Приказ ФСФР РФ от 24.08.2006 N 06-95/ПЗ-Н

"О порядке оказания услуг, способствующих заключению срочных договоров (контрактов), а также особенностях осуществления клиринга срочных договоров (контрактов)"
Редакция от 10.11.2009 — Документ утратил силу, см. «Приказ ФСФР РФ от 16.07.2013 N 13-58/ПЗ-Н»
Показать изменения

Зарегистрировано в Минюсте РФ 15 сентября 2006 г. N 8300


ФЕДЕРАЛЬНАЯ СЛУЖБА ПО ФИНАНСОВЫМ РЫНКАМ

ПРИКАЗ
от 24 августа 2006 г. N 06-95/пз-н

О ПОРЯДКЕ ОКАЗАНИЯ УСЛУГ, СПОСОБСТВУЮЩИХ ЗАКЛЮЧЕНИЮ СРОЧНЫХ ДОГОВОРОВ (КОНТРАКТОВ), А ТАКЖЕ ОСОБЕННОСТЯХ ОСУЩЕСТВЛЕНИЯ КЛИРИНГА СРОЧНЫХ ДОГОВОРОВ (КОНТРАКТОВ)

(в ред. Приказов ФСФР РФ от 29.03.2007 N 07-33/пз-н, от 10.11.2009 N 09-45/пз-н)

В соответствии с пунктами 3, 4 и 13 статьи 42 Федерального закона от 22.04.96 N 39-ФЗ "О рынке ценных бумаг" (Собрание законодательства Российской Федерации, 1996, N 17, ст. 1918; 1998, N 48, ст. 5857; 1999, N 28, ст. 3472; 2001, N 33, ст. 3424; 2002, N 52, ст. 5141; 2004, N 27, ст. 2711; N 31, ст. 3225; 2005, N 11, ст. 900; N 25, ст. 2426; 2006, N 1, ст. 5; N 2, ст. 172; N 17, ст. 1780; N 31, ст. 3437) и Положением о Федеральной службе по финансовым рынкам, утвержденным Постановлением Правительства Российской Федерации от 30.06.2004 N 317 (Собрание законодательства Российской Федерации, 2004, N 27, ст. 2780; 2005, N 33, ст. 3429; 2006, N 13, ст. 1400), приказываю:

1. Утвердить прилагаемое Положение о порядке оказания услуг, способствующих заключению срочных договоров (контрактов), а также особенностях осуществления клиринга срочных договоров (контрактов), далее - Положение.

2. Установить, что фондовые биржи, а также клиринговые организации, осуществляющие клиринг срочных договоров (контрактов), в течение 90 дней с момента вступления в силу Положения должны привести свою деятельность в соответствие с его требованиями.

Руководитель
О.В.ВЬЮГИН

УТВЕРЖДЕНО
Приказом Федеральной службы
по финансовым рынкам
от 24 августа 2006 г. N 06-95/пз-н

ПОЛОЖЕНИЕ
О ПОРЯДКЕ ОКАЗАНИЯ УСЛУГ, СПОСОБСТВУЮЩИХ ЗАКЛЮЧЕНИЮ СРОЧНЫХ ДОГОВОРОВ (КОНТРАКТОВ), А ТАКЖЕ ОСОБЕННОСТЯХ ОСУЩЕСТВЛЕНИЯ КЛИРИНГА СРОЧНЫХ ДОГОВОРОВ (КОНТРАКТОВ)

(в ред. Приказа ФСФР РФ от 29.03.2007 N 07-33/пз-н)

I. Общие положения

1.1. Настоящее Положение определяет требования к условиям оказания услуг, способствующих совершению сделок, исполнение обязательств по которым зависит от изменения цен на ценные бумаги, от изменения значений индексов, рассчитываемых на основании совокупности цен на ценные бумаги (фондовых индексов), в том числе сделок, предусматривающих исключительно обязанность сторон уплачивать (уплатить) денежные суммы в зависимости от изменения цен на ценные бумаги или от изменения значений фондовых индексов (далее - срочные сделки/срочные договоры (контракты)), а также требования к осуществлению клиринга таких договоров (контрактов).

1.2. Оказание услуг, способствующих заключению срочных договоров (контрактов), могут осуществлять только юридические лица, имеющие лицензию фондовой биржи (далее - биржа).

1.3. К отношениям, связанным с организацией торгов, на которых заключаются срочные договоры (контракты), применяются правила, установленные нормативным правовым актом ФСФР России, регулирующим порядок осуществления деятельности по организации торговли на рынке ценных бумаг (далее - Положение о деятельности по организации торговли), если иные правила, регулирующие такие отношения, не установлены настоящим Положением.

1.4. Фондовая биржа должна иметь органы управления, а также биржевой совет, соответствующие требованиям, установленным Положением о деятельности по организации торговли.

Биржа обязана осуществлять раскрытие информации, а также хранение и защиту информации в соответствии с требованиями Положения о деятельности по организации торговли, если такие требования не противоречат настоящему Положению.

1.5. К отношениям, связанным с проведением клиринга срочных договоров (контрактов), применяются требования Положения о клиринговой деятельности на рынке ценных бумаг Российской Федерации, утвержденного Постановлением ФКЦБ России от 14.08.2002 N 32/пс (зарегистрировано в Министерстве юстиции Российской Федерации 26.09.2002, регистрационный N 3816) (далее - Положение о клиринговой деятельности), если иные правила, регулирующие такие отношения, не установлены настоящим Положением.

II. Требования к срочным договорам (контрактам), заключаемым на торгах, организуемых биржей

2.1. Ценные бумаги и фондовые индексы, в зависимости от изменения цен на которые (значений которых) осуществляется исполнение обязательств по срочным договорам (контрактам), далее вместе именуются базовым активом.

2.2. Эмиссионные ценные бумаги могут быть базовым активом срочных договоров (контрактов), если:

ценные бумаги включены в список ценных бумаг, допущенных к торгам (далее - Список), хотя бы одного организатора торговли;

среднемесячный объем сделок с такими ценными бумагами, рассчитанный по итогам торгов на всех организаторов торговли Российской Федерации за последние 3 месяца, составлял не менее 250 млн. рублей;

для расчетных фьючерсных договоров (контрактов) и расчетных опционных (договоров) контрактов, базовым активом которых являются акции, - капитализация акций составляет не менее 25 млрд. рублей;

для расчетных фьючерсных договоров (контрактов) и расчетных опционных (договоров) контрактов, базовым активом которых являются облигации, - объем выпуска составляет не менее 3 млрд. рублей.

