Постановление Правительства РФ от 14.12.2005 N 761

"О предоставлении субсидий на оплату жилого помещения и коммунальных услуг"
Редакция от 02.04.2020 — Не действует Перейти в действующую
Показать изменения

ПРАВИТЕЛЬСТВО РОССИЙСКОЙ ФЕДЕРАЦИИ

ПОСТАНОВЛЕНИЕ
от 14 декабря 2005 г. N 761

О ПРЕДОСТАВЛЕНИИ СУБСИДИЙ НА ОПЛАТУ ЖИЛОГО ПОМЕЩЕНИЯ И КОММУНАЛЬНЫХ УСЛУГ

(в ред. Постановлений Правительства РФ от 18.06.2007 N 379, от 24.12.2008 N 1001, от 16.03.2013 N 221, от 30.07.2014 N 734, от 24.12.2014 N 1469, от 29.12.2016 N 1540, от 27.02.2017 N 232, от 18.04.2018 N 464, от 26.07.2018 N 871, от 02.04.2020 N 420)

Во исполнение статьи 159 Жилищного кодекса Российской Федерации Правительство Российской Федерации постановляет:

1. Утвердить прилагаемые Правила предоставления субсидий на оплату жилого помещения и коммунальных услуг.

2. Установить, что размеры субсидий, предоставленных гражданам до вступления в силу настоящего постановления, пересчету не подлежат в течение всего периода, на который субсидии были предоставлены, за исключением случая, когда размеры субсидий увеличиваются.

3. Министерству регионального развития Российской Федерации совместно с Министерством здравоохранения и социального развития Российской Федерации утвердить в 2-месячный срок методические рекомендации по применению Правил предоставления субсидий на оплату жилого помещения и коммунальных услуг, утвержденных настоящим постановлением.

4. Рекомендовать органам государственной власти субъектов Российской Федерации:

установить в 2-месячный срок региональные стандарты нормативной площади жилого помещения, используемой для расчета субсидий, региональные стандарты стоимости жилищно-коммунальных услуг и региональные стандарты максимально допустимой доли расходов граждан на оплату жилого помещения и коммунальных услуг в совокупном доходе семьи;

обеспечивать своевременное предоставление местным бюджетам из бюджетов субъектов Российской Федерации в необходимых объемах субвенций на финансирование расходов, связанных с предоставлением гражданам субсидий на оплату жилого помещения и коммунальных услуг.

5. Признать утратившими силу:

постановление Правительства Российской Федерации от 1 июля 2002 г. N 490 "О проведении эксперимента по применению экономической модели реформирования жилищно-коммунального хозяйства" (Собрание законодательства Российской Федерации, 2002, N 27, ст. 2701);

постановление Правительства Российской Федерации от 30 августа 2004 г. N 444 "О предоставлении субсидий на оплату жилья и коммунальных услуг" (Собрание законодательства Российской Федерации, 2004, N 36, ст. 3671).

Председатель Правительства
Российской Федерации
М. ФРАДКОВ

УТВЕРЖДЕНЫ
Постановлением Правительства
Российской Федерации
от 14 декабря 2005 г. N 761

ПРАВИЛА ПРЕДОСТАВЛЕНИЯ СУБСИДИЙ НА ОПЛАТУ ЖИЛОГО ПОМЕЩЕНИЯ И КОММУНАЛЬНЫХ УСЛУГ

(в ред. Постановлений Правительства РФ от 18.06.2007 N 379, от 24.12.2008 N 1001, от 16.03.2013 N 221, от 30.07.2014 N 734, от 24.12.2014 N 1469, от 29.12.2016 N 1540, от 27.02.2017 N 232, от 18.04.2018 N 464, от 26.07.2018 N 871, от 02.04.2020 N 420)

I. Общие положения

1. Настоящие Правила, разработанные в соответствии со статьей 159 Жилищного кодекса Российской Федерации, определяют порядок предоставления субсидий на оплату жилого помещения и коммунальных услуг (далее - субсидии) гражданам Российской Федерации, а также иностранным гражданам, если это предусмотрено международными договорами Российской Федерации.

2. Субсидии предоставляются гражданам в случае, если их расходы на оплату жилого помещения и коммунальных услуг, рассчитанные исходя из размера региональных стандартов нормативной площади жилого помещения, используемой для расчета субсидий, и размера региональных стандартов стоимости жилищно-коммунальных услуг, превышают величину, соответствующую максимально допустимой доле расходов граждан на оплату жилого помещения и коммунальных услуг в совокупном доходе семьи. При этом для семей со среднедушевым доходом ниже установленного прожиточного минимума максимально допустимая доля расходов уменьшается в соответствии с поправочным коэффициентом, равным отношению среднедушевого дохода семьи к прожиточному минимуму.

3. Право на субсидии имеют:

а) пользователи жилого помещения в государственном или муниципальном жилищном фонде;

б) наниматели жилого помещения по договору найма в частном жилищном фонде;

в) члены жилищного или жилищно-строительного кооператива;

г) собственники жилого помещения (квартиры, жилого дома, части квартиры или жилого дома).

4. Субсидии предоставляются гражданам, указанным в пункте 3 настоящих Правил, с учетом постоянно проживающих с ними членов их семей.

5. В случае если наниматели жилого помещения по договору найма в частном жилищном фонде, члены жилищного или жилищно-строительного кооператива, собственники жилого помещения проходят военную службу по призыву в Вооруженных Силах Российской Федерации, других войсках, воинских формированиях и органах, созданных в соответствии с законодательством Российской Федерации, либо осуждены к лишению свободы, либо признаны безвестно отсутствующими, либо умерли или объявлены умершими, либо находятся на принудительном лечении по решению суда, субсидии предоставляются членам их семей при условии, что данные члены семей продолжают постоянно проживать в ранее занимаемых совместно с этими гражданами жилых помещениях.

6. Субсидии предоставляются гражданам при отсутствии у них задолженности по оплате жилого помещения и коммунальных услуг или при заключении и (или) выполнении гражданами соглашений по ее погашению.

