Приказ Ростехнадзора от 19.10.2007 N 703

"Об утверждении Методических указаний по разработке проектов нормативов образования отходов и лимитов на их размещение"
Редакция от 19.10.2007 — Документ утратил силу, см. «Приказ Ростехнадзора от 12.08.2014 N 358»

Зарегистрировано в Минюсте РФ 17 января 2008 г. N 10891


ФЕДЕРАЛЬНАЯ СЛУЖБА ПО ЭКОЛОГИЧЕСКОМУ, ТЕХНОЛОГИЧЕСКОМУ И АТОМНОМУ НАДЗОРУ

ПРИКАЗ
от 19 октября 2007 г. N 703

ОБ УТВЕРЖДЕНИИ МЕТОДИЧЕСКИХ УКАЗАНИЙ ПО РАЗРАБОТКЕ ПРОЕКТОВ НОРМАТИВОВ ОБРАЗОВАНИЯ ОТХОДОВ И ЛИМИТОВ НА ИХ РАЗМЕЩЕНИЕ

В целях реализации Федерального закона от 24 июня 1998 г. N 89-ФЗ "Об отходах производства и потребления" (ред. от 18.12.2006) (Собрание законодательства Российской Федерации, 1998, N 26, ст. 3009; 2001, N 1, ст. 21; 2003, N 2, ст. 167; 2004, N 35, ст. 3607; 2005, N 19, ст. 1752; 2006, N 1, ст. 10; 2006, N 52 (часть I), ст. 5498), во исполнение Постановления Правительства Российской Федерации от 16 июня 2000 г. N 461 "О Правилах разработки и утверждения нормативов образования отходов и лимитов на их размещение" (Собрание законодательства Российской Федерации, 2000, N 26, ст. 2772; 2006, N 52 (часть II), ст. 5587; 2007, N 36, ст. 4385) и в соответствии с Положением о Федеральной службе по экологическому, технологическому и атомному надзору, утвержденным Постановлением Правительства Российской Федерации от 30 июля 2004 г. N 401 "О Федеральной службе по экологическому, технологическому и атомному надзору" (Собрание законодательства Российской Федерации, 2004, N 32, ст. 3348; 2006, N 5, ст. 544; 2006, N 23, ст. 2527; 2006, N 52, ст. 5587), приказываю:

1. Утвердить прилагаемые Методические указания по разработке проектов нормативов образования отходов и лимитов на их размещение.

2. Направить настоящий Приказ на государственную регистрацию в Министерство юстиции Российской Федерации.

Руководитель
К.Б.ПУЛИКОВСКИЙ

УТВЕРЖДЕНЫ
Приказом Федеральной службы
по экологическому, технологическому
и атомному надзору
от 19 октября 2007 г. N 703

МЕТОДИЧЕСКИЕ УКАЗАНИЯ
ПО РАЗРАБОТКЕ ПРОЕКТОВ НОРМАТИВОВ ОБРАЗОВАНИЯ ОТХОДОВ И ЛИМИТОВ НА ИХ РАЗМЕЩЕНИЕ

I. Общие положения

1. Методические указания по разработке проектов нормативов образования отходов и лимитов на их размещение (далее - Методические указания) предназначены для индивидуальных предпринимателей и юридических лиц, осуществляющих деятельность в области обращения с отходами (далее - хозяйствующие субъекты), а также территориальных органов Федеральной службы по экологическому, технологическому и атомному надзору (далее - территориальные органы Ростехнадзора), принимающих решение об утверждении нормативов образования отходов и лимитов на их размещение.

2. Методические указания определяют единый подход к разработке и общие требования к содержанию и оформлению проектов нормативов образования отходов и лимитов на их размещение.

3. Действие Методических указаний не распространяется на вопросы обращения с радиоактивными отходами.

4. При разработке проектов нормативов образования отходов и лимитов на их размещение (далее - ПНООЛР) учитываются:

- объемы используемых сырья, материалов, изделий с учетом проектной мощности;

- результаты инвентаризации отходов и объектов их размещения;

- наличие и мощность имеющихся объектов использования и обезвреживания отходов данного вида;

- наличие, вместимость, мощность и расчетный срок эксплуатации имеющихся объектов размещения отходов;

- экологические, санитарно-гигиенические и иные требования к размещению отходов;

- возможность обеспечения сохранности ресурсного потенциала у размещаемых отходов;

- экономически целесообразный объем транспортной партии для вывоза отходов;

- наличие имеющихся технологий переработки отхода данного вида, которые включены в банк данных о технологиях использования и обезвреживания отходов, являющийся составной частью государственного кадастра отходов;

- предельно допустимые вредные воздействия отходов, предполагаемых к размещению, на окружающую среду;

- экологическая обстановка на территории.

5. Хозяйствующие субъекты разрабатывают и оформляют ПНООЛР в соответствии с Приложением 2 к Методическим указаниям и представляют указанные проекты на утверждение в территориальные органы Ростехнадзора в двух экземплярах на бумажном носителе, а также на магнитном носителе.

В случае наличия у хозяйствующего субъекта территориально обособленных подразделений (филиалов), расположенных в разных муниципальных районах или городских округах, ПНООЛР разрабатываются для каждого территориально обособленного подразделения (филиала) отдельно.

Если хозяйствующий субъект выступает в качестве арендодателя части производственных территорий, помещений или оборудования и предоставляет арендатору право размещать отходы на собственных объектах, то отходы арендатора должны быть включены в ПНООЛР арендодателя. В случае, если арендатор самостоятельно осуществляет деятельность по обращению с отходами, к ПНООЛР прилагаются документы, подтверждающие эти обязательства арендатора.

6. Для индивидуальных предпринимателей и юридических лиц непроизводственной сферы разработка проектов нормативов образования отходов и лимитов на их размещение по решению территориального органа Ростехнадзора может осуществляться по упрощенной (декларативной) форме.

Проект нормативов образования отходов и лимитов на их размещение по упрощенной (декларативной) форме разрабатывается в случае образования у индивидуальных предпринимателей и юридических лиц отходов V, IV, III классов опасности для окружающей природной среды, а также отходов I класса опасности для окружающей природной среды, представленных только люминесцентными лампами, если:

суммарное количество отходов не превышает 150 тонн в год;

масса отходов III класса опасности для окружающей природной среды не превышает 5% от общей массы образующихся отходов;

отдельно предусмотрен порядок сбора и экологически безопасного размещения люминесцентных ламп.

7. Основными задачами при разработке ПНООЛР являются:

определение (расчет) годовых нормативов образования отходов;

определение (расчет), на основе нормативов образования отходов и объема произведенной продукции (оказанных услуг, выполненных работ), количества ежегодно образующихся отходов;

обоснование количества отходов, предлагаемых для использования и (или) обезвреживания;

обоснование количества отходов, предлагаемых для размещения определенным способом на установленный срок в конкретных объектах размещения отходов с учетом экологической обстановки на территории.

8. Неизменность производственного процесса и используемого сырья, определяющие виды и классы опасности для окружающей среды образующихся отходов, а также нормативы и количество их образования, представленные в ПНООЛР, подтверждаются хозяйствующими субъектами (их территориально обособленными подразделениями (филиалами)) в виде технического отчета о неизменности производственного процесса, используемого сырья и об обращении с отходами, оформляемого в соответствии с Приложением 3 к Методическим указаниям и ежегодно представляемого хозяйствующими субъектами в соответствующие территориальные органы Ростехнадзора в двух экземплярах на бумажном носителе, а также на магнитном носителе.

9. Основными задачами при составлении технического отчета о неизменности производственного процесса, используемого сырья и об обращении с отходами являются:

подтверждение неизменности производственного процесса и используемого сырья;

подтверждение заявленных в ПНООЛР видов, классов опасности для окружающей среды и количеств отходов, образующихся за отчетный период;

подтверждение удаления образованных за отчетный период отходов путем их использования, обезвреживания, размещения, передачи другим хозяйствующим субъектам в количествах, предусмотренных ПНООЛР.

10. Срок действия ПНООЛР для юридических лиц и индивидуальных предпринимателей, осуществляющих деятельность по размещению опасных отходов, устанавливается на срок действия лицензии на осуществление деятельности по сбору, использованию, обезвреживанию, транспортировке, размещению опасных отходов.

ПНООЛР и лимиты на размещение отходов для индивидуальных предпринимателей и юридических лиц, осуществляющих деятельность в области обращения с отходами на Байкальской природной территории, пересматриваются ежегодно.

В остальных случаях срок действия ПНООЛР составляет 5 лет.

II. Методы определения (расчета) нормативов образования отходов

11. В ПНООЛР приводятся обоснования годовых нормативов образования конкретных видов отходов на основании нормативов образования отходов. Годовые нормативы представляются в тоннах в год (т/год).

Годовой норматив образования отходов определяется на основе норматива образования отхода.

Норматив образования отходов определяет установленное количество отходов конкретного вида при производстве единицы продукции, т.е. представляет собой удельный показатель образования отходов на расчетную единицу, за которую в зависимости от источника образования отходов могут быть приняты:

единица произведенной продукции, единица используемого сырья - для отходов производства;

единица расстояния (например, километр) - для отходов обслуживания транспортных средств;

единица площади - для отходов при уборке территории;

человек - для отходов жилищ;

место в гостинице, столовой и пр.

В общем виде годовой норматив образования отходов определяется по следующей формуле:

ГНо = Но x Q , (1)

где

ГНо - годовой норматив образования отходов, т;

Но - норматив образования отходов, т/расчет. ед.;

Q - годовой объем выпускаемой продукции, перерабатываемого сырья, выполненных услуг и пр., относительно которых рассчитан норматив образования отходов.

Расчет годовых нормативов образования отходов, образующихся в результате физического или морального износа материалов и изделий, для которых в технической документации устанавливаются ограничения по сроку эксплуатации, допускается определять без предварительного определения норматива образования отхода по следующей формуле:

ГНо = Мi / T , (2)

где Мi - вес материалов, изделий, переходящих в состояние "отход";

T - срок эксплуатации материала, изделия.

11. Нормативы образования отходов, в зависимости от характера отходообразующих процессов и возможности получения исходных данных для расчета, определяют, используя следующие методы:

метод расчета по материально-сырьевому балансу;

метод расчета по удельным отраслевым нормативам образования отходов;

расчетно-аналитический метод;

экспериментальный метод;

метод расчета по фактическим объемам образования отходов (статистический метод).

12. Метод расчета по материально-сырьевому балансу.

Материально-сырьевой баланс является базовым при нормировании образования отходов производства. Расчет по материально-сырьевому балансу применяют при определении нормативов образования отходов в производствах, характеризующихся большой номенклатурой исходного сырья или продукции. Исходными данными для расчета являются:

количество используемого сырья и материалов в единицу времени;

количество сырья и материалов, перешедшее в продукцию;

количество произведенной продукции;

нормы естественной убыли;

количество веществ, выбрасываемых в атмосферный воздух и сбрасываемых со сточными водами.

В качестве исходных данных для расчета используются технологические карты, описание рецептур, технологические регламенты и другая документация, регламентирующая использование сырья и материалов, материалы учета расхода сырья и материалов, получения продукции, результаты инвентаризации источников выбросов, сбросов загрязняющих веществ, источников образования отходов, данные контроля выбросов, сбросов и образования отходов. Исходные данные фиксируются в табличном виде согласно образцу 1.1 Приложения 1 к Методическим указаниям.

