Приказ Минпромэнерго РФ от 04.10.2005 N 268

"Об организации в Министерстве промышленности и энергетики Российской Федерации работы по утверждению нормативов удельных расходов топлива на отпущенную электрическую и тепловую энергию от тепловых электростанций и котельных"
Редакция от 01.11.2007 — Документ не действует
Показать изменения

Зарегистрировано в Минюсте РФ 28 октября 2005 г. N 7117


МИНИСТЕРСТВО ПРОМЫШЛЕННОСТИ И ЭНЕРГЕТИКИ РОССИЙСКОЙ ФЕДЕРАЦИИ

ПРИКАЗ
от 4 октября 2005 г. N 268

ОБ ОРГАНИЗАЦИИ В МИНИСТЕРСТВЕ ПРОМЫШЛЕННОСТИ И ЭНЕРГЕТИКИ РОССИЙСКОЙ ФЕДЕРАЦИИ РАБОТЫ ПО УТВЕРЖДЕНИЮ НОРМАТИВОВ УДЕЛЬНЫХ РАСХОДОВ ТОПЛИВА НА ОТПУЩЕННУЮ ЭЛЕКТРИЧЕСКУЮ И ТЕПЛОВУЮ ЭНЕРГИЮ ОТ ТЕПЛОВЫХ ЭЛЕКТРОСТАНЦИЙ И КОТЕЛЬНЫХ

(в ред. Приказов Минпромэнерго РФ от 16.07.2007 N 267, от 01.11.2007 N 472)

В целях реализации Постановления Правительства Российской Федерации от 16 июня 2004 г. N 284 "Об утверждении Положения о Министерстве промышленности и энергетики Российской Федерации" (Собрание законодательства Российской Федерации, 2004, N 25, ст. 2566; N 38, ст. 3803; 2005, N 5, ст. 390) приказываю:

1. Пункт утратил силу. (в ред. Приказа Минпромэнерго РФ от 01.11.2007 N 472)

2. Утвердить прилагаемый Порядок расчета и обоснования нормативов удельных расходов топлива на отпущенную электрическую и тепловую энергию от тепловых электростанций и котельных.

3. Контроль за исполнением настоящего Приказа оставляю за собой.

Врио Министра
А.Г.РЕУС

ПОЛОЖЕНИЕ - Утратило силу. (в ред. Приказа Минпромэнерго РФ от 01.11.2007 N 472)

УТВЕРЖДЕН
Приказом
Минпромэнерго России
от 4 октября 2005 г. N 268

ПОРЯДОК
РАСЧЕТА И ОБОСНОВАНИЯ НОРМАТИВОВ УДЕЛЬНОГО РАСХОДА ТОПЛИВА НА ОТПУЩЕННУЮ ЭЛЕКТРИЧЕСКУЮ И ТЕПЛОВУЮ ЭНЕРГИЮ ОТ ТЕПЛОВЫХ ЭЛЕКТРОСТАНЦИЙ И КОТЕЛЬНЫХ

I. Общие положения

1. Нормированию подлежат расходы топлива на:

отпуск электрической энергии с шин и тепловой энергии с коллекторов тепловых электростанций, работающих на органическом топливе;

отпуск тепловой энергии с коллекторов котельных.

2. Нормирование расходов топлива производится для каждой тепловой электростанции (далее - ТЭС).

Нормирование расхода топлива на отпуск тепловой энергии с коллекторов отопительных (производственно-отопительных котельных) организаций жилищно-коммунальной сферы производится с учетом особенностей функционирования данной отрасли.

3. При нормировании удельных расходов топлива применяются понятия исходно-номинального и номинального удельного расхода топлива, норматива удельных расходов топлива.

Под исходно-номинальным удельным расходом топлива (b(исх)) понимается удельный расход топлива на отпуск электроэнергии или тепла, рассчитанный на основе энергетических характеристик оборудования при фиксированных значениях внешних факторов.

Номинальный удельный расход топлива (b(н)) - это удельный расход условного топлива на отпуск электроэнергии или тепла, рассчитанный на основе энергетических характеристик оборудования при фактических значениях внешних факторов.

Под нормативом удельных расходов топлива (далее - НУР) понимается максимально допустимая технически обоснованная мера потребления топлива на единицу отпускаемой потребителям энергии. Нормативы измеряются в граммах условного топлива на 1 киловатт-час (г/кВт.ч), килограммах условного топлива на одну гигакалорию (кг/Гкал).

4. НУР по организации в целом определяются на основе результатов расчетов этих показателей по ТЭС и котельным.

5. Первичными объектами расчетов НУР на ТЭС с паровыми турбинами являются группы (подгруппы) оборудования. Группой оборудования является совокупность конденсационных турбоагрегатов или турбоагрегатов с регулируемыми отборами пара и противодавлением (а для энергоблоков еще и с одинаковой мощностью), а также всех котлов (как пылеугольных, так и газомазутных), обеспечивающих работу данных турбоагрегатов. К подгруппе энергоблоков относится совокупность только пылеугольных или только газомазутных котлов и работающих совместно с ними конденсационных или теплофикационных турбоагрегатов с соответствующим давлением свежего пара и одинаковой мощностью. Подгруппой оборудования с поперечными связями является совокупность конденсационных или теплофикационных турбоагрегатов с одинаковыми параметрами свежего пара и котлов, обеспечивающих работу данных турбоагрегатов и сжигающих только твердое или газомазутное топливо.

Если на общий коллектор свежего пара работают пылеугольные и газомазутные котлы, то подгруппа оборудования с поперечными связями условно считается пылеугольной.

По ТЭС, оборудованных парогазовыми установками (далее - ПГУ) или газотурбинными агрегатами (далее - ГТУ), а также дизель-генераторами (далее - ДГ), расчеты НУР выполняются по каждой единице оборудования.

По отопительной (производственно-отопительной) котельной расчеты НУР производятся в целом по всем генерирующим источникам (за исключением электробойлеров).

6. По паротурбинным и газотурбинным ТЭС установленной электрической мощностью от 10 МВт и более и котельным теплопроизводительностью от 50 Гкал/ч и выше расчеты НУР выполняются на основе нормативно-технической документации (далее - НТД) по топливоиспользованию. Состав НТД по топливоиспользованию и требования к ее разработке приведены в разделе II настоящего Порядка.

По ТЭС мощностью менее 10 МВт и котельным теплопроизводительностью ниже 50 Гкал/ч, а также в случае временного отсутствия НТД по топливоиспользованию на ТЭС котельных большей мощности допускается использовать в расчетах экспертные оценки, основанные на отчетных или иных данных.

По дизель-генераторам в расчетах НУР используются паспортные, справочные данные и эксплуатационные показатели.

7. При расчете НУР не допускается учитывать перерасходы топлива из-за упущений в эксплуатационном и ремонтном обслуживании оборудования.

8. Выбор состава работающего оборудования и распределение электрических и тепловых нагрузок между электростанциями организации и отдельными агрегатами электростанций должны базироваться на принципах обеспечения надежного энергоснабжения потребителей и минимизации топливных затрат на отпуск энергии.

9. Расчеты НУР должны выполняться для каждого из месяцев периода регулирования. Показатели в целом за период регулирования рассчитываются по результатам их определения за каждый из месяцев периода. Объемы выработки электроэнергии и отпуска тепла принимаются в соответствии с энергобалансами.

10. В документы, обосновывающие значение нормативов, представляемых в Минпромэнерго России, включаются:

сводная таблица результатов расчетов нормативов удельных расходов топлива на отпущенные электроэнергию и тепло, подготовленная согласно приложению 1 к настоящему Порядку;

пояснительная записка по ТЭС и котельным, подведомственным организации;

расчеты НУР по каждой ТЭС и котельной на каждый месяц периода регулирования и в целом за расчетный период. При выполнении расчетов удельных расходов топлива на основе НТД по топливоиспользованию в обосновывающем материале должны быть приведены заполненные макеты (входящие в состав НТД по топливоиспользованию) по каждой ТЭС и котельной по каждому из месяцев расчетного периода.

В пояснительной записке должны быть отражены:

прогнозируемые объемы производства энергии с указанием источников их получения;

значения внешних факторов: структура и качество сжигаемого топлива, температура наружного воздуха, температуры воды в источнике водоснабжения;

обоснование состава работающего оборудования, принципов распределения электрических и тепловых нагрузок между ТЭС, между турбоагрегатами ТЭС, между источниками теплоснабжения ТЭС (регулируемые и нерегулируемые отборы, редукционно-охладительные установки (далее - РОУ), пиковые водогрейные котлы (далее - ПВК)).

II. Состав нормативно-технической документации по топливоиспользованию паротурбинных, газотурбинных ТЭС и котельных и требования к ее разработке

11. Нормативно-техническая документация по топливоиспользованию разрабатывается для паротурбинных и газотурбинных ТЭС установленной электрической мощностью от 10 МВт и более и котельных теплопроизводительностью от 50 Гкал/ч и выше.

12. В состав нормативно-технической документации по топливоиспользованию тепловой электростанции входят:

энергетические характеристики котлов каждой из подгрупп оборудования;

энергетические характеристики турбоагрегатов каждой из подгрупп оборудования;

зависимости технологических потерь тепла, связанных с отпуском тепла каждой из подгрупп оборудования;

зависимости абсолютных или удельных затрат электроэнергии и тепла на собственные нужды каждой из подгрупп оборудования, электростанции в целом;

пояснительная записка по разработке энергетических характеристик оборудования и зависимостей затрат электроэнергии и тепла на собственные нужды;

графики исходно-номинальных удельных расходов топлива на отпускаемые электроэнергию и тепло;

графики минимальных электрических нагрузок каждой теплофикационной подгруппы оборудования;

макеты расчета номинальных показателей оборудования и нормативов удельных расходов топлива;

план организационно-технических мероприятий по реализации резервов тепловой экономичности и рациональному использованию топливно-энергетических ресурсов, разработанный на основе обязательных энергетических обследований;

отчетные данные о номинальных и фактических удельных расходах топлива за последние 3 года, предшествующих разработке НТД по топливоиспользованию.

Нормативно-техническая документация по топливоиспользованию котельной включает:

энергетические характеристики каждого типа установленных паровых и водогрейных котлов;

зависимости абсолютных или удельных затрат тепла на собственные нужды;

зависимости затрат мощности на механизмы котельной (дутьевые вентиляторы, дымососы, питательные насосы, сетевые насосы и др.);

пояснительную записку по разработке энергетических характеристик оборудования и зависимостей затрат тепла на собственные нужды;

графики исходно-номинальных удельных расходов топлива на отпускаемое тепло;

макет расчета номинальных показателей и нормативов удельных расходов топлива;

план организационно-технических мероприятий по реализации резервов тепловой экономичности и рациональному использованию топливно-энергетических ресурсов, разработанный на основе обязательных энергетических обследований;

отчетные данные о номинальных и фактических удельных расходах топлива за последние 3 года, предшествующих разработке НТД по топливоиспользованию.

