Приказ Минпромэнерго РФ от 10.08.2007 N 315

"Об утверждении Порядка расчета размера средств, предоставляемых на ликвидацию межтерриториального перекрестного субсидирования в электроэнергетике, направляемых организациям, являющимся их получателями"
Редакция от 10.08.2007 — Документ утратил силу, см. «Приказ Минэнерго РФ от 24.11.2008 N 219»

Зарегистрировано в Минюсте РФ 23 августа 2007 г. N 10048


МИНИСТЕРСТВО ПРОМЫШЛЕННОСТИ И ЭНЕРГЕТИКИ РОССИЙСКОЙ ФЕДЕРАЦИИ

ПРИКАЗ
от 10 августа 2007 г. N 315

ОБ УТВЕРЖДЕНИИ ПОРЯДКА РАСЧЕТА РАЗМЕРА СРЕДСТВ, ПРЕДОСТАВЛЯЕМЫХ НА ЛИКВИДАЦИЮ МЕЖТЕРРИТОРИАЛЬНОГО ПЕРЕКРЕСТНОГО СУБСИДИРОВАНИЯ В ЭЛЕКТРОЭНЕРГЕТИКЕ, НАПРАВЛЯЕМЫХ ОРГАНИЗАЦИЯМ, ЯВЛЯЮЩИМСЯ ИХ ПОЛУЧАТЕЛЯМИ

Во исполнение Постановления Правительства Российской Федерации от 23 июля 2007 г. N 465 "О предоставлении субсидий бюджетам субъектов Российской Федерации на ликвидацию межтерриториального перекрестного субсидирования в электроэнергетике" (Собрание законодательства Российской Федерации, 2007, N 31, ст. 4084) приказываю:

1. Утвердить прилагаемый порядок расчета размера средств, предоставляемых на ликвидацию межтерриториального перекрестного субсидирования в электроэнергетике, направляемых организациям, являющимся их получателями.

2. Контроль за исполнением настоящего Приказа возложить на заместителя Министра А.В. Дементьева.

Министр
В.Б.ХРИСТЕНКО

УТВЕРЖДЕН
Приказом Минпромэнерго России
от 10 августа 2007 г. N 315

ПОРЯДОК
РАСЧЕТА РАЗМЕРА СРЕДСТВ, ПРЕДОСТАВЛЯЕМЫХ НА ЛИКВИДАЦИЮ МЕЖТЕРРИТОРИАЛЬНОГО ПЕРЕКРЕСТНОГО СУБСИДИРОВАНИЯ В ЭЛЕКТРОЭНЕРГЕТИКЕ, НАПРАВЛЯЕМЫХ ОРГАНИЗАЦИЯМ, ЯВЛЯЮЩИМСЯ ИХ ПОЛУЧАТЕЛЯМИ

1. Настоящий Порядок определяет в соответствии с Постановлением Правительства Российской Федерации от 23 июля 2007 г. N 465 "О предоставлении субсидий бюджетам субъектов Российской Федерации на ликвидацию межтерриториального перекрестного субсидирования в электроэнергетике" (Собрание законодательства Российской Федерации, 2007, N 31, ст. 4084) алгоритм расчета размера средств, которые в соответствии с указанным Постановлением предоставляются бюджетам субъектов Российской Федерации в виде субсидий на ликвидацию межтерриториального перекрестного субсидирования в электроэнергетике и направляются из бюджетов субъектов Российской Федерации организациям, являющимся получателями этих средств в соответствии с Правилами предоставления в 2007 году субсидий бюджетам субъектов Российской Федерации на ликвидацию межтерриториального перекрестного субсидирования в электроэнергетике, утвержденными указанным Постановлением (далее - получатели средств).