2.3. Эмиссионные ценные бумаги, не соответствующие требованиям пункта 2.2 настоящего Положения, могут быть базовым активом срочных договоров (контрактов), размер обязательств по которым ставится в зависимость от цены размещения таких ценных бумаг, в случае, если соответствующие ценные бумаги размещаются на торгах организатора торговли Российской Федерации и предполагаемый объем размещения таких ценных бумаг составляет не менее 5 млрд. рублей.

В случаях, предусмотренных абзацем первым настоящего пункта, регистрация спецификаций соответствующих срочных договоров (контрактов) может быть осуществлена одновременно с регистрацией выпуска эмиссионных ценных бумаг, являющихся базовым активом таких срочных договоров (контрактов).

2.4. Базовым активом срочного договора (контракта) может быть два и более вида (типа) эмиссионных ценных бумаг одного или нескольких эмитентов (далее - пакет ценных бумаг), если каждая ценная бумага, входящая в пакет ценных бумаг, соответствует требованиям настоящего Положения.

2.5. Фондовые индексы могут быть базовым активом срочных договоров (контрактов), если они отвечают следующим требованиям:

в качестве исходных данных для расчета фондового индекса используются цены или доходность ценных бумаг;

количество ценных бумаг (активов), информация о рыночной стоимости (или доходности) которых используется при расчете фондового индекса, составляет не менее 10;

доля каждой ценной бумаги (актива), информация о рыночной стоимости (или доходности) которой используется при расчете фондового индекса, не превышает 25%.

Требование, предусмотренные абзацами третьим и четвертым настоящего пункта, не распространяются на фондовый индекс, являющийся базовым активом срочных договоров (контрактов), если в качестве исходных данных для его расчета используется разница цен на ценные бумаги.

2.6. Базовым активом срочных договоров (контрактов), заключаемых на биржевых торгах, помимо эмиссионных ценных бумаг могут быть:

простые складские свидетельства, удостоверяющие право на биржевой товар;

двойные складские свидетельства, удостоверяющие право на биржевой товар, или залоговые свидетельства.

2.7. Базовым активом своп договоров (контрактов) и опционных договоров (контрактов), помимо предусмотренных пунктами 2.2 - 2.6 настоящего Положения, могут быть также фьючерсные договоры (контракты).

2.8. Биржа обязана осуществлять контроль за соответствием базовых активов срочных договоров (контрактов) требованиям настоящего Положения, а также правилам биржи. При этом биржа осуществляет расчет капитализации акций, являющихся базовым активом срочных договоров (контрактов), а также расчет среднемесячного объема торгов ценными бумагами в случае допуска срочного договора (контракта) к торгам, в том числе после допуска соответствующего срочного договора (контракта) к торгам не реже чем один раз в квартал.

В случае принятия решения о реорганизации или ликвидации эмитента ценных бумаг, являющихся базовым активом срочного договора (контракта), уменьшении или увеличении номинальной стоимости ценных бумаг, являющихся базовым активом срочного договора (контракта), консолидации или дроблении ценных бумаг, являющихся базовым активом срочного договора (контракта), биржа обязана определить порядок заключения соответствующих срочных договоров (контрактов), а также порядок прекращения обязательств по таким срочным договорам (контрактам) в связи с решением, принятым эмитентом. Порядок заключения срочных договоров (контрактов), а также прекращения обязательств по таким срочным договорам (контрактам) должны быть доведены биржей до участников торгов, на которых заключаются срочные договоры (контракты), посредством раскрытия соответствующей информации на сайте биржи в сети Интернет в течение 3 (трех) рабочих дней с даты принятия биржей соответствующего решения.

2.9. Заключение срочных договоров (контрактов) на бирже осуществляется при условии регистрации биржей в федеральном органе исполнительной власти в сфере финансовых рынков документа, который в соответствии с требованиями настоящего Положения устанавливает стандартные условия таких договоров (контрактов), по тексту именуется - спецификация.

2.10. Спецификацией срочного договора (контракта) может быть предусмотрено, что стороны срочного договора (контракта) обязаны уплачивать друг другу денежные средства в сумме, размер которой зависит от изменения цен на базовый актив или значений базового актива (далее - вариационная маржа).

2.11. Вариационная маржа рассчитывается биржей (клиринговым центром) на основании котировальных цен по единым правилам для срочных договоров (контрактов), заключенных на условиях одной спецификации, в соответствии с порядком, установленным спецификацией.

2.12. Биржа осуществляет расчет/определение котировальных цен срочных договоров (контрактов) в соответствии с требованиями правил биржи и спецификации.

Биржа осуществляет расчет/определение котировальных цен по единым правилам для срочных договоров (контрактов), заключенных на условиях одной спецификации.

2.13. На биржевых торгах могут заключаться следующие виды срочных договоров (контрактов).

2.13.1. Срочные договоры (контракты), предусматривающие обязанность сторон: уплачивать вариационную маржу; осуществить соответственно оплату/поставку базового актива, установленного спецификацией срочного договора (контракта), в определенную дату в будущем (далее - поставочные фьючерсные договоры (контракты)).

2.13.2. Срочные договоры (контракты), предусматривающие исключительно обязанность обеих сторон уплачивать вариационную маржу (далее - расчетные фьючерсные договоры (контракты)).

Поставочные фьючерсные договоры (контракты) и расчетные фьючерсные договоры (контракты) далее вместе именуются фьючерсные договоры (контракты).

2.13.3. Срочные договоры (контракты), предусматривающие: обязанность одной из сторон (лица, обязанного по опционному договору (контракту)) поставить (в случае заключения контракта на покупку) или оплатить (в случае заключения контракта на продажу) другой стороне (лицу, управомоченному по опционному договору (контракту) базовый актив, установленный спецификацией опционного договора (контракта), по требованию последнего, заявленному в определенный период или в определенную дату в будущем, по цене и на иных условиях, определенных при заключении опционного договора (контракта); обязанность лица, управомоченного по опционному договору (контракту), уплатить лицу, обязанному по опционному договору (контракту), денежные средства в счет приобретаемого права требовать исполнения последним обязанности по поставке или оплате базового актива, или обязанность обеих сторон опционного договора (контракта) уплачивать вариационную маржу (далее - поставочные опционные договоры (контракты)).