Нормативно-техническая документация по топливоиспользованию отопительной (производственно-отопительной котельной) организаций жилищно-коммунального хозяйства включает:

технические характеристики оборудования и режимы функционирования;

энергетические характеристики котлов;

характеристики используемого топлива;

режимные карты, разработанные по результатам режимно-наладочных испытаний;

показатели расхода тепла на собственные нужды котельной за отчетный год;

план организационно-технических мероприятий по рациональному использованию и экономии топливно-энергетических ресурсов, разработанный на основе обязательных энергетических обследований;

отчетные данные о номинальных и фактических удельных расходах топлива за последние 3 года, предшествующих разработке НТД по топливоиспользованию.

13. Энергетическая характеристика агрегата (далее - ЭХ) представляет собой комплекс зависимостей номинальных и исходно-номинальных значений параметров и показателей его работы в абсолютном, удельном или относительном исчислении от нагрузки или других нормообразующих показателей при фиксированных значениях внешних факторов.

ЭХ разрабатывается для конкретной тепловой схемы технически исправного агрегата с учетом его конструктивных особенностей, условий и режимов эксплуатации, наработки ресурса.

ЭХ отражает максимально возможную эффективность использования энергоресурсов агрегатом при условии отсутствия упущений в его эксплуатации, техническом обслуживании и ремонте.

ЭХ включает систему поправок, обеспечивающих возможность оценки изменения объемов потребления энергоресурсов агрегатом при изменении внешних факторов и отклонении фактических значений параметров и показателей от параметров и показателей ЭХ.

К внешним факторам относятся объективные факторы, оказывающие влияние на экономичность работы оборудования, значения которых не зависят от деятельности производственного персонала и подрядных ремонтных организаций.

В качестве исходных данных при разработке ЭХ оборудования используются:

результаты представительных балансовых испытаний;

данные режимно-наладочных или экспресс-испытаний;

типовые энергетические характеристики (далее - ТЭХ) оборудования.

Балансовые испытания выполняются на оборудовании, прошедшем капитальный ремонт и имеющем более высокие эксплуатационные значения показателей тепловой экономичности по сравнению с остальным однотипным оборудованием ТЭС или котельной.

При отсутствии результатов испытаний и ТЭХ в качестве исходных данных для разработки временных ЭХ, со сроком действия не более 1 года, могут быть использованы лучшие эксплуатационные показатели или данные заводов - изготовителей оборудования.

14. При разработке ЭХ, при соответствующем обосновании допускается учитывать точность исходного материала, использованного при разработке энергетических характеристик, старение (износ) оборудования, наличие неустранимых дефектов проектирования, изготовления и монтажа. Эксплуатационный допуск в силу своей объективности учитывается без дополнительных обоснований, так как отражает ухудшение экономичности оборудования в межремонтный период.

Точность исходного материала отражает погрешности тепловых испытаний, типовых энергетических характеристик.

Старение (износ) оборудования характеризует технологически невосстанавливаемый ремонтами естественный физический износ оборудования при длительной его эксплуатации, приводящий к ухудшению технического состояния, снижению экономичности и надежности работы.

15. Приводимые в составе энергетических характеристик оборудования поправки на изменение параметров и показателей должны обеспечить:

определение номинальных значений параметров или показателей при фактических или прогнозируемых значениях внешних факторов;

оценку резерва тепловой экономичности оборудования вследствие отклонения фактического значения параметра или показателя от его номинального значения.

16. Графики исходно-номинальных удельных расходов топлива рассчитываются и строятся:

для каждой группы (подгруппы) оборудования электростанции для зимнего и летнего периодов при характерных сочетаниях работающего оборудования, средних значениях отпуска тепла в реальном диапазоне изменения электрических нагрузок;

для паровых и водогрейных котлов котельной для характерных сочетаний работающих котлов в реальном диапазоне изменения тепловых нагрузок.

На графиках указываются:

параметры, условия и значения внешних факторов, при которых построены графики;

поправки к удельным расходам топлива на изменение внешних факторов и условий;

сочетания работающих агрегатов;

потери топлива при пусках оборудования из различных тепловых состояний;

значения коэффициентов резерва тепловой экономичности по отпуску тепла и электроэнергии и степени их использования.

Под резервом тепловой экономичности оборудования (дельтаb_р) понимается положительная разность между фактическим и номинальным (b(н)) значениями удельных расходов топлива:

дельтаb   = b - b н
p

Величина резерва тепловой экономичности на момент разработки НТД находит отражение в коэффициенте резерва тепловой экономичности оборудования (к_р), представляющем собой отношение резерва тепловой экономичности оборудования к номинальному удельному расходу топлива:

    дельтаb     b - b н
к   = p =  
р b н   b н  
               

Составляющими резерва тепловой экономичности являются расходы топлива (абсолютные или удельные), эквивалентные отклонениям фактических параметров и показателей работы оборудования от их номинальных значений.

Под степенью использования резерва тепловой экономичности оборудования (мю_i) понимается доля резерва, предусмотренная к реализации к концу каждого года (и последнего месяца) периода действия НТД по топливоиспользованию:

    дельтаb  
мю   = pi
i дельтаb  
    p

17. Графики минимальных электрических нагрузок строятся для каждой теплофикационной подгруппы оборудования электростанции для зимнего, переходного (весна, осень) и летнего периодов в реальном диапазоне изменений значений отпуска тепла при минимальном количестве находящихся в работе турбоагрегатов и котлов.

18. Макет расчета номинальных показателей и нормативов удельных расходов топлива представляет собой таблицу, отражающую порядок расчета, определяющую источники первичной информации и содержащую расчетные формулы.

Макеты разрабатываются по группам (подгруппам) оборудования, учитывают состав оборудования и особенности его тепловых схем, режимы работы, виды сжигаемого топлива.

Макеты должны отражать:

исходно-номинальные значения показателей, определенные по энергетическим характеристикам (без внесения поправок) при фактических средних нагрузках. Показатели турбоагрегатов должны определяться для каждого из режимов их работы (конденсационный, с одним или двумя регулируемыми отборами пара, с одно- или двухступенчатым подогревом сетевой воды);

фактические значения внешних факторов, показатели, характеризующие объемы производства энергии, режимы работы оборудования, пуски;

значения поправок к показателям на отличие фактических значений внешних факторов от принятых при построении энергетических характеристик;

номинальные значения основных и промежуточных показателей агрегатов для фактических режимов работы и значений внешних факторов;

значения поправок к удельным расходам топлива на стабилизацию режимов, освоение вновь введенного оборудования;

нормативы удельных расходов топлива.

19. Пояснительная записка, отражающая результаты разработки НТД по топливоиспользованию, должна содержать следующие данные:

наименования исходных материалов, на основе которых разработаны энергетические характеристики;

продолжительность работы с начала эксплуатации или от даты проведения испытаний каждого агрегата, для которого применяется характеристика (при составлении одной характеристики для нескольких однотипных агрегатов);

значения допусков на эксплуатационные условия;

значения коэффициентов, учитывающих старение оборудования, точность исходных материалов, наличие неустранимых дефектов проекта, изготовления и монтажа оборудования.

20. НТД по топливоиспользованию оформляется по каждой группе (подгруппе) оборудования ТЭС и по котельной в целом в составе двух книг.

В первую книгу включаются энергетические характеристики котлов и турбоагрегатов, графики исходно-номинальных затрат энергии на механизмы и установки собственных нужд, графики технологических потерь тепла. Титульный лист первой книги оформляется по форме согласно приложению 2 к настоящему Порядку.

Во вторую книгу включаются краткая пояснительная записка, отражающая результаты пересмотра (разработки) НТД по топливоиспользованию, графики минимальных электрических нагрузок, графики исходно-номинальных удельных расходов топлива, макет расчета номинальных показателей, нормативов удельных расходов топлива. Титульный лист второй книги оформляется по форме согласно приложению 3 к настоящему Порядку.

Каждый лист первой книги, содержащий графические зависимости показателей, листы второй книги, на которых представлены графики исходно-номинальных удельных расходов топлива, а также последний лист макета должны быть подписаны руководством ТЭС или котельной.

21. Срок действия НТД по топливоиспользованию определяется в установленном порядке в зависимости от степени ее проработки и представительности исходных материалов, но не может превышать 5 лет. По окончании срока действия НТД должна быть пересмотрена, продление срока действия НТД не допускается. НТД пересматривается за квартал до окончания срока ее действия.

Внеочередной пересмотр НТД производится при:

переводе котлов на сжигание топлива другого вида или другой марки;

переводе турбоагрегатов с конденсацией пара на работу с противодавлением или ухудшенным вакуумом;

реконструкции турбоагрегатов с организацией регулируемого отбора или с увеличением отпуска пара из регулируемого отбора;

вводе нового оборудования;

изменении условий и режимов работы оборудования.

III. Методика расчета нормативов удельных расходов топлива по ТЭС и котельным

Расчет НУР на основе нормативно-технической документации по топливоиспользованию

22. При наличии на ТЭС утвержденной в установленном порядке нормативно-технической документации по топливоиспользованию НУР на отпускаемую электростанцией электроэнергию и тепло (районной котельной - на отпускаемое тепло) рассчитываются в последовательности, регламентированной макетом расчета номинальных показателей и нормативов удельных расходов топлива, входящим в состав действующей нормативно-технической документации по топливоиспользованию.

Расчеты выполняются по каждому турбоагрегату и каждому типу котлов.

По подгруппе в целом показатели определяются путем суммирования или взвешивания результатов расчетов показателей турбоагрегатов и котлов, входящих в ее состав. В целом по электростанции (котельной) показатели определяются на основе результатов их расчетов по отдельным подгруппам.

В качестве исходных данных принимаются ожидаемые по электростанции (котельной) значения показателей, характеризующих объемы производства энергии, режимы и условия эксплуатации, внешние факторы, резервы тепловой экономичности и степень их использования.

К основным из этих показателей относятся (для каждого из месяцев периода прогнозирования):

выработка электроэнергии;

расходы и параметры пара, отпускаемого внешним потребителям;

отпуск тепла в теплосеть;

структура сжигаемого топлива и его характеристики;

температура наружного воздуха;

температуры охлаждающей и исходной воды;

состав работающих турбоагрегатов и котлов.

Применительно к конкретной электростанции (котельной) полный состав исходных данных указывается в макете, входящем в состав НТД по топливоиспользованию.

При тарифном прогнозировании в макеты вносятся рассматриваемые ниже изменения, касающиеся в основном способов получения исходных данных и определения отдельных показателей турбоагрегатов и котлов.

