Письмо МНС РФ от 12.05.99 N АС-6-09/398@

"О порядке расчета процентов за пользование бюджетными средствами"
Редакция от 12.05.1999 — Документ не действует

Данный документ признан не действующим с 01.07.2022 (Письмо ФНС РФ от 01.07.2022 N КЧ-4-8/8351@).


МИНИСТЕРСТВО РОССИЙСКОЙ ФЕДЕРАЦИИ ПО НАЛОГАМ И СБОРАМ

ПИСЬМО
от 12 мая 1999 г. N АС-6-09/398@

О ПОРЯДКЕ РАСЧЕТА ПРОЦЕНТОВ ЗА ПОЛЬЗОВАНИЕ БЮДЖЕТНЫМИ СРЕДСТВАМИ

В связи с вступлением в действие с 1 января 1999 года Налогового кодекса Российской Федерации изменился порядок начисления процентов за пользование бюджетными средствами при предоставлении отсрочек и рассрочек по уплате налогов и сборов.

Министерство Российской Федерации по налогам и сборам разработало и направляет для руководства в работе Порядок расчета процентов за пользование бюджетными средствами по:

- отсрочкам, предоставленным уполномоченными финансовыми органами (приложение N 1);

- рассрочкам, предоставленным уполномоченными финансовыми органами (приложение N 2);

- рассрочкам, предоставленным налоговыми органами в порядке реструктуризации задолженности по налоговым платежам, включая пени и штрафы (приложение N 3).

Указанные Порядки распространяются на отсрочки и рассрочки по уплате налогов и сборов, предоставленные уполномоченными финансовыми органами после 1 января 1999 года.

Кроме того, данные Порядки распространяются на рассрочки, предоставленные в порядке реструктуризации, по которым не истекли сроки предоставления рассрочки. Расчет процентов за пользование бюджетными средствами начиная с 01.01.99 в данном случае производится на оставшиеся не погашенные суммы по реструктуризируемой задолженности в соответствии с Порядком, доведенным настоящим письмом.

А.В.СМИРНОВ

Приложение N 1

ПОРЯДОК
РАСЧЕТА ПРОЦЕНТОВ ЗА ПОЛЬЗОВАНИЕ БЮДЖЕТНЫМИ СРЕДСТВАМИ ПО ОТСРОЧКАМ, ПРЕДОСТАВЛЕННЫМ УПОЛНОМОЧЕННЫМИ ФИНАНСОВЫМИ ОРГАНАМИ

Плата за пользование средствами бюджета при предоставлении отсрочек по уплате налогов и других обязательных платежей (PPO) исчисляется в следующем порядке:

где n - количество ставок рефинансирования Центрального банка Российской Федерации, действующих в период пользования отсрочкой;

i - порядковый номер ставки рефинансирования Центрального банка Российской Федерации, действующей в период пользования отсрочкой;

- i-тая ставка рефинансирования (в процентах), установленная Центральным банком Российской Федерации, действующая в период пользования отсрочкой;

- размер процента, установленный в Решении уполномоченного органа о предоставлении отсрочки, который может принимать значения:

365 - количество календарных дней в году (366 - если год високосный);

- размер платы (в процентах) за пользование средствами бюджета при предоставлении

отсрочек за один день при i-той ставке рефинансирования Центрального банка Российской Федерации (с округлением до 2-х десятичных знаков после запятой);

N - общая сумма задолженности по конкретному налоговому платежу, отсроченная к уплате, в соответствии с Решением уполномоченного органа;

- количество календарных дней действия i-той ставки рефинансирования Центрального банка Российской Федерации, за период пользования отсрочкой:

D - общее количество календарных дней пользования отсрочкой. При этом число календарных дней действия отсрочки определяется начиная с даты ее предоставления по дату завершения действия отсрочки.

Пример расчета процентов
за пользование средствами бюджета при предоставлении отсрочек по уплате налогов:

Рассрочка по уплате задолженности по налогу на прибыль в сумме N = 6000 рублей предоставлена налогоплательщику на 6 месяцев с 15

марта по 15 сентября и в соответствии с графиком установлена помесячная уплата (m = 6) причитающейся части рассроченной задолженности (SV = 6000 / 6 = 1000 рублей). В соответствии с графиком уплаты установлены сроки внесения причитающейся части рассроченного к уплате налога и процентов - 15 числа каждого месяца, начиная с 15 апреля по 15 сентября.

