Постановление Правительства РФ от 02.08.2007 N 498

"О федеральной целевой программе "Развитие инфраструктуры наноиндустрии в Российской Федерации на 2008-2010 годы"
Редакция от 02.08.2007 — Не действует Перейти в действующую
Показать изменения

ПРАВИТЕЛЬСТВО РОССИЙСКОЙ ФЕДЕРАЦИИ

ПОСТАНОВЛЕНИЕ
от 2 августа 2007 г. N 498

О ФЕДЕРАЛЬНОЙ ЦЕЛЕВОЙ ПРОГРАММЕ "РАЗВИТИЕ ИНФРАСТРУКТУРЫ НАНОИНДУСТРИИ В РОССИЙСКОЙ ФЕДЕРАЦИИ НА 2008-2010 ГОДЫ"

Правительство Российской Федерации постановляет:

1. Утвердить прилагаемую федеральную целевую программу "Развитие инфраструктуры наноиндустрии в Российской Федерации на 2008-2010 годы" (далее - Программа).

2. Министерству экономического развития и торговли Российской Федерации и Министерству финансов Российской Федерации при формировании проекта федерального бюджета на соответствующий год включать Программу в перечень федеральных целевых программ, подлежащих финансированию за счет средств федерального бюджета.

3. Рекомендовать органам исполнительной власти субъектов Российской Федерации при принятии в 2008-2010 годах региональных целевых программ учитывать положения Программы.

Председатель Правительства
Российской Федерации
М.ФРАДКОВ

УТВЕРЖДЕНА
Постановлением Правительства
Российской Федерации
от 2 августа 2007 г. N 498

ФЕДЕРАЛЬНАЯ ЦЕЛЕВАЯ ПРОГРАММА
"РАЗВИТИЕ ИНФРАСТРУКТУРЫ НАНОИНДУСТРИИ В РОССИЙСКОЙ ФЕДЕРАЦИИ НА 2008-2010 ГОДЫ"

Паспорт федеральной целевой программы "Развитие инфраструктуры наноиндустрии в Российской Федерации на 2008-2010 годы"

Наименование Программы - федеральная целевая программа "Развитие инфраструктуры наноиндустрии в Российской Федерации на 2008-2010 годы"
Основание для разработки Программы - протокол заседания Правительства Российской Федерации от 7 сентября 2006 г. N 31
Государственные заказчики Программы - Федеральное агентство по науке и инновациям, Федеральное агентство по образованию, Федеральное агентство по атомной энергии, Федеральное космическое агентство, Федеральное агентство по промышленности, Федеральное агентство по техническому регулированию и метрологии, Федеральная служба по техническому и экспортному контролю
Государственный заказчик - координатор Программы - Министерство образования и науки Российской Федерации
Основные разработчики Программы - Министерство образования и науки Российской Федерации, Федеральное агентство по науке и инновациям
Цель Программы - создание в Российской Федерации современной инфраструктуры национальной нанотехнологической сети для развития и реализации потенциала отечественной наноиндустрии
Задачи Программы - оснащение специальным экспериментальным, диагностическим, метрологическим, научно-технологическим и производственным оборудованием, иными приборами и устройствами элементов национальной нанотехнологической сети, формируемых на базе государственных организаций, обеспечение эффективной эксплуатации и использования приборно-инструментальной базы в интересах российских научных организаций, образовательных учреждений высшего профессионального образования, выполняющих работы в области нанотехнологий и наноматериалов;
  создание и поддержка функционирования системы обмена информацией между организациями, входящими в состав национальной нанотехнологической сети, в целях повышения эффективности их деятельности, коммерциализации и популяризации знаний в области нанотехнологий и наноматериалов;
  формирование системы методического обеспечения, регламентирующей безопасность создания и применения нанотехнологий и наноматериалов;
  формирование системы методического обеспечения механизмов регулирования развития наноиндустрии, гармонизирующей российские и международные нормативные и методические документы по обеспечению единства измерений и подтверждения соответствия продукции наноиндустрии, поддержки экспорта в целях стимулирования процессов коммерциализации нанотехнологий и вывода на внутренний и внешний рынки новой продукции наноиндустрии
Важнейшие целевые индикаторы и показатели Программы - удельный вес научных, инновационно-технологических, внедренческих и коммерческих организаций, имеющих доступ к различным составляющим инфраструктуры наноиндустрии, в общем числе российских организаций, участвующих в исследованиях, разработках и производстве продукции наноиндустрии, - 90 процентов;
  удельная оснащенность (стоимость оборудования) одного сотрудника, занятого в исследованиях и разработках в рамках национальной нанотехнологической сети, - 860 тыс. рублей;
  средний возраст научного и специального оборудования, приборов и устройств головных организаций отраслей в составе национальной нанотехнологической сети - 5 лет
Сроки реализации Программы - 2008-2010 годы
Объемы и источники финансирования Программы - всего на 2008-2010 годы (в ценах соответствующих лет) - 27733 млн. рублей, в том числе средства федерального бюджета - 24944,6 млн. рублей,
  из них:
  капитальные вложения - 15245,6 млн. рублей;
  прочие нужды - 9699 млн. рублей;
  средства из внебюджетных источников - 2788,4 млн. рублей.
  Объемы и источники финансирования ежегодно уточняются при формировании федерального бюджета на соответствующий год
Ожидаемые конечные результаты реализации Программы и показатели ее социально-экономической эффективности - создание нового поколения наноматериалов и нанотехнологий для использования в ключевых областях науки и техники, ресурсо- и энергосбережении, промышленном производстве, здравоохранении и производстве продуктов питания, а также для поддержания необходимого уровня обеспечения обороноспособности и безопасности государства;
увеличение доли продукции, произведенной с помощью созданной в рамках Программы инфраструктуры наноиндустрии, до 75 процентов общего объема продукции наноиндустрии, произведенной в Российской Федерации;
  обеспечение мирового уровня исследований и разработок, оснащенности научно-исследовательским, метрологическим и технологическим оборудованием организаций, работающих в сфере наноиндустрии, и получение при этом организациями - участниками Программы до 80 патентов (в том числе международных) в год;
  развитие и реализация российского потенциала наноиндустрии и активное участие Российской Федерации в международной научно-технической кооперации;
  создание системы учета информации о результатах научных исследований и технологических разработок в сфере наноиндустрии, полученных организациями различных организационно-правовых форм, обеспечение доступа к этой информации;
  совершенствование методической базы научно-технической и инновационной деятельности в сфере наноиндустрии;
  создание и ресурсное обеспечение уникальных научных установок, сети центров коллективного пользования уникальным научным и экспериментальным оборудованием;
  создание и развитие инновационной инфраструктуры, совершенствование механизма взаимодействия участников инновационного процесса, включая организацию взаимодействия научных организаций и высших учебных заведений с промышленными организациями, в целях продвижения новых нанотехнологий и наноматериалов в производство;
  сохранение и развитие кадрового потенциала, в том числе создание условий для привлечения и закрепления талантливой молодежи в сфере наноиндустрии, возвращения в Российскую Федерацию ведущих российских ученых и специалистов в сфере наноиндустрии, работающих за рубежом, и их трудоустройства. При этом доля научных сотрудников, имеющих не менее 3 лет опыта проведения исследований и разработок технологий с использованием научного оборудования мирового уровня, в общем числе научных сотрудников организаций национальной нанотехнологической сети, составит не менее 70 процентов

I. Характеристика проблемы, на решение которой направлена Программа

Системной проблемой в сфере наноиндустрии, являющейся основой развития наукоемкой экономики, в настоящее время является разрыв между необходимостью проведения на высоком уровне исследований и разработок, научно-технологическим заделом в этой сфере и критически низким уровнем развития инфраструктуры наноиндустрии, что не позволяет Российской Федерации стать достойным конкурентом на формирующемся мировом рынке наноиндустрии.

В Бюджетном послании Президента Российской Федерации Федеральному Собранию Российской Федерации о бюджетной политике в 2008-2010 годах обращается внимание на необходимость продолжения решения вопросов развития наноиндустрии с применением программно-целевых методов.

Ускоренное выполнение работ в сфере развития инфраструктуры наноиндустрии призвано обеспечить реализацию стратегических национальных приоритетов Российской Федерации, определенных в Основах политики Российской Федерации в области развития науки и технологий на период до 2010 года и дальнейшую перспективу, утвержденных Президентом Российской Федерации 30 марта 2002 г., в том числе повышение качества жизни населения, достижение экономического роста, развитие фундаментальной науки, образования и культуры, обеспечение обороноспособности и безопасности государства.

Правительство Российской Федерации одобрило в основном Концепцию развития в Российской Федерации работ в области нанотехнологий на период до 2010 года (поручение Правительства Российской Федерации от 18 ноября 2004 г. N МФ-П7-6194), в соответствии с которой важным направлением реализации государственной политики в области инновационного развития наноиндустрии является материально-техническое обеспечение работ с учетом возможности кооперации при использовании уникального дорогостоящего научного оборудования в целях создания сбалансированной и гибкой инфраструктуры, обеспечивающей ускоренное развитие основ наноиндустрии и освоение внутреннего и внешнего рынков наукоемкой продукции.

