Приказ ФТС РФ от 18.12.2006 N 1329

"Об утверждении методологии исчисления системы индексов внешней торговли на основе данных таможенной статистики"
Редакция от 18.12.2006 — Не действует Перейти в действующую
Показать изменения

ФЕДЕРАЛЬНАЯ ТАМОЖЕННАЯ СЛУЖБА

ПРИКАЗ
от 18 декабря 2006 г. N 1329

ОБ УТВЕРЖДЕНИИ МЕТОДОЛОГИИ ИСЧИСЛЕНИЯ СИСТЕМЫ ИНДЕКСОВ ВНЕШНЕЙ ТОРГОВЛИ НА ОСНОВЕ ДАННЫХ ТАМОЖЕННОЙ СТАТИСТИКИ

Во исполнение плана реализации мероприятий аналитической программы ФТС России "Создание системы исчисления индексов внешней торговли" на период 2006 - 2008 гг., утвержденного Приказом ФТС России от 5 октября 2006 года N 966, приказываю:

1. Утвердить прилагаемую методологию исчисления системы индексов внешней торговли на основе данных таможенной статистики.

2. Считать утратившими силу Методологические положения по расчету системы индексов внешней торговли, утвержденные ГТК России 14 апреля 2003 года.

3. Контроль за исполнением настоящего Приказа возложить на заместителя руководителя ФТС России Т.Н. Голендееву.

Руководитель,
генерал-полковник
таможенной службы
А.Ю.БЕЛЬЯНИНОВ

Приложение
к Приказу ФТС России
от 18.12.2006 N 1329

МЕТОДОЛОГИЯ
ИСЧИСЛЕНИЯ СИСТЕМЫ ИНДЕКСОВ ВНЕШНЕЙ ТОРГОВЛИ НА ОСНОВЕ ДАННЫХ ТАМОЖЕННОЙ СТАТИСТИКИ

I. Общие положения

Система индексов внешней торговли предназначена для описания и анализа краткосрочной и долгосрочной динамики показателей внешней торговли: стоимости, цен и физического объема.

Настоящая методология является третьей разработкой, в ней учтена практика российской таможенной статистики и международные публикации по данной проблеме.

Система индексов внешней торговли Российской Федерации включает:

а) индивидуальные индексы стоимости, цен и физического объема для сопоставимых на низшем иерархическом уровне ТН ВЭД России товаров (10-значная товарная подсубпозиция);

б) сводные индексы:

- стоимости;

- физического объема по формулам Ласпейреса и Пааше;

- средних цен (удельной стоимости) по формуле Пааше;

в) индекс условий торговли как отношение сводных индексов средних цен экспорта и импорта (рассчитывается только для внешней торговли Российской Федерации в целом).

В целях повышения устойчивости сводных индексов для их исчисления сформирован базовый массив товаров (отдельно по экспорту и по импорту). В него включены товары, которые на уровне 6-значного кода ТН ВЭД России являются наиболее представительными в стоимости экспорта и импорта России и имеют динамику стоимости, схожую с динамикой общей стоимости экспорта и импорта России. Базовый массив может меняться, однако при его изменении следует осуществлять корректировку индексов предшествующего периода.

Сводные индексы стоимости, цен и физического объема представляются в следующих разрезах:

- экспорт и импорт Российской Федерации;

- экспорт и импорт Российской Федерации по группам стран (СНГ и дальнее зарубежье);

- экспорт и импорт по странам-контрагентам согласно перечню;

- экспорт и импорт по аналитическим разделам ТН ВЭД России;

- экспорт и импорт по аналитическим разделам ТН ВЭД России по группам стран (СНГ и дальнее зарубежье);

- экспорт и импорт по аналитическим разделам ТН ВЭД России по странам-контрагентам согласно перечню;

- экспорт и импорт по 2-значным позициям ТН ВЭД России;

- экспорт и импорт по 2-значным позициям ТН ВЭД России по группам стран (СНГ и дальнее зарубежье);

- экспорт и импорт по 2-значным позициям ТН ВЭД России по странам-контрагентам;

- экспорт и импорт по 4-значным позициям ТН ВЭД России в целом по России и по группам стран (СНГ и дальнее зарубежье);

- экспорт и импорт по 6-значным позициям ТН ВЭД России для базового массива товаров;

- экспорт и импорт по 8-значным позициям ТН ВЭД России для базового массива товаров.

