Письмо Минрегиона РФ от 04.06.2007 N 10611-ЮТ/07

"О разъяснении Правил предоставления коммунальных услуг гражданам, утвержденных постановлением Правительства Российской Федерации от 23 мая 2006 г. N 307, в части изменения размера платы за коммунальные услуги при предоставлении коммунальных услуг ненадлежащего качества и (или) с перерывами, превышающими установленную продолжительность"

МИНИСТЕРСТВО РЕГИОНАЛЬНОГО РАЗВИТИЯ РОССИЙСКОЙ ФЕДЕРАЦИИ

ПИСЬМО
от 4 июня 2007 г. N 10611-ЮТ/07

О РАЗЪЯСНЕНИИ ПРАВИЛ ПРЕДОСТАВЛЕНИЯ КОММУНАЛЬНЫХ УСЛУГ ГРАЖДАНАМ, УТВЕРЖДЕННЫХ ПОСТАНОВЛЕНИЕМ ПРАВИТЕЛЬСТВА РОССИЙСКОЙ ФЕДЕРАЦИИ ОТ 23 МАЯ 2006 Г. N 307, В ЧАСТИ ИЗМЕНЕНИЯ РАЗМЕРА ПЛАТЫ ЗА КОММУНАЛЬНЫЕ УСЛУГИ ПРИ ПРЕДОСТАВЛЕНИИ КОММУНАЛЬНЫХ УСЛУГ НЕНАДЛЕЖАЩЕГО КАЧЕСТВА И (ИЛИ) С ПЕРЕРЫВАМИ, ПРЕВЫШАЮЩИМИ УСТАНОВЛЕННУЮ ПРОДОЛЖИТЕЛЬНОСТЬ

Министерство регионального развития Российской Федерации в соответствии с пунктом 6 Постановления Правительства Российской Федерации от 23 мая 2006 г. N 307 "О порядке предоставления коммунальных услуг гражданам" в связи с многочисленными обращениями потребителей и исполнителей коммунальных услуг дает разъяснения по вопросам изменения размера платы за коммунальные услуги при предоставлении коммунальных услуг ненадлежащего качества и (или) с перерывами, превышающими установленную продолжительность.

Согласно пункту 3 Правил предоставления коммунальных услуг гражданам, утвержденных Постановлением Правительства Российской Федерации от 23 мая 2006 г. N 307 (далее - Правила), под коммунальными услугами надлежащего качества понимаются коммунальные услуги, отвечающие требованиям Правил, санитарным и техническим требованиям к режиму, объему и качеству предоставления коммунальных услуг, иным требованиям законодательства Российской Федерации, а также договора, заключаемого исполнителем в соответствии с законодательством Российской Федерации и содержащего условия предоставления коммунальных услуг.

Договором, заключаемым исполнителем в соответствии со статьями 137 (пункт 1 части 1), 154 (часть 3), 155 (части 5, 6, 8 и 9), 162, 164 (часть 2) Жилищного кодекса Российской Федерации и содержащим условия предоставления коммунальных услуг, могут устанавливаться повышенные требования к качеству коммунальных услуг.

В соответствии с подпунктом "ж" пункта 49 Правил исполнитель обязан производить в установленном разделом VII Правил порядке уменьшение размера платы за коммунальные услуги при предоставлении коммунальных услуг ненадлежащего качества и (или) с перерывами, превышающими допустимую продолжительность. При этом исполнитель должен самостоятельно выполнить указанную обязанность в отношении всех лиц, имеющих обязательства по оплате коммунальных услуг, в случаях, когда исполнителю известно о предоставлении коммунальных услуг ненадлежащего качества и (или) с перерывами, превышающими допустимую продолжительность, а в иных случаях - при установлении факта непредоставления коммунальных услуг или предоставления коммунальных услуг ненадлежащего качества в порядке, установленном разделом VIII Правил.

На основании пункта 60 Правил при предоставлении коммунальных услуг ненадлежащего качества и (или) с перерывами, превышающими установленную приложением N 1 к Правилам продолжительность, размер платы за каждую коммунальную услугу подлежит уменьшению в соответствии с указанным приложением. Установление органами государственной власти субъектов Российской Федерации или органами местного самоуправления иных условий, размера и порядка изменения размера платы за коммунальные услуги при предоставлении коммунальных услуг ненадлежащего качества и (или) с перерывами, превышающими установленную продолжительность, не допускается. При нарушении повышенных требований к качеству коммунальных услуг, установленных указанными выше договорами, размер платы за каждую коммунальную услугу подлежит уменьшению в соответствии с приложением N 1 к Правилам при применении договорных параметров качества.