2.13.4. Срочные договоры (контракты), предусматривающие: обязанность одной из сторон (лица, обязанного по опционному договору (контракту)) уплатить на условиях, определенных при заключении договора (контракта), другой стороне (лицу, управомоченному по опционному договору (контракту)) по его требованию, заявленному в определенный период или в определенную дату в будущем, сумму денежных средств, определенную в соответствии с требованиями спецификации опционного договора (контракта); обязанность лица, управомоченного по опционному договору (контракту), уплатить лицу, обязанному по опционному договору (контракту), денежные средства в счет приобретаемого права требовать исполнения последним обязанности уплатить сумму денежных средств, определенную в соответствии с требованиями спецификации опционного договора (контракта), или обязанность обеих сторон опционного договора (контракта) уплачивать вариационную маржу (далее - расчетные опционные договоры (контракты)).

Поставочные опционные договоры (контракты) и расчетные опционные договоры (контракты) именуются опционными договорами (контрактами).

2.13.5. Срочные договоры (контракты), предусматривающие: обязанность одной из сторон (покупателя своп договора (контракта)) уплатить другой стороне (продавцу своп договора (контракта)) денежные средства/поставить базовый актив в сумме/количестве, определенном в соответствии с условиями спецификации своп договора (контракта); обязанность продавца своп договора (контракта) уплатить покупателю своп договора (контракта) в определенную дату в будущем денежные средства в сумме, зависящей: от суммы денежных средств, полученной от покупателя своп договора (контракта) в соответствии с условиями своп договора (контракта), а также изменения цен/значения базового актива своп договора (контракта) в соответствии с условиями, установленными спецификацией своп договора (контракта), или обязанность продавца своп договора (контракта) поставить покупателю своп договора (контракта) в определенную дату в будущем базовый актив в количестве, зависящем: от количества базового актива, полученного от покупателя своп договора (контракта) в соответствии с условиями своп договора (контракта), а также изменения цен/значения базового актива своп договора (контракта) в соответствии с условиями, установленными спецификацией своп договора (контракта) (далее - поставочные своп договоры (контракты)).

2.13.6. Расчетные своп договоры (контракты), предусматривающие обязанность каждой из сторон своп договора (контракта) уплачивать другой стороне своп договора (контракта) денежные средства в соответствии с условиями, установленными спецификацией своп договора (контракта) (далее - расчетные своп договоры (контракты)).

При этом размер обязательств одной из сторон или обеих сторон расчетного своп договора (контракта) определяется в зависимости от изменения цен/значения базового актива своп договора (контракта). В случае если размер обязательств определяется в зависимости от изменения цен/значения базового актива своп договора (контракта) для одной из сторон своп договора (контракта), то обязательства другой стороны своп договора (контракта) должны определяться в зависимости от установленной при заключении своп договора (контракта) цены/значения базового актива.

Поставочные своп договоры (контракты) и расчетные своп договоры (контракты) далее вместе именуются своп договоры (контракты).

2.14. Обязательство по оплате вариационной маржи, рассчитанной на основании котировальных цен за один период, определенный в соответствии с требованиями спецификации фьючерсного договора (контракта) или опционного договора (контракта), может возникать только у одной стороны соответствующего срочного договора (контракта).

III. Регистрируемые документы биржи

3.1. Биржа, оказывающая услуги, способствующие заключению срочных договоров (контрактов), обязана регистрировать в федеральном органе исполнительной власти в сфере финансовых рынков документ (документы), содержащий(ие) следующую информацию:

3.1.1. Правила допуска к участию в торгах, на которых заключаются срочные договоры (контракты) (права и обязанности всех категорий участников торгов, требования к участникам торгов, порядок допуска, приостановления и прекращения допуска к участию в торгах, порядок регистрации (аккредитации) участников торгов и их клиентов, а также меры дисциплинарного воздействия на участников торгов при нарушении ими правил, установленных биржей).

3.1.2. Правила, определяющие основания и порядок начала, приостановления или прекращения заключения срочных договоров (контрактов) на биржевых торгах на условиях спецификаций.

3.1.3. Спецификации срочных договоров (контрактов).

3.1.4. Правила проведения торгов, включающие:

правила заключения срочных договоров (контрактов) (виды заявок, которые могут подаваться ими для заключения срочных договоров (контрактов), и порядок их подачи, изменения и отзыва, основания для отказа в регистрации заявок, порядок формирования реестра заявок);

указание на клиринговый центр, осуществляющий клиринг срочных договоров (контрактов), заключенных на биржевых торгах (далее - клиринговый центр);

правила регистрации срочных договоров (контрактов), в том числе порядок ведения реестров объявленных заявок и срочных договоров (контрактов);

правила, ограничивающие манипулирование ценами;

расписание предоставления биржей услуг, в том числе время торгового дня;

порядок мониторинга и контроля за срочными договорами (контрактами), заключаемыми на биржевых торгах, за участниками торгов, в том числе порядок приостановления и возобновления торгов, включая основания и порядок принятия решений об их приостановлении и возобновлении, порядок проведения проверок срочных договоров (контрактов), а также заявок, цена и объем которых или иные условия, в том числе с учетом предыдущих заявок и срочных договоров (контрактов), соответствующих критериям или их сочетаниям (далее - нестандартные договоры (контракты)/заявки).

3.1.5. Регламент утверждения биржей вышеуказанных документов, а также внесения в них изменений и дополнений.

3.2. Документы, содержащие информацию, указанную в пунктах 3.1.1, 3.1.2 и 3.1.4, вместе именуются правилами биржи.

3.3. Биржевой совет (совет секции) осуществляет предварительное обсуждение проектов документов, содержащих информацию, предусмотренную пунктами 3.1.1 и 3.1.4 настоящего Положения, и дает рекомендации по данным вопросам совету директоров фондовой биржи (или иному уполномоченному органу, если фондовая биржа является некоммерческим партнерством).

IV. Требования к спецификациям

4.1. Спецификации срочных договоров (контрактов) регистрируются отдельно по каждому виду срочных договоров (контрактов) с каждым базовым активом.

4.2. Спецификация срочного договора (контракта) должна содержать:

4.2.1. Наименование срочного договора (контракта), а также правила формирования кода (обозначения) срочного договора (контракта).

4.2.2. Вид срочного договора (контракта).

4.2.3. Базовый актив/базовые активы срочного договора (контракта).

