Зарегистрировано в Минюсте РФ 3 августа 2007 г. N 9950
МИНИСТЕРСТВО ЭКОНОМИЧЕСКОГО РАЗВИТИЯ И ТОРГОВЛИ РОССИЙСКОЙ ФЕДЕРАЦИИ
ПРИКАЗ
от 12 июля 2007 г. N 235
ОБ УТВЕРЖДЕНИИ АДМИНИСТРАТИВНОГО РЕГЛАМЕНТА ФЕДЕРАЛЬНОГО АГЕНТСТВА КАДАСТРА ОБЪЕКТОВ НЕДВИЖИМОСТИ ПО ИСПОЛНЕНИЮ ГОСУДАРСТВЕННОЙ ФУНКЦИИ "ВЕДЕНИЕ ГОСУДАРСТВЕННОГО ЗЕМЕЛЬНОГО КАДАСТРА"
В соответствии с Положением о Федеральном агентстве кадастра объектов недвижимости, утвержденным Постановлением Правительства Российской Федерации от 19 августа 2004 г. N 418 (Собрание законодательства Российской Федерации, 2004, N 34, ст. 3554; 2005, N 12, ст. 1042; N 13, ст. 1169; 2006, N 16, ст. 1744; N 47, ст. 4919), Постановлением Правительства Российской Федерации от 11 ноября 2005 г. N 679 "О порядке разработки и утверждения административных регламентов исполнения государственных функций и административных регламентов предоставления государственных услуг" (Собрание законодательства Российской Федерации, 2005, N 47, ст. 4933), в целях реализации Концепции административной реформы в Российской Федерации в 2006 - 2008 годах и плана мероприятий по проведению административной реформы в Российской Федерации в 2006 - 2008 годах, одобренных распоряжением Правительства Российской Федерации от 25 октября 2005 г. N 1789-р (Собрание законодательства Российской Федерации, 2005, N 46, ст. 4720), приказываю:
1. Утвердить прилагаемый Административный регламент Федерального агентства кадастра объектов недвижимости по исполнению государственной функции "Ведение государственного земельного кадастра" (далее - Административный регламент).
2. Настоящий Приказ вступает в силу поэтапно:
с 1 июля 2008 г. - на территории Калужской, Калининградской, Московской, Нижегородской, Ростовской областей, Республики Татарстан, Республики Башкортостан, города Москвы;
с 1 июля 2009 г. - на территории Удмуртской Республики, Чувашской Республики, Архангельской, Белгородской, Брянской, Владимирской, Волгоградской, Воронежской, Иркутской, Кировской, Курской, Ленинградской, Новгородской, Новосибирской, Омской, Саратовской, Свердловской, Тульской, Тюменской, Челябинской, Ярославской областей, Краснодарского края, Красноярского края, Пермского края, Приморского края, Ставропольского края, Хабаровского края, города Санкт-Петербурга, Ханты-Мансийского автономного округа - Югры;
с 1 июля 2010 г. - на остальной территории Российской Федерации.
3. Федеральному агентству кадастра объектов недвижимости (С.М. Подобед) осуществлять контроль за введением Административного регламента на территориях субъектов Российской Федерации согласно пункту 2 настоящего Приказа.
4. Федеральному агентству кадастра объектов недвижимости (С.М. Подобед) в срок до 1 января 2012 г. обеспечить на всей территории Российской Федерации полное функционирование системы исполнения Федеральным агентством кадастра объектов недвижимости государственной функции по ведению государственного земельного кадастра территориальными органами Роснедвижимости (управлениями Роснедвижимости по субъектам Российской Федерации и их территориальными отделами) независимо от места нахождения объекта недвижимости (экстерриториальные запросы) в соответствии с подпрограммой "Создание системы кадастра недвижимости (2006 - 2011 годы)" федеральной целевой программы "Создание автоматизированной системы ведения государственного земельного кадастра и государственного учета объектов недвижимости (2002 - 2007 годы)", утвержденной Постановлением Правительства Российской Федерации от 13 сентября 2005 г. N 560 (Собрание законодательства Российской Федерации, 2005, N 39, ст. 3951).
5. Федеральному агентству кадастра объектов недвижимости (С.М. Подобед) в течение одного месяца с момента государственной регистрации Административного регламента в Министерстве юстиции Российской Федерации обеспечить опубликование и размещение Административного регламента на официальном сайте Федерального агентства кадастра объектов недвижимости в сети Интернет.
6. Контроль за исполнением настоящего Приказа возложить на заместителя Министра Андросова К.Г.
Министр
Г.О.ГРЕФ
УТВЕРЖДЕН
Приказом
Минэкономразвития России
от 12 июля 2007 г. N 235
АДМИНИСТРАТИВНЫЙ РЕГЛАМЕНТ
ФЕДЕРАЛЬНОГО АГЕНТСТВА КАДАСТРА ОБЪЕКТОВ НЕДВИЖИМОСТИ ПО ИСПОЛНЕНИЮ ГОСУДАРСТВЕННОЙ ФУНКЦИИ "ВЕДЕНИЕ ГОСУДАРСТВЕННОГО ЗЕМЕЛЬНОГО КАДАСТРА"
I. Общие положения
1. Наименование государственной функции - Ведение государственного земельного кадастра (далее - государственная функция).
2. Государственная функция "Ведение государственного земельного кадастра" осуществляется Федеральным агентством кадастра объектов недвижимости.
3. Исполнение государственной функции осуществляется в соответствии с:
Конституцией Российской Федерации (Собрание законодательства Российской Федерации, 1996, N 3, ст. 152; N 7, ст. 676; 2001, N 24, ст. 2421; 2003, N 30, ст. 3051; 2004, N 13, ст. 1110; 2005, N 42, ст. 4212; 2006, N 29, ст. 3119; 2007, N 1, ст. 1);
частью первой Гражданского кодекса Российской Федерации (Собрание законодательства Российской Федерации, 1994, N 32, ст. 3301; 1996, N 9, ст. 773; N 34, ст. 4026; 1999, N 28, ст. 3471; 2001, N 17, ст. 1644; N 21, ст. 2063; 2002, N 12, ст. 1093; N 48, ст. 4746; N 48, ст. 4737; 2003, N 2, ст. 167; N 52, ст. 5034; 2004, N 27, ст. 2711; N 31, ст. 3233; 2005, N 1, ст. 18; N 1, ст. 39; N 1, ст. 43; N 27, ст. 2722; N 30, ст. 3120; 2006, N 2, ст. 171; N 3, ст. 282; N 23, ст. 2380; N 27, ст. 2881; N 31, ст. 3437; N 45, ст. 4627; N 50, ст. 5279; N 52, ст. 5497; N 52, ст. 5498; 2007, N 7, ст. 834);
Земельным кодексом Российской Федерации (Собрание законодательства Российской Федерации, 2001, N 44, ст. 4147; 2003, N 27, ст. 2700; 2004, N 27, ст. 2711; N 41, ст. 3993; N 52, ст. 5276; 2005, N 1, ст. 15; N 1, ст. 17; N 10, ст. 763; N 30, ст. 3122; N 30, ст. 3128; 2006, N 1, ст. 17; N 17, ст. 1782; N 23, ст. 2380; N 27, ст. 2880; N 27, ст. 2881; N 31, ст. 3453; N 43, ст. 4412; N 50, ст. 5279; N 50, ст. 5282; N 52, ст. 5498; 2007, N 1, ст. 24; N 10, ст. 1148);
Основами законодательства Российской Федерации о нотариате (Собрание законодательства Российской Федерации, 2001, N 53, ст. 5030; 2002, N 52, ст. 5132; 2003, N 50, ст. 4855; N 52, ст. 5038; 2004, N 27, ст. 2711; N 35, ст. 3607; N 45, ст. 4377; 2005, N 27, ст. 2717; 2006, N 27, ст. 2881);
Федеральным законом от 2 января 2000 г. N 28-ФЗ "О государственном земельном кадастре" (Собрание законодательства Российской Федерации, 2000, N 2, ст. 149; 2004, N 35, ст. 3607; 2006, N 27, ст. 2881; N 50, ст. 5279);
Федеральным законом от 18 июня 2001 г. N 78-ФЗ "О землеустройстве" (Собрание законодательства Российской Федерации, 2001, N 26, ст. 2582; 2005, N 30, ст. 3098; 2006, N 50, ст. 5279);
Федеральным законом от 21 декабря 2004 г. N 172-ФЗ "О переводе земель или земельных участков из одной категории в другую" (Собрание законодательства Российской Федерации, 2004, N 52, ст. 5276; 2005, N 30, ст. 3122; 2006, N 17, ст. 1782; N 23, ст. 2380; N 50, ст. 5279; N 52, ст. 5498; 2007, N 21, ст. 2455);
Федеральным законом от 30 июня 2006 г. N 93-ФЗ "О внесении изменений в некоторые законодательные акты Российской Федерации по вопросу оформления в упрощенном порядке прав граждан на отдельные объекты недвижимого имущества" (Собрание законодательства Российской Федерации, 2006, N 27, ст. 2881);
Федеральным законом от 27 июля 2006 г. N 149-ФЗ "Об информации, информационных технологиях и о защите информации" (Собрание законодательства Российской Федерации, 2006, N 31, ст. 3448);
Указом Президиума Верховного Совета СССР от 4 августа 1983 г. N 9779-Х "О порядке выдачи и свидетельствования предприятиями, учреждениями и организациями копий документов, касающихся прав граждан" (Свод законов СССР, т. 1, ст. 492, Собрание законодательства Российской Федерации, 2003, N 50, ст. 4855);
Указом Президента Российской Федерации от 6 марта 1997 года N 188 "Об утверждении перечня сведений конфиденциального характера" (Собрание законодательства Российской Федерации, 1997, N 10, ст. 1127; 2003, N 50, ст. 4855; 2005, N 39, ст. 3925);
Постановлением Правительства Российской Федерации от 25 августа 1999 г. N 945 "О государственной кадастровой оценке" (Собрание законодательства Российской Федерации, 1999, N 35, ст. 4326);
Постановлением Правительства Российской Федерации от 8 апреля 2000 г. N 316 "Об утверждении правил проведения государственной кадастровой оценки земель" (Собрание законодательства Российской Федерации, 2000, N 16, ст. 1709; 2006, N 16, ст. 1744; N 52, ст. 5587);
Постановлением Правительства Российской Федерации от 6 сентября 2000 г. N 660 "Об утверждении Правил кадастрового деления территории Российской Федерации и Правил присвоения кадастровых номеров земельным участкам" (Собрание законодательства Российской Федерации, 2000, N 37, ст. 3726);
Постановлением Правительства Российской Федерации от 2 декабря 2000 г. N 918 "Об утверждении правил предоставления сведений государственного земельного кадастра" (Собрание законодательства Российской Федерации, 2000, N 50, ст. 4899; 2006, N 23, ст. 2512);
Постановлением Правительства Российской Федерации от 19 августа 2004 г. N 418 "Об утверждении Положения о Федеральном агентстве кадастра объектов недвижимости" (Собрание законодательства Российской Федерации, 2004, N 34, ст. 3554; 2005, N 12, ст. 1042; N 13, ст. 1169; 2006, N 16, ст. 1744; N 47, ст. 4919);
Постановлением Правительства Российской Федерации от 13 сентября 2005 г. N 560 "Об утверждении подпрограммы "Создание системы кадастра недвижимости (2006 - 2011 годы)" федеральной целевой программы "Создание автоматизированной системы ведения государственного земельного кадастра и государственного учета объектов недвижимости (2002 - 2007 годы)" (Собрание законодательства Российской Федерации, 2005, N 39, ст. 3951);
Постановлением Правительства Российской Федерации от 11 ноября 2005 г. N 679 "О порядке разработки и утверждения административных регламентов исполнения государственных функций и административных регламентов предоставления государственных услуг" (Собрание законодательства Российской Федерации, 2005, N 47, ст. 4933);
Постановлением Правительства Российской Федерации от 15 апреля 2005 г. N 221 "Об утверждении правил оказания услуг почтовой связи" (Собрание законодательства Российской Федерации, 2005, N 17, ст. 1556);
Приказом Росземкадастра от 14 мая 2001 г. N П/89 "О кадастровом делении территории Российской Федерации". По заключению Минюста России от 5 июня 2001 г. N 07/5564-ЮД в государственной регистрации не нуждается ("Российская газета", 11 июля 2001 г.);
Приказом Росземкадастра от 13 июня 2001 г. N П/115 "Об утверждении документов государственного земельного кадастра" (зарегистрирован в Минюсте России 20 июня 2001 г., регистрационный N 2757; "Российская газета", 4 июля 2001 г.);
Приказом Росземкадастра от 15 июня 2001 г. N П/119 "Об утверждении документов государственного земельного кадастра" (зарегистрирован в Минюсте России 20 июня 2001 г., регистрационный N 2753; "Российская газета", 4 июля 2001 г., 28 августа 2002 г.);
Приказом Росземкадастра от 15 июня 2001 г. N П/117 "Об утверждении документов государственного земельного кадастра" (зарегистрирован в Минюсте России 2 июля 2001 г., регистрационный N 2776; "Российская газета", 11 июля 2001 г.);
Приказом Росземкадастра от 2 октября 2002 г. N П/327 "Об утверждении требований к оформлению документов о межевании, представляемых для постановки земельных участков на государственный кадастровый учет", зарегистрирован в Минюсте России 13 ноября 2002 г., регистрационный N 3911; "Российская газета", 27 ноября 2002 г.);
Приказом Роснедвижимости от 5 октября 2005 г. N П/0193 "Об утверждении Регламента Федерального агентства кадастра объектов недвижимости", зарегистрирован в Минюсте России 11 ноября 2005 г. N 7153 (Бюллетень нормативных актов федеральных органов исполнительной власти, 2005, N 47);
Требованиями к оформлению извещений о приостановлении проведения государственного кадастрового учета земельных участков и решений об отказе в проведении такого учета, ГЗК-1-Т.О-07-01-01, утвержденными Росземкадастром 10 апреля 2001 г. По заключению Минюста России от 6 июня 2001 года N 07/5587-ЮД в государственной регистрации не нуждается ("Российская газета", 11 июля 2001 г.);
Требованиями к оформлению расписок о получении документов, представленных для постановки на государственный кадастровый учет земельных участков, ГЗК-1-Т.О-09-01-01, утвержденными Росземкадастром 10 апреля 2001 г. По заключению Минюста России от 5 июня 2001 г. N 07/5565-ЮД в государственной регистрации не нуждается ("Российская газета", 11 июля 2001 г.);
Правилами оформления кадастрового плана земельного участка, ГЗК-1-Т.О-04-01-01, утвержденными Росземкадастром 10 апреля 2001 г. По заключению Минюста России от 13 июня 2001 г. N 07/5743-ЮД в государственной регистрации не нуждается ("Российская газета", 11 июля 2001 г.);
Указаниями для территориальных органов Росземкадастра по проведению работ по инвентаризации сведений о ранее учтенных земельных участках, ГЗК-1-Т.Р-11-02-01, утвержденными Росземкадастром 10 апреля 2001 г. По заключению Минюста России от 20 июня 2001 г. N 07/6236-ЮД в государственной регистрации не нуждается ("Российская газета", 11 июля 2001 г.);
Порядком ведения книг учета заявок, ГЗК-1-Т.О-12-01-01, утвержденным Росземкадастром 10 апреля 2001 г. По заключению Минюста России от 6 июня 2001 г. N 07/5583-ЮД в государственной регистрации не нуждается ("Библиотека российской газеты", 2001, N 14);
Порядком ведения книг учета выданных сведений, ГЗК-1-Т.О-13-01-01, утвержденным Росземкадастром 10 апреля 2001 г. По заключению Минюста России от 4 июня 2001 г. N 07/5489-ЮД в государственной регистрации не нуждается ("Библиотека российской газеты", 2001, N 14);
Постановлением Главного государственного санитарного врача Российской Федерации от 3 июня 2003 г. N 118 "О введении в действие санитарно-эпидемиологических правил и нормативов СанПиН 2.2.2/2.4.1340-03", зарегистрировано в Минюсте России 10 июня 2003 г., регистрационный N 4673 ("Российская газета", 2003, N 120).