Согласно пункту 61 Правил при перерывах в предоставлении коммунальной услуги, превышающих установленную продолжительность, а также при проведении 1 раз в год профилактических работ в соответствии с пунктом 10 Правил, плата за коммунальные услуги при отсутствии коллективных (общедомовых), общих (квартирных) или индивидуальных приборов учета снижается на размер стоимости непредоставленных коммунальных услуг.

Порядок расчета изменения размера платы за коммунальные услуги при предоставлении коммунальных услуг ненадлежащего качества и (или) с перерывами, превышающими установленную продолжительность, приведен на примерах в приложении к настоящему письму.

Прошу довести требования законодательства Российской Федерации и настоящие разъяснения до органов местного самоуправления, организаций коммунального комплекса, управляющих организаций, товариществ собственников жилья, жилищно-строительных, жилищных и иных специализированных потребительских кооперативов, действующих на территориях субъектов Российской Федерации, для руководства при применении Правил предоставления коммунальных услуг гражданам, утвержденных Постановлением Правительства Российской Федерации от 23 мая 2006 г. N 307.

Ю.П.ТЫРТЫШОВ

Приложение
к письму Министерства
регионального развития
Российской Федерации
от 4 июня 2007 г. N 10611-ЮТ/07

ПОРЯДОК
РАСЧЕТА ИЗМЕНЕНИЯ РАЗМЕРА ПЛАТЫ ЗА КОММУНАЛЬНЫЕ УСЛУГИ ПРИ ПРЕДОСТАВЛЕНИИ КОММУНАЛЬНЫХ УСЛУГ НЕНАДЛЕЖАЩЕГО КАЧЕСТВА И (ИЛИ) С ПЕРЕРЫВАМИ, ПРЕВЫШАЮЩИМИ УСТАНОВЛЕННУЮ ПРОДОЛЖИТЕЛЬНОСТЬ

Пример 1. Изменение размера платы за холодное водоснабжение при превышении предельно допустимого перерыва подачи холодной воды при наличии приборов учета (см. подпункт 1.1) и при отсутствии приборов учета (см. подпункт 1.2).

Условия примера:

Параметры Значения Ед. изм.
норматив потребления холодной воды N_хв = 250 (л на 1 чел. в сут.)
объем потребленной холодной воды в течение месяца, исходя из показаний приборов учета V_хв = 18,0 (куб. м)
тариф на холодную воду Т_хв 10 (руб./куб. м)
количество потребителей в жилом помещении n = 3 (чел.)
продолжительность отсутствия холодного водоснабжения суммарно в течение 1 месяца h_n = 20 (час.)
количество дней в месяце d_m = 30 (дн.)

В соответствии с пунктом 1 приложения N 1 к Правилам:

а) исполнитель обязан обеспечить бесперебойное круглосуточное водоснабжение в течение года;

б) установлена допустимая продолжительность перерыва подачи холодной воды (h_t) 8 часов (суммарно) в течение 1 месяца;

в) за каждый час превышения (суммарно за расчетный период) допустимой продолжительности перерыва подачи воды размер ежемесячной платы снижается на 0,15 процента размера платы, определенной исходя из показаний приборов учета или исходя из нормативов потребления коммунальных услуг, - с учетом положений пункта 61 Правил.