Выработка электроэнергии электростанциями принимается в соответствии с энергобалансами.

Ожидаемые значения отпуска тепла электростанцией (котельной) внешним потребителям с паром фиксированного давления (Q_п) и с сетевой водой (Q_сет.в), Гкал, рассчитываются по формулам:

(1)
   
(2)

где D_потрj - отпуск пара j-ому потребителю, т. Значения D_потрj принимается на основании заявок потребителей;

i_пi - энтальпия пара в коллекторе, от которого обеспечивается отпуск пара, ккал/кг. Принимается по эксплуатационным данным или рассчитывается по параметрам пара, оговоренным в заявках на теплоснабжение потребителей;

- энтальпия возврата конденсата j-ым потребителям пара, ккал/кг;

, G_подпi - расходы прямой и подпиточной воды по i-ой магистрали теплосети, т. Принимаются на основе заявок потребителей;

i_прям, i_обр - энтальпии прямой и обратной сетевой воды, ккал/кг. Соответствуют температурному графику тепловой сети для ожидаемой средней температуры наружного воздуха;

i_исх - энтальпия воды в источнике водоснабжения, ккал/кг.

23. При расчете прогнозируемых тепловых нагрузок производственных и теплофикационных отборов турбин в обязательном порядке должен соблюдаться принцип их приоритетного использования по сравнению с другими источниками теплоснабжения пиковыми водогрейными котлами (далее - ПВК), редукционно-охладительными установками (далее - РОУ).

Суммарный отпуск тепла из производственных отборов (противодавления) турбин (Q_по), Гкал, подключенных к коллектору пара одного давления, в общем виде определяется по формуле:

(3)

где D_сн, D_хн, D_пб - расходы пара от коллектора на собственные, хозяйственные нужды, пиковые бойлеры, т;

D_роу - расход пара в коллектор от РОУ, подключенных к источнику пара более высокого давления, т;

i_к - средняя энтальпия конденсата (возвращаемого от внешних потребителей, потребителей собственных и хозяйственные нужды) и добавка, восполняющего его невозврат, перед регенеративным подогревателем (деаэратором), подключенным к коллектору, ккал/кг;

Расход пара на собственные нужды рассчитывается по соответствующим зависимостям, входящим в состав энергетических характеристик оборудования.

На хозяйственные нужды расходы пара принимаются по отчетным данным.

Расходы тепла на пиковые бойлеры рассчитываются по уравнениям теплового баланса.

Загрузка РОУ допускается при дефиците пара отборов турбин (противодавления).

Отпуск тепла из теплофикационных отборов турбин в общем случае включает в себя:

отпуск тепла внешним потребителям, на собственные и хозяйственные нужды от подогревателей, подключенных к этим отборам;

расходы тепла на подпитку теплосети и на нагрев добавка, восполняющего невозврат конденсата от потребителей пара отборов более высокого потенциала.

Ожидаемое значение суммарного отпуска тепла из теплофикационных отборов турбин, Гкал, может быть рассчитано по формуле:

(4)

где Q_пвк - ожидаемый отпуск тепла от ПВК, Гкал. Отпуск тепла от пиковых водогрейных котлов (пиковых бойлеров), Гкал, рассчитывается на основе прогноза продолжительности стояния температур наружного воздуха (тау_tнв), при которых необходимо их включение для обеспечения выполнения температурного графика теплосети:

(5)

где - расход сетевой воды через пиковые водогрейные котлы или пиковые бойлеры, т/ч;

i'_с.в, i''_с.в - энтальпии сетевой воды перед ПВК (пиковыми бойлерами) и за ними, ккал/кг.

При распределении электрических и тепловых нагрузок между отдельными агрегатами электростанции необходимо стремиться к минимизации затрат тепла турбинной установкой на выработку электроэнергии.

Для этой цели целесообразно применять специальные компьютерные программы. При отсутствии таких программ необходимо руководствоваться следующими рекомендациями.

В случае работы электростанции в расчетном периоде по тепловому графику в первую очередь должны загружаться отборы турбин с наибольшей по сравнению с другими турбинами подгруппы полной удельной выработкой электроэнергии по теплофикационному циклу.

При работе электростанции по электрическому графику распределение тепловых и электрических нагрузок должно производиться взаимосвязанно.

При наличии на электростанции нескольких подгрупп оборудования целесообразно в период максимума электрической нагрузки передавать тепловые нагрузки на подгруппу с более низкими начальными параметрами свежего пара с целью максимального ограничения ею конденсационной выработки электроэнергии. Причем больший эффект может быть обеспечен при передаче теплофикационной нагрузки.

При работе турбин с электрическими нагрузками, близкими к номинальным, для достижения максимальной теплофикационной выработки электроэнергии отборы однотипных агрегатов следует нагружать равномерно.

Летний период работы агрегатов с низкими нагрузками предопределяет неравномерный характер распределения тепловой нагрузки между турбинами вплоть до ее передачи на одну из них.

При параллельной работе турбин типа ПТ и Р в первую очередь, как показывают расчеты, должны нагружаться отборы турбин типа ПТ до достижения наибольших значений полной удельной теплофикационной выработки электроэнергии.

При распределении тепловых нагрузок должны быть учтены:

ограничения заводов-изготовителей по минимальной загрузке отборов турбин;

особенности схемы теплофикационной установки в части отпуска тепла внешним потребителям и на собственные нужды;

надежность теплоснабжения потребителей.

После распределения тепловых нагрузок по диаграммам режимов и нормативным характеристикам определяются минимальная электрическая мощность каждой турбины и минимальная выработка электроэнергии электростанцией (Э_мин), тыс. кВт.ч:

(6)

где N_р, - мощность, развиваемая турбинами типа Р (или турбинами типа ПТ, Т при работе с ухудшенным вакуумом) и минимальная мощность турбин типа ПТ и Т при заданных нагрузках отборов (противодавления), тыс. кВт.

Значение включает в себя теплофикационную мощность и мощность, развиваемую на вентиляционном пропуске пара в конденсатор при полностью закрытой диафрагме цилиндра низкого давления (далее - ЦНД). Факторы, увеличивающие сверх минимально необходимого уровня (неплотность регулирующей диафрагмы цилиндра низкого давления, рост температуры выхлопного патрубка сверх допустимого уровня и т.д.), должны быть подтверждены соответствующими документами. Конденсационная выработка электроэнергии, подлежащая распределению между турбинами (дельтаЭ_кн), тыс. кВт.ч, определяется по формуле:

дельтаЭ_кн = Э - Э_мин (7)

Распределение дельтаЭ_кн между турбинами производится на основе предварительно рассчитанных характеристик относительных приростов расходов тепла на выработку электроэнергии по конденсационному циклу (дельтаq_кн) для всех возможных сочетаний агрегатов. В первую очередь загружаются агрегаты, имеющие наименьшие значения дельтаq_кн.

Распределение отпуска тепла внешним потребителям в паре одного давления или с сетевой водой между подгруппами электростанции производится пропорционально тепловым нагрузкам отборов турбин (Q_по, Q_то), входящих в состав подгруппы.

Отпуск тепла от пиковых водогрейных котлов распределяется по подгруппам оборудования электростанции пропорционально отпуску тепла с сетевой водой.

Необходимые для расчетов значения часовых расходов свежего пара (D_о) и пара в конденсаторы (D_2) по отдельным турбинам с достаточной для целей прогнозирования точностью могут быть рассчитаны по формулам, т/ч:

(8)
   
(9)

где q_т.ин - исходно-номинальный удельный расход тепла брутто по турбине, ккал/кВт.ч;

К - коэффициент соотношения расхода тепла и свежего пара на турбину. Может быть принят равным 0,6 - 0,7 или рассчитан по формуле:

К = i_о - i_пв + альфа_пп х дельтаi_пп, (10)

где i_о, i_пв, дельтаi_пп - энтальпии свежего пара, питательной воды, прирост энтальпии в тракте промперегрева, ккал/кг;

альфа_пп - доля пара промперегрева от расхода свежего пара;

эта_эм - электромеханический КПД, %. Принимается равным 97%;

дельтаQ_изл - потери тепла через теплоизоляцию турбины, Гкал/ч.

Для турбин мощностью 25,50 и 100 мВт могут быть приняты 0,49; 0,61 и 1,18 Гкал/ч.

Параметры свежего пара, пара после промперегрева должны соответствовать значениям, принятым в нормативных характеристиках турбин в качестве номинальных.

Давление пара в камерах производственных отборов турбин рассчитывается по формуле, кгс/см2:

Р_п = SUM Р_потр.j х D_потр.j / SUM D_потр.j + дельтаР_п.пот, (11)

где P_потр.j, D_потр.j - давление, кгс/см2, и расход пара, т, по каждому внешнему потребителю (на выводах со станции).

Принимаются в соответствии с заключенными договорами с потребителями;

дельтаР_п.пот - потери давления в паропроводах от выводов до камеры отбора турбины, кгс/см2.

Давление пара в камерах теплофикационных отборов турбин определяется в следующей последовательности:

1. Прогнозируемый период разбивается на две части: период совместной работы ПВК или пиковых бойлеров и отборов (п_сут) и период отпуска тепла только из отборов (т_сут).

По средней ожидаемой за п_сут и т_сут температуре наружного воздуха (, ) определяется температура прямой сетевой воды (t_пр.св), град. С, на основании температурного графика тепловой сети:

(12)
   
(13)

2. Рассчитывается средняя температура сетевой воды за основными подогревателями (), град. С:

(14)

где дельта t_св.пвк.пб - нагрев сетевой воды в ПВК или пиковых бойлерах, град. С;

(15)

- температура сетевой воды за основными подогревателями, соответствующая максимальному давлению пара в теплофикационных отборах ( ), град. С;

(16)

- температура насыщения при давлении , град. С;

Qt_под - номинальный температурный напор в основных сетевых подогревателях, град. С.

3. Определяются средняя температура насыщения и собственно давление пара в камере отбора турбины:

(17)
   
(18)

где дельтаP_т.пот - потери давления в паропроводах от выводных коллекторов до камеры отбора i-ой турбины, кгс/см2.

Увеличение расхода тепла на производство электроэнергии при условном отсутствии отпуска тепла внешним потребителям из отборов и противодавления турбин (дельтаQ_э(отр)), Гкал, определяется по формулам:

для турбин типа ПТ, Т:

(19)

для турбин типа Р, ПР:

(20)

где , q_т - удельные расходы тепла брутто по турбине при отсутствии отпуска тепла из отборов (регуляторы давления в обоих отборах включены) и при прогнозируемой электрической нагрузке, ккал/кВт.ч;

q_кн - удельный расход тепла на турбину с конденсатором, имеющей такие же параметры свежего пара, как и по турбинам типа Р, ПР при прогнозируемой электрической нагрузке при отсутствии отпуска тепла из отборов (регуляторы давления в отборах включены), ккал/кВт.ч;

Э_т - прогнозируемая выработка электроэнергии турбиной, тыс. кВт.ч;

К_от - отношение по подгруппе отпуска тепла внешним потребителям отработавшим паром к суммарной нагрузке отборов.

