Приказ ФСТ РФ от 31.07.2007 N 138-Э/6

"О внесении изменений и дополнений в Методические указания по расчету регулируемых тарифов и цен на электрическую (тепловую) энергию на розничном (потребительском) рынке, утвержденные Приказом Федеральной службы по тарифам от 6 августа 2004 года N 20-Э/2"
Редакция от 31.07.2007 — Не действует Перейти в действующую
Показать изменения

Зарегистрировано в Минюсте РФ 20 августа 2007 г. N 10030


ФЕДЕРАЛЬНАЯ СЛУЖБА ПО ТАРИФАМ

ПРИКАЗ
от 31 июля 2007 г. N 138-э/6

О ВНЕСЕНИИ ИЗМЕНЕНИЙ И ДОПОЛНЕНИЙ В МЕТОДИЧЕСКИЕ УКАЗАНИЯ ПО РАСЧЕТУ РЕГУЛИРУЕМЫХ ТАРИФОВ И ЦЕН НА ЭЛЕКТРИЧЕСКУЮ (ТЕПЛОВУЮ) ЭНЕРГИЮ НА РОЗНИЧНОМ (ПОТРЕБИТЕЛЬСКОМ) РЫНКЕ, УТВЕРЖДЕННЫЕ ПРИКАЗОМ ФЕДЕРАЛЬНОЙ СЛУЖБЫ ПО ТАРИФАМ ОТ 6 АВГУСТА 2004 ГОДА N 20-Э/2

В соответствии с Постановлением Правительства Российской Федерации от 30 июня 2004 г. N 332 "Об утверждении Положения о Федеральной службе по тарифам" (Собрание законодательства Российской Федерации, 2004, N 29, ст. 3049; 2006, N 3, ст. 301, N 23, ст. 2522, N 48, ст. 5032, N 50, ст. 5354; 2007, N 16, ст. 1912, N 25, ст. 3039), Правилами недискриминационного доступа к услугам по передаче электрической энергии и оказания этих услуг, утвержденными Постановлением Правительства Российской Федерации от 27 декабря 2004 г. N 861 (Собрание законодательства Российской Федерации, 2004, N 52 (часть II), ст. 5525; 2006, N 37, ст. 3876; 2007, N 14, ст. 1687), а также протоколом Правления ФСТ России от 31 июля 2007 года приказываю:

1. Внести в Методические указания по расчету регулируемых тарифов и цен на электрическую (тепловую) энергию на розничном (потребительском) рынке, утвержденные Приказом Федеральной службы по тарифам от 6 августа 2004 года N 20-э/2 (зарегистрировано Минюстом России 20 октября 2004 года, регистрационный N 6076), с изменениями, внесенными Приказами ФСТ России от 23 ноября 2004 года N 193-э/11 (зарегистрировано Минюстом России 16 декабря 2004 года, регистрационный N 6191), от 14 декабря 2004 года N 289-э/15 (зарегистрировано Минюстом России 21 декабря 2004 года, регистрационный N 6213), от 28 ноября 2006 года N 318-э/15 (зарегистрировано Минюстом России 8 декабря 2006 года, регистрационный N 8574), от 30 января 2007 года N 14-э/14 (зарегистрировано Минюстом России 6 марта 2007 года, регистрационный N 9041) изменения и дополнения согласно Приложению 1 к настоящему Приказу.

2. Дополнить приложение 1 к Методическим указаниям по расчету регулируемых тарифов и цен на электрическую (тепловую) энергию на розничном (потребительском) рынке таблицей N П1.30 согласно Приложению 2 к настоящему Приказу.

3. Настоящий Приказ подлежит применению для расчета тарифов на 2008 год и последующие годы.

Руководитель
Федеральной службы по тарифам
С.НОВИКОВ

Приложение 1
к Приказу
Федеральной службы по тарифам
от 31 июля 2007 г. N 138-э/6

ИЗМЕНЕНИЯ И ДОПОЛНЕНИЯ В МЕТОДИЧЕСКИЕ УКАЗАНИЯ ПО РАСЧЕТУ РЕГУЛИРУЕМЫХ ТАРИФОВ И ЦЕН НА ЭЛЕКТРИЧЕСКУЮ (ТЕПЛОВУЮ) ЭНЕРГИЮ НА РОЗНИЧНОМ (ПОТРЕБИТЕЛЬСКОМ) РЫНКЕ, УТВЕРЖДЕННЫЕ ПРИКАЗОМ ФЕДЕРАЛЬНОЙ СЛУЖБЫ ПО ТАРИФАМ ОТ 6 АВГУСТА 2004 ГОДА N 20-Э/2

1. Пункт 27 дополнить абзацем следующего содержания:

"Установленные настоящим пунктом тарифные группы потребителей могут быть дифференцированы на потребителей, расположенных в пределах технологически изолированных территориальных электроэнергетических систем и расположенных в пределах Единой энергетической системы России.".