Кроме того, с 15 марта по 22 июня действовала ставка рефинансирования SR1 = 60%, а с 23 июня по 15 сентября - SR2 = 40%.

Размер процента, установленный Решением уполномоченного органа, составляет RP = 1 / 2 = 0,5.

Величина D рассчитывается по каждому месяцу отдельно и умножается на величину Nk, которая после каждой очередной уплаты уменьшается на сумму произведенной выплаты.

1) По первому сроку уплаты 15 апреля, установленному графиком, причитается к уплате SV = 1000 рублей по налогу. Для расчета процентов по этому сроку величина N1 = 6000, величина D = KD1 = 32 (с 15 марта по 15 апреля включительно), а величина SR1 = 60. Плата

в виде процентов за пользование средствами бюджета составляет:

PPR1 = (60 х 0,5 / 365) х (6000 х 32 / 100) = 0,08 х 1920 = 153,60 рублей.

2) По второму сроку уплаты 15 мая:

SV = 1000, N2 = 6000 - (1000 х (2 - 1)) = 6000 - 1000 = 5000, D = KD1 = 30 (с 16 апреля по 15 мая включительно), SR1 = 60. Плата в виде процентов за пользование средствами бюджета составляет:

PPR2 = (60 х 0,5 / 365) х (5000 х 30 / 100) = 0,08 х 1500 = 120,00 рублей.

3) По третьему сроку уплаты 15 июня:

SV = 1000, N3 = 6000 - (1000 х (3 - 1)) = 6000 - 2000 = 4000, D = KD1 = 31 (с 16 мая по 15 июня включительно), SR1 = 60. Плата в виде процентов за пользование средствами бюджета составляет:

PPR3 = (60 х 0,5 / 365) х (4000 х 31 / 100) = 0,08 х 1240 = 99,20 рублей.

4) По четвертому сроку уплаты 15 июля:

SV = 1000, N4 = 6000 - (1000 х (4 - 1)) = 6000 - 3000 = 3000, D = 30 (с 16 июня по 15 июля включительно), из них с 16 июня по 22 июля KD1 = 7 SR1 = 60, а с 23 июня по 15 июля KD1 = 7 SR2 = 40.

Плата в виде процентов за пользование средствами бюджета составляет PPR4 = 51,30 рублей, из них:

- за период с 16 июня по 22 июля

(60 х 0,5 / 365) х (3000 х 7 / 100) = 0,08 х 210 = 16,80 рублей;

- за период с 23 июня по 15 июля

(40 х 0,5 / 365) х (3000 х 23 / 100) = 0,05 х 690 = 34,50 рублей.

5) По пятому сроку уплаты 15 августа:

SV = 1000, N5 = 6000 - (1000 х (5 - 1)) = 6000 - 4000 = 2000, D = KD1 = 31 (с 16 июля по 15 августа включительно), SR1 = 40.

Плата в виде процентов за пользование средствами бюджета составляет:

PPR5 = (40 х 0,5 / 365) х (2000 х 31 / 100) = 0,05 х 620 = 31,00 рублей.

6) По последнему (шестому) сроку уплаты 15 сентября:

SV = 1000, N6 = 6000 - (1000 х (6 - 1)) = 6000 - 5000 = 1000, D = KD1 = 31 (с 16 августа по 15 сентября включительно), SR1 = 40. Плата в виде процентов за пользование средствами бюджета составляет:

PPR6 = (40 х 0,5 / 365) х (1000 х 31 / 100) = 0,05 х 310 = 15,50 рублей.

После получения Решения уполномоченного органа о предоставлении рассрочки с установленным графиком уплаты налоговый орган на следующий день после установленного графиком срока уплаты задолженности рассчитывает за каждый истекший период и доводит (в пятидневный срок) до налогоплательщика суммы причитающихся к уплате процентов за пользование бюджетными средствами с указанием сроков их уплаты (не более 5 дней).

При досрочном прекращении действия рассрочки производится

пересчет причитающихся к уплате процентов по последнему сроку уплаты в соответствии с графиком, исходя из фактического числа дней пользования рассрочкой в этом периоде.

