Приказ Роскосмоса от 25.05.2007 N 51

"Об утверждении Административного регламента Федерального космического агентства по исполнению государственной функции по осуществлению лицензирования космической деятельности"
Редакция от 25.02.2010 — Документ утратил силу, см. «Приказ Роскосмоса от 20.03.2013 N 63»

Зарегистрировано в Минюсте РФ 17 сентября 2007 г. N 10140


ФЕДЕРАЛЬНОЕ КОСМИЧЕСКОЕ АГЕНТСТВО

ПРИКАЗ
от 25 мая 2007 г. N 51

ОБ УТВЕРЖДЕНИИ АДМИНИСТРАТИВНОГО РЕГЛАМЕНТА ФЕДЕРАЛЬНОГО КОСМИЧЕСКОГО АГЕНТСТВА ПО ИСПОЛНЕНИЮ ГОСУДАРСТВЕННОЙ ФУНКЦИИ ПО ОСУЩЕСТВЛЕНИЮ ЛИЦЕНЗИРОВАНИЯ КОСМИЧЕСКОЙ ДЕЯТЕЛЬНОСТИ

(в ред. Приказа Роскосмоса от 25.02.2010 N 26)

В соответствии с пунктом 7 Порядка разработки и утверждения административных регламентов исполнения государственной функции и административных регламентов предоставления государственных услуг, утвержденного Постановлением Правительства Российской Федерации от 11 ноября 2005 г. N 679 (Собрание законодательства Российской Федерации, 2005, N 47, ст. 4933), приказываю:

1. Утвердить прилагаемый Административный регламент Федерального космического агентства по исполнению государственной функции по осуществлению лицензирования космической деятельности.

2. Направить настоящий Приказ на государственную регистрацию в Министерство юстиции Российской Федерации.

3. Контроль за исполнением настоящего Приказа возложить на заместителя руководителя Федерального космического агентства В.А. Давыдова.

Руководитель
А.Н.ПЕРМИНОВ

УТВЕРЖДЕН
Приказом Федерального
космического агентства
от 25 мая 2007 г. N 51

АДМИНИСТРАТИВНЫЙ РЕГЛАМЕНТ
ФЕДЕРАЛЬНОГО КОСМИЧЕСКОГО АГЕНТСТВА ПО ИСПОЛНЕНИЮ ГОСУДАРСТВЕННОЙ ФУНКЦИИ ПО ОСУЩЕСТВЛЕНИЮ ЛИЦЕНЗИРОВАНИЯ КОСМИЧЕСКОЙ ДЕЯТЕЛЬНОСТИ

(в ред. Приказа Роскосмоса от 25.02.2010 N 26)

1. Общие положения

1.1. Государственная функция по осуществлению лицензирования космической деятельности.

1.1.1. Лицензирование космической деятельности определено законодательством Российской Федерации.

При осуществлении космической деятельности могут выполняться (оказываться) следующие работы (услуги):

а) создание и производство космической техники, космических материалов и технологий, а также создание и реконструкция космической инфраструктуры;

б) монтаж оборудования, ввод и прием в эксплуатацию объектов космической инфраструктуры, их доработка, ремонт и реконструкция;

в) подготовка средств выведения и космических объектов к запуску;

г) подготовка космонавтов к полету на космических кораблях и научно-методическое обеспечение пилотируемых космических полетов;

д) запуск и управление полетом космических объектов;

е) использование (эксплуатация) космической техники, космических материалов и космических технологий, в том числе:

проведение исследований и экспериментов с применением космической техники;

прием и (или) обработка информации, получаемой с космических аппаратов дистанционного зондирования Земли;

ж) международное сотрудничество Российской Федерации в области исследования и использования космического пространства в мирных целях.

1.1.2. Административный регламент Федерального космического агентства по исполнению государственной функции по осуществлению лицензирования космической деятельности (далее - Регламент) -нормативный правовой акт, определяющий сроки, последовательность действий (административных процедур) и порядок взаимодействия между структурными подразделениями и должностными лицами при реализации государственной функции по осуществлению лицензирования космической деятельности.

1.1.3. Реализация государственной функции по осуществлению лицензирования космической деятельности включает в себя следующие административные процедуры:

регистрация заявления о предоставлении лицензии;

рассмотрение заявления руководителем Федерального космического агентства либо лицом, им уполномоченным;

проверка полноты и достоверности сведений о соискателе лицензии и возможности выполнения соискателем лицензии лицензионных требований и условий;

принятие решения о предоставлении лицензии либо об отказе в предоставлении лицензии;

переоформление документа, подтверждающего наличие лицензии;

продление срока действия лицензии;

приостановление и возобновление действия лицензии, аннулирование лицензии, прекращение действия лицензии;

ведение реестра лицензий, предоставление информации из реестра лицензий, формирование открытого, общедоступного государственного информационного ресурса по лицензированию космической деятельности;

контроль за соблюдением лицензиатом лицензионных требований и условий.

1.1.4. Получателями государственной услуги по лицензированию космической деятельности являются:

юридические лица Российской Федерации - в части предоставления лицензии, переоформления документа, подтверждающего наличие лицензии, выдачи дубликата документа, подтверждающего наличие лицензии, выдачи копий документа, подтверждающего наличие лицензии, возобновления действия лицензии, прекращения действия лицензии;

органы государственной власти, местного самоуправления, юридические и физические лица, индивидуальные предприниматели - в части представления информации из реестра лицензий и иной информации о лицензировании.

1.1.5. Результатом предоставления государственной услуги является предоставление юридическим лицам лицензий, продление срока их действия, переоформление, прекращение, возобновление действия лицензии, предоставление лицензиатам дубликатов и копий документов, подтверждающих наличие лицензии, представление органам государственной власти и местного самоуправления, юридическим и физическим лицам, индивидуальным предпринимателям информации из реестра лицензий и иной информации о лицензировании.

1.2. Нормативные правовые акты, регулирующие исполнение государственной функции.

Исполнение государственной функции по лицензированию космической деятельности регламентируется следующими законодательными и иными нормативными правовыми актами:

Федеральным законом от 8 августа 2001 г. N 128-ФЗ "О лицензировании отдельных видов деятельности" (Собрание законодательства Российской Федерации, 2001, N 33, ст. 3430);

Законом Российской Федерации от 20 августа 1993 г. N 5663-1 "О космической деятельности" (Собрание законодательства Российской Федерации, 1996, N 50, ст. 5609);

Законом Российской Федерации от 21 июля 1993 г. N 5485-1 "О государственной тайне" (Собрание законодательства Российской Федерации, 1997, N 41, стр. 8220 - 8235);

Федеральным законом от 26 декабря 2008 г. N 294-ФЗ "О защите прав юридических лиц и индивидуальных предпринимателей при осуществлении государственного контроля (надзора) и муниципального контроля" (Собрание законодательства Российской Федерации, 2008, N 52, ст. 6249; 2009, N 18, ст. 2140; N 29, ст. 3601; N 48, ст. 5711; N 52, ст. 6441); (в ред. Приказа Роскосмоса от 25.02.2010 N 26)

Налоговым кодексом Российской Федерации (Собрание законодательства Российской Федерации, 2000, N 32, ст. 3340; 2004, N 45, ст. 4377; 2005, N 1 (ч. I), ст. 29, 30; N 30 (ч. I), ст. 3117; N 50, ст. 5246);

Кодексом Российской Федерации об административных правонарушениях (Собрание законодательства Российской Федерации, 2002, N 1, ст. 1; N 30, ст. 3029; N 44, ст. 4295; 2003, N 27, ст. 2700, 2708, 2717; N 46, ст. 4434; N 50, ст. 4847, 4855; 2004, N 19, ст. 1838; N 31, ст. 3229; N 34, ст. 3529, 3533; N 44, ст. 4266; 2005, N 1, ст. 9, 13, 40, 45; N 10, ст. 763; N 13, ст. 1077; N 19, ст. 1752; N 25, ст. 2431; N 27, ст. 2719, 2721; N 30, ст. 3104, 3131; N 50, ст. 5247; N 52, ст. 5574; 2006, N 1, ст. 4, 10; N 2, ст. 172; N 6, ст. 636; N 10, ст. 1067; N 12, ст. 1234; N 17, ст. 1776; N 18, ст. 1907; N 19, ст. 2066; N 23, ст. 2380; N 31, ст. 3420, 3428, 3452; N 45, ст. 4641);

Уголовным кодексом Российской Федерации (Собрание законодательства Российской Федерации, 1996, N 25, ст. 2954; 1998, N 22, ст. 2332; N 26, ст. 3012; 1999, N 7, ст. 873; 2001, N 13, ст. 1140; N 26, ст. 2587; 2002, N 11, ст. 1021; N 19, ст. 1793; N 30, ст. 3020; 2003, N 50, ст. 4848; 2004, N 30, ст. 3091, 3092; 2006, N 31 (ч. I), ст. 3452);

Постановлением Правительства Российской Федерации от 26 июня 2004 г. N 314 "Об утверждении Положения о Федеральном космическом агентстве" (Собрание законодательства Российской Федерации, 2004, N 27, ст. 2777);

Постановлением Правительства Российской Федерации от 26 января 2006 г. N 45 "Об организации лицензирования отдельных видов деятельности" (Собрание законодательства Российской Федерации, 2001, N 6, ст. 700);