В зависимости от имеющегося набора исходных данных расчет нормативов образования отходов может производиться по нескольким вариантам.

В случае, когда имеются данные по количеству отходов и выпускаемой продукции за единицу времени, норматив образования отходов определяется по формуле:

Но = О / q , (3)

где

Но - норматив образования отходов, т/ед. продукции;

О - количество отхода, образующегося за единицу времени в т;

q - объем продукции, выпускаемой за единицу времени.

В случае, когда отсутствуют данные по количеству отходов за единицу времени, но известно, какое количество сырья и материалов переходит в продукцию, сумма всех отходов, образующихся в течение единицы времени, рассчитывается по формуле:

SUМО = SUMN - SUMP - SUMHn - SUМВ - SUМС , (4)

где

SUМО - сумма всех отходов за единицу времени, т;

SUMN - суммарное количество сырья и материалов, поступивших в производство за единицу времени, т;

SUMP - суммарное количество сырья и материалов, уходящих в процессе производства в продукцию за единицу времени, т;

SUMHn - сумма неизбежных безвозвратных потерь сырья (материалов) в процессе производства за единицу времени, т;

SUМВ - суммарное количество загрязняющих веществ в составе выбросов в атмосферный воздух за единицу времени, т;

SUМС - суммарное количество загрязняющих веществ в составе сбросов за единицу времени, т.

При этом норматив образования отходов определяется по формуле:

Но = SUМО / q . (5)

В случае, когда отсутствуют данные по количеству сырья и материалов, переходящих в продукцию, но известно количество выпускаемой продукции в единицу времени, в формуле 4 величина SUMP заменяется на SUMq, которая представляет собой суммарное количество выпускаемой продукции в тоннах за единицу времени.

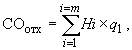
В отдельных случаях при образовании одного вида отхода при производстве нескольких видов продукции можно использовать групповой норматив образования отходов, представляющий собой удельное образование отходов на единицу валовой продукции. Для расчета группового норматива образования отходов сначала определяется суммарный объем образования отходов по формуле:

(6)

где

СО_отх - общий суммарный объем образования отходов;

Нi - норматив образования отхода в отходообразующем процессе при производстве каждого вида продукции, т;

q_i - объем выпуска i-го вида продукции;

i - индекс вида производимой продукции (i = 1, 2, 3, 4 ... m).

Средневзвешенный (групповой) норматив образования отходов на единицу валовой производимой продукции определяется по формуле:

(7)

Если для расчета нормативов образования отходов в документации, указанной выше, отсутствуют необходимые данные, проводятся натурные замеры для их получения.

13. Метод расчета по удельным отраслевым нормативам образования отходов.

Метод расчета по удельным отраслевым нормативам образования отходов основывается на применении справочных таблиц удельных нормативов образования отходов по отраслям промышленности либо удельных отраслевых нормативов образования отходов, установленных отраслевыми нормативными документами, согласованными Федеральной службой по экологическому, технологическому и атомному надзору.

Удельные отраслевые нормативы образования отходов разрабатываются:

путем усреднения индивидуальных значений нормативов образования отходов для организаций отрасли;

посредством расчета средних удельных показателей на основе анализа отчетной информации за определенный (базовый) период, выделения важнейших (экспертно устанавливаемых) нормообразующих факторов и определения их влияния на значение нормативов на планируемый период.

14. Расчетно-аналитический метод.

Применяется при наличии конструкторско-технологической документации (технологических карт, рецептур, регламентов, рабочих чертежей) на производство продукции, при котором образуются отходы. На основе такой документации в соответствии с установленными нормами расхода сырья (материалов) рассчитывается норматив образования отходов (Н_о) как разность между нормой расхода сырья (материалов) на единицу продукции и чистым (полезным) их расходом с учетом неизбежных безвозвратных потерь сырья.

Расчет осуществляется по формуле:

Н_о = N - Р_п - Н, (8)

где N - норма расхода сырья (материалов) на единицу продукции, т;

Р - расход сырья (материалов), необходимого для осуществления производственного процесса (работы), т;

Н_п - неизбежные безвозвратные потери сырья (материалов) в процессе производства, т.

Норматив образования отходов определяется по формуле:

Н_о = N (1 - К_п) - Р, (9)

где К_п = Н_п / N - коэффициент неизбежных потерь сырья (материалов).

Норматив образования отходов в процентах или как коэффициент выхода вторичного сырья (Н(1)_о) определяется по формуле:

(10)

где К_исп. - коэффициент использования сырья (материалов) при производстве продукции (К_исп. = Р / N).

По формулам (8) - (10) определяются нормативы образования каждого вида отходов.

Средневзвешенные (групповые) нормативы образования отходов на единицу валовой производимой продукции определяются по формуле:

(11)

где q_i - объем производимой продукции данного вида;

i - индекс вида производимой продукции (i = 1, 2, ... m).

Результаты расчетов нормативов образования отходов расчетно-аналитическим методом оформляются в табличном виде в соответствии с образцами 1.2, 1.3 и 1.4 Приложения 1 к Методическим указаниям.

15. Экспериментальный метод.

Для технологических процессов, допускающих определенный диапазон изменений составных элементов сырья (в литейном производстве, химической, пищевой, микробиологической и других отраслях промышленности), а также при большой трудоемкости аналитических расчетов применяется экспериментальный метод, который заключается в определении нормативов образования отходов на основе проведения опытных измерений в производственных условиях. Первоначально на основе статистической обработки опытных измерений массы полезного продукта, получаемого из единицы массы сырья (материалов), определяется показатель, характеризующий долю полезного продукта в единице сырья в процентах (С_пп). Исходя из значения этого показателя и данных о массе извлеченного из сырья полезного продукта (М_пп), определяется масса образования отходов (V_о) по формуле:

(12)

Норматив образования отхода на единицу произведенной продукции (Н(11)_о) определяется по формуле:

(13)

где Q_пр. - количество продукции, при производстве которой образуется отход.

Для изделий, находящихся в стадии освоения, нормативы образования отходов определяются экспериментальным путем на основе измерения массы отходов при производстве наиболее типичных видов продукции и определения средних по данному виду продукции показателей.

16. Метод расчета нормативов по фактическим объемам образования отходов (статистический метод).

Метод применяется для определения нормативов образования отходов на основе статистической обработки информации по обращению с отходами за базовый (не менее 3-х лет) период.

Исходные данные для расчета норматива образования отходов по сырью или продукции и результаты расчета норматива формируют в табличном виде в соответствии с образцом 1.6 Приложения 1 к Методическим указаниям. При этом сначала определяют удельное количество образования отходов по каждому году за рассматриваемый период. Удельное количество образования отходов находится путем деления количества образовавшихся отходов (графы 13 - 15) на количество использованного сырья (графы 3 - 5) или произведенной продукции (графы 8 - 10). Норматив образования отходов определяется по следующей формуле:

(14)

где: Ноi - удельное количество образованного в i-м году отхода;

T - количество лет в рассматриваемом периоде.

Аналогичным образом рассчитывается норматив образования отходов по любой другой расчетной единице (расстояние, площадь, человек и т.д.).

Метод применяется для определения нормативов образования отходов на основе статистической обработки отчетной информации за базовый (3-летний) период с последующей корректировкой данных в соответствии с планируемыми организационно-техническими мероприятиями, предусматривающими снижение материалоемкости производимой продукции.

III. Содержание и оформление проекта нормативов образования отходов и лимитов на их размещение

17. Проект нормативов образования отходов и лимитов на их размещение включает следующие разделы:

титульный лист, оформляемый в соответствии с Приложением 2 к настоящим Методическим указаниям;

содержание, в котором приводятся наименование и последовательность расположения разделов ПНООЛР с указанием номеров страниц;

аннотация;

общие сведения об индивидуальном предпринимателе или юридическом лице;

сведения о хозяйственной и иной деятельности, в результате осуществления которой образуются отходы;

сведения об отходах;

расчет и обоснование годовых нормативов образования отходов;

схема операционного движения отходов;

сведения об использовании и (или) обезвреживании отходов;

характеристика хранения отходов сроком до 3 лет и обоснование предельного количества накопления отходов;

характеристика хранения отходов сроком более 3 лет и захоронения отходов;

мониторинг состояния окружающей природной среды на территориях объектов размещения отходов и в пределах их воздействия на окружающую природную среду;

планы мероприятий по снижению количества образования и размещения отходов, обеспечению соблюдения действующих норм и правил в области обращения с отходами, сведения о противоаварийных мероприятиях;

предложения по лимитам на размещение отходов;

список использованной литературы;

приложения.

18. В разделе ПНООЛР "Аннотация" указываются:

наименование юридического лица или фамилия, имя и (в случае, если имеется) отчество индивидуального предпринимателя;

основной профиль хозяйственной и иной деятельности;

реквизиты лицензии на осуществление деятельности по сбору, использованию, обезвреживанию, транспортировке, размещению опасных отходов (для индивидуальных предпринимателей и юридических лиц, осуществляющих деятельность по сбору, использованию, обезвреживанию, транспортировке, размещению опасных отходов);

количество образующихся отходов по классам их опасности для окружающей природной среды;

количество объектов размещения отходов по их назначению: хранение сроком до 3 лет, хранение сроком более 3 лет и захоронение;

количество отходов, подлежащих использованию, обезвреживанию, размещению, по классам опасности для окружающей природной среды;

информация о планируемых мероприятиях в области обращения с отходами;

сведения о разработчике ПНООЛР.

19. В разделе ПНООЛР "Общие сведения об индивидуальном предпринимателе или юридическом лице" приводятся:

полное и (в случае, если имеется) сокращенное наименование, в том числе фирменное наименование, организационно-правовая форма юридического лица, место его нахождения, государственный регистрационный номер записи о создании юридического лица и данные документа, подтверждающего факт внесения записи о юридическом лице в Единый государственный реестр юридических лиц (ЕГРЮЛ), - для юридического лица;

фамилия, имя и отчество индивидуального предпринимателя, место его жительства, данные документа, удостоверяющего его личность, государственный регистрационный номер записи о государственной регистрации в качестве индивидуального предпринимателя и данные документа, подтверждающего факт внесения записи об индивидуальном предпринимателе в Единый государственный реестр индивидуальных предпринимателей (ЕГРИП), - для индивидуального предпринимателя;

сведения о территориально обособленных подразделениях (филиалах);

юридический и фактический адрес юридического лица и его территориально обособленных подразделений (филиалов);

номера телефонов, факса, адрес электронной почты юридического лица или индивидуального предпринимателя;

данные о постановке на учет в налоговом органе юридического лица или индивидуального предпринимателя - идентификационный номер налогоплательщика, дата постановки на учет, серия и номер свидетельства;

коды ОКПО, ОКОПФ, ОКФС, ОКВЭД, ОКАТО;

сведения об основных направлениях деятельности (для видов экономической деятельности, направленных на сбор, использование, обезвреживание или захоронение отходов от сторонних организаций и граждан, указывается информация о видах и объемах принимаемых отходов и обо всех операциях по обращению с отходами);

основные производственные показатели работы, в том числе объем выпускаемой продукции;

штатная и фактическая численность персонала;

перечень структурных подразделений;

наличие объектов хранения и захоронения отходов, находящихся в собственности, владении, пользовании;

перечень арендаторов, размещающих отходы на объектах индивидуального предпринимателя или юридического лица.