II. Требования к порядку предоставления государственной услуги по проведению ГКУ
4. Государственная функция исполняется должностными лицами и специалистами Федерального агентства кадастра объектов недвижимости (центральный аппарат Роснедвижимости), его территориальных органов - Управлений Роснедвижимости по субъектам Российской Федерации (далее - Управления) и территориальных отделов Управлений (далее - Подразделения).
5. Реализация государственной функции включает в себя:
- исполнение государственной функции по кадастровому делению территории Российской Федерации, исправлению технических ошибок, допущенных при ведении государственного земельного кадастра (далее - ГЗК), отражению сведений о зарегистрированных в установленном порядке правах на земельные участки и (или) их ограничениях;
- предоставление государственной услуги по проведению государственного кадастрового учета земельных участков (постановка на кадастровый учет и кадастровый учет текущих изменений характеристик) (далее - ГКУ).
6. Плата за исполнение государственной функции не взимается.
Порядок информирования о предоставлении государственной услуги
7. Информация о предоставлении государственной услуги предоставляется всем заинтересованным лицам.
Государственная услуга предоставляется органам государственной власти, органам местного самоуправления, заинтересованным правообладателям земельных участков (далее - заявители) или уполномоченным правообладателями земельных участков лицам (далее - представители заявителей) <*>.
<*> Пункт 2 статьи 19 Федерального закона от 2 января 2000 г. N 28-ФЗ "О государственном земельном кадастре".
Описание конечного результата предоставления государственной услуги
8. Конечным результатом предоставления государственной услуги заявителям являются:
учетные кадастровые записи в Едином государственном реестре земель (далее - ЕГРЗ), содержащие описание и индивидуализацию поставленного на ГКУ земельного участка, и выписка из ГЗК <*> о земельном участке, поставленном на ГКУ, в форме кадастрового плана земельного участка (далее - КПЗУ);
<*> Пункт 8 Правил предоставления сведений государственного земельного кадастра, утвержденных Постановлением Правительства Российской Федерации от 2 декабря 2000 г. N 918.
решение о приостановлении проведения ГКУ земельных участков;
решение об отказе в проведении ГКУ земельных участков.
Способ получения сведений о местах нахождения и графике работы структурных подразделений федерального органа исполнительной власти, предоставляющего государственную услугу
9. Сведения о местах нахождения, справочные телефоны, адреса сайтов в сети Интернет, адреса электронной почты центрального аппарата Роснедвижимости и Управлений размещаются на информационных стендах, в средствах массовой информации, на официальных сайтах центрального аппарата Роснедвижимости и Управлений в сети Интернет. Информация об адресах и телефонах центрального аппарата Роснедвижимости и Управлений содержится в приложении N 1 к Административному Регламенту.
Прием заинтересованных лиц осуществляется в соответствии с графиком:
Понедельник: 10.00 - 17.00 (перерыв с 13.00 до 13.45);
Вторник: 11.00 - 20.00 (перерыв с 13.00 до 13.45);
Среда: 09.30 - 13.00;
Четверг: 11.00 - 20.00 (перерыв с 13.00 до 13.45);
Пятница: 09.30 - 13.00;
Суббота: 10.00 - 15.00 (перерыв с 12.00 до 12.45);
Воскресенье: выходной день.
Перечень документов, необходимых для получения заявителями государственной услуги
10. Заявители представляют документы для получения государственной услуги:
лично в любое Подразделение, расположенное в субъекте Российской Федерации;
почтовым отправлением в адрес, установленный Управлением.
11. Перечень документов для проведения ГКУ, представляемых заявителями, при личном обращении:
заявка о постановке на кадастровый учет либо заявка о кадастровом учете текущих изменений характеристик земельного участка (далее - заявка) <*>;
<*> Требования к оформлению заявок о постановке земельных участков на государственный кадастровый учет, утвержденные Приказом Росземкадастра от 13 июня 2001 г. N П/115.
оригиналы правоустанавливающих документов на земельные участки и их копии, заверенные в установленном порядке (при наличии), - при постановке на кадастровый учет;
оригиналы документов, на основании которых вносятся текущие изменения в характеристики земельных участков, и их копии, заверенные в установленном порядке (при наличии), - при кадастровом учете текущих изменений характеристик;
документы о межевании земельных участков <*> - при постановке на кадастровый учет и при кадастровом учете текущих изменений характеристик, связанным с уточнением границ земельных участков.
<*> Требования к оформлению документов о межевании, представляемых для постановки земельных участков на государственный кадастровый учет, утвержденные Приказом Росземкадастра от 2 октября 2002 г. N П/327.
В случае отсутствия документа об оплате услуг за копирование (документирование) или если сумма оплаты не соответствует стоимости копирования (документирования), утвержденной в установленном порядке, документ об оплате может быть представлен заявителем при получении КПЗУ либо по желанию заявителя изготовленные по результатам проведения ГКУ КПЗУ могут быть направлены ему заказным письмом наложенным платежом.
При обращении представителя заявителя представляются документы, подтверждающие полномочия представителя, и их копии:
доверенность, оформленная в соответствии с действующим законодательством;
документы, подтверждающие полномочия лица действовать от имени юридического лица без доверенности;
свидетельства, выданные органами записи актов гражданского состояния: свидетельство о рождении несовершеннолетнего, свидетельство об усыновлении (в случае подачи заявления от имени несовершеннолетних в возрасте до 14 лет);
соответствующие документы, выданные органом опеки и попечительства (в случае подачи заявления опекуном от имени несовершеннолетнего в возрасте до 14 лет или недееспособного гражданина);
иной документ, на котором основаны полномочия представителя заявителя.
При подаче документов для проведения ГКУ лично заявителем предъявляются документы, удостоверяющие личность (приложение N 2).
Оригиналы правоустанавливающих документов на земельные участки, оригиналы документов, на основании которых вносятся изменения в характеристики земельных участков, а также и оригинал документа, подтверждающего полномочия представителя заявителя, после сверки с копией возвращаются.
В случае, если у заявителя отсутствуют копии правоустанавливающего документа, документа, на основании которого вносятся изменения в характеристики земельных участков, и (или) документов, подтверждающих полномочия заявителя, то специалистом, осуществляющим прием документов, с оригиналов документов изготавливается копия.
Получение от заявителя документов для проведения ГКУ подтверждается выдачей заявителю расписки в получении соответствующих документов <*>.
<*> Пункт 5 статьи 19 Федерального закона от 2 января 2000 г. N 28-ФЗ "О государственном земельном кадастре", Требования к оформлению расписок о получении документов, представленных на государственный кадастровый учет, утвержденные Росземкадастром 10 апреля 2001 г.
12. Перечень документов, представляемых заявителями заказным письмом почтой в адрес, установленный Управлением:
заявка;
заверенные в установленном порядке <*> копии правоустанавливающих документов на земельные участки - при постановке на ГКУ;
<*> Указ Президиума Верховного Совета СССР от 4 августа 1983 г. N 9779-Х "О порядке выдачи и выдаче свидетельствования предприятиями, учреждениями и организациями копий документов, касающихся прав граждан".
заверенные в установленном порядке копии документов, на основании которых вносятся изменения в ранее внесенные характеристики земельных участков, - при кадастровом учете текущих изменений характеристик;
документы о межевании земельных участков <*> - при постановке на кадастровый учет и при кадастровом учете текущих изменений характеристик, связанным с уточнением границ земельных участков;
<*> Требования к оформлению документов о межевании, представляемых для постановки земельных участков на государственный кадастровый учет, утвержденные Приказом Росземкадастра от 2 октября 2002 г. N П/327.
копия документа об оплате услуг за копирование (документирование) при наличии в заявке просьбы выдать КПЗУ в двух и более экземплярах;
может быть также приложена опись вложения <*>.
<*> Пункт 12 раздела I Правил оказания услуг почтовой связи, утвержденных Постановлением Правительства Российской Федерации от 15 апреля 2006 г. N 221 (Собрание законодательства Российской Федерации, 2005, N 17, ст. 1556).
Если заявителем в заявке указан способ доставки КПЗУ по почте, а также в случае отсутствия в документах, направленных по почте заявителями, копии документа об оплате услуг за копирование (документирование) или если сумма оплаты не соответствует стоимости копирования (документирования), утвержденной в установленном порядке, то изготовленные по результатам проведения ГКУ КПЗУ направляются заявителю заказным письмом наложенным платежом.
13. Перечень документов, предъявляемых заявителями или их полномочными представителями при получении КПЗУ лично:
документ, удостоверяющий личность;
документ, подтверждающий полномочия представителя заявителя на получение документов государственного земельного кадастра.
Порядок получения информации о процедуре предоставления государственной услуги
14. Для получения информации о процедуре предоставления государственной услуги (далее - информация о процедуре) заинтересованные лица обращаются:
- лично в Подразделение;
- по телефону в Подразделение или Управление;
- в письменном виде почтовым отправлением в Подразделение, Управление или центральный аппарат Роснедвижимости;
- через сайты Роснедвижимости в сети Интернет в Управление или центральный аппарат Роснедвижимости.
Если информация о предоставлении государственной услуги, полученная в Подразделении, не удовлетворяет заинтересованное лицо, оно может обратиться в письменном виде в Управление. Если информация о предоставлении государственной услуги, полученная в Управлении, не удовлетворяет заинтересованное лицо, оно может обратиться в письменном виде в центральный аппарат Роснедвижимости.
Основными требованиями к информированию заинтересованных лиц являются:
- достоверность предоставляемой информации о процедуре;
- четкость в изложении информации о процедуре;
- полнота информирования о процедуре;
- наглядность форм предоставляемой информации о процедуре;
- удобство и доступность получения информации о процедуре;
- оперативность предоставления информации о процедуре.
Информирование заинтересованных лиц организуется следующим образом:
- индивидуальное информирование;
- публичное информирование.
Информирование проводится в форме:
- устного информирования;
- письменного информирования.
15. Индивидуальное устное информирование осуществляется Подразделениями при обращении заинтересованных лиц по вопросам порядка предоставления государственной услуги:
- лично;
- по телефону.
Специалист, осуществляющий индивидуальное устное информирование, должен принять все необходимые меры для дачи полного и оперативного ответа на поставленные вопросы, в том числе с привлечением других специалистов. Время ожидания заинтересованных лиц при индивидуальном устном информировании не может превышать 30 минут.
Индивидуальное устное информирование каждого заинтересованного лица специалист Подразделения осуществляет не более 10 минут.
В случае, если для подготовки ответа требуется продолжительное время, специалист, осуществляющий индивидуальное устное информирование, может предложить заинтересованному лицу обратиться за необходимой информацией в письменном виде либо назначить другое удобное для заинтересованного лица время для устного информирования.
Для обеспечения индивидуального устного информирования в Подразделениях выделяются отдельные специалисты.
16. Индивидуальное письменное информирование осуществляется сотрудниками центрального аппарата Роснедвижимости, Управления и Подразделения по всем вопросам ведения государственного земельного кадастра путем направления заинтересованным лицам ответов почтовым отправлением или посредством сайтов Роснедвижимости в сети Интернет.
Руководитель Управления или уполномоченное им должностное лицо либо должностное лицо центрального аппарата Роснедвижимости в соответствии со своей компетенцией определяет непосредственного исполнителя для подготовки ответа.
Ответ на обращение заинтересованных лиц предоставляется в простой, четкой и понятной форме с указанием должности, фамилии, имени, отчества, номера телефона исполнителя.
Ответ направляется в письменном виде, электронной почтой либо через сайт Роснедвижимости в сети Интернет в зависимости от способа обращения заинтересованных лиц за информацией или способа доставки ответа, указанного в письменном обращении заинтересованных лиц.
При индивидуальном письменном информировании ответ направляется в течение 10 рабочих дней со дня поступления обращения заинтересованного лица.
Информация по письменному запросу, направляемая через Интернет, размещается на официальном сайте центрального аппарата Роснедвижимости и Управлений в сети Интернет или соответствующих Управлений в разделе "вопросы - ответы" в течение 10 рабочих дней со дня поступления обращения заинтересованного лица.
17. Публичное устное информирование осуществляется с привлечением средств массовой информации (далее - СМИ), радио, телевидения. Выступления специалистов Подразделений по местному радио и телевидению согласовываются с руководителем Управления.