Постановлением Правительства Российской Федерации от 11 апреля 2006 г. N 208 "Об утверждении формы документа, подтверждающего наличие лицензии" (Собрание законодательства Российской Федерации, 2006, N 16, ст. 1746);

Постановлением Правительства Российской Федерации от 30 июня 2006 г. N 403 "Об утверждении Положения о лицензировании космической деятельности" (Собрание законодательства Российской Федерации, 2006, N 28, ст. 3073);

Постановлением Правительства Российской Федерации от 11 ноября 2005 г. N 679 "О порядке разработки и утверждения административных регламентов исполнения государственных функций и административных регламентов предоставления государственных услуг" (Собрание законодательства Российской Федерации, 2005, N 47, ст. 4933);

Постановлением Правительства Российской Федерации от 19 июня 2002 г. N 438 "О Едином государственном реестре юридических лиц" (Собрание законодательства Российской Федерации, 2002, N 26, ст. 2585);

Постановлением Правительства Российской Федерации от 26 февраля 2004 г. N 110 "О совершенствовании процедур государственной регистрации и постановки на учет юридических лиц и индивидуальных предпринимателей" (Собрание законодательства Российской Федерации, 2004, N 10, ст. 864);

Постановлением Правительства Российской Федерации от 22 июля 1998 г. N 819-31 "О порядке создания, производства и эксплуатации (применения) космических комплексов";

ГОСТ Р ИСО 9001-2001. Системы менеджмента качества. Требования;

ГОСТ В15.2001-2003. Тактико-техническое (техническое) задание на выполнение опытно-конструкторской работы;

ГОСТ 2.501-88. ЕСКД. Правила учета и хранения.

1.3. Наименование федерального органа исполнительной власти, исполняющего государственную функцию.

1.3.1. Государственная функция по лицензированию космической деятельности исполняется Федеральным космическим агентством.

Почтовый адрес для направления заявлений, документов и обращений: ул. Щепкина, д. 42, Москва, ГСП-6,107996.

Место нахождения экспедиции Роскосмоса: Москва, ул. Щепкина, д. 42, 2 подъезд, телефон: (495) 631-91-61.

Часы работы экспедиции:

Понедельник 9.00 - 17.30 (перерыв 12.00 - 12.45)
Вторник 9.00 - 17.30 (перерыв 12.00 - 12.45)
Среда 9.00 - 17.30 (перерыв 12.00 - 12.45)
Четверг 9.00 - 17.30 (перерыв 12.00 - 12.45)
Пятница 9.00 - 16.30 (перерыв 12.00 - 12.45)
Суббота - выходной день
Воскресенье - выходной день

1.3.2. Прием посетителей по вопросам предоставления государственной услуги по лицензированию космической деятельности осуществляет структурное подразделение Роскосмоса - Сводное управление организации космической деятельности (далее - Сводное управление).

Телефоны: (495) 631-93-22, 631-95-48, 631-87-10, факс: (495) 631-96-13.

График приема посетителей в Сводном управлении:

Понедельник 10.00 - 17.00 (перерыв 12.00 - 12.45)
Вторник 10.00 - 17.00 (перерыв 12.00 - 12.45)
Среда 10.00 - 17.00 (перерыв 12.00 - 12.45)
Четверг 10.00 - 17.00 (перерыв 12.00 - 12.45)
Пятница 10.00 - 15.00 (перерыв 12.00 - 12.45)
Суббота - выходной день
Воскресенье - выходной день

1.3.3. Координация работы структурных подразделений Роскосмоса по исполнению государственной функции по лицензированию и контроль лицензионной деятельности Сводного управления возложены на заместителя руководителя Федерального космического агентства.

Телефон: (495) 631-91-04, факс: (495) 975-44-67.

2. Требования к порядку исполнения государственной функции

2.1. Порядок информирования о предоставлении государственной услуги.

2.1.1. Информацию о предоставлении государственной услуги по лицензированию космической деятельности соискатель лицензии может получить непосредственно в Сводном управлении в рабочее время, указанное в пункте 1.3.2 настоящего Регламента, либо на официальном сайте Роскосмоса: www.roscosmos.ru (раздел "Лицензирование").

2.1.2. Информация, предоставляемая соискателю лицензии, должна соответствовать требованиям законодательных и нормативных правовых актов по лицензированию, содержать перечень документов, представляемых для получения лицензии, требования к их оформлению, образцы типовых бланков, сведения о сроках предоставления государственной услуги, размерах государственной пошлины за предоставление государственной услуги по лицензированию.

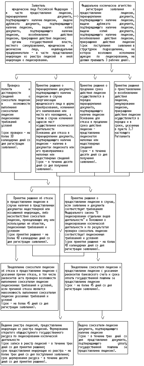
2.1.3. Последовательность действий по исполнению государственной функции по лицензированию космической деятельности приведена в приложении N 8. Порядок, сроки и лица, ответственные за осуществление этих действий, указаны в 3 разделе настоящего Регламента.

2.2. Порядок получения консультаций по процедуре предоставления государственной услуги.

2.2.1. Консультации по процедуре предоставления государственной услуги по лицензированию космической деятельности могут предоставляться: по письменным обращениям, телефону, электронной почте.

2.2.2. При консультировании по письменным обращениям ответ на обращение направляется почтой в адрес заявителя в срок, не превышающий 30 дней с момента поступления письменного обращения.

Почтовый адрес для направления обращений: ул. Щепкина, д. 42, Москва, ГСП-6, 107996.

При консультировании по письменным обращениям руководитель Сводного управления либо лицо, им уполномоченное, обязаны сообщить информацию о:

о нормативных правовых актах по вопросам лицензирования;

работах и услугах по космической деятельности, на выполнение которых требуется лицензия;

составе документов, необходимых для получения лицензии и требования к их оформлению;

реквизитах банка - получателя государственной пошлины за рассмотрение заявления о предоставлении лицензии;

справочных материалах по вопросам лицензирования, расположенным на официальном сайте Роскосмоса, а также иную информацию о лицензировании космической деятельности.

2.2.3. При осуществлении консультирования по телефону руководитель Сводного управления либо лицо, им уполномоченное, обязаны в соответствии с поступившим запросом сообщить:

входящий номер, под которым зарегистрировано заявление о предоставлении лицензии в системе делопроизводства Сводного управления;

информацию о ходе рассмотрения конкретного заявления;

номер телефона ответственного исполнителя.

Консультацию можно получить по следующим телефонам:

(495) 631-95-48, 631-87-10.

Иные вопросы рассматриваются в установленном порядке на основании соответствующего письменного обращения.

2.2.4. При консультировании по электронной почте ответ на обращение направляется на электронный адрес заявителя в срок, не превышающий двух рабочих дней с момента поступления обращения, при ответах на вопросы, перечень которых установлен пунктом 2.2.3 настоящего Регламента. Адрес электронной почты:

licence@roscosmos.ru.

В иных случаях ответ на обращение направляется на электронный адрес заявителя в срок, не превышающий десяти рабочих дней с момента поступления обращения.

2.3. Требования к оборудованию помещения для оказания государственной услуги.

2.3.1. Для приема посетителей, изъявивших желание получить консультацию по лицензированию космической деятельности, в Роскосмосе оборудуется отдельное помещение со свободным доступом в рабочее время, в котором имеется информация о должностных лицах и работниках Сводного управления, на которых функциональными обязанностями возложено исполнение государственной функции по лицензированию.

В указанном помещении размещаются информационные средства и средства связи, позволяющие оперативно и безвозмездно получить необходимую информацию по вопросам лицензирования и ознакомиться с образцами представляемых для получения лицензии документов.

2.3.2. Для ожидания приема соискателям лицензии отводятся места, оснащенные стульями, столами для возможности оформления документов.

2.4. Перечень сведений, содержащихся в заявлении соискателя лицензии, и перечень документов, прилагаемых к заявлению соискателя лицензии.

2.4.1. Государственная услуга по лицензированию космической деятельности предоставляется на основании письменного заявления соискателя лицензии в Роскосмос.

В заявлении о предоставлении лицензии указываются:

полное и (в случае, если имеется) сокращенное наименование, в том числе фирменное наименование и организационно-правовая форма юридического лица, место его нахождения, адреса мест осуществления космической деятельности, государственный регистрационный номер записи о создании юридического лица и данные документа, подтверждающего факт внесения сведений о юридическом лице в Единый государственный реестр юридических лиц;

идентификационный номер налогоплательщика и данные документа о постановке соискателя лицензии на учет в налоговом органе;

лицензируемый вид деятельности с указанием работ и услуг, определенных пунктом 3 Положения о лицензировании космической деятельности и изложенных в пункте 1.1.1 настоящего Регламента.

