65 109 152 197 252 301 351 404 460 516 575 638
500 36 71 119 166 211 271 322 376 431 491 550 612 678
600 42 82 136 188 240 306 363 422 483 548 614 684 754
700 48 92 151 209 264 337 399 463 529 599 672 745 820
800 53 103 167 213 292 371 438 507 579 654 733 811 892
900 59 113 184 253 319 405 477 551 628 709 793 877 962
1000 65 124 201 275 346 438 516 595 677 763 853 930 1033
Криволинейные поверхности диаметром более Нормы поверхностей плотности теплового потока, Вт/м2
1020 мм и плоские 19 35 54 70 85 105 120 135 150 165 180 194 209

Примечание. Промежуточные значения норм плотности теплового потока следует определять интерполяцией.

Таблица 2

НОРМЫ ПЛОТНОСТИ ТЕПЛОВОГО ПОТОКА ПРИ РАСПОЛОЖЕНИИ НА ОТКРЫТОМ ВОЗДУХЕ И ЧИСЛЕ ЧАСОВ РАБОТЫ В ГОД 5000 И МЕНЕЕ

Условный проход трубопровода, мм Средняя температура теплоносителя, °С
20 50 100 150 200 250 300 350 400 450 500 550 600
Нормы линейной плотности теплового потока, Вт/м
15 5 11 22 34 46 59 74 90 106 124 143 163 185
20 6 13 25 38 52 66 82 99 118 138 158 180 203
25 6 15 28 42 57 73 90 108 127 149 171 195 219
40 8 18 33 49 66 86 105 126 149 173 199 225 253
50 9 19 36 53 71 91 113 135 159 184 212 240 269
65 10 23 41 61 81 104 127 152 178 207 237 268 299
80 11 25 45 66 87 112 137 163 191 221 253 285 319
100 13 28 50 73 97 123 150 178 208 241 275 309 345
125 15 32 56 81 107 139 168 200 233 269 306 344 383
150 18 35 63 89 118 153 185 219 256 294 332 372 415
200 22 44 77 109 142 184 221 262 303 346 391 438 486
250 26 51 88 125 161 207 248 293 336 385 434 485 538
300 30 59 101 140 181 231 278 324 374 426 479 534 591
350 35 66 112 155 200 255 305 355 409 466 523 582 643
400 38 73 122 170 217 276 331 386 442 502 563 626 691
450 41 80 132 182 233 298 353 412 471 535 599 665 734
500 45 88 143 197 251 322 379 442 506 573 641 711 783
600 53 100 165 225 288 365 432 499 570 644 719 796 876
700 60 114 184 250 319 404 475 550 626 707 788 871 956
800 67 128 205 278 353 447 526 605 688 775 863 953 1045
900 75 141 226 306 388 487 574 660 749 843 937 1034 1132
1000 83 155 247 333 421 531 622 715 810 911 1011 1114 1223
Криволинейные поверхности диаметром более Нормы поверхностей плотности теплового потока, Вт/м2
1020 мм и плоские 25 44 71 88 108 133 152 165 190 209 227 245 265

Примечание. См. примеч. к табл. 1.