18. Публичное письменное информирование осуществляется путем публикации информационных материалов в СМИ, включая региональный и федеральный сайты Роснедвижимости в сети Интернет. Информирование путем публикации информационных материалов на сайтах Роснедвижимости в сети Интернет, в СМИ регионального уровня осуществляется Управлениями. Управления направляют в свои Подразделения готовые материалы для местных СМИ и контролируют их размещение.
18.1. На региональных сайтах Роснедвижимости в сети Интернет размещается информация о документах, необходимых для проведения ГКУ земельных участков:
форма и образец заявки;
рекомендации по заполнению заявки;
требования к оформлению документов о межевании, представляемых для постановки земельных участков на ГКУ;
форма и образец платежного документа об оплате услуг за копирование (документирование) КПЗУ;
банковские реквизиты получателя средств за копирование (документирование) КПЗУ, размер платы за указанные услуги;
перечень документов, предъявляемых заявителем или представителем заявителя в качестве удостоверяющих личность;
перечень правоустанавливающих документов на земельные участки;
перечень наиболее типичных и часто задаваемых заинтересованными лицами вопросов и ответы на них;
приказы об утверждении материалов кадастрового деления и приложения к ним (карты-схемы и описание прохождения границ кадастрового деления).
18.2. Публичное письменное информирование осуществляется также путем распространения информационных листков (приложение N 3) и оформления информационных стендов.
Должны быть предусмотрены варианты информационных листков с увеличенным шрифтом (размер шрифта не менее N 20) для слабовидящих заинтересованных лиц.
Подразделения Роснедвижимости обеспечивают бесплатное предоставление заинтересованным лицам бланков квитанций об оплате с заполненными банковскими реквизитами получателя средств.
18.3. Информация, размещаемая на информационных стендах, должна содержать подпись начальника Подразделения или его заместителя, дату размещения. Стенды делятся на стенды с организационно-распорядительной информацией и тематические.
На стендах с организационно-распорядительной информацией размещается следующая обязательная информация:
режим работы Подразделений, осуществляющих прием и информирование заинтересованных лиц;
номера кабинетов, где осуществляется прием и информирование заинтересованных лиц, фамилии, имена, отчества и должности специалистов, осуществляющих прием и информирование заинтересованных лиц;
форма и образец платежного документа об оплате услуг за копирование (документирование) КПЗУ;
банковские реквизиты получателя средств за копирование (документирование) КПЗУ, размер платы за указанные услуги;
адреса нахождения ближайших банковских учреждений, в которых можно произвести оплату услуги за копирование (документирование) КПЗУ;
адреса нахождения подразделений Роснедвижимости, администрирующих прилегающие территории;
перечень административно-территориальных образований, администрируемых Подразделением;
карта-схема расположения территорий, администрируемых Подразделением;
приказы об утверждении материалов кадастрового деления и приложения к ним (карты-схемы и описание прохождения границ кадастрового деления);
адреса официальных сайтов центрального аппарата Роснедвижимости и Управлений в сети Интернет;
номера телефонов, адреса электронной почты Управления и Подразделения.
На стендах с тематической информацией размещается следующая обязательная информация:
перечень документов, необходимых для проведения ГКУ земельных участков, и представляемых заявителями в Управления и Подразделения при личном обращении или посредством почты;
форма и образец заполнения заявки;
рекомендации по заполнению заявки;
перечень документов, предъявляемых заявителями или представителями заявителей в качестве удостоверяющих личность;
перечень правоустанавливающих документов;
выдержки из нормативных правовых актов, регулирующих процедуру предоставления государственной услуги;
перечень наиболее типичных и часто задаваемых заинтересованными лицами вопросов и ответы на них.
Тексты материалов печатаются удобным для чтения шрифтом (размер шрифта не менее N 18), без исправлений, наиболее важные места рекомендуется выделять другим шрифтом. В случае оформления информационных материалов в виде брошюр требования к размеру шрифта могут быть снижены.
Обязанности должностных лиц при информировании заинтересованных лиц по вопросам предоставления государственной услуги
19. При ответе на телефонные звонки специалист, осуществляющий прием и информирование, сняв трубку, должен назвать фамилию, имя, отчество, занимаемую должность и наименование Подразделения или Управления. Во время разговора произносить слова четко, избегать "параллельных разговоров" с окружающими людьми и не прерывать разговор по причине поступления звонка на другой аппарат. В конце информирования специалист, осуществляющий прием и информирование, должен кратко подвести итоги и перечислить меры, которые надо принять (кто именно, когда и что должен сделать).
При устном обращении заинтересованных лиц (по телефону или лично) специалисты, осуществляющие прием и информирование, дают ответ самостоятельно. Если специалист Подразделения, к которому обратилось заинтересованное лицо, не может ответить на вопрос самостоятельно, то он может предложить заинтересованному лицу обратиться письменно либо назначить другое удобное для заинтересованного лица время для получения информации.
Ответы на письменные обращения направляются в письменном виде и должны содержать: ответы на поставленные вопросы, фамилию, инициалы и номер телефона исполнителя. Ответ подписывается руководителем, заместителем руководителя или уполномоченным лицом Управления или центрального аппарата Роснедвижимости.
Специалисты, осуществляющие прием и информирование (по телефону или лично), должны корректно и внимательно относиться к обратившемуся лицу, не унижая его чести и достоинства. Информирование должно проводиться без больших пауз, лишних слов, оборотов и эмоций.
Специалисты Роснедвижимости не вправе осуществлять консультирование обратившихся лиц, выходящее за рамки информирования о стандартных процедурах и условиях оказания государственной услуги и влияющее прямо или косвенно на индивидуальные решения заявителей.
Требования к удобству и комфорту мест предоставления государственной услуги
20. Прием заинтересованных лиц осуществляется в соответствии с графиком, приведенным в п. 8 настоящего Регламента.
Для организации ежедневного приема используется принцип сменности. Руководитель Подразделения в зависимости от ситуации перераспределяет в течение дня специалистов, осуществляющих прием заявителей. Специалисты, осуществляющие прием и информирование, обеспечиваются личными идентификационными карточками и (или) настольными табличками.
В помещениях для работы с заинтересованными лицами размещаются информационные стенды.
Помещение для работы с заинтересованными лицами должно быть оборудовано электронной системой управления очередью, световым информационным табло. Световое информационное табло размещается недалеко от входа в помещение, где осуществляется прием посетителей, на высоте не менее 2,2 м от пола, таким образом, чтобы обеспечить видимость информации максимально возможному количеству граждан. Информация на световом информационном табло представляется в виде бегущей строки.
Помещение для ожидания приема заинтересованным лицам должно быть оборудовано системой звукового информирования. Длительность одного звукового сообщения не должна превышать 5 минут.
Помещение для ожидания приема заинтересованным лицам должно быть оборудовано стульями, столами (стойками) для возможности оформления документов.
Помещение для работы с заинтересованными лицами должно быть оборудовано в соответствии с санитарными правилами и нормами, утвержденными Постановлением Главного государственного санитарного врача Российской Федерации от 3 июня 2003 г. N 118 "О введении в действие санитарно-эпидемиологических правил и нормативов СанПиН 2.2.2/2.4.1340-03".
Должны быть созданы условия для обслуживания инвалидов: помещения оборудованы пандусами, специальными ограждениями и перилами, обеспечено беспрепятственное передвижение и разворот инвалидных колясок, размещение столов для инвалидов в стороне от входа с учетом беспрепятственного подъезда и поворота колясок.
Условия и сроки предоставления государственной услуги
21. Государственный кадастровый учет земельных участков проводится в течение месяца со дня подачи заявки о проведении государственного кадастрового учета <*>.
<*> Пункт 7 статьи 19 Федерального закона от 2 января 2000 г. N 28-ФЗ "О государственном земельном кадастре".
Срок проведения ГКУ земельных участков начинает исчисляться со дня приема заявки. Днем приема заявки считается дата регистрации факта приема заявки в книге учета заявок. В случае представления документов для проведения ГКУ земельных участков по почте регистрация заявок в книге учета заявок производится не позднее рабочего дня, следующего за датой получения корреспонденции.
Днем окончания проведения ГКУ земельных участков считается день изготовления КПЗУ либо день принятия решения об отказе в проведении ГКУ земельных участков.
В течение месяца со дня подачи заявки уполномоченным должностным лицом органа кадастрового учета может быть принято решение о приостановлении проведения ГКУ земельных участков. Решение о приостановлении прерывает срок проведения ГКУ земельных участков до момента принятия решения о прекращении приостановления.
Если последний день срока приходится на нерабочий день, днем окончания срока ГКУ земельных участков считается ближайший следующий за ним рабочий день <*>.
<*> Глава 11 Гражданского кодекса Российской Федерации (ч. 1) от 30 ноября 1994 г. N 51-ФЗ.
III. Административные процедуры
Административные процедуры, выполняемые при исполнении государственной функции
22. Кадастровое деление территории Российской Федерации.
Кадастровое деление территории Российской Федерации осуществляется в целях ведения ГЗК и присвоения земельным участкам уникальных кадастровых номеров <*>.
<*> Статья 18 Федерального закона от 2 января 2000 г. N 28-ФЗ "О государственном земельном кадастре", пункт 1 Правил кадастрового деления территории Российской Федерации, утвержденных Постановлением Правительства Российской Федерации от 6 сентября 2000 г. N 660.
Завершенность кадастрового деления территории Российской Федерации является обязательным условием для выполнения административной процедуры по предоставлению государственной услуги - проведения ГКУ земельных участков.
Кадастровое деление территории Российской Федерации осуществляется путем деления территории Российской Федерации на кадастровые округа, кадастровые районы и кадастровые кварталы.
Кадастровое деление территории Российской Федерации на кадастровые округа осуществляется специалистами Роснедвижимости.
Кадастровое деление территории кадастрового округа на кадастровые районы и кадастровые кварталы осуществляют специалисты соответствующих Управлений <*>.
<*> Пункт 10 Правил кадастрового деления территории Российской Федерации, утвержденных Постановлением Правительства Российской Федерации от 6 сентября 2000 г. N 660.
Должностными лицами, ответственными за выполнение работ, являются:
в части кадастрового деления территории Российской Федерации на кадастровые округа - руководитель Роснедвижимости;
в части деления кадастрового округа на кадастровые районы и кадастровые кварталы - соответствующие руководители Управлений.
Работы по кадастровому делению выполняются в сроки, установленные Роснедвижимостью <*>.
<*> Приказ Росземкадастра от 14 мая 2001 г. N П/89 "О кадастровом делении территории Российской Федерации" (по заключению Минюста Российской Федерации в государственной регистрации не нуждается - письмо Минюста Российской Федерации от 5 июня 2001 г. N 07/5564-ЮД).
Результатом кадастрового деления территории Российской Федерации является приказ руководителя Роснедвижимости о кадастровом делении территории Российской Федерации на кадастровые округа, в котором указывается их перечень, наименования, схема их расположения.
Результатом деления кадастрового округа на кадастровые районы являются соответствующие приказы руководителей Управлений, которыми на территории кадастрового округа определяется количество кадастровых районов, утверждаются их наименования, номера в кадастровом округе, а также схема их взаимного расположения, утверждаются описания прохождения границ между кадастровыми районами.
Результатом деления кадастрового района на кадастровые кварталы являются соответствующие приказы руководителей Подразделений, которыми утверждаются схема (или набор фрагментов схемы) расположения кадастровых кварталов в границах территории кадастрового района, номера кварталов в кадастровом районе, описания прохождения границ кадастровых кварталов <*>.
<*> Требования к кадастровому делению, утвержденные Приказом Росземкадастра от 15 июня 2001 г. N П/117.
Изменение границ кадастрового деления, выполненного в соответствии с Правилами кадастрового деления территории Российской Федерации, допускается в исключительных случаях в порядке, устанавливаемом Роснедвижимостью <*>.
<*> Пункт 11 Правил кадастрового деления территории Российской Федерации, утвержденных Постановлением Правительства Российской Федерации от 6 сентября 2000 г. N 660.
23. Исправление технических ошибок, допущенных при ведении ГЗК (далее - технические ошибки).
Исправление технических ошибок производится по месту учета земельных участков Подразделениями, Управлениями или Роснедвижимостью и осуществляется в пятидневный срок после обнаружения технических ошибок <*>.
<*> Статья 21 Федерального закона от 2 января 2000 г. N 28-ФЗ "О государственном земельном кадастре".
Исправление технических ошибок, допущенных при ведении ГЗК, осуществляется в случае, если нет оснований полагать, что такое исправление может причинить ущерб либо нарушить законные интересы правообладателей земельных участков или третьих лиц, которые полагались на соответствующие записи в ГЗК <*>.
<*> Статья 21 Федерального закона от 2 января 2000 г. N 28-ФЗ "О государственном земельном кадастре".
В случаях, если существуют основания полагать, что исправление технических ошибок может причинить вред либо нарушить законные интересы правообладателей земельных участков или третьих лиц, которые полагались на соответствующие записи в ГЗК, такое исправление осуществляется на основании решения суда, арбитражного суда <*>.
<*> Статья 21 Федерального закона от 2 января 2000 г. N 28-ФЗ "О государственном земельном кадастре".
Основанием для исправления технических ошибок, при отсутствии оснований полагать, что исправление технических ошибок может причинить ущерб или нарушить законные интересы правообладателей земельных участков или третьих лиц, которые полагались на соответствующие записи в ГЗК, являются обращения заявителей и иных заинтересованных лиц об исправлении технических ошибок либо факты обнаружения технических ошибок специалистами, осуществляющими ведение ГЗК.
При обращении об исправлении технических ошибок заявители и иные заинтересованные лица представляют:
- заявление об исправлении технических ошибок;
- документы, имеющие юридическую силу, свидетельствующие о наличии в ГЗК технической ошибки и содержащие правильные значения характеристик земельного участка.
Специалист, осуществляющий прием заявлений об исправлении технических ошибок, регистрирует заявления и передает их уполномоченному должностному лицу для принятия решения об исправлении технических ошибок.
При факте обнаружения технических ошибок специалистами, осуществляющими ведение ГЗК, лицо, выявившее технические ошибки, составляет акт (протокол) выявления технических ошибок и передает его уполномоченному должностному лицу для принятия решения об исправлении технических ошибок.