2.4.2. К заявлению о предоставлении лицензии прилагаются:

а) копии учредительных документов (с представлением оригиналов в случае, если верность копий не засвидетельствована в нотариальном порядке);

б) копия технического задания на создание космического комплекса, изделий комплекса, космических материалов и технологий, объектов космической инфраструктуры - при выполнении работ, предусмотренных подпунктом "а" пункта 1.1.1 настоящего Регламента;

в) копии документов, подтверждающих право собственности (или иное законное основание) на использование помещений и оборудования (с представлением оригиналов в случае, если копии не заверены в установленном порядке);

г) документы, содержащие сведения о наличии и квалификации работников, с указанием реквизитов документов, подтверждающих аттестацию этих работников;

д) перечень нормативно-технической документации, оборудования, технологических процессов, измерительных средств, аппаратуры и программно-аппаратных средств;

е) копия сертификата (заключения), подтверждающего соответствие системы контроля качества продукции (работ, услуг) установленным требованиям - при выполнении работ, предусмотренных подпунктами "а" - "в" пункта 1.1.1 настоящего Регламента;

ж) копия сертификата (заключения), подтверждающего соответствие помещений установленным требованиям, - при выполнении работ, предусмотренных подпунктами "а" - "в" пункта 1.1.1 настоящего Регламента;

з) копии документов, предусмотренных Законом Российской Федерации "О государственной тайне" (в случае, если осуществление работ не связано с использованием сведений, составляющих государственную тайну, и защитой их от иностранных технических разведок, представляются подтверждающие документы);

и) копии документов, подтверждающих аттестацию технологических процессов, оборудования, аппаратуры и измерительных средств, - при выполнении работ, предусмотренных подпунктами "а" - "е" пункта 1.1.1 настоящего Регламента;

к) копии удостоверений (карт закрепления) лиц, допущенных к выполнению особо важных операций по сборке, монтажу, регулировке, настройке, испытаниям и контролю, с указанием перечня таких операций - при выполнении работ, предусмотренных подпунктами "а" - "в" и "д" пункта 1.1.1 настоящего Регламента;

л) перечень программ, обеспечивающих моделирование процесса управления космическим объектом, - при выполнении работ, предусмотренных подпунктом "д" пункта 1.1.1 настоящего Регламента;

м) копия договора о международном сотрудничестве в области исследования и использования космического пространства в мирных целях - при выполнении работ, предусмотренных подпунктом "ж" пункта 1.1.1 настоящего Регламента;

н) документ, подтверждающий уплату государственной пошлины за рассмотрение заявления.

2.5. Размер государственной пошлины, взимаемой за предоставление государственной услуги.

2.5.1. За рассмотрение заявления о предоставлении лицензии соискателем лицензии уплачивается государственная пошлина в размере 300 рублей.

За предоставление лицензии уплачивается государственная пошлина в размере 1000 рублей.

За переоформление документа, подтверждающего наличие лицензии, уплачивается государственная пошлина в размере 100 рублей.

2.5.2. В соответствии с законодательством Российской Федерации указанные в пункте 2.5.1 средства уплачиваются в федеральный бюджет.

Реквизиты банка - получателя государственной пошлины за предоставление государственной услуги по лицензированию могут быть предоставлены соискателю лицензии в процессе консультации либо получены непосредственно в структурном подразделении Сводного управления, а также указываются в уведомлении о предоставлении лицензии и на официальном сайте Роскосмоса: www.roscosmos.ru (раздел "Лицензирование").

2.6. Сроки исполнения государственной функции по осуществлению лицензирования космической деятельности.

Федеральным Законом "О лицензировании отдельных видов деятельности" установлены следующие сроки лицензирования отдельных видов деятельности:

принятие решения о предоставлении или об отказе в предоставлении лицензии, включая уведомление соискателя лицензии, о принятом решении осуществляется в срок, не превышающий сорока пяти дней со дня поступления заявления о предоставлении лицензии и прилагаемых к нему документов;

переоформление документа, подтверждающего наличие лицензии, осуществляется в течение десяти дней со дня получения соответствующего заявления и прилагаемых к нему документов;

выдача лицензиату документа, подтверждающего наличие лицензии, - в течение трех дней после представления соискателем лицензии документа, подтверждающего уплату государственной пошлины за предоставление лицензии, либо за переоформление документа, подтверждающего наличие лицензии.

В соответствии с Федеральным законом "О защите прав юридических лиц и индивидуальных предпринимателей при проведении государственного контроля (надзора)" продолжительность мероприятий по контролю лицензиата по соблюдению лицензионных требований и условий не должна превышать один месяц.

В связи с утратой силы Федерального закона от 08.08.2001 N 134-ФЗ следует руководствоваться принятым взамен Федеральным законом от 26.12.2008 N 294-ФЗ.

3. Административные процедуры. Описание последовательности действий при исполнении государственной функции по осуществлению лицензирования космической деятельности

3.1. Регистрация заявления о предоставлении лицензии.

3.1.1. Для получения лицензии соискатель лицензии направляет по почте или доставляет лично в экспедицию Роскосмоса заявление о предоставлении лицензии (приложение N 1) и комплект документов, подготовленных в соответствии с пунктом 2.4 настоящего Регламента.

Роскосмос не вправе требовать от соискателя лицензии представления документов, не предусмотренных настоящим Регламентом.

3.1.2. В день приема или поступления по почте заявления и документов от соискателя лицензии в экспедицию они поступают в общий отдел Управления делами Роскосмоса (телефоны для справок: (495) 631-96-63, 631-97-74) для регистрации. Регистрация заявления осуществляется лицом, ответственным за делопроизводство, не позднее дня, следующего за днем получения. При регистрации заявлению присваивается входящий номер. В день регистрации заявление и документы представляются руководителем Управления делами Роскосмоса на доклад руководителю Федерального космического агентства или лицу, им уполномоченному.

3.2. Рассмотрение заявления руководителем Федерального космического агентства или лицом, им уполномоченным.

3.2.1. В течение одного дня после регистрации документы с резолюцией руководителя Федерального космического агентства или лица, им уполномоченного, поступают заместителю руководителя Федерального космического агентства, на которого возложены обязанности по организации исполнения государственной функции по лицензированию.

3.2.2. После рассмотрения заместителем руководителя Роскосмоса документы в срок, не превышающий двух дней после их регистрации, поступают в Сводное управление (телефон: (495) 631-80-48). В течение одного дня начальник Сводного управления либо лицо, его замещающее (далее - руководитель Сводного управления), рассматривают и направляют документы соискателя лицензии на исполнение в подразделение, на которое возложено исполнение функции по лицензированию космической деятельности.

3.2.3. Руководитель подразделения Сводного управления в течение последующего (третьего) дня вносит заявление и поступившие документы в электронную базу соискателей лицензий и определяет ответственного исполнителя, который в дальнейшем осуществляет все необходимые действия, связанные с реализацией государственной функции по предоставлению государственной услуги. Фамилия, инициалы и телефон ответственного исполнителя вносятся в электронную базу и сообщаются заявителю по его требованию.

Проводить предварительное рассмотрение документов соискателей лицензий без резолюции руководителя подразделения Сводного управления не допускается.

3.3. Проверка полноты и достоверности сведений о соискателе лицензии и возможности выполнения соискателем лицензии лицензионных требований и условий.

3.3.1. Ответственный исполнитель в день приема документов проводит проверку правильности заполнения заявления о предоставлении лицензии и полноты прилагаемых к нему документов.

В случае, если заявление оформлено не в соответствии с требованиями, установленными Федеральным законом "О лицензировании отдельных видов деятельности" и Положением о лицензировании космической деятельности, а в составе прилагаемых к нему документов отсутствуют документы, предусмотренные пунктом 2.4.2 настоящего Регламента, соискателю лицензии в срок, не превышающий пяти дней со дня регистрации заявления, вручается (направляется по почте или посредством факсимильной связи, или по электронной почте) копия описи представленных документов с уведомлением о необходимости устранения нарушений и (или) представления недостающих документов. О направлении описи документов соискатель лицензии уведомляется также по телефону.

3.3.2. Проверка достоверности сведений о соискателе лицензии проводится в срок, не превышающий десяти дней со дня регистрации заявления, путем сопоставления таких сведений со сведениями из Единого государственного реестра юридических лиц или Единого реестра выданных сертификатов соответствия, получаемых в порядке, установленном Правительством Российской Федерации, от Федеральной налоговой службы и (или) от Федерального агентства по техническому регулированию и метрологии.

3.3.3. После проверки полноты и достоверности сведений о соискателе лицензии ответственный исполнитель в срок, не превышающий тридцати дней со дня регистрации заявления, проводит проверку соответствия соискателя лицензии лицензионным требованиям и условиям.

3.3.4. В случае, если представленные документы не содержат полной информации о соответствии соискателя лицензии, принадлежащих ему или используемых им объектов, указанных в заявлении, лицензионным требованиям и условиям, Сводное управление организует контрольную проверку соискателя лицензии на соответствие лицензионным требованиям и условиям с выездом на место осуществления заявленной деятельности.

3.3.5. Проверка проводится комиссией на основании распоряжения Роскосмоса и в соответствии с требованиями, установленными Федеральным законом "О защите прав юридических лиц и индивидуальных предпринимателей при проведении государственного контроля (надзора)".

3.3.6. В распоряжении о проведении мероприятия по контролю указываются:

номер и дата распоряжения о проведении мероприятия по контролю;

наименование органа государственного контроля;

фамилия, имя, отчество и должность лица (лиц), уполномоченного на проведение мероприятия по контролю;

наименование юридического лица, в отношении которого проводится мероприятие по контролю;

цели, задачи и предмет проводимого мероприятия по контролю;

правовые основания проведения мероприятия по контролю, в том числе нормативные правовые акты, обязательные требования которых подлежат проверке в порядке, предусмотренном статьей 12 Федерального закона "О лицензировании отдельных видов деятельности" и пунктом 7 Положения о лицензировании космической деятельности;

дата начала и окончания мероприятия по контролю.

Распоряжение о проведении мероприятия по контролю либо его, заверенная печатью, копия предъявляется должностным лицом, осуществляющим мероприятие по контролю, руководителю или иному должностному лицу юридического лица одновременно со служебным удостоверением.