7. Решения о предоставлении субсидий принимаются органом исполнительной власти субъекта Российской Федерации или управомоченным им государственным учреждением, а в отношении лиц, указанных в пункте 51 настоящих Правил, - федеральными органами исполнительной власти (федеральными государственными органами), в которых законом предусмотрена военная служба (далее - уполномоченные органы). (в ред. Постановления Правительства РФ от 29.12.2016 N 1540)

Органы государственной власти субъекта Российской Федерации вправе в установленном порядке передать органам местного самоуправления исполнение государственных полномочий по принятию решений о предоставлении субсидий. (в ред. Постановления Правительства РФ от 24.12.2008 N 1001)

II. Перечень документов (сведений), необходимых для предоставления субсидии, и порядок их рассмотрения (в ред. Постановлений Правительства РФ от 30.07.2014 N 734, от 02.04.2020 N 420)

8. Для получения субсидии граждане, указанные в пункте 3 настоящих Правил, и члены семей граждан, указанных в пункте 5 настоящих Правил (далее - заявители), или лица, уполномоченные ими на основании доверенности, оформленной в соответствии с законодательством Российской Федерации, представляют в уполномоченный орган по месту постоянного жительства заявление о предоставлении субсидии с указанием всех членов семьи и степени родства и приложением следующих документов, а также с указанием следующих сведений в заявлении: (в ред. Постановлений Правительства РФ от 16.03.2013 N 221, от 26.07.2018 N 871, от 02.04.2020 N 420)

а) сведения о документах, подтверждающих правовые основания владения и пользования заявителем жилым помещением, в котором он зарегистрирован по месту постоянного жительства, - в случае, если заявитель является нанимателем жилого помещения по договору найма в частном жилищном фонде, членом жилищного, жилищно-строительного кооператива или иного специализированного потребительского кооператива. Заявитель, проходящий военную службу по контракту, зарегистрированный по месту жительства по адресу воинской части, но проживающий ввиду отсутствия служебных жилых помещений в жилых помещениях на условиях заключенного договора найма (поднайма), прилагает к заявлению о предоставлении субсидии копию договора найма (поднайма) в частном жилищном фонде и справку из воинской части об отсутствии возможности предоставления служебного жилого помещения; (в ред. Постановлений Правительства РФ от 16.03.2013 N 221, от 02.04.2020 N 420)

б) документы или их копии, содержащие сведения о платежах за жилое помещение и коммунальные услуги, начисленных за последний перед подачей заявления о предоставлении субсидии месяц, и о наличии (об отсутствии) задолженности по оплате жилого помещения и коммунальных услуг. Если заявитель указал в заявлении о предоставлении субсидии в качестве членов своей семьи не всех граждан, зарегистрированных совместно с ним по месту его постоянного жительства, он обязан представить документы, подтверждающие размер вносимой ими платы за содержание и ремонт жилого помещения и коммунальные услуги; (в ред. Постановлений Правительства РФ от 16.03.2013 N 221, от 30.07.2014 N 734)

в) сведения, подтверждающие право заявителя и (или) членов его семьи на льготы, меры социальной поддержки и компенсации по оплате жилого помещения и коммунальных услуг в случае невозможности их получения в рамках системы межведомственного электронного взаимодействия; (в ред. Постановления Правительства РФ от 02.04.2020 N 420)

г) копии документов, удостоверяющих принадлежность заявителя - иностранного гражданина и членов его семьи к гражданству государства, с которым Российской Федерацией заключен международный договор, в соответствии с которым предусмотрено предоставление субсидий (с предъявлением оригинала, если копия нотариально не заверена); (в ред. Постановления Правительства РФ от 16.03.2013 N 221)

д) сведения о доходах заявителя и членов его семьи, учитываемых при решении вопроса о предоставлении субсидии; (в ред. Постановления Правительства РФ от 02.04.2020 N 420)

е) подпункт утратил силу. (в ред. Постановления Правительства РФ от 26.07.2018 N 871)

8(1). Уполномоченные органы получают на основании межведомственных запросов, в том числе в электронной форме с использованием единой системы межведомственного электронного взаимодействия и подключаемых к ней региональных систем межведомственного информационного взаимодействия, следующие сведения, необходимые для принятия решения о предоставлении субсидии: (в ред. Постановлений Правительства РФ от 16.03.2013 N 221, от 02.04.2020 N 420)

а) сведения о документах, подтверждающих правовые основания владения и пользования заявителем жилым помещением, в котором он зарегистрирован по месту постоянного жительства, - в случае, если заявитель является пользователем жилого помещения государственного или муниципального жилищных фондов, а также собственником жилого помещения; (в ред. Постановлений Правительства РФ от 16.03.2013 N 221, от 02.04.2020 N 420)

б) сведения о документах, подтверждающих правовые основания отнесения лиц, проживающих совместно с заявителем по месту постоянного жительства, к членам его семьи; (в ред. Постановлений Правительства РФ от 16.03.2013 N 221, от 26.07.2018 N 871, от 02.04.2020 N 420)

в) сведения о документах, удостоверяющих гражданство Российской Федерации заявителя и членов его семьи; (в ред. Постановления Правительства РФ от 02.04.2020 N 420)

г) сведения о лицах, зарегистрированных совместно с заявителем по месту его постоянного жительства; (в ред. Постановления Правительства РФ от 02.04.2020 N 420)

д) сведения, подтверждающие право заявителя и (или) членов его семьи на льготы, меры социальной поддержки и компенсации по оплате жилого помещения и коммунальных услуг; (в ред. Постановления Правительства РФ от 02.04.2020 N 420)

е) сведения о доходах заявителя и членов его семьи, учитываемых при решении вопроса о предоставлении субсидии. (в ред. Постановления Правительства РФ от 02.04.2020 N 420)

8(2). Заявитель вправе представить в уполномоченный орган по месту жительства документы, указанные в пункте 8(1) настоящих Правил, а также копии судебных актов о признании лиц, проживающих совместно с заявителем по месту постоянного жительства, членами его семьи - в случае наличия разногласий между заявителем и проживающими совместно с заявителем по месту постоянного жительства лицами по вопросу принадлежности к одной семье по собственной инициативе. В этом случае уполномоченный орган учитывает в качестве членов семьи заявителя лиц, признанных таковыми в судебном порядке. (в ред. Постановления Правительства РФ от 26.07.2018 N 871)

9. Члены семей граждан, указанных в пункте 5 настоящих Правил, дополнительно к документам, предусмотренным пунктом 8 настоящих Правил, представляют документы, подтверждающие причину выбытия этих граждан, а также факт постоянного проживания в соответствующем жилом помещении совместно с указанными гражданами до их выбытия.

10. Требовать от граждан документы и сведения, не предусмотренные пунктами 8, 9, 27 и 48 настоящих Правил, не допускается. (в ред. Постановления Правительства РФ от 30.07.2014 N 734, от 02.04.2020 N 420)

11. Уполномоченные органы вправе проверять подлинность представленных заявителем документов, полноту и достоверность содержащихся в них сведений путем направления официальных запросов в органы государственной власти Российской Федерации, органы государственной власти субъектов Российской Федерации, органы местного самоуправления, государственные внебюджетные фонды, органы, осуществляющие государственную регистрацию индивидуальных предпринимателей, налоговые и таможенные органы, органы и учреждения федеральной государственной службы занятости населения, организации связи, другие органы и организации.