Уполномоченное должностное лицо рассматривает заявление об исправлении технических ошибок и представленные заявителями или иными заинтересованными лицами документы, или акт (протокол) выявления технических ошибок и принимает решение об исправлении технических ошибок путем проставления письменной резолюции о внесении соответствующих изменений в сведениях ГЗК <*>.
<*> Пункт 5.2 Порядка ведения государственного реестра земель кадастрового района, утвержденного Приказом Росземкадастра от 15 июня 2001 г. N П/119.
Основанием для исправления технических ошибок, при наличии основания полагать, что исправление технической ошибки может причинить ущерб или нарушить законные интересы правообладателей земельных участков или третьих лиц, которые полагались на соответствующие записи в ГЗК, являются вступившие в силу решения суда, арбитражного суда.
Решения суда, арбитражного суда могут быть представлены правообладателями земельных участков, третьими лицами, полагавшимися на соответствующие записи в ГЗК и чьи права и интересы были нарушены.
В случае представления решений суда, арбитражного суда правообладателями или третьими лицами, полагавшимися на соответствующие записи в ГЗК и чьи права и интересы были нарушены, ими заполняется заявление об исправлении технических ошибок с приложением соответствующих решений.
В случае представления решений суда судом, арбитражным судом заявление об исправлении технических ошибок не требуется.
Специалист, осуществляющий прием заявлений об исправлении технических ошибок, регистрирует заявление об исправлении технических ошибок и (или) решения суда, арбитражного суда и передает их уполномоченному должностному лицу для проставления письменной резолюции об изменении сведений ГЗК.
Изменения в сведения ГЗК производятся специалистами, ответственными за внесение изменений в сведения ГЗК, путем внесения учетных кадастровых записей об изменении характеристик земельных участков в открытом подразделе Государственного реестра земель кадастрового района (далее - ГРЗ КР) и внесения исправлений в другие документы ГЗК.
Записи в открытом подразделе ГРЗ КР, содержащие техническую ошибку, перечеркиваются одной линией красного цвета. Внесение новой записи подтверждается надписью "исправлено" и заверяется подписью уполномоченного должностного лица Подразделения с проставлением даты исправления.
При обнаружении технической ошибки в данных ГЗК и устранении технической ошибки специалист, внесший указанные исправления, направляет лицам, которые полагались на соответствующие записи в ГЗК, уведомление об устранении технической ошибки с приложением одного экземпляра выписки из ГЗК (КПЗУ), содержащей скорректированные (правильные) сведения.
Плата за предоставление выписки, содержащей скорректированные данные, не взимается.
Уведомление об устранении технической ошибки регистрируется в книге учета выданных сведений.
24. Отражение сведений о зарегистрированных в установленном порядке правах на земельные участки и (или) их ограничениях.
Основанием для отражения сведений о зарегистрированных в установленном порядке правах на земельные участки и (или) их ограничениях является получение от органов по государственной регистрации прав на недвижимое имущество информации о зарегистрированных правах, ограничениях (обременениях) прав в виде выписки из Единого государственного реестра прав <*>, если иное не предусмотрено законодательством.
<*> Пункт 2.3.1 Порядка ведения государственного земельного кадастра кадастрового района, утвержденного Приказом Росземкадастра от 15 июля 2001 г. N П/119.
Специалист, ответственный за отражение сведений о правах, выполняет учетную кадастровую запись в соответствующие формы ГРЗ КР:
на вновь образованные участки - о зарегистрированном праве;
на земельные участки, явившиеся источником образования данного земельного участка, - о прекращении существования.
Учетная кадастровая запись о прекращении существования земельного участка осуществляется путем закрытия подраздела.
Если прекращающий существование земельный участок является источником образования нескольких новых земельных участков, учетная кадастровая запись выполняется при поступлении в установленном порядке информации о зарегистрированных правах хотя бы на один вновь образованный земельный участок.
Административные процедуры, выполняемые при предоставлении государственной услуги
25. Проведение ГКУ земельных участков включает в себя <*>:
<*> Пункт 6 статьи 19 Федерального закона от 2 января 2000 г. N 28-ФЗ "О государственном земельном кадастре".
- прием документов для проведения ГКУ;
- проверку представленных заявителями документов;
- составление описаний земельных участков в ЕГРЗ и отражение на дежурной кадастровой карте (далее - ДКК);
- присвоение земельному участку кадастрового номера;
- изготовление КПЗУ;
- формирование кадастровых дел.
25.1. Прием документов для проведения ГКУ.
Основанием для начала проведения ГКУ является подача заявителем <*> документов, необходимых для проведения ГКУ, лично, а также получение таких документов почтовым отправлением.
<*> Пункт 2 статьи 19 Федерального закона от 2 января 2000 г. N 28-ФЗ "О государственном земельном кадастре".
Подача документов для проведения ГКУ лично заявителем осуществляется:
по месту нахождения земельного участка - в любое Подразделение, расположенное в субъекте Российской Федерации;
для земельных участков, расположенных в двух и более кадастровых районах, - в любое Подразделение, расположенное в субъекте Российской Федерации или в Управление;
для земельных участков, расположенных в двух и более кадастровых округах, - в центральный аппарат Роснедвижимости.
Направление заявителем документов для проведения ГКУ почтовым отправлением осуществляется:
по месту нахождения земельного участка и земельных участков, расположенных в двух и более кадастровых районах, - в Управление;
для земельных участков, расположенных в двух и более кадастровых округах, - в центральный аппарат Роснедвижимости.
При личном обращении заявители представляют документы, указанные в п. 10 Регламента.
При личном обращении заявители предъявляют документы, удостоверяющие личность, доверенность, оформленную в соответствии с действующим законодательством, или иной документ, подтверждающий полномочия представителя заявителя, подлинники правоустанавливающих документов на земельные участки.
Время ожидания приема заявителями не должно превышать 30 минут.
Продолжительность приема у должностного лица при подаче заявки не должна превышать 15 минут при наличии в заявке одного земельного участка.
В случае одновременного представления заявителем нескольких заявок, устанавливается прием данных заявок по отдельному графику работы и (или) на специально организованном рабочем месте.
Почтовым отправлением заявители направляют документы, указанные в п. 11 Регламента.
Почтовые отправления, содержащие документы для проведения ГКУ, направляются заявителем заказным письмом с описью вложения.
Заявка и документы, представляемые для ГКУ земельных участков, должны быть надлежащим образом оформлены <*>.
<*> Пункт 3 статьи 19 Федерального закона от 2 января 2000 г. N 28-ФЗ "О государственном земельном кадастре".
Заявка заполняется от руки (чернилами или пастой) или машинописным способом. При обращении заявителя лично по его просьбе заявка может быть сформирована специалистом, осуществляющим прием документов, с использованием программных средств. В этом случае заявитель своей рукой на заявке указывает свою фамилию, имя и отчество и ставит подпись.
В заявке указывается способ получения заявителем документов лично или почтовым отправлением. При наличии просьбы об отправке подготовленных КПЗУ по почте должен быть указан адрес получателя.
При приеме документов для проведения ГКУ специалист осуществляет проверку представленных документов на:
наличие всех документов, необходимых для проведения ГКУ;
наличие в заявке обязательных для заполнения реквизитов <*>;
<*> Требования к оформлению заявок о постановке земельных участков на государственный кадастровый учет. ГЗК-1-Т.О-06-02-01, утвержденные Приказом Росземкадастра от 13 июня 2001 г. N П/115.
отсутствие в документах подчисток либо приписок, зачеркнутых слов или иных неоговоренных в них исправлений, записей, исполненных карандашом, серьезных повреждений, не позволяющих однозначно истолковать их содержание <*>.
<*> Пункт 4 статьи 19 Федерального закона от 2 января 2000 г. N 28-ФЗ "О государственном земельном кадастре".
При приеме документов на ГКУ на всех копиях документов, подлинники которых предъявлены, проставляется штамп "Подлинник предъявлен" с указанием ФИО специалиста, осуществляющего прием документов, даты предъявления, при этом запись заверяется подписью.
При отсутствии одного или нескольких документов, необходимых для проведения ГКУ, или отсутствия в заявке обязательных для заполнения реквизитов специалист, осуществляющий прием документов на ГКУ, предупреждает заявителя о возможном приостановлении проведения ГКУ и (или) отказе в проведении ГКУ.
Предупреждение о возможном приостановлении и (или) отказе в проведении ГКУ доводится до заявителя лично во время приема документов, при поступлении документов почтовым отправлением - по телефону, указанному в заявке. О сделанном предупреждении о возможном приостановлении и (или) отказе в проведении ГКУ делается отметка на расписке в приеме документов.
Документы, имеющие подчистки, приписки, зачеркнутые слова или иные неоговоренные в них исправления, документы, исполненные карандашом, а также документы с серьезными повреждениями, не позволяющими однозначно истолковать их содержание, не подлежат приему для проведения ГКУ <*>.
<*> Пункт 4 статьи 19 Федерального закона от 2 января 2000 г. N 28-ФЗ "О государственном земельном кадастре".
При личном обращении заявителя специалист, осуществляющий прием документов, по его требованию изготавливает уведомление об отказе в приеме документов на ГКУ и копирует документы, послужившие основанием для отказа. Уведомление об отказе в приеме документов должно содержать причины отказа в приеме документов для проведения ГКУ и способы их устранения. После подписания специалистом, осуществляющим прием документов на ГКУ, уведомление передается лично в руки заявителю или в течение трех рабочих дней направляется заявителю по почте по адресу, указанному в заявке.
При поступлении документов для проведения ГКУ почтовым отправлением, специалист, осуществляющий прием документов на ГКУ, немедленно изготавливает уведомление об отказе в приеме документов на ГКУ, подписывает его и в течение трех рабочих дней направляет заявителю по почте по адресу, указанному в заявке.
Специалист, осуществляющий прием документов на ГКУ, фиксирует факт приема заявки и документов от заявителей путем выполнения регистрационной записи в книге учета заявок <*>. При регистрации принятых документов специалист просчитывает количество документов и количество листов в документах.
<*> Порядок ведения книг учета заявок, утвержденный Росземкадастром 10 апреля 2001 г.
Получение документов для проведения ГКУ подтверждается выдачей заявителю расписки в получении соответствующих документов <*>.
<*> Пункт 5 статьи 19 Федерального закона от 2 января 2000 г. N 28-ФЗ "О государственном земельном кадастре", Требования к оформлению расписок о получении документов, представленных на государственный кадастровый учет, утвержденные Росземкадастром 10 апреля 2001 г.
В случае ведения книги учета заявок в электронном виде расписка распечатывается в двух экземплярах, а в книгу учета заявок вносится запись "расписка выдана". Один экземпляр расписки в приеме документов выдается заявителю, на втором экземпляре расписки заявителем делается отметка о получении расписки.
25.2. Проверка представленных заявителями документов.
25.2.1. Основанием для проверки представленных заявителями документов является их поступление должностному лицу, в обязанности которого в соответствии с замещаемой государственной гражданской должностью входит принятие решения по заявке и представленным для проведения ГКУ документам (далее - должностное лицо).
Должностное лицо проверяет документы и принимает либо решение о проведении ГКУ, либо решение о приостановлении ГКУ, либо решение об отказе в проведении ГКУ.
Срок проверки представленных заявителем документов не должен превышать 15 календарных дней.
Должностное лицо проверяет представленные заявителем документы на наличие установленных в соответствии с Федеральным законом "О государственном земельном кадастре" оснований для приостановления или решения об отказе в проведении ГКУ <*>.
<*> Статья 20 Федерального закона от 2 января 2000 г. N 28-ФЗ "О государственном земельном кадастре".
25.2.2. Приостановление проведения ГКУ.
Должностное лицо приостанавливает проведение ГКУ в случаях <*>:
<*> Пункт 1 статьи 20 Федерального закона от 2 января 2000 г. N 28-ФЗ "О государственном земельном кадастре".
отсутствия в представленных документах сведений, необходимых для проведения ГКУ;
сведения, необходимые для проведения ГКУ, противоречивы.
Специалисты, ответственные за подготовку документов, в письменной форме подготавливают извещение о приостановлении проведения ГКУ (далее - извещение) с обоснованием данных решений. Подготовка извещения производится немедленно после принятия должностным лицом решения о приостановлении.
Извещение оформляется в двух экземплярах: один экземпляр на официальном бланке - подлинник, второй экземпляр - на чистом листе с визами согласований и подписью должностного лица - визовая копия.
В тексте извещения излагаются все выявленные причины, препятствующие проведению ГКУ и послужившие основанием для приостановления, предлагаются пути устранения причин приостановления, а также делается предупреждение об отказе в проведении ГКУ, если причины приостановления не будут устранены в установленный срок <*>. Подготовленные экземпляры извещений (подлинник и визовая копия) подписываются должностным лицом и регистрируются в книге учета выданных сведений <**>.
<*> Пункт 6 Требований к оформлению извещений о приостановлении проведения государственного кадастрового учета земельных участков и решений об отказе в проведении такого учета, ГЗК-1-Т.О-07-01-01, утвержденных Росземкадастром 10 апреля 2001 г.
<**> Пункт 3 Требований к оформлению извещений о приостановлении проведения государственного кадастрового учета земельных участков и решений об отказе в проведении такого учета, ГЗК-1-Т.О-07-01-01, утвержденных Росземкадастром 10 апреля 2001 г.
Срок приостановления в проведении ГКУ не должен превышать одного месяца <*>.
<*> Пункты 1, 2 статьи 20 Федерального закона от 2 января 2000 г. N 28-ФЗ "О государственном земельном кадастре".
Заявитель в течение срока приостановления вправе устранить причины приостановления путем представления необходимых сведений.
В случае, если для устранения причин приостановления дополнительно представлены документы, заявителю выдается расписка о принятии дополнительных документов. Дополнительные документы передаются для рассмотрения должностному лицу, и проведение ГКУ возобновляется.
После возобновления течения срока проведения ГКУ земельного участка проведение кадастровых процедур продолжается. Общий срок проведения кадастровых процедур, с учетом срока приостановления, в этом случае не может превышать двух месяцев.
После устранения причин приостановления (представления необходимых сведений) специалист:
- на подлиннике и визовой копии извещения делает отметку в виде оттиска штампа "Приостановление снято", с указанием даты и подписи должностного лица, а подлинник извещения возвращает заявителю;
- в книге учета заявок делает соответствующую отметку о снятии приостановления <*>.