1.1. Расчет размера снижения месячной платы за холодное водоснабжение при расчетах исходя из показаний приборов учета:

1) Расчет размера месячной платы за холодное водоснабжение исходя из показаний прибора учета (без снижения):

Р   = Т   x V   = 10 x 18,0 = 180,0 (руб.);
хв-ПУ хв хв

2) Расчет превышения допустимой продолжительности перерыва подачи воды:

Дельтаh = h   - h   = 20 - 8 = 12 (час.);
n t

3) Расчет размера снижения месячной платы за холодное водоснабжение с учетом снижения за превышение предельно допустимого перерыва подачи холодной воды в соответствии с пунктом 1 Приложения N 1 к Правилам:

    Р        
ДельтаР   = хв-ПУ x 0,15 x дельтаh = 180,0 x 0,15 x 12 = 3,24 (руб.);
хв-t 100 100

4) Расчет размера месячной платы за холодное водоснабжение с учетом снижения за превышение предельно допустимого перерыва подачи холодной воды:

Р   = Р   - ДельтаР   = 180,0 - 3,24 = 176,76 (руб.).
хв-mt-ПУ хв-ПУ хв-t

1.2. Расчет размера снижения ежемесячной платы за холодное водоснабжение при расчетах исходя из норматива потребления холодной воды:

1) Расчет количества суток непредоставления коммунальной услуги холодного водоснабжения:

    h        
d   = n = 20 = 0,83 (дн.);
n 24 24

2) Расчет объема непредоставленной холодной воды в соответствии с пунктом 62 Правил:

    N            
ДельтаV   = хв x n x d   = 250 x 3 x 0,83 = 0,6225 = 0,63 (куб.м);
хв 1000 n 1000

3) Расчет стоимости непредоставленной коммунальной услуги холодного водоснабжения в соответствии с пунктом 61 Правил:

ДельтаР   = Т   x ДельтаV   = 10 x 0,6225 = 6,23 (руб.);
хв-n хв хв

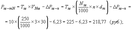
4) Расчет размера ежемесячной платы за холодное водоснабжение, исходя из норматива потребления холодной воды с учетом снижения за непредоставленную коммунальную услугу холодного водоснабжения в соответствии с пунктом 61 Правил:

5) Расчет превышения допустимой продолжительности перерыва подачи воды:

Дельтаh = h   - h   = 20 - 8 = 12 (час.);
n-хв t

6) Расчет размера снижения ежемесячной платы за холодное водоснабжение, исходя из норматива потребления холодной воды с учетом снижения за непредоставленную коммунальную услугу холодного водоснабжения в соответствии с пунктом 61 Правил и с учетом снижения за превышение предельно допустимого перерыва подачи холодной воды в соответствии с пунктом 1 Приложения N 1 к Правилам:

    Р        
ДельтаР   = хв-mN x 0,15 x Дельтаh = 218,77 x 0,15 x 12 = 3,94 (руб.);
хв-nh 100 100

7) Размер месячной платы за холодное водоснабжение с учетом снижения за превышение предельно допустимого перерыва подачи холодной воды в соответствии с пунктом 1 Приложения N 1 к Правилам с учетом снижения за непредоставленную коммунальную услугу в соответствии с пунктом 61 Правил:

Р   = Р   - ДельтаР   = 218,77 - 3,94 = 214,83 (руб.).
хв-mt-N хв-mN хв-nh

Пример 2. Изменение размера платы за горячее водоснабжение при снижении температуры горячей воды свыше допустимых отклонений при отсутствии приборов учета горячей воды <*>.

<*> Изменение размера платы за горячее водоснабжение при снижении температуры горячей воды свыше допустимых отклонений при наличии приборов учета горячей воды идентичен.

Условия примера:

Параметры Значения Ед. изм.
норматив потребления горячей воды N_гв = 150 (л на 1 чел. в сут.)
тариф на горячую воду Т_гв = 40 (руб./куб. м)
количество потребителей в жилом помещении n = 3 (чел.)
снижение температуры горячей воды Дельтаt_n-гв =9 (град. C)
продолжительность снижения температуры горячей воды d_n = 7 (дн.)
количество дней в месяце d_m = 30 (дн.)

В соответствии с пунктом 5 приложения N 1 к Правилам:

а) исполнитель обязан обеспечить температуру горячей воды в точке разбора:

не менее 60 град. C - для открытых систем централизованного теплоснабжения;

не менее 50 град. C - для закрытых систем централизованного теплоснабжения;

не более 75 град. C - для любых систем теплоснабжения;

б) установлено допустимое отклонение температуры горячей воды в точке разбора:

в ночное время (с 23.00 до 6.00 часов) не более чем на 5 град. C (Дельтаt_tН);

в дневное время (с 6.00 до 23.00 часов) не более чем на 3 град. C (Дельтаt_tД);

в) за каждые 3 град. C (Дельтаt_р) снижения температуры свыше допустимых отклонений размер платы снижается на 0,1 процента за каждый час превышения (суммарно за расчетный период) допустимой продолжительности нарушения. Под размером платы необходимо понимать размер ежемесячной платы за горячее водоснабжение, исходя из норматива потребления горячей воды или показаний приборов учета.