О суммах процентов, причитающихся к уплате после произведенных перерасчетов налоговые органы в пятидневный срок уведомляют налогоплательщика.

Пени на оставшуюся неуплаченной сумму недоимки при досрочном прекращении действия рассрочки начисляются начиная с 20-го дня, следующего за днем принятия уполномоченным органом решения о

досрочном прекращении рассрочки.

Приложение N 2

ПОРЯДОК
РАСЧЕТА ПРОЦЕНТОВ ЗА ПОЛЬЗОВАНИЕ БЮДЖЕТНЫМИ СРЕДСТВАМИ ПО РАССРОЧКАМ, ПРЕДОСТАВЛЕННЫМ УПОЛНОМОЧЕННЫМИ ФИНАНСОВЫМИ ОРГАНАМИ

Плата за пользование средствами бюджета при предоставлении рассрочек по уплате налогов и других обязательных платежей (PPRk) исчисляется отдельно за каждый период (месяц или квартал) в зависимости от графика уплаты, установленного Решением уполномоченного органа. Расчет производится в следующем порядке:

где k = 1, 2, 3,..., m

m - количество сроков погашения задолженности, установленных графиком уплаты;

k - порядковый номер срока погашения задолженности, установленного графиком уплаты;

n - количество ставок рефинансирования Центрального банка Российской Федерации, действующих в соответствующем месяце (квартале);

i - порядковый номер ставки рефинансирования Центрального банка Российской Федерации, действующей в соответствующем периоде;

- i-тая ставка рефинансирования (в процентах), установленная Центральным банком Российской Федерации, действующая в соответствующем периоде;

RP - размер процента, установленный в Решении уполномоченного органа о предоставлении рассрочки, который может принимать значения:

365 - количество календарных дней в году (366 - если год високосный);

- размер платы (в процентах) за пользование средствами бюджета при предоставлении рассрочек

за один день при i-той ставке рефинансирования Центрального банка Российской Федерации (с округлением до 2-х десятичных знаков после запятой);

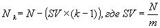
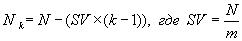
N - общая сумма задолженности по конкретному налоговому платежу,рассроченная к уплате, в соответствии с Решением уполномоченного органа. Величина N изменяет свое значение в каждом периоде (помесячно или поквартально) () в сторону уменьшения после погашения части задолженности (SV), в соответствии с установленным графиком:

- единовременная сумма выплаты рассроченной

задолженности по уплате налога;

- количество календарных дней действия i-той ставки рефинансирования Центрального банка Российской Федерации, в соответствующем периоде:

где D - количество календарных дней в соответствующем периоде, если предоставлена рассрочка и уплата производится в соответствии с установленным графиком. Величина D при предоставлении рассрочки определяется для первого срока уплаты начиная с даты

предоставления рассрочки по дату первого срока уплаты, установленную графиком. По второму сроку уплаты - со дня, следующего за первым сроком уплаты, по дату, установленную графиком для второго срока уплаты, и т.д.

Пример расчета процентов
за пользование средствами бюджета при предоставлении рассрочки по уплате налогов:

Рассрочка по уплате задолженности по налогу на прибыль в сумме N = 6000 рублей предоставлена налогоплательщику на 6 месяцев с 15

марта по 15 сентября и в соответствии с графиком установлена помесячная уплата (m = 6) причитающейся части рассроченной задолженности (SV = 6000 / 6 = 1000 рублей). В соответствии с графиком уплаты установлены сроки внесения причитающейся части рассроченного к уплате налога и процентов - 15 числа каждого месяца, начиная с 15 апреля по 15 сентября.

Кроме того, с 15 марта по 22 июня действовала ставка рефинансирования SR1 = 60%, а с 23 июня по 15 сентября - SR2 = 40%.

Размер процента, установленный Решением уполномоченного органа, составляет RP = 1 / 2 = 0,5.

Величина D рассчитывается по каждому месяцу отдельно и умножается на величину Nk, которая после каждой очередной уплаты уменьшается на сумму произведенной выплаты.