Мероприятие по контролю может проводиться только тем должностным лицом (лицами), которое указано в распоряжении о проведении мероприятия по контролю.

Срок проверки соискателя лицензии на месте осуществления заявленной деятельности не должен превышать пяти рабочих дней.

3.3.7. При осуществлении Роскосмосом контрольной проверки возможности выполнения соискателем лицензии лицензионных требований и условий с выездом на место осуществления заявленной космической деятельности проверке подлежат лицензионные требования и условия:

наличие квалифицированных специалистов, аттестованных к выполнению заявленной деятельности;

наличие оборудования, стендов, контрольно-проверочной аппаратуры, обеспечивающих реализацию заявленных работ;

соответствие производственных помещений требованиям, установленным нормативными правовыми актами;

организация учета и хранения научно-технической продукции и материалов;

допуск к работам со сведениями, составляющими государственную тайну.

3.3.8. По результатам мероприятия по контролю должностным лицом Роскосмоса составляется акт установленной формы (приложение N 3) в двух экземплярах.

В акте указываются:

дата, время и место составления акта;

наименование органа государственного контроля;

дата и номер распоряжения, на основании которого проведено мероприятие по контролю;

фамилия, имя, отчество и должность лица (лиц), проводившего мероприятие по контролю;

наименование проверяемой организации, должность представителя этой организации, присутствовавшего при проведении мероприятия по контролю;

дата, время и место проведения мероприятия по контролю;

сведения о результатах мероприятия по контролю;

сведения об ознакомлении или об отказе в ознакомлении с актом представителя юридического лица, присутствовавшего при проведении мероприятия по контролю, подписи или отказ от подписи;

подпись должностного лица (лиц), осуществившего мероприятие по контролю.

3.3.9. Один экземпляр акта вручается руководителю юридического лица или его заместителю под расписку либо направляется посредством почтовой связи с уведомлением о вручении, которое приобщается к экземпляру, оставшемуся в деле Роскосмоса. О направлении акта посредством почтовой связи юридическое лицо уведомляется также по телефону либо по электронной почте.

3.4. Принятие решения о предоставлении лицензии либо об отказе в предоставлении лицензии.

3.4.1. По результатам проверки полноты и достоверности сведений о соискателе лицензии, его соответствии лицензионным требованиям и условиям ответственный исполнитель осуществляет одно из следующих действий:

подготовку проекта решения о предоставлении лицензии, если не установлены основания для отказа в выдаче лицензии, предусмотренные нормативными правовыми актами по лицензированию;

подготовку проекта решения об отказе в предоставлении лицензии, если установлены основания для отказа в выдаче лицензии, предусмотренные нормативными правовыми актами по лицензированию;

согласование проекта решения со структурными подразделениями Роскосмоса и с заместителем руководителя Федерального космического агентства, ответственным за исполнение государственной функции по лицензированию;

подготовку проекта приказа Федерального космического агентства о предоставлении лицензии либо об отказе в предоставлении лицензии;

изготовление оригинала документа, подтверждающего наличие лицензии, либо подготовку мотивированного обоснования об отказе в предоставлении лицензии;

представление в Управление делами Роскосмоса проектов приказа и решения о предоставлении лицензии совместно с оригиналом документа, подтверждающего наличие лицензии, либо проекта приказа и мотивированного обоснования об отказе в предоставлении лицензии в срок, не превышающий сорока дней со дня регистрации последнего, дополнительно представленного документа.

3.4.2. Руководитель Федерального космического агентства в день представления проекта приказа принимает решение о предоставлении или об отказе в предоставлении лицензии.

3.4.3. Сводное управление в срок, не превышающий трех дней со дня принятия решения, обязано уведомить соискателя лицензии о принятии решения о предоставлении или об отказе в предоставлении лицензии.

3.4.4. Уведомление о выдаче лицензии в письменной форме с указанием реквизитов банковского счета и срока оплаты государственной пошлины за предоставление лицензии вручается (направляется по почте либо посредством факсимильной связи, или по электронной почте) соискателю лицензии (приложение N 5). О принятом решении соискателю лицензии также сообщается по телефону.

3.4.5. Уведомление об отказе в предоставлении лицензии (приложение N 6) вручается (направляется по почте либо посредством факсимильной связи, или по электронной почте) с указанием причин отказа, в том числе реквизитов акта проверки возможности выполнения соискателем лицензии лицензионных требований и условий (приложение N 3), если причиной отказа является невозможность выполнения соискателем лицензии указанных требований и условий. Об отказе в предоставлении лицензии соискателю лицензии также сообщается по телефону.

Основанием отказа в предоставлении лицензии является:

наличие в документах, представленных соискателем лицензии, недостоверной или искаженной информации;

несоответствие соискателя лицензии, а также принадлежащих ему или используемых им объектов лицензионным требованиям и условиям.

3.4.6. Вручение оригинала лицензии (документа, подтверждающего наличие лицензии) осуществляется должностным лицом Роскосмоса руководителю юридического лица либо представителю юридического лица при наличии документа, подтверждающего полномочия указанного лица, и документа, подтверждающего уплату государственной пошлины за предоставление лицензии.

Выдача оригинала лицензии (документа, подтверждающего наличие лицензии) производится под расписку о ее получении.

3.4.7. В случае утраты документа, подтверждающего наличие лицензии, лицензиат имеет право на получение дубликата указанного документа, предоставляемого Роскосмосом на основании заявления в письменной форме (приложение N 1) в течение 10 дней со дня получения заявления.

Дубликат документа, подтверждающего наличие лицензии, оформляется в порядке, предусмотренном для оформления лицензии, в двух экземплярах (на каждом проставляется пометка "дубликат"), один из которых направляется (вручается) лицензиату, другой хранится в лицензионном деле лицензиата.

3.4.8. Лицензиат имеет право на получение заверенных установленным порядком копий документа, подтверждающего наличие лицензии, предоставляемых в течение 7 дней со дня регистрации заявления.

3.4.9. Плата за предоставление лицензиату дубликата или копии документа, подтверждающего наличие лицензии, составляет 10 рублей.

Указанная сумма платежа зачисляется в федеральный бюджет.

3.4.10. Вручение дубликата и копий документа, подтверждающего наличие лицензии, осуществляется в порядке, определенном пунктом 3.4.6 настоящего Регламента.

3.5. Переоформление документа, подтверждающего наличие лицензии.

3.5.1. В случае реорганизации юридического лица в форме преобразования, изменения его наименования или места его нахождения, а также в случае изменения адресов мест осуществления юридическим лицом лицензируемого вида деятельности лицензиат - юридическое лицо либо его правопреемник обязан подать заявление о переоформлении документа, подтверждающего наличие лицензии, по форме (приложение N 1). В заявлении указываются новые сведения о лицензиате или его правопреемнике и данные документа, подтверждающего факт внесения соответствующих изменений в Единый государственный реестр юридических лиц.

Заявление о переоформлении документа, подтверждающего наличие лицензии, подается лицензиатом в Роскосмос не позднее чем через пятнадцать дней со дня внесения соответствующих изменений в Единый государственный реестр юридических лиц либо со дня изменения адресов мест осуществления юридическим лицом лицензируемого вида деятельности.

3.5.2. В случае реорганизации юридических лиц в форме слияния при наличии на дату государственной регистрации правопреемника реорганизованных юридических лиц у каждого участвующего в слиянии юридического лица лицензии на один и тот же вид деятельности такой правопреемник вправе подать заявление о переоформлении документа, подтверждающего наличие лицензии.

3.5.3. Переоформление документа, подтверждающего наличие лицензии, осуществляется в течение десяти дней со дня получения Роскосмосом соответствующего заявления.

Уведомление о переоформлении документа, подтверждающего наличие лицензии, в письменной форме вручается (направляется по почте либо посредством факсимильной связи, или по электронной почте) лицензиату в течение трех дней со дня принятия соответствующего решения. О переоформлении документа, подтверждающего наличие лицензии, лицензиату сообщается также по телефону.

Вручение переоформленного документа, подтверждающего наличие лицензии, осуществляется в порядке, определенном пунктом 3.4.6 настоящего Регламента.

3.5.4. Основанием для отказа в переоформлении документа, подтверждающего наличие лицензии, является наличие в документах лицензиата или его правопреемника неполных или недостоверных сведений.

Уведомление об отказе в переоформлении документа, подтверждающего наличие лицензии, направляется (вручается) должностным лицом Роскосмоса лицензиату или его правопреемнику в письменной форме с указанием причин отказа.

3.5.5. При переоформлении документа, подтверждающего наличие лицензии, вносятся соответствующие изменения в реестр лицензий.

3.6. Продление срока действия лицензии.

3.6.1. Срок действия лицензии по его окончании может быть продлен по заявлению лицензиата по форме (приложение N 1).

Продление срока действия лицензии осуществляется в порядке переоформления документа, подтверждающего наличие лицензии.

Уведомление о продлении срока действия лицензии в письменной форме вручается (направляется по почте либо посредством факсимильной связи, или по электронной почте) лицензиату в течение трех дней после принятия решения. О продлении срока действия лицензии лицензиату сообщается также по телефону.

Вручение документа, подтверждающего продление срока действия лицензии, осуществляется в порядке, определенном пунктом 3.4.6 настоящего Регламента.