В качестве первичной исходной информации при формировании индексов внешней торговли РФ используются данные, содержащиеся в грузовых таможенных декларациях (ГТД), для товаров, входящих в базовый массив:

- код направления (экспорт/импорт);

- код товара (согласно ТН ВЭД России);

- код страны происхождения/назначения (согласно классификатору Статистического бюро ООН);

- дата выпуска товара;

- статистическая стоимость;

- количество товара в основной единице измерения (вес нетто, кг), количество по дополнительным единицам измерения.

Средняя цена рассчитывается посредством деления стоимостного объема экспорта/импорта товара на его вещественно-натуральный объем - вес или количество в дополнительных единицах измерения (когда это определено дополнительно). Средняя цена рассчитывается для экспорта и для импорта по выделенным на низшем иерархическом уровне ТН ВЭД России товарам (10-значная товарная подсубпозиция) и странам-контрагентам.

Из массива исходных данных исключаются единицы совокупности (партии товаров), которые по коду ТН ВЭД России (и/или стране-контрагенту) несопоставимы с предыдущим годом.

Индексы исчисляются за месяц, квартал, полугодие, год.

Публикация индексов предусматривается в квартальных бюллетенях и годовых сборниках: "Таможенная статистика внешней торговли".

II. Принципы исчисления индексов внешней торговли в форме временных рядов по методу годового перекрытия

Индексы цен и физического объема исчисляются в форме временных рядов, что позволяет:

- согласовывать их значения внутри года и с индексом стоимостного объема;

- отражать долгосрочную динамику, конъюнктурные и сезонные колебания (тенденцию и все поворотные точки);

- обеспечивать возможность сравнения различных периодов последовательным образом, то есть оценивать на основе временного ряда индексов изменения по сравнению с любым периодом;

- последовательно сравнивать периоды различной продолжительности, а также последовательно сравнивать периоды и подпериоды.

Для построения временных рядов индексов и обеспечения возможности их смыкания методология основывается на единых методах представления статистики с использованием одних и тех же формул индексов базового и исходного периодов. Для обеспечения согласованности индексов, выполнения основных индексных соотношений применяются специальные процедуры, разработанные согласно рекомендациям МВФ и предполагающие на всех иерархических уровнях (от уровня 10-значного кода ТН ВЭД России и страны-контрагента до совокупных объемов экспорта и импорта) исчисление индексов по единым принципам в форме временных рядов с использованием метода годового перекрытия.

Основу исчисления индексов составляют индексы физического объема Ласпейреса, вычисленные в средних ценах предыдущего года с последующей увязкой между годами (с учетом соотношений между оценками в средних ценах текущего и предыдущего года) согласно следующей процедуре:

1) для каждого года вычисляются средние годовые цены как отношение стоимостного объема к количеству (по весу или - где это специально оговорено - в дополнительных единицах измерения, в настоящее время только по электроэнергии, учитываемой в кВтч);

2) для каждого месяца рассчитываются стоимостные объемы в среднегодовых ценах предыдущего года;

3) квартальные стоимостные объемы в ценах прошлого года вычисляются как суммы по трем месяцам, а годовые - как сумма стоимостных объемов по четырем кварталам;

4) рассчитываются средние стоимостные объемы для месяцев каждого года посредством деления годовых стоимостных объемов в ценах предыдущего года на 12;

5) рассчитываются краткосрочные индексы физического объема Ласпейреса на годовой основе;

6) рассчитываются краткосрочные индексы цен Пааше как отношение стоимостных объемов в текущих ценах к стоимостным объемам в ценах предыдущего года;

7) квартальные индексы цен выводятся как взвешенные средние месячных индексов, а годовые - из квартальных индексов цен для обеспечения соответствия годовых квартальных и месячных оценок, в которых весовыми коэффициентами служат данные в постоянных ценах. Месячные индексы цен Пааше рассчитываются на базе взвешенного среднего значения цен по каждой позиции для месяцев базового года, что позволяет обеспечить в базовом году аддитивность месячных, квартальных и годовых стоимостных оценок.