1) По первому сроку уплаты 15 апреля, установленному графиком, причитается к уплате SV = 1000 рублей по налогу. Для расчета процентов по этому сроку величина N1 = 6000, величина D = KD1 = 32 (с 15 марта по 15 апреля включительно), а величина SR1 = 60. Плата

в виде процентов за пользование средствами бюджета составляет:

PPR1 = (60 х 0,5 / 365) х (6000 х 32 / 100) = 0,08 х 1920 = 153,60 рублей.

2) По второму сроку уплаты 15 мая:

SV = 1000, N2 = 6000 - (1000 х (2 - 1)) = 6000 - 1000 = 5000, D = KD1 = 30 (с 16 апреля по 15 мая включительно), SR1 = 60. Плата в виде процентов за пользование средствами бюджета составляет:

PPR2 = (60 х 0,5 / 365) х (5000 х 30 / 100) = 0,08 х 1500 = 120,00 рублей.

3) По третьему сроку уплаты 15 июня:

SV = 1000, N3 = 6000 - (1000 х (3 - 1)) = 6000 - 2000 = 4000, D = KD1 = 31 (с 16 мая по 15 июня включительно), SR1 = 60. Плата в виде процентов за пользование средствами бюджета составляет:

PPR3 = (60 х 0,5 / 365) х (4000 х 31 / 100) = 0,08 х 1240 = 99,20 рублей.

4) По четвертому сроку уплаты 15 июля:

SV = 1000, N4 = 6000 - (1000 х (4 - 1)) = 6000 - 3000 = 3000, D = 30 (с 16 июня по 15 июля включительно), из них с 16 июня по 22 июля KD1 = 7 SR1 = 60, а с 23 июня по 15 июля KD1 = 7 SR2 = 40.

Плата в виде процентов за пользование средствами бюджета составляет PPR4 = 51,30 рублей, из них:

- за период с 16 июня по 22 июля

(60 х 0,5 / 365) х (3000 х 7 / 100) = 0,08 х 210 = 16,80 рублей;

- за период с 23 июня по 15 июля

(40 х 0,5 / 365) х (3000 х 23 / 100) = 0,05 х 690 = 34,50 рублей.

5) По пятому сроку уплаты 15 августа:

SV = 1000, N5 = 6000 - (1000 х (5 - 1)) = 6000 - 4000 = 2000, D = KD1 = 31 (с 16 июля по 15 августа включительно), SR1 = 40.

Плата в виде процентов за пользование средствами бюджета составляет:

PPR5 = (40 х 0,5 / 365) х (2000 х 31 / 100) = 0,05 х 620 = 31,00 рублей.

6) По последнему (шестому) сроку уплаты 15 сентября:

SV = 1000, N6 = 6000 - (1000 х (6 - 1)) = 6000 - 5000 = 1000, D = KD1 = 31 (с 16 августа по 15 сентября включительно), SR1 = 40. Плата в виде процентов за пользование средствами бюджета составляет:

PPR6 = (40 х 0,5 / 365) х (1000 х 31 / 100) = 0,05 х 310 = 15,50 рублей.

После получения Решения уполномоченного органа о предоставлении рассрочки с установленным графиком уплаты налоговый орган на следующий день после установленного графиком срока уплаты задолженности рассчитывает за каждый истекший период и доводит (в пятидневный срок) до налогоплательщика суммы причитающихся к уплате процентов за пользование бюджетными средствами с указанием сроков их уплаты (не более 5 дней).

При досрочном прекращении действия рассрочки производится

пересчет причитающихся к уплате процентов по последнему сроку уплаты в соответствии с графиком, исходя из фактического числа дней пользования рассрочкой в этом периоде.

О суммах процентов, причитающихся к уплате после произведенных перерасчетов налоговые органы в пятидневный срок уведомляют налогоплательщика.

Пени на оставшуюся неуплаченной сумму недоимки при досрочном прекращении действия рассрочки начисляются начиная с 20-го дня, следующего за днем принятия уполномоченным органом решения о

досрочном прекращении рассрочки.