Для турбин с конденсацией пара при отпуске тепла из конденсатора за счет "ухудшенного" вакуумом значение () допускается принимать равным величине отпуска тепла из конденсатора.

Конечной целью выполнения расчетов по турбинной установке является получение по подгруппам оборудования прогнозируемых значений:

абсолютных и удельных расходов тепла брутто на выработку электроэнергии (Q_э, Гкал и q_т, ккал/кВт.ч);

абсолютных и удельных расходов тепла (, Гкал и , %) и электроэнергии (, тыс. кВт.ч и , %) на собственные нужды;

удельного расхода тепла нетто (, ккал/кВт.ч).

24. Количество работающих в прогнозируемом периоде котлов каждого типа (n_1, n_2 ...n_ m) в подгруппе выбирается исходя из суммарной потребности в тепле на турбины, загрузки котлов на уровне 80 - 90% от номинальной теплопроизводительности, а также графика ремонтов оборудования. Учитываются также согласованные ограничения номинальной паропроизводительности котлов.

Суммарная выработка тепла брутто энергетическими котлами подгруппы оборудования, Гкал, рассчитывается по формуле:

(21)

где К_пот - удельная величина потерь теплового потока, %.

Принимается равной 1% для конденсационной электростанции (далее - КЭС) и 1,5% для теплоэлектроцентрали (далее - ТЭЦ) от номинальной производительности работающих в прогнозируемом периоде котлов m-ого типа;

n_m - выбранное при прогнозе количество работающих котлов m-ого типа;

- номинальная теплопроизводительность котла m-ого типа, Гкал/ч.

Распределение между типами котлов подгруппы оборудования производится пропорционально номинальным теплопроизводительностям (если на электростанции отсутствуют какие-либо другие соображения).

Конечными результатами расчетов являются получение по котельным установкам подгрупп оборудования:

КПД нетто ();

абсолютных и удельных расходов тепла (, Гкал и , %) и электроэнергии (, тыс. кВт.ч и , %) на собственные нужды.

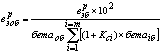
25. Прогнозируемые удельные расходы топлива по подгруппе электростанции рассчитываются по формулам:

(22)
   
(23)

где - номинальный удельный расход топлива на электроэнергию, г/кВт.ч;

- номинальный удельный расход топлива на тепло, отпущенное от энергетических котлов, кг/Гкал;

, - коэффициенты резерва тепловой экономичности по отпуску электроэнергии и тепла от энергетических котлов;

мю_э, мю_тэ.эн.к - степени использования резерва тепловой экономичности по отпуску электроэнергии и тепла от энергетических котлов.

26. По электростанции, состоящей из нескольких подгрупп оборудования:

b_э = SUM (b_э.i x Э_отп.i) / SUM Э_от.i (24)
   
(25)
   
b_тэ.эн.к = SUM (b_тэ.эн.к.i x (Q_от i - Q_пвк i) / SUM (Q_от i - Q_отп пвк) (26)
   
b_тэ = (b_тэ.эн.к x SUM (Q_от i - Q_пвк i) + b_тэ пвк x Q_пвк) / Q_от (27)

По организации в целом, состоящей из m-электростанций и k-котельных:

b_э = SUM (b_э.j x Э_от.j) / SUM Э_от.j (28)
   
(29)
   
b_тэ = SUM (b_тэ.j x Q_от.j + b_тэ.рк x Q_от.рк) / SUM (Q_от.i + + Q_от.рк), (30)

где - номинальный удельный расход топлива на тепло, отпускаемое от районной котельной, кг/Гкал;

мю_тэркi - коэффициент резерва и степень его использования по районной котельной;

Q_от.рк - отпуск тепла от котельных, Гкал.

Значения коэффициентов резерва тепловой экономичности (, ,, ) рассчитываются по отчетным данным предшествующего года за месяц, соответствующий прогнозируемому:

Кр_i = (b - b(н)) / b(н) (31)

где b, b(н) - фактический и номинальный удельные расходы топлива на отпускаемую энергию.

Степени использования резервов тепловой экономичности (мю_э, мю_тэ.эн.к, мю_тэ.пвк, мю_тэ.рк) принимаются равными значениям, утвержденным в составе НТД по топливоиспользованию для года, предшествующего прогнозируемому.

В случае истечения срока действия НТД по топливоиспользованию к моменту выполнения расчетов по тарифному прогнозированию значения коэффициентов резерва принимаются равными нулю.

27. При необходимости могут быть рассчитаны нормативы удельных

расходов топлива на отпускаемую электрическую энергию при ее производстве по конденсационному (b_э(конд)) и теплофикационному циклам (b_э(тф)) по подгруппе оборудования, электростанции или организации в целом.

По подгруппе оборудования электростанции расчеты проводятся в следующей последовательности:

1. Определяются удельные затраты электроэнергии на 1 Гкал тепла, отпущенного котельной установкой, кВт.ч/Гкал:

(32)

2. Рассчитывается расход электроэнергии на собственные нужды котельной установки, относимый на выработку электроэнергии по конденсационному циклу, тыс. кВт.ч:

(33)

То же, на собственные нужды турбинной установки, тыс. кВт.ч:

3. Определяется суммарный расход электроэнергии на собственные нужды, относимый на выработку электроэнергии по конденсационному и теплофикационному циклу, тыс. кВт.ч:

(34)
   
(35)

4. Рассчитывается отпуск электроэнергии по конденсационному и теплофикационному циклам, тыс. кВт.ч:

(36)
   
(37)

5. Определяются удельные расходы топлива на отпуск электроэнергии по конденсационному и теплофикационному циклам, г/кВт.ч:

(38)
   
(39)

По электростанции в целом и рассчитываются как средневзвешенные по и величины удельных расходов топлива по подгруппам оборудования, а по организации в целом - как средневзвешенные величины удельных расходов топлива по электростанциям, входящим в его состав.

Расчет НУР на основе отчетных данных базового периода

28. Расчет НУР на основе отчетных данных базового периода выполняется при отсутствии на ТЭС действующей нормативно-технической документации по топливоиспользованию.

Основными исходными данными для расчета нормативов удельных расходов топлива на расчетный период являются:

выработка электроэнергии;

отпуск тепла внешним потребителям (общий, пиковыми водогрейными котлами, из производственных и теплофикационных отборов, от конденсаторов турбоагрегатов);

план ввода, демонтажа, перемаркировки, реконструкции и модернизации оборудования (поагрегатный);

планы проведения капитальных и средних ремонтов котлов и турбоагрегатов;

структура и качество сжигаемого топлива.

Установленная электрическая мощность каждой подгруппы оборудования на конец прогнозируемого периода () в мегаваттах определяется с учетом запланированных вводов в эксплуатацию новых турбоагрегатов, демонтажа изношенных и морально устаревших турбоагрегатов, а также перемаркировки действующих турбоагрегатов и рассчитывается по формуле

(40)

где - установленная электрическая мощность на начало прогнозируемого периода, МВт. Учитывает фактическое и прогнозируемое изменение мощности от конца базового до начала прогнозируемого периода;

N_в i, N_д i - мощность каждого из турбоагрегатов, запланированных соответственно к вводу и демонтажу в прогнозируемом периоде, МВт;

дельтаN_пер i - изменение установленной мощности каждого из турбоагрегатов (плюс - увеличение, минус - снижение) в результате запланированных перемаркировок в прогнозируемом периоде, МВт;

n, m, р - количество турбоагрегатов, запланированных соответственно к вводу в эксплуатацию, демонтажу и перемаркировке в прогнозируемом периоде.

Средняя за прогнозируемый период установленная электрическая мощность каждой подгруппы оборудования () в мегаваттах определяется по формуле

(41)

где альфа_b i, альфа_d i, альфа_пер i, - доля прогнозируемого периода от даты ввода, демонтажа или перемаркировки каждого из турбоагрегатов до конца периода.

Если для прогнозируемого года известны только кварталы ввода, демонтажа или перемаркировки турбоагрегатов, то величины этих долей при расчетах на год могут быть приняты следующими: при вводе, демонтаже или перемаркировке турбоагрегатов в I квартале - 0,75; во II квартале - 0,50; в III квартале - 0,25; в IV квартале - 0.

29. Установленная тепловая мощность подгруппы турбоагрегатов на конец прогнозируемого периода и средняя за прогнозируемый период определяются по формулам, аналогичным формулам (40) и (41).

При распределении общих по организации выработки электроэнергии и отпуска тепла между подгруппами оборудования следует учитывать:

имеющиеся ограничения электрической и тепловой мощности турбоагрегатов;

сложившуюся тенденцию изменения коэффициентов использования электрической и тепловой мощности турбоагрегатов.

30. Прогнозируемое значение норматива удельного расхода топлива на отпуск электроэнергии [г/(кВт.ч)] рассчитывается по формулам:

(42)
   
(43)

где в_э, - удельный расход топлива на электроэнергию фактический и при раздельном производстве, г/(кВт.ч);

- поправки к удельному расходу топлива на изменение значений внешних факторов в прогнозируемом периоде по сравнению с базовым, г/(кВт.ч);

- коэффициент увеличения расхода топлива на электроэнергию при условном отсутствии отпуска тепла внешним потребителям из отборов и от конденсаторов турбоагрегатов:

(44)

В формуле (36):

Q_от, - отпуск тепла внешним потребителям всего и от пиковых водогрейных котлов, Гкал;

Q_э, - расход тепла на производство электроэнергии фактический и при раздельном производстве, Гкал:

= Q_э + дельтаQ_э(отр) (45)

дельтаQ_э(отр) - увеличение расхода тепла на производство электроэнергии при условном отсутствии отпуска тепла внешним потребителям из отборов и от конденсаторов турбоагрегатов, Гкал;

(46)

- увеличение расхода тепла на производство электроэнергии при условном отсутствии отпуска тепла внешним потребителям соответственно из производственных и теплофикационных отборов (а также из приравненных к ним нерегулируемых отборов) и от конденсаторов турбоагрегатов, Гкал;

Значения дельтаQ_э(отр) и для прогнозируемого периода определяются по формулам:

(47)
   
(48)
   
(49)
   
(50)

где Q_по, Q_то, Q_конд - отпуск тепла внешним потребителям и на собственные нужды соответственно из производственных и теплофикационных отборов (и приравненных к ним нерегулируемых отборов) и от конденсаторов турбоагрегатов, Гкал;

тау_раб - среднее за период время работы единичного турбоагрегата, ч;

Qxx i - условный расход тепла холостого хода турбоагрегата i-го значения номинальной (25, 50, 100, 135 и т.д.) мощности, Гкал/ч.

