Приказ ФСТ РФ от 23.08.2005 N 388-Э/1

"Об утверждении Методики расчета тарифов на услуги по транспортировке газа по магистральным газопроводам"
Редакция от 21.10.2014 — Действует с 02.12.2014
Показать изменения

Зарегистрировано в Минюсте РФ 19 октября 2005 г. N 7102


ФЕДЕРАЛЬНАЯ СЛУЖБА ПО ТАРИФАМ

ПРИКАЗ
от 23 августа 2005 г. N 388-э/1

ОБ УТВЕРЖДЕНИИ МЕТОДИКИ РАСЧЕТА ТАРИФОВ НА УСЛУГИ ПО ТРАНСПОРТИРОВКЕ ГАЗА ПО МАГИСТРАЛЬНЫМ ГАЗОПРОВОДАМ

(в ред. Приказов ФСТ РФ от 07.11.2006 N 245-э/2, от 25.10.2007 N 286-э/4, от 17.09.2008 N 174-э/6, от 02.12.2011 N 315-э/10, от 21.10.2014 N 230-э/1)

На основании Положения о Федеральной службе по тарифам, утвержденного Постановлением Правительства Российской Федерации от 30.06.2004 N 332 (Собрание законодательства Российской Федерации, 19.07.2004, N 29, ст. 3049), Постановления Правительства Российской Федерации от 29.12.2000 N 1021 "О государственном регулировании цен на газ и тарифов на услуги по его транспортировке на территории Российской Федерации" (в редакции от 22.05.2002 N 328) (Собрание законодательства Российской Федерации, 08.01.2001, N 2, ст. 175, 27.05.2002, N 21, ст. 2001) и решения Правления ФСТ России от 23 августа 2005 года N р-51-э/1 приказываю:

1. Утвердить прилагаемую Методику расчета тарифов на услуги по транспортировке газа по магистральным газопроводам.

2. Установить, что настоящий Приказ вступает в силу в установленном порядке.

Руководитель
Федеральной службы
по тарифам
С.НОВИКОВ

Приложение
к Приказу
Федеральной службы по тарифам
от 23 августа 2005 г. N 338-э/1

МЕТОДИКА
РАСЧЕТА ТАРИФОВ НА УСЛУГИ ПО ТРАНСПОРТИРОВКЕ ГАЗА ПО МАГИСТРАЛЬНЫМ ГАЗОПРОВОДАМ

(в ред. Приказов ФСТ РФ от 07.11.2006 N 245-э/2, от 25.10.2007 N 286-э/4, от 17.09.2008 N 174-э/6, от 21.10.2014 N 230-э/1)

I. Общие положения

1. Методика расчета тарифов на услуги по транспортировке газа по магистральным газопроводам (далее - методика) разработана во исполнение Постановления Правительства Российской Федерации от 29 декабря 2000 года N 1021 (Собрание законодательства Российской Федерации, 2001, N 2, ст. 175; 2002, N 21, ст. 2001).

2. Настоящая методика определяет основные методы и особенности расчета тарифов (ставок тарифов) на услуги по транспортировке газа по магистральным газопроводам по территории Российской Федерации (далее - тарифы).

3. Для целей настоящей методики под транспортировкой газа понимается перемещение и передача газа по газотранспортной системе.

4. Тарифы, рассчитанные в соответствии с настоящей методикой, применяются для расчетов за услуги по транспортировке газа, добываемого на территории Российской Федерации.

5. Тарифы применяются в случае оказания услуг по транспортировке газа организациями - собственниками систем газоснабжения и их аффилированными лицами независимым организациям, а также при оказании ими услуг по транспортировке газа, добываемого организациями - собственниками систем газоснабжения и их аффилированными лицами, цены на который, в соответствии с решениями Правительства Российской Федерации, не регулируются. Тарифы также применяются в случае оказания услуг по транспортировке газа по газопроводам, находящимся в собственности или на иных законных основаниях у независимых организаций. (в ред. Приказа ФСТ РФ от 07.11.2006 N 245-э/2)

II. Основные методические положения формирования тарифов

6. Государственное регулирование тарифов на услуги по транспортировке газа по магистральным газопроводам осуществляется путем установления их фиксированных уровней исходя из:

а) возмещения организациям, осуществляющим регулируемый вид деятельности, экономически обоснованных затрат, связанных с транспортировкой газа;

б) установления для организаций, осуществляющих регулируемые виды деятельности, обоснованной нормы прибыли на капитал, используемый в регулируемых видах деятельности (до разработки методики определения размера основных средств, иных материальных и финансовых активов, используемых в регулируемых видах деятельности, учитывается размер прибыли, необходимой для обеспечения указанных организаций средствами на обслуживание привлеченного капитала, развитие производства и финансирование других обоснованных расходов);

в) удовлетворения платежеспособного спроса на газ, достижения баланса экономических интересов покупателей и поставщиков газа;

г) учета в структуре регулируемых тарифов всех налогов и иных обязательных платежей в соответствии с законодательством Российской Федерации.

7. Регулирование тарифов базируется на раздельном учете расходов по регулируемому виду деятельности в соответствии с нормативными актами в сфере бухгалтерского учета.

8. В случае, если субъект регулирования помимо деятельности по транспортировке газа осуществляет иные виды деятельности, расходы на их осуществление и полученные доходы от этих видов деятельности не учитываются при расчете тарифов.

9. Необходимая выручка (НВ) на расчетный период действия тарифов для покрытия обоснованных расходов, связанных с транспортировкой газа, в том числе диспетчеризацией поставок газа, включая его учет в системе магистральных газопроводов, и формирования необходимого размера прибыли по регулируемому виду деятельности рассчитывается по следующей формуле:

(1)

где:

- проектируемая на расчетный период действия тарифов сумма расходов субъекта регулирования на транспортировку газа, относимых на себестоимость;

- проектируемое на расчетный период действия тарифов сальдо операционных доходов и расходов субъекта регулирования в части, отнесенной на деятельность по транспортировке газа;

- проектируемое на расчетный период действия тарифов сальдо внереализационных доходов и расходов субъекта регулирования в части, отнесенной на деятельность по транспортировке газа;

- проектируемая на расчетный период действия тарифов сумма налога на прибыль субъекта регулирования в части прибыли, получаемой от деятельности по транспортировке газа;

- проектируемая на расчетный период действия тарифов сумма чистой прибыли субъекта регулирования, необходимой для покрытия всех согласованных с ФСТ России расходов из чистой прибыли по регулируемому виду деятельности;

НВ - расходы, подлежащие возмещению (учет в формуле 1) со знаком "+") и исключению (учет в формуле (1) со знаком "-"-) из необходимой выручки в соответствии с пунктами 13 и 14 настоящей методики. В случае, если данные расходы осуществляются из чистой прибыли, они принимаются для расчета с учетом налогообложения.

Необходимая выручка служит базой для расчета тарифов на транспортировку газа.

10. В случае, если субъект регулирования представляет собой группу компаний с головной компанией в ее составе, тарифы рассчитываются на основании суммарных расходов по транспортировке газа, при этом учитывается часть расходов головной компании, относящаяся на регулируемый вид деятельности.

11. Методы отнесения расходов субъекта регулирования, в отношении которых в бухгалтерском и налоговом учете раздельный учет по видам деятельности не предусмотрен, на регулируемый вид деятельности, используемые в целях настоящей методики, отражены в приложении 1.

12. При определении необходимой выручки величина налогов и сборов, относящихся на регулируемый вид деятельности, рассчитывается в соответствии с действующим налоговым законодательством. Тарифы рассчитываются и устанавливаются без учета налога на добавленную стоимость.

13. В случае если субъект регулирования в течение предыдущего расчетного периода действия тарифов понес экономически обоснованные расходы, не учтенные при установлении тарифов, в том числе:

- расходы, связанные с объективным и незапланированным ростом цен на продукцию и услуги, потребляемые организацией;

- расходы, связанные с обслуживанием заемных средств, привлеченных для покрытия данных расходов,

указанные расходы учитываются при определении необходимой прибыли, определяемой при установлении тарифа на следующий расчетный период их действия. Покрытие незапланированного убытка прошлых лет осуществляется по согласованному с ФСТ России графику в течение согласованного периода времени.

14. Выявленные по данным отчетности не использованные в течение предыдущего расчетного периода действия тарифов средства по отдельным статьям расходов учитываются при установлении тарифа на следующий период в качестве источника покрытия предстоящих расходов.

15. Полученная субъектом регулирования экономия расходов по регулируемому виду деятельности в результате внедрения передовых методов организации труда, энерго- и ресурсосберегающих технологий, а также других мероприятий по сокращению расходов, в случае представления в ФСТ России обоснования по проведенным мероприятиям, не учитывается при расчете тарифов в течение периода с начала формирования экономии расходов до истечения 3 лет после окончания срока окупаемости указанных мероприятий. (в ред. Приказа ФСТ РФ от 17.09.2008 N 174-э/6)

16. При наличии стороннего субсидирования (в том числе бюджетного) каких-либо расходов субъекта регулирования на невозвратной основе такие статьи расходов принимаются для расчета тарифов за вычетом указанного субсидирования.

17. В случае если субъект регулирования осуществляет транспортировку газа, используемого впоследствии на собственные нужды в транспорте газа, расходы по транспортировке указанного объема газа учитываются в расчете тарифов.