Таблица 3

НОРМЫ ПЛОТНОСТИ ТЕПЛОВОГО ПОТОКА ПРИ РАСПОЛОЖЕНИИ В ПОМЕЩЕНИИ И ТОННЕЛЕ И ЧИСЛЕ ЧАСОВ РАБОТЫ В ГОД БОЛЕЕ 5000

Условный проход трубопровода, мм Средняя температура теплоносителя, °С
50 100 150 200 250 300 350 400 450 500 550 600
Нормы линейной плотности теплового потока, Вт/м
15 8 18 28 40 53 66 81 96 114 132 150 170
20 9 20 32 45 58 73 89 106 125 145 165 186
25 10 22 35 49 64 79 97 115 135 156 178 200
40 12 26 41 57 74 93 112 134 156 179 204 230
50 13 28 44 61 80 99 120 142 166 190 216 243
65 15 32 50 69 90 112 134 159 185 211 240 270
80 16 35 54 74 97 119 143 169 197 225 255 286
100 18 39 60 81 105 130 156 184 213 244 275 309
125 21 44 66 90 118 145 175 205 237 270 304 341
150 24 49 73 98 130 160 190 223 257 292 329 368
200 29 59 88 118 155 189 225 261 301 341 383 427
250 34 68 100 133 174 211 249 289 333 377 422 470
300 39 77 112 149 193 233 275 319 366 413 463 514
350 44 85 124 164 212 256 301 348 398 449 503 557
400 48 93 135 178 230 276 324 374 428 483 538 596
450 52 101 145 190 245 294 345 398 455 511 570 633
500 57 109 156 205 264 316 370 426 485 544 607 673
600 67 125 179 232 298 356 415 477 542 608 678 748
700 74 139 199 256 328 391 456 522 592 663 738 814
800 84 155 220 283 362 430 499 571 647 726 804 885
900 93 170 241 309 395 468 543 620 702 786 869 955
1000 102 186 262 335 428 506 586 668 758 845 934 1025
Криволинейные поверхности диаметром Нормы поверхностей плотности теплового потока, Вт/м2
более 1020 мм и плоские 29 50 68 83 104 119 134 149 165 179 194 208

Примечания.

1. При расположении изолируемых поверхностей в тоннеле к нормам плотности следует вводить коэффициент 0,85.

2. См. примеч. к табл. 1.

Таблица 4

НОРМЫ ПЛОТНОСТИ ТЕПЛОВОГО ПОТОКА ПРИ РАСПОЛОЖЕНИИ В ПОМЕЩЕНИИ И ТОННЕЛЕ И ЧИСЛЕ ЧАСОВ РАБОТ В ГОД 5000 И МЕНЕЕ

Условный проход трубопровода, мм Средняя температура теплоносителя, °С
50 100 150 200 250 300 350 400 450 500 550 600
Нормы линейной плотности теплового потока, Вт/м
15 9 20 31 44 57 72 87 104 122 141 161 183
20 10 22 35 49 64 80 97 115 135 156 178 201
25 11 25 39 54 70 87 106 125 147 169 192 216
40 13 29 46 64 83 103 124 146 170 195 223 250
50 15 32 49 68 89 110 132 156 182 208 237 266
65 17 37 57 78 101 124 149 176 204 233 264 296
80 20 41 62 84 108 133 160 188 219 249 282 316
100 22 45 69 93 119 146 175 205 237 271 306 342
125 25 51 77 102 135 165 196 229 266 302 340 379
150 28 56 85 114 149 181 215 251 290 329 369 412
200 36 70 103 137 179 216 256 299 342 387 434 482
250 42 81 118 155 201 242 287 332 381 429 480 533
300 48 92 133 174 225 270 319 368 421 474 529 586
350 53 103 147 193 248 299 350 404 460 517 577 638
400 60 113 162 210 269 324 379 436 496 557 620 686
450 64 122 173 225 291 347 405 465 529 593 659 728
500 71 132 188 243 314 373 435 499 566 634 705 777
600 81 152 215 277 357 423 492 562 637 712 792 869
700 91 170 239 309 394 467 541 618 699 780 864 950
800 102 190 265 342 436 515 596 679 767 856 946 1037
900 114 209 292 375 478 563 650 740 835 929 1026 1029
1000 125 229 318 408 519 611 704 800 903 1003 1105 1211
Криволинейные поверхности диаметром Нормы поверхностей плотности теплового потока, Вт/м2
более 1020 и плоские 36 63 85 105 132 151 170 188 209 226 245 263

Примечание. См. примеч. к табл. 3.

ПРИЛОЖЕНИЕ 5
Обязательное

НОРМЫ ПЛОТНОСТИ ТЕПЛОВОГО ПОТОКА ЧЕРЕЗ ИЗОЛИРОВАННУЮ ПОВЕРХНОСТЬ ОБОРУДОВАНИЯ И ТРУБОПРОВОДОВ С ОТРИЦАТЕЛЬНЫМИ ТЕМПЕРАТУРАМИ

