Огнезащитные кабельные покрытия. Общие технические требования и методы испытаний. НПБ 238-97

(утв. приказом МВД РФ от 30.06.97 N 42)
Редакция от 02.10.2001 — Документ утратил силу, см. «Постановление Правительства РФ от 11.07.2020 N 1034»

НОРМЫ ПОЖАРНОЙ БЕЗОПАСНОСТИ

ОГНЕЗАЩИТНЫЕ КАБЕЛЬНЫЕ ПОКРЫТИЯ. ОБЩИЕ ТЕХНИЧЕСКИЕ ТРЕБОВАНИЯ И МЕТОДЫ ИСПЫТАНИЙ

Fire retardant cables coatings. General technical requiments and test methods

НПБ 238-97

(в ред. Изменения N 1)

Дата введения 1 сентября 1997 г.

Введены в действие приказом ГУГПС МВД РФ от 30 июня 1997 г. N 42

1. Область применения

1.1. Настоящие нормы содержат положения, регламентирующие общие технические требования и методы испытаний огнезащитных кабельных покрытий (ОКП), применяемых для снижения пожарной опасности кабельных линий, выполненных силовыми (кроме маслонаполненных), контрольными и кабелями связи, прокладываемыми в кабельных сооружениях, а также по строительным конструкциям зданий.

1.2. Регламентируемые нормами методы применяются в сертификационных целях, а также для сравнительной оценки эффективности ОКП в определенных контролируемых условиях испытаний.

1.3. Положения настоящих норм обязательны к применению при разработке и изготовлении ОКП предприятиями, организациями, юридическими и физическими лицами независимо от форм собственности и ведомственной подчиненности.

ОКП, ввозимые по импорту, должны иметь сертификат соответствия в Системе сертификации ГОСТ Р.

2. Нормативные ссылки

В настоящих нормах использованы ссылки на следующие стандарты:

ГОСТ 12.1.044-89. Пожаровзрывоопасность веществ и материалов. Номенклатура показателей и методы их определения;

ГОСТ 12176-89. Кабели, провода и шнуры. Методы проверки на нераспространение горения;

ГОСТ 15140-78. Материалы лакокрасочные. Методы определения адгезии.

НПБ 248-97. Кабели и провода электрические. Показатели пожарной опасности. Методы испытаний. (в ред. Изменения N 1)

3. Общие технические требования

3.1. Сопроводительная документация (ТУ, технологические регламенты и др.) на ОКП, поступающая на испытания, должна включать в себя сведения о материале наружных кабельных оболочек и защитных шлангов (поливинилхлорид, резина, полиэтилен), для которых данное покрытие разработано. (в ред. Изменения N 1)

3.2. Подготовленные к испытаниям образцы кабелей с нанесенным ОКП должны иметь установленную в технических условиях (ТУ) толщину покрытия. Поверхность покрытия должна быть ровной, без видимых дефектов.

3.3. Нанесенные на кабели ОКП должны сохранять огнезащитные свойства в течение всего, указанного в технических условиях гарантированного срока эксплуатации <1>.

<1> Соответствие требованию проверяют испытанием, методику которого, при необходимости, приводят в технических условиях на конкретный вид покрытия.

3.4. Огнезащитные кабельные покрытия, применяемые во влажных средах, в помещениях с агрессивными средами и пожароопасными жидкостями, должны обладать соответствующей стойкостью к воздействию влаги и обращающихся веществ <*>.

3.5. ОКП должны обладать адгезией к материалам оболочек кабелей и не оказывать агрессивного воздействия на их наружные покровы <*>.

3.6. ОКП должны обладать малой дымообразующей способностью (коэффициент дымообразования до 50 м2/кг включ.) и быть малоопасными по показателю токсичности (по ГОСТ 12.1.044).

3.7. Огнезащитная эффективность ОКП должна проверяться на образцах кабелей, имеющих в соответствии с требованиями настоящих норм (п. 3.1) один из кодов показателя предела распространения горения (далее - ПРГП) по НПБ 248-97.

Огнезащитные покрытия, которые применяют для защиты кабелей, имеющих код показателя предела распространения горения ПРГП2 или ПРГП4, отвечают требованиям настоящих норм, если в результате испытаний:

а) длина поврежденной пламенем или обугленной части кабельной прокладки не превышает 1,5 м;

б) коэффициент снижения допустимого длительного тока нагрузки для кабеля - не менее 0,98;

в) на поверхности ОКП отсутствуют трещины, сколы, потеки. (в ред. Изменения N 1)

3.8. ОКП должны подвергаться квалификационным, приемо-сдаточным, периодическим и типовым испытаниям.

Программа и последовательность квалификационных и приемо-сдаточных испытаний указаны в таблице 1, периодических - в таблице 2.