18. В случае если дочерние газотранспортные организации возмещают головной копании часть ее расходов, связанных с транспортировкой газа (амортизационные отчисления, расходы на страхование и т.п.), в составе арендной платы или иным образом, указанные расходы не учитываются при отнесении части расходов головной компании на транспортировку газа.

19. При проведении расчета тарифов и обосновании величин отдельных статей расходов применяются следующие цены (тарифы) на продукцию (услуги), приобретаемые субъектом регулирования для осуществления регулируемого вида деятельности:

- регулируемые государством цены (тарифы);

- цены (тарифы, стоимость услуг), установленные на основании договоров, заключенных по результатам проведенных субъектом регулирования конкурсов (тендеров);

- прогнозные рыночные цены (тарифы, стоимость услуг), определяемые на основании прогнозного уровня инфляции на расчетный период действия тарифов.

При отсутствии информации о формировании цен в соответствии с подходами, изложенными выше в данном пункте, применяются прогнозные индексы изменения цен в целом по отраслям промышленности, разрабатываемые в установленном порядке.

20. При проведении расчета тарифов и обосновании величин отдельных статей расходов используются нормативы численности, использования материалов и проведения различных видов эксплуатационных работ. При отсутствии нормативов по отдельным статьям расходов допускается использование в расчетах экспертных оценок на основе отчетных данных.

21. Расчет расходов по обычным видам деятельности, связанных с транспортировкой газа, на расчетный период действия тарифов производится по следующим составляющим с учетом следующих подходов:

- газ на собственные нужды и технологические потери - исходя из утвержденных нормативов использования природного газа на собственные технологические нужды и цены его приобретения на входе в магистральные газопроводы субъекта регулирования (в случае, если субъект регулирования приобретает газ на указанные цели по рыночным (договорным) ценам). В случае использования на собственные нужды газа собственной добычи (добычи аффилированных лиц) его стоимость определяется на основании расходов субъекта регулирования на добычу газа и его подготовку к транспорту. Определение указанных расходов осуществляется на основании подходов к определению размера необходимой выручки субъекта регулирования, изложенных в п. 9 настоящей методики;

- электроэнергия, расходуемая на производственные и хозяйственные цели, - с учетом нормативов потребления и исходя из расчетных объемов потребления энергии субъектом регулирования в регулируемом виде деятельности и прогнозируемых на расчетный период цен и тарифов на ее приобретение;

- вспомогательные материалы, используемые для производственных и хозяйственных нужд, - исходя из действующих норм их потребления в регулируемом виде деятельности и прогнозируемых на расчетный период цен и тарифов на их приобретение;

- расходы на оплату труда - исходя из прогнозируемой численности персонала, занятого в регулируемом виде деятельности, и в соответствии с трудовым законодательством Российской Федерации, Тарифным соглашением, Коллективным договором и другими нормативными актами, действующими в отрасли в области оплаты труда, а также прогнозными индексами потребительских цен;

- отчисления на социальные нужды (единый социальный налог) - в размерах, установленных законодательством Российской Федерации;

- арендная плата - исходя из заключенных договоров аренды с собственником арендуемого имущества, состава и стоимости арендуемого имущества, налога на имущество и других обоснованных расходов в составе арендной платы;

- амортизационные отчисления - исходя из состава основных средств, используемых в регулируемом виде деятельности, в соответствии с действующим законодательством в данной сфере и учетной политикой субъекта регулирования;

- услуги всех видов транспорта - исходя из необходимости потребления данных услуг субъектом регулирования в регулируемом виде деятельности и прогнозируемых на расчетный период цен и тарифов на их оплату;

- услуги сторонних организаций (расходы на оплату услуг связи, ведомственной и вневедомственной охраны, юридических, информационных, аудиторских, консультационных, маркетинговых, нотариальных и других услуг) - исходя из необходимости потребления данных услуг субъектом регулирования в регулируемом виде деятельности и прогнозируемых на расчетный период цен и тарифов на их оплату;

- расходы на капитальный ремонт - исходя из необходимости выполнения ремонтных работ и прогнозируемых на расчетный период цен и тарифов на их оплату;

- пусконаладочные работы - исходя из необходимости проведения работ и прогнозируемых на расчетный период цен и тарифов на их оплату;

- диагностика - исходя из нормативов проведения работ по диагностированию оборудования и прогнозируемых на расчетный период цен и тарифов на их оплату;

- подготовка кадров - исходя из необходимости подготовки кадров и прогнозируемых на расчетный период цен и тарифов на оплату соответствующих услуг;

- охрана труда и техника безопасности - исходя из необходимости проведения работ по охране труда и технике безопасности и прогнозируемых на расчетный период цен и тарифов на оплату соответствующих услуг;

- страховые платежи - в соответствии с законодательством Российской Федерации с учетом структуры страхуемых рисков, состава и стоимости страхуемого имущества, прогнозируемых на расчетный период цен и тарифов на оплату данных услуг и других факторов;

- другие расходы - в соответствии с законодательством Российской Федерации и прогнозируемых на расчетный период цен и тарифов на их оплату.

22. Сумма налога на прибыль () рассчитывается исходя из условия обеспечения субъекту регулирования получения необходимого объема чистой прибыли по регулируемому виду деятельности:

(2)

где:

, - сумма расходов, входящих в состав себестоимости, а также сальдо внереализационных доходов и расходов субъекта регулирования соответственно, отнесенных на регулируемый вид деятельности, учитываемых в целях налогообложения в соответствии с главой 25 Налогового кодекса Российской Федерации);

- ставка налога на прибыль.

23. Необходимый для покрытия согласованных расходов субъекта регулирования размер чистой прибыли (ЧП) по регулируемому виду деятельности рассчитывается по следующей формуле:

ЧП = ИНВ + К - И + Д + РФ (3)

где:

ИНВ - средства, необходимые для осуществления инвестиционной программы субъекта регулирования по регулируемому виду деятельности;

К - средства, необходимые для погашения привлеченного для финансирования инвестиционной программы субъекта регулирования по регулируемому виду деятельности на долгосрочной основе заемного капитала (основной суммы долга);

И - источники финансирования инвестиций, рассчитываемые как сумма амортизационных отчислений по основным средствам, используемым в регулируемом виде деятельности, и вновь привлекаемых на долгосрочной основе заемных средств;

Д - средства, необходимые для выплаты дивидендов в части, приходящейся на регулируемый вид деятельности, с учетом внутренних документов организации, определяющих принципы дивидендной политики;

РФ - средства на создание резервного фонда в соответствии с действующим законодательством.

24. Размер инвестиционной программы субъекта регулирования, относимой на регулируемый вид деятельности, принимается для расчета тарифов с учетом решений компетентного органа управления организации, осуществляющей регулируемый вид деятельности, а в случае рассмотрения инвестиционной программы Правительством Российской Федерации или уполномоченными министерствами и ведомствами - в размере, одобренном (согласованном) указанными органами исполнительной власти.

Размер инвестиционной программы принимается с учетом налога на добавленную стоимость, учитываемого по незавершенному строительству. При этом ее размер уменьшается для проведения расчета тарифов на сумму налога на добавленную стоимость, возмещаемого из бюджета в соответствии с действующим законодательством после ввода основных фондов в эксплуатацию и проведения их государственной регистрации.

25. Тарифы устанавливаются в зависимости от структуры расходов субъекта регулирования и схемы транспортировки газа:

одноставочные - в случае, если в системе магистральных газопроводов не осуществляется компримирование газа либо доля расходов на электроэнергию и газ, используемый на технологические нужды субъекта регулирования при транспортировке газа, в структуре себестоимости транспортировки газа не превышает 1%. Одноставочные тарифы также могут устанавливаться для региональных систем газоснабжения;

двухставочные - для других случаев.

26. Двухставочный тариф формируется из следующих ставок:

- ставка за пользование магистральными газопроводами (далее - ставка за пользование);

- ставка (далее - ставка за перемещение) за совершаемую работу по перемещению газа (далее товаротранспортная работа - ТТР).

27. Ставка за пользование устанавливается на транспортировку 1000 м3 газа между зонами входа в газопроводную систему и выхода из нее.

Под зоной входа в систему магистральных газопроводов в настоящей методике рассматривается:

- совокупность точек подключения к системе магистральных газопроводов подводящих газопроводов, по которым осуществляется подача газа от месторождений, газоперерабатывающих заводов, подземных хранилищ газа (далее - ПХГ) и из других источников в систему магистральных газопроводов;

- совокупность точек пересечения границы Российской Федерации магистральными газопроводами (для случаев транспортировки газа для его последующей поставки российским потребителям из ПХГ, находящихся за пределами территории Российской Федерации). В качестве зон входа и выхода рассматриваются также точки внутри газотранспортной системы, в которых осуществляются операции по купле и продаже газа с использованием биржевых технологий. (в ред. Приказа ФСТ РФ от 07.11.2006 N 245-э/2)

При объединении точек подключения в зоны входа используются следующие основные методы:

- оптимальное расстояние между крайними точками входа в систему магистральных газопроводов в пределах одной зоны входа - не более 100 км;

- к одной зоне входа могут быть отнесены участки нескольких магистральных газопроводов, находящихся в одном коридоре;

- зоны входа устанавливаются с учетом границ отдельных газотранспортных предприятий, входящих в группу компаний организации - собственника системы газоснабжения, и субъектов Российской Федерации.