Уполномоченные органы осуществляют на регулярной основе выборочные проверки достоверности предоставленных заявителем сведений о составе семьи, в том числе посредством направления соответствующих запросов в организации, осуществляющие управление многоквартирными домами. В случае обнаружения недостоверных сведений в предоставленных заявителем информации и документах, уполномоченные органы обязаны сообщить об этом в компетентные органы. В приоритетном порядке указанные выборочные проверки осуществляются уполномоченными органами в отношении лиц: (в ред. Постановления Правительства РФ от 26.07.2018 N 871)

повторно обратившихся за предоставлением субсидии; (в ред. Постановления Правительства РФ от 26.07.2018 N 871)

расходы на оплату жилого помещения и коммунальных услуг которых, рассчитанные исходя из размера регионального стандарта нормативной площади жилого помещения, используемой для расчета субсидий, и размера регионального стандарта стоимости жилищно-коммунальных услуг, двукратно превышают величину, соответствующую максимально допустимой доле расходов граждан на оплату жилого помещения и коммунальных услуг в совокупном доходе семьи; (в ред. Постановления Правительства РФ от 26.07.2018 N 871)

не имеющих постоянного места работы (постоянного дохода). (в ред. Постановления Правительства РФ от 26.07.2018 N 871)

12. При наличии у уполномоченного органа возможности, в том числе с использованием единой системы межведомственного электронного взаимодействия и подключаемых к ней региональных систем межведомственного информационного взаимодействия, получить сведения, необходимые для принятия решения о предоставлении субсидий, расчета их размеров, сравнения размера предоставляемой субсидии с фактическими расходами семьи на оплату жилого помещения и коммунальных услуг, граждане освобождаются по решению этого органа от обязанности представления всех или части документов, указанных в пунктах 8, 9, 27 и 48 настоящих Правил. (в ред. Постановления Правительства РФ от 30.07.2014 N 734)

13. Документы, предусмотренные пунктами 8, 8(1), 9, 27 и 48 настоящих Правил, могут представляться в уполномоченные органы в письменном виде лично или почтовым отправлением либо в виде электронного документа (пакета документов), подписанного электронной подписью в соответствии с требованиями Федерального закона "Об электронной подписи" и Федерального закона "Об организации предоставления государственных и муниципальных услуг", с использованием регионального портала государственных и муниципальных услуг (функций) (в случае, если в субъекте Российской Федерации создан такой портал) или федеральной государственной информационной системы "Единый портал государственных и муниципальных услуг (функций)" либо через многофункциональный центр предоставления государственных и муниципальных услуг. При этом днем обращения за субсидией считается дата получения документов уполномоченным органом. Обязанность подтверждения факта отправки документов лежит на заявителе. (в ред. Постановлений Правительства РФ от 16.03.2013 N 221, от 30.07.2014 N 734)

13(1). Если указанные в пункте 13 настоящих Правил документы (копии документов), направленные почтовым отправлением или в виде электронного документа (пакета документов), получены после окончания рабочего времени уполномоченного органа, днем их получения считается следующий рабочий день. Если документы (копии документов) получены в выходной или праздничный день, днем их получения считается следующий за ним рабочий день. (в ред. Постановления Правительства РФ от 30.07.2014 N 734)

13(2). Рассмотрение уполномоченным органом заявления о предоставлении субсидии приостанавливается не более чем на один месяц, в случае если по истечении 10 дней со дня получения заявления или документов в виде электронного документа (пакета документов) заявитель не представил всех или части документов, указанных в пунктах 8, 9, 27 и 48 настоящих Правил, в уполномоченный орган. (в ред. Постановления Правительства РФ от 30.07.2014 N 734)

Уполномоченный орган уведомляет заявителя о приостановлении рассмотрения заявления о предоставлении субсидии в течение 3 рабочих дней со дня принятия такого решения с указанием оснований приостановления. (в ред. Постановления Правительства РФ от 30.07.2014 N 734)

13(3). В случаях, указанных в пункте 13(2) настоящих Правил, днем подачи заявления о предоставлении субсидии считается день, когда заявителем представлены все документы, указанные в пунктах 8, 9, 27 и 48 настоящих Правил. (в ред. Постановления Правительства РФ от 30.07.2014 N 734)

13(4). Если в течение указанного в пункте 13(2) настоящих Правил срока приостановки рассмотрения заявления о предоставлении субсидии заявителем не представлены в уполномоченный орган требуемые документы, уполномоченный орган принимает решение об отказе в предоставлении субсидии и сообщает об этом заявителю в течение 3 рабочих дней со дня принятия такого решения с указанием оснований отказа. (в ред. Постановления Правительства РФ от 30.07.2014 N 734)

13(5). При наличии обстоятельств, ограничивающих транспортную доступность (от места жительства заявителя до ближайшего населенного пункта, в котором есть организация почтовой связи или многофункциональный центр предоставления государственных и муниципальных услуг, и обратно время, затраченное на дорогу, составляет более 10 часов), днем подачи заявления о приостановлении субсидии считается день поступления заявления в организацию почтовой связи или многофункциональный центр предоставления государственных и муниципальных услуг. Субсидия такому заявителю предоставляется с учетом особенностей исчисления дня подачи заявления в пределах периода ограниченной транспортной доступности, предусмотренной настоящим пунктом, и сроков, установленных в абзаце первом пункта 44 настоящих Правил. Перечень населенных пунктов, имеющих ограниченную транспортную доступность, устанавливается органом государственной власти субъекта Российской Федерации с учетом климатических, географических особенностей, доступности транспортных услуг, услуг почтовой связи. (в ред. Постановления Правительства РФ от 30.07.2014 N 734)

14. Заявитель несет ответственность за достоверность представленных сведений и документов в соответствии с законодательством Российской Федерации. Представление заявителем неполных и (или) заведомо недостоверных сведений является основанием для отказа в предоставлении субсидии. (в ред. Постановления Правительства РФ от 26.07.2018 N 871)

15. Органы и организации, выдавшие указанные в пунктах 8, 8(1), 9, 27 и 48 настоящих Правил документы, несут ответственность за достоверность содержащихся в этих документах сведений в соответствии с законодательством Российской Федерации. (в ред. Постановления Правительства РФ от 30.07.2014 N 734)

16. Уполномоченные органы формируют в отношении каждого заявителя дело, в которое включаются документы, связанные с предоставлением субсидии и определением ее размера (далее - персональное дело). Документы на бумажных и электронных носителях информации подлежат хранению не менее 3 лет. При несоответствии записей на бумажных носителях информации записям на электронных носителях информации приоритет имеют записи на бумажных носителях.

17. Должностные лица уполномоченных органов несут ответственность за распространение и (или) незаконное использование конфиденциальной информации, ставшей им известной в связи с решением вопроса о предоставлении субсидий.

III. Порядок определения состава семьи заявителя

18. В состав семьи заявителя могут входить заявитель и граждане, являющиеся:

а) членами семьи нанимателя жилого помещения по договору социального найма в соответствии со статьей 69 Жилищного кодекса Российской Федерации;

б) членами семьи собственника жилого помещения в соответствии со статьей 31 Жилищного кодекса Российской Федерации;

в) членами семьи иных граждан, указанных в пункте 3 настоящих Правил, в соответствии со статьей 2 Семейного кодекса Российской Федерации.