4.2.4. Лот - количество ценных бумаг, являющихся базовым активом срочного договора (контракта) (для срочных договоров (контрактов), базовым активом которых являются ценные бумаги), количество пунктов фондового индекса, являющегося базовым активом срочного договора (контракта) (для срочных договоров (контрактов), базовым активом которых являются фондовые индексы), количество срочных договоров (контрактов) (для срочных договоров (контрактов), базовым активом которых являются срочные договоры (контракты).

4.2.5. Порядок определения первого и последнего дня торгов, на которых может быть заключен данный срочный договор (контракт).

4.2.6. Стоимость одного пункта фондового индекса, являющегося базовым активом срочного договора (контракта) (для срочных договоров (контрактов), базовым активом которых являются фондовые индексы).

4.2.7. Порядок определения размера обязательств по срочному договору (контракту), в том числе порядок определения вариационной маржи по срочному договору (контракту), в том числе порядок определения котировальных цен (для срочных договоров (контрактов), предполагающих уплату вариационной маржи).

4.2.8. Порядок исполнения обязательств по срочному договору (контракту), в том числе порядок уплаты вариационной маржи (для срочных договоров (контрактов), предполагающих уплату вариационной маржи), а также порядок поставки и оплаты базового актива для поставочных срочных договоров (контрактов).

4.2.9. Основания и порядок прекращения обязательств по срочному договору (контракту), в том числе в случаях приостановления/прекращения заключения на биржевых торгах сделок на условиях спецификации данного срочного договора (контракта).

4.2.10. Ответственность сторон за неисполнение обязательств по срочному договору (контракту).

4.2.11. Последствия внесения изменений и дополнений в спецификацию срочного договора (контракта), а также порядок вступления в силу соответствующих изменений и дополнений.

4.3. Спецификация опционного договора (контракта) помимо сведений, указанных в пункте 4.2 настоящего Положения, должна содержать дату или период времени, в течение которого могут быть заявлены требования об исполнении обязательств по опционному договору (контракту).

4.4. Биржи вправе включать в спецификации срочных договоров (контрактов) иные условия, не предусмотренные настоящим Положением.

V. Допуск к участию в торгах

5.1. Участие в торгах, на которых заключаются срочные договоры (контракты), могут принимать лица, соответствующие требованиям, установленным федеральными законами к участникам биржевых торгов. Иные лица могут совершать операции через биржу исключительно при посредничестве брокеров, являющихся участниками биржевых торгов.

Правила биржи должны устанавливать и обеспечивать равные права и обязанности участникам торгов одной и той же категории.

5.2. Биржа осуществляет регистрацию (аккредитацию) участников торгов и их клиентов, ведение реестра клиентов участников торгов, а также участников торгов и работников участников торгов, допущенных к торгам от имени участников торгов, в соответствии с требованиями Положения о деятельности по организации торговли.

Помимо информации, требуемой в соответствии с Положением о деятельности по организации торговли, реестр участников торгов и работников участников торгов, допущенных к торгам от имени участников торгов, должен содержать сведения о лицензии биржевого посредника и лицензии биржевого брокера, включая: наименование органа, выдавшего соответствующую лицензию, номер лицензии, дату выдачи лицензии и срок ее действия.

5.3. К участию в торгах, на которых заключаются срочные договоры (контракты), от имени участника торгов допускаются только уполномоченные представители участника торгов, соответствующие квалификационным требованиям, установленным федеральным органом исполнительной власти в сфере финансовых рынков, а также иным требованиям, предъявляемым федеральными законами к представителям участников биржевой торговли.

5.4. Биржа вправе заключать с участниками торгов двусторонние договоры о выполнении участниками торгов обязательств маркет-мейкера, то есть о подаче и одновременном поддержании заявок на покупку и на продажу (двусторонних котировок) в отношении соответствующих срочных договоров (контрактов) в ходе торговой сессии (далее - маркет-мейкеры). (в ред. Приказа ФСФР РФ от 29.03.2007 N 07-33/пз-н)

Биржа устанавливает обязательные требования, при соответствии которым встречные заявки на покупку и продажу, поданные маркет-мейкером, признаются двусторонними котировками, и критерии поддержания двусторонних котировок, а именно: порядок определения максимальной разницы между лучшей ценой предложения на покупку и лучшей ценой предложения на продажу (далее - спрэд двусторонней котировки) по подаваемым маркет-мейкером заявкам, минимального объема заявок (далее - объем двусторонней котировки), периода времени, в течение которого маркет-мейкер обязан поддерживать двусторонние котировки, и максимального объема срочных договоров (контрактов), заключенных на основании двусторонних котировок, по достижении которого маркет-мейкер освобождается от обязанности по поддержанию двусторонних котировок или обязан принять обязательства по выставлению только заявок на покупку или только заявок на продажу.

Биржа вправе устанавливать требования, предъявляемые к участникам торгов, являющимся маркет-мейкерами, в том числе к их финансовому положению.

5.5. Биржа обязана не позднее 5 дней с момента заключения (изменения или прекращения) договора с маркет-мейкером направить в федеральный орган исполнительной власти в сфере финансовых рынков уведомление, содержащее наименование маркет-мейкера и наименование срочных договоров (контрактов), в отношении которых будут осуществляться соответствующие обязанности, размер обязательств маркет-мейкера (в том числе в отношении спрэда).

VI. Порядок проведения торгов

6.1. Биржа обязана проводить торги в соответствии с требованиями, установленными настоящим Положением, и правилами биржи.

6.2. Порядок заключения срочных договоров (контрактов) устанавливается биржей с учетом следующих требований:

6.2.1. Срочные договоры (контракты) на торгах могут заключаться на основании адресных или безадресных заявок, поданных участниками торгов. При этом безадресной заявкой признается заявка, которая адресована (информация о которой раскрывается) всем участникам торгов, в том числе в случае, когда в соответствии с правилами проведения торгов заключение срочного договора (контракта) на основании такой заявки осуществляется с клиринговым центром. Все иные заявки признаются адресными. (в ред. Приказа ФСФР РФ от 29.03.2007 N 07-33/пз-н)

Биржа вправе дополнительно устанавливать иные требования к заявкам, подаваемым участниками торгов.

6.2.2. Исполнение и прекращение обязательств по срочным договорам (контрактам), заключенным на бирже, осуществляется посредством централизованного клиринга.