В президентской инициативе "Стратегия развития наноиндустрии", утвержденной Президентом Российской Федерации, одним из основных инструментов государственной политики в сфере нанотехнологий определена федеральная целевая программа "Развитие инфраструктуры наноиндустрии в Российской Федерации на 2008-2010 годы" (далее - Программа).

Инфраструктура наноиндустрии должна создаваться не для отдельных организаций, а в виде инфраструктуры национальной нанотехнологической сети, представляющей собой совокупность организаций различных организационно-правовых форм, выполняющих фундаментальные и прикладные исследования, осуществляющих разработки и коммерциализацию технологий, деятельность которых в этой области координируется федеральными органами исполнительной власти на межотраслевом уровне.

Важнейшими элементами формируемой инфраструктуры наноиндустрии являются:

приборно-инструментальная и производственно-технологическая составляющая, которая характеризует материально-техническую и метрологическую базы различных направлений развития наноиндустрии;

информационно-аналитическая составляющая, которая обеспечивает координацию работ, полноту и актуализацию сведений о перспективных разработках, технологиях и кадровом потенциале в сфере наноиндустрии в Российской Федерации и за рубежом;

методическая составляющая, которая регламентирует безопасность создания и применения нанотехнологий и наноматериалов, механизмы регулирования развития наноиндустрии, обеспечивает гармонизацию российских и иностранных нормативных и методических документов по обеспечению единства измерений и подтверждения соответствия продукции наноиндустрии.

Формирование инфраструктуры наноиндустрии должно стать важнейшим стратегическим направлением, определяющим новые подходы к преобразованию отечественной высокотехнологичной промышленности, реализуемым по Программе координации работ в области нанотехнологий и наноматериалов в Российской Федерации, одобренной распоряжением Правительства Российской Федерации от 25 августа 2006 г. N 1188-р.

Ряд государственных научных центров и организаций Российской Федерации имеет исторический приоритет, большой задел и находится на высоком международном уровне в сфере разработок и исследований в области некоторых наноматериалов и нанотехнологий. Сформирован также образовательный сегмент высшего профессионального образования, в котором помимо образовательной деятельности осуществляется интенсивная исследовательская работа в указанной сфере.

В рамках федеральных целевых и ведомственных программ осуществляется государственное финансирование научно-исследовательских и опытно-конструкторских работ в области нанотехнологий, однако в них не предусмотрены необходимые средства на развитие материально-технической базы и иных составляющих инфраструктуры наноиндустрии.

В то же время в части темпов коммерческого освоения нанотехнологий Россия отстает от ряда зарубежных стран. Одной из главных причин такого отставания является отсутствие метрологического обеспечения измерений при разработке и промышленном освоении нанотехнологий и производстве наноматериалов, старение, а по отдельным направлениям развития нанотехнологий - практическое отсутствие научного и специального оборудования, приборов и устройств, отвечающих современным мировым требованиям, а также отставание в развитии других составляющих инфраструктуры наноиндустрии.

Отсутствие поддержки в сфере развития наноиндустрии со стороны государства в создавшихся условиях может привести к тому, что имеющийся сегодня в Российской Федерации существенный научный задел будет либо утрачен, либо использован иностранными конкурентами.

Для решения общих проблем в области наноиндустрии необходимо создать с учетом Программы координации работ в области нанотехнологий и наноматериалов в Российской Федерации инфраструктуру национальной нанотехнологической сети.

II. Цель и задачи Программы, сроки ее реализации, а также целевые индикаторы и показатели

Целью Программы является создание в Российской Федерации современной инфраструктуры национальной нанотехнологической сети для развития и реализации потенциала отечественной наноиндустрии.

Для достижения указанной цели следует решить следующие задачи.

Первой задачей является оснащение специальным экспериментальным, диагностическим, метрологическим, научно-технологическим и производственным оборудованием, иными приборами и устройствами элементов национальной нанотехнологической сети, формируемых на базе государственных организаций, обеспечение эффективной эксплуатации и использования приборно-инструментальной базы в интересах российских научных организаций, образовательных учреждений высшего профессионального образования, выполняющих работы в области нанотехнологий и наноматериалов.

Второй задачей является создание и поддержка функционирования системы обмена информацией между организациями, входящими в состав национальной нанотехнологической сети, в целях повышения эффективности их деятельности, коммерциализации и популяризации знаний в области нанотехнологий и наноматериалов.

Третьей задачей является формирование системы методического обеспечения, регламентирующей безопасность создания и применения нанотехнологий и наноматериалов.

Четвертой задачей является формирование системы методического обеспечения механизмов регулирования развития наноиндустрии, гармонизирующей российские и международные нормативные и методические документы по обеспечению единства измерений и подтверждения соответствия продукции наноиндустрии, поддержки экспорта в целях стимулирования процессов коммерциализации нанотехнологий и вывода на внутренний и внешний рынки новой продукции наноиндустрии.

Решение первой задачи обеспечивается по нескольким тематическим направлениям. В качестве тематических направлений деятельности национальной нанотехнологической сети федеральными органами исполнительной власти определены следующие направления:

наноэлектроника;

наноинженерия;

функциональные наноматериалы и высокочистые вещества;

функциональные наноматериалы для энергетики;

функциональные наноматериалы для космической техники;

нанобиотехнологии;

конструкционные наноматериалы;

композитные наноматериалы;

нанотехнологии для систем безопасности.

В состав национальной нанотехнологической сети входят:

головная научная организация Программы координации работ в области нанотехнологий и наноматериалов в Российской Федерации (далее - головная научная организация), которая определена на конкурсной основе, - федеральное государственное учреждение Российский научный центр "Курчатовский институт";

головные организации отраслей, определяемые федеральными органами исполнительной власти - государственными заказчиками Программы из числа крупных отраслевых специализированных научно-технологических комплексов;

ведущие научно-образовательную деятельность в сфере наноиндустрии образовательные учреждения высшего профессионального образования, отбираемые на конкурсной основе.

Основными функциями головной научной организации являются:

координация исследований и разработок для формирования научно-технологической базы наноиндустрии;

осуществление комплексной научной и технологической экспертизы мероприятий в области соответствующих исследований и разработок, включая экспертизу достигнутых результатов и определение потенциала их производства и продажи;

экспертиза достигнутых результатов, выявление наиболее продвинутых к коммерциализации разработок, определение их потенциала для производства и реализации на внутреннем и внешнем рынках, подготовка предложений по поддержке имеющихся заделов;

обеспечение связи между фундаментальными и прикладными исследованиями в области нанотехнологий;

координация проектов международного научно-технического сотрудничества;

содействие трансферу результатов исследований и разработок гражданского, двойного и военного назначения;

обеспечение взаимодействия головных организаций отраслей по вопросам научных исследований, коммерциализации технологий, организации серийного производства;

повышение эффективности применения уникального оборудования, обеспечивающего разработку принципиально новых технологий и развитие новых секторов экономики;

комплексное информационно-аналитическое обеспечение, мониторинг и прогнозирование развития наноиндустрии;

координация работ по стандартизации, сертификации и метрологическому обеспечению, поддержке патентования и лицензирования, оценке безопасности применения новых нанотехнологий и наноматериалов.

Основными функциями головной организации отрасли являются:

решение важнейших проблем развития отраслей наноиндустрии и освоение секторов наукоемкой продукции, в том числе с ориентацией на мировой рынок;

координация разработок новых технологий, конкурентоспособных на мировом рынке;

экспертиза достигнутых результатов, выявление наиболее продвинутых к коммерциализации разработок, определение их потенциала для производства и продажи на внутреннем и внешнем рынках, подготовка предложений по поддержке имеющихся заделов;

использование передовых базовых нанотехнологий;

координация работ по стандартизации, метрологическому обеспечению и подтверждению соответствия продукции и технологий в отраслях наноиндустрии;

координация проектов международного научно-технического сотрудничества;

координация проектов трансфера нанотехнологий;

организация и участие в реализации проектов государственно-частного партнерства;

отраслевой мониторинг, включая сбор информации о производстве и продаже продукции наноиндустрии;

интеграция научной и образовательной деятельности в соответствующих отраслях.

Основными функциями ведущих научно-образовательную деятельность в сфере наноиндустрии образовательных учреждений высшего профессионального образования являются:

интеграция научной и образовательной деятельности для подготовки специалистов с высшим образованием всех уровней (бакалавров (с фундаментальной базовой подготовкой), специалистов, магистров, аспирантов и докторантов) и выполнения научных исследований и разработок мирового класса;

обеспечение взаимодействия с академическим и отраслевым секторами науки, включая привлечение ученых и специалистов данных секторов к преподавательской деятельности;

участие в разработке программ обучения и популяризации знаний в области нанотехнологий как единой технологической культуры нового века.