20. В разделе ПНООЛР "Сведения о хозяйственной и иной деятельности, в результате осуществления которой образуются отходы" представляются сведения о хозяйственной или иной деятельности, в результате осуществления которой образуются отходы, а также приводится характеристика производственных процессов как источников образования отходов.

Для видов экономической деятельности, направленной на производство продукции, указывается информация об основных видах сырья, производимой продукции, производственной мощности объектов.

Для видов экономической деятельности, направленной на оказание услуг, указываются виды и объемы оказываемых услуг (объемы перевозимого груза, количество посещений, койко-мест и др.).

В разделе приводится краткая характеристика структуры организации, включая подразделения, осуществляющие деятельность по производству продукции, по установке и (или) монтажу строительных элементов и оборудования, необходимых для эксплуатации зданий, по техническому обслуживанию и (или) ремонту приборов, аппаратуры, машин, оборудования, транспортных средств и др., технического обслуживания и (или) ремонта бытовых изделий и предметов личного пользования, офисных машин и вычислительной техники, деятельность по аналитическому контролю и пр., а также объекты социальной инфраструктуры (медсанчасти или здравпункты, объекты общественного питания, магазины и др.).

Сведения о производственных процессах как источниках образования отходов представляются в текстовой форме или в виде блок-схем по каждому производственному участку.

По каждому структурному подразделению (цеху, участку и т.д.), информация по которым включена в ПНООЛР, представляются блок-схемы технологических процессов, включающие в виде отдельных блоков:

используемые сырье, материалы, полуфабрикаты, иное;

производственные операции;

производимую продукцию (оказываемые услуги, выполняемые работы);

образующиеся отходы (по происхождению или условиям образования);

операции по дальнейшему обращению с отходами, включающие использование, обезвреживание, размещение отходов, передачу отходов другим структурным подразделениям или другим хозяйствующим субъектам.

Информация об образовании отходов при производстве продукции, осуществлении работ и услуг представляется в ПНООЛР согласно образцам 2.2 - 2.4 Приложения 2 к Методическим указаниям. Источником информации для подготовки данного раздела ПНООЛР служат результаты инвентаризации отходов.

Индивидуальные предприниматели и юридические лица, основной деятельностью которых является сбор, переработка, обезвреживание или захоронение отходов от сторонних организаций и граждан, в данном разделе представляют информацию об объеме и характеристиках принимаемых отходов и обо всех операциях по обращению с отходами.

В конце раздела приводится сводный перечень образующихся отходов, для которых устанавливается годовой норматив образования. Перечень оформляется в соответствии с образцом 2.5 Приложения 2 к Методическим указаниям.

Для видов отходов, отсутствующих в федеральном классификационном каталоге отходов (далее - ФККО) <*>, в соответствующем столбце таблицы по образцу 2.5 Приложения 2 к Методическим указаниям (а также других таблиц, в которых предусматривается код по ФККО), указывается код группы отходов, в тринадцатом разряде которого указывается "0", а в раздел "Приложения" включаются копии паспортов опасных отходов, свидетельств о классе опасности отхода для окружающей природной среды, а при их отсутствии - материалы по обоснованию отнесения таких отходов к конкретному классу опасности для окружающей среды в соответствии с Критериями отнесения опасных отходов к классу опасности для окружающей природной среды, утвержденными Приказом МПР России от 15 июня 2001 г. N 511 <**>.

<*> Федеральный классификационный каталог отходов ведется в составе государственного кадастра отходов в соответствии со статьей 20 Федерального закона от 24 июня 1998 г. N 89-ФЗ "Об отходах производства и потребления" (Собрание законодательства Российской Федерации, 1998, N 26, ст. 3009; 2001, N 1, ст. 21; 2003, N 2, ст. 167; 2004, N 35, ст. 3607; 2005, N 19, ст. 1752; 2006, N 1, ст. 10; 2006, N 52 (часть I), ст. 5498).

Федеральный классификационный каталог отходов утвержден Приказом МПР России от 2 декабря 2002 г. N 786 "Об утверждении федерального классификационного каталога отходов" (зарегистрирован в Минюсте России 9 января 2003 г. N 4107; Бюллетень нормативных актов федеральных органов исполнительной власти, 2003, N 4).

Дополнения в федеральный классификационный каталог отходов внесены Приказом МПР России от 30 июля 2003 г. N 663 "О внесении дополнений в федеральный классификационный каталог отходов, утвержденный Приказом МПР России от 02.12.2002 N 786 "Об утверждении федерального классификационного каталога отходов" (зарегистрирован в Минюсте России 14 августа 2003 г. N 4981).

<**> Приказ МПР России от 15 июня 2001 г. N 511 "Об утверждении критериев отнесения опасных отходов к классу опасности для окружающей природной среды" (не нуждается в государственной регистрации согласно заключению Минюста России от 24.07.2001 N 07/7483-ЮД, Природно-ресурсные ведомости, 2001, N 45).

21. В разделе ПНООЛР "Сведения об отходах" приводится перечень образующихся и (или) принимаемых на использование, обезвреживание, размещение отходов с указанием сведений о составе, физико-химических характеристиках отходов, классах опасности для окружающей природной среды.

Указанные сведения приводятся в соответствии с образцом 2.6 Приложения 2, для отходов, образуемых хозяйствующим субъектом, - на основании свидетельств о классе опасности отхода для окружающей природной среды, паспортов опасных отходов, материалов обоснования классов опасности отходов для окружающей среды и их опасных свойств; для принимаемых на использование, обезвреживание, размещение отходов - на основе свидетельств о классе опасности отхода для окружающей природной среды и паспортов опасных отходов, представляемых поставщиками отходов.

В текстовой части раздела приводятся сведения о проведенных работах по установлению классов опасности отходов для окружающей природной среды и их физико-химических свойств с указанием использованных методов. В приложении к ПНООЛР представляются копии свидетельств о классе опасности отхода для окружающей природной среды, паспортов опасных отходов, а при их отсутствии - материалы, подтверждающие отнесение отходов, не обладающих опасными свойствами, к пятому классу опасности для окружающей природной среды.

22. В разделе ПНООЛР "Расчет и обоснование годовых нормативов образования отходов" представляются расчеты нормативов образования отходов, рассчитанные (определенные) для каждого вида отхода с использованием методов определения (расчета) нормативов образования отходов, приведенных в разделе II Методических указаний.

Расчеты нормативов для каждого вида отхода оформляют в отдельном подразделе.

Рекомендуется исходные данные для расчетов, производимых методами материально-сырьевого баланса, расчетно-аналитическим и статистическим, представлять в табличном виде согласно Приложению 1 к Методическим указаниям. При использовании метода расчета по удельным показателям допускается представлять расчеты и обоснования в текстовой форме.

В текстовой форме приводятся по каждому виду отхода ссылки на соответствующие источники сведений, а также на приложения, удостоверяющие те или иные количественные показатели.

В случае наличия у индивидуального предпринимателя или юридического лица очистных сооружений для хозяйственно-бытовых и промышленных сточных вод или оборудования и установок водоподготовки, а также пылеулавливающих и газоочистных установок и оборудования следует представить их характеристики в соответствии с образцами 2.7, 2.8, 2.9 Приложения 2 к Методическим указаниям. Отходы, образующиеся при эксплуатации вышеперечисленных сооружений, установок, оборудования, включаются в общий перечень отходов.

В конце раздела по результатам расчетов формируется общий перечень образующихся отходов с указанием рассчитанных годовых нормативов образования отходов в соответствии с образцом 2.10 Приложения 2.

23. В разделе ПНООЛР "Схема операционного движения отходов" приводятся данные по образованию, использованию отходов, по передаче отходов другим организациям с целью переработки, обезвреживания и/или захоронения, указываются адреса и реквизиты поставщиков и потребителей отходов.

Целью данного раздела ПНООЛР является представление информации по обращению (образованию, использованию, обезвреживанию, получению, передаче, размещению) с каждым видом отходов.

Схема операционного движения отходов и информация о реквизитах (сведениях) о поставщиках и потребителях отходов приводятся в табличном виде в соответствии с образцами 2.11 и 2.12 Приложения 2. Для каждого вида отходов выделяется отдельная строка таблицы. В приложении к ПНООЛР приводятся копии договоров, реквизиты которых указаны в таблице 2.12.

24. В разделе ПНООЛР "Сведения об использовании и обезвреживании отходов" приводится информация об использовании и обезвреживании отходов, осуществляемых хозяйствующим субъектом, а также указываются виды образующихся при этом отходов. Характеристика объектов использования и обезвреживания отходов приводится в табличном виде по образцу 2.13 Приложения N 2. Для каждого объекта формируется отдельная таблица. Отходы, образующиеся на установках использования и обезвреживания, включаются в общий перечень отходов.

Если хозяйствующий субъект осуществляет использование отходов без применения объектов использования и обезвреживания (например, в качестве добавки к сырью, реагентам, для подсыпки дорог, в качестве подстилочного материала для содержания животных и птиц и др.), приводится информация о документах, регламентирующих или допускающих такое применение отходов (например, техническая документация предприятия, в том числе стандарты предприятия, технические регламенты, ведомственные нормативные документы, специально полученные согласования или заключения органов государственного контроля).

25. Раздел ПНООЛР "Характеристика хранения отходов сроком до 3 лет и обоснование предельного количества накопления отходов".

Хранение отходов сроком до 3 лет - хранение отходов с последующей передачей на использование, обезвреживание, размещение в течение срока не более 3 лет, определенного с учетом: санитарно-гигиенических, противопожарных и иных требований, норм, правил; времени формирования партии отходов для использования или обезвреживания; времени формирования транспортной партии отходов.

Если хозяйствующий субъект осуществляет образование, сбор отходов и хранение их в течение не более 3 лет с последующей передачей на использование, обезвреживание, размещение, то в данном разделе ПНООЛР приводятся обоснования предельного количества накопления отходов (совокупного количества отходов определенного вида, хранящихся единовременно на однотипных объектах хранения сроком до 3 лет, при условии обеспечения уровня воздействия на окружающую среду в допустимых пределах).

При обосновании предельного количества накопления отходов на объектах хранения отходов сроком до 3 лет хозяйствующие субъекты должны:

- для каждого вида размещаемого отхода сформулировать причину хранения: формирование транспортной партии, формирование партии для использования или обезвреживания, снижение класса опасности отходов, выделение ресурсной составляющей и т.д.;

- для каждого вида отхода обосновать срок хранения и величину предельного количества накопления;

- для опасных отходов, содержащих вещества 1 - 2 классов опасности и имеющих такие опасные свойства, как пожароопасность, взрывоопасность, рассмотреть необходимость введения ограничений по величине предельного количества накопления отходов на основании действующих нормативных документов по обеспечению безопасности хранения веществ и материалов;

- для каждого объекта хранения или для группы однотипных объектов рассмотреть на соответствие действующим нормам и правилам способ хранения отходов, имеющееся обустройство объектов, используемую для размещения тару.