6.2.3. Маркет-мейкер при исполнении своих обязательств может подавать только безадресные заявки. Поданная заявка должна содержать указание о том, что она подана при исполнении обязательств маркет-мейкера без раскрытия соответствующей информации остальным участникам торгов.

6.2.4. Не допускается заключение срочного договора (контракта) на основании заявок, поданных за счет одного участника торгов или одного клиента участника торгов (кросс-сделок), в том числе когда в соответствии с правилами проведения торгов заключение срочного договора (контракта) на основании заявки осуществляется с клиринговым центром. (в ред. Приказа ФСФР РФ от 29.03.2007 N 07-33/пз-н)

6.3. Биржа должна вести реестр заявок, поданных участниками торгов, а также реестр срочных договоров (контрактов), заключенных на биржевых торгах.

6.4. Реестр заявок, поданных участниками торгов, должен содержать следующие сведения:

идентификационный номер заявки;

код участника торгов, подавшего заявку;

код клиента (коды клиентов, если предусмотрена возможность подачи заявки по поручению или в интересах нескольких клиентов), по поручению или в интересах которого подана заявка;

вид заявки;

условия заявки, в том числе количество срочных договоров (контрактов), в отношении которых подана заявка (количество срочных договоров (контрактов), в отношении которых подана заявка для каждого клиента, если заявка подана по поручению или в интересах нескольких клиентов);

дата и время регистрации заявки;

дата и время исполнения (отзыва) заявки;

результат подачи заявки (исполнена, отозвана и т.д.).

6.5. Реестр срочных договоров (контрактов), заключенных на биржевых торгах, должен содержать следующие сведения:

идентификационные номера заявок, на основании которых заключен срочный договор (контракт);

код (обозначение) срочного договора (контракта), принятый на бирже;

дата и время регистрации срочного договора (контракта);

коды участников торгов, заключивших срочный договор (контракт);

коды клиентов участников торгов, по поручению которых заключен срочный договор (контракт);

наименование и обозначение фьючерсного договора (контракта), опционного договора (контракта) или своп договора (контракта), принятые на бирже;

количество срочных договоров (контрактов);

цена одного лота фьючерсного или опционного договора (контракта);

сумма срочного договора (контракта).

6.6. Биржа вправе включать в указанные в пунктах 6.4 и 6.5 настоящего Положения реестры иные сведения, помимо предусмотренных настоящим Положением.

6.7. Если после регистрации в федеральном органе исполнительной власти в сфере финансовых рынков спецификации срочного договора (контракта) базовый актив этого договора (контракта) перестает соответствовать требованиям, предусмотренным настоящим Положением и правилами биржи, биржа не вправе допускать к торгам новые срочные договоры (контракты) на условиях соответствующей спецификации.

В случае если ценная бумага, являющаяся базовым активом срочного договора (контракта), исключена из Списка у всех организаторов торговли, правилами биржи должно быть установлено ограничение для участников торгов на заключение срочных договоров (контрактов) с таким базовым активом, предусматривающее возможность заключения в указанном случае только договоров, направленных на прекращение обязательств по ранее заключенным срочным договорам (контрактам).

6.8. Заключение срочных договоров (контрактов) на биржевых торгах прекращается в случае:

изъятия из обращения (аннулирования) ценных бумаг, являющихся базовым активом соответствующего срочного договора (контракта). Спецификацией срочного договора (контракта) могут быть предусмотрены иные последствия изъятия из обращения (аннулирования) ценных бумаг, являющихся базовым активом соответствующего срочного договора (контракта) в случаях, когда такое изъятие из обращения (аннулирование) осуществляется в связи с конвертацией ценных бумаг;

прекращения расчета фондового индекса, являющегося базовым активом соответствующего срочного договора (контракта);

прекращения допуска к торгам срочного договора (контракта), являющегося базовым активом соответствующего срочного договора (контракта).

6.9. Правилами биржи могут быть предусмотрены дополнительные основания приостановления и прекращения торгов, на которых заключаются срочные договоры (контракты).

6.10. Биржа обязана незамедлительно после приостановления или прекращения торгов, на которых заключаются срочные договоры (контракты), по основаниям, предусмотренным настоящим Положением, а также правилами биржи, предоставить в федеральный орган исполнительной власти в сфере финансовых рынков сообщение о факте приостановления или прекращения торгов, включающее:

информацию об основаниях приостановления или прекращения торгов;

информацию об обязательствах по срочным договорам (контрактам), торги которыми приостановлены или прекращены, в разрезе сроков исполнения срочных договоров (контрактов) и сторон срочных договоров (контрактов);

меры, которые предполагается принять в связи с возникшей ситуацией.

VII. Требования к осуществлению клиринга срочных договоров (контрактов)

7.1. Стороны срочного договора (контракта), заключаемого на бирже (за исключением клирингового центра), должны являться участниками клиринга, осуществляемого клиринговым центром. (в ред. Приказа ФСФР РФ от 29.03.2007 N 07-33/пз-н)

7.2. Правилами осуществления клиринговой деятельности клирингового центра может быть установлена обязанность участника клиринга обеспечивать исполнение обязательств участника клиринга по срочным договорам (контрактам) посредством передачи в распоряжение клирингового центра денежных средств, ценных бумаг или иностранной валюты (далее - начальная маржа).

7.3. Размер начальной маржи, порядок и иные условия ее передачи в распоряжение клирингового центра определяются клиринговым центром в соответствии с требованиями Положения, а также правил осуществления клиринговой деятельности клирингового центра.

Клиринговый центр должен устанавливать единые правила расчета уровня начальной маржи для срочных договоров (контрактов), заключаемых на условиях одной спецификации.

7.4. В случаях, предусмотренных правилами осуществления клиринговой деятельности, клиринговый центр вправе принимать в качестве обеспечения исполнения денежных обязательств участника клиринга по срочным договорам (контрактам) ценные бумаги в случае, если такие ценные бумаги соответствуют критериям ликвидности, установленным для ценных бумаг, принимаемых в обеспечение исполнения обязательств по маржинальным сделкам.

В случае если ценная бумага, предоставленная в качестве обеспечения исполнения денежных обязательств участника клиринга по срочным договорам (контрактам), перестает соответствовать установленным критериям, то она может учитываться клиринговым центром в составе обеспечения в течение 10 рабочих дней после размещения нового списка ликвидных ценных бумаг на сайте фондовой биржи в соответствии с требованиями Положения о критериях ликвидности ценных бумаг, утвержденного Приказом ФСФР России от 07.03.2006 N 06-25/пз-н (зарегистрирован в Министерстве юстиции Российской Федерации 17.04.2006, регистрационный N 7707). При этом клиринговый центр обязан потребовать от участника клиринга предоставления в распоряжение клиринговому центру до истечения указанного срока обеспечения, соответствующего требованиям Положения.