Головная научная организация и головные организации отраслей функционируют одновременно и как центры коллективного пользования, обеспечивающие доступ к исследовательскому и технологическому оборудованию исследователям, выполняющим разработки в сфере наноиндустрии в рамках мероприятий различных профильных федеральных целевых программ.

Перечень головных организаций отраслей по направлениям развития нанотехнологий приведен в приложении N 1.

В рамках решения первой задачи Программы осуществляется приобретение оборудования для оснащения государственных организаций национальной нанотехнологической сети комплексами исследовательского, метрологического и научно-технологического оборудования, комплексами контрольно-измерительного оборудования, в том числе комплексами оборудования для отработки нанотехнологий, изготовления наноматериалов, микро- и наносистемной техники, нанопродуктов, реализации нанобиомедицинских технологий.

Проводится методическое обеспечение в части оптимизации перечней приобретаемого оборудования и способов его использования в интересах не только организаций национальной нанотехнологической сети, но и существенно более широкого круга исследовательских, технологических, образовательных и иных организаций, выполняющих работы для развития наноиндустрии. Проводятся работы, связанные с разработкой требований и нормативов функционирования инфраструктуры национальной нанотехнологической сети, координацией деятельности входящих в нее организаций, с разработкой и утверждением соответствующих регламентов и инструкций по осуществлению доступа к оборудованию научных и образовательных структур в рамках национальной нанотехнологической сети, интеграцией и взаимодействием научных и образовательных подразделений образовательных учреждений высшего профессионального образования в процессе формирования научно-образовательных комплексов в составе национальной нанотехнологической сети.

Выполняются работы, связанные с осуществлением шефмонтажа и пусконаладочных работ по введению в эксплуатацию оборудования, закупленного в рамках Программы для организаций национальной нанотехнологической сети, а также с подбором, подготовкой и тренингом персонала, осуществляющего эксплуатацию закупленного оборудования.

Создаваемая в рамках решения второй задачи информационно-аналитическая инфраструктура наноиндустрии, в том числе сеть электронно-компьютерного обмена результатами исследований и разработок между элементами национальной нанотехнологической сети, должна стать не только инструментом обмена информацией среди участников Программы, но и способствовать решению более широких задач по координации работ в сфере наноиндустрии. В частности, ее необходимо использовать как:

инструмент управления и координации работ в области нанотехнологий и наноматериалов, выполняемых в рамках федеральных целевых и ведомственных программ, а также отдельных программ регионального развития и проектов, реализуемых бизнес-сообществом;

инструмент мониторинга Программы;

инструмент коммерциализации наноиндустрии;

инструмент международных научно-технических обменов в сфере наноиндустрии;

инструмент популяризации достижений в области нанотехнологий и наноматериалов.

В рамках второй задачи также осуществляется финансирование приобретения и распространения интернет-контента для наполнения специализированных баз данных в сфере наноиндустрии.

В рамках решения третьей задачи осуществляется разработка методических материалов по оценке и подтверждению соответствия продукции и технологий наноиндустрии требованиям и нормам безопасности различных наноматериалов для здоровья разработчиков, производителей и потребителей наноматериалов.

В рамках решения четвертой задачи:

выполняются работы по обеспечению функционирования центра метрологического обеспечения продукции и технологий наноиндустрии, осуществляется подтверждение метрологических характеристик эталонных средств измерений в наноиндустрии, сличение их с международными и выполнение мероприятий по взаимному признанию результатов калибровок;

разрабатываются методики выполнения измерений, поверки, калибровки и испытаний используемых в наноиндустрии средств измерений, их гармонизация с требованиями международных стандартов в сфере наноиндустрии.

Решение четвертой задачи необходимо осуществлять при тесном взаимодействии с международными организациями, осуществляющими деятельность в области стандартизации и обеспечения единства измерений и качества - Международной организацией по стандартизации, Международной электротехнической комиссией, Международной организацией законодательной метрологии, Международным бюро мер и весов.

Важным элементом государственной поддержки и развития экспортного потенциала российских разработчиков продукции наноиндустрии являются мероприятия по проведению патентных исследований, соответствующих ГОСТу Р 15.011-96 "Система разработки и постановки продукции на производство. Патентные исследования. Содержание и порядок проведения", направленных на определение патентной чистоты закупаемых и поставляемых в рамках Программы оборудования, продукции наноиндустрии (наноматериалов, сырья) и комплектующих изделий.

Для решения задач Программы целесообразно выполнить ее в один этап с 2008 по 2010 год.

Целевые индикаторы реализации мероприятий Программы приведены в приложении N 2.

Прекращение действия Программы наступает в случае завершения ее реализации, а досрочное прекращение - в случае признания неэффективности ее реализации в соответствии с решением Правительства Российской Федерации согласно порядку разработки и реализации федеральных целевых программ и межгосударственных целевых программ, в осуществлении которых участвует Российская Федерация, утвержденному постановлением Правительства Российской Федерации от 26 июня 1995 г. N 594.

III. Мероприятия Программы

Достижение цели и решение задач Программы осуществляется путем скоординированного выполнения мероприятий Программы.

Мероприятия Программы объединены по следующим 4 направлениям.

Направление 1. Развитие приборно-инструментальной составляющей инфраструктуры наноиндустрии

В рамках этого направления предусматриваются приобретение оборудования для оснащения государственных организаций национальной нанотехнологической сети, его монтаж, а также подготовка квалифицированного персонала для его эксплуатации. Реализации планов по закупке оборудования предшествует комплексный анализ внутреннего и внешнего рынков оборудования в области нанотехнологий, определяется потребность организаций национальной нанотехнологической сети в таком оборудовании, а также подготавливается и согласуется проектно-сметная документация по техническому перевооружению имеющихся площадей под поставляемое оборудование, осуществляется закупка необходимых материалов и выполняются строительно-монтажные работы по реконструкции помещений организаций национальной нанотехнологической сети для установки закупаемого оборудования.

Указанное направление включает в себя мероприятие по формированию материально-технической базы национальной нанотехнологической сети, включая закупку, поставку, осуществление строительно-монтажных работ, шефмонтажа и пусконаладочных работ по введению в эксплуатацию оборудования для организаций национальной нанотехнологической сети.

Направление 2. Развитие информационно-аналитической составляющей инфраструктуры наноиндустрии

В рамках этого направления осуществляется создание специализированных баз данных для компьютерного обмена информацией при проведении исследований и разработок, в том числе между организациями национальной нанотехнологической сети, а также интернет-порталов, обеспечивающих в режимах регламентированного и открытого доступа решение комплекса задач по информационному и аналитическому обеспечению национальной нанотехнологической сети, выполняются работы по формированию специализированных баз данных по кадровому обеспечению наноиндустрии.

Указанное направление включает в себя следующие мероприятия:

формирование информационной инфраструктуры наноиндустрии;

формирование аналитической и прогнозной инфраструктуры наноиндустрии;

формирование кадровой информационно-аналитической системы наноиндустрии.

Направление 3. Развитие методической составляющей инфраструктуры наноиндустрии

В рамках этого направления выполняются работы по обеспечению функционирования центра метрологического обеспечения продукции и технологий наноиндустрии, осуществляется подтверждение метрологических характеристик эталонных средств измерений в наноиндустрии, сличение их с международными эталонными средствами и выполнение мероприятий по взаимному признанию результатов калибровок, разрабатываются методики измерения, поверки, калибровки и испытания используемых в наноиндустрии средств измерений, их гармонизация с требованиями международных стандартов в области нанотехнологий и обеспечения безопасности создания и применения объектов наноиндустрии, разрабатываются методические материалы по оценке и подтверждению соответствия продукции и технологий наноиндустрии.

Указанное направление включает в себя следующие мероприятия:

развитие методической составляющей системы обеспечения единства измерений в наноиндустрии и безопасности создания и применения объектов наноиндустрии;

проведение патентных исследований, соответствующих ГОСТу Р 15.011-96 "Система разработки и постановки продукции на производство. Патентные исследования. Содержание и порядок проведения", направленных на определение патентной чистоты закупаемых и поставляемых в рамках Программы оборудования, продукции наноиндустрии (наноматериалов, сырья), комплектующих изделий.

Направление 4. Обеспечение управления реализацией Программы и содержание дирекции Программы

Указанное направление включает в себя проведение работ, связанных с разработкой и утверждением регламентов и инструкций по доступу к приборно-инструментальной и иным составляющим инфраструктуры наноиндустрии, а также сбор, систематизацию и анализ статистической и текущей информации о реализации мероприятий Программы, мониторинг результатов реализации мероприятий Программы, организацию независимой оценки показателей.

Текущее управление реализацией Программы возлагается на дирекцию Программы, содержание которой осуществляется за счет средств федерального бюджета, выделяемых на реализацию Программы.