Приложение N 3

ПОРЯДОК
РАСЧЕТА ПРОЦЕНТОВ ЗА ПОЛЬЗОВАНИЕ БЮДЖЕТНЫМИ СРЕДСТВАМИ ПО РАССРОЧКАМ, ПРЕДОСТАВЛЯЕМЫМ НАЛОГОВЫМИ ОРГАНАМИ В ПОРЯДКЕ РЕСТРУКТУРИЗАЦИИ ЗАДОЛЖЕННОСТИ ПО НАЛОГОВЫМ ПЛАТЕЖАМ, ВКЛЮЧАЯ ПЕНИ И ШТРАФЫ

Плата за пользование средствами бюджета при предоставлении рассрочек по уплате налогов и других обязательных платежей,

предоставляемых налоговыми органами в порядке реструктуризации (PPRRk) исчисляется отдельно за каждый месяц или квартал в зависимости от графика уплаты, установленного налоговым органом. Расчет производится в следующем порядке:

k = 1, 2, 3,..., m ,

m - количество сроков погашения задолженности, установленных графиком уплаты;

k - порядковый номер срока погашения задолженности, установленного графиком уплаты;

i = 1, 2, 3,..., n;

n - количество ставок рефинансирования Центрального банка Российской Федерации, действующих в соответствующем месяце (квартале);

i - порядковый номер ставки рефинансирования Центрального банка Российской Федерации, действующей в соответствующем месяце (квартале);

- i-тая ставка рефинансирования (в процентах), установленная Центральным банком Российской Федерации, действующая в соответствующем месяце (квартале);

RP - размер процента, равный

365 - количество календарных дней в году (366 - если год високосный);

- размер платы (в процентах) за пользование средствами бюджета при предоставлении рассрочек

за один день при i-той ставке рефинансирования Центрального банка Российской Федерации (с округлением до 2-х десятичных знаков после запятой);

N - общая сумма задолженности по конкретному налоговому платежу по справке налогового органа, рассроченная к уплате. Величина N изменяет свое значение помесячно или поквартально (Nk) в сторону уменьшения после погашения части задолженности (SV), в соответствии с установленным графиком:

- единовременная сумма выплаты рассроченной задолженности по уплате налога;

- количество календарных дней действия i-той ставки рефинансирования Центрального банка Российской Федерации в соответствующем месяце (квартале):

где D - количество календарных дней в соответствующем месяце (квартале) если предоставлена рассрочка и уплата производится в соответствии с установленным графиком. Величина D при предоставлении рассрочки определяется для первого срока уплаты начиная с даты предоставления рассрочки по дату первого срока уплаты, установленную графиком. По второму сроку уплаты - со дня, следующего за первым сроком уплаты, по дату, установленную графиком для второго срока уплаты, и т.д.

Примечание. В случае досрочного прекращения действия рассрочки величина D корректируется в зависимости от фактического числа дней пользования рассрочкой в соответствующем периоде.

Пример расчета процентов
за пользование бюджетными средствами по рассрочкам,
предоставляемым налоговыми органами в порядке
реструктуризации задолженности по налоговым
платежам, включая пени и штрафы:

Налоговый орган предоставил налогоплательщику рассрочку по уплате НДС в сумме N = 16000 рублей сроком на 4 года с 01.01.1999 по 01.01.2003 с установленной графиком поквартальной (m = 4 х 4 = 16) уплатой части задолженности (SV = 16000 / 16 = 1000) и процентов (PPRRk).

Ставка рефинансирования Центрального банка Российской Федерации с 08.07.1998 установлена 60%, с 23.06.1999. - 40%, с 01.02.2000 - 80%, с 01.08.2000 - 60%, с 01.04.2001 и до конца срока рассрочки (01.01.2003) ставка была 20%.

Графиком установлено, что ежегодно причитающиеся платежи должны быть зачислены в бюджет 31 марта, 30 июня, 30 сентября и 31 декабря. Величина D для первого квартала составит 90 дней (т.к. 2000 год високосный - D для первого квартала равно 91), для второго - 91, для третьего - 92 и для четвертого - 92 дня.