Таблица 1

НОРМЫ ПЛОТНОСТИ ТЕПЛОВОГО ПОТОКА ПРИ РАСПОЛОЖЕНИИ НА ОТКРЫТОМ ВОЗДУХЕ

Условный проход трубопровода, мм Средняя температура вещества, °С
0 -10 -20 -40 -60 -80 -100 -120 -140 -160 -180
Нормы линейной плотности теплового потока, Вт/м
20 3 4 5 7 9 11 13 15 18 20 22
25 4 5 6 8 10 12 14 16 19 21 23
40 5 6 7 9 11 13 15 17 20 22 24
50 6 7 8 10 12 14 16 18 21 23 25
65 7 7 9 12 13 16 18 20 22 25 27
80 7 8 10 13 14 17 19 21 23 26 28
100 8 9 11 14 16 18 21 23 25 28 30
125 9 10 12 15 17 20 22 25 27 29 32
150 10 11 13 17 20 22 25 27 30 32 35
200 12 13 16 20 23 26 29 31 34 37 40
250 14 15 18 23 26 29 33 35 39 42 45
300 16 17 21 25 29 32 36 39 43 46 50
350 18 19 23 28 31 35 39 42 46 49 53
400 20 21 25 30 33 37 41 44 48 51 55
450 22 23 27 33 36 40 43 47 50 54 57
500 24 25 30 35 38 42 45 49 52 56 59
Криволинейные поверхности диаметром Нормы поверхностей плотности теплового потока, Вт/м2
более 600 и плоские 14 15 15 16 17 18 19 20 21 22 23

Примечания: 1. Нормы линейной плотности теплового потока при температуре веществ от 0 до 19 °С, а также при d_y < 20 мм следует определять экстраполяцией.

2. См. примеч. к обязательному приложению 4, табл. 1.

Таблица 2

НОРМЫ ПЛОТНОСТИ ТЕПЛОВОГО ПОТОКА ПРИ РАСПОЛОЖЕНИИ В ПОМЕЩЕНИИ

Условный проход трубопровода, мм Средняя температура вещества, °С
0 -10 -20 -40 -60 -80 -100 -120 -140 -160 -180
Нормы линейной плотности теплового потока, Вт/м
20 6 7 8 9 10 11 12 13 14 16 17
25 7 8 9 10 11 13 14 18 20 22 25
40 8 9 10 12 14 15 16 20 22 24 27
50 9 10 11 13 15 17 19 22 24 26 28
65 10 11 12 14 16 18 21 23 25 27 30
80 11 12 13 15 17 19 22 24 26 28 31
100 12 13 14 16 18 21 23 25 27 30 32
125 13 14 16 18 20 23 25 27 30 33 35
150 15 16 17 20 22 25 27 30 32 35 38
200 19 20 21 24 27 29 32 35 38 40 43
250 21 22 24 26 30 33 35 39 42 46 49
300 24 25 27 30 33 37 40 43 47 50 53
350 27 28 30 33 37 40 43 46 49 53 56
400 30 31 33 36 39 43 46 49 52 56 59
450 32 34 36 39 42 45 48 51 54 58 61
500 36 37 39 42 45 48 51 54 57 60 63
Криволинейные поверхности диаметром Нормы поверхностей плотности теплового потока, Вт/м2
более 600 и плоские 19 20 21 22 23 24 25 26 27 27 28

Примечание. См. примеч. к, табл. 1.

ПРИЛОЖЕНИЕ 6
Обязательное

НОРМЫ ПЛОТНОСТИ ТЕПЛОВОГО ПОТОКА ЧЕРЕЗ ИЗОЛИРОВАННУЮ ПОВЕРХНОСТЬ ПАРОПРОВОДОВ С КОНДЕНСАТОПРОВОДАМИ ПРИ ИХ СОВМЕСТНОЙ ПРОКЛАДКЕ В НЕПРОХОДНЫХ КАНАЛАХ, ВТ/М

Условный проход трубопровода, мм Паропровод Конденсатопровод Паропровод Конденсатопровод Паропровод Конденсатопровод
Паропровод Конденсатопровод Расчетная температура теплоносителя, °С
115 100 150 100 200 100
25 25 28 22 36 22 49 22
30 25 29 22 38 22 52 22
40 25 31 22 40 22 54 22
50 25 34 22 43 22 62 22
65 30 38 25 51 25 70 25
80 40 44 27 55 27 74 26
100 40 47 27 59 27 79 26
125 50 52 29 64 29 86 28
150 70 56 33 69 32 93 31
200 80 65 35 81 35 107 34
250 100 73 38 90 38 119 37
300 125 80 41 100 40 132 40
350 150 88 46 108 45 142 45
400 180 94 51 115 50 152 50
450 200 101 54 124 53 161 53
500 250 108 61 132 60 171 59
600 300 121 67 147 66 191 66
700 300 131 67 159 66 206 66
800 300 142 67 172 66 222 66
Условный проход трубопровода, мм Паропровод Конденсатопровод Паропровод Конденсатопровод Паропровод Конденсатопровод
Паропровод Конденсатопровод Расчетная температура теплоносителя, °С
250 100 300 100 350 100
25 25 61 22 77 22 95 22
30 25 65 22 83 22 100 22
40 25 70 22 88 22 105 22
50 25 77 22 95 22 113 22
65 30 85 25 105 24 124 24
80 40 90 26 110 26 130 25
100 40 97 26 118 26 140 25
125 50 105 28 128 28 151 28
150 70 113 31 138 31 170 31
200 80 130 34 157 34 184 34
250 100 143 37 176 37 206 37
300 125 159 40 191 40 223 40
350 150 171 44 205 44 240 44
400 180 183 49 219 49 255 49
450 200 194 53 232 52 269 52
500 250 207 59 248 59 287 58
600 300 228 65 272 65 313 64
700 300 244 65 291 64 336 63
800 300 264 65 - - - -