Сведения об объектах хранения отходов, относящихся к таким типам, как открытая площадка, крытая площадка, помещение, стационарная емкость, с указанием предельного количества накопления отходов приводятся в табличном виде в соответствии с образцом 2.14 Приложения 2. Однотипные объекты представляются одной строкой с указанием их количества и общих характеристик по обустройству и способам хранения. При этом в графах 5 и 6 таблицы по образцу 2.14 Приложения 2 представляется их суммарная вместимость.

Сведения об остальных объектах хранения отходов сроком до 3 лет представляются в табличном виде в соответствии с образцом 2.15 Приложения 2. В тексте раздела приводится информация о сроке хранения отходов и обоснование срока хранения и периодичности удаления отходов с этих объектов.

26. Раздел ПНООЛР "Характеристика хранения отходов более 3 лет и захоронения отходов".

Если хозяйствующий субъект имеет отходы, которые не подлежат использованию и обезвреживанию, а требуют хранения сроком более 3 лет или захоронения, то в этом разделе приводятся обоснования величины лимитов на размещение этих отходов.

При обосновании лимитов на размещение отходов на объектах хранения сроком более 3 лет и захоронения хозяйствующие субъекты должны:

- обосновать необходимость размещения отходов (отсутствие специализированных предприятий по переработке отходов на данной территории, отсутствие экономически приемлемых технологий переработки отходов и т.д.);

- для каждого вида отхода обосновать величину запрашиваемого лимита;

- рассмотреть возможность включения в план природоохранных мероприятий мер по снижению образования отходов, подлежащих размещению, снижению количества отходов, направляемых на размещение.

При размещении отходов на собственных объектах размещения дополнительно следует:

- рассмотреть на соответствие действующим нормам и правилам применяемый способ размещения отходов, имеющееся обустройство объектов, используемую для размещения тару;

- рассмотреть возможные факторы негативного воздействия на окружающую среду при размещении отходов на объекте;

- дать характеристику системы контроля состояния окружающей среды, для действующих объектов по данным мониторинга оценить допустимость воздействия на окружающую среду.

В случае размещения отходов на объектах, находящихся в собственности, владении хозяйствующего субъекта, приводятся сведения об этих объектах в соответствии с образцом 2.15 Приложения 2.

27. В разделе ПНООЛР "Мониторинг состояния окружающей природной среды на территориях объектов размещения отходов и в пределах их воздействия на окружающую природную среду" представляется информация о мероприятиях по наблюдению за состоянием окружающей среды на территории объектов размещения отходов (объектов хранения сроком более 3 лет и захоронения отходов), а также сведения о результатах проведения мониторинга состояния окружающей природной среды на территориях объектов размещения отходов и в пределах их воздействия на окружающую природную среду.

Информация о состоянии окружающей среды представляется с указанием:

- объектов и точек контрольных замеров, периодичности отбора проб загрязняющих веществ по компонентам окружающей среды;

- если для проведения контрольных замеров привлекаются сторонние организации, указывается наименование организации, данные об аттестации и аккредитации лаборатории, в приложении к ПНООЛР приводится копия соответствующего договора;

- результатов контрольных замеров за последние 2 - 3 года, с указанием случаев превышения нормативов качества окружающей среды.

Сведения о результатах мониторинга состояния окружающей природной среды на территориях объектов размещения отходов и в пределах их воздействия на окружающую природную среду приводятся в табличном виде согласно образцу 2.16 Приложения 2. В приложении к ПНООЛР приводится ситуационный план с нанесением точек контрольных замеров, перечень используемых средств контроля и измерений с приложением свидетельств об их поверке.

28. В разделе ПНООЛР "Планы мероприятий по снижению количества образования и размещения отходов, обеспечению соблюдения действующих норм и правил в области обращения с отходами, сведения о противоаварийных мероприятиях" приводится информация о проводимых и планируемых мероприятиях по снижению негативного влияния образующихся отходов на состояние окружающей среды. Представляются сведения о мероприятиях, направленных на:

снижение количества образования отходов;

внедрение технологий по переработке, использованию, обезвреживанию отходов;

организацию и дооборудование мест размещения отходов, не отвечающих действующим требованиям;

вывоз ранее накопленных отходов;

проведение производственного контроля обращения с отходами и мониторинга состояния окружающей среды на территориях объектов размещения отходов.

Планы мероприятий по снижению количества образования и размещения отходов, обеспечению соблюдения действующих норм и правил в области обращения с отходами представляются в соответствии с образцом 2.17 Приложения 2.

В разделе представляется также информация о возможных аварийных ситуациях при обращении с опасными отходами, о противоаварийных мероприятиях и мерах по ликвидации аварий. Информация представляется в соответствии с образцом 2.18 Приложения 2.

29. В разделе ПНООЛР "Предложения по лимитам на размещение отходов" приводятся обоснования и величины нормативов образования отходов и лимитов на их размещение в табличном виде согласно образцу 2.19 Приложения 2. Для каждого вида отходов предусматривается отдельная строка таблицы.

Отходы группируются в таблице по классам опасности для окружающей природной среды.

30. Раздел ПНООЛР "Список использованной литературы".

В данном разделе ПНООЛР приводится перечень использованных в процессе подготовки ПНООЛР источников информации: справочников, научно-технической литературы, нормативно-методической документации, с указанием авторов, издательства и года издания.

31. Приложения к ПНООЛР.

В раздел "Приложения" ПНООЛР включаются:

копии паспортов опасных отходов, копии свидетельств о классе опасности отхода для окружающей природной среды либо материалы, обосновывающие отнесение отходов к классу опасности для окружающей природной среды (в соответствии с Критериями отнесения опасных отходов к классу опасности для окружающей природной среды, утвержденными Приказом МПР России от 15.06.2001 N 511, не подлежащим государственной регистрации согласно заключению Минюста России от 24.07.2001 N 07/7483-ЮД);

документы (копии договоров, актов, заверенные хозяйствующим субъектом), подтверждающие намерение на размещение отходов на специализированных объектах, передачу (или получение) отходов с целью их использования и (или) обезвреживания;

документы (копии договоров, актов, заверенные хозяйствующим субъектом), подтверждающие факты использования, обезвреживания, размещения отходов:

копии документов, заверенные хозяйствующим субъектом, об использовании, обезвреживании отходов хозяйствующим субъектом, хранении и захоронении отходов на самостоятельно эксплуатируемых объектах за отчетный период;

копии договоров (актов), заверенные хозяйствующим субъектом, о передаче-приеме отходов другим хозяйствующим субъектам за отчетный период для использования, обезвреживания, хранения и захоронения;

копии лицензий на деятельность по сбору, использованию, обезвреживанию, транспортировке, размещению опасных отходов, выданных хозяйствующим субъектам, которым осуществляется передача опасных отходов в собственность, либо на правах владения, пользования или распоряжения для использования, обезвреживания, хранения и захоронения;

карта-схема расположения объектов использования, обезвреживания и объектов размещения отходов на территории предприятия с экспликацией;

ситуационный план с нанесением точек контрольных замеров в рамках мониторинга состояния окружающей природной среды на территориях объектов размещения отходов и в пределах их воздействия на окружающую природную среду;

перечень используемых средств контроля и измерений;

документы, подтверждающие данные материально-сырьевого баланса и производственных показателей;

документы, подтверждающие обязательства арендатора самостоятельно осуществлять деятельность по обращению с отходами с соблюдением экологических и санитарно-гигиенических требований (если хозяйствующий субъект выступает в качестве арендодателя части производственных территорий, помещений или оборудования и арендатор самостоятельно осуществляет деятельность по обращению с отходами);

другое.

32. Упрощенная (декларативная) форма проекта нормативов образования отходов и лимитов на их размещение (ПНООЛР) включает следующие разделы:

титульный лист, оформляемый в соответствии с Приложением 2 к настоящим Методическим указаниям;

содержание, в котором приводятся наименование и последовательность расположения разделов ПНООЛР с указанием номеров страниц;

общие сведения об индивидуальном предпринимателе или юридическом лице;

сведения о хозяйственной и иной деятельности, в результате осуществления которой образуются отходы;

сведения об отходах;

расчет и обоснование годовых нормативов образования отходов;

предложения по лимитам на размещение отходов;

приложения.

Данные разделы оформляются согласно пунктам 19 - 22, 29 и 31 соответственно Методических указаний.

33. Страницы ПНООЛР нумеруются сквозной нумерацией, включая приложения.

34. К ПНООЛР прикладывается отдельный комплект учетных форм объектов использования и обезвреживания отходов и объектов размещения отходов (образцы 2.13 и 2.15) для включения этих объектов в государственный кадастр отходов.

IV. Содержание и оформление технического отчета о неизменности производственного процесса, используемого сырья и об обращении с отходами

35. Технический отчет о неизменности производственного процесса, используемого сырья и об обращении с отходами подтверждает, что сведения о перечне, свойствах и количестве разрешенных к размещению отходов, внесенные в ПНООЛР, не изменились в течение отчетного периода (года) в связи с неизменностью технологических процессов и использованного сырья.

36. Структура Технического отчета о неизменности производственного процесса, используемого сырья и об обращении с отходами (далее - Технический отчет) включает следующие разделы:

титульный лист;

подтверждение неизменности производственного процесса и используемого сырья;

сведения об обращении с отходами в течение отчетного периода (года);

приложения.

37. Титульный лист Технического отчета оформляется по образцу 3.1 Приложения 3.

38. Раздел Технического отчета "Подтверждение неизменности производственного процесса и используемого сырья" оформляется в соответствии с образцом 3.2 Приложения 3.

39. Раздел Технического отчета "Сведения об обращении с отходами в течение отчетного периода" включает информацию о:

балансе образовавшихся, использованных и размещенных отходов за отчетный период (в соответствии с образцами 3.3, 3.4 и 3.5 Приложения 3);

выполнении плана мероприятий за отчетный период по снижению негативного воздействия отходов на окружающую среду (в соответствии с образцом 3.6 Приложения 3);

введенных в эксплуатацию в отчетном периоде объектах использования, обезвреживания отходов (в соответствии с образцом 2.13 Приложения 2);

введенных в эксплуатацию (выведенных из эксплуатации, рекультивированных) в отчетном периоде объектах размещения отходов (в соответствии с образцами 2.14 и 2.15 Приложения 2).

40. В Приложениях к Техническому отчету представляются:

копии документов, заверенные хозяйствующим субъектом, об использовании, обезвреживании отходов хозяйствующим субъектом, хранении и захоронении отходов на самостоятельно эксплуатируемых объектах за отчетный период;

копии договоров на транспортировку отходов, документы, подтверждающие факт передачи отходов на использование, обезвреживание, размещение;

копии договоров (актов), заверенные хозяйствующим субъектом, о передаче-приеме отходов другим хозяйствующим субъектам за отчетный период для использования, обезвреживания, хранения и захоронения;

копии лицензий на деятельность по сбору, использованию, обезвреживанию, транспортировке, размещению опасных отходов, выданных хозяйствующим субъектам, которым осуществляется передача опасных отходов в собственность, либо на правах владения, пользования или распоряжения для использования, обезвреживания, хранения и захоронения.