Под зоной выхода из газопроводной системы в настоящей методике рассматривается:

- совокупность точек выхода из системы магистральных газопроводов в границах субъекта Российской Федерации (в рамках субъектов Российской Федерации, протяженность транспортировки газа по территории которых превышает в одном направлении 400 км, могут выделяться несколько зон выхода);

- совокупность точек подключения к системе магистральных газопроводов ПХГ на территории субъекта Российской Федерации;

- совокупность точек пересечения магистральными газопроводами границы Российской Федерации на участке прилегания к ней одного субъекта Российской Федерации.

В случае если магистральные газопроводы субъекта регулирования граничат с магистральными газопроводами другой организации, через которые осуществляется поставка газа конечным потребителям, то в качестве точки выхода рассматривается граница раздела магистральных газопроводов указанных организаций. В случае транзитной транспортировки газа через магистральные газопроводы других организаций граница раздела магистральных газопроводов субъекта регулирования и другой организации не рассматривается в качестве точек входа и выхода.

В случае поставки газа из ПХГ на внутренний рынок потребителям, расположенным на территории того же субъекта Российской Федерации, на территории которого расположено ПХГ, транспортировка газа может рассматриваться как внутризональная, а зоны выхода, объединяющие точки выхода и точки подключения к системе магистральных газопроводов ПХГ, могут рассматриваться в качестве одной зоны.

В случае, если газ транспортируется последовательно по магистральным газопроводам, межпромысловым коллекторам и опять по магистральным газопроводам, и точка входа газа в систему магистральных газопроводов от месторождения, точка выхода газа из системы магистральных газопроводов в межпромысловые коллекторы, а также точка входа газа в систему магистральных газопроводов из межпромысловых коллекторов не находятся в пределах одной зоны входа в систему магистральных газопроводов, то ставка за пользование определяется исходя из фактического суммарного расстояния транспортировки газа по магистральным газопроводам. (в ред. Приказа ФСТ РФ от 21.10.2014 N 230-э/1)

В случае, если газ транспортируется последовательно по магистральным газопроводам, межпромысловым коллекторам и опять по магистральным газопроводам, и точка входа газа в систему магистральных газопроводов от месторождения, точка выхода газа из системы магистральных газопроводов в межпромысловые коллекторы, а также точка входа газа в систему магистральных газопроводов из межпромысловых коллекторов находятся в пределах одной зоны входа в систему магистральных газопроводов, то для определения стоимости транспортировки газа по магистральным газопроводам принимается установленный для пары зон входа и выхода (рассматриваемая зона входа и соответствующая зона выхода) размер ставки за пользование. (в ред. Приказа ФСТ РФ от 21.10.2014 N 230-э/1)

28. Одноставочный тариф и ставка за перемещение двухставочного тарифа устанавливаются на транспортировку 1000 м3 в случае, если транспортировка газа для всех потребителей транспортных услуг осуществляется по одному маршруту. Также допускается такое установление тарифов для региональных систем газоснабжения. В других случаях одноставочный тариф и ставка за перемещение устанавливаются на транспортировку 1000 м3 на 100 км.

29. Тарифы (ставки тарифов) могут устанавливаться на услуги по транспортировке газа:

- на внутренний рынок и на экспорт в страны - участники Таможенного союза;

- на экспорт в другие страны.

В этом случае применяется отдельный подход к учету капитальных вложений, а также средств, направляемых на обслуживание привлеченного на долгосрочной основе заемного капитала (приложение 2). Все прочие расходы для расчета тарифов, дифференцированных по различным рынкам, разносятся пропорционально ТТР, распределенной по указанным рынкам в зависимости от направления транспортировки газа.

30. При расчете тарифов на транспортировку газа по газопроводам - отводам высокого давления минимальная удельная загрузка газопроводов-отводов, рассчитываемая как отношение годового объема поставки газа по газопроводу-отводу к его проектной производительности, принимается на уровне 10%.

31. В случае если выделенные пропорционально ТТР амортизационные отчисления, учитываемые при расчете тарифов на услуги по транспортировке газа на различные рынки, превышают размер соответствующей, выделенной в соответствии с методами, указанными в приложении 2, инвестиционной программы, сумма указанного превышения может использоваться в качестве источника при расчете тарифа на услуги по транспортировке газа на другой рынок.

32. В целях привлечения в газовую отрасль средств инвесторов тарифы на услуги по транспортировке газа по новым магистральным газопроводам в рамках действующих или новых систем газоснабжения могут рассчитываться исходя из условий обеспечения согласованного с ФСТ России срока окупаемости проекта и уровня доходности на вложенный капитал.

33. В случае если субъект регулирования оказывает услуги по транзитной транспортировке газа через территорию Российской Федерации и стоимость данных услуг не зависит от стоимости транзита газа для субъекта регулирования по территории сопредельных государств, то доход от превышения фактически применяемых тарифов над регулируемыми учитывается в качестве дополнительного источника при определении необходимой выручки для расчета тарифов.

34. В целях выполнения расчетов по данной методике объемные величины транспортируемого газа приводятся к следующим стандартным параметрам:

- температура t = 20 град. С;

- давление p = 760 мм рт.ст.;

- влажность = 0%.

Тарифы рассчитываются (применяются) независимо от прогнозной (фактической) объемной теплоты сгорания транспортируемого газа.

III. Порядок представления материалов для рассмотрения ФСТ России вопросов об утверждении (пересмотре) тарифов

35. Для утверждения (пересмотра) тарифов субъект регулирования вместе с заявлением об установлении (пересмотре) тарифов представляет в ФСТ России следующие материалы:

- расчет тарифов с обосновывающими материалами по формам приложений N N 4 - 15;

- бухгалтерский баланс (бухгалтерские балансы группы газотранспортных организаций и головной компании) с приложениями к нему на последнюю отчетную дату;

- постатейное обоснование расходов, относимых на себестоимость услуг, и их изменения к предыдущим периодам, исходя из раздельного учета услуг и затрат на их оказание по регулируемому виду деятельности;

- обоснование необходимой прибыли по регулируемому виду деятельности;

- планы капитальных вложений указанной организации на соответствующий год по регулируемому виду деятельности в целях учета в структуре тарифов затрат на привлечение заимствований и других источников финансирования инвестиций согласно этим планам, а также отчеты по использованию инвестиционных средств за предыдущие периоды;

- сравнительные данные по статьям затрат по регулируемому виду деятельности и размеру балансовой прибыли за предыдущие 3 года.

36. Представляемые материалы должны быть подписаны уполномоченными лицами организации, осуществляющей регулируемый вид деятельности.

Копии бухгалтерских документов должны быть заверены в установленном порядке.

37. В случае необходимости ФСТ России запрашивает дополнительные обоснования.

38. Минимальный период регулирования тарифов составляет один год. Тарифы могут быть пересмотрены в связи с обращением субъекта регулирования (по инициативе ФСТ России) ранее указанного срока в случае существенного уменьшения объема оказываемых услуг по регулируемому виду деятельности, существенного роста расходов по регулируемому виду деятельности или возникновения иных обоснованных причин, повлекших за собой убыточность регулируемого вида деятельности для субъекта регулирования.

39. При пересмотре тарифов по инициативе ФСТ России у организации, осуществляющей регулируемый вид деятельности, запрашиваются материалы в соответствии с п. 35 настоящей методики.

40. В случае, если запрошенные материалы не представлены в месячный срок, ФСТ России вправе установить (или осуществить пересмотр) тарифов на основании имеющихся в его распоряжении материалов.

IV. Расчет тарифов

41. Одноставочный тариф в зависимости от технологической схемы транспортировки газа в соответствии с положениями п. 28 настоящей методики определяется по следующим формулам (на транспортировку 1000 м3 либо на транспортировку 1000 м3 на 100 км):

где:

- прогнозный на расчетный период регулирования объем транспортировки газа;

ТТР - прогнозный на расчетный период регулирования объем товаротранспортной работы.

42. Объем транспортируемого газа (V_тр.) рассчитывается по следующей формуле:

где:

- объем газа, поступающего в газотранспортную систему субъекта регулирования;

- объем газа, используемый субъектом регулирования при транспортировке газа на собственные нужды, а также объем технологических потерь.

Объем ТТР рассчитывается по следующей формуле:

где:

ТТР_ - суммарная ТТР по перемещению газа, поступающего в газотранспортную систему субъекта регулирования;

по перемещению газа, используемого субъектом регулирования при транспортировке газа на собственные нужды, а также технологических потерь газа.

При определении размера , учитываются только объемы газа, находящиеся в собственности субъекта регулирования.

43. Объемы транспортировки газа и ТТР для расчета тарифов (здесь и далее) принимаются на уровне прогнозных на период регулирования, определяемых с учетом договорных объемов транспортировки газа, а также статистики объемов транспортировки газа и ТТР за предыдущие 3 года.

44. Для определения ставок за пользование и за перемещение НВ распределяется следующим образом - при расчете ставки за перемещение учитываются расходы на электроэнергию и газ на собственные нужды, а также расходы из чистой прибыли, прочие расходы учитываются при расчете ставки за пользование. При этом общая сумма расходов, учитываемых при расчете ставки за перемещение, не может превышать 30% и быть менее 20% от общего размера НВ. В случае если сумма расходов, учитываемых при расчете ставки за перемещение, не попадает в указанный диапазон, то она принимается для расчета ставки за перемещение на уровне, определяемом ближней границей указанного диапазона, без изменения общего размера НВ.