Поквартальный расчет процентов за пользование средствами бюджета приведен в следующей таблице:

Квартал (период) k i (%) (рублей) (дней) (рублей)
с по
01.01.99 31.03.99 1 1 60 16000 90 0,04 14400,00 576,00
01.04.99 22.06.99 2 1 60 15000 83 0,04 12450,00 498,00
23.06.99 30.06.99 2 2 20 15000 8 0,01 1200,00 12,00
01.04.99 30.06.99 2     15000 91     510,00
01.07.99 30.09.99 3 1 20 14000 92 0,01 12880,00 128,80
01.10.99 31.12.99 4 1 20 13000 92 0,01 11960,00 119,60
01.01.00 31.03.00 5 1 80 12000 91 0,05 10920,00 546,00
01.04.00 30.06.00 6 1 80 11000 91 0,05 10010,00 500,50
01.07.00 31.08.00 7 1 80 10000 62 0,05 6200,00 310,00
01.09.00 30.09.00 7 2 60 10000 30 0,04 3000,00 120,00
01.07.00 30.09.00 7     10000 92     430,00
01.10.00 31.12.00 8 1 60 9000 92 0,04 8280,00 331,20
01.01.01 31.03.01 9 1 60 8000 90 0,04 7200,00 288,00
01.04.01 30.06.01 10 1 20 7000 91 0,01 6370,00 63,70
01.07.01 30.09.01 11 1 20 6000 92 0,01 5520,00 55,20
01.10.01 31.12.01 12 1 20 5000 92 0,01 4600,00 46,00
01.01.02 31.03.02 13 1 20 4000 90 0,01 3600,00 36,00
01.04.02 30.06.02 14 1 20 3000 91 0,01 2730,00 27,30
01.07.02 30.09.02 15 1 20 2000 92 0,01 1840,00 18,40
01.10.02 31.12.02 16 1 20 1000 92 0,01 920,00 9,20

Примечание. В случае, когда срок уплаты совпадает с выходным (праздничным) днем, уплата производится в первый рабочий день после выходного (праздничного) дня.

В аналогичном порядке производится расчет процентов за пользование бюджетными средствами при предоставлении рассрочки по пени и штрафам.

Налоговый орган на следующий день после установленного графиком срока уплаты задолженности рассчитывает за каждый истекший период и доводит (в пятидневный срок) до налогоплательщика суммы причитающихся к уплате процентов за пользование бюджетными средствами с указанием сроков их уплаты (не более 5 дней).

При досрочном прекращении действия рассрочки, предоставляемой налоговыми органами, указанные органы обязаны заранее уведомить налогоплательщика о том, что рассрочка будет досрочно прекращена.

В решении налогового органа о досрочном прекращении действия рассрочки указывается дата, с которой прекращена рассрочка, сумма оставшейся неуплаченной задолженности и проценты за пользование бюджетными средствами, рассчитанные до даты прекращения действия рассрочки включительно.

На оставшуюся неуплаченной сумму недоимки по налогу производится начисление пеней начиная со дня, следующего за днем досрочного прекращения рассрочки, указанного в решении руководителя налогового органа.

Оставшаяся неуплаченной сумма рассроченной задолженности и неуплаченные проценты подлежат бесспорному взысканию.

Пример по досрочному прекращению рассрочки:

Налоговые органы предоставили налогоплательщику рассрочку по уплате НДС в сумме N = 16000 рублей сроком на 4 года с 01.01.1999 по 31.12.2002 с установленной графиком поквартальной (m = 4 х 4 = 16) уплатой части задолженности (SV = 16000 / 16 = 1000) и процентов (PPRRk).

Ставка рефинансирования Центрального банка Российской Федерации с 08.07.98 по 22.06.99 была установлена в размере 60%.

В установленный графиком срок 31.03.99 налогоплательщиком перечислено в бюджет вместо 1576,00 рублей (1000,00 рублей - в погашение задолженности и 576,00 рублей - проценты) только 900 рублей.

Налоговый орган 05.04.99 выносит решение о досрочном прекращении рассрочки, в котором указано, что рассрочка прекращена 02.04.98.

За период с 01.01.99 по 02.04.99 включительно начисляются проценты за пользование бюджетными средствами на сумму 16000 рублей ((60 х 0,25 / 365) х (16000 х 92 / 100) = 588,80 рублей), а с 03.04.98 производится в установленном порядке начисление пени на оставшуюся неуплаченной сумму недоимки (15100 рублей) за каждый день просрочки.

Основанием для досрочного прекращения отсрочек (рассрочек) является не только нарушение сроков уплаты задолженности, но и причитающихся процентов за пользование бюджетными средствами.