Приложение 1
к Методическим указаниям
по разработке проектов
нормативов образования отходов
и лимитов на их размещение

ОБРАЗЕЦ 1.1
ИСХОДНЫЕ ДАННЫЕ ДЛЯ РАСЧЕТА НОРМАТИВА ОБРАЗОВАНИЯ ОТХОДОВ ПО МАТЕРИАЛЬНО-СЫРЬЕВОМУ БАЛАНСУ

Перечень сырья и материалов Количество сырья и материалов, поступающих, т/ед. времени Продукция, т/ед. времени Потери сырья и материалов, т/ед. времени
в производство в продукцию безвозвратные потери (естественная убыль) выбросы сбросы отходы
1 2 3 4 5 6 7 8 9
  N Р q Кп Нп В С О

УКАЗАНИЯ ПО ЗАПОЛНЕНИЮ ТАБЛИЦЫ ПО ОБРАЗЦУ 1.1

В графе 1 указывают наименование поступающих в производство сырья и материалов;

в графе 2 указывают количество сырья и материалов, поступивших в производство за ед. времени (указать) в тоннах;

в графе 3 указывают количество материалов, уходящих в процессе производства в продукцию за ед. времени в т;

в графе 4 указывают объем продукции, выпускаемой за ед. времени в тоннах;

в графе 5 указывают коэффициент безвозвратных потерь (естественной убыли);

в графе 6 указывают безвозвратные потери (естественная убыль) за единицу времени в тоннах;

в графах 7, 8, 9 указывают количество выбросов, сбросов и отходов за ед. времени в тоннах.

ОБРАЗЕЦ 1.2
РАСЧЕТ НОРМАТИВОВ ОБРАЗОВАНИЯ ОТХОДОВ, ОПРЕДЕЛЯЕМЫХ ОТНОСИТЕЛЬНО ЕДИНИЦЫ ПРОИЗВОДИМОЙ ПРОДУКЦИИ, РАСЧЕТНО-АНАЛИТИЧЕСКИМ МЕТОДОМ

Вид отхода Продукция Сырье или материалы
наименование код по ФККО наименование код по ОКП планируемое количество выпускаемой продукции, (q_i) единица измерения наименование код по ОКП
наименование код
1 2 3 4 5 6 7 8 9

Таблица 1.2 (продолжение)

Норма расхода первичного сырья, материалов на единицу продукции Количество (объем) образования отходов производства, (Н_о x q_i)
единица измерения величина нормы расхода, (N) чистый расход сырья, материалов, (Р) безвозвратные потери, (Н_п) коэффициент потерь, (К_п) норматив образования отхода производства, (Н_о) количество единица измерения
наименование код наименование код
10 11 12 13 14 15 16 17 18 19

В графах 1, 2 указать наименование и код отхода, который образуется в результате производства продукции, по Федеральному классификационному каталогу отходов (ФККО).

В графах 3, 4 указать наименование и код выпускаемой продукции по "Общероссийскому классификатору продукции" (ОКП).

В графе 5 указать планируемое количество (объем) выпускаемой продукции (q_i).

В графах 6, 7 указать наименование и код единицы измерения выпускаемой продукции по "Общероссийскому классификатору единиц измерений" (ОКЕИ).

В графах 8, 9 указать наименование и код сырья и материалов, используемых для производства данной продукции, по "Общероссийскому классификатору продукции" (ОКП).

В графах 10, 11 указать наименование и код единицы измерения нормы расхода первичного сырья (материалов) (N), чистого расхода сырья и материалов (Р), безвозвратных потерь (Н_п), норматива образования отхода производства (Н_о) на единицу производимой продукции из "Общероссийского классификатора единиц измерений" (ОКЕИ).

В графе 12 указать величину нормы расхода первичного сырья, материала на единицу производимой продукции (N).

В графе 13 указать чистый расход сырья и материалов на единицу продукции (Р).

В графе 14 указать безвозвратные потери сырья и материалов на единицу продукции (Н_п).

Графы 12, 13, 14 заполняются технологическими службами на основании данных технологических карт, сводных ведомостей норм расхода сырья, материалов на единицу продукции. В химической, микробиологической, пищевой промышленности в качестве первичных документов используются технологические регламенты производства продукции.

В графе 15 указать коэффициент неизбежных безвозвратных потерь (К_п), который рассчитывается по формуле

К_п = Н_п / N,

где Н_п - неизбежные безвозвратные потери сырья и материалов в процессе производства;

N - норма расхода сырья, материалов на единицу продукции.

В графе 16 указать норматив образования отхода производства (Н_о), который рассчитывается по формуле

Н_о = N (1 - К_п) - Р,

где N - норма расхода сырья, материалов на единицу продукции;

К_п - коэффициент неизбежных безвозвратных потерь;

Р - чистый (полезный) расход сырья и материалов.

В графе 17 указать количество (объем) образования отхода, которое рассчитывается как произведение норматива образования отхода (Н_о), образовавшегося в результате производства единицы продукции, на планируемое количество (объем) выпускаемой продукции (q_i).

В графах 18, 19 указать единицу измерения объема образования отхода и его код из "Общероссийского классификатора единиц измерений" (ОКЕИ).

ОБРАЗЕЦ 1.3
РАСЧЕТ ГРУППОВОГО НОРМАТИВА ОБРАЗОВАНИЯ ОТХОДОВ И СУММАРНОГО ОБЪЕМА ОБРАЗОВАНИЯ ОТХОДОВ

Вид отхода Групповой норматив образования отходов производства, (Н_о гр.) Общий объем образования отходов, (SUМН_о x q_i)
наименование код по ФККО величина единица измерения количество единица измерения
наименование код наименование код
1 2 3 4 5 6 7 8

При заполнении таблицы 1.3 возможны варианты, когда один и тот же вид отхода может образоваться при производстве различной продукции. В таких случаях необходимо рассчитать общий (суммарный) объем образования отходов:

m
SUM
i=1
N_i x q_i,

а также групповой норматив образования отходов (Н_о гр.) по следующей формуле:

где q_i - объем выпуска продукции; i - индекс вида производимой продукции (i = 1, 2 ... m).

ОБРАЗЕЦ 1.4
РАСЧЕТ НОРМАТИВОВ ОБРАЗОВАНИЯ ОТХОДОВ, ОПРЕДЕЛЯЕМЫХ ОТНОСИТЕЛЬНО ЕДИНИЦЫ ИСПОЛЬЗУЕМОГО СЫРЬЯ, РАСЧЕТНО-АНАЛИТИЧЕСКИМ МЕТОДОМ

Вид отхода Производство Технологический процесс Первичное сырье
наименование код по ФККО наименование код наименование код наименование код по ОКП объем сырья, при переработке которого образуются отходы, (Q_с)
величина единица измерения
наименование код
1 2 3 4 5 6 7 8 9 10 11

Образец 1.4 (продолжение)

Норма расхода первичного сырья, материалов на единицу сырья Норматив образования отходов
единица измерения величина нормы расхода, (N) чистый расход сырья, материалов, (Р) безвозвратные потери, (Н_п) коэффициент потерь,(К_п) коэффициент использования первичного сырья, материалов, (К_исп) в натуральных единицах измерения, (Н_о)
наименование код величина единица измерения
наименование код
12 13 14 15 16 17 18 19 20 21

Таблица 1.4 (продолжение)

Норматив образования отходов, (Н'_о) Количество (объем) образования отхода, (V_о)
величина единица измерения величина единица измерения
наименование код наименование код
22 23 24 25 26 27

В графах 1, 2 указать наименование и код отхода, который образуется в результате использования сырья, материалов, согласно Федеральному классификационному каталогу отходов (ФККО).

В графе 3 указать наименование производства, на котором образуются отходы.

В графах 4, 6 указать коды для машинной обработки (при наличии).

В графе 5 указать наименование технологического процесса, в котором образуются отходы.

В графах 7, 8 указать наименование и код сырья, материала, используемых для производства данной продукции, по "Общероссийскому классификатору продукции" (ОКП).

В графе 9 указать количество (объем) используемого материала (Q_с).

В графах 10, 11 указать наименование и код единицы измерения используемого сырья, материала по "Общероссийскому классификатору единиц измерений" (ОКЕИ).

В графах 12, 13 указать наименование и код единицы измерения нормы расхода первичного сырья (материалов) (N), чистого расхода сырья и материалов (Р), безвозвратных потерь (Н_п), норматива образования отхода производства (Н_о) на единицу производимой продукции из "Общероссийского классификатора единиц измерений" (ОКЕИ).

В графе 14 указать величину нормы расхода первичного сырья, материала на единицу используемого сырья (N).

В графе 15 указать чистый расход сырья и материалов на единицу продукции (Р).

В графе 16 указать безвозвратные потери сырья и материалов на единицу продукции (Н_п).

Графы 14, 15, 16 заполняются технологическими службами на основании данных технологических карт, сводных ведомостей норм расхода сырья, материалов на единицу продукции. В химической, микробиологической, пищевой промышленности в качестве первичных документов используются технологические регламенты производства продукции.

В графе 17 указать коэффициент неизбежных потерь (К_п), который рассчитывается по формуле:

К_п = Н_п / N,

где Н_п - неизбежные безвозвратные потери сырья и материалов в процессе производства;

N - норма расхода сырья, материалов.

В графе 18 указать коэффициент использования сырья (К_исп):

К_исп = Р ,
N

где Р - чистый расход сырья, материалов;

N - норма расхода сырья, материалов.

В графе 19 указать норматив образования отхода (Н_о), который рассчитывается по формуле:

Н_о = N (1 - К_п) - Р,

где N - норма расхода сырья, материалов на единицу продукции;

Р - чистый (полезный) расход сырья, материалов;

К_п - коэффициент неизбежных безвозвратных потерь.

В графах 20, 21 указать наименование и код единицы измерения норматива образования отхода (Н_о) по "Общероссийскому классификатору единиц измерений" (ОКЕИ).

В графе 22 указать величину норматива образования отхода в процентах (Н'_о):

Н'_о = 1 - К_исп - К_п,

где К_исп - коэффициент использования сырья, материалов;

К_п - коэффициент неизбежных безвозвратных потерь.

В графах 23, 24 указать наименование и код единицы измерения объема образования отхода из "Общероссийского классификатора единиц измерений" (ОКЕИ).

В графе 25 указать количество (объем) образования отхода (V_о), который рассчитывается как произведение норматива образования отхода, образовавшегося в результате использования сырья (Н_о), на объем (количество) используемого сырья, материалов (Q_с)

V_о = Q_с x Н_о ,

где Q_с - объем используемого сырья, материалов;

Н_о - норматив образования отхода.

В графах 26, 27 указать наименование и код единицы измерения количества (объема) образования отхода из "Общероссийского классификатора единиц измерений" (ОКЕИ).