Определяется по энергетическим характеристикам по графику зависимости q_т = f(N_т, Q_по, Q_то) при Q_по = 0 и Q_то = 0;

Z_i - количество находящихся в работе турбоагрегатов i-го значения номинальной мощности;

- средний по турбоагрегатам данных параметров относительный прирост расхода тепла на производство электроэнергии по конденсационному циклу (при включенных регуляторах давления в регулируемых отборах), Гкал/(МВт.ч);

Э - выработка электроэнергии, тыс. кВт.ч.

31. Норматив удельного расхода топлива на отпущенное тепло (кг/Ткал) рассчитывается по формулам:

(51)
   
(52)
   
(53)
   
(54)
   
(55)

где - удельный расход топлива по энергетическим котлам:

фактический и при раздельном производстве (не учитывает затрат электроэнергии на теплофикационную установку), кг/Гкал;

В_ПВКп, В_ПВКб, - абсолютный (т) и удельный (кг/Гкал) расход условного топлива по пиковым водогрейным котлам;

- коэффициент увеличения расхода топлива отр(к) энергетическими котлами на отпуск тепла при условном отсутствии отпуска тепла внешним потребителям из отборов и от конденсаторов турбоагрегатов;

Э_тепл - расход электроэнергии на теплофикационную установку, тыс. кВт.ч;

В_тэ - общий расход условного топлива на отпуск тепла, т;

- отпуск тепла внешним потребителям, обеспеченный энергетическими котлами (от РОУ, регулируемых и нерегулируемых отборов и от конденсаторов турбоагрегатов), Гкал;

Q_нас(гв) - количество тепла, полученное водой в сетевых и перекачивающих насосах, Гкал;

, дельтав_ПВК - поправки к удельным расходам топлива энергетическими и пиковыми водогрейными котлами на изменение значений внешних факторов в прогнозируемом периоде по сравнению с базовым, кг/Гкал;

- отпуск тепла с горячей водой, Гкал.

33. По приведенным ниже формулам рассчитываются поправки к удельным расходам топлива на отпуск электроэнергии () и тепла (, дельтав_ПВК) при изменении:

В электронном документе нумерация пунктов соответствует официальному источнику

1. Структуры сжигаемого топлива - дельтав_с:

(56)
   
(57)
   
(58)

где - удельный расход топлива на отпуск электроэнергии при раздельном производстве на основном виде топлива, г/(кВт.ч);

- то же на отпуск тепла энергетическими котлами, кг/Гкал;

В_ПВКгб - удельный расход топлива пиковыми водогрейными котлами в базовом периоде при работе на газе, кг/Гкал;

m - количество других, кроме принятого за основное, видов сжигаемого энергетическими котлами топлива;

бета_i - доля в расходе энергетическими котлами каждого из других видов (марок) сжигаемого топлива, %;

бета_ПВКг - доля газа в расходе топлива пиковыми водогрейными котлами, %;

К_ПВКм - относительное увеличение удельного расхода топлива пиковыми водогрейными котлами при переходе их с газа на мазут, %;

К_с - относительное изменение удельного расхода топлива энергетическими котлами при замене 1% основного вида (марки) топлива на один из других, %; ниже приводятся укрупненные значения К_с.

Основное топливо Значение К_с
Замещающее топливо
Газ Мазут
Газ   +(0,02 - 0,025)
Мазут -(0,02 - 0,025)  
Антрацит -(0,07 - 0,08) -(0,05 - 0,055)
Каменный и бурый уголь -(0,05 - 0,06) -(0,025 - 0,03)
Торф -(0,125 - 0,14) -(0,1 - 0,11)

Удельный расход топлива на электроэнергию на основном виде топлива определяется по формуле:

(59)

Аналогично рассчитывается удельный расход топлива на тепло энергетическими котлами .

2. Качества твердого топлива - дельтав_кач

(60)
   
(61)

где l - количество марок сжигаемого твердого топлива;

- удельные расходы топлива при раздельном производстве при сжигании j-ой марки твердого топлива;

K_качj - относительное изменение расхода топлива (%) при изменении теплоты сгорания j-ой марки твердого топлива на 100 ккал/кг: ниже приводятся усредненные значения K_качj.

Уголь по месту добычи Донецкий Кузнецкий Экибастузский  
Марка угля АШ Т Г, Д Т Г, Д, СС СС Б
К_качj 1,08 0,51 0,31 0,52 0,20 0,91 0,50

- теплота сгорания j-ой марки твердого топлива, ккал/кг;

бета_j - доля по теплу j-ой марки твердого топлива в расходе топлива энергетическими котлами, %.

Влияние качества твердого топлива на удельный расход может быть также определено по изменению зольности и влажности топлива:

(62)
   
(63)

где K_Аj, K_wj - относительное изменение (%) при изменении на 1% абсолютной зольности А(р) и влажности W(р) j-ой марки твердого топлива;

- зольность и влажность твердого топлива j-ой марки, %.

3. Продолжительности работы дубль-блоков с одним корпусом котла по диспетчерскому графику нагрузки - дельтав_э корп:

дельтав_э корп = дельтав_э д-бл х (альфа_корп п - альфа_корп б ) х (64)
х дельта_д-бл п х 10(-2),

где дельтав_э д-бл - изменение удельного расхода топлива на 1% изменения продолжительности работы дубль-блока с одним корпусом котла, г/(кВт.ч);

для укрупненных расчетов значение дельтав_э д-бл может быть принято равным 0,05 [г/(кВт.ч)]/%;

дельта_д-бл - доля дубль-блоков в общем количестве энергоблоков подгруппы оборудования, %;

альфа_корп - относительная продолжительность работы дубль-блоков с одним корпусом котла, %.

4. Количества пусков оборудования по диспетчерскому графику нагрузки - альфав_пуск: для энергоблоков

(65)
   
(66)

для оборудования с поперечными связями

(67)
   
(68)

В формулах (67) - (68):

В_пускi т, B_пускi к, B_пускj - нормативные значения технологических потерь в пересчете на условное топливо при пусках энергоблоков, турбоагрегатов и котлов, т;

n_i - количество пусков энергоблоков, турбоагрегатов по диспетчерскому графику нагрузки;

m_j - количество пусков котлов по диспетчерскому графику нагрузки;

К'_э - приблизительное значение коэффициента отнесения расхода топлива энергетическими котлами на производство электроэнергии

(69)

5. Экономичности оборудования, находящегося в стадии освоения, - дельтав_осв

(70)
   
(71)

где р - количество турбоагрегатов, находившихся в стадии освоения в базовом периоде и которые будут находиться в стадии освоения в прогнозируемом периоде;

s - то же, котлов;

- относительное увеличение удельного расхода топлива в прогнозируемом и базовом периодах вследствие пониженной экономичности i-го турбоагрегата, находящегося в стадии освоения, %;

K_освj(т) - то же, j-го котла, %;

альфа_i, альфа_j - доля выработки электроэнергии и тепла каждым осваиваемым турбоагрегатом и котлом, %.

6. Отработанного оборудованием ресурса времени - дельтав_рес

(72)
   
(73)

где l_ср - средний коэффициент износа, рассчитанный исходя из значения l, равного 0,0025 для турбоагрегатов, работающих с противодавлением и ухудшенным вакуумом, и 0,0085 - для остальных, %/ 1000 ч;

с_ср - средний коэффициент износа, рассчитанный исходя из значения с, равного 0,0055 - для пылеугольных котлов; 0,0035 - для котлов, работающих на высокосернистом мазуте; 0,0015 - для котлов, работающих на сернистом, малосернистом мазуте или газе, % / 1000 ч;

- средняя продолжительность работы турбоагрегатов и котлов за время от конца базового до конца прогнозируемого периода, ч;

гамма_i, гамма_j - доля выработки электроэнергии турбоагрегатами и тепла энергетическими котлами, отработавшими с начала эксплуатации более 35 тыс. ч, в общей выработке энергии подгруппой оборудования, %;

- коэффициент полезного действия брутто котлов, %.

7. Состава оборудования - дельтав_в, д

(74)
   
(75)

где Э, - выработка электроэнергии, отпуск тепла энергетическими котлами по подгруппе оборудования в целом, тыс. кВт.ч, Гкал;

Э , - то же оборудованием, введенным в эксплуатацию от конца базового до конца прогнозируемого периода;

дельтаЭ_д, - изменение выработки электроэнергии и отпуска тепла энергетическими котлами в прогнозируемом периоде по сравнению с базовым за счет демонтажа оборудования, тыс. кВт.ч, Гкал;

- удельные расходы топлива по введенному оборудованию, определенные на основе проектных данных и приведенные к фактическим условиям работы в прогнозируемом периоде, г/(кВт.ч), кг/Гкал;

- удельные расходы топлива по демонтируемому оборудованию, г/(кВт.ч), кг/Гкал.

8. Графиков нагрузки оборудования (потерь тепла при стабилизации тепловых процессов) - дельтав_стбл

(75)
   
(77)

где К_ст - коэффициент изменения удельного расхода топлива при стабилизации режимов, %.

9. В составе прочих эксплуатационных факторов учитывается влияние на удельные расходы топлива: сжигания топлива непроектных видов и марок;

перевода котлов на сжигание другого вида топлива;

выполнения мероприятий по охране труда и окружающей среды, обеспечение требований ирригации и рыбоводства.

34. Прогнозируемые значения нормативов удельных расходов топлива на электроэнергию [г/(кВт.ч)] и тепло (кг/Гкал) рассчитываются по формулам:

(78)
   
(79)
   
(80)

где - номинальное значение удельного расхода топлива на электроэнергию [г/(кВт.ч)] и тепло (кг/Гкал);

- коэффициент резерва тепловой экономичности оборудования по отпуску электроэнергии и тепла;

мю_э, мю_т - степень использования резерва тепловой экономичности оборудования по отпуску электроэнергии и тепла.

Расходы электроэнергии на собственные нужды рассчитываются по формулам:

1. Суммарный

(81)

2. На выработку электроэнергии

(82)
   
(83)

где - расходы электроэнергии на собственные нужды турбоагрегатов и энергетических котлов, тыс. кВт.ч;

- изменение расхода электроэнергии на пуски по диспетчерскому графику турбоагрегатов и котлов, тыс. кВт.ч

(84)
   
(85)

где - нормативные значения технологических потерь электроэнергии при пусках турбоагрегатов и котлов, тыс. кВт.ч;

принимаются в соответствии со значениями, указанными в энергетических характеристиках оборудования.