Указанное направление включает в себя следующие мероприятия:

обеспечение управления реализацией Программы;

содержание дирекции Программы.

Мероприятия Программы приведены в приложении N 3, объемы финансирования Программы по государственным заказчикам и источникам финансирования - в приложении N 4.

Перечень инвестиционных объектов Программы приведен в приложении N 5.

В перечень инвестиционных объектов Программы на основании предложений федеральных органов исполнительной власти и Российской академии наук включены в том числе головная научная организация национальной нанотехнологической сети и организации, являющиеся головными организациями отраслей национальной нанотехнологической сети.

IV. Обоснование ресурсного обеспечения Программы

Финансирование мероприятий Программы предполагается осуществлять за счет средств федерального бюджета и внебюджетных источников.

Расходы на реализацию Программы приведены в приложении N 6 и подлежат уточнению (по годам) в соответствии с утвержденной проектно-сметной документацией. Объем и динамика расходов бюджетных средств на реализацию Программы определяются характером и временными рамками реализуемых мероприятий. Объемы государственных капитальных вложений для строительства, реконструкции или технического перевооружения объектов национальной нанотехнологической сети увязаны с мероприятиями по тематическим направлениям развития наноиндустрии, которые выполняются организациями национальной нанотехнологической сети.

Финансирование строительства, реконструкции или технического перевооружения объектов, включаемых в Программу, осуществляется в установленном порядке через главных распорядителей бюджетных средств, к ведению которых относятся указанные объекты.

Финансирование мероприятий по формированию материально-технической базы национальной нанотехнологической сети, включая закупку, поставку, осуществление шефмонтажа и пусконаладочных работ по введению в эксплуатацию оборудования для организаций национальной нанотехнологической сети, осуществляют государственные заказчики Программы в соответствии с перечнем инвестиционных объектов Программы, приведенным в приложении N 5 к Программе.

Финансирование мероприятий по развитию методической составляющей инфраструктуры наноиндустрии осуществляют государственные заказчики Программы - Федеральное агентство по техническому регулированию и метрологии и Федеральное агентство по науке и инновациям.

Финансирование других мероприятий Программы и привлечение внебюджетных средств осуществляют государственные заказчики Программы - Федеральное агентство по науке и инновациям и Федеральное агентство по образованию.

Для устойчивого финансирования проектов Программы за счет внебюджетных средств государственные заказчики - Федеральное агентство по образованию и Федеральное агентство по науке и инновациям включают устанавливаемые ими требования в конкурсную документацию и в заключаемые государственные контракты либо иные гражданско-правовые договоры с исполнителями мероприятий Программы, подписывают с соответствующими организациями протоколы (соглашения) о намерениях или получают другие документы, подтверждающие финансирование мероприятий Программы за счет внебюджетных средств.

При недостаточности внебюджетных средств соответствующие расходы на реализацию мероприятий Программы не могут быть осуществлены за счет средств федерального бюджета.

V. Механизм реализации Программы, включающий в себя механизм управления реализацией Программы и механизм взаимодействия государственных заказчиков

Механизм реализации Программы заключается в выполнении всеми государственными заказчиками Программы цикла "планирование - реализация - мониторинг" показателей и ресурсов для реализации мероприятий Программы по каждому государственному контракту либо иному гражданско-правовому договору. В этой связи формируется детализированный организационно-финансовый план мероприятий по реализации Программы, который уточняется государственным заказчиком - координатором Программы не реже 2 раз в год на основе оценки результативности мероприятий Программы и достижения целевых индикаторов.

Неотъемлемой составляющей механизма реализации Программы является формирование и использование современной системы экспертизы на всех стадиях реализации Программы, позволяющей отбирать наиболее перспективные проекты для государственного финансирования, проводить независимую экспертизу конкурсных заявок с целью выявления исполнителей, предложивших лучшие условия исполнения контрактов либо иных гражданско-правовых договоров, и осуществлять эффективную экспертную проверку качества полученных результатов. Экспертиза и отбор проектов в структурообразующих направлениях Программы основываются на принципах объективности, компетентности и независимости.

Исполнителями мероприятий Программы являются организации, с которыми государственные заказчики заключают государственные контракты либо иные гражданско-правовые договоры по результатам конкурсов в установленном законодательством Российской Федерации порядке.

Министр образования и науки Российской Федерации руководит деятельностью по реализации Программы, несет ответственность за ее выполнение и конечные результаты, рациональное использование выделяемых средств и определяет формы и методы управления реализацией Программы.

Министерство образования и науки Российской Федерации как государственный заказчик - координатор Программы в ходе реализации Программы:

осуществляет контроль за деятельностью государственных заказчиков по выполнению мероприятий Программы;

вносит в Правительство Российской Федерации проекты федеральных законов, нормативных правовых актов Президента Российской Федерации, Правительства Российской Федерации и других необходимых для выполнения Программы документов, по которым требуется решение Правительства Российской Федерации;

разрабатывает и принимает в пределах своих полномочий нормативные правовые акты, необходимые для выполнения Программы;

с учетом выделяемых финансовых средств уточняет показатели выполнения Программы и затраты на реализацию ее мероприятий, механизм реализации Программы и состав исполнителей;

составляет организационно-финансовый план мероприятий по реализации Программы;

подготавливает с учетом хода реализации Программы и представляет ежегодно в установленном порядке в Министерство экономического развития и торговли Российской Федерации сводную бюджетную заявку на финансирование мероприятий Программы на очередной год;

представляет в Министерство экономического развития и торговли Российской Федерации статистическую, справочную и аналитическую информацию о ходе реализации Программы в целом;

представляет в Министерство финансов Российской Федерации и Министерство экономического развития и торговли Российской Федерации сведения о заключенных со всеми исполнителями мероприятий Программы государственных контрактах либо иных гражданско-правовых договорах на финансирование мероприятий Программы за счет средств внебюджетных источников, в том числе на закупку и поставку продукции для федеральных государственных нужд;

представляет ежегодно, до 1 февраля, в Министерство экономического развития и торговли Российской Федерации и Министерство финансов Российской Федерации (по установленной форме) доклад о ходе работ по Программе, достигнутых результатах и эффективности использования финансовых средств;

инициирует при необходимости экспертные проверки хода реализации отдельных мероприятий Программы;

вносит в Министерство экономического развития и торговли Российской Федерации и Министерство финансов Российской Федерации предложения о корректировке, продлении срока реализации Программы либо о прекращении ее выполнения (при необходимости);

по завершении Программы представляет в Правительство Российской Федерации, Министерство экономического развития и торговли Российской Федерации, Министерство финансов Российской Федерации доклад о выполнении Программы, включая эффективность использования финансовых средств за весь период ее реализации.

Государственные заказчики Программы с участием Российской академии наук:

участвуют в составлении детализированного организационно-финансового плана мероприятий по реализации Программы;

разрабатывают перечень целевых индикаторов и показателей для мониторинга реализации мероприятий Программы;

обеспечивают эффективное использование средств, выделяемых на реализацию Программы;

организуют ведение ежеквартальной отчетности по реализации Программы, а также мониторинг реализации ее мероприятий;

организуют экспертные проверки хода реализации отдельных мероприятий Программы в рамках выполнения мероприятий Программы;

осуществляют управление деятельностью исполнителей мероприятий Программы в рамках выполнения мероприятий Программы;

осуществляют отбор на конкурсной основе исполнителей работ (услуг), поставщиков продукции по соответствующим мероприятиям Программы, заключение государственных контрактов либо иных гражданско-правовых договоров;

организуют применение информационных технологий в целях управления и контроля за ходом реализации Программы, обеспечение размещения в сети Интернет текста Программы, нормативных правовых актов по управлению реализацией Программы и контролю за ходом выполнения ее мероприятий, а также материалов о ходе и результатах реализации Программы;

согласуют с государственным заказчиком - координатором Программы и заинтересованными участниками Программы возможные сроки выполнения мероприятий, объемы и источники финансирования;

представляют государственному заказчику - координатору статистическую, справочную и аналитическую информацию о ходе реализации мероприятий Программы;

при необходимости представляют государственному заказчику - координатору Программы предложения о продлении срока реализации Программы либо о ее прекращении;

представляют ежегодно, до 15 января, государственному заказчику - координатору Программы по установленной форме доклад о ходе выполнения работ по Программе, достигнутых результатах и эффективности использования финансовых средств.

В целях обеспечения согласованных действий при реализации Программы создается координационный совет, формируемый из представителей государственного заказчика - координатора Программы, государственных заказчиков, федеральных органов исполнительной власти, научных организаций, образовательных учреждений высшего профессионального образования, независимых экспертов.

Координационный совет возглавляет Министр образования и науки Российской Федерации или один из его заместителей. Положение о координационном совете и его персональный состав утверждаются Министром образования и науки Российской Федерации. Организационное и методическое сопровождение деятельности координационного совета осуществляет Министерство образования и науки Российской Федерации.