3.6.2. В продлении срока действия лицензии может быть отказано в случае предоставления лицензиатом неполных или недостоверных сведений.

Уведомление об отказе в продлении срока действия лицензии вручается (направляется по почте либо посредством факсимильной связи, или по электронной почте) лицензиату в течение трех дней после принятия решения с указанием причин отказа.

Продление срока действия лицензии осуществляется в течение десяти дней со дня получения Роскосмосом соответствующего заявления.

3.7. Приостановление и возобновление действия лицензии, аннулирование лицензии, прекращение действия лицензии.

3.7.1. Приостановление действия лицензии на космическую деятельность осуществляется Роскосмосом в случае привлечения лицензиата за нарушение лицензионных требований и условий к административной ответственности в порядке, установленном Кодексом Российской Федерации об административных правонарушениях.

Согласно части 4 статьи 14.1 Кодекса Российской Федерации об административных правонарушениях осуществление предпринимательской деятельности с грубым нарушением условий, предусмотренных специальным разрешением (лицензией), влечет наложение административного штрафа на юридических лиц в размере от четырехсот до пятисот минимальных размеров оплаты труда или административное приостановление деятельности на срок до девяноста суток.

К грубым нарушениям относятся:

а) отсутствие у лицензиата производственных помещений, нормативно-технической, производственной, технологической либо эксплуатационной документации и необходимого оборудования, имеющего аттестат соответствия;

б) использование при выполнении заявленных работ и услуг специалистов, не прошедших профессиональную подготовку и не имеющих аттестатов на соответствие профессиональным требованиям;

в) отсутствие системы качества или ее несоответствие требованиям, установленным нормативными правовыми актами;

г) несоблюдение или нарушение требований производственной, технологической или эксплуатационной документации при создании, производстве и монтаже оборудования, подготовке к запуску, запуске и управлении полетом космических объектов;

д) допуск к выполнению особо важных (ответственных) операций (сборка, монтаж, регулировка, настройка, испытания и контроль) лиц, не прошедших аттестацию и не имеющих удостоверения (карты закрепления) на их выполнение;

е) работа со сведениями, составляющими государственную тайну, без наличия соответствующего допуска;

ж) нарушение требований технического задания при создании космических материалов и технологий, создании и производстве космической техники и вводе в эксплуатацию объектов космической инфраструктуры;

з) отсутствие учета и хранения документации, оборудования, производимой продукции и материалов.

3.7.2. В случае вынесения судьей решения об административном приостановлении деятельности лицензиата за нарушение лицензионных требований и условий Роскосмос в течение суток со дня вступления данного решения в законную силу приостанавливает действие лицензии на срок административного приостановления деятельности лицензиата.

Уведомление о приостановлении действия лицензии в письменной форме вручается (направляется по почте либо посредством факсимильной связи, или по электронной почте) юридическому лицу в течение трех дней после принятия решения. О приостановлении действия лицензии сообщается руководителю юридического лица также по телефону в день принятия решения.

3.7.3. Лицензиат обязан уведомить в письменной форме Роскосмос об устранении им нарушения лицензионных требований и условий, повлекшего за собой административное приостановление деятельности лицензиата.

Действие лицензии возобновляется Роскосмосом со дня, следующего за днем истечения срока административного приостановления деятельности лицензиата, или со дня, следующего за днем досрочного прекращения исполнения административного наказания в виде административного приостановления деятельности лицензиата.

Уведомление о возобновлении действия лицензии в письменной форме вручается (направляется по почте или посредством факсимильной связи, или по электронной почте) юридическому лицу в течение трех дней после принятия решения. О возобновлении действия лицензии сообщается руководителю юридического лица также по телефону в день принятия решения.

Срок действия лицензии на время приостановления ее действия не продлевается.

3.7.4. В случае, если в установленный судьей срок лицензиат не устранил нарушение лицензионных требований и условий, повлекшее за собой административное приостановление деятельности лицензиата, Роскосмос обязан обратиться в суд с заявлением об аннулировании лицензии.

3.7.5. Действие лицензии прекращается со дня внесения в Единый государственный реестр юридических лиц записи о ликвидации юридического лица или прекращении его деятельности в результате реорганизации (за исключением реорганизации в форме преобразования или слияния при наличии на дату государственной регистрации правопреемника реорганизованных юридических лиц у каждого участвующего в слиянии юридического лица лицензии на один и тот же вид деятельности) либо со дня окончания срока действия лицензии, или принятия Роскосмосом решения о досрочном прекращении действия лицензии на основании представленного в Роскосмос заявления в письменной форме лицензиата (правопреемника лицензиата - юридического лица) о прекращении им осуществления космической деятельности, а также со дня вступления в законную силу решения суда об аннулировании лицензии.

Решение о прекращении действия лицензии принимается Роскосмосом в течение суток со дня вступления в законную силу решения суда об аннулировании лицензии либо в течение десяти дней со дня получения сведений о ликвидации юридического лица, или заявления лицензиата о прекращении им осуществления космической деятельности.

Уведомление о прекращении действия лицензии вручается (направляется по почте либо посредством факсимильной связи, или по электронной почте) руководителю юридического лица в течение трех дней со дня принятия решения. О прекращении действия лицензии руководителю юридического лица сообщается также по телефону.

3.8. Ведение реестра лицензий, представление информации из реестра лицензий. Формирование открытого общедоступного государственного ресурса по лицензированию космической деятельности.

3.8.1. Сводное управление Роскосмоса ведет реестр лицензий, вносит записи в реестр лицензий в течение трех дней со дня принятия решения о предоставлении лицензии, переоформлении документа, подтверждающего наличие лицензии, приостановлении действия лицензии в случае административного приостановления деятельности лицензиата за нарушение лицензионных требований и условий, возобновлении или прекращении действия лицензии либо со дня получения от федерального органа исполнительной власти, уполномоченного на осуществление государственной регистрации юридических лиц и индивидуальных предпринимателей, сведений о ликвидации юридического лица или прекращении его деятельности в результате реорганизации (за исключением реорганизации в форме преобразования или слияния при наличии на дату государственной регистрации правопреемника реорганизованных юридических лиц у каждого участвующего в слиянии юридического лица лицензии на один и тот же вид деятельности), а также со дня вступления решения суда в законную силу об аннулировании лицензии.

В реестре лицензий содержатся сведения:

а) наименование лицензирующего органа;

б) полное и (в случае, если имеется) сокращенное наименование, в том числе фирменное наименование, организационно-правовая форма юридического лица; место его нахождения, адреса мест осуществления лицензируемого вида деятельности; государственный регистрационный номер записи о создании юридического лица;

в) лицензируемый вид деятельности с указанием выполняемых работ и оказываемых услуг;

г) срок действия лицензии;

д) идентификационный номер налогоплательщика;

е) номер лицензии;

ж) дата принятия решения о предоставлении лицензии;

з) сведения о регистрации лицензии в реестре лицензий;

и) основание и срок приостановления и возобновления действия лицензии;

к) основание и дата аннулирования лицензии;

л) сведения о выдаче документа, подтверждающего наличие лицензии;

м) основание и дата прекращения действия лицензии;

н) основание и дата переоформления лицензии;

о) основание и дата продления лицензии.

3.8.2. Информация, содержащаяся в реестре лицензий, в виде выписок о конкретных лицензиатах (приложение N 7) предоставляется Роскосмосом физическим и юридическим лицам за плату. Размер платы за предоставление указанной информации о конкретном лицензиате составляет 10 рублей.

Информация из реестра лицензий органам государственной власти и органам местного самоуправления предоставляется бесплатно.

Срок предоставления информации из реестра лицензий не может превышать трех дней со дня поступления соответствующего заявления.

3.8.3. Руководитель структурного подразделения Роскосмоса либо лицо, им уполномоченное, в течение пяти рабочих дней со дня принятия Роскосмосом решения о предоставлении лицензии, переоформлении документа, подтверждающего наличие лицензии, приостановлении, возобновлении действия лицензии, прекращении либо об аннулировании лицензии направляет копию документа, подтверждающего принятие соответствующего решения, с сопроводительным письмом в федеральный орган исполнительной власти, уполномоченный на осуществление государственной регистрации юридических лиц и индивидуальных предпринимателей, по месту нахождения соискателя лицензии или лицензиата.

3.8.4. Роскосмос формирует открытый, общедоступный государственный информационный ресурс, содержащий сведения из реестра лицензий, Положение о лицензировании космической деятельности, а также технические регламенты и иные нормативные правовые акты Российской Федерации, устанавливающие обязательные требования к космической деятельности, за исключением случаев, если в интересах сохранения государственной или служебной тайны свободный доступ к таким ресурсам в соответствии с законодательством Российской Федерации ограничен.

3.8.5. Информация, относящаяся к лицензированию космической деятельности, установленная пунктом 2 статьи 6 и пунктом 1 статьи 14 Федерального закона "О лицензировании отдельных видов деятельности", размещается в официальных электронных или печатных средствах массовой информации Роскосмоса, а также на информационном стенде в помещении Роскосмоса в течение 10 дней с даты:

официального опубликования нормативного правового акта, утвердившего положение о лицензировании космической деятельности;

принятия должностным лицом Роскосмоса решения о предоставлении лицензии, переоформлении документа, подтверждающего наличие лицензии, продлении срока действия лицензии, приостановлении, возобновлении действия лицензии, или получения от Федеральной налоговой службы сведений о ликвидации юридического лица или прекращения его деятельности в результате реорганизации;

вступления в законную силу решения суда об аннулировании лицензии.