- поправки к удельному расходу электроэнергии на собственные нужды энергетических котлов на изменение значений внешних факторов в прогнозируемом периоде по сравнению с базовым, кВт.ч/Гкал.

3. На отпуск тепла

(86)
   
(87)

где Э_пар - расход электроэнергии на насосы, используемые при подготовке обессоленной воды для восполнения невозврата конденсата от потребителей пара, тыс. кВт.ч;

Э_тепл - расход электроэнергии на теплофикационную установку (пиковые водогрейные котлы; сетевые, конденсатные и подпиточные насосы; насосы, используемые для подготовки подпиточной воды), тыс. кВт.ч;

- расход электроэнергии на механизмы собственных нужд пиковых водогрейных котлов, тыс. кВт.ч;

- поправки к удельному расходу электроэнергии на собственные нужды пиковых водогрейных котлов на изменение значений внешних факторов в прогнозируемом периоде по сравнению с базовым, кВт.ч/Гкал.

35. По приводимым ниже формулам рассчитываются поправки к удельным расходам электроэнергии на собственные нужды энергетических () и пиковых водогрейных () котлов при изменении:

1. Структуры сжигаемого топлива

(88)
   
(89)

где - удельный расход электроэнергии на собственные нужды энергетических котлов при работе на основном и каждом из других видов сжигаемого топлива, кВт.ч/Гкал;

- удельный расход электроэнергии на собственные нужды пиковых водогрейных котлов при работе на

мазуте и газе, кВт.ч/Гкал.

2. Качества твердого топлива

(90)

где - изменение удельного расхода электроэнергии на собственные нужды энергетических котлов (кВт.ч/Гкал) при изменении теплоты сгорания j-ой марки твердого топлива на 100 ккал/кг.

Ниже приводятся укрупненные значения

Уголь АШ Тощий Бурый Каменный
0,90 0,25 0,70 1,0

IV. Методика расчета нормативов удельных расходов топлива по отопительным (производственно-отопительным) котельным

36. Норматив удельного расхода топлива на производство тепловой энергии отопительными (производственно-отопительными) котельными организаций жилищно-коммунального хозяйства определяется для целей тарифообразования в целом по организации - юридическому лицу.

НУР на производство тепловой энергии являются средневзвешенными по организации, основанными на балансе тепловой энергии, передаваемой в тепловые сети с коллекторов, и групповых нормативах удельного расхода топлива на выработку 1 Гкал тепловой энергии по каждому источнику тепла (котельной).

Групповой норматив удельного расхода топлива отражает значение расхода топлива на выработку 1 Гкал тепловой энергии при планируемых условиях производства.

Групповой норматив рассчитывается по индивидуальным нормативам, номинальной производительности, времени работы котлов и расчетной величине расхода тепловой энергии на собственные нужды котельной.

Групповой норматив удельного расхода топлива на выработку тепловой энергии измеряется в килограммах условного топлива на 1 Гкал тепловой энергии (кг у.т./Гкал).

Индивидуальный норматив удельного расхода топлива это норматив расхода расчетного вида топлива по котлу на производство 1 Гкал тепловой энергии при оптимальных эксплуатационных условиях.

37. При разработке нормативов удельных расходов топлива должны учитываться условия производства, достижения научно-технического прогресса, планы организационно-технических мероприятий, предусматривающие рациональное и эффективное использование топлива.

В нормативы удельного расхода топлива не должны включаться затраты топлива, вызванные отступлениями от правил технической эксплуатации и режимов функционирования оборудования теплоисточников, на строительство и капитальный ремонт зданий и сооружений, монтаж, пуск и наладку нового оборудования котельной, на научно-исследовательские и экспериментальные работы.

38. Установленные нормативы удельных расходов топлива должны пересматриваться при возникновении причин, существенно влияющих на расход тепловой энергии и топлива:

изменение вида или качества сжигаемого топлива;

выявление испытаниями новых характеристик котлов;

установка нового или реконструкция действующего оборудования.

39. Исходными данными для определения нормативов удельного расхода топлива являются:

фактические технические данные оборудования (производительность, давление, коэффициент полезного действия и др.) и режим функционирования (по времени и нагрузке);

режимные карты, составленные в результате режимно-наладочных испытаний;

план организационно-технических мероприятий по рациональному использованию и экономии топливно-энергетических ресурсов;

информация о нормативах и фактических удельных расходах топлива за прошедшие годы.

40. Работа по определению нормативов удельного расхода топлива на планируемый (регулируемый) период проводится в следующей последовательности:

а) определяется плановая выработка тепловой энергии котельной (котельными);

б) уточняется характеристика сжигаемого топлива: низшая теплота сгорания, для угля - марка угля, влажность, зольность, фракционный состав (содержание мелочи класса 0 - 6 мм, %);

в) определяются технические характеристики и параметры функционирования оборудования - тепловая мощность котлов, температура питательной воды, давление пара, коэффициент избытка воздуха в топке котла, присосы по газоходам и др.;

г) подбираются типовые нормативные характеристики, соответствующие установленному оборудованию и виду сжигаемого топлива. В случае если нормативные характеристики не соответствуют фактическим для установленных котлов (вследствие несоответствия параметров пара, питательной воды, поверхностей нагрева элементов котла, качества топлива и т.д.), а также при отсутствии нормативных характеристик для установленных котлов, проводятся режимно-наладочные испытания с целью установления оптимальных режимов функционирования котла и разработки обоснованных нормативных характеристик;

д) по нормативным характеристикам устанавливается индивидуальный норматив удельного расхода топлива на производство тепловой энергии каждым котлом;

е) определяется расход тепловой энергии на собственные нужды котельной;

ж) определяется норматив удельного расхода топлива на выработку тепловой энергии для котельной (группы котельных) и организации в целом.

41. Расчет индивидуальных нормативов удельного расхода топлива на производство тепловой энергии осуществляется в следующем порядке.

В состав индивидуальных нормативов включаются расходы топлива на основной технологический процесс - производство тепловой энергии.

В основу разработки индивидуальных норм положены нормативные характеристики котлов.

Нормативная характеристика представляет собой зависимость расхода условного топлива на 1 Гкал произведенной тепловой энергии () от нагрузки (производительности) котлов при нормальных условиях его работы на данном виде топлива.

Построение нормативной характеристики предусматривает определение значений удельного расхода топлива брутто, кг

у.т./Гкал, во всем диапазоне нагрузки котла (Q_к.а) - от минимальной до максимальной:

(91)

где - изменение КПД брутто котла во всем диапазоне его нагрузки.

КПД брутто определяется по результатам режимно-наладочных испытаний котла при сжигании топлива одного вида одинаковым способом.

Испытания котлов проводятся по соответствующей методике специализированными организациями.

Характеристики составляются для котла, находящегося в технически исправном и отлаженном состоянии и работающего в соответствии с режимными картами.

В случае невозможности проведения режимно-наладочных испытаний расчет проводится по индивидуальным нормативам расхода топлива, приведенным в таблице 1.

Индивидуальные нормативы расхода топлива для котлоагрегатов на номинальной нагрузке, кг у.т./Гкал

Таблица 1

Марка котлоагрегата Тепло паропроизводительность Гкалчтч Вид топлива
газ мазут каменный уголь бурый уголь
1 2 3 4 5 6
Водогрейные котлоагрегаты
КВ-Г 4; 6 154,9      
КВ-ГМ 4 152,1 158,8 - -
6,5 151,8 158,4 -  
10 155,3 162,3 - -
20; 30 160,5 164,2 - -
КВ-ГМ (М; МС) 30 157,0 162,3 - -
КВ-ГМ 50 154,4 156,8 - -
100 153,6 155,3 - -
КВ-ТС 4 - - 174,4 176,2
6,5 - - 173,8 174,0
10 - - 176,6 -
20 - - 177,1 -
30 - - 177,2 177,2
50 - - 167,7 167,7
КВ-ТК 30 - - - 175,3
50 - - - 164,2
ТВГМ 30 158,9 162,2 - -
ПТВМ 30 158,6 162,5 - -
50 159,4 162,7 - -
100 161,2 164,6 - -
Минск-1 0,7 - - 210,0 -
Тула-3 0,7 - - 211,6 -
Универсал-6М 0,5 - - 213,2 -
Другие секционные чугунные и стальные котлы (НР-18, НИИСТУ-5 и т.д.) 0,1 ч 1,0 173,1 178,5 213,2 238
ПАРОВЫЕ КОТЛОАГРЕГАТЫ
ДКВР-13 МПа 2,5 158,7 159,4 174,4 189,0
4 157,3 159,4 174,0 188,5
6,5 155,6 160,5 171,9 186,3
10 155,6 159,6 171,1 184,3
20 157,7 158,7 170,9 185,1
ДЕ 4 157,1 159,4 - -
6,5 156,7 159,0 - -
10; 16 155,1 157,0 - -
25 154,8 156,8 - -
КЕ 2,5 - - 171,5 175,3
4 - - 175,0 177,0
6,5 - - 173,6 174,8
10 - - 171,3 174,2
25 - - 164,4 165,3
Е-1/9, Е-0,8/9, Е-0,4/9 1; 0; 0,8, 0,4 166,0 174,1 199,4 204
ТП 20 154,7   166,4 170
30 153,5 154,8 - -
35 - 155,0 162,0 163,0

Значения приведенных в таблице 1 удельных расходов топлива на выработку тепловой энергии по данным завода-изготовителя при номинальной загрузке корректируются в соответствии с режимной картой конкретного котла, учитывающей техническое состояние, срок ввода в эксплуатацию и величину его фактической загрузки.

Нормативные характеристики используются для разработки нормативных коэффициентов, учитывающих отклонения условий эксплуатации от принятых при определении индивидуальных норм:

а) нормативный коэффициент К1 учитывающий эксплуатационную нагрузку котлов;

б) нормативный коэффициент К2, учитывающий работу котлов без хвостовых поверхностей нагрева;

в) нормативный коэффициент К3, учитывающий использование нерасчетных видов топлива на данном типе котлов.

Коэффициенты К1, К2 и К3 определяются как отношение значений удельного расхода топлива при планируемых или фактических нагрузках котлов в условиях эксплуатации () и удельного расхода топлива при оптимальных условиях эксплуатации на номинальной нагрузке () . Значение () принимается по соответствующим нормативным характеристикам. После установки хвостовых поверхностей и работе котла на расчетном виде топлива К2 = К3 = 1.

Нормативный коэффициент K1 определяется по нормативной характеристике b_к.а.бр как отношение расхода условного топлива при средней производительности котлоагрегата за планируемый или фактический период работы () к расходу условного топлива при номинальной нагрузке () по выражению:

(92)

Нормативные коэффициенты К1 для некоторых типов котлов в зависимости от их нагрузки приведены в таблице 2.