19. Уполномоченный орган при решении вопроса о наличии права на предоставление субсидии и расчете ее размера определяет состав семьи заявителя исходя из сведений о составе семьи, содержащихся в заявлении о предоставлении субсидии, а также на основании пунктов 8(1) и 11 настоящих Правил. (в ред. Постановления Правительства РФ от 26.07.2018 N 871)

IV. Порядок определения размера субсидии

20. Размер субсидии исчисляется помесячно и зависит от размера расходов на оплату жилого помещения и коммунальных услуг, рассчитанных исходя из региональных стандартов стоимости жилищно-коммунальных услуг, региональных стандартов нормативной площади жилого помещения, используемой для расчета субсидий, и из регионального стандарта максимально допустимой доли расходов граждан на оплату жилого помещения и коммунальных услуг в совокупном доходе семьи (далее - региональные стандарты).

21. Размеры региональных стандартов устанавливаются органами государственной власти субъектов Российской Федерации.

22. Региональные стандарты стоимости жилищно-коммунальных услуг, устанавливаемые в соответствии с требованиями частей 1 и 6 статьи 159 Жилищного кодекса Российской Федерации из расчета на одного члена семьи для семей разной численности и одиноко проживающего гражданина, могут быть установлены раздельно по поселениям одного субъекта Российской Федерации, в том числе населенным пунктам, расположенным на межселенных территориях, городским округам, для следующих групп получателей субсидий, указанных в части 2 статьи 159 Жилищного кодекса Российской Федерации: (в ред. Постановления Правительства РФ от 30.07.2014 N 734)

а) пользователи жилого помещения в государственном или муниципальном жилищном фонде, наниматели жилого помещения по договору найма в частном жилищном фонде и члены жилищного кооператива, жилищно-строительного кооператива, иного специализированного потребительского кооператива, которым жилое помещение предоставлено в соответствии с требованиями законодательства Российской Федерации до приобретения ими права собственности на такое жилое помещение; (в ред. Постановления Правительства РФ от 30.07.2014 N 734)

б) собственники жилых помещений в многоквартирных домах, которые в соответствии с требованиями Жилищного кодекса Российской Федерации обязаны вносить взносы на капитальный ремонт; (в ред. Постановления Правительства РФ от 30.07.2014 N 734)

в) собственники жилых помещений в многоквартирных домах, которые в соответствии с требованиями части 2 статьи 169 Жилищного кодекса Российской Федерации не обязаны вносить взносы на капитальный ремонт, и собственники жилых домов. (в ред. Постановления Правительства РФ от 30.07.2014 N 734)

22(1). Региональные стандарты стоимости жилищно-коммунальных услуг, устанавливаемые раздельно по поселениям одного субъекта Российской Федерации, в том числе населенным пунктам, расположенным на межселенных территориях, городским округам, устанавливаются в зависимости от: (в ред. Постановления Правительства РФ от 30.07.2014 N 734)

а) стоимости коммунальных услуг в отопительный и межотопительный периоды, определяемой в соответствии с установленными Правительством Российской Федерации правилами предоставления коммунальных услуг собственникам и пользователям помещений в многоквартирных домах и жилых домов, в случае если органами государственной власти субъектов Российской Федерации в установленном Правительством Российской Федерации порядке не принято решение об осуществлении потребителями оплаты коммунальной услуги по отоплению равномерно за все расчетные месяцы календарного года. Сезонные региональные стандарты стоимости жилищно-коммунальных услуг применяются для расчета и предоставления субсидий начиная с установленного органом местного самоуправления соответственно дня начала или окончания отопительного периода; (в ред. Постановления Правительства РФ от 30.07.2014 N 734)

б) совокупной платы граждан за коммунальные услуги по электроснабжению, газоснабжению, отоплению, горячему и (или) холодному водоснабжению, водоотведению, обращению с твердыми коммунальными отходами на территории муниципального образования, определяемой с использованием установленных в соответствии с законодательством Российской Федерации тарифов на электрическую энергию, газ, тепловую энергию, горячую и (или) холодную воду, водоотведение, единого тарифа на услугу регионального оператора по обращению с твердыми коммунальными отходами и нормативов потребления коммунальных услуг, нормативов накопления твердых коммунальных отходов, а также предельного уровня цены на тепловую энергию (мощность), устанавливаемого в ценовых зонах теплоснабжения в соответствии с Федеральным законом "О теплоснабжении"; (в ред. Постановлений Правительства РФ от 27.02.2017 N 232, от 18.04.2018 N 464)

в) минимальных размеров взноса на капитальный ремонт общего имущества в многоквартирных домах, установленных для муниципального образования в соответствии с требованиями законодательства Российской Федерации. (в ред. Постановления Правительства РФ от 30.07.2014 N 734)

22(2). Определение регионального стандарта стоимости жилищно-коммунальных услуг в отношении платы за жилое помещение осуществляется исходя из минимального перечня услуг и работ, необходимых для обеспечения надлежащего содержания общего имущества в многоквартирном доме, и порядка их оказания и выполнения, установленного постановлением Правительства Российской Федерации от 3 апреля 2013 г. N 290 "О минимальном перечне услуг и работ, необходимых для обеспечения надлежащего содержания общего имущества в многоквартирном доме, и порядке их оказания и выполнения". (в ред. Постановления Правительства РФ от 30.07.2014 N 734)

22(3). По решению органов государственной власти субъектов Российской Федерации для расчета субсидий в отношении отдельных социально-демографических групп населения вместо регионального стандарта нормативной площади жилого помещения может применяться фактическая площадь жилого помещения, занимаемого получателем субсидии, относящимся к соответствующей социально-демографической группе населения. (в ред. Постановления Правительства РФ от 30.07.2014 N 734)

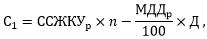
23. При среднедушевом доходе семьи равном или выше прожиточного минимума, установленного органами государственной власти субъекта Российской Федерации в соответствии с законодательством Российской Федерации, размер субсидии определяется по формуле:

где:

- размер субсидии (в рублях);

- размер установленного для муниципального образования регионального стандарта стоимости жилищно-коммунальных услуг на одного члена семьи для семей разной численности (в рублях);

n - количество лиц, входящих в состав семьи заявителя, определяемых в соответствии с пунктом 18 настоящих Правил;

- региональный стандарт максимально допустимой доли расходов граждан на оплату жилого помещения и коммунальных услуг в совокупном доходе семьи (в процентах);

Д - совокупный доход семьи (в рублях), исчисленный в порядке, установленном пунктом 40 настоящих Правил.