Координационный совет осуществляет следующие функции:

выработка предложений по тематике и объемам финансирования заказов на поставки товаров, выполнение работ и оказание услуг в рамках мероприятий Программы;

рассмотрение материалов о ходе реализации мероприятий Программы;

организация проверок выполнения мероприятий Программы, целевого и эффективного использования финансовых средств;

подготовка рекомендаций по более эффективной реализации мероприятий Программы с учетом хода ее выполнения и социально-экономического развития Российской Федерации;

рассмотрение результатов экспертизы содержания и стоимости мероприятий, предлагаемых для реализации в очередном финансовом году.

Дирекция Программы является бюджетным учреждением, формируется государственным заказчиком - координатором Программы.

Дирекция Программы осуществляет следующие основные функции:

собирает и систематизирует статистическую и аналитическую информацию о реализации мероприятий Программы;

организует по поручению государственных заказчиков Программы экспертизу проектов на всех этапах реализации Программы;

организует независимую оценку показателей результативности и эффективности мероприятий Программы, их соответствия целевым индикаторам и показателям;

внедряет информационные технологии и обеспечивает их применение в целях управления реализацией Программы и контроля за ходом выполнения мероприятий Программы, осуществляет информационное обеспечение специализированного сайта в сети Интернет.

Дополнительными функциями по управлению реализацией Программы дирекция Программы может быть наделена государственным заказчиком - координатором Программы на договорной возмездной и (или) безвозмездной основе.

До начала реализации Программы Министерство образования и науки Российской Федерации утверждает положение об управлении реализацией Программы, в котором определяются:

порядок формирования организационно-финансового плана мероприятий по реализации Программы;

механизмы корректировки мероприятий Программы и их ресурсного обеспечения в ходе реализации Программы;

процедуры обеспечения публичности (открытости) информации о целевых индикаторах и показателях, результатах мониторинга реализации Программы, ее мероприятиях и об условиях участия в них исполнителей, а также о проводимых конкурсах и критериях определения победителей.

VI. Оценка социально-экономической и экологической эффективности Программы

По прогнозным оценкам, реализация Программы обеспечит достижение следующих результатов, определяющих ее эффективность:

создание нового поколения наноматериалов и нанотехнологий для использования в ключевых областях науки и техники, ресурсо- и энергосбережении, промышленном производстве, здравоохранении и производстве продуктов питания, а также для поддержания необходимого уровня обеспечения обороноспособности и безопасности государства;

увеличение доли продукции, произведенной с помощью созданной в рамках Программы инфраструктуры наноиндустрии, до 75 процентов общего объема продукции наноиндустрии, произведенной в Российской Федерации;

обеспечение мирового уровня исследований и разработок, оснащенности научно-исследовательским, метрологическим и технологическим оборудованием организаций, работающих в сфере наноиндустрии, и получение при этом организациями - участниками Программы до 80 патентов (в том числе международных) в год;

развитие и реализация российского потенциала наноиндустрии и активное участие Российской Федерации в международной научно-технической кооперации;

создание системы учета информации о результатах научных исследований и технологических разработок в сфере наноиндустрии, полученных организациями различных организационно-правовых форм, обеспечение доступа к этой информации;

совершенствование методической базы научно-технической и инновационной деятельности в сфере наноиндустрии;

создание и ресурсное обеспечение уникальных научных установок, сети центров коллективного пользования уникальным научным и экспериментальным оборудованием;

создание и развитие инновационной инфраструктуры, совершенствование механизма взаимодействия участников инновационного процесса, включая организацию взаимодействия научных организаций и высших учебных заведений с промышленными предприятиями, в целях продвижения новых нанотехнологий и наноматериалов в производство;

сохранение и развитие кадрового потенциала, в том числе создание условий для привлечения и закрепления талантливой молодежи в сфере наноиндустрии, возвращения в Российскую Федерацию ведущих российских ученых и специалистов в сфере наноиндустрии, работающих за рубежом, и их трудоустройства. При этом доля научных сотрудников, имеющих не менее 3 лет опыта проведения исследований и разработок технологий с использованием научного оборудования мирового уровня, в общем числе научных сотрудников организаций национальной нанотехнологической сети составит не менее 70 процентов.

Реализация Программы позволит существенно улучшить экологические показатели и параметры охраны окружающей среды в результате создания новых средств ее защиты и восстановления, основанных на нанотехнологиях и наноматериалах.

В целом реализация Программы обеспечит инновационную активность субъектов экономической деятельности в сфере наноиндустрии, создание необходимой инновационной инфраструктуры, развитие научно-технического и технологического потенциала, позволит создать необходимые предпосылки для дальнейшего научно-технического прогресса и повышения конкурентоспособности российской экономики.

Эффективность расходования бюджетных средств, выделяемых на реализацию Программы, оценивается расширением налоговой базы от реализации потенциала отечественной наноиндустрии за счет обеспечения производства продукции с использованием нанотехнологий.

Коэффициент бюджетной эффективности Программы (отношение бюджетных доходов от налоговых поступлений, связанных с хозяйственной деятельностью участников Программы по реализации мероприятий, в бюджеты всех уровней в течение всего срока реализации Программы к расходам на ее реализацию), рассчитанный на основе исключительно прямых налоговых поступлений, составит 39 процентов.

Оценка эффективности расходования бюджетных средств, выделяемых на реализацию Программы, базируется на основных положениях методических рекомендаций по оценке эффективности инвестиционных проектов (утверждены Министерством экономики Российской Федерации, Министерством финансов Российской Федерации и Государственным комитетом Российской Федерации по строительной, архитектурной и жилищной политике 21 июня 1999 г. N ВК 477).

Общая эффективность Программы оценивается как интегральная оценка эффективности отдельных мероприятий Программы, рассматриваемых как инвестиционные проекты. Методика оценки эффективности Программы приведена в приложении N 7. По каждому мероприятию расчет социально-экономической эффективности осуществляется через определение чистого дисконтированного дохода. При определении бюджетной эффективности Программы по указанной методике были приняты следующие условия:

расчеты произведены с учетом фактора времени путем приведения (дисконтирования) будущих результатов к показателям расчетного года при норме дисконтирования 15 процентов;

расчеты всех экономических показателей произведены в действующих прогнозных ценах каждого года расчетного периода (2008-2010 годы) с учетом индексов-дефляторов, установленных Министерством экономического развития и торговли Российской Федерации до 2009 года для затрат капитального характера.

Индекс доходности (рентабельность) бюджетных средств по налоговым поступлениям составит не менее 2.

Общая оценка вклада Программы в экономическое развитие Российской Федерации заключается в обеспечении эффективного использования бюджетных средств, выделяемых на развитие наноиндустрии, и в решении поставленной Президентом Российской Федерации задачи по созданию Российской корпорации нанотехнологий, в управление которой с 2007 года передаются бюджетные ассигнования в объеме 130 млрд. рублей. Ожидается, что к 2015 году объем продажи российской продукции наноиндустрии составит 250-300 млрд. рублей, объем платежей от экспорта продукции наноиндустрии - 70-75 млрд. рублей.

ПРИЛОЖЕНИЕ N 1
к федеральной целевой программе
"Развитие инфраструктуры
наноиндустрии в Российской
Федерации на 2008-2010 годы"

ПЕРЕЧЕНЬ
ГОЛОВНЫХ ОРГАНИЗАЦИЙ ОТРАСЛЕЙ ПО НАПРАВЛЕНИЯМ РАЗВИТИЯ НАНОТЕХНОЛОГИЙ

Наименование тематического направления Головная организация отрасли Ведомственная принадлежность
1. Наноэлектроника (в части прикладных и ориентированных научно-исследовательских опытно-конструкторских работ) федеральное государственное унитарное предприятие "Научно-исследовательский институт физических проблем им. Ф.В.Лукина" Роспром
2. Наноинженерия государственное образовательное учреждение высшего профессионального образования "Московский государственный институт электронной техники (технический университет)" Рособразование
3. Функциональные наноматериалы для энергетики федеральное государственное унитарное предприятие "Всероссийский научно-исследовательский институт неорганических материалов имени академика А.А.Бочвара" Росатом
4. Функциональные наноматериалы для космической техники федеральное государственное унитарное предприятие "Исследовательский центр имени М.В.Келдыша" Роскосмос
5. Нанобиотехнологии федеральное государственное учреждение Российский научный центр "Курчатовский институт" Роснаука
6. Конструкционные наноматериалы федеральное государственное унитарное предприятие "Центральный научно-исследовательский институт конструкционных материалов "Прометей", федеральное государственное учреждение "Технологический институт сверхтвердых и новых углеродных материалов" Роснаука
7. Композитные наноматериалы федеральное государственное унитарное предприятие "Всероссийский научно-исследовательский институт авиационных материалов" Роспром
8. Нанотехнологии для систем безопасности федеральное государственное унитарное предприятие "Центральный научно-исследовательский институт химии и механики" ФСТЭК России