2. Пункт 54 изложить в следующей редакции:

"При установлении тарифов на услуги по передаче электрической энергии ставки тарифов определяются с учетом необходимости обеспечения равенства тарифов на услуги по передаче электрической энергии для всех потребителей услуг, расположенных на территории соответствующего субъекта Российской Федерации и принадлежащих к одной группе (категории) из числа тех, по которым пунктом 27 настоящих Методических указаний предусмотрена дифференциация тарифов на электрическую энергию (мощность).

Расчет единых на территории субъекта Российской Федерации тарифов на услуги по передаче электрической энергии, дифференцированных по уровням напряжения, для потребителей услуг по передаче электрической энергии (кроме сетевых организаций) (далее в данном пункте, а также в пунктах 54.1 и 54.2 - потребители), независимо от того, к сетям какой сетевой организации они присоединены (далее - единые (котловые) тарифы), производится на основе НВВ, рассчитанной в соответствии с пунктом 47 Методических указаний для каждой сетевой организации, расположенной на территории субъекта Российской Федерации. Указанная НВВ дифференцируется по уровням напряжения в соответствии с пунктом 48 Методических указаний.

Для расчета единых (котловых) тарифов на территории субъекта Российской Федерации на каждом уровне напряжения суммируются НВВ всех сетевых организаций по соответствующему уровню напряжения.

Для территориальных сетевых организаций, находящихся в пределах технологически изолированных территориальных электроэнергетических систем, единые (котловые) тарифы устанавливаются отдельно.

Индивидуальные тарифы на услуги по передаче электрической энергии, которые территориальные сетевые организации оказывают друг другу, то есть для взаиморасчетов каждой пары смежных сетевых организаций (далее - индивидуальные тарифы), определяются исходя из разности между тарифной выручкой сетевой организации - получателя услуги по передаче электрической энергии, получаемой ею от потребителей электрической энергии на всех уровнях напряжения, и необходимой валовой выручкой (с учетом расходов на оплату нормативных технологических потерь в сетях и средств, получаемых (оплачиваемых) от других сетевых организаций).

Расходы территориальной сетевой организации на оплату предоставляемых ей услуг по передаче электрической энергии прочими сетевыми организациями включаются в экономически обоснованные расходы, учитываемые при установлении тарифа на услуги по передаче электрической энергии электрической энергии для иных потребителей ее услуг, а доходы от предоставления услуги сетевой организации, предоставляющей услугу по передаче электрической энергии, и доходы от услуг по передаче электрической энергии, предоставляемых иным потребителям, должны суммарно обеспечивать необходимую валовую выручку данной организации.

Установление единых (котловых) тарифов, дифференцированных по уровням напряжения, и индивидуальных тарифов осуществляется на основании показателей, представленных в Таблице N П1.30.".

3. Дополнить пунктом 54.1 следующего содержания:

"Расчет единых (котловых) тарифов предусматривает определение двух ставок:

- единой ставки на содержание электрических сетей соответствующего уровня напряжения в расчете за МВт заявленной мощности потребителя ;

- единой ставки на оплату технологического расхода (потерь) электроэнергии в процессе ее передачи потребителям по сетям соответствующего уровня напряжения, определяемого исходя из сводного прогнозного баланса производства и поставок электрической энергии (мощности) в рамках Единой энергетической системы России по субъектам Российской Федерации, рассчитанного с учетом нормативных технологических потерь, утверждаемых Министерством промышленности и энергетики Российской Федерации, .