Таблица 1

Наименование испытаний и проверок Обозначение нормативного документа и номер пункта <*>
Технические требования Метод испытаний
Идентификация 3.1 4.1
Проверка качества и толщины покрытия 3.2 4.2
Допустимый длительный ток нагрузки 3.7 4.3
Предел распространения горения 3.7 4.4
Сохранение огнезащитных свойств (допустимый срок эксплуатации) 3.3 ТУ
Адгезия 3.5,ТУ ГОСТ 15140, ТУ
Стойкость к воздействию окружающей среды 3.4,ТУ ТУ
Токсичность 3.6 ГОСТ 12.1.044
Дымообразующая способность 3.6 ГОСТ 12.1.044
Проверка агрессивности воздействия на наружные покровы кабелей 3.5 ТУ
Термическая стойкость 3.7 4.5

<*> Указаны пункты разделов 3; 4 настоящего документа.

Таблица 2

Наименование испытаний и проверок Номер пункта разделов настоящего документа
Технические требования Метод испытаний
Идентификация 3.1 4.1
Проверка качества и толщины покрытия 3.2 4.2
Допустимый длительный ток нагрузки 3.7 4.3
Предел распространения горения 3.7 4.4
Термическая стойкость 3.7 4.5

Типовые испытания ОКП проводятся при изменении рецептуры и технологии изготовления огнезащитных составов. Программа этих испытаний устанавливается в технических условиях в зависимости от характера внесенных изменений.

3.9. Объем сертификационных испытаний и испытаний на пожарную опасность определяется заказчиком из таблиц 1 и 2.

Минимальный объем испытаний для выдачи сертификата пожарной безопасности - в соответствии с таблицей 2.

4. Методы испытаний

4.1. Идентификация

4.1.1. Идентификация осуществляется:

а) для проверки соответствия поступающих на испытания огнезащитных покрытий требованиям сопроводительной документации (входной контроль);

б) для установления идентичности ОКП, использованных на объекте и прошедших сертификационные испытания (при сдаче объекта в эксплуатацию, при реконструкции кабельных линий и т.п.);

Пункт "в" - Исключен. (в ред. Изменения N 1)

Пункты 4.1.2, 4.1.3 и подпункты 4.1.3.1 - 4.1.3.6 - Исключены. (в ред. Изменения N 1)

4.2. Метод проверки качества и толщины покрытия (в ред. Изменения N 1)

Толщину и качество огнезащитного слоя покрытия контролируют при подготовке образцов кабелей с ОКП к испытаниям и при выполнении контрольных и надзорных функций на кабельных линиях реальных объектов. (в ред. Изменения N 1)

4.2.1. Аппаратура

Для измерения применяется штангенциркуль с ценой деления не менее 0,1 мм, диапазоном измерения 0 +- 125 мм.

4.2.2. Подготовка образцов

Толщину покрытия измеряют на образцах, представленных и подготовленных согласно методикам на соответствующие виды испытания или на реальных линиях при контроле выполнения работ по нанесению ОКП.

4.2.3. Проведение измерений толщины покрытия

4.2.3.1. Перед нанесением ОКП на экспериментальный образец определяется диаметр кабеля штангенциркулем в двух зонах, выбранных случайно, равномерно распределенных по длине образца.

В каждой зоне необходимо проводить измерение в трех точках, равномерно расположенных по окружности образца.

За величину диаметра кабеля принимается среднеарифметическое значение результатов шести измерений.

На кабельной линии реального объекта с нанесением ОКП внешний диаметр определяют в пяти выбранных случайно и равномерно зонах по длине образцов по три точки измерения в каждой. Диаметр кабеля определяется по нормативно-техническому документу на данную марку кабеля.

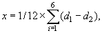
4.2.3.2. Толщина ОКП определяется разницей среднеарифметических значений диаметров кабеля с ОКП (d_1) и без ОКП (d_2):

- для ОКП, нанесенных на экспериментальный образец:

(1)

где

х - среднеарифметическое значение толщины покрытия, мм;

d_1 - диаметр кабеля с ОКП, мм;

d_2 - диаметр кабеля, мм;

- для кабельных линий реальных объектов с нанесением ОКП:

(2)

4.2.4. Оценка результатов

Полученное при испытаниях среднеарифметическое значение толщины покрытия не должно отличаться от толщины покрытия, указанной в технических условиях более чем на 10%.

4.2.5. Требования безопасности.

Рабочее место оператора должно удовлетворять требованиям электробезопасности по ГОСТ 12.1.019 и санитарно-гигиеническим требованиям по ГОСТ 12.1.005.

4.2.6. Проверка качества покрытия кабеля огнезащитными составами осуществляется визуально после нанесения ОКП и его высыхания.

Качество покрытия отвечает требованиям настоящих норм, если на поверхности кабеля отсутствуют непрокрашенные места, а само покрытие не имеет потеков, локальных утолщений (бугорков), вздутий, трещин и отслоений. (в ред. Изменения N 1)

4.3. Метод определения коэффициента снижения допустимых длительных токов нагрузки для кабелей с нанесенным ОКП

4.3.1. Аппаратура:

- прибор для регистрации температур, диапазон измерения от 0 до 300°C, класс точности не более 0,15; (в ред. Изменения N 1)

- термоэлектрический преобразователь с пределами измерения от 0 до 300°С, диаметр электродов - не более 0,5 мм (ГОСТ 6616);

- источник электрического тока, позволяющий устанавливать ток в пределах от 0 до 300 А, погрешность установки и поддерживания режима - не более +- 1 А;

- измерительный комплект с трансформатором тока, диапазон измерения от 0 до 600 А, класс точности - не более 0,5.

