Письмо Минфина РФ от 02.02.2004 N 24-07/04

"О составлении страховыми организациями Отчета о страховых резервах по страхованию иному, чем страхование жизни"

МИНИСТЕРСТВО ФИНАНСОВ РОССИЙСКОЙ ФЕДЕРАЦИИ

ПИСЬМО
от 2 февраля 2004 г. N 24-07/04

О СОСТАВЛЕНИИ СТРАХОВЫМИ ОРГАНИЗАЦИЯМИ ОТЧЕТА О СТРАХОВЫХ РЕЗЕРВАХ ПО СТРАХОВАНИЮ ИНОМУ, ЧЕМ СТРАХОВАНИЕ ЖИЗНИ

В связи с поступающими запросами о составлении Отчета о страховых резервах по страхованию иному, чем страхование жизни (форма N 8 - страховщик), утвержденного Приказом Министерства финансов Российской Федерации от 8 декабря 2003 г. N 113н, Министерство финансов Российской Федерации сообщает следующее.

В соответствии с пунктом 15 Правил формирования страховых резервов по страхованию иному, чем страхование жизни, утвержденных Приказом Министерства финансов Российской Федерации от 11 июня 2002 г. N 51н, для расчета страховых резервов по страхованию иному, чем страхование жизни, страховые организации могут внутри каждой учетной группы вводить дополнительные учетные группы договоров.

Страховым организациям, рассчитывающим стабилизационный резерв по дополнительным учетным группам договоров, при составлении Отчета о страховых резервах по страхованию иному, чем страхование жизни (форма N 8 - страховщик), в подразделе 3.11 "Доходы, расходы, финансовый результат и другие показатели по договорам страхования, сострахования и перестрахования по учетной группе" следует определять предельный размер стабилизационного резерва по учетной группе как сумму предельных размеров стабилизационных резервов по дополнительным учетным группам, коэффициент состоявшихся убытков и среднюю величину коэффициента состоявшихся убытков по учетной группе следует определять как средневзвешенные значения указанных величин по дополнительным учетным группам.

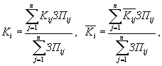
Учитывая изложенное, коэффициент состоявшихся убытков по учетной группе и средняя величина коэффициента состоявшихся убытков по учетной группе определяются следующим образом:

где K_i - коэффициент состоявшихся убытков по учетной группе i;

K_ij - коэффициент состоявшихся убытков по дополнительной учетной группе j учетной группы i;

- средняя величина коэффициента состоявшихся убытков по учетной группе i;

- средняя величина коэффициента состоявшихся убытков по дополнительной учетной группе j учетной группы i;

ЗП_ij - заработанная страховая премия по дополнительной учетной группе j учетной группы i;

n - количество дополнительных учетных групп учетной группы i.

Коэффициент состоявшихся убытков по учетной группе и средняя величина коэффициента состоявшихся убытков по учетной группе рассчитываются с точностью до двух знаков после запятой.

М.А.МОТОРИН