Нормативные коэффициенты, учитывающие эксплуатационные нагрузки котлоагрегатов

Таблица 2

Марка котлоагрегата Тепло паропроизводительность Гкалчтч Вид топлива Нагрузка, % номинальной
80 60 40
1 2 3 4 5 6
ВОДОГРЕЙНЫЕ КОТЛОАГРЕГАТЫ
КВГМ   Г 0,994 0,99 0,988
М 0,994 0,988 0,988
  Г 0,994 0,989 0,988
М 0,999 1,001 1,004
ПТВМ   Г 0,994 0,99 0,988
М 0,994 0,988 0,988
  Г 0,994 0,989 0,988
М 0,999 1,001 1,004
ТВГМ 30 Г 0,992 0,985 0,982
ТВГ   Г 1,005 1,011 1,023
М 0,994 0,986 1,002
Секционные чугунные и стальные МРНИИ СТЦ и др.   Г 0,994 0,994 0,998
М 0,999 1,004 1,030
КУ 1,007 1,018 1,036
БУ 1,012 1,36 1,065
ПАРОВЫЕ КОТЛОАГРЕГАТЫ
ДКВРМПа 2,5 Г 1,001 1,005 1,019
  Г 1,001 1,002 1,020
М 0,992 0,991 0,994
  Г 0,988 0,997 1,011
М 0,999 1,002 1,014
  Г 0,996 0,998 1,001
М 0,993 0,992 0,998
  Г 1,011 1,026 1,037
М 0,990 0,995 1,005
КУ 0,954 0,935 0,962
ТП 20 Г 0,998 0,999 1,0
  Г 0,999 1,0 1,007
М 0,993 0,990 1,001
35 М 1,001 1,005 1,014
Жаротрубный 3,7 Г 1,007 1,018 1,036
2,5 Г 1,005 1,016 1,036

Примечание: Г - газ, М - мазут, КУ - каменный уголь, БУ - бурый уголь.

42. Нормативный коэффициент К2 определяется только при отсутствии чугунных экономайзеров в котлах паропроизводительностью до 20 т/ч при параметрах, соответствующих номинальной нагрузке.

Вид топлива Значения коэффициента К2
Газ 1,025 - 1,035
Мазут 1,030 - 1,037
Каменный уголь 1,070 - 1,08
Бурый уголь 1,070 - 1,08

Меньшее значение коэффициента К2 принимается для котлов типа ДКВР; большее - для котлов других типов.

43. Нормативный коэффициент К3 для стальных секционных и чугунных котлов типа НР-18, НИИСТУ-5, "Минск-1", "Универсал", "Тула-3" и др., а также для паровых котлов типа Е-1/9, топки которых оборудованы колосниковой решеткой с ручным обслуживанием, при сжигании рядовых углей с содержанием мелочи (класс 0ч6 мм) более 60% принимается равным: 1,15 - для антрацита; 1,17 - для каменных углей; 1,2 - для бурых углей.

Для остальных котлов коэффициент К3 определяется по потерям теплоты топок от механического недожога q4 в зависимости от типа топочного устройства, зольности и фракционного состава топлива по формуле:

(93)

где q4(исх) - исходное значение потерь теплоты от механического недожога, % (принимается в зависимости от типа топочного устройства, вида сжигаемого топлива и его зольности);

К_м - поправка на содержание мелочи (класс 0ч6 мм) в топливе;

определяется по приведенным ниже данным.

Содержание мелочи (класс 0ч6 мм) в топливе, % Поправка на содержание мелочи, К_м
60 1,03
65 1,06
70 1,10
75 1,15
80 1,22
85 1,3

44. Номинальные показатели работы слоевых топок приведены в таблице 3.

Таблица 3

Тип марка угля Характеристика топлива Давление воздуха под решеткой, кгм Коэффициент избытка воздуха за котлом, альфа yx Потери тепла топкой от недожога, %
зольность зерновая характеристика
механического химического
максимальный размер куска, мм содержание фракций 0ч6 мм, %
1 2 3 4 5 6 7 8
С РУЧНЫМ ЗАБРОСОМ ТОПЛИВА
Бурые рядовые типа челябинских 30 75 55 100 1,65 7 2
Бурые рядовые типа подмосковных 35 75 55 100 1,65 11 3
Каменные типа Г, Д 20 75 55 80 1,65 7 5
Каменные сильноспекающиеся типа К, ПЖ 20 75 55 100 1,65 7 4
Каменные рядовые тощие 16 50 55 100 1,65 6 3
Антрацит АРШ 16 50 55 100 1,75 14 2
С ЗАБРАСЫВАТЕЛЯМИ И НЕПОДВИЖНЫМ СЛОЕМ
Бурые рядовые типа челябинских 30 35 55 60 1,65 7 1
Бурые рядовые типа подмосковных 35 35 55 60 1,65 11 1
Каменные типа Г, Д 20 35 55 60 1,65 7 1
Каменные сильноспекающиеся типа К, ПЖ 20 35 55 60 1,65 7 1
Каменные рядовые тощие 18 35 55 100 1,85 18 0,5
Антрацит АРШ 16 35 55 100 1,85 18 0,5

45. Интегральный нормативный коэффициент К определяется:

К = К1К2К3. (94)

Индивидуальный норматив удельного расхода топлива на производство тепловой энергии котлом, кг у.т./Гкал, определяется по выражению:

(95)

46. Расчет групповых нормативов удельных расходов топлива на выработку тепловой энергии котельной производится в следующей последовательности.

Определение групповых нормативов удельного расхода топлива для котельной предусматривает:

а) определение средневзвешенного норматива по котельной в целом ();

б) определение нормативной доли расхода тепловой энергии на собственные нужды (d_сн) котельной;

в) расчет группового норматива удельного расхода топлива на выработку тепловой энергии котельной, кг у.т./Гкал, по формуле:

(96)

Средневзвешенный норматив удельного расхода топлива на выработку тепловой энергии котельной, кг у.т./Гкал, определяется по формуле:

(97)

где - индивидуальный норматив удельного расхода топлива для каждого котла при планируемой нагрузке, кгу.т./Гкал;

Q_к.а1, Q_к.а2, Q_к.аi - производство тепловой энергии каждым котлом в котельной на планируемый период, Гкал.

47. Доля расхода тепловой энергии на собственные нужды котельной(d_сн) определяется расчетным или опытным методами.

Расход тепла на собственные нужды котельной по элементам затрат в процентах от нагрузки приведен в таблице 4. Показатели определены для следующих условий:

а) максимальная величина продувки котлов производительностью 10 т/ч пара - 10%, больше 10 т/ч пара - 5%; при определении нормативного расхода тепловой энергии на собственные нужды в реальных условиях следует принимать величину продувки по результатам ранее проведенных режимно-наладочных испытаний;

б) возврат конденсата 90 - 95% количества пара, производимого котлами, температура возвращаемого конденсата 90 град. С, температура добавочной химически очищенной воды 5 град. С;

в) марка мазута М-100, подогрев мазута - от 5 до 105 град. С;

г) дробеочистка принята для котлов паропроизводительностью более 25 т/ч, работающих на сернистом мазуте, бурых углях и угле марки АРШ с расходом пара на эжектор 1500 кг/ч при давлении 14 кгс/см2 и температуре 280 - 330 град. С;

д) расход топлива на растопку принят, исходя из следующего количества растопок в год: 6 - после простоя длительностью до 12 ч, 3 - после простоя длительностью более 12 ч;

е) расход пара на калориферы для подогрева воздуха перед воздухоподогревателем предусмотрен для котлов паропроизводительностью 25 т/ч и более и работающих на сернистом мазуте, бурых углях и угле марки АРШ.

Расход тепла на собственные нужды котельной

Таблица 4

Составляющие затрат тепловой энергии на собственные нужды Газообразное топливо Твердое топливо Жидкое топливо
Шахтно-мельничные топки Слоевые топки
каменные угли бурые угли, АРШ
1 2 3 4 5 6
Продувка паровых котлов паропроизводительностью, т/ч:          
до 10 0,13 - - 0,13 0,13
более 10 0,06 0,06 0,06 0,06 0,06
Растопка 0,06 0,06 0,06 0,06 0,06
Обдувка - 0,30 0,30 0,36 0,32
Дутье под решетку - - - 2,50 -
Подогрев мазута - - - - 1,60
Паровой распыл мазута - - - - 4,50
Подогрев воздуха в калориферах - - 1,30 - 1,20
Эжектор дробеочистки - - 0,11 - 0,17
Технологические нужды ХВО 0,15 0,15 0,15 0,15 0,15
Деаэрация (выпар) 0,10 0,10 0,10 0,10 0,10
Отопление и хозяйственные нужды котельной, потери с излучением теплоты паропроводами, насосами, бакамы и т.п.; утечки, испарения при опробовании и выявлении неисправностей в оборудовании и неучтенные потери 1,95 1,75 1,55 1,75 1,45
Доля расхода тепловой энергии на собственные нужды котельной d_сн <*> 2,3 - 2,4 2,4 2,3 - 3,6 2,7 - 4,9 3,5 - 9,7

<*> Минимальные значения расхода тепловой энергии на собственные нужды соответствуют загрузке котлов 80% и более от номинального значения производительности; максимальные значения - 30 - 40%.

При отклонении фактических условий эксплуатации от приведенных в таблице 4 значение d_сн определяется по составляющим элементам в соответствии с методикой тепловых расчетов.

48. Средневзвешенные нормативы удельного расхода топлива на выработку тепловой энергии , кг у.т./Гкал, для котельных и предприятий могут рассчитываться по индивидуальным нормативам, номинальной производительности и продолжительности функционирования котлов каждого типа на соответствующем виде топлива по формуле:

(98)

где Н_ij - индивидуальный норматив удельного расхода топлива котлом i по расчетному виду топлива j, кг у.т./Гкал;

Q_oi - номинальная производительность котла типа i, Гкал/ч;

Т_pij - продолжительность функционирования в регулируемом периоде всех котлов типа i на расчетном топливе вида j, ч;

n - количество типов котлов;

m - количество видов топлива;

N_ij - количество котлов типа i, работающих на топливе вида j.

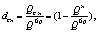
Значение d_сн в этом случае определяется на основе анализа отчетных данных с учетом планируемых организационно-технических мероприятий по экономии тепловой энергии на собственные нужды котельной.

Нормативная доля расхода тепловой энергии на собственные нужды котельной определяется по предыдущему году:

(99)

где Q(н) - количество тепловой энергии (нетто), выработанной котельной, тыс. Гкал;

Q(бр) - количество тепловой энергии (брутто), произведенной котельной, тыс. Гкал.

49. Интегральный нормативный коэффициент К учитывает отклонение планируемых условий эксплуатации от условий эксплуатации, принятых при расчете индивидуальных нормативов. В этом случае он определяется расчетно-аналитическим и расчетно-статистическим методами на основе информации о фактических расходах топлива и выработанной тепловой энергии за ряд лет.