Доступ к указанной информации является свободным и безвозмездным.

3.9. Контроль за соблюдением лицензиатом лицензионных требований и условий.

3.9.1. В целях проверки соблюдения лицензиатом лицензионных требований и условий при осуществлении космической деятельности Роскосмос проводит плановые мероприятия по контролю, по результатам которых составляется акт установленной формы (приложение N 3) в двух экземплярах.

Руководитель Сводного управления на основании утвержденного заместителем руководителя Федерального космического агентства годового плана проверок организует проведение мероприятий по контролю выполнения лицензиатами лицензионных требований и условий.

Плановые проверки проводятся не чаще чем один раз в три года. (в ред. Приказа Роскосмоса от 25.02.2010 N 26)

В отношении субъекта малого предпринимательства плановое мероприятие по контролю может быть проведено не ранее чем через три года с момента его государственной регистрации.

В отношении одного юридического лица плановая проверка не может превышать двадцати рабочих дней. (в ред. Приказа Роскосмоса от 25.02.2010 N 26)

В отношении одного субъекта малого предпринимательства общий срок проведения плановой проверки не может превышать пятидесяти часов для малого предприятия и пятнадцати часов для микропредприятия в год. (в ред. Приказа Роскосмоса от 25.02.2010 N 26)

Срок проведения плановой проверки в отношении юридического лица, которое осуществляет свою деятельность на территориях нескольких субъектов Российской Федерации, устанавливается отдельно по каждому филиалу, представительству юридического лица. (в ред. Приказа Роскосмоса от 25.02.2010 N 26)

3.9.2. Внеплановые мероприятия по контролю проводятся должностными лицами Роскосмоса в случаях:

исполнения предписаний об устранении выявленных нарушений деятельности юридического лица, выявленных в результате планового мероприятия по контролю выполнения лицензионных требований и условий;

получения информации от юридических лиц, индивидуальных предпринимателей, органов государственной власти о возникновении аварийных ситуаций, об изменениях или о нарушениях технологических процессов, а также о выходе из строя сооружений, оборудования, которые могут непосредственно причинить вред жизни, здоровью людей, окружающей среде и имуществу граждан, юридических лиц и индивидуальных предпринимателей;

возникновения угрозы здоровью и жизни граждан, загрязнения окружающей среды, повреждения имущества других юридических лиц;

обращения граждан, юридических лиц, индивидуальных предпринимателей с жалобами на нарушение их прав и законных интересов действиями (бездействием) иных юридических лиц, связанным с невыполнением ими обязательных требований, а также получения иной информации, подтверждаемой документами или иными доказательствами, свидетельствующими о наличии признаков таких нарушений.

Обращения, не позволяющие установить лицо, обратившееся в орган государственного контроля, не могут служить основанием проведения внепланового мероприятия по контролю.

3.9.3. При проведении контрольной проверки лицензиата проверяются следующие лицензионные требования и условия:

а) при создании и производстве космической техники, космических материалов и технологий, а также создании и реконструкции космической инфраструктуры:

наличие утвержденного технического задания на создание космического комплекса, изделий комплекса и объектов космической инфраструктуры;

наличие на праве собственности (или ином законном основании) помещений, специального лабораторного, стендового, производственного, технологического, испытательного и измерительного оборудования (далее - оборудование), контрольно-проверочной аппаратуры (далее - аппаратура), нормативно-технической и технологической документации, обеспечивающих реализацию заявленных работ;

наличие системы контроля качества продукции и ее соответствие требованиям, установленным нормативными правовыми актами;

наличие квалифицированных специалистов, аттестованных на соответствие установленным профессиональным требованиям;

наличие на праве собственности (или ином законном основании) технологических процессов, обеспечивающих выполнение заявленных работ;

организация учета и хранения нормативно-технической документации, технологического оборудования, научно-технической продукции и материалов;

наличие допуска к проведению работ, связанных с использованием сведений, составляющих государственную тайну;

соответствие помещений установленным нормативными правовыми актами требованиям;

соответствие технической документации установленным требованиям;

обеспечение допуска к выполнению особо важных (ответственных) операций сборки, монтажа, регулировки, настройки, испытаний и контроля только лиц, аттестованных и имеющих соответствующее удостоверение (карту закрепления) на их выполнение;

б) при монтаже оборудования, вводе и приеме в эксплуатацию объектов космической инфраструктуры, их доработке, ремонте и реконструкции:

наличие на праве собственности (или ином законном основании) помещений, оборудования, аппаратуры, нормативно-технической, технологической и эксплуатационной документации, обеспечивающих реализацию заявленных работ;

наличие квалифицированных специалистов, аттестованных на соответствие установленным профессиональным требованиям;

наличие системы контроля качества продукции (работ, услуг) и ее соответствие требованиям, установленным нормативными правовыми актами;

соответствие помещений требованиям, установленным нормативными правовыми актами;

организация учета и хранения документации, технологического оборудования, научно-технической продукции и материалов;

наличие допуска к проведению работ, связанных с использованием сведений, составляющих государственную тайну;

обеспечение допуска к выполнению особо важных (ответственных) операций сборки, монтажа, регулировки, настройки, испытаний и контроля только лиц, аттестованных и имеющих соответствующее удостоверение (карту закрепления) на их выполнение;

в) при подготовке средств выведения и космических объектов к запуску:

наличие на праве собственности (или ином законном основании) помещений, оборудования, аппаратуры, нормативно-технической, организационно - распорядительной и эксплуатационной документации, обеспечивающих реализацию заявленных работ;

наличие квалифицированных специалистов, аттестованных на соответствие установленным профессиональным требованиям;

наличие системы контроля качества продукции (работ, услуг) и ее соответствие требованиям, установленным нормативными правовыми актами;

соответствие помещений требованиям, установленным правовыми нормативными актами;

организация учета и хранения эксплуатационной документации, технологического оборудования, инструмента и расходных материалов;

наличие допуска к проведению работ, связанных с использованием сведений, составляющих государственную тайну;

обеспечение допуска к выполнению особо важных (ответственных) операций (сборка, монтаж, регулировка, настройка, заправка компонентами ракетных топлив, испытания и контроль) только лиц, аттестованных и имеющих соответствующее удостоверение (карту закрепления) на их выполнение;

г) при подготовке космонавтов к полету на космических кораблях и научно-методическом обеспечении пилотируемых космических полетов:

наличие на праве собственности (или ином законном основании) помещений, оборудования, в том числе медицинского, нормативно-технической, учебной и справочной документации, утвержденных учебных программ, учебно-тренировочных средств и пособий, обеспечивающих реализацию заявленных работ;

наличие квалифицированных специалистов, аттестованных на соответствие установленным профессиональным требованиям;

организация учета и хранения нормативно-технической документации, оборудования, учебно-тренировочных средств, учебной и научно-методической литературы;

наличие допуска к проведению работ, связанных с использованием сведений, составляющих государственную тайну;

д) при запуске и управлении полетом космических объектов: наличие на праве собственности (или ином законном основании) помещений, оборудования, нормативно-технической и эксплуатационной документации, обеспечивающих реализацию заявленных работ;

соблюдение требований нормативных правовых актов и эксплуатационных документов, связанных с обеспечением запуска и управления полетом космических объектов;

наличие квалифицированных специалистов, аттестованных на соответствие установленным профессиональным требованиям;

обеспечение допуска к выполнению особо важных (ответственных) операций по предстартовым испытаниям и контролю заключительных операций на стартовом комплексе только лиц, аттестованных и имеющих соответствующее удостоверение (карту закрепления) на их выполнение;

обеспечение моделирования процесса управления космическим объектом на всех участках его полета, в том числе при возникновении нештатных или аварийных ситуаций;

обеспечение защиты передаваемой и принимаемой информации от несанкционированного доступа;

организация учета и хранения нормативно-технической и эксплуатационной документации, технологического оборудования и расходных материалов;

наличие допуска к проведению работ, связанных с использованием сведений, составляющих государственную тайну;

е) при использовании (эксплуатации) космической техники, космических материалов и космических технологий, в том числе при проведении исследований и экспериментов с применением космической техники:

наличие на праве собственности (или ином законном основании) помещений, оборудования, измерительных средств, обеспечивающих реализацию заявленных работ;

наличие утвержденной программы исследований и экспериментов с применением конкретного космического объекта;

наличие квалифицированных специалистов, аттестованных на соответствие установленным профессиональным требованиям;

наличие допуска к проведению работ, связанных с использованием сведений, составляющих государственную тайну;

организация учета и хранения нормативно-технической и эксплуатационной документации, научного оборудования и информации, получаемой с космических объектов при проведении исследований и экспериментов;

е') при приеме и (или) обработке информации, получаемой с космических аппаратов дистанционного зондирования Земли:

наличие на праве собственности (или ином законном основании) помещений, оборудования и измерительных средств, обеспечивающих реализацию заявленных работ;

наличие квалифицированных специалистов, аттестованных на соответствие установленным профессиональным требованиям;

проведение своевременной аттестации технологического оборудования и технологических процессов, обеспечивающих прием, обработку и хранение информации;

обеспечение защиты информации, получаемой с космических аппаратов дистанционного зондирования, от несанкционированного доступа;

наличие допуска к работе со сведениями, составляющими государственную тайну;

организация учета и хранения информации, получаемой с космических аппаратов дистанционного зондирования Земли;

ж) при осуществлении международного сотрудничества Российской Федерации в области исследования и использования космического пространства в мирных целях:

наличие на праве собственности (или ином законном основании) помещений, оборудования, нормативных правовых актов и технической документации, обеспечивающих международное сотрудничество;

наличие квалифицированных специалистов, имеющих профессиональное образование, позволяющее выполнять работы с зарубежными организациями;

соблюдение международных обязательств Российской Федерации в области защиты и нераспространения ракетных технологий и средств доставки оружия массового уничтожения;

наличие допуска к проведению работ, связанных с использованием сведений, составляющих государственную тайну.