<*> Пункт 11 Требований к оформлению извещений о приостановлении проведения государственного кадастрового учета земельных участков и решений об отказе в проведении такого учета, ГЗК-1-Т.О-07-01-01, утвержденных Росземкадастром 10 апреля 2001 г.
После устранения заявителем причин приостановления ГКУ течение срока проведения ГКУ продолжается.
После завершения процесса ГКУ специалист помещает визовую копию извещения вместе с другими документами в кадастровое дело <*>.
<*> Пункт 11 Требований к оформлению извещений о приостановлении проведения государственного кадастрового учета земельных участков и решений об отказе в проведении такого учета, ГЗК-1-Т.О-07-01-01, утвержденных Росземкадастром 10 апреля 2001 г.
25.2.3. Отказ в проведении ГКУ.
Должностное лицо отказывает в проведении ГКУ в случаях, если <*>:
<*> Пункты 2, 3 статьи 20 Федерального закона от 2 января 2000 г. N 28-ФЗ "О государственном земельном кадастре".
в течение указанного срока заявителем не устранены причины приостановления проведения ГКУ;
с заявкой о проведении ГКУ обратилось ненадлежащее лицо;
представленные заявителем документы по форме или содержанию не соответствуют требованиям законодательства Российской Федерации;
при межевании земельных участков, в отношении которых проводится ГКУ, нарушены права смежных землепользователей;
площадь земельного участка, в отношении которого проводится ГКУ, меньше минимального размера, установленного в соответствии с нормативными правовыми актами субъектов Российской Федерации или нормативными правовыми актами органов местного самоуправления для земель различного целевого назначения и разрешенного использования;
содержащаяся в документах о межевании уточненная площадь земельного участка превышает указанную в правоустанавливающем документе на такой земельный участок более чем на минимальный размер, установленный в соответствии с нормативными правовыми актами субъектов Российской Федерации или правовыми актами органов местного самоуправления для земель различного целевого назначения и разрешенного использования <*>.
<*> Статья 5 Федерального закона от 30 июня 2006 г. N 93-ФЗ "О внесении изменений в некоторые законодательные акты Российской Федерации по вопросу оформления в упрощенном порядке прав граждан на отдельные объекты недвижимого имущества".
Решение об отказе оформляется в двух экземплярах: подлинник - на официальном бланке и визовая копия, которые содержат выявленные причины, послужившие основанием для отказа в проведении ГКУ, и обоснование принятого решения <*>.
<*> Пункт 6 Требований к оформлению извещений о приостановлении проведения государственного кадастрового учета земельных участков и решений об отказе в проведении такого учета, ГЗК-1-Т.О-07-01-01, утвержденных Росземкадастром 10 апреля 2001 г.
Решение об отказе в пятидневный срок направляется заявителю.
Решение об отказе в проведении ГКУ подлежит регистрации в книге учета выданных сведений, в книге учета заявок делается соответствующая запись о принятом решении <*>.
<*> Пункт 3 Требований к оформлению извещений о приостановлении проведения государственного кадастрового учета земельных участков и решений об отказе в проведении такого учета, ГЗК-1-Т.О-07-01-01, утвержденных Росземкадастром 10 апреля 2001 г.
Визовая копия решения об отказе приобщается к заявке и представленным для проведения ГКУ документам.
Отказ в проведении ГКУ может быть обжалован заинтересованными лицами в суд, арбитражный суд.
25.3. Составление описаний земельных участков в ЕГРЗ и отражение на ДКК.
Основанием для составления описаний земельных участков в ЕГРЗ и отражение на ДКК является принятие должностным лицом решения о проведении ГКУ.
Решение о проведении ГКУ принимается в случае отсутствия оснований для приостановления в проведении ГКУ и (или) отказа в проведении ГКУ.
Открытие подраздела осуществляется при принятии должностным лицом оформленного в письменной форме решения:
- о постановке на кадастровый учет вновь сформированного земельного участка;
- о внесении в ГРЗ КР сведений о ранее учтенном земельном участке.
Открытие подраздела заключается в создании подраздела в виде имеющего юридическую силу документа, а именно:
- установления номера подраздела в журнале учета кадастровых номеров;
- внесения сведений о земельном участке в формы ГРЗ КР;
- удостоверения произведенных в подразделе записей подписью должностного лица.
Специалист, ответственный за внесение записей в ЕГРЗ и отражения их на ДКК, вносит учетные кадастровые записи в соответствующих подразделах ГРЗ КР и производит отражение на ДКК графической информации, руководствуясь Порядком ведения ГРЗ КР и иными нормативными правовыми актами, определяющими порядок ведения ЕГРЗ и ДКК и содержание вносимых записей.
Учетные кадастровые записи в соответствующих подразделах ГРЗ КР и отражение на ДКК графической информации осуществляются как на бумажных, так и на электронных носителях.
Учетная кадастровая запись о возникновении нового земельного участка как объекта ГКУ в соответствующих границах выполняется во вновь открываемом подразделе ГРЗ КР "Земельный участок" путем внесения описания земельного участка, позволяющего однозначно выделить данный земельный участок из других, и отражения графической информации на ДКК.
Учетная кадастровая запись о возникновении земельного участка, состоящего из нескольких обособленных участков, представляющих собой единое землепользование, расположенные более чем в одном кадастровом квартале, выполняется в подразделе ГРЗ КР в условном кадастровом квартале с границами, совпадающими с границами кадастрового района, и кадастровым номером, состоящим из номера округа, номера кадастрового района и числа (ноль).
Учетная кадастровая запись об изменении текущих характеристик существующего земельного участка осуществляется в ранее открытом подразделе ГРЗ КР.
Отражение на ДКК графической информации производится в графической и текстовой форме путем отражения на картографической основе бумажного и (или) электронного вида сведений о местоположении земельных участков и территориальных зон.
ДКК представляет собой карту (план), на которой в графической и текстовой формах воспроизводятся содержащиеся в государственном земельном кадастре сведения о местоположении земельных участков и территориальных зон <*>.
<*> Статья 16 Федерального закона от 2 января 2000 г. N 28-ФЗ "О государственном земельном кадастре".
Ведение ДКК заключается в отображении (нанесении) на карту (план) соответствующего масштаба графических сведений о земельных участках и (или) их частях (описание границ, координат поворотных точек границ), учитываемых в ГРЗ КР, и изменений графических сведений об учтенных в ГРЗ КР земельных участках и (или) их частях.
После внесения необходимых учетных кадастровых записей в ГРЗ КР и отражения на ДКК специалист, ответственный за внесение записей в ЕГРЗ и отражения их на ДКК, распечатывает формы ГРЗ КР и передает их для удостоверения уполномоченному должностному лицу.
Все выполненные учетные кадастровые записи приобретают юридическую силу с момента удостоверения их подписью должностного лица.
Удостоверенные должностным лицом формы ГРЗ КР группируются по номерам кадастровых кварталов, в которые входят описанные в них земельные участки, и комплектуются в файловые папки, помещаемые в файловые книги в порядке возрастания кадастровых номеров.
Скомплектованные файловые папки помещаются в картотеку ГРЗ КР и хранятся отдельно от кадастровых дел.
Формы ГРЗ КР подлежат вечному хранению, их уничтожение и изъятие не допускаются <*>.
<*> Пункт 7 статьи 17 Федерального закона от 2 января 2000 г. N 28-ФЗ "О государственном земельном кадастре".
25.4. Присвоение земельному участку кадастрового номера.
Основанием для присвоения кадастрового номера земельному участку является принятие должностным лицом решения о проведении ГКУ вновь образованного земельного участка.
По заявлению правообладателя несколько обособленных земельных участков, представляющих собой единое землепользование, могут быть учтены в качестве одного объекта недвижимого имущества с присвоением им одного кадастрового номера <*>.
<*> Пункт 5 Правил присвоения кадастровых номеров земельным участкам, утвержденных Постановлением Правительства Российской Федерации от 06.09.2000 N 660.
Специалист, ответственный за присвоение кадастрового номера, присваивает кадастровый номер вновь образованному земельному участку путем внесения записи в журнал учета кадастровых номеров (далее - ЖКН).
ЖКН ведется поквартально в соответствии со схемой деления кадастрового района на кадастровые кварталы на формах установленного образца <*>.
<*> Формы журнала учета кадастровых номеров. Кадастровый район ГЗК-1-С.О-03-01-99, утверждены Приказом Госкомзема России от 22 ноября 1999 г. N 84.
Специалист, ответственный за присвоение кадастрового номера, при учете первого земельного участка в кадастровом квартале открывает каждый новый раздел ЖКН. При этом заполняется титульный лист раздела и вводится первый лист раздела, в котором делается запись по учету кадастрового номера земельного участка.
Заполнение журнала производится от руки или автоматизированным способом. Все записи в журнале, который ведется от руки, удостоверяются подписью должностного лица.
25.5. Изготовление КПЗУ и выдача их заявителям.
25.5.1. Изготовление КПЗУ.
Основанием для изготовления КПЗУ является удостоверение должностным лицом форм ГРЗ КР.
Специалист, ответственный за изготовление КПЗУ, оформляет КПЗУ в соответствии с формой и порядком, установленными Правилами оформления кадастрового плана земельного участка, утвержденными Росземкадастром 10 апреля 2001 г., и другими нормативными правовыми актами, определяющими содержание и порядок оформления КПЗУ.
КПЗУ изготавливается в указанном в заявке количестве экземпляров, каждый из которых подлежит удостоверению уполномоченным должностным лицом.
Изготовление форм КПЗУ осуществляется рукописным, машинописным (в том числе с использованием компьютерной техники) или комбинированным способом. При комбинированном способе изготовления КПЗУ допускается вписывать рукописным способом отдельные слова, условные знаки, и т.п. чернилами, пастой или тушью <*>.
<*> Правила оформления кадастрового плана земельного участка, утвержденные Росземкадастром 10 апреля 2001 г.
После изготовления форм КПЗУ специалист, ответственный за изготовление КПЗУ, передает их для удостоверения должностному лицу.
Должностное лицо сверяет изготовленные формы КПЗУ с соответствующими подразделами ГРЗ КР и удостоверяет все экземпляры форм КПЗУ.
Удостоверенные КПЗУ регистрируются в книге учета выданных сведений.
25.5.2. Выдача КПЗУ заявителю.
Основанием для выдачи КПЗУ заявителю является удостоверение должностным лицом форм КПЗУ и завершение проведения ГКУ.
Специалист, осуществляющий выдачу КПЗУ, в зависимости от вида получения, указанного в заявке, выдает удостоверенные и зарегистрированные в установленном порядке КПЗУ на бумажном или электронном носителях лично заявителю или направляет их заявителю почтовым отправлением или по каналам связи <*>.
<*> Постановление Правительства Российской Федерации от 2 декабря 2000 г. N 918 "Об утверждении правил предоставления сведений государственного земельного кадастра".
При получении КПЗУ лично заявителем специалист, ответственный за выдачу КПЗУ, производит их выдачу после предъявления заявителем документа, удостоверяющего личность.
В книге учета выданных сведений осуществляется запись о выдаче заявителю КПЗУ, в книгу учета заявок вносится запись о проведенном ГКУ и указывается регистрационный номер КПЗУ по книге учета выданных сведений.
Специалист, осуществляющий выдачу КПЗУ, вправе отказать в выдаче КПЗУ в случае, если:
заявителем или представителем заявителя при получении КПЗУ лично не предъявлен документ, удостоверяющий личность;
представителем заявителя не предъявлена доверенность, оформленная в соответствии с действующим законодательством, или иной документ, подтверждающий полномочия на получение КПЗУ <*>.
<*> Гражданский кодекс Российской Федерации (часть первая) от 30 ноября 1994 г. N 51-ФЗ.
В случае, если заявитель ходатайствует о выдаче КПЗУ в нескольких экземплярах, за изготовление второго и последующих экземпляров КПЗУ взимается оплата услуг за их копирование (документирование) <*>.
<*> Постановление Правительства Российской Федерации от 2 декабря 2000 г. N 918 "Об утверждении правил предоставления сведений государственного земельного кадастра".
Если при наличии в заявке просьбы выдать КПЗУ в двух и более экземплярах отсутствует документ, подтверждающий оплату услуг за копирование (документирование) предоставляемых КПЗУ, или отсутствует оплата услуг за копирование (документирование) в полном размере, утвержденном в установленном порядке <*>, по результатам проведения государственного кадастрового учета КПЗУ выдается в одном экземпляре.
<*> Пункт 2 Постановления Правительства Российской Федерации от 2 декабря 2000 г. N 918 "Об утверждении Правил предоставления сведений государственного земельного кадастра".
Порядок выдачи сведений ГЗК по заявлениям заинтересованных лиц установлен Административным регламентом предоставления государственной услуги "Предоставление заинтересованным лицам сведений государственного земельного кадастра", утвержденным Приказом Минэкономразвития России от 13 июля 2006 г. N 186 (зарегистрирован Минюстом России 13 сентября 2006 г., регистрационный N 8234).
25.6. Формирование кадастровых дел.
Основанием для формирования кадастрового дела является поступление специалисту, ответственному за формирование кадастровых дел, документов, на основании которых произведено внесение учетных кадастровых записей в подразделы ГРЗ КР о возникновении или прекращении существования земельных участков и отражение этих сведений на ДКК.
Специалист, ответственный за формирование кадастровых дел, комплектует кадастровое дело путем включения в него в хронологическом порядке документов, подтверждающих факт возникновения или прекращения существования земельного участка как объекта ГКУ.
В кадастровые дела также помещаются все документы, созданные в процессе проведения ГКУ и не подлежащие выдаче заявителям: вторые экземпляры извещений о приостановлении ГКУ, решений о проведении ГКУ, экземпляр оригинала КПЗУ без удостоверения (если для изготовления удостоверенных КПЗУ, выдаваемых заявителям, использовался метод копирования с оригинала).
Если изготовление необходимого количества экземпляров КПЗУ осуществлялось с применением программно-технических комплексов путем документирования сведений, содержащихся в форме электронного документа государственного реестра земель кадастрового района, то дополнительный экземпляр кадастрового плана земельного участка не изготавливается.