Ставки на содержание электрических сетей на соответствующем уровне напряжения определяются следующим образом:

Высокое напряжение 110 кВ и выше

(15.4)
  руб./МВт в месяц

Среднее напряжение первого уровня 35 кВ

(15.5)
  руб./МВт в месяц

Среднее напряжение второго уровня 20-1 кВ

(15.6)
  руб./МВт в месяц

Низкое напряжение 0,4 кВ и ниже

(15.7)
  руб./МВт в месяц

где:

- заявленная мощность потребителей на соответствующем уровне напряжения, МВт;

- плановая трансформация мощности из сети более высокого уровня напряжения (нижний индекс) в смежную сеть более низкого уровня напряжения (верхний индекс), МВт;

НВВ_ВН, НВВ_СН1, НВВ_СН2 и НВВ_НН - НВВ на соответствующем уровне напряжения, руб.;

М - количество месяцев в периоде регулирования;

знак означает суммирование по сетевым организациям субъекта Российской Федерации.

Заявленная мощность населения и приравненных к ним категорий потребителей определяется исходя из прогнозных объемов потребления.

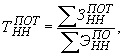
Ставки на оплату технологического расхода (потерь) электроэнергии на соответствующем уровне напряжения определяются следующим образом:

Высокое напряжение 110 кВ и выше

руб./МВт·ч (15.8)
тыс. руб. (15.9)

Среднее напряжение первого уровня 35 кВ

руб./МВт·ч (15.10)
тыс. руб. (15.11)
тыс. руб. (15.12)

Среднее напряжение второго уровня 20-1 кВ

руб./МВт·ч (15.13)
тыс. руб. (15.14)
тыс. руб. (15.15)
тыс. руб. (15.16)

Низкое напряжение 0,4 кВ и ниже

руб./МВт·ч (15.17)
тыс. руб. (15.18)
тыс. руб. (15.19)
тыс. руб. (15.20)

где:

- плановый отпуск из сети электроэнергии потребителям на ВН, СН1, СН2 и НН, млн. кВт·ч;

- плановая трансформация электроэнергии из сети более высокого уровня напряжения (нижний индекс) в смежную сеть более низкого уровня напряжения (верхний индекс), МВт;

- расходы на оплату потерь в сетях соответствующего уровня напряжения, ВН, СН1, СН2 и НН, тыс. руб.;

- величина технологического расхода (потерь) электроэнергии в сети на ВН, СН1, СН2 и НН, соответственно, млн. кВт·ч;

- часть расходов на оплату потерь электроэнергии в сети более высокого напряжения (нижний индекс), учитываемая при расчете ставки на компенсацию потерь электроэнергии в сети более низкого напряжения (верхний индекс), тыс. руб.;

Т(ЭС) - тариф покупки потерь электроэнергии, руб./МВт·ч. В случае если какая-либо сетевая организация не представила необходимых данных для целей формирования тарифов на услуги по передаче электрической энергии, то единый (котловой) тариф рассчитывается исходя из данных, использованных для установления тарифов на услуги по передаче электрической энергии на текущий период регулирования.".

4. Дополнить пунктом 54.2 следующего содержания:

"Расчет индивидуальных тарифов предусматривает определение двух ставок:

- ставки на содержание электрических сетей в расчете на МВА (МВт) суммарной присоединенной (заявленной) мощности без разбивки по напряжениям ТС(СОД);

- ставки на оплату технологического расхода (потерь) электрической энергии на ее передачу в расчете на МВт·ч без разбивки по напряжениям ТС(ПОТ).

Базой для расчета ставки индивидуальных тарифов на содержание электрических сетей является присоединенная (заявленная) мощность сетевой организации.

Базой для расчета ставки индивидуальных тарифов на оплату технологического расхода (потерь) электрической энергии является плановый сальдированный переток электроэнергии между сетевыми организациями. Оплата услуг осуществляется за фактический объем сальдированного перетока.

Избыток/недостаток средств, относимый на содержание электрических сетей Р(СОД) и на потери электроэнергии Р(ПОТ), который должна получить сетевая организация, рассчитывается следующим образом:

руб. (15.21)
руб. (15.22)

В случае, если сетевая организация по заключенным договорам получает плату от нескольких сетевых организаций, ее избыток/недостаток должен учитывать совокупные платежи от всех таких организаций.

При этом НВВ любой сетевой организации региона должна суммарно обеспечиваться за счет платежей от потребителей, а также от сетевых организаций.

Ставка на содержание электрических сетей ТС(СОД), установленная для сетевой организации - получателя платы, по которой сетевая организация - плательщик рассчитывается с сетевой организацией - получателем платы, определяется следующим образом:

руб./МВА в месяц (руб./МВт в месяц) (15.23)

где:

N - суммарная величина присоединенной (заявленной) мощности на всех уровнях напряжения для точек присоединения сетевой МВА (МВт).