1) Расчет объема горячей воды, исходя из норматива потребления горячей воды (без снижения):

    N            
V   = гв x n x d   = 150 x 3 x 30 = 13,5 куб. м;
Nгв 1000 m 1000

2) Расчет размера ежемесячной платы за горячее водоснабжение, исходя из норматива потребления горячей воды (без снижения):

Р   = Т   x V   = 40 x 13,5 = 540 (руб.);
гв-mN гв Nгв

3) Расчет превышения продолжительности отклонения температуры горячей воды в дневное время (17 часов - с 6.00 до 23.00 часов):

Дельтаh   = d   x 17 = 7 x 17 = 119 (час.);
Д n

4) Расчет превышения продолжительности отклонения температуры горячей воды в ночное время (7 часов - с 23.00 до 6.00 часов):

Дельтаh   = d   x 7 = 7 x 7 = 49 (час.);
Н n

5) Расчет отклонения температуры горячей воды в дневное время от допустимого отклонения температуры горячей воды в дневное время:

Дельтаt   = Дельтаt   - Дельтаt   = 9 град. C - 3 град. C = 6 град. C;
Д n-гв

6) Расчет доли снижения размера ежемесячной платы за горячее водоснабжение с учетом отношения отклонения температуры горячей воды в дневное время от допустимого отклонения температуры к единице градации (кратности) снижения температуры:

    Дельтаt        
Z   = Д x 0,1% = 6 град. C x 0,1% = 2 x 0,1% = 0,2%;
Д Дельтаt   3 град. C
      р      

7) Расчет отклонения температуры горячей воды в ночное время:

Дельтаt   = Дельтаt   - Дельтаt   = 9 - 5 = 4 град. C;
Н n-гв

8) Расчет доли снижения размера ежемесячной платы за горячее водоснабжение с учетом отношения отклонения температуры горячей воды в ночное время от допустимого отклонения температуры к единице градации (кратности) снижения температуры:

      Дельтаt              
Z   = fix ( Н ) x 0,1% = fix ( 4 град. C ) x 0,1% = fix (1,3) x 0,1% = 1 x 0,1% = 0,1%;
Н Дельтаt   3 град. C
        р            

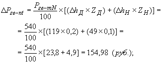
9) Расчет размера снижения ежемесячной платы за горячее водоснабжение, исходя из норматива потребления горячей воды:

10) Размер месячной платы за горячее водоснабжение с учетом снижения из-за отклонения температуры горячей воды свыше допустимых отклонений:

Р   = Р   -- ДельтаР   = 540 - 154,98 = 385,02 (руб.).
гв-mn гв-mN гв-nt

Пример 3. Изменение размера платы за отопление при снижении температуры воздуха в жилом помещении свыше допустимых отклонений при расчетах исходя из нормативов потребления тепловой энергии на отопление.

Условия примера:

Параметры Значения Ед. изм.
норматив потребления тепловой энергии на отопление N_ТЭ = 0,0177 (Гкал/кв. м в мес.)
тариф на тепловую энергию Т_ТЭ = 1078 (руб./Гкал)
общая площадь жилого помещения (квартиры) S = 54 (кв. м)
температура воздуха в жилом помещении, в котором отсутствуют угловые комнаты t_n-о = 13 (град. C)
продолжительность снижения температуры воздуха в жилом помещении d_n = 20 (дн.)
количество дней в месяце d_m = 30 (дн.)