Примечание. См. примеч. к обязательному приложению 4, табл. 1.

ПРИЛОЖЕНИЕ 7
Обязательное

НОРМЫ ПЛОТНОСТИ ТЕПЛОВОГО ПОТОКА ЧЕРЕЗ ИЗОЛИРОВАННУЮ ПОВЕРХНОСТЬ ТРУБОПРОВОДОВ ДВУХТРУБНЫХ ВОДЯНЫХ СЕТЕЙ ПРИ ПРОКЛАДКЕ В НЕПРОХОДНЫХ КАНАЛАХ

Таблица 1

НОРМЫ ПЛОТНОСТИ ТЕПЛОВОГО ПОТОКА ПРИ ЧИСЛЕ ЧАСОВ РАБОТЫ В ГОД 5000 И МЕНЕЕ, Вт/м

Условный проход трубопровода, мм Трубопровод
подающий обратный подающий обратный подающий обратный
Среднегодовая температура теплоносителя, °С
65 50 90 50 110 50
25 18 12 26 11 31 10
30 19 13 27 12 33 11
40 21 14 29 13 36 12
50 22 15 33 14 40 13
65 27 19 38 16 47 14
80 29 20 41 17 51 15
100 33 22 46 19 57 17
125 34 23 49 20 61 18
150 38 26 54 22 65 19
200 48 31 66 26 83 23
250 54 35 76 29 93 25
300 62 40 87 32 103 28
350 68 44 93 34 117 29
400 76 47 109 37 123 30
450 77 49 112 39 135 32
500 88 54 126 43 167 33
600 98 58 140 45 171 35
700 107 63 163 47 185 38
800 130 72 181 48 213 42
900 138 75 190 57 234 44
1000 152 78 199 59 249 49
1200 185 86 257 66 300 54
1400 204 90 284 69 322 58

Таблица 2

НОРМЫ ПЛОТНОСТИ ТЕПЛОВОГО ПОТОКА ПРИ ЧИСЛЕ ЧАСОВ РАБОТЫ В ГОД БОЛЕЕ 5000, Вт/м

Условный проход трубопровода, мм Трубопровод
подающий обратный подающий обратный подающий обратный
Среднегодовая температура теплоносителя, °С
65 50 90 50 110 50
25 16 11 23 10 28 9
30 17 12 24 11 30 10
40 18 13 26 12 32 11
50 20 14 28 13 35 12
65 23 16 34 15 40 13
80 25 17 36 16 44 14
100 28 19 41 17 48 15
125 31 21 42 18 50 16
150 32 22 44 19 55 17
200 39 27 54 22 68 21
250 45 30 64 25 77 23
300 50 33 70 28 84 25
350 55 37 75 30 94 26
400 58 38 82 33 101 28
450 67 43 93 36 107 29
500 68 44 98 38 117 32
600 79 50 109 41 132 34
700 89 55 126 43 151 37
800 100 60 140 45 163 40
900 106 66 151 54 186 43
1000 117 71 158 57 192 47
1200 144 79 185 64 229 52
1400 152 82 210 68 252 56

Примечания к табл. 1 и 2 : 1. Расчетные среднегодовые температуры воды в водяных тепловых сетях 65, 90, 110 °С соответствуют температурным графикам 95-70, 150-70, 180-70 °С.

2. См. примеч. к обязательному приложению 4, табл. 1.