Кадастровое дело идентифицируется:
для земельного участка, в отношении которого проведен ГКУ, - кадастровым номером земельного участка;
для земельных участков, по которым принято решение об отказе в проведении ГКУ, - порядковым номером записи о регистрации принятых документов в книге учета заявок.
Специалист, ответственный за формирование кадастровых дел, обеспечивает целостность (комплектность) кадастровых дел за счет соответствующих описей включаемых в кадастровое дело документов.
Кадастровые дела прекративших существование земельных участков прошиваются и скрепляются печатью.
Кадастровые дела подлежат вечному хранению, их уничтожение и изъятие не допускается <*>.
<*> Пункт 7 статьи 17 Федерального закона от 2 января 2000 г. N 28-ФЗ "О государственном земельном кадастре".
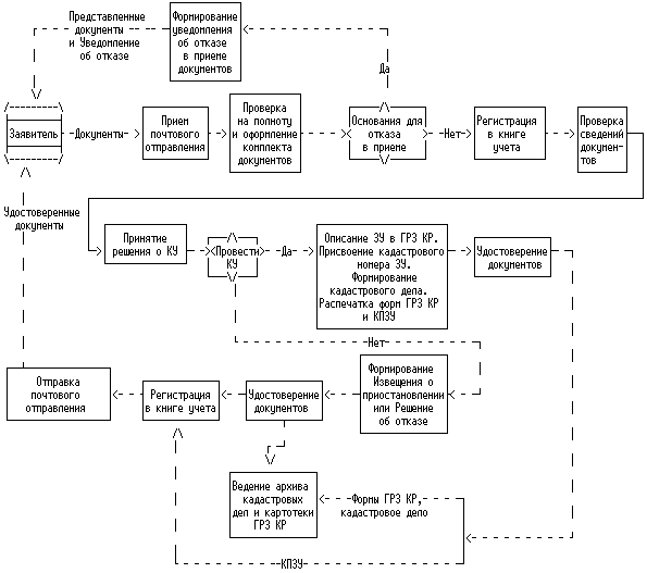
Блок-схемы последовательности действий при проведении ГКУ в случае представления заявителем документов лично и по почте приведены в приложениях N 4 и N 5.
Порядок и формы контроля за исполнением государственной функции
26. Текущий контроль за соблюдением последовательности действий, определенных административными процедурами по исполнению государственной функции, и принятием решений должностными лицами осуществляется должностными лицами центрального аппарата Роснедвижимости, Управлений, ответственными за организацию работы по исполнению государственной функции.
27. Персональная ответственность должностных лиц и специалистов центрального аппарата Роснедвижимости, Управлений закрепляется в их должностных регламентах в соответствии с требованиями законодательства Российской Федерации.
27.1. Специалист, ответственный за прием заявок и документов на проведение ГКУ, несет персональную ответственность за соблюдение сроков и порядка приема документов, правильность внесения записи в книгу учета заявок, оформление расписки, установленных пунктом 24.1 Административного регламента.
27.2. Должностное лицо, в обязанности которого в соответствии с замещаемой государственной гражданской должностью входит принятие решения по заявке и представленным для проведения ГКУ документам, несет персональную ответственность за:
соблюдение сроков и порядка проведения государственного кадастрового учета земельных участков, установленных пунктами 24.2 - 24.4 Административного регламента;
правильность внесенных записей в формы ГРЗ КР и достоверность сведений в КПЗУ;
правильность оформления, сроков и порядка подготовки уведомления о приостановлении государственного кадастрового учета, решения об отказе в проведении государственного кадастрового учета.
27.3. Специалист, ответственный за внесение записей в ГРЗ КР, несет персональную ответственность за правильность и достоверность внесенных записей.
27.4. Специалист, ответственный за присвоение кадастрового номера, несет персональную ответственность за правильность записи по присвоению кадастрового номера земельному участку.
27.5. Специалист, ответственный за подготовку КПЗУ, несет персональную правильность и достоверность сведений, содержащихся в КПЗУ.
27.6. Специалист, ответственный за выдачу КПЗУ, несет персональную ответственность за соблюдение сроков и порядка выдачи документов, правильность заполнения книги учета выданных сведений, книги учета заявок.
28. Перечень должностных лиц, осуществляющих текущий контроль, устанавливается Приказами руководителя Роснедвижимости, руководителей Управлений.
29. Роснедвижимость организует и осуществляет ведомственный контроль за исполнением государственной функции Управлениями и их Подразделениями.
Проверки могут быть плановыми (осуществляться на основании полугодовых или квартальных планов проверок Роснедвижимости) и внеплановыми. Проверка также может проводиться по конкретному обращению заявителя.
Порядок проведения ведомственного контроля устанавливается приказом руководителя Роснедвижимости.
Порядок обжалования действия (бездействия) и решений, осуществляемых (принятых) в ходе предоставления государственной услуги на основании настоящего Регламента
30. Досудебное обжалование.
Контроль деятельности Подразделений осуществляет Управление, контроль деятельности Управлений осуществляет центральный аппарат Роснедвижимости, контроль деятельности Роснедвижимости осуществляет Министерство экономического развития и торговли Российской Федерации.
Заинтересованные лица могут обжаловать действия или бездействие должностных лиц:
Подразделений - в Управление;
Управления - в центральный аппарат Роснедвижимости;
центрального аппарата Роснедвижимости - руководителю Роснедвижимости, в Министерство экономического развития и торговли Российской Федерации.
Заинтересованные лица могут обратиться с жалобой на действия (бездействия) Территориального отдела, Подразделения и (или) Управления, осуществляющего ГКУ на основании настоящего Регламента, и (или) обжаловать действия или бездействие должностных лиц (далее - жалоба) устно или письменно.
Должностные лица центрального аппарата Роснедвижимости, Управлений, Подразделений проводят личный прием заинтересованных лиц.
Если заинтересованные лица не удовлетворены решением, принятым в ходе рассмотрения жалобы, или не получили решение в срок 30 календарных дней, то заинтересованные лица вправе обратиться письменно согласно соподчиненности - к руководству должностного лица или в вышестоящий орган.
В письменной жалобе указываются:
наименование Подразделения и (или) Управления, осуществляющего ГКУ, в которое направляется письменное обращение, либо фамилия, имя, отчество соответствующего должностного лица, либо должность соответствующего лица;
фамилия, имя, отчество заинтересованного лица (а также фамилия, имя, отчество уполномоченного представителя, в случае обращения с жалобой представителя);
полное наименование юридического лица (в случае обращения от имени юридического лица);
контактный почтовый адрес;
предмет жалобы;
личная подпись заинтересованного лица (его уполномоченного представителя), дата.
Письменная жалоба должна быть написана разборчивым почерком, не содержать нецензурных выражений. Письменная жалоба должна быть рассмотрена в течение 30 календарных дней с момента поступления, а при необходимости представления и (или) истребования дополнительных материалов у лица, обратившегося с жалобой, должностное лицо либо уполномоченное на то лицо вправе продлить срок рассмотрения обращения не более чем на 30 дней, уведомив о продлении срока его рассмотрения гражданина, направившего обращение.
Обращения, содержащие обжалование действий (бездействия) конкретных должностных лиц, не могут направляться этим должностным лицам для рассмотрения и (или) ответа. Дубликатные обращения (второй и последующие экземпляры одного обращения, направленные в различные органы государственной власти, или обращения, повторяющие текст предыдущего обращения, на которое дан ответ), не рассматриваются. В случае поступления дубликатных обращений заинтересованному лицу направляется уведомление о ранее данных ответах или копии этих ответов.
По результатам рассмотрения жалобы должностное лицо в пределах своей компетенции принимает меры, направленные на восстановление или защиту нарушенных прав, свобод и законных интересов заинтересованных лиц, дает письменный ответ по существу поставленных в обращении вопросов.
Если в обращении содержится просьба отменить решение об отказе в проведении ГКУ земельного участка или решение о проведении ГКУ земельного участка, заявителю в письменном ответе должно быть разъяснено его право обжаловать принятые решения в суд, арбитражный суд.
Все обращения об обжаловании действий (бездействий), осуществляемых в ходе выполнения государственной функции на основании настоящего Регламента, фиксируются в книге учета обращений с указанием:
проведенных действий и принятых административных мерах ответственности к специалисту, допустившему нарушения, ответственному за действие (бездействие), осуществленное в ходе выполнения государственной функции, повлекшие за собой жалобу заявителя.
Обращения заинтересованных лиц считаются разрешенными, если рассмотрены все поставленные в них вопросы, приняты необходимые меры и даны письменные ответы (в пределах компетенции) по существу всех поставленных в обращениях вопросов.
Заявители могут обжаловать в суд, арбитражный суд:
- отказ в проведении ГКУ земельных участков;
- уклонение органа, осуществляющего государственную функцию, от проведения ГКУ земельных участков.
Приложение N 1
к Административному регламенту
Федерального агентства
кадастра объектов недвижимости
по исполнению государственной
функции "Ведение государственного
земельного кадастра"
СПРАВОЧНИК ТЕРРИТОРИАЛЬНЫХ ОРГАНОВ РОСНЕДВИЖИМОСТИ
| Код | Наименование | Контакты |
| Федеральное агентство кадастра объектов недвижимости | 119415, г. Москва, пр. Вернадского, | |
| 37, корп. 2 | ||
| (495) 747 30 93, факс (495) 747 96 96 | ||
| rnd@kadastr.ru | ||
| 1 | Республика Адыгея | 352271, г. Майкоп, ул. Юннатов, 7 "в", |
| http://r01.kadastr.ru/ | а/я - 12 | |
| (87722) 3-86-87 | ||
| 3-68-56 | ||
| u01@kadastr.ru | ||
| 2 | Республика Алтай | 649000, г. Горно-Алтайск, |
| http://r02.kadastr.ru/ | ул. Улагашева, д. 13, а/я 100 | |
| (38822) 2-23-12 | ||
| факс: 2-50-97 | ||
| u04@kadastr.ru | ||
| 3 | Республика Башкортостан | 450000, г. Уфа, ул. Цюрупы, д. 17 |
| http://r03.kadastr.ru/ | (3472) 73-93-30 | |
| u02@kadastr.ru | ||
| 4 | Республика Бурятия | 670000, г. Улан-Удэ, ул. Борсоева, |
| http://r04.kadastr.ru/ | д. 13 "Б" | |
| (3012) 22-08-55 | ||
| факс: 22-09-05 | ||
| u03@kadastr.ru | ||
| 5 | Республика Дагестан | 367012, г. Махачкала, ул. Маркова, |
| http://r05.kadastr.ru/ | д. 18 | |
| (8722) 671906 | ||
| факс: 673643 | ||
| u05@kadastr.ru | ||
| 6 | Ингушская Республика | 366720, г. Назрань, ул. Фабричная, 14 |
| http://r06.kadastr.ru/ | (87322) 2-60-31 | |
| 2-41-69 | ||
| u06@kadastr.ru | ||
| 7 | Кабардино-Балкарская Республика | 360000, г. Нальчик, ул. М. Горького, д. 4 |
| http://r07.kadastr.ru/ | (8662) 42-66-64 | |
| 42-50-93 | ||
| u07@kadastr.ru | ||
| 8 | Республика Калмыкия | 358000, г. Элиста, ул. Чкалова, д. 36 |
| http://r08.kadastr.ru/ | (84722) 5-75-20 | |
| 5-36-04 | ||
| u08@kadastr.ru | ||
| 9 | Карачаево-Черкесская Республика | 369000, г. Черкесск, пр. Ленина, д. 38 |
| http://r09.kadastr.ru/ | (87822) 5-22-19 | |
| факс: 5-17-75 | ||
| u09@kadastr.ru | ||
| 10 | Республика Карелия | 185000, г. Петрозаводск, |
| http://home.onego.ru/~zeml | ул. Куйбышева, д. 11, а/я 335 | |
| http://r10.kadastr.ru/ | (8142) 76-29-31 | |
| 78-21-61 | ||
| u10@kadastr.ru | ||
| 11 | Республика Коми | 167983, г. Сыктывкар, ГСП-2, |
| http://r11.kadastr.ru/ | ул. Бабушкина, д. 23 | |
| (8212) 29-18-89 | ||
| факс: 24-62-13 | ||
| u11@kadastr.ru | ||
| 12 | Республика Марий Эл | 424000, г. Йошкар-Ола, |
| http://r12.kadastr.ru/ | ул. Красноармейская, д. 41 | |
| (8362) 11-35-88 | ||
| факс: 64-17-87 | ||
| u12@kadastr.ru | ||
| 13 | Республика Мордовия | 430000, г. Саранск, |
| http://r13.kadastr.ru/ | ул. Коммунистическая, д. 33 | |
| (8342) 17-48-18 | ||
| 17-01-17 | ||
| u13@kadastr.ru | ||
| 14 | Республика Саха (Якутия) | 677000, г. Якутск, ул. Курашова, |
| http://r14.kadastr.ru/ | д. 30-1 | |
| (4112) 42-13-20 | ||
| 42-13-20 | ||
| u14@kadastr.ru | ||
| 15 | Республика Северная Осетия - Алания | 362038, г. Владикавказ, ул. Шмулевича, д. 8а |
| http://r15.kadastr.ru/ | (8672) 53-36-68 | |
| факс: 54-92-03 | ||
| u15@kadastr.ru | ||
| 16 | Республика Татарстан | 420059, г. Казань, Оренбургский тракт, 20а |
| http://r16.kadastr.ru/ | (8432) 77-57-85 | |
| факс: 77-57-55 | ||
| u16@kadastr.ru | ||
| 17 | Республика Тыва | 667009, г. Кызыл, ул. Ленина, д. 10 |