45. Для расчета ставок за пользование, устанавливаемых на транспортировку газа между i-той зоной входа и j-той зоной выхода, в случае транспортировки газа для последующей его поставки на внутренний рынок, выделяются диапазоны протяженности транспортировки газа - отдельные участки на всей средневзвешенной протяженности транспортировки газа (приложение 3).

46. Ставка за пользование, устанавливаемая на транспортировку газа между i-той зоной входа и j-той зоной выхода, в случае транспортировки газа для последующей его поставки на внутренний рынок рассчитывается по следующей формуле:

(8)

где:

- постоянная часть ставки за пользование, не зависящая от расстояния транспортировки;

- базовая ставка за пользование для транспортировки газа на внутренний рынок;

s - число диапазонов протяженности транспортировки газа между i-той зоной входа и j-той зоной выхода;

- коэффициент дифференциации базового размера ставки за пользование в зависимости от расстояния транспортировки, установленный для r-го диапазона протяженности транспортировки (значения коэффициентов в зависимости от диапазона протяженности транспортировки приведены в приложении 3);

- коэффициент дифференциации базового размера ставки за пользование, установленный для s-того диапазона протяженности транспортировки;

- средневзвешенное расстояние транспортировки газа от i-той зоны входа до j-той зоны выхода;

- протяженность r-ого диапазона транспортировки (см. приложение 3);

l_s - нижняя граница s-ого диапазона протяженности транспортировки газа.

Если газ из ПХГ транспортируется до точки выхода, находящейся в той же зоне выхода, что и ПХГ, ставка за пользование в этом случае определяется на уровне значения формулы 8 настоящей методики.

47. Постоянная часть ставки за пользование рассчитывается по следующим формулам:

(9)

(10)

где:

- необходимая выручка на расчетный период действия тарифов для покрытия обоснованных расходов, связанных с эксплуатацией газораспределительных станций (далее - ГРС);

- соответственно расходы, относимые на себестоимость, операционные и внереализационные расходы, связанные с эксплуатацией ГРС;

V_ГРС - объем газа, проходящий через ГРС субъекта регулирования.

При определении постоянной части ставки за пользование не учитываются расходы и объем газа по ГРС, удельная загрузка которых составляет менее 10%, которые учитываются в других составляющих тарифа.

В случае если определение точной суммы расходов на эксплуатацию ГРС затруднено, принимается минимальная оценка указанной величины.

Достижение экономически обоснованной величины постоянной части ставки за пользование осуществляется поэтапно, в течение 2 - 3 лет.

Постоянная часть ставки за пользование не учитывается в расчете ставки за пользование, в случае если в конце маршрута транспортировки газ не проходит через ГРС (транспортировка газа до балансовых пунктов, на которых происходит его реализация на электронной торговой площадке, до ПХГ и т.п.), а также в случаях, когда ГРС не принадлежит на праве собственности или на иных законных основаниях субъекту регулирования. (в ред. Приказа ФСТ РФ от 25.10.2007 N 286-э/4)

48. При расчете ставки за пользование на транспортировку газа между i-той зоной входа и j-той зоной выхода используется средневзвешенное расстояние транспортировки между зонами, рассчитываемое по следующей формуле:

(11)

где:

G - число возможных маршрутов транспортировки газа из i-той зоны входа в j-тую зону выхода;

- объем газа, транспортируемый от i-той зоны входа до j-той зоны выхода по маршруту g;

- расстояние транспортировки газа из i-той зоны входа в j-тую зону выхода по маршруту g.

(далее - ) - товаротранспортная работа по транспортировке газа из i-той зоны входа в j-тую зону выхода.

При определении ТТР по транспортировке газа от i-той зоны входа до j-той зоны выхода принимается во внимание распределение объемов поступления газа по точкам входа в систему магистральных газопроводов в i-той зоне входа и объемов выхода из системы магистральных газопроводов в j-той зоне выхода, а также фактически сложившаяся и планируемая на период регулирования схема потоков газа.

В случае несовпадения объема ТТР (как в целом по субъекту регулирования, так и по отдельным направлениям транспортировки, по которым дифференцируется уровень тарифов) и суммы (как в целом по субъекту регулирования, так и по отдельным направлениям

транспортировки, по которым дифференцируется уровень тарифов) не более чем на 3%, суммы и уточняются по следующим формулам:

(12)

(13)

где К_ТТР - поправочный коэффициент, рассчитываемый по следующей формуле:

(14)

где:

а - количество зон входа в соответствующем случае;

b - количество зон выхода в соответствующем случае.

Данный коэффициент рассчитывается отдельно для случаев транспортировки газа на экспорт и на другие рынки.

При расчете ставки за пользование на транспортировку газа между зоной входа, которой является ПХГ, точки, в которых осуществляются операции по купле и продаже газа с использованием биржевых технологий, или точка пересечения границы Российской Федерации в случае транспортировки газа на внутренний рынок из ПХГ, находящихся на территории других стран, и зоной выхода учитывается суммарное расстояние транспортировки газа по магистральным газопроводам субъекта регулирования. (в ред. Приказа ФСТ РФ от 07.11.2006 N 245-э/2)

В случае определения ставки за пользование на транспортировку газа между зоной входа и зоной выхода, между которыми транспортировка газа в настоящее время не осуществляется, расстояние транспортировки определяется как наименьшее возможное с учетом технологических возможностей системы.

В случае если размер всех или нескольких ставок за пользование на транспортировку газа между зоной входа, которой является ПХГ, точка, в которой осуществляются операции по купле и продаже газа с использованием биржевых технологий или точка пересечения границы Российской Федерации в случае транспортировки газа на внутренний рынок из ПХГ, находящихся на территории других стран, и зоной выхода отличается между собой менее чем на 1%, то он может быть усреднен. (в ред. Приказа ФСТ РФ от 07.11.2006 N 245-э/2)

49. Базовая ставка за пользование для транспортировки газа на внутренний рынок рассчитывается по следующей формуле:

(15)

где:

- средняя удельная ставка за пользование для транспортировки газа на внутренний рынок;

- общая сумма ТТР по транспортировке газа на внутренний рынок;

- ТТР по транспортировке газа на внутренний рынок для r-ого диапазона протяженности транспортировки;

- максимально возможное количество диапазонов транспортировки (определяется в соответствии с приложением 3).

50. ТТР для r-ого диапазона протяженности транспортировки газа на внутренний рынок определяется по следующей формуле:

(16)

где:

- ТТР по транспортировке газа на внутренний рынок от i-той зоны входа до j-той зоны выхода для r-ого диапазона протяженности транспортировки;

m - количество зон входа, из которых осуществляется транспортировка газа на внутренний рынок;

n - количество зон выхода, через которые поставляется газ на внутренний рынок.

51. ТТР по транспортировке газа на внутренний рынок от i-той зоны входа до j-той зоны выхода для r-ого диапазона протяженности транспортировки определяется по следующей формуле:

(17)

где:

- объем поставки газа из i-той зоны входа в j-тую зону выхода на внутренний рынок;

В случае если r-тый диапазон является последним диапазоном протяженности транспортировки между рассматриваемыми зонами входа и выхода (r = s), то .

52. Средняя удельная ставка за пользование для транспортировки газа на внутренний рынок рассчитывается по следующей формуле:

(18)

где - сумма расходов субъекта регулирования, учитываемая при расчете ставки за пользование для транспортировки газа на внутренний рынок.

53. Ставки за пользование на транспортировку газа между i-той зоной входа и j-той зоной выхода в случае транспортировки газа для последующей его поставки в страны - участники Таможенного союза и за пределы Таможенного союза рассчитываются по следующим формулам:

(19)

(20)

где:

- средние удельные ставки за пользование для транспортировки газа в страны - участники Таможенного союза и за пределы Таможенного союза;

- протяженность транспортировки газа между i-той зоной входа и j-той зоной выхода соответственно на экспорт в страны - участники Таможенного союза и другие страны.

54. Средние удельные ставки за пользование для транспортировки газа в страны - участники Таможенного союза и за пределы Таможенного союза рассчитываются по следующим формулам:

(21)

(22)

где - сумма расходов субъекта регулирования, учитываемая при расчете ставки за пользование для транспортировки газа соответственно на экспорт в страны - участники Таможенного союза и другие страны.

55. Если при транспортировке газа из i-той зоны входа в j-тую зону выхода один или несколько из возможных маршрутов предполагает транспортировку газа по газопроводам, не принадлежащим субъекту регулирования (в том числе транзит газа по территории сопредельных государств), то ставка за пользование на транспортировку газа между i-той зоной входа и j-той зоной выхода устанавливается дифференцированно в зависимости от использования потребителем услуг по транспортировке газа по газопроводам, не принадлежащим субъекту регулирования:

для случая транспортировки газа только по газопроводам субъекта регулирования

(23)

где:

T_п.ij - ставка за пользование на транспортировку газа между i-той зоной входа и j-той зоной выхода, рассчитанная в соответствии с правилами, изложенными выше в данном разделе;

Т_p - стоимость транспортировки 1000 м3 газа по газопроводам, не принадлежащим субъекту регулирования, p-той организации;

- объем транспортировки газа между i-той зоной входа и j-той зоной выхода по газопроводам, не принадлежащим субъекту регулирования, p-той организации;

p - порядковый индекс независимой организации, по магистральным газопроводам которой осуществляется транспортировка газа при его транспортировке между i-той зоной входа и j-той зоной выхода;

d - число независимых организаций, по газопроводам которых осуществляется в общем случае транспортировка газа между i-той зоной входа и j-той зоной выхода;

для случая смешанной транспортировки газа по конкретному маршруту:

(24)

где:

z - число независимых организаций, по газопроводам которых осуществляются транспортировки газа между i-той зоной входа и j-той зоной выхода в конкретной схеме транспортировки. При этом d >= z.