ПРИЛОЖЕНИЕ N 2
к федеральной целевой программе
"Развитие инфраструктуры наноиндустрии
в Российской Федерации на 2008-2010 годы"

ЦЕЛЕВЫЕ ИНДИКАТОРЫ РЕАЛИЗАЦИИ МЕРОПРИЯТИЙ ФЕДЕРАЛЬНОЙ ЦЕЛЕВОЙ ПРОГРАММЫ "РАЗВИТИЕ ИНФРАСТРУКТУРЫ НАНОИНДУСТРИИ В РОССИЙСКОЙ ФЕДЕРАЦИИ НА 2008-2010 ГОДЫ"

Индикатор Единица измерения 2008 год 2009 год 2010 год
1. Удельный вес научных, инновационно-технологических, внедренческих и коммерческих организаций, имеющих доступ к различным составляющим инфраструктуры наноиндустрии, в общем числе российских организаций, участвующих в исследованиях, разработках и производстве продукции наноиндустрии процентов 40 70 90
2. Удельная оснащенность (стоимость оборудования) одного сотрудника, занятого в исследованиях и разработках в рамках национальной нанотехнологической сети тыс. рублей 420 650 860
3. Средний возраст научного и специального оборудования, приборов и устройств головных организаций отраслей в составе национальной нанотехнологической сети лет 12 8 5
4. Количество организаций, использующих исследовательское, метрологическое и технологическое оборудование в режиме коллективного пользования единиц 70 100 120
5. Доля молодых ученых (специалистов), работающих в научных, инновационных, внедренческих и коммерческих организациях - участниках Программы процентов 40 60 80
6. Количество созданных новых рабочих мест для высококвалифицированных работников единиц 500 1500 2500
7. Число студентов и аспирантов, привлеченных к работе (прошедших практику) на новом нанотехнологическом оборудовании человек 100 150 200

ПРИЛОЖЕНИЕ N 3
к федеральной целевой программе
"Развитие инфраструктуры наноиндустрии
в Российской Федерации на 2008-2010 годы"

МЕРОПРИЯТИЯ ФЕДЕРАЛЬНОЙ ЦЕЛЕВОЙ ПРОГРАММЫ "РАЗВИТИЕ ИНФРАСТРУКТУРЫ НАНОИНДУСТРИИ В РОССИЙСКОЙ ФЕДЕРАЦИИ НА 2008-2010 ГОДЫ"

(млн. рублей, в ценах соответствующих лет)

Направление реализации мероприятий Программы, государственный заказчик Программы 2008-2010 годы - всего В том числе
2008 год 2009 год 2010 год
всего средства федерального бюджета внебюджетные средства всего средства федерального бюджета внебюджетные средства всего средства федерального бюджета внебюджетные средства всего средства федерального бюджета внебюджетные средства
капитальные вложения прочие нужды капитальные вложения прочие нужды капитальные вложения прочие нужды капитальные вложения прочие нужды
1. Развитие приборно-инструментальной составляющей инфраструктуры наноиндустрии 16925,7 15245,6 - 1680,1 7525,2 6782,2 - 746 5168,4 4653,4 - 515 4229,1 3810 - 419,1
мероприятие по формированию материально-технической базы национальной нанотехнологической сети, включая закупку, поставку, осуществление строительно-монтажных работ, шефмонтажа и пусконаладочных работ по введению в эксплуатацию оборудования для организаций национальной нанотехнологической сети 16925,7 15245,6 - 1680,1 7525,2 6782,2 - 746 5168,4 4653,4 - 515 4229,1 3810 - 419,1
Роснаука 7487 6745 - 742 3559,8 3207 - 352,8 2260 2036 - 224 1667,2 1502 - 165,2
ФСТЭК России 874,2 787,6 - 86,6 446,4 402,2 - 44,2 270,2 243,4 - 26,8 157,6 142 - 15,6
Роспром 1166,6 1051 - 115,6 411,8 371 - 40,8 456,2 411 - 45,2 298,6 269 - 29,6
Роскосмос 777 700 - 77 222 200 - 22 277,5 250 - 27,5 277,5 250 - 27,5
Росатом 1097,5 986 - 111,5 353 318 - 35 400,4 358 - 42,4 344,1 310 - 34,1
Рособразование 4671,2 4211 - 463,2 2177 1964 - 216 1237,7 1115 - 122,7 1256,5 1132 - 124,5
Ростехрегулирование 205,4 185 - 20,4 77,7 70 - 7,7 55,5 50 - 5,5 72,2 65 - 7,2
Российская академия наук 643,8 580 - 63,8 277,5 250 - 27,5 210,9 190 - 20,9 155,4 140 - 15,4
2. Развитие информационно - аналитической составляющей инфраструктуры наноиндустрии 5618,8 - 4767 851,8 1516,3 - 1270 246,3 1911,3 - 1622 289,3 2191,2 - 1875 316,2
мероприятие по формированию информационной инфраструктуры наноиндустрии 1935 - 1642 293 525 - 440 85 662 - 562 100 748 - 640 108
Роснаука 1935 - 1642 293 525 - 440 85 662 - 562 100 748 - 640 108
мероприятие по формированию аналитической и прогнозной инфраструктур наноиндустрии 1998,8 - 1695 303,8 549,3 - 460 89,3 672,3 - 570 102,3 777,2 - 665 112,2
Роснаука, Рособразование 1998,8 - 1695 303,8 549,3 - 460 89,3 672,3 - 570 102,3 777,2 - 665 112,2
мероприятие по формированию кадровой информационно - аналитической системы наноиндустрии 1685 - 1430 255 442 - 370 72 577 - 490 87 666 - 570 96
Рособразование 1685 - 1430 255 442 - 370 72 577 - 490 87 666 - 570 96
3. Развитие методической составляющей инфраструктуры наноиндустрии 4571,5 - 4315 256,5 1404 - 1325 79 1533 - 1453 80 1634,5 - 1537 97,5
мероприятие по развитию методической составляющей системы обеспечения единства измерений в наноиндустрии и безопасности создания и применения объектов наноиндустрии 3459 - 3365 94 1074 - 1050 24 1198 - 1170 28 1187 - 1145 42
Роснаука, Ростехрегулирование 3459 - 3365 94 1074 - 1050 24 1198 - 1170 28 1187 - 1145 42
мероприятие по проведению патентных исследований, соответствующих ГОСТу Р 15.011-96 "Система разработки и постановки продукции на производство. Патентные исследования. Содержание и порядок проведения", направленных на определение патентной чистоты закупаемых и поставляемых в рамках Программы оборудования, продукции наноиндустрии (наноматериалов, сырья), комплектующих изделий 1112,5 - 950 162,5 330 - 275 55 335 - 283 52 447,5 - 392 55,5
Роснаука 1112,5 - 950 162,5 330 - 275 55 335 - 283 52 447,5 - 392 55,5
4. Обеспечение управления реализацией Программы и содержание дирекции Программы 617 - 617 - 159 - 159 - 197 - 197 - 261 - 261 -
Роснаука, Рособразование 617 - 617 - 159 - 159 - 197 - 197 - 261 - 261 -
мероприятие по обеспечению управления реализацией Программы 330 - 330 - 69 - 69 - 100 - 100 - 161 - 161 -
мероприятие по содержанию дирекции Программы 287 - 287 - 90 - 90 - 97 - 97 - 100 - 100 -
Итого по Программе 27733 15245,6 9699 2788,4 10607,5 6782,2 2754 1071,3 8809,7 4653,4 3272 884,3 8315,8 3810 3673 832,8

Примечание. Финансирование мероприятий Программы в рамках направлений 2, 3 и 4 осуществляется по подразделу "Другие вопросы в области национальной экономики" раздела "Национальная экономика" функциональной классификации расходов бюджетов Российской Федерации.