7.5. В случаях, предусмотренных правилами осуществления клиринговой деятельности, клиринговый центр вправе с соблюдением требования валютного законодательства принимать в качестве обеспечения исполнения денежных обязательств участника клиринга по срочным договорам (контрактам) иностранную валюту в случае, если соответствующая иностранная валюта является предметом сделок купли/продажи на торгах, организуемых валютной биржей.

7.6. Правила осуществления клиринговой деятельности клирингового центра должны устанавливать предельную долю ценных бумаг, а также иностранной валюты, являющихся обеспечением исполнения денежных обязательств участника клиринга по срочным договорам (контрактам) или порядок определения соответствующих долей.

Клиринговый центр обязан осуществлять контроль за соответствием доли ценных бумаг, а также иностранной валюты, предоставленных участниками клиринга в распоряжение клирингового центра, требованиям, установленным правилами осуществления клиринговой деятельности.

7.7. Правилами осуществления клиринговой деятельности клирингового центра должен быть предусмотрен порядок определения цен, по которым ценные бумаги и иностранная валюта принимаются в качестве обеспечения исполнения денежных обязательств участников клиринга по срочным договорам (контрактам). Не допускается установление различных правил оценки ценных бумаг и иностранной валюты, принимаемой клиринговым центром в качестве обеспечения исполнения обязательств, для участников клиринга разных категорий.

7.8. Правилами осуществления клиринговой деятельности клирингового центра должен быть установлен порядок (в том числе сроки):

уведомления участников клиринга об изменении предельной доли ценных бумаг, а также иностранной валюты, являющихся обеспечением исполнения денежных обязательств участника клиринга по срочным договорам (контрактам);

вступления в силу новых значений предельной доли ценных бумаг, а также иностранной валюты, являющихся обеспечением исполнения денежных обязательств участников клиринга по срочным договорам (контрактам);

уведомления участников клиринга о цене/порядке определения цен, по которым клиринговый центр осуществляет оценку ценных бумаг и иностранной валюты, принимаемых в качестве обеспечения исполнения обязательств участников клиринга по срочным договорам (контрактам);

вступления в силу цен/порядка определения цен, по которым клиринговый центр осуществляет оценку ценных бумаг и иностранной валюты, принимаемых в качестве обеспечения исполнения обязательств участников клиринга по срочным договорам (контрактам).

7.9. Клиринговый центр осуществляет оценку ценных бумаг/иностранной валюты в соответствии с правилами осуществления клиринговой деятельности:

при предоставлении участником клиринга ценных бумаг/иностранной валюты в распоряжение клирингового центра;

каждый рабочий день после предоставления участником клиринга ценных бумаг/иностранной валюты в распоряжение клирингового центра;

в иных случаях, установленных правилами осуществления клиринговой деятельности клирингового центра.

7.10. Правила осуществления клиринговой деятельности клирингового центра должны определять основания и порядок прекращения обязательств участников клиринга в случае неисполнения или ненадлежащего исполнения ими обязательств по срочным договорам (контрактам), в т.ч. основания и порядок прекращения обязательств по инициативе клирингового центра (принудительное закрытие позиций).

7.11. В случаях и порядке, установленных правилами осуществления клиринговой деятельности клирингового центра, в целях обеспечения исполнения обязательств участника клиринга по срочным договорам (контрактам), клиринговый центр вправе продать или распорядиться иным образом ценными бумагами/иностранной валютой/денежными средствами, предоставленной участником клиринга в распоряжение клирингового центра.

7.12. Правилами осуществления клиринговой деятельности клирингового центра могут быть установлены ограничения (лимиты) на размер обязательств участника клиринга, в том числе обязательств по срочным договорам (контрактам), заключенным на основании одной спецификации.

7.13. Клиринговый центр обязан сформировать гарантийный фонд. Порядок формирования, размещения и использования гарантийного фонда определяется клиринговым центром в соответствии с требованиями, установленными Положением о клиринговой деятельности для гарантийного фонда, формируемого для обеспечения исполнения сделок с ценными бумагами. Денежные средства и ценные бумаги, составляющие гарантийный фонд, используемый клиринговой организацией для обеспечения исполнения обязательств по срочным договорам (контрактам), должны быть обособлены от денежных средств и ценных бумаг, составляющих гарантийный фонд, используемый клиринговой организацией для обеспечения исполнения обязательств по другим сделкам с ценными бумагами. (в ред. Приказа ФСФР РФ от 29.03.2007 N 07-33/пз-н)

7.14. Клиринговый центр обязан уведомлять федеральный орган исполнительной власти в сфере финансовых рынков о случаях принудительного закрытия позиций. При этом уведомление должно содержать следующую информацию:

- наименование (имя, фамилия, отчество) и код участника клиринга, позиции которого принудительно закрыты;

- наименование (имя, фамилия, отчество) и код участников клиринга/клиентов участника клиринга, в интересах которых заключены срочные договоры (контракты), обязательства по которым прекращены;

- размер обязательств по срочным договорам (контрактам), обязательства по которым прекращены в разрезе видов срочных договоров (контрактов), а также сроков исполнения срочных договоров (контрактов);

- фактические обстоятельства, а также положения правил осуществления клиринговой деятельности и/или спецификаций срочных договоров (контрактов), послужившие основанием для закрытия позиций.

Уведомление, указанное в настоящем пункте, должно быть направлено в федеральный орган исполнительной власти в сфере финансовых рынков не позднее следующего рабочего дня со дня принудительного закрытия позиций.