56. Тарифная ставка за перемещение в соответствии с положениями п. 28 настоящей методики определяется по следующим формулам (на транспортировку 1000 м3 либо на транспортировку 1000 м3 на 100 км):

(25)

(26)

где:

- сумма расходов субъекта регулирования, учитываемая при расчете ставки за перемещение.

При определении ставки за перемещение, дифференцированной по соответствующим рынкам, все факторы в формуле рассматриваются применительно к соответствующим рынкам.

V. Расчет тарифов для вновь введенных в эксплуатацию магистральных газопроводов исходя из условия обеспечения окупаемости инвестиционного проекта по их строительству и эксплуатации за установленный срок

57. Расходы (как текущие, так и инвестиционного характера) на осуществление инвестиционных проектов, на основании которых рассчитываются тарифы в соответствии с настоящей главой, исключаются при расчете общего тарифа по существующей газотранспортной системе.

58. При расчете учитывается уровень доходности на вложенный капитал, определенный с использованием следующих факторов:

возможностей организации, осуществляющей регулируемые виды деятельности, по привлечению заемных средств, при оценке которых принимается во внимание текущее финансовое состояние, наличие кредитного рейтинга и т.п.;

структуры привлеченных для осуществления инвестиционного проекта средств;

уровня ставки рефинансирования Центрального банка Российской Федерации, действующей на момент принятия решения об утверждении тарифа (цены), - базового уровня доходности при инвестициях, осуществляемых в рублях;

стоимости долгосрочного заемного капитала, сложившейся на мировых финансовых рынках в отчетный период.

59. Срок окупаемости проекта определяется на основании следующих факторов:

- прогнозный срок осуществления инвестиционного проекта;

- стоимость привлекаемого для осуществления проекта капитала;

- соотношение вложенных средств и среднегодовой выручки от оказания услуг;

- среднерыночная доходность инвестиционных проектов;

- другие факторы.

В отдельных случаях по решению ФСТ России срок окупаемости проекта может приниматься в пределах срока эксплуатации объектов.

60. Одним из факторов, учитываемых при рассмотрении вопроса определения тарифов в соответствии с настоящим разделом, является подтверждение наличия спроса на услуги по транспортировке газа на предполагаемый период окупаемости проекта.

61. Ежегодная необходимая выручка субъекта регулирования определяется исходя из следующих условий:

- тарифы рассчитываются постоянными на период окупаемости инвестиционного проекта с учетом исключения влияния инфляции;

- суммарный чистый дисконтированный доход субъекта регулирования за принятый период окупаемости инвестиционного проекта, рассчитываемый по формуле, равен 0.

(27)

где:

- чистый дисконтированный доход субъекта регулирования за t-тый год оказания услуг по транспортировке;

- амортизационные отчисления по введенным в эксплуатацию объектам основных средств в магистральном транспорте газа за t-тый год оказания услуг по транспортировке;

f_t - коэффициент временного дисконтирования;

t - индекс, обозначающий порядковый номер года с момента начала оказания услуг;

q - принятый расчетный срок окупаемости инвестиционного проекта.

62. Капитальные вложения, осуществленные более чем за год до начала реализации газа, приводятся к моменту начала оказания услуг с использованием коэффициентов дисконтирования и учитываются в расчете за 1-й год оказания услуг.

63. Коэффициент временного дисконтирования, отражающий средневзвешенную стоимость капитала субъекта регулирования, вложенного в инвестиционный проект, рассчитывается по следующей формуле:

(28)

где:

f_з - стоимость заемных средств, привлеченных на долгосрочной основе для осуществления инвестиционного проекта;

И_з - сумма заемных средств, привлеченных на долгосрочной основе для осуществления инвестиционного проекта;

К_ - общая сумма инвестиций в осуществление проекта;

f_собств. - стоимость собственных средств организации;

И_собств. - сумма собственных средств субъекта регулирования, вложенных в осуществление проекта.

64. Стоимость заемных средств, привлеченных на долгосрочной основе для осуществления инвестиционного проекта, рассчитывается по следующей формуле:

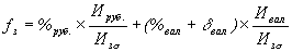
(29)

где:

%_руб. - стоимость (процентная ставка) заемных средств, привлеченных на долгосрочной основе для осуществления инвестиционного проекта, номинированных в рублях;

И_руб. - сумма заемных средств, привлеченных на долгосрочной основе для осуществления инвестиционного проекта, номинированных в рублях;

%_вал. - стоимость (процентная ставка) заемных средств, привлеченных на долгосрочной основе для осуществления инвестиционного проекта, номинированных в валюте;

_вал. - прогнозное изменение курса рубля к иностранной валюте, в которой привлекались заемные средства.

И_вал. - сумма заемных средств, привлеченных на долгосрочной основе для осуществления инвестиционного проекта, номинированных в валюте.

Если для осуществления инвестиционного проекта привлекаются несколько рублевых и/или валютных кредитов (эмитируются облигации, векселя и т.д.), то стоимость привлеченных рублевых и/или валютных заемных средств для использования в формуле 29 определяется как средневзвешенная стоимость привлеченных заемных средств.

В случае если расходы, связанные с обслуживанием привлеченных для осуществления инвестиционного проекта заемных средств (% по кредитам и т.п.), уменьшают налогооблагаемую базу, то в целях определения коэффициента временного дисконтирования стоимость таких заемных средств принимается равной 0. Аналогичный подход используется в случае учета расходов, связанных с обслуживанием на период строительства новых объектов привлеченных для осуществления инвестиционного проекта заемных средств при расчете общесистемных тарифов.

65. При определении коэффициента временного дисконтирования также проводится исключение влияния прогнозного уровня инфляции.

66. В отдельных случаях (при переменной по времени структуре капитала, переменных значениях рисков и т.д.) значение коэффициента дисконтирования может выбираться различным для разных периодов осуществления инвестиционного проекта.

67. Стоимость собственных средств субъекта регулирования, вложенных в проект, отражает доходность альтернативных направлений их инвестирования, характеризующихся той же степенью риска, что и инвестиции в оцениваемый проект (с учетом того, что степень риска по проекту с гарантированным регулируемым тарифом на оказание услуг ниже, чем среднерыночная). Ее определение проводится с учетом уровня скорректированной на темп инфляции рыночной ставки доходности по долгосрочным (не менее 2-х лет) государственным облигациям и других факторов.

68. Получение субъектом регулирования необходимой выручки может обеспечиваться через установление отдельного тарифа на вновь введенные в эксплуатацию магистральные газопроводы в соответствии с положениями раздела II настоящей методики либо через ее дополнительное включение в расчет тарифов, проводимый в соответствии с разделом IV настоящей методики. При этом при установлении двухставочных тарифов указанные средства учитываются при определении ставки за пользование для случая транспортировки газа между конкретными зонами входа и выхода, в рамках которой используются новые объекты магистрального трубопроводного транспорта.

Размер необходимой выручки, рассчитанной исходя из условия обеспечения окупаемости инвестиционного проекта, учитываемый при определении ставки за пользование для случая транспортировки газа между конкретными зонами входа и выхода, в рамках которой используются новые объекты магистрального трубопроводного транспорта, рассчитывается по следующей формуле:

(30)

где:

- необходимая выручка, рассчитанная исходя из условия обеспечения окупаемости инвестиционного проекта;

- ставка за перемещение, рассчитанная в общем порядке;

- ТТР по вновь введенным в эксплуатацию магистральным трубопроводам.

69. При необходимости дифференциация тарифов по направлениям транспортировки газа на внутренний рынок и на различные экспортные рынки осуществляется в соответствии с общими положениями настоящей методики.

70. Ежегодно производится обязательный перерасчет тарифов с учетом изменения основных прогнозных экономических показателей проекта, валютных курсов, налогового законодательства, средневзвешенной стоимости капитала и других факторов.

71. После окончания срока окупаемости инвестиционного проекта расчет тарифов производится в общем порядке.

VI. Особенности расчета тарифов

72. В случае если транспортировка газа между точками входа и выхода из системы магистральных газопроводов осуществляется в рамках одной зоны входа или выхода (случай транспортировки газа на небольшие расстояния), то стоимость транспортировки газа по ставке за пользование определяется исходя из фактического расстояния транспортировки по формуле 8.

73. В случае если зоной выхода при транспортировке газа является ПХГ, то при определении стоимости услуг по транспортировке газа до указанной зоны выхода применяются тарифы в зависимости от предполагаемого направления дальнейшей транспортировки газа из ПХГ (на внутренний рынок или на экспорт).