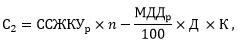
24. При среднедушевом доходе семьи ниже прожиточного минимума, установленного органами государственной власти субъекта Российской Федерации в соответствии с законодательством Российской Федерации, размер субсидии определяется по формуле:

где:

- размер субсидии (в рублях);

К - поправочный коэффициент, рассчитанный по формуле:

где:

СД - среднедушевой доход семьи (в рублях), исчисленный в соответствии с пунктом 39 настоящих Правил;

ПМ - величина прожиточного минимума семьи заявителя (в рублях), определяемая в соответствии с пунктом 26 настоящих Правил.

25. Если заявителю и (или) членам его семьи предоставлены льготы или меры социальной поддержки в виде скидок в оплате жилого помещения и коммунальных услуг, при расчете размера субсидии соответствующий размер регионального стандарта стоимости жилищно-коммунальных услуг умножается на коэффициент, рассчитанный по формуле:

где:

- коэффициент;

- размер платы за жилое помещение и коммунальные услуги с учетом предоставленной скидки;

- размер платы за жилое помещение и коммунальные услуги без учета предоставленной скидки.

26. Величина прожиточного минимума семьи заявителя определяется с учетом действующих в субъекте Российской Федерации на момент обращения за субсидией прожиточных минимумов для граждан различных социально-демографических групп по формуле:

где:

ПМ - величина прожиточного минимума (в рублях);

- величина прожиточного минимума для трудоспособного населения;

- величина прожиточного минимума для пенсионеров;

- величина прожиточного минимума для детей;

- количество лиц из состава семьи заявителя, принадлежащих к социально-демографической группе трудоспособного населения;

- количество лиц из состава семьи заявителя, принадлежащих к социально-демографической группе пенсионеров;

- количество лиц из состава семьи заявителя, принадлежащих к социально-демографической группе детей.

27. Размер предоставляемой субсидии не должен превышать фактические расходы семьи на оплату жилого помещения и коммунальных услуг. (в ред. Постановления Правительства РФ от 30.07.2014 N 734)

В случае предоставления получателю субсидии и (или) членам его семьи мер социальной поддержки по оплате жилого помещения и коммунальных услуг в виде денежных выплат и (или) компенсаций размер предоставляемой субсидии не должен превышать фактических расходов, уменьшенных на размер предоставленных мер социальной поддержки. (в ред. Постановления Правительства РФ от 30.07.2014 N 734)

Получатель субсидии не позднее 10 рабочих дней со дня истечения срока предоставления субсидии представляет уполномоченному органу документы или их копии, подтверждающие фактические расходы на оплату жилого помещения и коммунальных услуг, понесенные ежемесячно в течение срока получения последней субсидии. (в ред. Постановления Правительства РФ от 30.07.2014 N 734)

27(1). Уполномоченный орган в течение 5 рабочих дней со дня представления получателем субсидии документов, указанных в пункте 27 настоящих Правил, производит сравнение размера предоставленной субсидии с фактическими расходами на оплату жилого помещения и коммунальных услуг получателей субсидий. При этом сравнение размера предоставленной субсидии с фактическими расходами на оплату жилого помещения и коммунальных услуг получателей субсидий, использующих для отопления жилого помещения в качестве основного вида топлива твердое топливо (при наличии печного отопления), электроэнергию (при наличии электрических отопительных приборов) или газ (при наличии газовых отопительных приборов), а также получателей субсидий, осуществляющих в установленном порядке оплату коммунальной услуги отопления только во время отопительного периода по факту потребления тепловой энергии с использованием показаний приборов учета, производится уполномоченным органом суммарно за 2 срока предоставления субсидий подряд по окончании второго срока предоставления субсидий, в течение которого заканчивается отопительный период. В случае если субсидия на второй срок подряд не предоставлялась, сравнение производится за один период предоставления субсидии после его окончания. (в ред. Постановления Правительства РФ от 30.07.2014 N 734)

27(2). В случае если размер субсидии превысил фактические расходы семьи на оплату жилого помещения и коммунальных услуг, возврат средств в размере превышения производится в порядке, установленном пунктом 49 настоящих Правил. (в ред. Постановления Правительства РФ от 30.07.2014 N 734)

28. При изменении региональных стандартов, в том числе в связи с принятием решений, указанных в подпункте "а" пункта 22(1) настоящих Правил (в случае, указанном в пункте 31 настоящих Правил, - местных стандартов), размеров действующих в субъекте Российской Федерации прожиточных минимумов для граждан различных социально-демографических групп, а также условий и порядка предоставления субсидий перерасчет размеров субсидий производится уполномоченным органом с даты вступления в силу соответствующих изменений без истребования у получателей субсидий каких-либо документов. (в ред. Постановления Правительства РФ от 30.07.2014 N 734)

Если размер субсидии, исчисленный исходя из новых региональных стандартов или размеров прожиточных минимумов, меньше размера ранее предоставленной (выплаченной) субсидии, возврат излишне выплаченных средств за период с даты вступления в силу соответствующих изменений до даты перерасчета размера субсидии не производится. В случае если вновь рассчитанный размер субсидии превышает прежний размер, то средства, недоплаченные за период с даты вступления в силу соответствующих изменений до даты перерасчета размера субсидии, подлежат перечислению получателю субсидии в порядке, установленном пунктом 50 настоящих Правил.

29. В случае наступления событий, указанных в пункте 48 настоящих Правил, перерасчет размера субсидии производится при представлении получателем субсидии необходимых документов или получении уполномоченным органом от соответствующих органов (организаций) сведений об этих событиях. Субсидия во вновь рассчитанном размере предоставляется в сроки, указанные в пункте 44 настоящих Правил.

30. Результаты перерасчета размера субсидии отражаются в персональном деле. Сведения об изменении размера субсидии указываются в платежных документах или доводятся до сведения получателя субсидии иным образом в течение 10 рабочих дней с даты перерасчета.

31. Установленные органом местного самоуправления в случаях и порядке, определенных частью 11 статьи 159 Жилищного кодекса Российской Федерации, местные стандарты стоимости жилищно-коммунальных услуг, местные стандарты нормативной площади жилого помещения, используемой для расчета субсидий, и местные стандарты максимально допустимой доли расходов граждан на оплату жилого помещения и коммунальных услуг в совокупном доходе семьи могут применяться вместо всех или вместо отдельных соответствующих региональных стандартов. При этом местные стандарты стоимости жилищно-коммунальных услуг устанавливаются с учетом пунктов 22(1) и 22(2) настоящих Правил. (в ред. Постановления Правительства РФ от 30.07.2014 N 734)

Определение размеров субсидий с учетом местных стандартов осуществляется в порядке, установленном настоящими Правилами для определения размера субсидий с учетом региональных стандартов.

V. Порядок исчисления совокупного дохода семьи получателя субсидии

32. Совокупный доход семьи или одиноко проживающего гражданина для предоставления субсидии определяется за 6 последних календарных месяцев, предшествующих месяцу подачи заявления о предоставлении субсидии (далее - расчетный период).