В соответствии с пунктом 15 приложения N 1 к Правилам:

а) исполнитель обязан обеспечить температуру воздуха:

в жилых помещениях - не ниже +18 град. C (в угловых комнатах - +20 град. C), а в районах с температурой наиболее холодной пятидневки (обеспеченностью 0,92) - 31 град. C и ниже - +20 (+22) град. C;

в других помещениях - в соответствии с ГОСТом Р 51617-2000;

б) установлено допустимое снижение нормативной температуры в ночное время суток (от 0.00 до 5.00 часов) - не более 3 град. C и допустимое превышение нормативной температуры - не более 4 град. C. В остальное время дня (с 5.00 до 0.00 часов) отклонение температуры воздуха в жилом помещении не допускается;

в) за каждый час отклонения температуры воздуха в жилом помещении (суммарно за расчетный период) размер ежемесячной платы снижается:

на 0,15 процента размера платы, определенной исходя из показаний приборов учета за каждый градус отклонения температуры;

на 0,15 процента размера платы, определенной исходя из нормативов потребления коммунальных услуг (при отсутствии приборов учета), за каждый градус отклонения температуры.

1) Расчет количества тепловой энергии, потребленной в жилом помещении, исходя из норматива потребления тепловой энергии на отопление:

V   = N   x S = 0,0177 x 54 = 0,9558 (Гкал);
N-ТЭ ТЭ

2) Расчет размера ежемесячной платы за отопление, исходя из норматива потребления тепловой энергии на отопление (без снижения):

Р   = Т   x V   = 1078 x 0,9558 = 1030,35 (руб.);
ТЭ-mN ТЭ N-ТЭ

3) Расчет отклонения температуры воздуха в жилом помещении при температуре воздуха в квартире 13 град. C с 5.00 до 0.00 часов:

Дельтаt 13 = 18 - t   = 18 - 13 = 5 град. C;
n-оД n-о

4) Расчет отклонения температуры воздуха в жилом помещении при температуре воздуха в квартире 13 град. C с 0.00 до 5.00 часов:

Дельтаt 13 = 18 - t   + 3 град. C = 18 - 13 + 3 = 2 град. C;
n-оН n-о

Примечание: величины отклонений температуры воздуха в жилом помещении свыше допустимых отклонений с 5.00 до 0.00 часов (Дельтаt_n-о(tД)) и с 0.00 до 5.00 часов (Дельтаt_n-о(tН)) рассчитываются отдельно для угловых комнат, неугловых комнат и для других помещений, для которых должна быть обеспечена специальная температура воздуха.

5) Расчет продолжительности отклонения температуры воздуха в жилом помещении свыше допустимых отклонений с 5.00 до 0.00 часов (19 часов):

Дельтаh   = d   x 19 = 20 x 19 = 380 (час.);
Д n

6) Расчет продолжительности отклонения температуры воздуха в жилом помещении свыше допустимых отклонений с 0.00 до 5.00 часов (5 часов):

Дельтаh   = d   x 5 = 20 x 5 = 100 (час.);
Н n

Примечание: продолжительности отклонений температуры воздуха в жилом помещении свыше допустимых отклонений с 5.00 до 0.00 часов

(Дельтаh_Д) и с 0.00 до 5.00 часов (Дельтаh_Н) рассчитываются суммарно за расчетный период для каждого значения отклонения температуры воздуха в жилом помещении (например, Дельтаt_n-о = 1, 2, 3, 4 град. C и т.д.) отдельно для угловых и неугловых комнат, для других помещений, для которых должна быть обеспечена специальная температура воздуха.

7) Расчет снижения платы за коммунальную услугу отопления из-за отклонения температуры воздуха в жилом помещении с 5.00 до 0.00 часов:

8) Расчет снижения платы за коммунальную услугу отопления из-за отклонения температуры воздуха в жилом помещении с 0.00 до 5.00 часов:

9) Расчет снижения месячной платы за коммунальную услугу отопления из-за отклонения температуры воздуха в жилом помещении:

ДельтаР 13 = ДельтаР 13 + ДельтаР 13 = 1967,55 + 309,11 = 2276,66 (руб.);
ТЭ-ntДН ТЭ-ntД ТЭ-ntН

Примечание: Размер снижения месячной платы за коммунальную услугу отопления из-за отклонения температуры воздуха в жилом помещении не может превышать ежемесячный размер платы за отопление, исходя из норматива потребления тепловой энергии на отопление или из показаний приборов учета.

9) Расчет размера месячной платы за отопление с учетом снижения за непредоставленную коммунальную услугу отопления:

Р   = Р   - ДельтаР 13 = 1030,35 - 2276,66 = -973,31 = 0 (руб.).
ТЭ-mn ТЭ-mN ТЭ-ntДН