ПРИЛОЖЕНИЕ N 4
к федеральной целевой программе
"Развитие инфраструктуры наноиндустрии
в Российской Федерации на 2008-2010 годы"

ОБЪЕМЫ ФИНАНСИРОВАНИЯ ФЕДЕРАЛЬНОЙ ЦЕЛЕВОЙ ПРОГРАММЫ "РАЗВИТИЕ ИНФРАСТРУКТУРЫ НАНОИНДУСТРИИ В РОССИЙСКОЙ ФЕДЕРАЦИИ НА 2008-2010 ГОДЫ" ПО ГОСУДАРСТВЕННЫМ ЗАКАЗЧИКАМ И ИСТОЧНИКАМ ФИНАНСИРОВАНИЯ

(млн. рублей, в ценах соответствующих лет)

Объем финансирования - всего В том числе
2008 год 2009 год 2010 год
Объем финансирования - всего 27733 10607,5 8809,7 8315,8
в том числе:        
средства федерального бюджета - всего 24944,6 9536,2 7925,4 7483
из них:        
капитальные вложения - всего 15245,6 6782,2 4653,4 3810
в том числе:        
Роснаука 6745 3207 2036 1502
ФСТЭК России 787,6 402,2 243,4 142
Роспром 1051 371 411 269
Роскосмос 700 200 250 250
Росатом 986 318 358 310
Рособразование 4211 1964 1115 1132
Ростехрегулирование 185 70 50 65
Российская академия наук 580 250 190 140
прочие расходы - всего 9699 2754 3272 3673
в том числе:        
Роснаука 5589 1579 1862 2148
Рособразование 2427,5 650 825 952,5
Ростехрегулирование 1682,5 525 585 572,5
средства внебюджетных источников - всего 2788,4 1071,3 884,3 832,8
из них:        
капитальные вложения - всего 1680,1 746 515 419,1
в том числе:        
Роснаука 742 352,8 224 165,2
ФСТЭК России 86,6 44,2 26,8 15,6
Роспром 115,6 40,8 45,2 29,6
Роскосмос 77 22 27,5 27,5
Росатом 111,5 35 42,4 34,1
Рособразование 463,2 216 122,7 124,5
Ростехрегулирование 20,4 7,7 5,5 7,2
Российская академия наук 63,8 27,5 20,9 15,4
прочие нужды - всего 1108,3 325,3 369,3 413,7
в том числе:        
Роснаука 654,4 196,7 217,1 240,6
Рособразование 406,9 116,6 138,2 152,1
Ростехрегулирование 47 12 14 21

ПРИЛОЖЕНИЕ N 5
к федеральной целевой программе
"Развитие инфраструктуры наноиндустрии
в Российской Федерации на 2008-2010 годы"

ПЕРЕЧЕНЬ ИНВЕСТИЦИОННЫХ ОБЪЕКТОВ ФЕДЕРАЛЬНОЙ ЦЕЛЕВОЙ ПРОГРАММЫ "РАЗВИТИЕ ИНФРАСТРУКТУРЫ НАНОИНДУСТРИИ В РОССИЙСКОЙ ФЕДЕРАЦИИ НА 2008-2010 ГОДЫ"

(млн. рублей, в ценах соответствующих лет)

  Объем финансирования за счет средств федерального бюджета
2008-2010 годы - всего 2008 год 2009 год 2010 год
1. Федеральное государственное учреждение Российский научный центр "Курчатовский институт", г. Москва        
  нанотехнологическая лаборатория на базе комплекса зданий научно-технологического центра нанотехнологий, центра синхротронного излучения, специализированного нейтронного центра с их реконструкцией (I очередь строительства), г. Москва 5297 2600 1600 1097
2. Федеральное государственное унитарное предприятие "Центральный научно-исследовательский институт конструкционных материалов "Прометей", г. Санкт-Петербург        
  научно-технологический комплекс по разработке конструкционных наноматериалов (реконструкция), г. Санкт-Петербург 1286 550 380 356
3. Федеральное государственное учреждение "Технологический институт сверхтвердых и новых углеродных материалов", г. Троицк, Московская область        
  реконструкция и техническое перевооружение здания лабораторного корпуса с пристройкой, г. Троицк, Московская область 162 57 56 49
4. Федеральное государственное унитарное предприятие "Центральный научно-исследовательский институт химии и механики", г. Москва        
  научно-исследовательский центр нанотехнологий ФСТЭК России, г. Москва 787,6 402,2 243,4 142
5. Федеральное государственное унитарное предприятие "Научно-исследовательский институт физических проблем им. Ф.В.Лукина", г. Москва        
  центр высоких технологий на базе инженерно-производственного комплекса с синхротроном "Зеленоград" 949 332 377 240
6. Федеральное государственное унитарное предприятие "Всероссийский научно-исследовательский институт авиационных материалов", г. Москва        
  комплекс лабораторий композитных материалов и сплавов, г. Москва 72 19 24 29
  техническое перевооружение участков по разработке технологии изготовления шликеров и катодов 30 20 10 -
7. Федеральное государственное унитарное предприятие "Исследовательский центр имени М.В.Келдыша", г. Москва        
  центр по применению нанотехнологий в энергетике и электроснабжении космических систем, г. Москва 700 200 250 250
8. Федеральное государственное унитарное предприятие "Всероссийский научно-исследовательский институт неорганических материалов имени академика А.А.Бочвара", г. Москва        
  комплекс по выпуску опытных партий функциональных и конструкционных наноматериалов и изделий на их основе для реализации ядерных энерготехнологий нового поколения, г. Москва 986 318 358 310
9. Государственное образовательное учреждение высшего профессионального образования "Московский государственный институт электронной техники (технический университет)", г. Москва        
  научно-технологический центр нано- и микросистемной техники (реконструкция) 410 410 - -
10. Государственное образовательное учреждение высшего профессионального образования "Дальневосточный государственный университет", г. Владивосток        
  научно-образовательный центр по направлению "нанотехнологии" (в том числе проектно-изыскательские работы) 129,5 129,5 - -
11. Государственное образовательное учреждение высшего профессионального образования "Самарский государственный аэрокосмический университет имени академика С.П.Королева", г. Самара        
  научно-образовательный центр по направлению "нанотехнологии" (в том числе проектно-изыскательские работы) 129,5 129,5 - -
12. Государственное образовательное учреждение высшего профессионального образования "Санкт-Петербургский государственный горный институт имени Г.В.Плеханова (технический университет)", г. Санкт-Петербург        
  научно-образовательный центр по направлению "нанотехнологии" (в том числе проектно-изыскательские работы) 129,5 129,5 - -
13. Государственное образовательное учреждение высшего профессионального образования "Томский государственный университет систем управления и радиоэлектроники", г. Томск        
  научно-образовательный центр по направлению "нанотехнологии" (в том числе проектно-изыскательские работы) 129,5 129,5 - -
14. Государственное образовательное учреждение высшего профессионального образования "Томский политехнический университет", г. Томск        
  научно-образовательный центр по направлению "нанотехнологии" (в том числе проектно-изыскательские работы) 129,5 129,5 - -
15. Государственное образовательное учреждение высшего профессионального образования "Новосибирский государственный университет", г. Новосибирск        
  научно-образовательный центр по направлению "нанотехнологии" (в том числе проектно-изыскательские работы) 129,5 129,5 - -
16. Государственное образовательное учреждение высшего профессионального образования "Московский инженерно-физический институт (государственный университет)", г. Москва        
  научно-образовательный центр по направлению "нанотехнологии" (в том числе проектно-изыскательские работы) 129,5 129,5 - -
17. Государственное образовательное учреждение высшего профессионального образования "Санкт-Петербургский государственный политехнический университет", г. Санкт-Петербург        
  научно-образовательный центр по направлению "нанотехнологии" (в том числе проектно-изыскательские работы) 129,5 129,5 - -
18. Государственное образовательное учреждение высшего профессионального образования "Московский энергетический институт (технический университет)", г. Москва        
  научно-образовательный центр по направлению "нанотехнологии" (в том числе проектно-изыскательские работы) 129,5 129,5 - -
19. Государственное образовательное учреждение высшего профессионального образования "Санкт-Петербургский государственный электротехнический университет "ЛЭТИ" им. В.И.Ульянова (Ленина)", г. Санкт-Петербург        
  научно-образовательный центр по направлению "нанотехнологии" (в том числе проектно-изыскательские работы) 129,5 129,5 - -
20. Государственное образовательное учреждение высшего профессионального образования "Санкт-Петербургский государственный институт точной механики и оптики (технический университет)", г. Санкт-Петербург        
  научно-образовательный центр по направлению "нанотехнологии" (в том числе проектно-изыскательские работы) 129,5 129,5 - -
21. Государственное образовательное учреждение высшего профессионального образования "Белгородский государственный университет", г. Белгород        
  научно-образовательный центр по направлению "нанотехнологии" (в том числе проектно-изыскательские работы) 129,5 129,5 - -
22. Государственное образовательное учреждение высшего профессионального образования "Российский университет дружбы народов", г. Москва        
  научно-образовательный центр по направлению "нанотехнологии" (в том числе проектно-изыскательские работы) 111,5 - 111,5 -
23. Государственное образовательное учреждение высшего профессионального образования "Уральский государственный университет им. А.М.Горького", г. Екатеринбург        
  научно-образовательный центр по направлению "нанотехнологии" (в том числе проектно-изыскательские работы) 111,5 - 111,5 -
24. Государственное образовательное учреждение высшего профессионального образования "Саратовский государственный университет имени Н.Г.Чернышевского", г. Саратов        
  научно-образовательный центр по направлению "нанотехнологии" (в том числе проектно-изыскательские работы) 111,5 - 111,5 -
25. Государственное образовательное учреждение высшего профессионального образования "Владимирский государственный университет", г. Владимир        
  научно-образовательный центр по направлению "нанотехнологии" (в том числе проектно-изыскательские работы) 111,5 - 111,5 -
26. Государственное образовательное учреждение высшего профессионального образования "Московский государственный строительный университет", г. Москва        
  научно-образовательный центр по направлению "нанотехнологии" (в том числе проектно-изыскательские работы) 111,5 - 111,5 -
27. Государственное образовательное учреждение высшего профессионального образования "Дальневосточный государственный технический университет имени В.В.Куйбышева", г. Владивосток        
  научно-образовательный центр по направлению "нанотехнологии" (в том числе проектно-изыскательские работы) 111,5 - 111,5 -
28. Государственное образовательное учреждение высшего профессионального образования "Новосибирский государственный технический университет", г. Новосибирск        
  научно-образовательный центр по направлению "нанотехнологии" (в том числе проектно-изыскательские работы) 111,5 - 111,5 -
29. Государственное образовательное учреждение высшего профессионального образования "Южно-Уральский государственный университет", г. Челябинск        
  научно-образовательный центр по направлению "нанотехнологии" (в том числе проектно-изыскательские работы) 111,5 - 111,5 -
30. Государственное образовательное учреждение высшего профессионального образования "Пермский государственный технический университет", г. Пермь        
  научно-образовательный центр по направлению "нанотехнологии" (в том числе проектно-изыскательские работы) 111,5 - 111,5 -
31. Государственное образовательное учреждение высшего профессионального образования "Казанский государственный технический университет им. А.Н.Туполева", г. Казань        
  научно-образовательный центр по направлению "нанотехнологии" (в том числе проектно-изыскательские работы) 111,5 - 111,5 -
32. Государственное образовательное учреждение высшего профессионального образования "Уфимский государственный авиационный технический университет", г. Уфа        
  научно-образовательный центр по направлению "нанотехнологии" (в том числе проектно-изыскательские работы) 125,8 - - 125,8
33. Государственное образовательное учреждение высшего профессионального образования "Тюменский государственный университет", г. Тюмень        
  научно-образовательный центр по направлению "нанотехнологии" (в том числе проектно-изыскательские работы) 125,8 - - 125,8
34. Государственное образовательное учреждение высшего профессионального образования "Уральский государственный технический университет - УПИ", г. Екатеринбург        
  научно-образовательный центр по направлению "нанотехнологии" (в том числе проектно-изыскательские работы) 125,8 - - 125,8
35. Государственное образовательное учреждение высшего профессионального образования "Якутский государственный университет имени М.К.Аммосова", г. Якутск        
  научно-образовательный центр по направлению "нанотехнологии" (в том числе проектно-изыскательские работы) 125,8 - - 125,8
36. Государственное образовательное учреждение высшего профессионального образования "Вятский государственный университет", г. Киров        
  научно-образовательный центр по направлению "нанотехнологии" (в том числе проектно-изыскательские работы) 125,8 - - 125,8
37. Федеральное государственное образовательное учреждение высшего профессионального образования "Российский государственный университет имени Иммануила Канта", г. Калининград        
  научно-образовательный центр по направлению "нанотехнологии" (в том числе проектно-изыскательские работы) 125,8 - - 125,8
38. Государственное образовательное учреждение высшего профессионального образования "Московский педагогический государственный университет", г. Москва        
  научно-образовательный центр по направлению "нанотехнологии" (в том числе проектно-изыскательские работы) 125,8 - - 125,8
39. Государственное образовательное учреждение высшего профессионального образования "Российский государственный университет нефти и газа имени И.М.Губкина", г. Москва        
  научно-образовательный центр по направлению "нанотехнологии" (в том числе проектно-изыскательские работы) 125,7 - - 125,7
40. Государственное образовательное учреждение высшего профессионального образования "Тамбовский государственный университет имени Г.Р.Державина", г. Тамбов        
  научно-образовательный центр по направлению "нанотехнологии" (в том числе проектно-изыскательские работы) 125,7 - - 125,7
41. Федеральное государственное унитарное предприятие "Всероссийский научно-исследовательский институт оптико-физических измерений", г. Москва        
  центр по метрологическому обеспечению и подтверждению соответствия продукции и технологий наноиндустрии 185 70 50 65
42. Государственное учреждение "Институт металлургии и материаловедения им. А.А.Байкова Российской академии наук", г. Москва        
  реконструкция и техническое перевооружение корпуса высоковольтной электронной микроскопии и производственного корпуса 580 250 190 140
  в том числе проектно-изыскательские работы 15 15 - -
  Итого по Программе 15245,6 6782,2 4653,4 3810