Такая процедура позволяет получать на нижнем иерархическом уровне индексы, отражающие изменения в каждом месяце по отношению к среднегодовому месячному уровню предыдущего года, долгосрочную динамику по отношению к среднегодовому месячному уровню исходного года, а также оперативные оценки месячного уровня по отношению к уровню предыдущего месяца.

III. Алгоритм исчисления индексов

Для формализованного представления процедуры, описанной в предыдущем разделе, используются следующие обозначения:

q - объем товара в натуральном выражении;

p - средняя цена товара;

pq - стоимость товара;

Ipq - индекс стоимости;

Ip - индекс средней цены;

Iq - индекс физического объема экспорта/импорта товаров;

L - надстрочный символ, указывающий на то, что индекс рассчитывается по формуле Ласпейреса;

P - надстрочный символ, указывающий на то, что индекс рассчитывается по формуле Пааше;

l - надстрочный символ, соответствующий краткосрочному индексу;

s - надстрочный символ, соответствующий долгосрочному индексу;

ex - подстрочный символ, указывающий на то, что индекс относится к экспорту;

im - подстрочный символ, указывающий на то, что индекс относится к импорту.

Основу расчетов индексов физического объема Ласпейреса составляют краткосрочные месячные индексы по отношению к предшествующему году.

1. На предварительном этапе рассчитываются средние цены предыдущего года:

(1)

где:

p_i, m, y-1 - цена по позиции i в месяце m года y-1;

q_i, m, y-1 - количественный показатель по позиции i в месяце m года y-1;

_i, y-1 - взвешенное по количественным показателям среднее арифметическое цен по позиции i в месяцах года y-1;

2. Краткосрочный месячный индекс физического объема на годовой основе рассчитывается в средних ценах предыдущего года (1) по формуле Ласпейреса:

(2)

где:

_i, y-1 - среднее арифметическое количественных показателей по позиции i в месяцах года y-1 (q_i, y-1 / 12).

3. Краткосрочные месячные индексы цен на годовой основе рассчитываются по формуле:

(3)

где:

- индекс цен Пааше для месяца m года y, в котором среднее значение года y-1 используется в качестве базового и исходного периода.

4. Краткосрочные (по отношению к предшествующему году) годовые индексы физического объема Ласпейреса также рассчитываются в ценах предшествующего года:

(4)

5. Краткосрочные годовые индексы цен рассчитываются по формуле Пааше:

(5)

6. Долгосрочный (месяц m года y по отношению к базисному году 0) месячный индекс физического объема Ласпейреса на годовой основе можно получать из краткосрочных годовых индексов по формуле:

(6)

Полученный по формуле 6 временной ряд индексов физического объема представляет собой цепочку базисных индексов, где в качестве базиса берется среднегодовое значение стоимости в базисном году.

На основе рассчитанных таким образом базисных индексов могут быть рассчитаны цепные индексы физического объема как отношение текущих базисных индексов к предшествующим.

Исчисление годовых базисных индексов (текущий год по отношению к базисному) осуществляется исходя из базисных месячных индексов по формуле среднего арифметического.

7. Долгосрочный квартальный индекс цен Пааше на годовой основе, предназначенный для оценки общих изменений от среднего значения цены в базисном году до цены текущего месяца, вычисляется по формуле:

(7)

Полученный индекс цен характеризует изменения цен по отношению к базисному году, но на его основе нельзя получить временной ряд цепных индексов (как это можно было сделать при расчете индексов физического объема), так как индексы цен исчисляются по формуле Пааше - переменного состава и включают в себя влияние структурных изменений. Их можно исключить, разделив полученный индекс цен на индекс структуры.