ОБРАЗЕЦ 1.5
ИСХОДНЫЕ ДАННЫЕ И РЕЗУЛЬТАТЫ РАСЧЕТА НОРМАТИВА ОБРАЗОВАНИЯ ОТХОДОВ СТАТИСТИЧЕСКИМ МЕТОДОМ

Сырье, материалы Продукция
наименование количество (объем) сырья, при переработке которого образуются отходы, (Ос) наименование количество выпускаемой продукции, (Опр)
ед. измерения величина ед. измерения величина
200_ г. 200_ г. 200_ г. 200_ г. 200_ г. 200_ г.
1 2 3 4 5 6 7 8 9 10

Продолжение таблицы Образца 1.5

Вид отхода Количество (объем) образования отходов (Vо) Удельное количество образования отходов по годам
наименование код по ФККО величина ед. измерения величина ед. измерения
200_ г. 200_ г. 200_ г. 200_ г. 200_ г. 200_ г.
11 12 13 14 15 16 17 18 19 20

УКАЗАНИЯ ПО ЗАПОЛНЕНИЮ ТАБЛИЦЫ 1.5

В графе 1 указывают наименование сырья или материалов, при переработке которых образуются отходы;

в графе 2 указывают наименование единицы измерения объема сырья и материалов при производстве продукции;

в графах 3, 4, 5 указывают количество использованного сырья и материалов при производстве продукции по годам за рассматриваемый период;

в графе 6 указывают наименование продукции, при производстве которой образуются отходы;

в графе 7 указывают наименование единицы измерения продукции;

в графах 8 - 10 указывают количество продукции, при производстве которой образуются отходы, по годам за рассматриваемый период;

в графах 11, 12 указывают наименование и код по ФККО отхода, который образовался в результате переработки сырья или производства продукции;

в графах 13 - 15 указывают количество (объем) образования отхода по годам за рассматриваемый период;

в графах 16 указывают наименование единицы измерения количества образовавшегося отхода;

в графах 17 - 19 указывают величину удельного количества образования отхода относительно единицы продукции по годам за рассматриваемый период;

в графе 20 указывают наименование единицы измерения удельного количества образования отхода.

Приложение 2
к Методическим указаниям
по разработке проектов
нормативов образования отходов
и лимитов на их размещение

ОБРАЗЦЫ ДЛЯ ОФОРМЛЕНИЯ ПРОЕКТА НОРМАТИВОВ ОБРАЗОВАНИЯ ОТХОДОВ И ЛИМИТОВ НА ИХ РАЗМЕЩЕНИЕ

ОБРАЗЕЦ 2.1
ТИТУЛЬНЫЙ ЛИСТ

Код ОКПО __________  
           
    Руководитель организации или
индивидуальный предприниматель
 
      /   /
    (подпись)   (расшифровка подписи)  
           
    "__" __________ 20__ г.  
           
    М.П.  
           
  ПРОЕКТ  
  НОРМАТИВОВ ОБРАЗОВАНИЯ ОТХОДОВ И ЛИМИТОВ НА ИХ РАЗМЕЩЕНИЕ (ПНООЛР)  
           
           
  (Наименование юридического лица или ф.и.о. индивидуального предпринимателя)  
           
  (Наименование территориально обособленного подразделения (филиала))  
           
  место расположения (город, поселок)  
           
  год  

ОБРАЗЕЦ 2.2
ХАРАКТЕРИСТИКА ДЕЯТЕЛЬНОСТИ ПО ПРОИЗВОДСТВУ ПРОДУКЦИИ, СОПРОВОЖДАЮЩЕЙСЯ ОБРАЗОВАНИЕМ ОТХОДОВ

N п/п Наименование процесса Сырье, материалы Продукция Вещества, материалы, изделия, переходящие в состояние "отход" Операции по удалению отхода
1 2 3 4 5 6

ОБРАЗЕЦ 2.3
ХАРАКТЕРИСТИКА ДЕЯТЕЛЬНОСТИ ПО ОБСЛУЖИВАНИЮ И ОБЕСПЕЧЕНИЮ ПРОИЗВОДСТВА ПРОДУКЦИИ, СОПРОВОЖДАЮЩЕЙСЯ ОБРАЗОВАНИЕМ ОТХОДОВ

N п/п Вид деятельности Осуществляемые работы и услуги Вещества, материалы, изделия, переходящие в состояние "отход" Операции по удалению отхода
1 2 3 4 5

ОБРАЗЕЦ 2.4
ХАРАКТЕРИСТИКА ДЕЯТЕЛЬНОСТИ ОБЪЕКТОВ СОЦИАЛЬНОЙ ИНФРАСТРУКТУРЫ, СОПРОВОЖДАЮЩЕЙСЯ ОБРАЗОВАНИЕМ ОТХОДОВ

N п/п Вид деятельности Осуществляемые работы и услуги Вещества, материалы, изделия, переходящие в состояние "отход" Операции по удалению отхода
1 2 3 4 5

ОБРАЗЕЦ 2.5
ПЕРЕЧЕНЬ ОТХОДОВ, ДЛЯ КОТОРЫХ УСТАНАВЛИВАЕТСЯ ГОДОВОЙ НОРМАТИВ ОБРАЗОВАНИЯ

Отходообразующий вид деятельности, процесс Наименование вида отхода Код отхода по ФККО Класс опасности
1 2 3 4

УКАЗАНИЯ ПО ЗАПОЛНЕНИЮ ОБРАЗЦА 2.5

В графе 1 указывают отходообразующий вид деятельности, процесс.

В графах 2 - 4 указывают код отхода по ФККО и соответствующие коду наименование вида отхода, класс опасности.

ОБРАЗЕЦ 2.6
СОСТАВ И ФИЗИКО-ХИМИЧЕСКИЕ СВОЙСТВА ОТХОДОВ

N п/п Наименование вида отхода Отходообразующий вид деятельности, процесс Код по ФККО Класс опасности для окружающей среды Опасные свойства Физико-химические свойства отхода
агрегатное состояние наименование компонентов содержание компонентов, %
1 2 3 4 5 6 7 8 8

ОБРАЗЕЦ 2.7
ХАРАКТЕРИСТИКА ОЧИСТНЫХ СООРУЖЕНИЙ СТОЧНЫХ ВОД

Наименование очистного сооружения, установки
Метод очистки
Перечень и состав загрязняющих веществ, поступающих на очистку
N п/п Наименование загрязняющих веществ (ЗВ) Концентрация ЗВ, поступающих на очистку Ед. изм. концентрации Степень очистки, % Мощность, м3/час Время работы, часы в год
             
             
             
Перечень образующихся отходов
N п/п Наименование вида отхода Код отхода по ФККО Класс опасности Годовой норматив образования отхода, т/год
         
         
         

ОБРАЗЕЦ 2.8
ХАРАКТЕРИСТИКА УСТАНОВОК ИЛИ ОБОРУДОВАНИЯ ДЛЯ ВОДОПОДГОТОВКИ

Наименование установки или оборудования для водоподготовки
Тип (марка)
Метод очистки
Перечень и состав веществ, подлежащих удалению
N п/п Наименование вещества, подлежащего удалению Концентрация вещества, подлежащего удалению Ед. изм. концентрации Степень очистки, % Мощность, м3/час Время работы, часы в год
             
             
             
Перечень образующихся отходов
N п/п Наименование вида отхода Код отхода по ФККО Класс опасности Годовой норматив образования отхода, т/год
         
         
         

ОБРАЗЕЦ 2.9
ХАРАКТЕРИСТИКА ПЫЛЕУЛАВЛИВАЮЩИХ И ГАЗООЧИСТНЫХ УСТАНОВОК (ПГУ) И ОБОРУДОВАНИЯ

Наименование ПГУ, оборудования
Метод очистки
Перечень и состав улавливаемых загрязняющих веществ
N п/п Наименование загрязняющих веществ (ЗВ) Концентрация ЗВ, поступающих на очистку Ед. изм. концентрации Степень очистки, % Производительность, м3/час Время работы, часы в год
             
             
             
Перечень образующихся отходов
N п/п Наименование вида отхода Код отхода по ФККО Класс опасности Годовой норматив образования отхода, т/год
         
         
         

ОБРАЗЕЦ 2.10
ГОДОВЫЕ НОРМАТИВЫ ОБРАЗОВАНИЯ ОТХОДОВ ПРОИЗВОДСТВА И ПОТРЕБЛЕНИЯ

N п/п Наименование вида отхода Код по ФККО Класс опасности Отходообразующий вид деятельности, процесс <*> Годовой норматив образования отхода, т
1 2 3 4 5 6
           
  Итого I класса опасности:        
           
  Итого II класса опасности:        
           
  Итого III класса опасности:        
           
  Итого IV класса опасности:        
           
  Итого V класса опасности:        
           
  Всего:        

<*> В соответствии с результатами инвентаризации источников образования отходов.

ОБРАЗЕЦ 2.11
СХЕМА ОПЕРАЦИОННОГО ДВИЖЕНИЯ ОТХОДОВ

N п/п Код по ФККО Наименование вида отхода Класс опасности Наличие отходов на начало 20__ года, т Годовой норматив образования отхода, т Получение отходов от сторонних организаций в течение года Использование и обезвреживание отходов на собственном предприятии в течение года Передача отходов сторонним организациям в течение года Размещение отходов в течение года
количество, т цель приема количество, т направление использования количество, т цель передачи количество, т операция по размещению инв. номер объекта размещения
1 2 3 4 5 6 7 8 9 10 11 12 13 14 15

УКАЗАНИЯ ПО ЗАПОЛНЕНИЮ ОБРАЗЦА 2.11

В графе 1 указывают порядковый номер записи в таблице;

в графах 2 - 4 указывают код отхода по ФККО и соответствующие коду наименование вида отхода, класс опасности;

в графе 5 указывают наличие отходов на начало года на дату разработки ПНООЛР в тоннах;

в графе 6 указывают годовой норматив образования отходов в тоннах;

в графе 7 указывают количество отходов, планируемых к получению от сторонних организаций в тоннах;

в графах 8, 12 указывают цель приема/передачи отходов из следующего списка:

- использование;

- подготовка к использованию;

- обезвреживание (в том числе уничтожение сжиганием);

- захоронение;

- хранение;

в графе 9 указывают количество отходов, подлежащих использованию и обезвреживанию на собственном предприятии в тоннах;

в графе 10 указывают направление использования и обезвреживания из следующего списка:

- использование в качестве сырья;

- регенерация;

- извлечение ценных компонентов;

- использование в качестве топлива (кроме уничтожения сжиганием);

- использование в качестве удобрения;

- использование в качестве смазки;

- отсыпка и укрепление дорог, промплощадок и т.д.;

- обезвреживание (без использования термических методов);

- обезвреживание термическими методами;

- прочее (указать);

в графе 11 указывают количество отходов, планируемых к передаче сторонним организациям в тоннах;

в графе 13 указывают количество отходов, планируемых к размещению в течение года в тоннах;

в графе 14 указывают операции по размещению отходов из следующего списка:

- хранение сроком до 3 лет;

- хранение сроком более 3 лет;

- захоронение;

в графе 15 указывают инвентарный номер объекта размещения отходов.