3.9.4. По результатам мероприятия по контролю за соблюдением лицензионных требований и условий составляется акт по форме (приложение N 3). Один экземпляр акта вручается лицензиату под расписку либо направляется по почте с уведомлением о вручении, которое приобщается к экземпляру акта, остающемуся в деле Роскосмоса.

В случае выявления в результате мероприятия по контролю административного нарушения лицензионных требований и условий должностным лицом Роскосмоса составляется протокол в порядке, установленном законодательством Российской Федерации об административных правонарушениях, и даются предписания об устранении выявленных нарушений (приложение N 4).

3.9.5. Лицензиат ведет журнал учета мероприятий по контролю. В журнале учета мероприятий по контролю председателем комиссии производится запись о проведенном мероприятии по контролю, содержащая сведения о наименовании органа государственного контроля (надзора), дате, времени проведения мероприятия по контролю, о правовых основах, целях, задачах и предмете мероприятия по контролю, о выявленных нарушениях, о составленных протоколах, об административных правонарушениях и о выданных предписаниях, а также указываются фамилия, имя, отчество, должность лица, осуществившего мероприятие по контролю, и его подпись.

Журнал учета мероприятий по контролю должен быть прошит, пронумерован и удостоверен печатью лицензиата.

При отсутствии журнала учета мероприятий по контролю в акте, составленном по результатам проведения мероприятия по контролю, делается соответствующая запись.

3.9.6. Продолжительность мероприятия по контролю лицензиата не должна превышать один месяц.

3.9.7. Должностные лица Роскосмоса при проведении мероприятий по контролю обязаны:

своевременно и в полной мере исполнять предоставленные в соответствии с законодательством Российской Федерации полномочия по предупреждению, выявлению и пресечению нарушений лицензионных условий и требований;

соблюдать законодательство Российской Федерации, права и законные интересы лицензиатов;

проводить мероприятия по контролю на основании и в строгом соответствии с распоряжением о проведении мероприятия по контролю в порядке, установленном настоящим Регламентом;

посещать объекты (территории и помещения) владельцев лицензий в целях проведения мероприятия по контролю только во время исполнения служебных обязанностей при предъявлении служебного удостоверения и распоряжения о проведении мероприятия по контролю;

не препятствовать представителям лицензиата присутствовать при проведении мероприятия по контролю, давать разъяснения по вопросам, относящимся к предмету проверки;

предоставлять лицензиатам либо их представителям, присутствующим при проведении мероприятия по контролю, относящуюся к предмету проверки необходимую информацию;

знакомить лицензиатов либо их представителей с результатами мероприятий по контролю;

при определении мер, принимаемых по фактам выявленных нарушений, учитывать соответствие указанных мер тяжести нарушений, их потенциальной опасности для жизни, здоровья людей, окружающей среды и имущества, а также не допускать необоснованные ограничения прав и законных интересов лицензиатов;

доказывать законность своих действий при их обжаловании лицензиатами в порядке, установленном законодательством Российской Федерации.

Должностные лица Роскосмоса в случае ненадлежащего исполнения своих функций и служебных обязанностей при проведении мероприятий по контролю, совершения противоправных действий (бездействия) несут ответственность в соответствии с законодательством Российской Федерации.

4. Порядок и формы контроля за исполнением государственной функции

4.1. Руководитель Федерального космического агентства организует контроль за исполнением государственной функции по лицензированию космической деятельности.

Контроль за исполнением сроков и порядка предоставления государственной услуги по лицензированию космической деятельности осуществляет заместитель руководителя Федерального космического агентства, ответственный за координацию работ по лицензированию.

4.2. Текущий контроль за соблюдением последовательности действий, определенных административными процедурами, и принятием решений специалистами и ответственными исполнителями осуществляется начальником Сводного управления либо лицом, им уполномоченным.

Текущий контроль осуществляется путем проведения проверок соблюдения и исполнения специалистами и ответственными исполнителями положений настоящего Регламента и иных нормативных правовых актов Российской Федерации.

4.3. Специалист, ответственный за прием заявления и документов, несет персональную ответственность за соблюдение сроков, порядка приема документов и правильность их учета.

4.4. Ответственный исполнитель за предоставление государственной услуги по лицензированию несет персональную ответственность за полноту и правильность оформления представленных документов, сроков и порядка их рассмотрения, подготовку проектов решений о предоставлении лицензии либо об отказе в предоставлении лицензии, достоверность и правильность сведений, внесенных в документ, подтверждающий наличие лицензии.

4.5. Ответственный исполнитель за ведение реестра лицензий, выдачу информации из реестров лицензий, формирование официального сайта Роскосмоса по лицензированию несет персональную ответственность за соблюдение сроков и достоверность информации, вносимой в реестр лицензий и предоставляемой в установленном порядке юридическим лицам, а также размещаемой на официальном сайте Роскосмоса.

4.6. Руководитель подразделения Сводного управления, на которого возложено исполнение функции по лицензированию, несет персональную ответственность за организацию работы ответственных исполнителей, за соблюдение сроков и порядка оформления оригиналов документов, подтверждающих наличие лицензии, их представление на подпись руководителю Федерального космического агентства и выдачу заявителям.

4.7. Персональная ответственность специалистов и ответственных исполнителей закрепляется в их должностных регламентах и обязанностях в соответствии с требованиями законодательства Российской Федерации.

5. Порядок обжалования действия (бездействия) и решений, осуществляемых (принятых) в ходе исполнения государственной функции

5.1. Решения, действия (бездействия), осуществляемые (принятые) в ходе исполнения государственной функции по осуществлению лицензирования космической деятельности, могут быть обжалованы:

руководителю Федерального космического агентства;

в судебном порядке или в ином, установленном законодательством порядке.

В письменной жалобе руководителю Федерального космического агентства указываются:

фамилия, имя, отчество заинтересованного лица;

полное наименование юридического лица (в случае обращения организации);

контактный почтовый адрес;

предмет жалобы;

личная подпись заинтересованного лица.

Письменная жалоба должна быть рассмотрена в течение пятнадцати рабочих дней со дня ее поступления в Роскосмос.

5.2. Если в результате рассмотрения жалоба признана обоснованной, то принимается решение о привлечении к ответственности в соответствии с законодательством Российской Федерации руководящего работника либо ответственного исполнителя, ответственных за действия (бездействие), решения, осуществляемые (принятые) в ходе исполнения государственной функции на основании настоящего Регламента и повлекшие жалобу.

Заинтересованному лицу руководителем Федерального космического агентства либо лицом, им уполномоченным, рассматривавшим жалобу, направляется письменное сообщение о принятом решении и действиях, проведенных в соответствии с принятым решением, в течение пяти рабочих дней после принятия решения. О принятом решении заинтересованному лицу сообщается по телефону в тот же день.

5.3. Все обращения об обжаловании действий (без действий) и решений, осуществляемых (принятых) в ходе исполнения государственной функции на основании настоящего Регламента, фиксируются в книге учета обращений с указанием:

принятых решений;

проведенных действий по предоставлению сведений и применении административных мер ответственности к должностному лицу, ответственному за действия (бездействие) и решения, принятые в ходе исполнения государственной функции, повлекшие за собой жалобу юридического лица.

Обращения считаются разрешенными, если рассмотрены поставленные в них вопросы, приняты необходимые меры и направлены письменные ответы лицам, обратившимся в Роскосмос с жалобой.

Приложение N 1
к Регламенту

                                 Федеральное космическое агентство
    Исх. N ____________          Заместителю руководителя
                                 ---------------------------------
                                 ул. Щепкина, 42, Москва, ГСП-6,
    от "__" ___________ 200_ г.  107996
 
                            ЗАЯВЛЕНИЕ
 
Соискатель лицензии
__________________________________________________________________
  (полное и сокращенное (если имеется) наименование, в том числе
__________________________________________________________________
    фирменное; организационно-правовая форма; место нахождения
               (из Устава) - для юридического лица)
ОГРН - ___________________________________________________________
        (с указанием серии и номера документа о внесении записи
           в Единый государственный реестр юридических лиц);
ИНН - ____________________________________________________________
           (с указанием серии и номера документа о постановке
             соискателя лицензии на учет в налоговом органе)
__________________________________________________________________
    (указываются адреса мест осуществления лицензируемого вида
__________________________________________________________________
  деятельности в соответствии с адресами объектов собственности)
просит: __________________________________________________________
            (предоставить лицензию, выдать дубликат либо копию
__________________________________________________________________
    документа, подтверждающего наличие лицензии, переоформить
     документ, подтверждающий наличие лицензии, продлить срок
             действия, прекратить действие лицензии)
__________________________________________________________________
      (с указанием наименования работ, услуг по космической
                          деятельности)
__________________________________________________________________
       (уполномоченный представитель соискателя лицензии -
             Фамилия, И.О., должность, телефон/факс)
__________________________________________________________________
 
Приложение: документы согласно описи на ___ л.
 