Фактическое значение этого коэффициента за отчетный период определяется по уравнению:

(100)

где В_ф - фактический расход топлива за отчетный год, тыс. кг у.т.;

- средневзвешенный норматив удельного расхода топлива, кгу.т./Гкал, полученный по формуле (90); при этом для расчета принимается фактическая продолжительность функционирования котлов каждого типа на каждом расчетном виде топлива;

Q(бр) - количество выработанной тепловой энергии за отчетный год, тыс. Гкал.

V. Методика расчета нормативов удельных расходов топлива по дизельным электростанциям

50. Расчеты НУР по дизельным электростанциям (далее - ДЭС) выполняются на основе паспортных данных дизель-генераторов, нагрузочных характеристик дизелей, регулировочных характеристик ДГ, принимаемых по справочной литературе или по данным заводов - изготовителей оборудования.

В паспортных и справочных данных указываются технические параметры, соответствующие режиму номинальной мощности ДГ: удельный расходы топлива, коэффициент полезного действия (далее - КПД) генератора, мощности дизеля и дизель-генератора и т.д.

НУР определяются путем введения корректирующих коэффициентов к паспортным удельным расходам топлива на:

прогнозируемую нагрузку;

износ двигателя;

пуски и остановы;

отпуск тепла от утилизационных газо-водогрейных котлов;

потребление электроэнергии на собственные нужды;

теплотворную способность топлива.

51. Расчеты НУР выполняются по каждому ДГ, установленному на электростанции и в целом по ДЭС.

52. Затраты электроэнергии на собственные нужды ДЭС, за исключением циркуляционных насосов системы теплоснабжения, относятся на электроэнергию. Затраты тепла на собственные нужды ДЭС относятся к производственным нуждам.

53. В качестве исходных данных при расчете НУР принимаются ожидаемые по ДЭС значения показателей, характеризующих объемы производства энергии, режимы и условия эксплуатации.

К основным из этих показателей относятся (для каждого из месяцев периода прогнозирования):

выработка электроэнергии;

средний часовой расход циркуляционной воды через котел-утилизатор, температура циркуляционной воды на входе и выходе из котла;

теплотворная способность топлива;

количество пусков и планируемое число часов работы каждого ДГ.

Выработка электроэнергии принимается в соответствии с энергобалансом, а при его отсутствии, как и значения остальных перечисленных показателей, - по средним эксплуатационным величинам за последние три года.

54. Абсолютный расход топлива каждым i-ым ДГ на отпуск электроэнергии определяется по формуле:

(101)

где b_e(ном)i - удельный расход топлива дизелем при номинальной мощности (по паспортным данным), г/кВт.ч;

К_изн - коэффициент износа. Для ДГ, прошедших капитальный ремонт, или с истекшим сроком службы принимается равным 1,05;

К_режi - режимный коэффициент, учитывающий изменение удельного расхода топлива при работе ДГ с нагрузкой, меньшей номинальной.

К_режi = b_ei / b_e(ном)i (102)

b_ei - удельный расход топлива на рассматриваемом долевом режиме, г/кВт.ч. Определяется по нагрузочной характеристике дизеля, которая приводится в технической документации или принимается по справочным данным. При отсутствии расходной характеристики коэффициент К_режi может быть рассчитан по эмпирической формуле:

К_режi = 0,87 + 0,13 x N_номi / N_фi (103)

Э_вырi - планируемая выработка электроэнергии ДГ, тыс. кВт.ч.

Э_вырi = Э_выр(ДЭС) x N_номi / SUM N_номi, тыс. кВт.ч (104)

Э_выр(ДЭС) - планируемая выработка электроэнергии по ДЭС в целом, тыс. кВт.ч;

N_номi - номинальная мощность ДГ, кВт;

эта_ген - КПД генератора. Если в расчетах используется удельный расход топлива дизель-генератора, то из формулы (101) КПД генератора исключается. При отсутствии данных по изменению КПД генератора от нагрузки может быть использована следующая зависимость:

эта_ген = 1 - (1 - эта_ген(ном) )) x (1 + А) / (2 x А) (105)
   
А = (1 + N_фi / N_номi) (106)
   
N_фi = Э_вырi x 10(3) / тау_рабi, кВт (107)

тау_рабi - число часов работы ДГ в регулируемом периоде, ч;

B_xxi - средний часовой расход топлива при работе ДГ на холостом ходу, т/ч. Принимается по паспортным данным;

n_xxi - количество пусков ДГ за период регулирования;

тау_xx - продолжительность работы дизеля на холостом ходу, ч;

Q_утi - отпуск тепла от котла-утилизатора, Гкал.

Q_утi = G_bi x (t_2 - t_1) x 10(-3) x тау_отопi, Гкал (108)

G_B - производительность циркуляционного насоса, м3/ч;

t_1, t_2 - температуры циркуляционной воды на входе и выходе из утилизационного котла, град. С; тау - продолжительность работы системы теплоснабжения, ч. отоп 55. Нормативные удельные расходы топлива по ДЭС в целом рассчитываются по формулам:

на отпуск электроэнергии:

b_э(ДЭС) = дельтаВ_эдгi x К_сн x 10(3) / Э_выр(ДЭС) , г/кВт.ч (109)

на отпуск тепла:

(110)

где К_сн - коэффициент расхода электроэнергии на собственные нужды.

Принимается равным 1,03 - 1,04 (без учета расхода электроэнергии циркуляционными насосами системы теплоснабжения).

- установленная электрическая мощность циркнасоса системы теплоснабжения, кВт и коэффициент его загрузки;

альфа_QснДЭСС - доля от общего расхода тепла, направляемого на собственные нужды ДЭС.

Приложение N 1
к Порядку расчета и обоснования
нормативов удельного расхода топлива
на отпущенную электрическую
и тепловую энергию
от тепловых электростанций
и котельных

(форма)

СВОДНАЯ ТАБЛИЦА РЕЗУЛЬТАТОВ РАСЧЕТОВ НОРМАТИВОВ УДЕЛЬНЫХ РАСХОДОВ ТОПЛИВА НА ОТПУЩЕННУЮ ЭЛЕКТРОЭНЕРГИЮ И ТЕПЛО
ПО ____________________________ НА 200_ Г.
(наименование организации)

Электростанция, показатель Группа оборудования Значение показателя по месяцам Среднегодовое значение
Январь Февраль Март Апрель Май Июнь Июль Август Сентябрь Октябрь Ноябрь Декабрь
Электростанция выработка электроэнергии тыс. кВт.ч Всего                          
Группа 1                          
Группа 2                          
отпуск тепла Гкал Всего                          
Группа 1                          
Группа 2                          
нормативный удельный расход топлива на отпущенную электроэнергию г кВт.ч Всего                          
Группа 1                          
Группа 2                          
нормативный удельный расход топлива на опущенное тепло кг Гкал Всего                          
Группа 1                          
Группа 2                          
Электростанция выработка электроэнергии тыс. кВт.ч Всего                          
Группа 1                          
Группа 2                          
отпуск тепла Гкал Всего                          
Группа 1                          
Группа 2                          
нормативный удельный расход топлива на отпущенную электроэнергию г кВт.ч Всего                          
Группа 1                          
Группа 2                          
нормативный удельный расход топлива на отпущенное тепло кг Гкал Всего                          
Группа 1                          
Группа 2                          
Котельная - 1                            
- отпуск тепла, тыс. Гкал                            
- нормативный удельный расход топлива на отпущенное тепло, кг/Гкал                            
ЭСО в целом - выработка электроэнергии, тыс. кВт.ч                            
- отпуск тепла, Гкал                            
- норматив удельного расхода топлива на отпущенную электроэнергию, г/кВт.ч                            
- норматив удельного расхода топлива на отпущенное тепло, кг/Гкал                            
Главный инженер
(Руководитель)
       
         
(наименование организации)   (подпись)   (Ф.И.О.)
         
Главный инженер
(Руководитель)
       
         
(наименование ТЭС, котельной)   (подпись)   (Ф.И.О.)

Приложение N 2
к Порядку расчета и обоснования
нормативов удельного расхода топлива
на отпущенную электрическую
и тепловую энергию
от тепловых электростанций
и котельных

(образец)

     
  НОРМАТИВНО-ТЕХНИЧЕСКАЯ ДОКУМЕНТАЦИЯ ПО ТОПЛИВОИСПОЛЬЗОВАНИЮ  
       
  (наименование ТЭС, котельной, организации)  
       
  Книга 1. ЭНЕРГЕТИЧЕСКИЕ ХАРАКТЕРИСТИКИ ОБОРУДОВАНИЯ  
       
  Группа (подгруппа) оборудования    
    (наименование группы (подгруппы))  
       

СОГЛАСОВАНО:

Главный инженер
(Руководитель)
       
         
(наименование экспертной организации)   (подпись)   (Ф.И.О.)
         
Главный инженер
(Руководитель)
       
         
(наименование организации)   (подпись)   (Ф.И.О.)
         
Главный инженер
(Руководитель)
       
         
(наименование ТЭС, котельной)   (подпись)   (Ф.И.О.)

Приложение N 3
к Порядку расчета и обоснования
нормативов удельного расхода топлива
на отпущенную электрическую
и тепловую энергию
от тепловых электростанций
и котельных

(образец)

     
  НОРМАТИВНО-ТЕХНИЧЕСКАЯ ДОКУМЕНТАЦИЯ ПО ТОПЛИВОИСПОЛЬЗОВАНИЮ  
       
  (наименование ТЭС, котельной, организации)  
       
  Книга 2. ГРАФИКИ ИСХОДНО-НОМИНАЛЬНЫХ УДЕЛЬНЫХ РАСХОДОВ ТОПЛИВА, ГРАФИКИ МИНИМАЛЬНЫХ ЭЛЕКТРИЧЕСКИХ НАГРУЗОК, МАКЕТ РАСЧЕТА НОМИНАЛЬНЫХ ПОКАЗАТЕЛЕЙ, НОРМАТИВОВ УДЕЛЬНЫХ РАСХОДОВ ТОПЛИВА  
       
  Группа (подгруппа) оборудования  
    (наименование группы (подгруппы))  
       

Срок действия с "__" ___________ 200_ г. по "__" _________ 200_ г.

Количество сброшюрованных листов ___________

СОГЛАСОВАНО:

Главный инженер
(Руководитель)
       
         
(наименование экспертной организации)   (подпись)   (Ф.И.О.)
         
Главный инженер
(Руководитель)
       
         
(наименование организации)   (подпись)   (Ф.И.О.)
         
Главный инженер
(Руководитель)
       
         
(наименование ТЭС, котельной)   (подпись)   (Ф.И.О.)