33. При исчислении совокупного дохода семьи получателя субсидии независимо от раздельного или совместного проживания учитываются доходы граждан, являющихся по отношению к получателю субсидии или членам его семьи:

а) супругом (супругой);

б) родителями или усыновителями несовершеннолетних детей;

в) несовершеннолетними детьми, в том числе усыновленными.

34. Совокупный доход семьи или одиноко проживающего гражданина в целях предоставления субсидии исчисляется по правилам, установленным в абзаце втором статьи 5 и статьях 6 - 12 Федерального закона "О порядке учета доходов и расчета среднедушевого дохода семьи и дохода одиноко проживающего гражданина для признания их малоимущими и оказания им государственной социальной помощи" (Собрание законодательства Российской Федерации, 2003, N 14, ст. 1257), с учетом:

а) видов доходов, указанных в пункте 1 перечня видов доходов, учитываемых при расчете среднедушевого дохода семьи и дохода одиноко проживающего гражданина для оказания им государственной социальной помощи, утвержденного постановлением Правительства Российской Федерации от 20 августа 2003 г. N 512 (Собрание законодательства Российской Федерации, 2003, N 34, ст. 3374), за исключением денежных эквивалентов полученных членами семьи льгот и социальных гарантий, установленных органами государственной власти Российской Федерации, органами государственной власти субъектов Российской Федерации, органами местного самоуправления, в том числе льгот по оплате жилого помещения и коммунальных услуг, предоставляемых гражданам в виде скидок в оплате. Указанное изъятие применяется также в отношении одиноко проживающих граждан;

б) денежных выплат, предоставленных гражданам в качестве мер социальной поддержки по оплате жилого помещения и коммунальных услуг;

в) доходов, полученных от сдачи жилых помещений в поднаем;

г) компенсаций на оплату жилого помещения и коммунальных услуг, выплачиваемых отдельным категориям граждан;

д) денежных средств, выделяемых опекуну (попечителю) на содержание подопечного, а также предоставляемых приемной семье на содержание каждого ребенка; (в ред. Постановления Правительства РФ от 30.07.2014 N 734)

е) денежных средств, направленных на оплату обучения в организациях, осуществляющих образовательную деятельность, в случаях, когда такая оплата производится не из собственных доходов обучающихся либо проживающих совместно с ним членов его семьи, а за счет средств иных лиц, предоставляемых на безвозмездной и безвозвратной основе; (в ред. Постановлений Правительства РФ от 24.12.2008 N 1001, от 24.12.2014 N 1469)

ж) доходов, полученных от заготовки древесных соков, сбора и реализации (сдачи) дикорастущих плодов, орехов, грибов, ягод, лекарственных и пищевых растений или их частей, других лесных пищевых ресурсов, а также технического сырья, мха, лесной подстилки и других видов побочного лесопользования;

з) доходов охотников-любителей, получаемых от сдачи добытых ими пушнины, мехового или кожевенного сырья либо мяса диких животных;

и) ежемесячного пособия по уходу за ребенком. (в ред. Постановления Правительства РФ от 30.07.2014 N 734)

35. При исчислении размера совокупного дохода семьи или одиноко проживающего гражданина не учитываются:

а) виды доходов, указанных в абзаце двенадцатом подпункта "д" пункта 1 (кроме надбавок и доплат ко всем видам выплат, указанных в этом подпункте), пунктах 2 и 3 перечня видов доходов, учитываемых при расчете среднедушевого дохода семьи и дохода одиноко проживающего гражданина для оказания им государственной социальной помощи, утвержденного постановлением Правительства Российской Федерации от 20 августа 2003 г. N 512; (в ред. Постановления Правительства РФ от 18.06.2007 N 379)

б) до вступления в силу соответствующего федерального закона сумма ежемесячной денежной выплаты, установленной в соответствии с Законом Российской Федерации "О социальной защите граждан, подвергшихся воздействию радиации вследствие катастрофы на Чернобыльской АЭС" (в редакции Закона Российской Федерации от 18 июня 1992 г. N 3061-I), федеральными законами "О ветеранах" (в редакции Федерального закона от 2 января 2000 г. N 40-ФЗ), "О социальной защите инвалидов в Российской Федерации" и "О социальных гарантиях гражданам, подвергшимся радиационному воздействию вследствие ядерных испытаний на Семипалатинском полигоне";

в) денежные эквиваленты предоставляемых гражданам мер социальной поддержки по оплате жилого помещения и коммунальных услуг в виде скидок в оплате;

г) суммы ранее предоставленных субсидий на оплату жилого помещения и коммунальных услуг;

д) другие виды материальной поддержки в виде денежных выплат и (или) натуральной помощи, оказываемой гражданам за счет средств бюджетов различных уровней бюджетной системы Российской Федерации в соответствии с законодательством Российской Федерации, кроме указанных в подпунктах "б" и "г" пункта 34 настоящих Правил.

36. Если граждане не имеют возможности подтвердить документально какие-либо виды доходов, за исключением доходов от трудовой и индивидуальной предпринимательской деятельности, они могут самостоятельно их декларировать в заявлении. Такие сведения могут быть проверены уполномоченным органом в установленном законодательством Российской Федерации порядке.

37. Среднемесячный доход каждого члена семьи или одиноко проживающего гражданина определяется путем деления суммы его доходов, полученных в течение расчетного периода, на количество месяцев этого расчетного периода, в течение которых он имел данные доходы.

38. Среднемесячный совокупный доход семьи в расчетном периоде равен сумме среднемесячных доходов всех членов семьи.

39. Среднедушевой доход семьи в расчетном периоде исчисляется путем деления среднемесячного совокупного дохода семьи на количество членов семьи.

40. Совокупный доход семьи, учитываемый при расчете размера субсидии в соответствии с пунктами 23 и 24 настоящих Правил, равен произведению среднедушевого дохода семьи в расчетном периоде на количество лиц, входящих в состав семьи заявителя (получателя субсидии), определенное в соответствии с пунктом 18 настоящих Правил.

VI. Порядок предоставления субсидий

41. Гражданам и (или) членам их семьи, имеющим право на субсидии в соответствии с пунктами 2, 3 и 5 настоящих Правил, предоставляется одна субсидия на жилое помещение, в котором они проживают.

Субсидия предоставляется сроком на 6 месяцев. (в ред. Постановления Правительства РФ от 24.12.2008 N 1001)

Действие абзаца второго пункта 41 Правил приостановлено до 01.10.2020, в отношении граждан, являющихся получателями субсидий на оплату жилого помещения и коммунальных услуг (пункт 2 Постановления Правительства РФ от 02.04.2020 N 420).