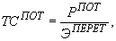
Ставка на оплату технологического расхода (потерь) электрической энергии ТС(ПОТ), установленная для сетевой организации - получателя платы, по которой сетевая организация - плательщик рассчитывается с организацией - получателем платы, определяется следующим образом:

руб./МВт·ч (15.24)

где:

Э(ПЕРЕТ) - суммарный сальдированный переток электроэнергии из сети сетевой организации - получателя платежа в сеть сетевой организации-плательщика во всех точках присоединения на всех уровнях напряжения, МВт·ч.

При поступлении платежей потребителей по заключенным договорам только в одну сетевую организацию или в сбытовую организацию (с учетом оплаты услуг по передаче электрической энергии, индивидуальные тарифы определяются по формулам (15.23) и (15.24), с учетом того, что Р(СОД) и Р(ПОТ) рассчитываются следующим образом:

руб. (15.25)
руб. (15.26)".

5. Пункт 55 изложить в следующей редакции:

"Потребитель электрической энергии, энергопринимающие устройства которого присоединены к электрическим сетям сетевой организации через энергетические установки производителя электрической энергии, оплачивает услуги по передаче электрической энергии с учетом следующих особенностей:

в случае, если все энергопринимающие устройства потребителя присоединены к электрическим сетям сетевой организации через энергетические установки производителя электрической энергии, и потребитель получает от данного производителя весь объем потребляемой электрической энергии, потребитель оплачивает услуги по передаче электрической энергии по установленной ставке тарифа на содержание электрических сетей для уровня напряжения, на котором производитель выдает электрическую энергию (мощность) в электрическую сеть сетевой организации;

в случае, если часть энергопринимающих устройств потребителя присоединена к электрическим сетям сетевой организации через энергетические установки производителя электрической энергии, а часть - непосредственно, величина заявленной мощности потребителя указывается отдельно для непосредственных присоединений и присоединений к электрическим сетям сетевой организации через энергетические установки производителя электрической энергии. При этом потребитель оплачивает услуги по передаче электрической энергии:

при присоединении к электрическим сетям сетевой организации через энергетические установки производителя электрической энергии - за заявленную мощность энергоустановок, присоединенных к электрическим сетям сетевой организации через энергетические установки производителя электрической энергии, аналогично положениям абзаца второго настоящего пункта;

при непосредственном присоединении - по установленному тарифу на услуги по передаче электрической энергии для уровня напряжения, на котором энергопринимающие устройства потребителя непосредственно присоединены к электрическим сетям сетевой организации (с учетом пункта 45 Методических указаний). При этом оплата производится по ставке тарифа на содержание электрических сетей - за заявленную мощность энергоустановок, непосредственно присоединенных к электрическим сетям, а по ставке тарифа на оплату технологического расхода (потерь) электрической энергии - за объем электрической энергии, получаемой потребителем из электрической сети.".

6. Дополнить пунктом 55.1 следующего содержания:

"В случае, если расходы на эксплуатацию бесхозяйных объектов электросетевого хозяйства (далее - бесхозяйные сети) не учтены при установлении тарифов, потребитель электрической энергии, присоединенный к бесхозяйным сетям, оплачивает потери электрической энергии в этих сетях пропорционально его фактическому электропотреблению.".

Приложение 2
к Приказу
Федеральной службы по тарифам
от 31 июля 2007 г. N 138-э/6