7.15. Клиринговый центр обязан уведомлять федеральный орган исполнительной власти в сфере финансовых рынков о случаях продажи ценных бумаг и/или иностранной валюты, предоставленных в распоряжение клирингового центра участниками клиринга, а также распоряжении соответствующими ценными бумагами/иностранной валютой в иных формах, направленных на прекращение обязательств участников клиринга по срочным договорам (контрактам), в том числе надлежащим исполнением. При этом уведомление должно содержать следующую информацию:

- наименование (имя, фамилия, отчество) и код участника клиринга, обязательства которого были прекращены, в том числе надлежащим исполнением, в результате продажи ценных бумаг/иностранной валюты или распоряжения ими в иной форме;

- наименование (имя, фамилия, отчество) и код участников клиринга/клиентов участника клиринга, в интересах которых заключены срочные договоры (контракты), обязательства по которым были прекращены, в том числе надлежащим исполнением, в результате продажи клиринговым центром ценных бумаг/иностранной валюты или распоряжения ими в иной форме;

- количество ценных бумаг/сумма иностранной валюты, которая была продана клиринговым центром или которой клиринговый центр распорядился в иной форме в целях прекращения, в том числе надлежащим исполнением обязательств по срочным договорам (контрактам);

- условия, на которых клиринговый центр осуществил продажу ценных бумаг/иностранной валюты, порядок ее осуществления или порядок и условия распоряжения ценными бумагами/иностранной валютой в иной форме;

- фактические обстоятельства, а также положения правил осуществления клиринговой деятельности, спецификаций срочных договоров (контрактов), договоров клирингового центра с участником клиринга, послужившие основанием для продажи клиринговым центром ценных бумаг/иностранной валюты или распоряжения ими в иной форме.

Уведомление, указанное в настоящем пункте, должно быть направлено в федеральный орган исполнительной власти в сфере финансовых рынков не позднее рабочего дня, следующего за днем продажи ценных бумаг/иностранной валюты или распоряжения ими в иной форме.

7.16. Правилами осуществления клиринговой деятельности клирингового центра должен быть предусмотрен порядок уведомления участников клиринга о внесении изменений и дополнений в спецификации срочных договоров (контрактов), а также последствиях внесения таких изменений и дополнений.

VIII. Требования к порядку осуществления мониторинга и контроля

8.1. Биржа обязана осуществлять мониторинг и контроль за заключением срочных договоров (контрактов) в соответствии с требованиями Положения о деятельности по организации торговли с учетом требований Положения.

8.2. Система мониторинга и контроля подаваемых заявок и заключаемых срочных договоров (контрактов) должна технически обеспечивать ведение мониторинга и контроля по следующим критериям:

количество поданных участником торгов заявок и заключенных им срочных договоров (контрактов) за установленный период времени;

заключение участником торгов за установленный период времени срочных договоров (контрактов) в своих интересах по лучшим ценам (более низким при заключении договоров на покупку и более высоким при заключении договоров на продажу), чем по тем же срочным договорам (контрактам), заключаемым в интересах клиентов;

заключение участником торгов в своих интересах либо в интересах одного и того же клиента ряда срочных договоров (контрактов), ведущих к изменению цены в одном направлении;

заключение участником торгов за свой счет срочного договора (контракта), в котором этот участник одновременно является продавцом и покупателем ценных бумаг, либо за счет клиента срочного договора (контракта), в котором контрагентом выступает участник торгов в интересах того же клиента (кросс-сделка);

заключение участниками торгов срочных договоров (контрактов), в которых эти участники торгов либо их клиенты попеременно выступают продавцами и покупателями (взаимные сделки);

неоднократное изменение и удаление заявок одним участником торгов, выставляемых участником торгов в своих интересах либо в интересах одного и того же клиента;

превышение доли срочных договоров (контрактов), заключенных участником торгов, от общего объема таких срочных договоров (контрактов), заключенных за торговый день, установленной величины;

отклонение суммы срочных договоров (контрактов), заключенных участником торгов по ценной бумаге за торговый день, от среднего значения такой суммы срочных договоров (контрактов), заключаемых этим участником торгов, на установленную величину;

изменение объема торгов по срочным договорам (контрактам) за определенный период на установленную величину.

8.3. Параметры критериев, предусмотренных в пункте 8.2 Положения, устанавливаются в зависимости от:

периода торгового дня (открытия, торговая сессия, закрытия), при наличии таковых;

вида срочного договора (контракта).

Параметры могут устанавливаться биржей также по различным группам срочных договоров (контрактов), определенным организатором торговли и включенным в таблицу критериев нестандартных договоров (контрактов).

IX. Требования к порядку расчета теоретической цены и коэффициента "дельта" опционного договора (контракта)

(В ред. Приказа ФСФР РФ от 10.11.2009 N 09-45/пз-н)

9.1. Биржа обязана каждый рабочий день определять теоретические цены опционных договоров (контрактов), по которым Биржа проводит торги (далее - теоретическая цена опциона), и коэффициенты "дельта" по указанным опционным договорам (контрактам) на момент окончания основной торговой сессии в соответствии с настоящим Положением.

9.2. Теоретическая цена опциона и коэффициент "дельта" определяются отдельно для опционных договоров (контрактов), условия которых определены в одной спецификации, цена исполнения которых одинакова, и обязательства по которым подлежат исполнению в один и тот же срок, а в случае, когда указанные обязательства предусматривают заключение срочных контрактов, обязательства по таким срочным контрактам также подлежат исполнению в один и тот же срок.

9.3. Теоретическая цена опциона рассчитывается исходя из:

1) количества дней до последнего дня торгов, на которых могут быть заключены опционные договоры (контракты), в отношении которых рассчитывается теоретическая цена опциона;

2) рассчитанного в соответствии с настоящим Положением отклонения относительных изменений цены базового актива опционного договора (контракта) или, если базовым активом опционного договора (контракта) является фьючерсный договор (контракт), изменений цены одного лота такого фьючерсного договора (контракта) от среднего значения относительных изменений цен на указанный базовый актив (цен одного лота фьючерсного договора (контракта)) (далее - значение волатильности базового актива);

3) последней определенной в соответствии с настоящим Положением цены базового актива или, если базовым активом опционного договора (контракта) является фьючерсный договор (контракт), цены одного лота такого фьючерсного договора (контракта) (далее - расчетная цена базового актива);

4) процентных ставок доходности, определенных в соответствии с настоящим Положением (далее - процентная ставка);

5) цены исполнения опционного договора (контракта).