Если направление дальнейшей транспортировки газа после отбора газа из ПХГ по сравнению с первоначально предполагавшимся было изменено, то стоимость услуг по транспортировке рассчитывается исходя из тарифов, соответствующих окончательному направлению поставки газа. При этом происходит перерасчет ранее определенной стоимости транспортировки.

Приложение 1
к Методике расчета тарифов
на услуги по транспортировке
газа по магистральным газопроводам

МЕТОДЫ
ОТНЕСЕНИЯ РАСХОДОВ И ДОХОДОВ СУБЪЕКТА РЕГУЛИРОВАНИЯ, В ОТНОШЕНИИ КОТОРЫХ В БУХГАЛТЕРСКОМ И НАЛОГОВОМ УЧЕТЕ РАЗДЕЛЬНЫЙ УЧЕТ ПО ВИДАМ ДЕЯТЕЛЬНОСТИ НЕ ПРЕДУСМОТРЕН, НА ДЕЯТЕЛЬНОСТЬ ПО ТРАНСПОРТИРОВКЕ ГАЗА

Показатели Транспортировка газа Другие виды деятельности Метод отнесения/ разделения
В случае выделения в структуре субъекта регулирования головной компании
Расходы головной компании, относимые на себестоимость Часть расходов, относимых на себестоимость, которые невозможно отнести к определенным видам деятельности Часть расходов, относимых на себестоимость, которые невозможно отнести к определенным видам деятельности Пропорционально доле суммарных расходов газотранспортных дочерних организаций по регулируемому виду деятельности, относимых на себестоимость, в сумме общих расходов дочерних организаций, относимых на себестоимость (при этом учитываются суммарные расходы, без учета внутреннего оборота), - далее базовый подход
       
Операционные доходы и расходы субъекта регулирования Операционные доходы и расходы, возникающие при осуществлении деятельности по транспортировке газа Операционные доходы и расходы, возникающие при осуществлении других видов деятельности  
Часть операционных доходов и расходов, которые невозможно отнести к определенным видам деятельности Часть операционных доходов и расходов, которые невозможно отнести к определенным видам деятельности В соответствии с базовым подходом
В случае выделения в структуре субъекта регулирования головной компании
Операционные доходы и расходы головной компании Операционные доходы и расходы, возникающие при осуществлении деятельности по транспортировке газа Операционные доходы и расходы, возникающие при осуществлении других видов деятельности  
Часть операционных доходов и расходов, которые невозможно отнести к определенным видам деятельности Часть операционных доходов и расходов, которые невозможно отнести к определенным видам деятельности В соответствии с базовым подходом
Внереализационные доходы и расходы субъекта регулирования Внереализационные доходы и расходы, возникающие при осуществлении деятельности по транспортировке газа Внереализационные доходы и расходы, возникающие при осуществлении других видов деятельности  
Часть внереализационных доходов и расходов, которые невозможно отнести к определенным видам деятельности Часть внереализационных доходов и расходов, которые невозможно отнести к определенным видам деятельности В соответствии с базовым подходом
В случае выделения в структуре субъекта регулирования головной компании
Внереализационные доходы и расходы головной компании Прямые внереализационные доходы и расходы, возникающие при осуществлении деятельности по транспортировке газа Прямые внереализационные доходы и расходы, возникающие при осуществлении других видов деятельности  
Часть внереализационных доходов и расходов, которые невозможно отнести к определенным видам деятельности Часть внереализационных доходов и расходов, которые невозможно отнести к определенным видам деятельности В соответствии с базовым подходом
Расходы из чистой прибыли субъекта регулирования Капитальные вложения для строительства новых, реконструкции и модернизации действующих объектов в магистральном транспорте газа Капитальные вложения в другие виды деятельности  
Капитальные вложения в развитие инфраструктуры (дороги, связь и проч.) и непромышленное строительство Пропорционально удельному весу капвложений по регулируемому виду деятельности в общей сумме капвложений
Погашение основной суммы долга, привлеченного на долгосрочной основе заемного капитала для финансирования строительства новых, реконструкции и модернизации действующих объектов в магистральном транспорте газа Погашение основной суммы долга, привлеченного на долгосрочной основе заемного капитала для финансирования строительства и развития объектов в других видах деятельности  
  Погашение основной суммы долга, привлеченного на долгосрочной основе заемного капитала, для финансирования общеотраслевых нужд регулируемой организации Пропорционально удельному весу капитальных вложений в транспорте газа за последние 5 лет в общем размере инвестиционных программ субъекта регулирования с учетом уровня инфляции (изменения курса рубля к корзине валют)
Часть дивидендов Часть дивидендов Пропорционально прибыли от регулируемого вида деятельности в общей прибыли субъекта регулирования с учетом соответствующих решений органов управления организации, осуществляющей регулируемый вид деятельности
Резервный фонд (до 5% от чистой прибыли, приходящейся на долю транспорта)   До 5% от чистой прибыли, приходящейся на регулируемый вид деятельности, с учетом положений действующего законодательства

Приложение 2
к Методике расчета тарифов
на услуги по транспортировке
газа по магистральным газопроводам

МЕТОДЫ
ОТНЕСЕНИЯ НЕКОТОРЫХ РАСХОДОВ ИЗ ПРИБЫЛИ СУБЪЕКТА РЕГУЛИРОВАНИЯ ПРИ ОПРЕДЕЛЕНИИ ТАРИФОВ НА ТРАНСПОРТИРОВКУ ГАЗА НА ЭКСПОРТ В СТРАНЫ, НЕ ЯВЛЯЮЩИЕСЯ УЧАСТНИКАМИ СОГЛАШЕНИЯ О ТАМОЖЕННОМ СОЮЗЕ, И НА ДРУГИЕ РЫНКИ (В Т.Ч. ВНУТРЕННИЙ)

Показатели Тарифы на транспортировку газа на внутренний рынок и на экспорт в страны, являющиеся участниками соглашения о Таможенном союзе (внутренний тариф и рынки) Тарифы на транспортировку газа на экспорт в страны, не являющиеся участниками соглашения о Таможенном союзе (экспортный тариф и рынки) Принципы распределения расходов из прибыли
Капитальные вложения Капитальные вложения по проектам, связанным только с транспортировкой газа на внутренний рынок Капитальные вложения по проектам, связанным только с транспортировкой газа на экспорт  
Капитальные вложения по проектам, которые невозможно отнести к одному из направлений транспортировки (экспорт или вн. рынок) Пропорционально ТТР на внутренний рынок и на экспорт <1>
Средства, направляемые на обслуживание привлеченного на долгосрочной основе заемного капитала Средства, направляемые на обслуживание привлеченного на долгосрочной основе заемного капитала для финансирования проектов, связанных только с транспортировкой газа на внутренний рынок Средства, направляемые на обслуживание привлеченного на долгосрочной основе заемного капитала для финансирования проектов, связанных только с транспортировкой газа на экспорт  
Средства, направляемые на обслуживание привлеченного на долгосрочной основе заемного капитала для финансирования проектов, которые невозможно отнести к одному из направлений транспортировки (экспорт или вн. рынок) Пропорционально ТТР на внутренний рынок и на экспорт <1>
Средства, направляемые на обслуживание привлеченного на долгосрочной основе заемного капитала без четкого выделения, для финансирования каких проектов они были привлечены Пропорционально распределению суммы капитальных вложений на экспорт и на внутренний рынок

<1> С учетом перераспределения потоков газа после введения новых трубопроводов в эксплуатацию.

Приложение 3
к Методике расчета тарифов
на услуги по транспортировке
газа по магистральным газопроводам

КОЭФФИЦИЕНТЫ ДИФФЕРЕНЦИАЦИИ УДЕЛЬНОГО РАЗМЕРА СТАВКИ ЗА ПОЛЬЗОВАНИЕ

(в ред. Приказа ФСТ РФ от 02.12.2011 N 315-э/10)

Порядковый номер диапазона протяженности транспортировки Диапазоны транспортировки, км Протяженность диапазона транспортировки (l ), км г Период регулирования
с 1 июля 2012 года <*> с 1 июля 2013 года <*>
1 до 400 включительно 400 1 1
2 свыше 400 до 1000 включительно 600 0,968 - 0,955 0,963 - 0,95
3 свыше 1000 до 1800 включительно свыше 800 0,88 - 0,82 0,87 - 0,81
4 1800 до 2800 включительно 1000 0,82 - 0,72 0,75 - 0,65
5 свыше 2800   0,7 - 0,5 0,6 - 0,4

<*> Параметры коэффициентов выбираются исходя из максимально быстрого достижения единой зависимости стоимости газа с учетом стоимости транспортировки от расстояния транспортировки (расстояния от территории добычи газа до региона потребления газа) при одновременном сохранении роста размера тарифа на транспортировку газа по магистральному трубопроводу для независимых газодобываюших компаний не выше роста оптовых цен на газ, за исключением транспортировки газа на короткие расстояния (до 500 км).