Таблица N П1.30

ОТПУСК (ПЕРЕДАЧА) ЭЛЕКТРОЭНЕРГИИ ТЕРРИТОРИАЛЬНЫМИ СЕТЕВЫМИ ОРГАНИЗАЦИЯМИ

N Наименование показателя Отпуск ЭЭ, тыс. кВт·ч Заявленная мощность, МВт Присоединенная мощность, МВА Товарная продукция, тыс. руб.
1 2 3 4 5 6
1 Поступление электроэнергии в сеть - всего        
  в т.ч. из        
1.1 не сетевых организаций        
1.2 сетевых организаций        
  в т.ч. из        
1.2.1 сетевой организации 1        
1.2.2 сетевой организации 2        
  ...        
2 Потери электроэнергии - всего        
3 Отпуск (передача) электроэнергии сетевыми предприятиями - всего        
  в т.ч.        
3.1 не сетевым организациям        
3.2 сетевым организациям        
  в т.ч.        
3.2.1 сетевой организации 1        
3.2.1.1 также в сальдированном выражении (п. 3.2.1 - п. 1.2.1)        
3.2.2 сетевой организации 2        
3.2.2.1 также в сальдированном выражении (п. 3.2.2 - п. 1.2.2)        
  ...        
4 Поступление электроэнергии в ЕНЭС        
  в т.ч. из        
4.1 не сетевых организаций        
4.2 сетевых организаций        
  в т.ч. из        
4.2.1 сетевой организации 1        
4.2.2 сетевой организации 2        
  ...        
5 Потери электроэнергии        
6 Отпуск (передача) электроэнергии        
  в т.ч.        
6.1 не сетевым организациям        
6.2 сетевым организациям        
  в т.ч.        
6.2.1 сетевой организации 1        
6.2.1.1 6.2.2 также в сальдированном выражении (п. 6.2.1 - п. 4.2.1) сетевой организации 2        
6.2.2.1 также в сальдированном выражении (п. 6.2.2 - п. 4.2.2)        
  ...        
7 Трансформировано из сети ЕНЭС в:       X
8 - ВН       X
9 - СН1       X
10 - СН2       X
11 - НН       X
12 Поступление электроэнергии в сеть ВН 110 кВ        
  в т.ч. из        
12.1 не сетевых организаций        
12.2 сетевых организаций        
  в т.ч. из        
12.2.1 сетевой организации 1        
12.2.2 сетевой организации 2        
  ...        
13 Потери электроэнергии        
14 Отпуск (передача) электроэнергии        
  в т.ч.        
14.1 не сетевым организациям        
14.2 сетевым организациям        
  в т.ч        
14.2.1 сетевой организации 1        
14.2.1.1 также в сальдированном выражении (п. 14.2.1 - п. 12.2.1)        
14.2.2 сетевой организации 2        
14.2.2.1 также в сальдированном выражении (п. 14.2.2 - п. 12.2.2)        
  ...        
15 Трансформировано из 110 кВ в:       X
16 - СН1       X
17 - СН2       X
18 - НН       X
19 Поступление электроэнергии в сеть СН1        
  в т.ч. из        
19.1 не сетевых организаций        
19.2 сетевых организаций        
  в т.ч. из        
19.2.1 сетевой организации 1        
19.2.2 сетевой организации 2        
  ...        
20 Потери электроэнергии        
21 Отпуск (передача) электроэнергии        
  в т.ч.        
21.1 не сетевым организациям        
21.2 сетевым организациям        
  в т.ч.        
21.2.1 сетевой организации 1        
21.2.1.1 также в сальдированном выражении (п. 21.2.1 - п. 19.2.1)        
21.2.2 21.2.2.1 сетевой организации 2 также в сальдированном выражении (п. 21.2.2 - п. 19.2.2)        
  ...        
22 Трансформировано из 35 кВ в:       X
23 - СН2       X
24 - НН       X
25 Поступление электроэнергии в сеть СН2        
  в т.ч. из        
25.1 не сетевых организаций        
25.2 сетевых организаций        
  в т.ч. из        
25.2.1 сетевой организации 1        
25.2.2 сетевой организации 2        
  ...        
26 Потери электроэнергии        
27 Отпуск (передача) электроэнергии        
  в т.ч.        
27.1 не сетевым организациям        
27.2 сетевым организациям        
  в т.ч.        
27.2.1 сетевой организации 1        
27.2.1.1 также в сальдированном выражении (п. 27.2.1 - п. 25.2.1)        
27.2.2 сетевой организации 2        
27.2.2.1 также в сальдированном выражении (п. 27.2.2 - п. 25.2.2)        
  ...        
28 Трансформировано из 10-6 кВ в:       X
29 - НН       X
30 Поступление электроэнергии в сеть НН        
  в т.ч. из        
30.1 не сетевых организаций        
30.2 сетевых организаций        
  в т.ч. из        
30.2.1 сетевой организации 1        
30.2.2 сетевой организации 2        
  ...        
31 Потери электроэнергии        
32 Отпуск (передача) электроэнергии        
  в т.ч.        
3.1 не сетевым организациям        
3.2 сетевым организациям        
  в т.ч.        
32.2.1 сетевой организации 1        
32.2.1.1 также в сальдированном выражении (п. 32.2.1 - п. 30.2.1)        
32.2.2 сетевой организации 2        
32.2.2.1 также в сальдированном выражении (п. 32.2.2 - п. 30.2.2)        
  ...