ОБРАЗЕЦ 2.12
РЕКВИЗИТЫ (СВЕДЕНИЯ) О ОРГАНИЗАЦИЯХ - ПОСТАВЩИКАХ И ПОТРЕБИТЕЛЯХ ОТХОДОВ

Сведения об отходе Цель приема/ передачи Реквизиты поставщиков и потребителей отходов
N п/п наименование отхода код отхода по ФККО класс опасности вид организации наименование организации адрес организации ИНН N договора N лицензии
1 2 3 4 5 6 7 8 9 10 11

УКАЗАНИЯ ПО ЗАПОЛНЕНИЮ ОБРАЗЦА 2.12

В графе 1 указывают порядковый номер записи в таблице;

в графах 2 - 4 указывают код отхода по ФККО и соответствующие коду наименование вида отхода и класс опасности;

в графе 5 указывают цель приема/передачи для каждого поставщика или потребителя в отдельности:

- использование;

- подготовка к использованию;

- обезвреживание (в том числе уничтожение сжиганием);

- захоронение;

- хранение;

в графе 6 указывают вид организации - поставщик (ставятся буквы ПС) или потребитель (ставятся буквы ПР);

в графе 7 указывают полное наименование поставщика или потребителя данного вида отхода (заполняется на основе договоров или документов бухгалтерского учета);

в графе 8 указывают адрес фактического местонахождения поставщика или потребителя данного вида отхода;

в графе 9 указывают ИНН поставщика или потребителя отхода (заполняется на основе документов бухгалтерского учета); для иностранных организаций коды не проставляются, но в адресе указывается страна нахождения организации;

в графе 10 указывают номер договора (при наличии), по которому осуществлялся прием/передача отхода;

в графе 11 указывают номер лицензии на деятельность по сбору, использованию, обезвреживанию, транспортировке, размещению опасных отходов.

ОБРАЗЕЦ 2.13
ХАРАКТЕРИСТИКА ОБЪЕКТА ИСПОЛЬЗОВАНИЯ/ ОБЕЗВРЕЖИВАНИЯ ОТХОДОВ

Дата проведения инвентаризации ____________ 20__ г.

Лист ______ Листов _________

1. Инв. номер объекта   2. Назначение объекта   (код)
3. Расположение   4. ОКАТО территории расположения объекта   (код)
5. Наименование объекта (производство, цех, установка, участок):
6. Наименование технологии использования, обезвреживания или уничтожения отходов:
7.1 Наличие проекта на объект   7.2 Положительное заключение ГЭЭ   7.3 Дата   7.4 Номер  
7.5 Наименование органа ГЭЭ:
8. Размер санитарно-защитной зоны, м  
9. Виды и количество используемых, обезвреживаемых или уничтожаемых отходов:
9.1 Код по ФККО 9.2 Наименование отхода 9.3 Мощность
    т/год м3/год
         
         
10. Перечень продукции, полученной с использованием отходов:
10.1 Код ОКП 10.2 Наименование продукции 10.3 Наличие сертификата
     
     
11. Перечень образующихся отходов:
11.1 Код по ФККО 11.2 Наименование отхода
   
   
   
12. Виды мониторинга окружающей среды на объекте:
12.1 Наименование вида мониторинга 12.2 Соблюдение нормативов качества ОС
  (код)  
               
Полное (и сокращенное) наименование юридического лица (фамилия, имя, отчество индивидуального предпринимателя)
                 
Место нахождения юридического лица (место жительства индивидуального предпринимателя)
ОГРН   ИНН     ОКВЭД   ОКПО  
Почтовый адрес, телефон, факс, e-mail      
                 
Руководитель юридического лица
(индивидуальный предприниматель)
           
      (подпись)   (ФИО)
                 
МП       "__" ____________ 20__ г.

УКАЗАНИЯ ПО ЗАПОЛНЕНИЮ ОБРАЗЦА 2.13

В графе 1 указывают инвентарный номер объекта (установки) использования или обезвреживания (уничтожения) отхода; если инвентарный номер отсутствует, то он присваивается объектам использования или обезвреживания (уничтожения), начиная с единицы и далее по порядку.

В графу 2 вписывается назначение объекта и его код, которые выбирают из таблицы 1.

Таблица 1

Назначение объекта Код для машинной обработки
использование в качестве сырья или добавок к сырью 01
регенерация (восстановление) 02
извлечение ценных компонентов 03
использование в качестве топлива (кроме уничтожения сжиганием) 04
биологическая обработка с получением продукции (например, компостирование) 05
физико-химическая обработка, не упомянутая ранее, (например, выпаривание, сушка, прокаливание, нейтрализация, осаждение и т.д.) 06
измельчение для последующего использования 07
сортировка для последующего использования 08
обезвреживание биохимическое 09
обезвреживание реагентное (химическое) 10
обезвреживание термическое, в том числе уничтожение сжиганием 11
прочие (указать) 99

В графе 3 указывают один из вариантов расположения объекта:

- на основной производственной территории;

- на специально выделенной территории.

В графе 4 указывают код ОКАТО территории расположения объекта (первые 5 знаков).

В графе 5 приводят наименование производства, в рамках которого функционирует объект использования или обезвреживания (уничтожения) отходов, а также наименование самого объекта (установки).

В графу 6 вносят наименование технологии или способа использования/обезвреживания (уничтожения) отходов; наименование должно отражать суть применяемой технологии или способа.

В графе 7.1 указывают наличие проекта на данный объект (есть, нет).

В графах 7.2 - 7.5 указывают наличие положительного решения государственной экологической экспертизы по проекту на данный объект (есть, нет); наименование органа, выдавшего положительное заключение государственной экологической экспертизы, реквизиты документа.

В графе 8 для объектов, расположенных на обособленной территории, указывают наличие и размер санитарно-защитной зоны в метрах.

В графах 9.1 - 9.3 отдельной строкой перечисляют коды по ФККО и наименования отходов, которые могут быть, согласно регламенту, использованы или обезврежены (уничтожены) на данном объекте, а также указывают численное значение проектной мощности данного объекта по использованию или обезвреживанию каждого из перечисленных видов отходов, т/год и м3/год.

В графах 10.1 - 10.3 отдельной строкой перечисляют коды ОКП и наименования продукции, производимой на данном объекте с использованием отходов, а также приводят реквизиты сертификатов безопасности или соответствия, полученных на указанную продукцию.

В графах 11.1 - 11.2 приводят коды по ФККО и наименования отходов, образующихся в процессе функционирования данного объекта при получении продукции или после обезвреживания отходов.

В графе 12.1 отдельной строкой в соответствии с таблицей 2 вносят (перечисляют) виды мониторинга окружающей природной среды, которые фактически ведутся в связи с эксплуатацией объекта, и их коды.

Таблица 2

Виды мониторинга окружающей среды Код для машинной обработки
мониторинг грунтовых вод (наблюдательные скважины) 01
мониторинг поверхностных вод 02
мониторинг почвенного покрова 03
мониторинг атмосферного воздуха 04
мониторинг атмосферных осадков 05
мониторинг отсутствует 99

В графе 12.2 для каждого компонента окружающей среды приводят обобщенные результаты экологического мониторинга; варианты внесения записей следующие:

- превышения установленных нормативов качества окружающей среды отсутствуют;

- наблюдаются превышения по отдельным показателям;

- наблюдаются превышения по многим показателям.

ОБРАЗЕЦ 2.14
ХАРАКТЕРИСТИКА ОБЪЕКТОВ ХРАНЕНИЯ ОТХОДОВ СРОКОМ ДО 3 ЛЕТ <*>. ОБОСНОВАНИЕ ПРЕДЕЛЬНОГО КОЛИЧЕСТВА НАКОПЛЕНИЯ ОТХОДОВ

<*> Тип, вид объекта хранения отхода, а также способ хранения вида отхода в таблице могут быть приведены в виде сокращения, при условии расшифровки сокращения в тексте изложения материала.

Характеристика объекта размещения отходов Характеристика размещаемого отхода
инв. N тип объекта общая площадь, м2 обустройство объекта вместимость наименование вида отхода код по ФККО класс опасности способ хранения отхода срок хранения, дни, мес., год основание для установления срока хранения годовой норматив образования отхода предельное количество накопления отходов
т м3 т т м3
1 2 3 4 5 6 7 8 9 10 11 12 13 14 15

УКАЗАНИЯ ПО ЗАПОЛНЕНИЮ ОБРАЗЦА 2.14

В графе 1 указывают инвентарный номер объекта размещения отходов, присвоенный по результатам инвентаризации;

в графе 2 указывают тип объекта размещения, который выбирается из следующего перечня:

- помещение (или его часть);

- крытая площадка;

- открытая площадка;

- стационарная емкость;

в графе 3 указывают общую площадь объекта в м2;

в графе 4 указывают обустройство объекта с использованием следующего перечня:

Для помещений:

- здание каменное;

- здание деревянное;

- стены окрашены краской;

- грунтовый пол;

- бетонный или асфальтобетонный пол;

- деревянный пол;

- вентиляция естественная;

- вентиляция принудительная;

- наличие решеток на окнах;

- наличие замков на дверях;

- наличие средств для ликвидации аварийной ситуации;

- прочее (указать).

Для остальных объектов:

- грунтовое основание;

- асфальтобетонное основание;

- ограждение;

- обваловка;

- наличие противопылевого обустройства;

- сбор ливневых вод;

- наличие средств для ликвидации аварийной ситуации;

- прочее (указать);

в графах 5 - 6 указывают вместимость объекта в тоннах и м3; для однотипных объектов указывают суммарную вместимость;

в графах 7 - 9 указывают код отхода по ФККО и соответствующие коду наименование вида отхода и класс опасности;

в графе 10 указывают наименование способа хранения отхода:

если отход размещается без тары, то выбирают одну из следующих записей:

- без тары (навалом, насыпью и пр.) раздельно с другими отходами;

- без тары (навалом, насыпью и пр.) в смеси с другими отходами;

если отход размещается в таре, то указывают способ хранения и вид тары (баллоны, бочки, контейнеры, поддоны и т.д.) и материал тары (стеклянная, деревянная, металлическая, полимерная, бумажная, картонная и т.д.) с использованием следующих вариантов:

- в открытой таре раздельно;

- в открытой таре в смеси;

- в закрытой таре раздельно;

в закрытой таре в смеси;

- в герметизированной таре раздельно;

в герметизированной таре в смеси.

в графе 11 указывают сроки хранения отхода: дни, месяц, год;

в графе 12 указывают основание для установления срока хранения:

- реквизиты документа, содержащего санитарно-гигиенические, противопожарные и иные требования, на основании которого установлен срок хранения;

- формирование партии для использования/обезвреживания отходов;

- формирование транспортной партии;

- снижение класса опасности отхода;

- изменение физико-химических характеристик отхода (например, отстой, охлаждение, сушка естественным путем и т.п.);

в графе 13 указывают годовой норматив образования отхода в тоннах;

в графах 14 - 15 указывают предельное количество накопления отходов в т и м3.

ОБРАЗЕЦ 2.15
ХАРАКТЕРИСТИКА ОБЪЕКТА РАЗМЕЩЕНИЯ ОТХОДОВ

Дата проведения инвентаризации ___________ 20__ г.