4.3.2. Подготовка образцов

Отрезок кабеля с сечением алюминиевых токопроводящих жил не более 25 мм2, длиной 3,1 +- 0,1 м на расстоянии 50 +- 5 мм от концов очищают от изоляции для подключения к источнику электропитания.

Рисунок 1 - Размещение термоэлектрических преобразователей

Жилы кабеля соединяются последовательно. На жилу закрепляются шесть термопар в точках, указанных на рисунке 1.

На участке 1,0 +- 0,1 м, отступив от конца образца 0,2 +-0,1 м, на кабель наносится ОКП в соответствии с нормативно-техническим документом.

4.3.3. Условия проведения испытания:

- температура окружающей среды - от 10 до 30°С;

- относительная влажность воздуха - от 40 до 80%;

- атмосферное давление - от 84 до 106 кПа.

4.3.4. Проведение испытания

4.3.4.1. Регулируя ток источника питания, определяют значение тока (I_1), при котором показания прибора, регистрирующего температуру в точках 1, 2, 3, составляют 65 +- 3°С в течение 60 мин. (в ред. Изменения N 1)

4.3.4.2. Аналогично 4.3.4.1 определяется значение тока I_2, при котором показания прибора, регистрирующего температуру в точках 4, 5, 6, составляют 65 +- 3°С в течение 60 мин. (в ред. Изменения N 1)

4.3.5. Оценка результатов

4.3.5.1. Коэффициент снижения допустимых длительных токов нагрузки определяют по формуле

к = I_2 /I_1, (3)

(в ред. Изменения N 1)

4.3.5.2. Покрытие считается отвечающим требованиям настоящей методики, если коэффициент снижения допустимых длительных токов нагрузки не менее 0,98.

4.4. Метод определения предела распространения горения кабелей с ОКП

Оценивается способность ОКП препятствовать распространению горения вдоль кабельного пучка, выполненного кабелями, заведомо распространяющими горение.

4.4.1. Аппаратура

Экспериментальная установка, температурный режим испытаний и регистрирующие параметры - по ГОСТ 12176, ч. 3.

4.4.2. Подготовка образцов

4.4.2.1. Длина отрезков кабелей и их количество - в соответствии с категорией А по ГОСТ 12176, ч. 3.

4.4.2.2. Нанесение ОКП на кабели и его сушка осуществляются в соответствии с техническими условиями на покрытие.

4.4.3. Проведение испытаний

Выполняется по ГОСТ 12176, ч. 3.

4.4.4. Оценка результатов

Огнезащитная эффективность ОКП в части нераспространения горения считается отвечающей требованиям настоящей методики, если длина поврежденной пламенем или обугленной части зачищенной ОКП кабельной прокладки (предел распространения горения) не превышает 1,5 м.

4.5. Метод определения термической стойкости ОКП

4.5.1. Аппаратура.

Установка включает в себя термокамеру с диапазоном регулируемых температур от 20 до 200°C, погрешность поддержания температуры +-5°C (в ред. Изменения N 1)

4.5.2. Подготовка образцов

Образец представляет собой отрезок кабеля длиной (200 +-5) мм, диаметром (35 - 60) мм с нанесенным покрытием реальной толщины. Длительность сушки определяется в соответствии с ТУ на покрытие. (в ред. Изменения N 1)

Абзац - Исключен. (в ред. Изменения N 1)

4.5.3. Условия проведения испытаний:

- относительная влажность - от 40 до 80%;

- температура в камере поддерживается 150 +- 5°С. (в ред. Изменения N 1)

Абзац - Исключен. (в ред. Изменения N 1)

4.5.4. Проведение испытаний

Образец помещают в термокамеру и термостатируют при температуре (150 +- 5)°C в течение 120 мин (в ред. Изменения N 1)

Абзац - Исключен. (в ред. Изменения N 1)

4.5.5. Оценка результатов.

Образец считается выдержавшим испытание в случае отсутствия на поверхности ОКП трещин, сколов, потеков, определяемых визуально. (в ред. Изменения N 1)

4.5.6. Требования безопасности

4.5.6.1. При проведении работ на установке следует соблюдать требования следующих документов:

- Правил технической эксплуатации электроустановок потребителей (5-е изд.) и Правил техники безопасности при эксплуатации электроустановок потребителей (4-е изд.) (утверждены Главгосэнергонадзором России);

- Основных правил безопасности работы в химической лаборатории (утверждены Госкомитетом Совета Министров СССР по химии).

4.5.6.2. Заземление внутри помещения, где эксплуатируется установка. должно соответствовать требованиям Правил устройства электроустановок.

4.5.6.3. Помещение, где эксплуатируется установка, должно соответствовать санитарно-гигиеническим требованиям ГОСТ 12.1.005.0.

ПРИЛОЖЕНИЕ. - Исключено. (в ред. Изменения N 1)