ПРИЛОЖЕНИЕ 8
Обязательное

НОРМЫ ПЛОТНОСТИ ТЕПЛОВОГО ПОТОКА ЧЕРЕЗ ИЗОЛИРОВАННУЮ ПОВЕРХНОСТЬ ТРУБОПРОВОДОВ ПРИ ДВУХТРУБНОЙ ПОДЗЕМНОЙ БЕСКАНАЛЬНОЙ ПРОКЛАДКЕ ВОДЯНЫХ ТЕПЛОВЫХ СЕТЕЙ

Таблица 1

НОРМЫ ПЛОТНОСТИ ТЕПЛОВОГО ПОТОКА ПРИ ЧИСЛЕ ЧАСОВ РАБОТЫ В ГОД 5000 И МЕНЕЕ, Вт/м

Условный проход трубопровода, мм Трубопроводы водяных тепловых сетей
подающий обратный подающий обратный
Среднегодовая температура теплоносителя, °С
65 50 90 50
25 36 27 48 26
50 44 34 60 32
65 50 38 67 36
80 51 39 69 37
100 55 42 74 40
125 61 46 81 44
150 69 52 91 49
200 77 59 101 54
250 83 63 111 59
300 91 69 122 64
350 101 75 133 69
400 108 80 140 73
450 116 86 151 78
500 123 91 163 83
600 140 103 186 94
700 156 112 203 100
800 169 122 226 109

Таблица 2

НОРМЫ ПЛОТНОСТИ ТЕПЛОВОГО ПОТОКА ПРИ ЧИСЛЕ ЧАСОВ РАБОТЫ В ГОД БОЛЕЕ 5000, Вт/м

Условный проход трубопровода, мм Трубопроводы водяных тепловых сетей
подающий обратный подающий обратный
Среднегодовая температура теплоносителя, °С
65 50 90 50
25 33 25 44 24
50 40 31 54 29
65 45 34 60 33
80 46 35 61 34
100 49 38 65 35
125 53 41 72 39
150 60 46 80 43
200 66 50 89 48
250 72 55 96 51
300 79 59 105 56
350 86 65 113 60
400 91 68 121 63
450 97 72 129 67
500 105 78 138 72
600 117 87 156 80
700 126 93 170 86
800 140 102 186 93

Примечания к табл. 1 и 2: 1. См. примеч. к обязательному приложению 4, табл. 1.

2. Расчетные среднегодовые температуры воды в водяных сетях 65, 90 °С соответствуют температурным графикам 95-70, 150-70 °С.

3. При применении в качестве теплоизоляционного слоя пенополиуретана, фенольного поропласта ФЛ, полимербетона значения норм плотности следует определять с учетом коэффициента K_2, приведенного в табл. 3 настоящего приложения.

Таблица 3

КОЭФФИЦИЕНТ K_2, УЧИТЫВАЮЩИЙ ИЗМЕНЕНИЕ НОРМ ПЛОТНОСТИ ТЕПЛОВОГО ПОТОКА ПРИ ПРИМЕНЕНИИ ТЕПЛОИЗОЛЯЦИОННОГО СЛОЯ ИЗ ПЕНОПОЛИУРЕТАНА, ПОЛИМЕРБЕТОНА, ФЕНОЛЬНОГО ПОРОПЛАСТА ФЛ

Материал теплоизоляционного слоя Условный проход трубопровода, мм
25-65 80-150 200-300 350-500
Коэффициент K_2
Пенополиуретан, фенольный поропласт ФЛ 0,5 0,6 0,7 0,8
Материал теплоизоляционного слоя Условный проход трубопровода, мм
25-65 80-150 200-300 350-500
Коэффициент K_2
Полимер-бетон 0,7 0,8 0,9 1,0

ПРИЛОЖЕНИЕ 9
Справочное

РАСЧЕТНЫЕ КОЭФФИЦИЕНТЫ ТЕПЛООТДАЧИ

1. Расчетные коэффициенты теплоотдачи от наружной поверхности покровного слоя в зависимости от вида и температуры изолируемой поверхности, вида расчета толщины тепловой изоляции и применяемого покровного слоя приведены в таблице.