Приложение 4
к Методике расчета тарифов
на услуги по транспортировке
газа по магистральным газопроводам

ОБРАЗЕЦ
ПРЕДСТАВЛЕНИЯ ДАННЫХ О ПРОТЯЖЕННОСТИ, ОБЪЕМЕ ТРАНСПОРТИРОВКИ ГАЗА МЕЖДУ ЗОНАМИ ВХОДА И ВЫХОДА И РАЗМЕРЕ СТАВКИ ЗА ПОЛЬЗОВАНИЕ

км/млн. м3/руб./1000 м3

Внутренний рынок
Наименование зон выхода Наименование зон входа
           
           
           
           
           
           
           
в страны - участницы Таможенного союза (за исключением Российской Федерации)
Наименование зон выхода Наименование зон входа
           
           
           
           
за пределы Таможенного союза
Наименование зон выхода Наименование зон входа
           
           
           
           
           

Информация представляется в матричном виде. Данные о протяженности и объеме транспортировки газа между конкретными зонами входа и выхода приводятся на пересечении соответствующих строки и столбца. В случае совпадения некоторого набора соответствующих друг другу зон входа и выхода при транспортировке газа на внутренний рынок в страны - участницы Таможенного союза (за исключением Российской Федерации) и за пределы Таможенного союза (например, транспортировка газа от месторождения до ПХГ) данные о протяженности транспортировки газа между указанными зонами входа и выхода могут быть сгруппированы.

Приложение 5
к Методике расчета тарифов
на услуги по транспортировке
газа по магистральным газопроводам

СВОДНЫЙ РАСЧЕТ ТАРИФА
НА УСЛУГИ СУБЪЕКТА РЕГУЛИРОВАНИЯ ПО ТРАНСПОРТИРОВКЕ ГАЗА ПО МАГИСТРАЛЬНЫМ ГАЗОПРОВОДАМ
НА ____ ГОД

Показатели Ед. изм. Всего на долю транспорта В том числе при поставке газа
в пределах Таможенного союза <5> за пределы Таможенного союза <5>
Объем транспортировки газа млн. м3      
Товаротранспортная работа - всего <1> млрд. м3 х км /млн. м3 х км      
Расходы, относимые на себестоимость, - всего млн. руб./ тыс. руб.      
- дочерних организаций <2> -"-      
- головной компании <2> -"-      
Налоги, относимые на финансовый результат -"-      
- дочерних организаций <2> -"-      
- головной компании <2> -"-      
Сальдо операционных доходов и расходов, всего -"-      
- дочерних организаций <2> -"-      
- головной компании <2> -"-      
Сальдо внереализационных доходов и расходов, всего -"-      
- дочерних организаций <2> -"-      
- головной компании <2> -"-      
Разница между Налогооблагаемой прибылью и Прибылью (бухг.) до налогообложения (постоянные и временные разницы) -"-      
Налогооблагаемая прибыль        
Налог на прибыль -"-      
Потребность в чистой прибыли -"-      
ИТОГО - Необходимая выручка -"-      
в т.ч. - необходимая выручка для определения ставки за пользование <4> -"-      
из нее - необходимая выручка для определения постоянной части ставки за пользование <4> -"-      
- необходимая выручка для определения ставки за перемещение <4> -"-      
Средний Тариф на услуги по транспортировке газа по магистральным газопроводам <3> руб./1000 м3; руб./1000 м3 х 100 км      
Средняя удельная ставка за пользование <4> руб./1000 м3 х 100 км      
Постоянная часть ставки за пользование <4> руб./1000 м3      
Ставка за перемещение <4> руб./1000 м3; руб./1000 м3 х 100 км      

<1> Заполняется в случае установления тарифов на 1000 м3 х 100 км, а также ставки за пользование на транспортировку газа между зонами входа и выхода.

<2> Заполняется в случае, если субъект регулирования представляет собой вертикально интегрированную группу компаний с головной компанией в ее составе.

<3> Заполняется в случае, если устанавливается одноставочный тариф на транспортировку.

<4> Заполняется в случае, если устанавливается 2-ставочный тариф на транспортировку.

<5> Заполняется в случае, если субъект регулирования осуществляет транспортировку газа на оба указанных рынка.

Приложение 6
к Методике расчета тарифов
на услуги по транспортировке
газа по магистральным газопроводам

ДАННЫЕ
ОБ ОБЪЕМАХ ТРАНСПОРТИРОВКИ ГАЗА И ТОВАРО-ТРАНСПОРТНОЙ РАБОТЕ

млрд. м3 х км/млн. м3 х км

Показатели Отчет за предыдущий год/ ожидаемые показатели за текущий период Расчетные показатели на плановый период регулирования
всего в том числе: всего в том числе:
потребителям Российской Федерации <1> в страны - участницы Таможенного Союза (за исключением Российской Федерации) <1> за пределы Таможенного Союза <1> потребителям Российской Федерации <1> в страны - участницы Таможенного Союза (за исключением Российской Федерации) <1> за пределы Таможенного Союза <1>
ТТР - всего                
в т.ч. на СНиТП                
ТТР без СНиТП                
в том числе:                
- по газу, добываемому субъектом регулирования и его аффилированными лицами                
- по газу, добываемому независимыми организациями                
- по транзитному газу                
Объем транспортировки газа - всего                
в т.ч. газ на СНиТП                
Объем транспортировки газа без учета газа без СНиТП                
в том числе:                
- объем газа, добываемый субъектом регулирования и его аффилированными лицами                
- объем газа, добываемый независимыми организациями                
из него - транзитный газ                

<1> Заполняется в случае, если субъект регулирования осуществляет транспортировку газа на различные рынки.

Приложение 7
к Методике расчета тарифов
на услуги по транспортировке
газа по магистральным газопроводам

ДАННЫЕ О ГАЗОРАСПРЕДЕЛИТЕЛЬНЫХ СТАНЦИЯХ

Показатели Ед. изм.  
Объем газа, транспортируемый через ГРС субъекта регулирования млн. м3  
в том числе:    
- через ГРС с проектной производительностью свыше 12 тыс. м3/час. -"-  
в т.ч. с загрузкой менее 10% -"-  
- через ГРС с проектной производительностью от 1,2 до 12 тыс. м3/час -"-  
в т.ч. с загрузкой менее 10% -"-  
- через ГРС с проектной производительностью до 1,2 тыс. м3/час. -"-  
в т.ч. с загрузкой менее 10% -"-  
Количество ГРС, всего ед.  
в том числе:    
- через ГРС с проектной производительностью свыше 12 тыс. м3/час. -"-  
в т.ч. с загрузкой менее 10% -"-  
- через ГРС с проектной производительностью от 1,2 до 12 тыс. м3/час. -"-  
в т.ч. с загрузкой менее 10% -"-  
- через ГРС с проектной производительностью до 1,2 тыс. м3/час. -"-  
в т.ч. с загрузкой менее 10% -"-  

Приложение 8
к Методике расчета тарифов
на услуги по транспортировке
газа по магистральным газопроводам

РАСЧЕТ
ТОВАРО-ТРАНСПОРТНОЙ РАБОТЫ ПО ГАЗУ, ИСПОЛЬЗУЕМОМУ НА СН И ТП В ТРАНСПОРТИРОВКЕ ГАЗА <1>

<1> Если субъект регулирования представляет собой вертикально интегрированную группу компаний с головной компанией в ее составе, расчет проводится отдельно по каждому газотранспортному предприятию, входящему в группу компаний.

N п/п Наименование Объем потребления газа на СНиТП на территории обслуживания газотранспортной организации, млн. м3 Расстояние транспортировки, км ТТР по газу на СНиТП, млрд. м3 х км
всего до территории, обслуживаемой газотранспортной организацией <1> по территории, обслуживаемой газотранспортной организацией <1> всего до территории, обслуживаемой газотранспортной организацией <1> по территории, обслуживаемой газотранспортной организацией <1>
1                
2                
3                
Всего              

<1> Заполняется, если субъект регулирования представляет собой вертикально интегрированную группу компаний.

Приложение 9
к Методике расчета тарифов
на услуги по транспортировке
газа по магистральным газопроводам

ЭКОНОМИЧЕСКИЕ ПОКАЗАТЕЛИ СУБЪЕКТА РЕГУЛИРОВАНИЯ В РЕГУЛИРУЕМОМ ВИДЕ ДЕЯТЕЛЬНОСТИ <1>

<1> В случае, если субъект регулирования представляет собой вертикально интегрированную группу компаний с головной компанией в ее составе, заполняется по дочерним организациям (по головной компании заполняется приложение 10).

млн. руб.

Наименование Отчет за год <1> Ожидаемые показатели за текущий период Расчетные показатели на плановый период
Выручка от услуг по транспортировке      
Расходы, относимые на себестоимость, - всего      
в том числе:      
Материальные расходы      
- электроэнергия      
- вспомогательные материалы      
- газ на собст. нужды и технопог. потери      
Расходы на оплату труда      
ЕСН      
Амортизация      
Прочие расходы <2>      
- арендная плата      
- капремонт      
- лизинговые платежи      
- налоги      
- страховые платежи      
- другие расходы      
Налоги, относимые на фин. результат <2>      
Операционные доходы и расходы <2>      
Внереализационные доходы и расходы <2>      
Разница между Налогооблагаемой прибылью и Прибылью (бухг.) до налогообложения (постоянные и временные разницы)      
Налог на прибыль      

<1> Указываются фактические данные за 2 предыдущих года.

<2> Дополнительно расшифровываются (указываются все статьи, превышающие 5% от общей суммы соответствующей сводной статьи доходов и расходов).