ПРИЛОЖЕНИЕ N 6
к федеральной целевой программе
"Развитие инфраструктуры наноиндустрии
в Российской Федерации на 2008-2010 годы"

РАСХОДЫ НА РЕАЛИЗАЦИЮ ФЕДЕРАЛЬНОЙ ЦЕЛЕВОЙ ПРОГРАММЫ "РАЗВИТИЕ ИНФРАСТРУКТУРЫ НАНОИНДУСТРИИ В РОССИЙСКОЙ ФЕДЕРАЦИИ НА 2008-2010 ГОДЫ"

(млн. рублей, в ценах соответствующих лет)

2008-2010 годы - всего В том числе
2008 год 2009 год 2010 год
Объем финансирования - всего 27733 10607,5 8809,7 8315,8
в том числе:        
капитальные вложения 16925,7 7528,2 5168,4 4229,1
прочие нужды 10807,3 3079,3 3641,3 4086,7
средства федерального бюджета - всего 24944,6 9536,2 7925,4 7483
в том числе:        
капитальные вложения 15245,6 6782,2 4653,4 3810
прочие нужды 9699 2754 3272 3673
средства внебюджетных источников - всего 2788,4 1071,3 884,3 832,8
в том числе:        
капитальные вложения 1680,1 746 515 419,1
прочие нужды 1108,3 325,3 369,3 413,7

ПРИЛОЖЕНИЕ N 7
к федеральной целевой программе
"Развитие инфраструктуры
наноиндустрии в Российской
Федерации на 2008-2010 годы"

МЕТОДИКА ОЦЕНКИ ЭФФЕКТИВНОСТИ ФЕДЕРАЛЬНОЙ ЦЕЛЕВОЙ ПРОГРАММЫ "РАЗВИТИЕ ИНФРАСТРУКТУРЫ НАНОИНДУСТРИИ В РОССИЙСКОЙ ФЕДЕРАЦИИ НА 2008-2010 ГОДЫ"

Эффективность федеральной целевой программы "Развитие инфраструктуры наноиндустрии в Российской Федерации на 2008-2010 годы" (далее - Программа) оценивается на основании фактических количественных значений показателей целевых индикаторов, приведенных в приложении N 1 к Программе.

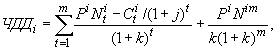
Расчет социально-экономической эффективности по каждому мероприятию Программы осуществляется через определение чистого дисконтированного дохода по следующей формуле:

где:

ЧДД_i - чистый дисконтированный доход от i-го мероприятия Программы;

Т - срок реализации Программы (в годах);

- количественное значение i-го результата Программы в году t;

Р(i) - удельный вклад в валовой внутренний продукт одного пункта количественного результата i-го мероприятия Программы (цена результата);

- расходы на реализацию i-го мероприятия Программы в году t с учетом прогноза цен на соответствующие годы;

N(iт) - количественное значение результата реализации i-го мероприятия Программы за рамками срока его реализации;

j - прогнозные темпы инфляции на срок реализации Программы, выраженные в долях единицы;

k - коэффициент дисконтирования, принятый для соответствующего направления, выраженный в долях единицы.

В указанной формуле первое слагаемое представляет собой текущий вклад в формирование чистого дисконтированного дохода, второе - остаточный вклад после срока реализации i-го мероприятия Программы, сформированный в результате реализации этого мероприятия (эффект будущих периодов).

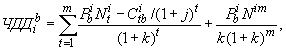
Для расчета показателя бюджетной эффективности применяется следующая формула:

где:

- чистый дисконтированный доход от вклада в формирование бюджета (бюджетный эффект от реализации i-го мероприятия Программы);

Т - срок реализации i-го мероприятия Программы (в годах);

- количественное значение результата Программы в году t;

- удельный вклад в бюджет одного пункта количественного результата i-го мероприятия Программы (цена результата);

- бюджетные затраты на реализацию i-го мероприятия Программы в году t с учетом прогноза цен на соответствующие годы;

j - прогнозные темпы инфляции на срок реализации Программы, выраженные в долях единицы;

N(iт) - количественное значение результата реализации i-го мероприятия Программы за рамками срока его реализации;

k - коэффициент дисконтирования, принятый для соответствующего проекта, выраженный в долях единицы.

В указанной формуле первое слагаемое представляет собой текущую составляющую вклада в бюджет чистого дисконтированного дохода, второе - остаточный вклад после срока реализации i-го мероприятия Программы, сформированный в результате реализации этого мероприятия (эффект будущих периодов).