Температура изолируемой поверхности, °С Изолируемая поверхность Вид расчета изоляции Коэффициент теплоотдачи альфа_e, Вт/(м2·°С), при расположении изолируемых поверхностей
в помещениях, тоннелях для покровных слоев с коэффициентом излучения, С на открытом воздухе, для покровных слоев с коэффициентом излучения, С
малым высоким малым высоким
Выше 20 Плоская поверхность, оборудование, вертикальные трубопроводы По заданной температуре на поверхности покровного слоя 6 11 6 11
Остальные виды расчетов 7 12 35 35
Горизонтальные трубопроводы По заданной температуре на поверхности покровного слоя 6 10 6 10
Остальные виды расчетов 6 11 29 29
19 и ниже Все виды изолируемых объектов Предотвращение конденсации влаги из окружающего воздуха на поверхности покровного слоя 5 7 - -
Остальные виды расчетов 6 11 29 29

Примечания: 1. Для трубопроводов, прокладываемых в каналах, коэффициент теплоотдачи альфа_e = 8 Вт/(м2·°С).

2. К покровным слоям с малым коэффициентом излучения С относятся покрытия с С <= 2,33 Вт/(м2·К4) и менее, в том числе из тонколистовой оцинкованной стали, листов из алюминия и алюминиевых сплавов, а также других материалов, окрашенных алюминиевой краской. К покрытиям с высоким коэффициентом излучения относятся покрытия с С >= 2,33 Вт/(м2·К4), в том числе стеклопластики и прочие материалы на основе синтетических и природных полимеров, асбестоцементные листы, штукатурки, покровные слои, окрашенные различными красками, кроме алюминиевой.

3. Коэффициент теплоотдачи от воздуха в канале к стенке канала допускается принимать равным 8 Вт/(м2·°С).

ПРИЛОЖЕНИЕ 10
Обязательное

КОЭФФИЦИЕНТ K_1, УЧИТЫВАЮЩИЙ ИЗМЕНЕНИЕ СТОИМОСТИ ТЕПЛОТЫ И ТЕПЛОИЗОЛЯЦИОННОЙ КОНСТРУКЦИИ В ЗАВИСИМОСТИ ОТ РАЙОНА СТРОИТЕЛЬСТВА И СПОСОБА ПРОКЛАДКИ ТРУБОПРОВОДА (МЕСТА УСТАНОВКИ ОБОРУДОВАНИЯ)

Район строительства Способ прокладки трубопровода и месторасположение оборудования
на открытом воздухе в помещении, тоннеле в непроходном канале бесканальный
Европейские районы СССР (I.I-I.5, II.I-II.2) 1,0 1,0 1,0 1,0
Урал (VII.I-VII.3) 1,02 1,03 1,03 1,0
Казахстан (XI.I-XI.3) 1,04 1,06 1,04 1,02
Средняя Азия (VI.I-VI.3, XII.I-XII.4) 1,04 1,04 1,02 1,02
Западная Сибирь (VIII.I-VIII.5) 1,03 1,05 1,03 1,02
Восточная Сибирь (IX.I-IX.3) 1,07 1,09 1,07 1,03
Дальний Восток (X.I-X.3) 0,88 0,9 0,8 0,96
Районы Крайнего Севера и приравненные к ним (Ic-Xc) 0,9 0,93 0,85 -

Примечание. Районы строительства приведены в соответствии с письмом Госстроя СССР от 6.09.84 N ИИ 4448-19/5. В скобках указаны территориальные районы и подрайоны по СНиП IV-5-84.

ПРИЛОЖЕНИЕ 11
Рекомендуемое

ТОЛЩИНЫ ИНДУСТРИАЛЬНЫХ (ПОЛНОСБОРНЫХ И КОМПЛЕКТНЫХ) ТЕПЛОИЗОЛЯЦИОННЫХ КОНСТРУКЦИЙ

Толщина основного слоя, мм
Расчетная, по условию подп. 3.1а Принимаемая Расчетная, по условиям подп. 3.1б-3.1к Принимаемая
40-45 40 до 40 40
46-65 60 41-60 60
66-85 80 61-80 80
86-105 100 81-100 100
106-125 120 101-120 120
126-150 140 121-140 140
151-175 160 141-160 160
176-200 180 161-180 180