Приложение 10
к Методике расчета тарифов
на услуги по транспортировке
газа по магистральным газопроводам

ОТНЕСЕНИЕ УПРАВЛЕНЧЕСКИХ РАСХОДОВ, ОПЕРАЦИОННЫХ И ВНЕРЕАЛИЗАЦИОННЫХ ДОХОДОВ И РАСХОДОВ ГОЛОВНОЙ КОМПАНИИ СУБЪЕКТА РЕГУЛИРОВАНИЯ НА ДЕЯТЕЛЬНОСТЬ ПО ТРАНСПОРТИРОВКЕ ГАЗА
В ____ Г.

млн. руб.

Показатели Расходы субъекта регулирования Всего на долю транспорта <3> Учтено в составе арендной платы дочерних газотранспортных организаций Итого - для включения в тариф В том числе при поставках газа
в пределах Таможенного союза <4> за пределы Таможенного союза <4>
1 2 3 4 5 6 7
Раздел 1 <1>            
Суммарные расходы субъекта регулирования, относимые на себестоимость, за вычетом расходов головной компании            
в том числе:            
- добыча и переработка газа (в т.ч. добыча газа, расходуемого на СНиТП в транспорте)            
- добыча, переработка и транспортировка углеводородного сырья            
- хранение газа            
- транспортировка газа            
- расходы по другим видам деятельности            
Удельный вес расходов по транспортировке газа в сумме расходов субъекта регулирования по основным видам деятельности К1          
Раздел 2            
Расходы головной компании субъекта регулирования (общесистемные)            
Расходы, относящиеся на себестоимость            
Материальные расходы            
Расходы на оплату труда            
ЕСН            
Амортизация            
Прочие расходы <2>            
Налоги, относимые на фин. результат <2>            
Операционные доходы и расходы <2>            
Внереализационные доходы и расходы <2>            

<1> По разделу 1 заполняется только 2 столбец.

<2> Дополнительно расшифровываются (указываются все статьи, превышающие 5% от общей суммы соответствующей сводной статьи доходов и расходов).

<3> Расходы головной компании, которые невозможно отнести к определенным видам деятельности, относятся на транспортировку газа пропорционально К1.

<4> Заполняется в случае, если субъект регулирования осуществляет транспортировку газа на различные рынки.

Приложение 11
к Методике расчета тарифов
на услуги по транспортировке
газа по магистральным газопроводам

РАСЧЕТ
ЦЕНЫ ГАЗА СОБСТВЕННОЙ ДОБЫЧИ, ИСПОЛЬЗУЕМОГО НА СН И ТП В ТРАНСПОРТЕ ГАЗА <1>

<1> Приложение заполняется в случае, если на СН и ТП в транспорте газа используется газ собственной добычи субъекта регулирования.

Показатели Ед. изм.  
Объем добычи газа (товарная добыча) - всего млрд. м3/ млн. м3  
Расходы, относящиеся на себестоимость, - всего млн. руб  
- расходы дочерних предприятий <1> -"-  
- расходы головной компании <1> -"-  
Сальдо операционных доходов и расходов -"-  
- дочерних предприятий <1> -"-  
- головной компании <1> -"-  
Сальдо внереализационных доходов и расходов -"-  
- дочерних предприятий <1> -"-  
- головной компании <1> -"-  
Разница между Налогооблагаемой прибылью и Прибылью (бухг.) до налогообложения (постоянные и временные разницы) -"-  
Налог на прибыль -"-  
Чистая прибыль -"-  
Потребность в расходах за счет всех источников финансирования (включая чистую прибыль), всего -"-  
- инвестиции -"-  
- средства на погашение заемных средств, привлеченных на долгосрочной основе -"-  
- резервный фонд -"-  
- дивиденды -"-  
Источники финансирования (кроме чистой прибыли), всего -"-  
- амортизация -"-  
в т.ч. - амортизация головной компании <1>    
- амортизация дочерних организаций <1> -"-  
- возмещение НДС по введенным в эксплуатацию объектам строительства -"-  
- долгосрочные заимствования -"-  
ИТОГО - Необходимая выручка -"-  
Расчетная цена газа руб./тыс. м3  

<1> Заполняется в случае, если субъект регулирования представляет собой вертикально интегрированную группу компаний с головной компанией в ее составе.

Приложение 12
к Методике расчета тарифов
на услуги по транспортировке
газа по магистральным газопроводам

РАСЧЕТ
РАЗМЕРА АРЕНДНОЙ ПЛАТЫ ЗА АРЕНДУЕМЫЕ ОСНОВНЫЕ СРЕДСТВА <1>

<1> Заполняется в случае, если дочерние организации арендуют основные средства, используемые в транспорте газа, у головной организации.

млн. руб.

Показатели Всего по газотранспортным организациям Из нее на деятельность по транспортировке газа
Арендная плата за основные средства, арендуемые у головной компании, всего    
в том числе: Расходы арендодателя, относимые на себестоимость, - всего    
- амортизация    
- страховые платежи    
- прочие расходы    
Налог на имущество    
Операционные и внереализационные расходы    
Налог на прибыль    
Чистая прибыль арендодателя    

Приложение 13
к Методике расчета тарифов
на услуги по транспортировке
газа по магистральным газопроводам

ОТНЕСЕНИЕ ИНВЕСТИЦИЙ НА ДОЛЮ МАГИСТРАЛЬНОГО ТРАНСПОРТА ГАЗА И НА РАЗЛИЧНЫЕ РЫНКИ ПОСТАВКИ ГАЗА ДЛЯ РАСЧЕТА ТАРИФОВ НА ТРАНСПОРТИРОВКУ ГАЗА <1>

<1> Заполняется в случае, если субъект регулирования осуществляет транспортировку газа на различные рынки.

Наименование Всего На долю магистрального транспорта газа В том числе
в пределах Таможенного союза за пределы Таможенного союза
Инвестиционная программа - всего        
в том числе:        
- по головной компании        
в т.ч. по отдельным направлениям работ и проектам <1>        
- по дочерним обществам        
в т.ч. по отдельным направлениям работ и проектам <1>        

<1> Указываются проекты, инвестиции в которые превышают 10% от общей суммы инвестиционной программы, а также проекты, распределение которых по различным рынкам производится непропорционально ТТР.

В отношении расходов, распределение которых по различным рынкам производится непропорционально ТТР, приводится обоснование такого распределения.

Приложение 14
к Методике расчета тарифов
на услуги по транспортировке
газа по магистральным газопроводам

ОТНЕСЕНИЕ СРЕДСТВ НА ПОГАШЕНИЕ КРЕДИТОВ И ВЫПЛАТЫ ПРОЦЕНТОВ В ____ Г. НА ДЕЯТЕЛЬНОСТЬ ПО ТРАНСПОРТИРОВКЕ ГАЗА СУБЪЕКТА РЕГУЛИРОВАНИЯ, МЛН. РУБ.

Показатели Всего по субъекту регулирования Всего на долю транспорта <2> В том числе при поставке газа
в пределах Таможенного союза <3> за пределы Таможенного союза <3>
1 2 3 4 5
Раздел 1 <1>        
Сумма инвестиционных программ субъекта регулирования за 5 лет с учетом уровня инфляции (изменения курса рубля к корзине валют)        
Сумма инвестиционных программ субъекта регулирования в транспорте газа за 5 лет с учетом уровня инфляции (изменения курса рубля к корзине валют)        
Коэффициент для отнесения средств на погашение долгосрочных кредитов и процентов по ним на долю магистрального транспорта газа К2      
Раздел 2        
Обязательства субъекта регулирования по погашению кредитов и облигаций (основной долг):        
- выплаты по действующим долгосрочным кредитам        
- облигационные займы        
- выплаты по вновь привлекаемым долгосрочным кредитам        
Обязательства субъекта регулирования по погашению кредитов и облигаций (проценты и купонных выплаты):        
- проценты по долгосрочным кредитам        
- купонные выплаты по облигационным займам        
- проценты по краткосрочным кредитам        
- проценты по вновь привлекаемым долгосрочным кредитам        
- проценты по вновь привлекаемым облигационным займам        
- проценты по вновь привлекаемым краткосрочным кредитам        
- прочие        

Приложение 15
к Методике расчета тарифов
на услуги по транспортировке
газа по магистральным газопроводам

РАСЧЕТ
НЕОБХОДИМОЙ СУММЫ ЧИСТОЙ ПРИБЫЛИ СУБЪЕКТА РЕГУЛИРОВАНИЯ В ТРАНСПОРТЕ ГАЗА ПО МАГИСТРАЛЬНЫМ ГАЗОПРОВОДАМ

млн. руб.

Показатели Всего на долю транспорта В том числе при поставке газа
в пределах Таможенного союза <3> за пределы Таможенного союза <3>
Потребность в расходах за счет всех источников финансирования (включая чистую прибыль), всего      
- инвестиции      
- средства на погашение заемных средств, привлеченных на долгосрочной основе      
- резервный фонд      
- дивиденды      
Источники финансирования (кроме чистой прибыли), всего      
- амортизация      
в т.ч.      
- амортизация головной компании <1>      
- амортизация дочерних организаций <1>      
- возмещение НДС по введенным в эксплуатацию объектам строительства      
- долгосрочные заимствования      
Потребность в расходах за счет чистой прибыли      

<1> Заполняется в случае, если субъект регулирования представляет собой вертикально интегрированную группу компаний с головной компанией в ее составе.

<2> Статьи дополнительно расшифровываются.

<3> Заполняется в случае, если субъект регулирования осуществляет транспортировку газа на оба указанных рынка.