42. Уполномоченный орган принимает решение о предоставлении субсидии или об отказе в ее предоставлении, рассчитывает размер субсидии или осуществляет перерасчет размера субсидии в соответствии с пунктом 29 настоящих Правил и направляет (вручает) соответствующее решение заявителю в течение 10 рабочих дней со дня получения всех документов, предусмотренных пунктами 8, 9, 27 и 48 настоящих Правил. (в ред. Постановления Правительства РФ от 30.07.2014 N 734)

42(1). Уполномоченный орган при принятии решения о предоставлении субсидии проводит проверку предоставленных сведений о доходах. (в ред. Постановления Правительства РФ от 30.07.2014 N 734)

Проверка осуществляется путем направления, в том числе в электронной форме с использованием единой системы межведомственного электронного взаимодействия и подключаемых к ней региональных систем межведомственного информационного взаимодействия, запросов в органы и организации, обладающие необходимой информацией. (в ред. Постановления Правительства РФ от 30.07.2014 N 734)

43. Действие (бездействие) уполномоченного органа при принятии решения о предоставлении субсидии, а также его решение об отказе в предоставлении субсидии либо неправильное определение ее размера могут быть обжалованы в суд.

44. При представлении документов, предусмотренных пунктами 8 и 9 настоящих Правил, с 1-го по 15-е число месяца субсидия предоставляется с 1-го числа этого месяца, а при представлении указанных документов с 16-го числа до конца месяца - с 1-го числа следующего месяца.

Указанные сроки предоставления субсидии действуют также в случае представления документов, предусмотренных пунктом 48 настоящих Правил, для осуществления перерасчета размера субсидии. (в ред. Постановления Правительства РФ от 30.07.2014 N 734)

44(1). Граждане, имеющие право на субсидию только в месяцы отопительного периода, могут подавать заявление о предоставлении субсидии в любой месяц, предшествующий началу отопительного периода. При этом днем начала предоставления субсидии считается день, определенный в соответствии с абзацем первым пункта 44 настоящих Правил, а выплата субсидии производится только в месяцы отопительного периода в пределах установленного абзацем вторым пункта 41 настоящих Правил срока предоставления субсидии. (в ред. Постановления Правительства РФ от 30.07.2014 N 734)

45. Уполномоченные органы ежемесячно до установленного в соответствии с частью 1 статьи 155 Жилищного кодекса Российской Федерации срока внесения платы за жилое помещение и коммунальные услуги перечисляют средства на имеющиеся или открываемые в выбранных получателями субсидий банках банковские счета или вклады до востребования. (в ред. Постановления Правительства РФ от 24.12.2008 N 1001)

По решению уполномоченного органа субсидии могут предоставляться путем выплаты (доставки) средств через организации связи или выплаты из кассы уполномоченного органа в случае отсутствия в населенных пунктах филиалов банков, а также в случае, если по состоянию здоровья, в силу возраста, из-за отсутствия пешеходной или транспортной доступности получатели субсидий не имеют возможности открывать банковские счета или вклады до востребования и пользоваться ими.

Часть субсидии, приходящаяся на приобретение твердых видов топлива (при наличии печного отопления), может перечисляться (выплачиваться) за весь срок предоставления субсидии единовременно в первом месяце периода предоставления субсидии.

46. Получатели субсидий вправе за счет субсидий производить оплату жилого помещения и любых видов предоставляемых им коммунальных услуг.

47. При изменении размера платы за содержание и ремонт жилого помещения в случае оказания услуг и выполнения работ по управлению, содержанию и ремонту общего имущества в многоквартирном доме ненадлежащего качества и (или) с перерывами, превышающими установленную продолжительность, и при изменении размера платы за коммунальные услуги в случае предоставления коммунальных услуг ненадлежащего качества и (или) с перерывами, превышающими установленную продолжительность, уменьшение размера субсидии не производится, за исключением случая, предусмотренного пунктом 27 настоящих Правил.

48. Получатель субсидии в течение одного месяца после наступления событий, предусмотренных подпунктами "а" и "б" пункта 60 настоящих Правил, обязан представить уполномоченному органу документы, подтверждающие такие события. (в ред. Постановления Правительства РФ от 24.12.2008 N 1001)

49. В случае если получатель субсидии в установленный срок не представил уполномоченному органу документы, указанные в пункте 48 настоящих Правил, необоснованно полученные в качестве субсидии средства засчитываются в счет будущей субсидии, а при отсутствии права на получение субсидии в последующие месяцы эти средства добровольно возвращаются получателем субсидии в бюджет, из которого была предоставлена субсидия. При отказе от добровольного возврата указанных средств они по иску уполномоченного органа истребуются в судебном порядке в соответствии с законодательством Российской Федерации. (в ред. Постановления Правительства РФ от 24.12.2008 N 1001)

50. В случае предоставления субсидии в завышенном или заниженном размере вследствие ошибки, допущенной уполномоченным органом при расчете размера субсидии, излишне выплаченные средства подлежат возврату в порядке, установленном пунктом 49 настоящих Правил, а недоплаченные средства выплачиваются получателю субсидии в месяце, следующем за месяцем, в котором была обнаружена ошибка. Выплата недоплаченных средств осуществляется и в том случае, когда месяц, в течение которого они должны быть перечислены, приходится на период, когда гражданин утратил право на получение субсидии.

VII. Особенности предоставления субсидий отдельным категориям граждан

51. Федеральные органы исполнительной власти (федеральные государственные органы), в которых законом предусмотрена военная служба, принимают решение о предоставлении субсидий: (в ред. Постановления Правительства РФ от 29.12.2016 N 1540)

а) сотрудникам, проходящим военную службу в указанных федеральных органах исполнительной власти (федеральных государственных органах), сведения о которых не подлежат разглашению; (в ред. Постановления Правительства РФ от 29.12.2016 N 1540)

б) лицам, проходящим либо проходившим военную службу по контракту за пределами Российской Федерации в территориальных органах, воинских частях, подразделениях, организациях и органах соответствующих федеральных органов исполнительной власти (федеральных государственных органов). (в ред. Постановления Правительства РФ от 29.12.2016 N 1540)

52. Гражданам, указанным в пункте 51 настоящих Правил, субсидии предоставляются в виде денежной выплаты в размере, рассчитываемом в соответствии с пунктами 23 и 24 настоящих Правил с учетом региональных стандартов.