ПРИЛОЖЕНИЕ 12
Рекомендуемое

ПРЕДЕЛЬНЫЕ ТОЛЩИНЫ ТЕПЛОИЗОЛЯЦИОННЫХ КОНСТРУКЦИЙ ПРИ ПОДЗЕМНОЙ ПРОКЛАДКЕ В ТОННЕЛЯХ И НЕПРОХОДНЫХ КАНАЛАХ

Условный проход трубопровода, мм Способ прокладки трубопроводов
в тоннеле в непроходном канале
Предельная толщина теплоизоляционной конструкции, мм, при температуре вещества, °С
ниже минус 30 от минус 30 до 19 от 20 до 600 включ. до 150 включ. 151 и выше
15 60 60 60 40 60
25 100 60 80 60 100
40 120 60 80 60 100
50 140 80 100 80 120
65 160 100 140 80 140
80 180 100 160 80 140
100 180 120 160 80 160
125 180 120 160 80 160
150 200 140 160 100 180
200 200 140 180 100 200
250 220 160 180 100 200
300 240 180 200 100 200
350 260 200 200 100 200
400 280 220 220 120 220
450 300 240 220 120 220
500 320 260 220 120 220
600 320 260 240 120 220
700 320 260 240 120 220
800 320 260 240 120 220
900 и более 320 260 260 120 220

Примечания: 1. Толщина изоляции для трубопроводов в каналах указана для положительных температур транспортируемых веществ. Для трубопроводов с отрицательными температурами транспортируемых веществ, прокладываемых в каналах, предельные толщины принимаются такими же, как при прокладке в тоннеле.

2. В случае, если по расчету толщина изоляции больше предельной, следует применять более эффективный материал.

ПРИЛОЖЕНИЕ 13
Рекомендуемое

ОПРЕДЕЛЕНИЕ ТОЛЩИНЫ И ОБЪЕМА ТЕПЛОИЗОЛЯЦИОННЫХ ИЗДЕЛИЙ ИЗ УПЛОТНЯЮЩИХСЯ МАТЕРИАЛОВ

1. Толщину теплоизоляционного изделия из уплотняющихся материалов до установки на изолируемую поверхность следует определять с учетом коэффициента уплотнения K_спо формулам:

для цилиндрической поверхности

(1)

для плоской поверхности

(2)

где дельта_1, дельта_2 -толщина теплоизоляционного изделия до установки на изолируемую поверхность (без уплотнения), м;

дельта - расчетная толщина теплоизоляционного слоя с уплотнителем, м;

d - наружный диаметр изолируемого оборудования, трубопроводов, м;

K_с- коэффициент уплотнения, принимаемый по таблице настоящего приложения.

Примечание. В случае, если в формуле (1) произведение меньше единицы, оно должно приниматься равным единице.

2. При многослойной изоляции толщину изделия до его уплотнения следует определять отдельно для каждого слоя.

3. Объем теплоизоляционных изделий из уплотняющихся материалов до уплотнения следует определять по формуле

(3)

где V - объем теплоизоляционного материала или изделия до уплотнения, м3;

V_i - объем теплоизоляционного материала или изделия с учетом уплотнения, м3.

Теплоизоляционные материалы и изделия Коэффициент уплотнения K_с
Изделия минераловатные с гофрированной структурой при укладке на трубопроводы и оборудование условным проходом, мм:
до 200 1,3
от 200 до 350 1,2
св. 350 1,1
Маты минераловатные прошивные 1,2
Маты из стеклянного штапельного волокна 1,6
Маты из супертонкого стекловолокна, маты БЗМ, холсты из ультрасупертонких и стекломикрокристаллических волокон средней плотностью от 19 до 56 кг/м3 при укладке на трубопроводы и оборудование условным проходом, мм:  
D_y < 800 при средней плотности 19 кг/м3 3,2 <*>
То же при средней плотности 56 кг/ м3 1,5 <*>
D_y>=800 при средней плотности 19 кг/м3 2,0 <*>
То же при средней плотности 56 кг/ м3 1,5 <*>
Плиты минераловатные на синтетическом связующем марки:
50, 75 1,5
125, 175 1,2
Плиты минераловатные на битумном связующем марки:
75 1,5
100, 150 1,2
Плиты полужесткие стекловолокнистые на синтетическом связующем 1,15
Пенопласт ПВХ-Э 1,2
Пенопласт ППУ-ЭТ 1,3

<*> Промежуточные значения коэффициента уплотнения следует определять интерполяцией.

Примечание. В отдельных случаях в проектно-сметной документации по тепловой изоляции могут быть предусмотрены другие коэффициенты уплотнения, обусловленные технико-экономическими расчетами и особенностями работы тепловой изоляции.