Полученный таким образом индекс цен постоянного состава позволяет рассчитывать цепные индексы как отношение текущих к предшествующим.

Такая система индексов позволяет отражать как изменения показателей внешней торговли в соседних месяцах, так и в соседние годы и к тому же прослеживать долгосрочную динамику.

8. Чтобы иметь возможность оценивать влияние структурных изменений на стоимостные объемы, наряду с индексами физического объема Ласпейреса рассчитываются также индексы физического объема по формуле Пааше:

(8)

9. Индекс структуры представляет собой отношение индекса физического объема по Пааше к индексу физического объема по Ласпейресу:

(9)

Он отражает влияние структурных изменений на стоимость.

10. Сводные индексы для более высоких уровней агрегирования рассчитываются поэтапно: агрегация осуществляется от низших классификационных групп к высшим:

- по экспорту и импорту на уровне 6-значных кодов без разбивки по странам;

- на уровне 4-значных кодов без разбивки по странам;

- на уровне 2-значных кодов без разбивки по странам;

- на уровне 2-значных кодов товаров с разбивкой по странам-контрагентам;

- на уровне аналитических разделов ТН ВЭД России без разбивки по странам;

- на уровне экспорта и импорта по всей совокупности товаров с разбивкой по странам-контрагентам;

- на уровне экспорта и импорта по всей совокупности товаров с разбивкой на СНГ и дальнее зарубежье;

- на уровне экспорта и импорта по всей совокупности товаров и по России в целом.

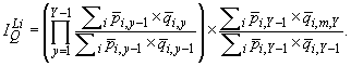
11. Замыкающим этапом в исчислении системы индексов внешней торговли является расчет индекса ценовых (реальных) условий торговли как отношения индекса средних цен экспорта к индексу средних цен импорта:

(10)

Он отражает динамику соотношения средних цен экспорта и импорта и отвечает на вопрос: во сколько раз больше (меньше) товаров можно импортировать в текущем периоде на сумму выручки от экспорта по сравнению с базисным периодом.

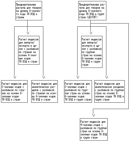
IV. Блок-схема алгоритма расчета индексов

Алгоритм расчета включает две составляющие. Первая из них, именуемая непосредственно алгоритмом расчета, отражает последовательность расчета индексов различных видов в соответствии с методом годового перекрытия. Она представлена на рисунке 1. Вторая составляющая, представленная на рисунке 2, для каждого вида индексов отражает расчет сводных индексов.

Рис. 1. Блок-схема расчета индексов

Сводные индексы исчисляются поэтапно:

1. Определяются индексы физического объема и цен на уровне 10-значных, 8-значных и 6-значных кодов по отобранному списку товаров для импорта и экспорта соответственно на низшей классификационной группе товаров (10-значного кода ТН ВЭД России);

2. Рассчитываются индексы на уровне 6-ти, 4-х, 2-значных кодов, а также на уровне аналитических разделов и импорта и экспорта в целом по отобранному списку товаров для импорта и экспорта соответственно на классификационной группировке ТН ВЭД России на уровне 6 знаков;

3. Вычисляются поправочные коэффициенты, являющиеся отношением индексов на уровне 6-значных кодов, рассчитанных непосредственно для товаров сгруппированных по значениям 6-значных кодов и как обобщение результатов расчета индексов для товаров, сгруппированных по значениям 10-значных кодов;

4. Проводится корректировка индексов на уровне 10-значных кодов путем умножения их на соответствующие поправочные коэффициенты;

5. Рассчитываются индексы на уровне 2-значных кодов, аналитических разделов и импорта и экспорта в целом по отобранному списку товаров для импорта и экспорта соответственно с разбивкой по всем странам, по странам из представленного перечня и с разбивкой на СНГ и дальнее зарубежье.

Алгоритм расчета сводных индексов представлен на рисунке 2.

Рис. 2. Блок-схема расчета сводных индексов

Начальник Управления
таможенной статистики и анализа
В.А.ТЕРЕХОВ