| http://r17.kadastr.ru/ | (39422) 3-50-63 | |
| факс: 1-11-87 | ||
| u17@kadastr.ru | ||
| 18 | Удмуртская Республика | 426053, г. Ижевск, Ворошилова, 13а |
| http://r18.kadastr.ru/ | (3412) 26-02-41 | |
| 26-01-75 | ||
| u18@kadastr.ru | ||
| 19 | Республика Хакасия | 662017, г. Абакан, ул. Кирова, д. 100, |
| http://r19kadastr.ru/ | п/я 92 | |
| (39022) 6-45-04 | ||
| 5-25-78 | ||
| u19@kadastr.ru | ||
| 20 | Чеченская Республика | 366000, г. Гудермес, ул. Ленина, 5 |
| http://r20kadastr.ru/ | (8712) 22-52-83 | |
| u20@kadastr.ru | ||
| 21 | Чувашская Республика - Чаваш-Республика | 428004, г. Чебоксары, ул. Урицкого, д. 43 |
| http://r21.kadastr.ru/ | (8352) 62-26-52 | |
| 62-00-85 | ||
| u21@kadastr.ru | ||
| 22 | Алтайский край | 656002, г. Барнаул, ул. Воровского, |
| http://r22kadastr.ru/ | д. 163 | |
| (3852) 24-95-34 | ||
| факс: 38-14-08 | ||
| u22@kadastr.ru | ||
| 23 | Краснодарский край | 350610, г. Краснодар, ул. Красная, 176 |
| http://r23kadastr.ru/ | (8612) 51-78-96 | |
| факс: 51-83-96 | ||
| u23@kadastr.ru | ||
| 24 | Красноярский край | 660049, г. Красноярск, ул. Бограда, |
| http://r24kadastr.ru/ | д. 128 | |
| (3912) 21-46-62 | ||
| 21-77-93 | ||
| u24@kadastr.ru | ||
| 25 | Приморский край | 690014, г. Владивосток, Народный |
| http://r25kadastr.ru/ | проспект, д. 4 | |
| (4232) 45-46-04 | ||
| u25@kadastr.ru | ||
| 26 | Ставропольский край | 355106, г. Ставрополь, ул. Мира, д. 337 |
| http://r26.kadastr.ru/ | (8652) 35-25-87 | |
| факс: 32-83-93 | ||
| u26@kadastr.ru | ||
| 27 | Хабаровский край | 680000, г. Хабаровск, ул. Фрунзе, 71, |
| http://r27kadastr.ru/ | офис: 512 | |
| (4212) 30-25-70 | ||
| факс: 329513 | ||
| u27@kadastr.ru | ||
| 28 | Амурская обл. | 675000, г. Благовещенск, ул. Амурская, |
| http://r28kadastr.ru/ | д. 150 | |
| (4162) 44-38-85 | ||
| факс: 42-47-78 | ||
| u28@kadastr.ru | ||
| 29 | Архангельская обл. | 163000, г. Архангельск, |
| http://www.arland.ru | ул. Выучейского, д. 18 | |
| http://r29kadastr.ru/ | (8182) 21-58-13 | |
| факс: 21-58-64 | ||
| u29@kadastr.ru | ||
| 30 | Астраханская обл. | 414045, г. Астрахань, ул. Ширяева, |
| http://r30.kadastr.ru/ | д. 16 | |
| (8512) 30-11-05 | ||
| факс: 30-11-18 | ||
| u30@kadastr.ru | ||
| 31 | Белгородская обл. | 308002, г. Белгород, ул. Мичурина, |
| http://r31kadastr.ru/ | д. 62 | |
| (0722) 35-35-74 | ||
| факс: 26-08-65 | ||
| u31@kadastr.ru | ||
| 32 | Брянская обл. | 241000, ГСП, г. Брянск, ул. Софьи |
| http://r32kadastr.ru/ | Перовской, д. 63 | |
| (0832) 44-96-73 | ||
| 44-46-88 | ||
| u32@kadastr.ru | ||
| 33 | Владимирская обл. | 600012, г. Владимир, ул. Луначарского, |
| http://r33kadastr.ru/ | д. 3 | |
| (0922) 23-05-85 | ||
| 23-62-64 | ||
| u33@kadastr.ru | ||
| 34 | Волгоградская обл. | 400066, г. Волгоград, |
| http://r34kadastr.ru/ | ул. Коммунистическая, д. 19 | |
| (8442) 34-42-92 | ||
| факс: 34-31-57 | ||
| u34@kadastr.ru | ||
| 35 | Вологодская обл. | 160012, г. Вологда, ул. Советский |
| http://r35kadastr.ru/ | проспект, 80-б | |
| (8172) 75-54-28 | ||
| факс: 75-55-30 | ||
| u35@kadastr.ru | ||
| 36 | Воронежская обл. | 364049, г. Воронеж, Рабочий проспект, |
| http://r36kadastr.ru/ | 101б | |
| (0732) 46-77-78 | ||
| u36@kadastr.ru | ||
| 37 | Ивановская обл. | 153000, г. Иваново, ул. Степанова, 15 |
| http://r37kadastr.ru/ | (0932) 41-25-68 | |
| u37@kadastr.ru | ||
| 38 | Иркутская обл. | 664007, г. Иркутск, ул. Софьи Перовской, д. 30 |
| http://r38kadastr.ru/ | (3952) 27-58-53 | |
| 27-86-41 | ||
| u38@kadastr.ru | ||
| 39 | Калининградская обл. | 236000, г. Калининград, Советский проспект, д. 13 |
| http://r39kadastr.ru/ | (0112) 21-48-57 | |
| факс: 21-17-48 | ||
| u39@kadastr.ru | ||
| 40 | Калужская обл. | 248600, г. Калуга, ул. Вилонова, д. 5 |
| http://r40.kadastr.ru/ | (0842) 57-87-56 | |
| u40@kadastr.ru | ||
| 41 | Камчатская обл. | 683031, г. Петропавловск-Камчатский, |
| http://r41kadastr.ru/ | ул. К. Маркса, д. 29/1 | |
| (41522) 5-22-28 | ||
| факс: 5-23-81 | ||
| u41@kadastr.ru | ||
| 42 | Кемеровская обл. | 650099, г. Кемерово, пр. Кузнецкий, |
| http://r42kadastr.ru/ | д. 4 | |
| (3842) 36-08-40 | ||
| факс: 36-11-64 | ||
| u42@kadastr.ru | ||
| 43 | Кировская обл. | 610000, г. Киров, ул. Дерендяева, д. 23 |
| http://r43kadastr.ru/ | (8332) 62-57-09 | |
| 62-63-56 | ||
| u43@kadastr.ru | ||
| 44 | Костромская обл. | 156013, г. Кострома, ул. Маршала Новикова, д. 37 |
| http://www.admgor.kostroma.net/ | (0942) 55-59-83 | |
| http://r44kadastr.ru/ | 55-18-03 | |
| u44@kadastr.ru |
| 45 | Курганская обл. | 640000, г. Курган, ул. Володарского, |
| http://r45kadastr.ru/ | д. 65 | |
| (3522) 42-14-27 | ||
| u45@kadastr.ru | ||
| 46 | Курская обл. | 305029, г. Курск, ул. Марата, д. 9 |
| http://r46kadastr.ru/ | (0712) 2-52-05 | |
| факс: 2-25-36 | ||
| u46@kadastr.ru | ||
| 47 | Ленинградская обл. | 193311, г. Санкт-Петербург, ул. Смольного, д. 3 |
| http://r47kadastr.ru/ | (812) 279-61-22 | |
| факс: 274-93-82 | ||
| u47@kadastr.ru | ||
| 48 | Липецкая обл. | 398050, г. Липецк, ул. Желябова, д. 2 |
| http://r48kadastr.ru/ | (0742) 27-04-61 | |
| факс: 27-76-85 | ||
| u48@kadastr.ru | ||
| 49 | Магаданская обл. | 685000, г. Магадан, ул. Горького, д. 8а |
| http://r49kadastr.ru/ | (41322) 2-72-00 | |
| 2-44-08 | ||
| u49@kadastr.ru | ||
| 50 | Московская область | 107140, г. Москва, ул. Верхняя |
| http://r50kadastr.ru/ | Красносельская, д. 7 | |
| (495) 264-43-32 | ||
| 264-21-23 | ||
| u50@kadastr.ru | ||
| 51 | Мурманская обл. | 183025, г. Мурманск, ул. Карла Маркса, |
| http://r51kadastr.ru/ | д. 25а | |
| (8152) 44-74-65 | ||
| u51@kadastr.ru | ||
| 52 | Нижегородская обл. | 603122, г. Н. Новгород, ул. Ванеева, |
| http://r52.kadastr.ru/ | д. 205 | |
| (8312) 68-18-81 | ||
| факс: 67-69-34 | ||
| u52@kadastr.ru | ||
| 53 | Новгородская обл. | 173002, г. Великий Новгород, |
| http://r53.kadastr.ru/ | пр. К. Маркса, д. 3 | |
| (81622) 7-22-44 | ||
| 7-61-58 | ||
| u53@kadastr.ru | ||
| 54 | Новосибирская обл. | 630011, г. Новосибирск, Красный |
| http://r54.kadastr.ru/ | проспект, д. 18 | |
| тел. Руководителя - (383) 227-06-57 | ||
| тел./факс приемной - (383) 227-06-58 | ||
| u54@kadastr.ru | ||
| 55 | Омская обл. | 644099, г. Омск, |
| http://r55.kadastr.ru/ | ул. Красногвардейская, д. 40 | |
| (3812) 23-18-31 | ||
| факс: 23-31-39 | ||
| u55@kadastr.ru | ||
| 56 | Оренбургская обл. | 460046, г. Оренбург, ул. 9 Января, |
| http://r56.kadastr.ru/ | д. 64 | |
| (3532) 77-04-62 | ||
| u56@kadastr.ru | ||
| 57 | Орловская обл. | 302028, г. Орел, ул. Полесская, д. 10 |
| http://r57.kadastr.ru/ | (08622) 6-39-24 | |
| факс: 6-29-91 | ||
| u57@kadastr.ru | ||
| 58 | Пензенская обл. | 440600, г. Пенза, ул. Московская, |
| http://r58.kadastr.ru/ | д. 110 | |
| (8412) 55-09-02 | ||
| факс: 55-27-48 | ||
| u58@kadastr.ru | ||
| 59 | Пермская обл. | 614990, г. Пермь, Бульвар Гагарина, |
| http://r59.kadastr.ru/ | д. 10 | |
| (3422) 12-74-50 | ||
| факс: 65-70-40 | ||
| u59@kadastr.ru и | ||
| landcom@permonline.ru | ||
| 60 | Псковская обл. | 180017, г. Псков, ул. Рабочая, д. 11 |
| www.landcom.pskov.ru | (8112) 16-56-08 | |
| http://r60.kadastr.ru/ | 16-56-11 | |
| u60@kadastr.ru | ||
| 61 | Ростовская обл. | 344007, г. Ростов-на-Дону, |
| http://www.donkadastr.srcc.ru/ | ул. Московская, д. 51/15 | |
| http://r61.kadastr.ru/ | (8632) 62-31-92 | |
| факс: 62-29-30 | ||
| u61@kadastr.ru | ||
| 62 | Рязанская обл. | 390006, г. Рязань, ул. Есенина, д. 9 |
| http://r62.kadastr.ru/ | (0912) 44-45-77 | |
| факс: 44-27-29 | ||
| u62@kadastr.ru | ||
| 63 | Самарская обл. | 443090, г. Самара, ул. Антонова |
| http://r63.kadastr.ru/ | Овсеенко, д. 44а | |
| (8462) 24-38-12 | ||
| 24-38-16 | ||
| u63@kadastr.ru | ||
| 64 | Саратовская обл. | 410078, г. Саратов, |
| http://r64.kadastr.ru/ | ул. Университетская, д. 45/51 | |
| (8452) 50-81-10 | ||
| 50-81-09 | ||
| u64@kadastr.ru | ||
| 65 | Сахалинская обл. | 693000, г. Южно-Сахалинск, пр. Мира, |
| http://r65.kadastr.ru/ | д. 107 | |
| (4242) 72-31-79 | ||
| факс: 3-27-09 | ||
| u65@kadastr.ru | ||
| 66 | Свердловская обл. | 620095, г. Екатеринбург, ул. Малышева, |
| http://r66.kadastr.ru/ | 101 | |
| (3432) 71-14-26 | ||
| факс: 61-22-50 | ||
| u66@kadastr.ru | ||
| 67 | Смоленская обл. | 214004, г. Смоленск, ул. Багратиона, |
| http://r67.kadastr.ru/ | д. 11Б | |
| (0812) 66-72-90 | ||
| 66-73-80 | ||
| u67@kadastr.ru | ||
| 68 | Тамбовская обл. | 392036, г. Тамбов, ул. К. Маркса, |
| http://r68.kadastr.ru/ | д. 123 | |
| (0752) 72-87-11 | ||
| 71-35-09 | ||
| u68@kadastr.ru | ||
| 69 | Тверская обл. | 170034, г. Тверь, проезд Дарвина, 11Б |
| http://r69.kadastr.ru/ | (0822) 42-36-81 | |
| 42-39-07 | ||
| u69@kadastr.ru | ||
| 70 | Томская обл. | 634049, г. Томск, ул. Ленина, д. 111 |
| http://r70.kadastr.ru/ | (3822) 51-32-87 | |
| факс: 51-48-49 | ||
| u70@kadastr.ru | ||
| 71 | Тульская обл. | 300025, г. Тула, ул. Седова, д. 7 |
| http://r71.kadastr.ru/ | (0872) 35-00-98 | |
| факс: 35-77-40 | ||
| u71@kadastr.ru | ||
| 72 | Тюменская обл. | 625032, г. Тюмень, ул. Червишевский |
| http://r72.kadastr.ru/ | тракт, д. 64а | |
| (3452) 31-61-91 | ||
| 32-89-65 | ||
| u72@kadastr.ru | ||
| 73 | Ульяновская обл. | 432030, г. Ульяновск, ул. Юности, д. 5 |
| http://r73.kadastr.ru/ | (8422) 34-14-11 | |
| 34-43-41 | ||
| u73@kadastr.ru | ||
| 74 | Челябинская обл. | 454113, г. Челябинск, пл. Революции, |
| http://r74.kadastr.ru/ | д. 4 | |
| (3512) 33-65-37 | ||
| факс: 33-62-77 | ||
| u74@kadastr.ru | ||
| 75 | Читинская обл. | 672090, г. Чита, ул. Лермонтова, д. 1, |
| http://r75.kadastr.ru/ | а/я 1104 | |
| (3022) 26-17-28 | ||
| факс: 26-62-68 | ||
| u75@kadastr.ru | ||
| 76 | Ярославская обл. | 150000, г. Ярославль, ул. Советская, |
| http://r76.kadastr.ru/ | д. 3 | |
| (0852) 32-85-14 | ||
| факс: 30-84-73 | ||
| u76@kadastr.ru | ||
| 77 | г. Москва | 113054, Москва, Орликов переулок, |
| http://www.moskadastr.ru/ | д. 10, стр. 1 | |
| http://r77.kadastr.ru/ | (495) 975-23-73 | |
| 411-60-18 | ||
| факс: 975-26-76 | ||
| u77@kadastr.ru | ||
| 78 | г. Санкт-Петербург | 191124, Санкт-Петербург, Суворовский |
| http://www.kzr.spb.ru | проспект, д. 62 | |
| http://r78.kadastr.ru/ | (812) 279-93-53 | |
| факс: 274-60-23 | ||
| u78@kadastr.ru | ||
| 79 | Еврейская АО | 679016, г. Биробиджан, Хабаровского |
| http://r79.kadastr.ru/ | края, пр. 60-летия СССР, 22 | |
| (42622) 6-59-41 | ||
| 6-59-52 | ||
| u79@kadastr.ru | ||
| 80 | Агинский Бурятский а.о. | 674460, п. Агинское, Читинской обл., |
| http://r80.kadastr.ru/ | ул. Базара Ринчино, 87 | |
| (30239) 3-46-19 | ||
| 3-45-82 | ||
| u80@kadastr.ru | ||
| 81 | Коми-Пермяцкий а.о. | 617240, г. Кудымкар, ул. 50 лет |
| http://r81.kadastr.ru/ | Октября, д. 30 | |
| (34260) 4-59-14 | ||
| факс: 4-52-55 | ||
| u81@kadastr.ru | ||
| 82 | Корякский а.о. | 684620, Камчатская обл., Тигильский |
| http://r82.kadastr.ru/ | р-н, п. Палана, ул. Обухова, д. 9 | |
| (41543) 3-20-58 | ||
| факс: 3-17-23 | ||
| u82@kadastr.ru | ||
| 83 | Ненецкий а.о. | 164700, г. Нарьян-Мар, ул. Оленная, |
| http://r83.kadastr.ru/ | д. 25 | |
| (81853) 4-20-75 | ||
| 4-31-89 | ||
| u83@kadastr.ru | ||
| 84 | Таймырский (Долгано | 663210, г. Дудинка Красноярского края, |
| Ненецкий) а.о. | ул. Советская, д. 13 | |
| http://r84.kadastr.ru/ | (39111) 2-20-08 | |
| факс: 2-24-40 | ||
| u84@kadastr.ru | ||
| 85 | Усть-Ордынский Бурятский | 669001, п. Усть-Ордынский Иркутской |
| а.о. | обл., ул. Ленина, 35 | |
| http://r85.kadastr.ru/ | (39541) 3-15-55 | |
| u85@kadastr.ru | ||
| 86 | Ханты-Мансийский а.о. | 628012, г. Ханты-Мансийск Тюменской |