53. Порядок оформления документов и направления сведений, необходимых для предоставления субсидий гражданам, указанным в пункте 51 настоящих Правил, а также порядок выплаты таким гражданам субсидий определяются соответствующими федеральными органами исполнительной власти (федеральными государственными органами), в которых законом предусмотрена военная служба, в пределах их компетенции. (в ред. Постановления Правительства РФ от 29.12.2016 N 1540)

54. Гражданам, проживающим в закрытых военных городках, субсидии предоставляются органом исполнительной власти субъекта Российской Федерации или управомоченным им государственным учреждением в порядке и на условиях, которые установлены пунктами 1 - 50 и 56 - 64 настоящих Правил. (в ред. Постановлений Правительства РФ от 18.06.2007 N 379, от 24.12.2008 N 1001)

55. В случае если размер регионального стандарта максимально допустимой доли расходов граждан на оплату жилого помещения и коммунальных услуг в совокупном доходе семьи превышает размер соответствующего федерального стандарта, при расчете размера субсидии, предоставляемой семье военнослужащего, проходящего военную службу по контракту, либо семье гражданина, уволенного с военной службы по достижении им предельного возраста пребывания на военной службе, по состоянию здоровья или в связи с организационно-штатными мероприятиями, общая продолжительность военной службы которого составляет 20 лет и более, а при общей продолжительности военной службы 25 лет и более вне зависимости от основания увольнения, применяется размер федерального стандарта максимально допустимой доли расходов граждан на оплату жилого помещения и коммунальных услуг в совокупном доходе семьи.

VIII. Условия приостановления и прекращения предоставления субсидий

56. Предоставление субсидий может быть приостановлено по решению уполномоченного органа при условии:

а) неуплаты получателем субсидии текущих платежей за жилое помещение и (или) коммунальные услуги в течение 2 месяцев;

б) невыполнения получателем субсидии условий соглашения по погашению задолженности, предусмотренного пунктом 6 настоящих Правил;

в) неисполнения получателем субсидии требований, предусмотренных пунктом 48 настоящих Правил.

57. Уполномоченные органы приостанавливают предоставление субсидий для выяснения причин возникновения (непогашения) задолженности по оплате жилого помещения и (или) коммунальных услуг, неисполнения требований, предусмотренных пунктом 48 настоящих Правил, но не более чем на один месяц.

58. При наличии уважительных причин возникновения условий, указанных в пункте 56 настоящих Правил (стационарное лечение, смерть близких родственников, невыплата заработной платы в срок и др.), предоставление субсидии по решению уполномоченного органа возобновляется вне зависимости от условий приостановления предоставления субсидии.

59. При отсутствии уважительных причин возникновения условий, указанных в пункте 56 настоящих Правил, предоставление субсидии возобновляется по решению уполномоченного органа после полного погашения получателем субсидии задолженности, образовавшейся в течение всего срока предоставления субсидии (в случае возникновения задолженности впервые - при согласовании срока погашения задолженности), либо после выполнения получателем субсидии требований, предусмотренных пунктом 48 настоящих Правил.

При принятии решения о возобновлении предоставления субсидии она выплачивается также и за тот месяц, в течение которого приостанавливалось предоставление субсидии.

60. Предоставление субсидии прекращается по решению уполномоченного органа при условии:

а) изменения места постоянного жительства получателя субсидии;

б) изменения основания проживания, состава семьи, гражданства получателя субсидии и (или) членов его семьи, размера доходов получателя субсидии и (или) членов его семьи, приходящихся на расчетный период (если эти изменения повлекли утрату права на получение субсидии); (в ред. Постановления Правительства РФ от 30.07.2014 N 734)

в) представления заявителем (получателем субсидии) и (или) членами его семьи заведомо недостоверной информации, имеющей существенное значение для предоставления субсидии или определения (изменения) ее размера, либо невыполнения требований, предусмотренных пунктом 48 настоящих Правил, в течение одного месяца с даты уведомления получателя субсидии о приостановлении предоставления субсидии (при отсутствии уважительной причины ее образования);

г) непогашения задолженности или несогласования срока погашения задолженности в течение одного месяца с даты уведомления получателя субсидии о приостановлении предоставления субсидии (при отсутствии уважительной причины ее образования).

61. Возврат в бюджет, из которого была необоснованно получена субсидия, при наличии условий, указанных в подпунктах "а" - "в" пункта 60 настоящих Правил, производится получателем субсидии добровольно, а в случае отказа от добровольного возврата - по иску уполномоченного органа в соответствии с законодательством Российской Федерации. (в ред. Постановления Правительства РФ от 24.12.2008 N 1001)

62. Решение о приостановлении предоставления субсидии или о прекращении предоставления субсидии доводится до сведения получателя субсидии в письменной форме в течение 5 рабочих дней с даты принятия решения с указанием оснований его принятия. Копия решения помещается в персональное дело.

63. Предоставление субсидии прекращается:

со дня принятия решения о прекращении предоставления субсидии в соответствии с подпунктами "а" - "в" пункта 60 настоящих Правил до окончания периода, на который субсидия предоставлялась;

со дня принятия решения о приостановлении предоставления субсидии в соответствии с пунктом 56 настоящих Правил до окончания периода, на который субсидия предоставлялась (при отсутствии оснований для возобновления предоставления субсидий).

64. Факт отсутствия (погашения) задолженности по оплате жилых помещений и коммунальных услуг, заключения и (или) выполнения получателями субсидий соглашений по погашению задолженности уполномоченный орган вправе проверить, запросив у наймодателей, управляющих организаций и организаций, оказывающих услуги и выполняющих работы по содержанию и ремонту общего имущества многоквартирных домов и предоставляющих коммунальные услуги, сведения о своевременности и полноте оплаты жилого помещения и коммунальных услуг.

IX. Финансирование расходов, связанных с предоставлением субсидий

65. Расходы, связанные с предоставлением субсидий, включают в себя расходы непосредственно на предоставление субсидий и расходы на обеспечение их предоставления.

66. Финансирование расходов на предоставление субсидий осуществляется из бюджетов субъектов Российской Федерации. (в ред. Постановления Правительства РФ от 24.12.2008 N 1001)

67. Финансирование расходов на предоставление субсидий гражданам, указанным в пункте 51 настоящих Правил, осуществляется за счет средств федерального бюджета, выделяемых на эти цели воинским частям, организациям и органам соответствующих федеральных органов исполнительной власти (федеральных государственных органов). (в ред. Постановлений Правительства РФ от 18.06.2007 N 379, от 29.12.2016 N 1540)

68.-69. Пункты утратили силу. (в ред. Постановления Правительства РФ от 24.12.2008 N 1001)

70. В случае применения органами местного самоуправления при расчете субсидий местных стандартов нормативной площади жилого помещения, используемой для расчета субсидий, местных стандартов стоимости жилищно-коммунальных услуг и местных стандартов максимально допустимой доли расходов граждан на оплату жилого помещения и коммунальных услуг в совокупном доходе семьи, отличных от установленных органами государственной власти субъектов Российской Федерации региональных стандартов, дополнительные расходы на предоставление субсидий финансируются за счет средств местного бюджета.

71. Порядок перечисления (выплаты, вручения) субсидий получателям субсидий устанавливается высшим исполнительным органом государственной власти субъекта Российской Федерации. (в ред. Постановления Правительства РФ от 24.12.2008 N 1001)