9.4. При определении теоретической цены опциона должны соблюдаться следующие требования:

1) для опционных договоров (контрактов), базовым активом которых являются фьючерсные договоры (контракты), используется процентная ставка, равная нулю;

2) для опционных договоров (контрактов), базовым активом которых являются ценные бумаги, используется процентная ставка, не превышающая ставку рефинансирования Центрального банка Российской Федерации;

3) расчетная цена базового актива опционного договора (контракта) определяется исходя из цен базового актива или, если базовым активом опционного договора (контракта) является фьючерсный договор (контракт), цен одного лота такого фьючерсного договора (контракта) по сделкам или фьючерсным договорам (контрактам), заключенным на торгах биржи, определяющей расчетную цену, и (или) другой биржи, и (или) показателей, рассчитанных на основе указанных цен. При этом также могут использоваться цены базового актива (цены одного лота фьючерсного договора (контракта)), указанные в безадресных заявках на покупку или продажу базового актива (на заключение фьючерсных договоров (контрактов)), которые на момент расчета теоретической цены опциона не были исполнены в полном объеме и не были отозваны подавшими их участниками торгов;

4) для опционных договоров (контрактов), заключаемых на условиях спецификации, в соответствии с которой ранее не было заключено ни одного опционного договора (контракта), значение волатильности базового актива рассчитывается как среднее квадратическое отклонение изменений цен базового актива или, если базовым активом опционного договора (контракта) является фьючерсный договор (контракт), цен одного лота фьючерсного договора (контракта), по сделкам (фьючерсным договорам (контрактам)), заключенным на торгах биржи, рассчитывающей значение волатильности базового актива, и (или) другой биржи, за период, определенный в соответствии с Методикой, предусмотренной в пункте 9.7 настоящего Положения;

5) для опционных договоров (контрактов), заключаемых на условиях спецификации, в соответствии с которой ранее был заключен хотя бы один опционный договор (контракт), значение волатильности базового актива рассчитывается исходя из:

показателей, предусмотренных подпунктами 1, 4, 5 пункта 9.3 настоящего Положения;

цен базового актива или, если базовым активом опционного договора (контракта) является фьючерсный договор (контракт), цен одного лота такого фьючерсного договора (контракта) по сделкам (фьючерсным договорам (контрактам)), заключенным на торгах биржи, рассчитывающей значение волатильности базового актива, и (или) другой биржи, и (или) показателей, рассчитанных на основе указанных цен;

цен одного лота опционного договора (контракта) по опционным договорам (контрактам), заключенным на торгах биржи, рассчитывающей значение волатильности базового актива.

При этом также могут использоваться цены базового актива или, если базовым активом опционного договора (контракта) является фьючерсный договор (контракт), цены одного лота такого фьючерсного договора (контракта)), цены одного лота опционного договора (контракта), указанные в безадресных заявках, которые на момент расчета теоретической цены опциона не были исполнены в полном объеме и не были отозваны подавшими их участниками торгов;

6) цены базового актива или, если базовым активом опционного договора (контракта) является фьючерсный договор (контракт), цены одного лота такого фьючерсного договора (контракта), указанные в безадресных заявках на покупку или продажу базового актива (на заключение фьючерсных договоров (контрактов)), могут использоваться для расчета значения волатильности базового актива и определения значения расчетной цены базового актива, только если указанные цены лучше цены последней заключенной с базовым активом сделки или, если базовым активом опционного договора (контракта) является фьючерсный договор (контракт), цены одного лота последнего заключенного фьючерсного договора (контракта);

7) цены одного лота опционного договора (контракта), указанные в безадресных заявках, могут использоваться для расчета значения волатильности базового актива, только если цены, указанные в заявках на заключение опционных договоров (контрактов) в качестве лица, управомоченного по опционному договору (контракту), выше последней рассчитанной теоретической цены этого опционного договора (контракта), а в заявках на заключение опционных договоров (контрактов) в качестве лица, обязанного по опционному договору (контракту), - ниже последней рассчитанной теоретической цены этого опционного договора (контракта).

9.5. Коэффициент "дельта" рассчитывается для опционного договора (контракта) по следующей формуле:

где:

D - коэффициент "дельта";

x - переменная величина;

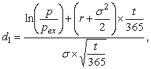
d_1 - коэффициент, рассчитываемый по следующей формуле:

где:

p - расчетная цена базового актива;

p_ex - цена исполнения опционного договора (контракта), выраженная в тех же единицах измерения, что и расчетная цена базового актива;

r - процентная ставка (в долях единицы);

t - количество календарных дней с даты расчета коэффициента "дельта" до последнего дня периода исполнения (даты исполнения) опционного договора (контракта), в отношении которого рассчитывается коэффициент "дельта", включительно;

сигма - значение волатильности базового актива.

9.6. Теоретическая цена опциона и коэффициент "дельта" определяются на один и тот же момент времени в соответствии с утвержденной биржей Методикой расчета теоретической цены опциона и коэффициента "дельта".

9.7. Методика расчета теоретической цены опциона и коэффициента "дельта", утвержденная биржей, должна содержать:

указание на источник информации о ценах базового актива или, если базовым активом опционного договора (контракта) является фьючерсный договор (контракт), ценах одного лота фьючерсного договора (контракта), которые используются при расчете значений волатильности базового актива и определении расчетной цены базового актива;

порядок определения периода времени, в течение которого заключены сделки с базовым активом или, если базовым активом опционного договора (контракта) является фьючерсный договор (контракт), такие фьючерсные договоры (контракты), либо поданы заявки на их заключение, цены которых (рассчитанные на их основе показатели) используются при расчете значений волатильности базового актива и определении расчетной цены базового актива;

условия использования при расчете теоретической цены опциона и значений волатильности базового актива цен базового актива или, если базовым активом опционного договора (контракта) является фьючерсный договор (контракт), цен одного лота фьючерсного договора (контракта), указанных в безадресных заявках на покупку или продажу базового актива (на заключение фьючерсных договоров (контрактов)), поданных участниками торгов (в случае использования цен, указанных в безадресных заявках);

порядок определения расчетной цены базового актива;

значение и (или) порядок определения значений процентных ставок, используемых для расчета теоретической цены опциона и коэффициента "дельта";

порядок расчета значений волатильности базового актива;

условия использования при расчете значений волатильности базового актива цен одного лота опционного договора (контракта), указанных в безадресных заявках на заключение соответствующих опционных договоров (контрактов), поданных участниками торгов (в случае использования цен одного лота опционного договора (контракта), указанных в безадресных заявках);

порядок и сроки определения теоретической цены опциона и коэффициента "дельта";

порядок пересчета цены исполнения опционного договора (контракта) в единицы измерения расчетной цены базового актива;

порядок внесения изменений в Методику расчета теоретической цены опциона и коэффициента "дельта" и вступления в силу указанных изменений.