    Руководитель       _________________      ____________________
    (должность)         (подпись, дата)          (И.О. Фамилия)
 
    Главный бухгалтер  _________________      ____________________
                        (подпись, дата)          (И.О. Фамилия)
 
    М.П.
 
 
 

Приложение N 2
к Регламенту

                        ОПИСЬ ДОКУМЕНТОВ,
        представленных в Федеральное космическое агентство
 
    от ___________________________________________________________
            (наименование юридического лица, ОГРН, ИНН, место
__________________________________________________________________
                           нахождения)
 
    к заявлению на _______________________________________________
                       (с указанием причины подачи заявления:
__________________________________________________________________
 предоставление лицензии, выдача дубликата либо копии документа,
__________________________________________________________________
   подтверждающего наличие лицензии, переоформление документа,
__________________________________________________________________
    подтверждающего наличие лицензии, продление срока действия
__________________________________________________________________
             лицензии, прекращение действия лицензии)
__________________________________________________________________
 
     на осуществление деятельности: ______________________________
                                      (с указанием наименования
__________________________________________________________________
            работ, услуг по космической деятельности)
__________________________________________________________________
__________________________________________________________________
 
 N 
п/п
  Наименование документа  
        Количество листов        
 
 
 
 
 
 
 
 
 
 
    Руководитель       _________________      ________________
    юридического лица      (подпись)           (И.О. Фамилия)
 
    "__" _____________ 200_ г.
 
    Документы принял
    и зарегистрировал под N ____ от "__" _______ 200_ г.
 
                           (подпись)           (И.О. Фамилия)
 
 
 

Приложение N 3
к Регламенту

                              АКТ N
 
    "  " ___________ 200  г.                         г.
 
    Комиссия в составе:
 
    Председатель: ________________________________________________
                              (И.О. Фамилия, должность)
 
    Члены комиссии: ______________________________________________
                             (И.О. Фамилия, должность)
    ______________________________________________________________
                      (И.О. Фамилия, должность)
    ______________________________________________________________
                      (И.О. Фамилия, должность)
 
    в присутствии: _______________________________________________
                   (руководителя организации или его полномочного
                            представителя, И.О. Фамилия)
 
    на  основании  Федерального  закона  от 08.08.2001 N 128-ФЗ "О
лицензировании   отдельных   видов   деятельности",   распоряжения
руководителя  (заместителя руководителя) Федерального космического
агентства от "  " __________ 200  г. N
    в период с "  " _______ 200_ г. по "  " ______ 200_ г. провела
проверку    возможности   выполнения   (соблюдения)   лицензионных
требований и условий при осуществлении деятельности: _____________
__________________________________________________________________
      (с указанием наименования работ, услуг по космической
                          деятельности)
__________________________________________________________________
__________________________________________________________________
__________________________________________________________________
__________________________________________________________________
                     (наименование лицензиата)
__________________________________________________________________
__________________________________________________________________
                   (место нахождения лицензиата)
 
    Лицензия N _________ от "__"     200  г. по "__"       200  г.
 
    При этом установлено:
 
    Выводы и предложения:
 
    Председатель комиссии: _________________   ___________________
                            (подпись, дата)      (И.О. Фамилия)
 
    Подписи членов комиссии: _____________________________________
                             _____________________________________
                             _____________________________________
                             _____________________________________
 
    С актом ознакомился и один экземпляр получил:
    ______________________________________________________________
     (дата, подпись, И.О. Фамилия руководителя юридического лица)
 
    Особое мнение руководителя юридического лица
__________________________________________________________________
__________________________________________________________________
__________________________________________________________________
 
    От   ознакомления   с  результатами  и  подписи  данного  акта
отказался:
 
    Выдано предписание от "  " ____________ 200  г. N _______
 
    ______________________   _______________   ___________________
      (должностное лицо)     (подпись, дата)     (И.О. Фамилия)
 
 
 

Приложение N 4
к Регламенту

      БЛАНК
    РОСКОСМОСА
 
                    ПРЕДПИСАНИЕ N ___________
 
    "__" __________ 200  г.
 
    В результате проверки ________________________________________
                           (наименование юридического лица, ОГРН,
                                   ИНН, место нахождения)
 
Актом от "  " ____________ 200  г. N _______ установлены нарушения
лицензионных   требований  и условий при осуществлении космической
деятельности:
__________________________________________________________________
            (с указанием наименования работ, услуг по
__________________________________________________________________
                    космической деятельности)
__________________________________________________________________
__________________________________________________________________
    На  основании  Федерального закона "О лицензировании отдельных
видов деятельности" от 08.08.2001 N 128-ФЗ предписываю осуществить
мероприятия по устранению следующих нарушений:
 
 N 
п/п
    Краткое изложение выявленных нарушений с     
указанием нормативного правового акта, требования
которого нарушены
   Срок   
устранения
нарушений
 
 
 
 
 
 
 
 
 
 
Официальный ответ на предписание предоставить в Федеральное
космическое агентство
 
    ______________________   _______________   ___________________
      (должностное лицо)     (подпись, дата)     (И.О. Фамилия)
 
 
 

Приложение N 5
к Регламенту

      БЛАНК
    РОСКОСМОСА
 
                           УВЕДОМЛЕНИЕ
                        о выдаче лицензии
 
__________________________________________________________________
__________________________________________________________________
__________________________________________________________________
  (наименование юридического лица, ОГРН, ИНН, место нахождения)
    Настоящим   уведомляетесь,  что  по  результатам  рассмотрения
заявления и документов (исх. от "  "  ___________ 200  г. N    ) о
предоставлении  лицензии  на  космическую деятельность Роскосмосом
принято  решение  о  предоставлении  Вашей организации лицензии на
космическую деятельность N    от "  "       200  г.
    Для  получения  лицензии  необходимо  оплатить  в  федеральный
бюджет государственную пошлину в размере одной тысячи рублей.
    Реквизиты банка получателя:
 
Отделение 1 Московского ГТУ Банка 
России, г. Москва 705
Банк получателя
БИК 
44583001
Сч. N
 
ИНН 7702361674 
КПП 770201001
Сч. N
40101810800000010041 
 
 
Вид оп. 
01
Срок плат.
 
 
Наз. пл.
 
Очер. плат. 
   4   
Получатель: 
УФК по г. Москве (для Роскосмоса)
Код
 
Рез. поле 
 
25911302031010000130
45286596000
 
 
 
 
 
Государственная пошлина за предоставление лицензии 
(НДС не облагается).
Назначение платежа: 
 
    Лицензия   может   быть   выдана   в   течение  3  дней  после
представления  документа,  подтверждающего  оплату государственной
пошлины,   руководителю   юридического   лица  либо  представителю
юридического  лица  при  наличии  документа,  подтверждающего  его
полномочия.
 
    ______________________   _______________   ___________________
      (должностное лицо)     (подпись, дата)     (И.О. Фамилия)
 
 
 

Приложение N 6
к Регламенту

      БЛАНК
    РОСКОСМОСА
 
                           УВЕДОМЛЕНИЕ
                   об отказе в выдаче лицензии
 
__________________________________________________________________
  (наименование юридического лица, ОГРН, ИНН, место нахождения)
 
    Настоящим уведомляетесь, что   по   результатам   рассмотрения
заявления  и  документов   (исх. N   от "  " ____________ 200  г.)
о предоставлении лицензии на _____________________________________
__________________________________________________________________
                 (с указанием вида деятельности)
Роскосмосом   принято   решение   об отказе в предоставлении Вашей
организации лицензии (приказ от "  " ________ 200  г. N _____).
Причины отказа: __________________________________________________
__________________________________________________________________
__________________________________________________________________
__________________________________________________________________
Вы   имеете  право  обжаловать  принятое  решение    в    порядке,
установленном законодательством Российской Федерации.
 
Должностное лицо   ___________________   _________________________
                     (подпись, дата)          (И.О. Фамилия)
 
 
 

Приложение N 7
к Регламенту

      БЛАНК
    РОСКОСМОСА
 
                             ВЫПИСКА
               из реестра лицензий на осуществление
                     космической деятельности
 
    Информация  по конкретной лицензии предоставляется в следующем
объеме:
    1. Полное и (в случае, если имеется) сокращенное наименование,
в  том  числе  фирменное  наименование,  и организационно-правовая
форма, место его нахождения, ОГРН, ИНН
    2. Номер лицензии
    3. Срок действия лицензии
    4. Сведения о продлении лицензии
    5. Сведения о переоформлении лицензии
    6. Сведения о приостановлении срока действия лицензии
    7. Сведения о возобновлении действия лицензии
    8. Сведения об аннулировании лицензии
    9. Сведения о прекращении действия лицензии
 
    ______________________   _______________   ___________________
      (должностное лицо)        (подпись)        (И.О. Фамилия)
 
 
 

Приложение N 8
к Регламенту

БЛОК-СХЕМА
ПОСЛЕДОВАТЕЛЬНОСТИ ДЕЙСТВИЙ ПРИ ИСПОЛНЕНИИ ГОСУДАРСТВЕННОЙ ФУНКЦИИ ПО ЛИЦЕНЗИРОВАНИЮ КОСМИЧЕСКОЙ ДЕЯТЕЛЬНОСТИ