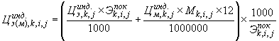
2. Размер средств, направляемых получателям средств, за месяц рассчитывается по следующим формулам:

(1)
(2)

(3)
(4)
(5)
(6)
(7)
(8)

(9)
(10)
(11)
(12)
(13)

где:

S_i - размер средств в отношении i-го получателя средств, рассчитанный на j-й расчетный период регулирования, млн. рублей;

S_мес i - размер средств в отношении i-го получателя средств, рассчитанный на соответствующий месяц j-го расчетного периода регулирования, млн. рублей;

- для гарантирующих поставщиков, энергосбытовых (энергоснабжающих) организаций: объем покупки электрической энергии на оптовом рынке i-м получателем средств, включенный в прогнозный баланс на j-й расчетный период регулирования, с учетом объемов потерь электрической энергии в территориальных распределительных сетях на территории k-го субъекта Российской Федерации (за исключением объема потерь, приходящегося на участников оптового рынка, не являющихся получателями средств в соответствии с Правилами предоставления в 2007 году субсидий бюджетам субъектов Российской Федерации на ликвидацию межтерриториального перекрестного субсидирования в электроэнергетике (далее - Правила), энергопринимающие устройства которых присоединены к указанным сетям), млн. кВт·ч;

для территориальных сетевых организаций: объем потерь электрической энергии, возникающих в единой национальной (общероссийской) электрической сети, включенный в прогнозный баланс на j-й расчетный период регулирования и оплачиваемый i-м получателем средств в составе платы за услуги по передаче электрической энергии через технические устройства единой национальной (общероссийской) электрической сети, млн. кВт·ч.

Этот показатель рассчитывается без учета объемов электрической энергии, приобретаемой на оптовом рынке для покупателей, с участием которых начиная с 2006 года осуществляется торговля электрической энергией (мощностью) по регулируемым ценам (тарифам) на предусмотренных правилами оптового рынка условиях долгосрочных договоров;

- для гарантирующих поставщиков, энергосбытовых (энергоснабжающих) организаций: объем покупки электрической энергии на оптовом рынке i-м получателем средств, включенный в прогнозный баланс на соответствующий месяц j-го расчетного периода регулирования, с учетом объемов потерь электрической энергии в территориальных распределительных сетях на территории k-го субъекта Российской Федерации (за исключением объема потерь, приходящегося на участников оптового рынка, не являющихся получателями средств в соответствии с Правилами, энергопринимающие устройства которых присоединены к указанным сетям), млн. кВт·ч;

для территориальных сетевых организаций: объем потерь электрической энергии, возникающих в единой национальной (общероссийской) электрической сети, включенный в прогнозный баланс на соответствующий месяц j-го расчетного периода регулирования и оплачиваемый i-м получателем средств в составе платы за услуги по передаче электрической энергии через технические устройства единой национальной (общероссийской) электрической сети, млн. кВт·ч.

Этот показатель рассчитывается без учета объемов электрической энергии, приобретаемой на оптовом рынке для покупателей, с участием которых начиная с 2006 года осуществляется торговля электрической энергией (мощностью) по регулируемым ценам (тарифам) на предусмотренных правилами оптового рынка условиях долгосрочных договоров;

- индикативная цена на электрическую энергию (с учетом мощности), определенная для i-го получателя средств в k-м субъекте Российской Федерации на j-й расчетный период регулирования, рублей/МВт·ч;

- индикативная цена на электрическую энергию, установленная на j-й расчетный период регулирования Федеральной службой по тарифам для k-го субъекта Российской Федерации, рублей/МВт·ч;

- индикативная цена на мощность, установленная на j-й расчетный период регулирования Федеральной службой по тарифам для k-го субъекта Российской Федерации, рублей/МВт·мес.;

- суммарный объем электрической энергии с учетом потерь электрической энергии в единой национальной (общероссийской) электрической сети, приобретаемой на оптовом рынке всеми покупателями, расположенными на территории k-го субъекта Российской Федерации, в соответствии с прогнозным балансом на j-й расчетный период регулирования, млн. кВт·ч. Этот показатель рассчитывается без учета объемов электрической энергии, приобретаемой на оптовом рынке для покупателей, с участием которых начиная с 2006 года осуществляется торговля электрической энергией (мощностью) по регулируемым ценам (тарифам) на предусмотренных правилами оптового рынка условиях долгосрочных договоров;