| http://r86.kadastr.ru/ | обл., ул. Коминтерна, д. 23 | |
| (34671) 3-24-36 | ||
| 4-28-24 | ||
| u86@kadastr.ru | ||
| 87 | Чукотский а.о. | 689000, г. Анадырь, ул. Беринга, д. 11 |
| http://r87.kadastr.ru/ | (427222) 2-04-03 | |
| u87@kadastr.ru | ||
| 88 | Эвенкийский а.о. | 663370, Краснояр. кр., п. Тура, ул. 50 |
| http://r88.kadastr.ru/ | лет Октября, д. 25 | |
| (39113) 2-25-71 | ||
| 2-29-77 | ||
| u88@kadastr.ru | ||
| 89 | Ямало-Ненецкий а.о. | 626607, г. Салехард Тюменской обл., |
| http://r89.kadastr.ru/ | ул. Подшибякина, д. 25 А | |
| (34922) 4-13-20 | ||
| 4-12-89 | ||
| u89@kadastr.ru |
Приложение N 2
к Административному регламенту
Федерального агентства
кадастра объектов недвижимости
по исполнению государственной
функции "Ведение государственного
земельного кадастра"
ПЕРЕЧЕНЬ
ДОКУМЕНТОВ, УДОСТОВЕРЯЮЩИХ ЛИЧНОСТЬ ЗАЯВИТЕЛЯ (ФИЗИЧЕСКОГО ЛИЦА)
1. Граждане Российской Федерации представляют один из следующих документов:
В соответствии с законодательством Российской Федерации заявитель может предъявить один из документов, удостоверяющих его личность, в частности:
паспорт гражданина Российской Федерации (для граждан Российской Федерации старше 14 лет, проживающих на территории Российской Федерации) (пункт 1 Указа Президента Российской Федерации от 13 марта 1997 г. N 232 "Об основном документе, удостоверяющем личность гражданина Российской Федерации на территории Российской Федерации" <*> (далее - Указ), пункт 1 Положения о паспорте гражданина Российской Федерации, утвержденного Постановлением Правительства Российской Федерации от 8 июля 1997 г. N 828 "Об утверждении Положения о паспорте гражданина Российской Федерации, образца бланка и описания паспорта гражданина Российской Федерации" <**> (далее - Положение);
<*> Собрание законодательства Российской Федерации, 1997, N 11, ст. 1301.
<**> Собрание законодательства Российской Федерации, 1997, N 28, ст. 3444.
временное удостоверение личности гражданина Российской Федерации по форме N 2П (для утративших паспорт граждан, а также для граждан, в отношении которых до выдачи паспорта проводится дополнительная проверка) (пункты 10, 37 Административного регламента миграционной службы по предоставлению государственной услуги по выдаче, замене и по исполнению государственной функции по учету паспортов гражданина Российской Федерации, утвержденного Приказом Министерства внутренних дел Российской Федерации от 28 декабря 2006 г. N 1105 <*>);
<*> Зарегистрирован Минюстом России 8 февраля 2007 г. N 8910.
удостоверение личности или военный билет военнослужащего (пункт 1 Постановления Совета Министров СССР от 28 августа 1974 г. N 677 "Об утверждении Положения о паспортной системе в СССР" <*> (далее - Положение о паспортной системе);
<*> Собрание Постановлений Правительства СССР, 1974, N 19, ст. 109; 1983, N 6, ст. 28; 1990, N 24, ст. 113.
общегражданский заграничный паспорт (для прибывших на временное жительство в Российскую Федерацию граждан России, постоянно проживающих за границей) (пункт 1 Положения о паспортной системе);
паспорт моряка (пункт 1 Положения о паспорте моряка, утвержденного Постановлением Правительства Российской Федерации от 1 декабря 1997 г. N 1508 "Об утверждении Положения о паспорте моряка" <*>);
<*> Собрание законодательства Российской Федерации, 1997, N 49, ст. 5598.
удостоверение беженца (пункт 7 статьи 7 Федерального закона от 19 февраля 1993 г. N 4528-1 "О беженцах" <*>);
<*> Собрание законодательства Российской Федерации, 1997, N 26, ст. 2956.
свидетельство о рассмотрении ходатайства о признании беженцем (пункты 1, 8 Порядка оформления, выдачи и обмена свидетельства о рассмотрении ходатайства о признании беженцем на территории Российской Федерации по существу, утвержденного Постановлением Правительства Российской Федерации от 28 мая 1998 г. N 523 "О свидетельстве о рассмотрении ходатайства о признании беженцем на территории Российской Федерации по существу" <*>).
<*> Собрание законодательства Российской Федерации, 1998, N 22, ст. 2475.
Если заявителем является иностранный гражданин или лицо без гражданства, рекомендуется принимать во внимание следующее.
Согласно статьям 6 и 24 Федерального закона от 15 августа 1996 г. N 114-ФЗ "О порядке выезда из Российской Федерации и въезда в Российскую Федерацию" <*> иностранные граждане и лица без гражданства могут въезжать в Российскую Федерацию при наличии визы по действительным документам (лицам без гражданства указанные документы выдаются соответствующими органами государства их проживания), удостоверяющим их личность и признаваемым Российской Федерацией в этом качестве, если иное не предусмотрено международными договорами Российской Федерации. Если заявителем является иностранный гражданин или лицо без гражданства, получившие вид на жительство в Российской Федерации, рекомендуется принимать во внимание, что в соответствии со статьей 24 Федерального закона от 15 августа 1996 г. N 114-ФЗ "О порядке выезда из Российской Федерации и въезда в Российскую Федерацию" иностранные граждане осуществляют въезд в Российскую Федерацию на основании действительных документов, удостоверяющих их личность и признаваемых Российской Федерацией в этом качестве, и вида на жительство, лица без гражданства осуществляют въезд в Российскую Федерацию на основании вида на жительство.
<*> Постановление Правительства Российской Федерации от 4 декабря 2003 г. N 731 "О признании действительными до 1 января 2008 г. паспортов гражданина СССР 1974 года для некоторых категорий иностранных граждан и лиц без гражданства".
Согласно статье 10 Федерального закона от 25 июля 2002 г. N 115-ФЗ "О правовом положении иностранных граждан в Российской Федерации" <*> документами, удостоверяющими личность иностранного гражданина в Российской Федерации, являются паспорт иностранного гражданина либо иной документ, установленный федеральным законом или признаваемый в соответствии с международным договором Российской Федерации в качестве документа, удостоверяющего личность иностранного гражданина.
<*> Постановление Правительства Российской Федерации от 4 декабря 2003 г. N 731 "О признании действительными до 1 января 2008 г. паспортов гражданина СССР 1974 года для некоторых категорий иностранных граждан и лиц без гражданства".
Документами, удостоверяющими личность лица без гражданства Российской Федерации, являются: документ, выданный иностранным государством и признанный в соответствии с международным договором Российской Федерации в качестве документа, удостоверяющего личность лица без гражданства; разрешение на временное проживание; вид на жительство; иные документы, предусмотренные федеральным законом или признаваемые в соответствии с международным договором Российской Федерации в качестве документов, удостоверяющих личность лица без гражданства.
Паспорт гражданина СССР образца 1974 г. (признан действительным до 1 января 2008 г.) <*>.
<*> Постановление Правительства Российской Федерации от 4 декабря 2003 г. N 731 "О признании действительными до 1 января 2008 г. паспортов гражданина СССР 1974 года для некоторых категорий иностранных граждан и лиц без гражданства".
Приложение N 3
к Административному регламенту
Федерального агентства
кадастра объектов недвижимости
по исполнению государственной
функции "Ведение государственного
земельного кадастра"
ТРЕБОВАНИЯ
ПО ОФОРМЛЕНИЮ ИНФОРМАЦИОННЫХ ЛИСТКОВ ПО ПРОЦЕДУРЕ ОКАЗАНИЯ ГОСУДАРСТВЕННОЙ УСЛУГИ
Роснедвижимость и ее территориальные органы осуществляют бесплатное предоставление информационных материалов в виде информационных листков, если иное не предусмотрено законодательством Российской Федерации.
Настоящие требования определяют состав и содержание информации, необходимой для включения в информационный листок, предназначенный для физических и юридических лиц и массового распространения по вопросам оказания Роснедвижимостью государственных услуг.
1. Информационный листок составляется по конкретной тематике, которая определяется по наиболее часто возникающим в письменной и устной форме у физических и юридических лиц на консультациях вопросам.
2. Информационный листок составляется на русском языке и в простой, доступной форме описывает деятельность Роснедвижимости и ее территориальных органов по выбранной тематике.
3. Информационный листок содержит:
- актуальную и исчерпывающую информацию о порядке предоставления государственной услуги;
- термины и определения, которые необходимо знать и применять физическими и юридическими лицами при обращении в Роснедвижимость и ее территориальные органы по вопросам государственного земельного кадастра;
- при необходимости рисунки, блок-схемы и иные графические изображения, описывающие и разъясняющие правила и особенности получения государственных услуг;
- в текстовом виде и в виде блок-схемы, наглядно отображающей алгоритм прохождения административной процедуры;
- почтовый адрес и адрес официального сайта Управления Роснедвижимости по субъекту Российской Федерации (далее - Управление), осуществляющего контрольные, регулирующие, исполнительные и управленческие полномочия в части ведения государственного технического учета объектов капитального строительства, на территории соответствующего кадастрового округа;
- почтовый адрес и адрес официального сайта ФГУ "Земельная кадастровая палата" по субъекту Российской Федерации (далее - Палата), осуществляющего информационное и технологическое обеспечение Единого государственного реестра объектов капитального строительства на территории соответствующего кадастрового округа;
- список почтовых адресов и адреса официальных сайтов территориальных отделов Управления Роснедвижимости по субъекту Российской Федерации (далее - территориальные отделы), осуществляющих исполнительные функции в части ведения государственного технического учета на территории соответствующего кадастрового округа;
- контактные телефоны специалистов Управления, территориальных отделов, осуществляющих консультационную деятельность для физических и юридических лиц по вопросам, входящим в компетенцию Роснедвижимости;
- адреса, дни недели и часы приема лиц, заинтересованных в получении государственной услуги Роснедвижимости;
- список документов, необходимых для предъявления в Роснедвижимость и ее подведомственные органы и организации;
- образцы заполнения форм бланков, утвержденных Роснедвижимостью, необходимых для предъявления в Роснедвижимость и ее подведомственные органы и организации в целях получения государственной услуги;
- адреса и время приема в федеральных органах государственной власти и органов местного самоуправления, организациях, последовательность их посещения;
- перечень, формы документов для заполнения, образцы заполнения документов.
4. Для обеспечения населения необходимой информацией информационный листок подготавливается и издается за счет средств Роснедвижимости с периодичностью, установленной Управлением, и по мере изменения актуальности информации, содержащейся в последнем издании информационного листка.
Информационный листок подлежит бесплатному распространению среди физических и юридических лиц преимущественно в Роснедвижимости и ее территориальных органах и подведомственных ей организациях, осуществляющих государственную услугу.
Приложение N 4
к Административному регламенту
Федерального агентства
кадастра объектов недвижимости
по исполнению государственной
функции "Ведение государственного
земельного кадастра"
ГОСУДАРСТВЕННЫЙ КАДАСТРОВЫЙ УЧЕТ ПРИ ПРЕДСТАВЛЕНИИ ДОКУМЕНТОВ ЗАЯВИТЕЛЮ ЛИЧНО
Приложение N 5
к Административному регламенту
Федерального агентства
кадастра объектов недвижимости
по исполнению государственной
функции "Ведение государственного
земельного кадастра"