M_k,i,j - объем мощности, покупаемой на оптовом рынке i-м получателем средств в соответствии с прогнозным балансом на j-й расчетный период регулирования, с учетом объемов мощности, соответствующих объемам потерь электрической энергии в территориальных распределительных сетях на территории k-го субъекта Российской Федерации (за исключением объема потерь, приходящегося на участников оптового рынка, не являющихся получателями средств в соответствии с Правилами, энергопринимающие устройства которых присоединены к указанным сетям), МВт;

M_k,j - суммарный объем мощности в соответствии с прогнозным балансом на j-й расчетный период регулирования, покупаемой на оптовом рынке всеми покупателями, расположенными на территории k-го субъекта Российской Федерации, с учетом объемов мощности, соответствующих объемам потерь электрической энергии в единой национальной (общероссийской) электрической сети, МВт. Этот показатель рассчитывается без учета объемов мощности, приобретаемой на оптовом рынке для покупателей, с участием которых начиная с 2006 года осуществляется торговля электрической энергией (мощностью) по регулируемым ценам (тарифам) на предусмотренных правилами оптового рынка условиях долгосрочных договоров;

- удельная стоимость электрической энергии (с учетом мощности), учтенная при установлении предельных уровней тарифов на электрическую энергию (мощность) в k-м субъекте Российской Федерации на j-й расчетный период регулирования и рассчитываемая по формуле 3, приведенной в Методике расчета межбюджетных трансфертов, предоставляемых из федерального бюджета бюджетам субъектов Российской Федерации на ликвидацию межтерриториального перекрестного субсидирования в электроэнергетике, утвержденной Постановлением Правительства Российской Федерации от 23 июля 2007 г. N 465 (Собрание законодательства Российской Федерации, 2007, N 31, ст. 4084), копеек/кВт·ч;

- удельная стоимость электрической энергии (с учетом мощности), учтенная при установлении предельного уровня тарифа на электрическую энергию для k-го субъекта Российской Федерации на j-й расчетный период регулирования, рассчитанная в отношении i-го получателя средств, рублей/МВт·ч;

, - удельная стоимость электрической энергии и стоимость мощности, соответственно, учтенные при установлении предельных уровней тарифов на электрическую энергию (мощность) в k-м субъекте Российской Федерации на j-й расчетный период регулирования и рассчитываемые по формулам 12, 13, рублей/МВт·ч и рублей/МВт·мес. соответственно;

- стоимость электрической энергии и мощности, приобретаемых в j-м расчетном периоде регулирования для обеспечения поставки электрической энергии (мощности) в k-м субъекте Российской Федерации, которая рассчитывается без учета выделения субсидий на ликвидацию межтерриториального перекрестного субсидирования в электроэнергетике (далее - субсидии), млн. рублей;

- стоимость электрической энергии, приобретаемой в j-м расчетном периоде регулирования для обеспечения поставки электрической энергии (мощности) в k-м субъекте Российской Федерации, которая рассчитывается без учета выделения субсидий, млн. рублей;

- стоимость мощности, приобретаемой в j-м расчетном периоде регулирования для обеспечения поставки электрической энергии (мощности) в k-м субъекте Российской Федерации, которая рассчитывается без учета выделения субсидий, млн. рублей;

- стоимость электрической энергии и мощности, приобретаемых в j-м расчетном периоде регулирования для обеспечения поставки электрической энергии (мощности) в k-м субъекте Российской Федерации, которая рассчитывается с учетом выделения субсидий, млн. рублей;

- стоимость электрической энергии, приобретаемой в j-м расчетном периоде регулирования для обеспечения поставки электрической энергии (мощности) в k-м субъекте Российской Федерации, которая рассчитывается с учетом выделения субсидий, млн. рублей;

- стоимость мощности, приобретаемой в j-м расчетном периоде регулирования для обеспечения поставки электрической энергии (мощности) в k-м субъекте Российской Федерации, которая рассчитывается с учетом выделения субсидий, млн. рублей.

3. Для субъектов Российской Федерации, на территории которых функционируют технологически изолированные территориальные электроэнергетические системы, формулы, указанные в пункте 2 настоящего Порядка, применяются в отношении стоимости и объемов приобретаемой на розничном рынке электрической энергии (мощности) у поставщиков, одновременно являющихся участниками оптового рынка.