Лист ___________ Листов ___________

1. Инв. номер объекта   2. Назначение объекта   (код)
3. Расположение   4. ОКАТО территории расположения объекта (код)
5.1. Наименование объекта  
5.2. Тип объекта   (код)
6.1. Состояние объекта   (код)
6.2. Наименование и реквизиты документа, подтверждающего состояние объекта  
6.3. Дата проведения рекультивации   6.4. Виды рекультивации    
7.1. Наименование ближайшего населенного пункта   7.2. Направление   7.3. Расстояние, км    
8.1. Наименование ближайшего водного объекта   8.2. Расстояние, км    
9.1. Вид документа о землеотводе и наименование органа, выдавшего его   9.2. Дата   9.3. Номер  
10.1. Наличие проекта на объект   10.2. Положительное заключение экспертизы на проект   10.3. Дата   10.4. Номер  
10.5. Наименование органа ГЭЭ:  
11.1. Год ввода в эксплуатацию   11.2. Год окончания эксплуатации    
12. Площадь объекта: без СЗЗ/с учетом СЗЗ, га   13. Размер СЗЗ, м    
14. Виды, количество и способы размещения отходов на объекте:  
14.1. Код отходов по ФККО 14.2. Наименование размещаемых отходов по ФККО 14.3. Способ размещения 14.4. Количество  
м3 т  
           
15. Вместимость объекта 16. Мощность объекта 17. Накоплено всего  
м3 т м3/год т/год м3 т  
             
18. Виды территорий, для которых введены ограничения по размещению отходов:  
  (код)  
19. Виды систем защиты окружающей среды на объекте:  
  (код)  
20. Виды мониторинга окружающей среды на объекте:  
20.1. Наименование вида мониторинга 20.2. Соблюдение нормативов качества ОС  
(код)    
21.1. Вид права на объект, наименование документа, подтверждающее право, наименование органа/ организации, выдавшего его   21.2. Дата   22.3. Номер    
22. Регистрация в ГРОРО 22.1. Дата 22.2. Номер    
               
Полное (и сокращенное) наименование юридического лица (фамилия, имя, отчество индивидуального предпринимателя)
                 
Место нахождения юридического лица (место жительства индивидуального предпринимателя)
ОГРН   ИНН     ОКВЭД   ОКПО  
Почтовый адрес, телефон, факс, e-mail          

Руководитель юридического лица
(индивидуальный предприниматель)
     
  (подпись)   (ФИО)
  МП    

УКАЗАНИЯ ПО ЗАПОЛНЕНИЮ ОБРАЗЦА 2.15

В графе 1 указывают инвентарный номер объекта размещения отхода.

В графе 2 указывают назначение объекта и его код, которые выбирают из таблицы 1.

Таблица 1

Назначение объекта Код для машинной обработки
хранение сроком до 3 лет 1
хранение сроком более 3 лет 2
захоронение 3

В графе 3 указывают один из вариантов расположения объекта:

- на основной производственной территории;

- на специально выделенной территории.

В графе 4 указывают код ОКАТО территории расположения объекта (первые 5 знаков).

В графе 5.1 указывают наименование объекта размещения, принятое у юридического лица или индивидуального предпринимателя.

В графе 5.2 указывают тип объекта размещения и его код, которые выбирают из таблицы 2.

Таблица 2

Типы объектов размещения отходов Код для машинной обработки
накопитель жидких и пастообразных отходов добычи и обогащения полезных ископаемых неорганического происхождения (например, хвостохранилища, гидроотвалы и т.п.) 11
накопитель жидких и пастообразных отходов добычи и обогащения полезных ископаемых органического происхождения (например, шламовые амбары для нефтешламов) 12
отвал отходов добычи и обогащения 13
накопитель жидких и пастообразных неорганических отходов перерабатывающих производств (например, шламохранилища, в том числе очистных сооружений) 21
накопитель жидких и пастообразных органических отходов перерабатывающих производств, кроме навозо- и пометохранилищ (например, иловые площадки очистных сооружений) 22
отвал отходов перерабатывающих производств 23
навозохранилище 31
пометохранилище 32
полигон захоронения промышленных отходов (за исключением захоронения в недрах) 41
система подземного захоронения жидких отходов 42
система подземного захоронения твердых и отвержденных отходов 43
полигон твердых коммунальных отходов 51
свалка твердых коммунальных отходов 52
прочие объекты размещения отходов 99

В графе 6.1 указывают состояние объекта размещения и его код, которые выбирают из таблицы 3.

Таблица 3

Состояние объекта Код для машинной обработки
действующий 1
законсервированный (временно не эксплуатируемый) 2
выведенный из эксплуатации, нерекультивированный 3
выведенный из эксплуатации, рекультивированный 4
ликвидированный 5

В графе 6.2 для выведенных из эксплуатации, рекультивированных и ликвидированных объектов указывают наименование и реквизиты документа, подтверждающего состояние объекта.

В графе 6.3 для рекультивированных объектов указывают дату проведения рекультивации.

В графе 6.4 для рекультивированных объектов указывают виды рекультивации: техническая, химическая, биологическая.

В графы 7.1 - 7.3 вносят сведения о местонахождении объекта по отношению к ближайшему населенному пункту в соответствии со следующим правилом: вписывается наименование населенного пункта с указанием муниципального района субъекта РФ, направление по сторонам света (С, С-В, В, Ю-В, Ю, Ю-З, З, С-З), расстояние от границы населенного пункта до границы объекта в км в указанном направлении. Если объект находится в черте населенного пункта, то указывается только название населенного пункта и муниципального района субъекта РФ.

Графы 8.1 - 8.2 заполняются в случае нахождения объекта размещения отходов на расстоянии менее 1 км до водного объекта (река, озеро и т.д., а также скважины питьевого водоснабжения), указывается наименование водного объекта (номер скважины) и расстояние до него в километрах.

Графы 9.1 - 9.3 заполняются для объектов, расположенных на специально выделенной территории, с указанием вида документа о целевом отводе земли, наименовании органа, выдавшего его, реквизитов данного документа.

В графе 10.1 указывают наличие проекта на данный объект (есть, нет).

В графах 10.2 - 10.5 указывают наличие положительного заключения государственной экологической экспертизы по проекту на данный объект и/или государственной экспертизы проектной документации и результатов инженерных изысканий (есть, нет); наименование органа, выдавшего положительное заключение, реквизиты документа.

В графе 11.1 указывают год ввода объекта размещения отходов в эксплуатацию.

В графе 11.2 указывают: для действующих объектов - год окончания эксплуатации объекта по проекту; для остальных - год вывода из эксплуатации.

В графе 12 указывают численное значение площади, занимаемой объектом размещения отходов непосредственно, в гектарах; для объектов, расположенных на специально отведенных территориях, через дробь дополнительно вносят площадь с учетом санитарно-защитной зоны при ее наличии.

В графе 13 указывают размер санитарно-защитной зоны объекта, в метрах.

Графы 14.1 - 14.4 предназначены для описания отходов, размещаемых на данном объекте.

В графу 14.1 отдельной строкой вносят коды видов отходов по ФККО, фактически размещенных на данном объекте.

В графу 14.2 вносят соответствующие кодам наименования видов отходов.

В графу 14.3 для каждого вида отходов указывают способ его размещения на объекте в соответствии с таблицей 4.

Таблица 4

Способ размещения Код для машинной обработки
без тары (навалом, насыпью и пр.) раздельно с другими отходами; 01
без тары (навалом, насыпью и пр.) в смеси с другими отходами; 02
в открытой металлической таре раздельно; 11
в открытой металлической таре в смеси; 12
в открытой пластмассовой (полиэтиленовой) таре раздельно; 13
в открытой пластмассовой (полиэтиленовой) таре в смеси; 14
в открытой прочей таре (деревянной, картонной и т.д.) раздельно; 15
в открытой прочей таре (деревянной, картонной и т.д.) в смеси; 16
в закрытой металлической таре раздельно; 21
в закрытой металлической таре в смеси; 22
в закрытой пластмассовой (полиэтиленовой) таре раздельно; 23
в закрытой пластмассовой (полиэтиленовой) таре в смеси; 24
в закрытой стеклянной таре раздельно; 25
в закрытой стеклянной таре в смеси; 26
в закрытой прочей таре (деревянной, картонной, бумажной, мешковине) раздельно; 27
в закрытой прочей таре (деревянной, картонной, бумажной, мешковине) в смеси; 28
в герметизированной металлической таре (баллоны, бочки, контейнеры и т.д.) раздельно; 31
в герметизированной пластмассовой (полиэтиленовой) таре раздельно; 32
в герметизированной стеклянной таре раздельно; 33
в герметизированной прочей таре раздельно 34

В графе 14.4 для каждого вида отходов указывают количество накопленных отходов в тоннах и м3. Если на объекте производится размещение нескольких видов отходов в смеси, допускается указывать их суммарное количество, объединив фигурной скобкой строки с наименованиями этих видов отходов.

В графе 15 указывают вместимость объекта в тоннах и м3. Вместимость берется либо из проекта, либо устанавливается расчетным путем на основании прямых замеров.

В графе 16 указывают годовую мощность объекта по проекту, т/год и м3/год.

В графе 17 указывают количество накопленных на начало года на дату разработки ПНООЛР отходов в тоннах и м3.

Графу 18 заполняют для объектов размещения отходов, расположенных на территориях, для которых введены ограничения по размещению отходов; вид территории и ее код выбирается из таблицы 5.

Таблица 5

Виды территорий Код для машинной обработки
территории городских и иных поселений 01
резервные территории для жилищного строительства 02
лесопарковая зона 03
земли сельскохозяйственного назначения, пастбища 04
курортная зона (зона санитарной охраны), лечебно-оздоровительная зона 05
рекреационная зона 06
водоохранная зона водного объекта 07
зона санитарной охраны источников водоснабжения и водопроводов хозяйственно-питьевого назначения 08
водосборная площадь подземных водных объектов, используемых для питьевого и хозяйственно-бытового назначения 09
места залегания полезных ископаемых 10
места ведения горных работ 11
места массового нереста и нагула рыб 12
зоны активного карста (места развития карстового процесса) 13
зона оползней, селевых потоков, снежных лавин 14
заболоченные места 15
территории с просадочными и вспучивающимися грунтами 16
особо охраняемые территории 17

В графу 19 отдельной строкой вносят (перечисляют) фактически имеющиеся на данном объекте виды обустройств или способов защиты окружающей природной среды с указанием соответствующих кодов, приведенных в таблице 6.

Таблица 6

Системы защиты окружающей среды Код для машинной обработки
экраны грунтовые 01
экраны бетонные и железобетонные 02
экраны асфальтобетонные и асфальтополимербетонные; 03
экраны пленочные 04
экран естественный 05
обваловка 06
ограждение 07
отвод ливневых вод (нагорные канавы) 08
отвод фильтрата 09
сбор и очистка ливневых вод 10
сбор и очистка фильтрата 11
сбор биогаза 12
противопылевое обустройство 13
контрольно-пропускной пункт 14
визуальный входной контроль отходов 15
взвешивание поступающих отходов 16
ведение учетной документации на поступающие отходы 17
система защиты отсутствует 99

В графу 20.1 отдельной строкой в соответствии с таблицей 7 вносят (перечисляют) виды мониторинга окружающей природной среды, которые фактически ведутся на объекте размещения, и их коды.

Таблица 7

Виды мониторинга окружающей среды Код для машинной обработки
мониторинг грунтовых вод (наблюдательные скважины) 01
мониторинг поверхностных вод 02
мониторинг почвенного покрова 03
мониторинг атмосферного воздуха 04
мониторинг атмосферных осадков 05
мониторинг отсутствует 99

В графе 20.2 для каждого компонента окружающей среды приводятся обобщенные результаты экологического мониторинга; варианты внесения записей следующие:

- превышения установленных нормативов качества окружающей среды отсутствуют;

- наблюдаются превышения по отдельным показателям;

- наблюдаются превышения по многим показателям.

В графах 21.1 - 21.3 указывают вид права на объект, наименование документа, подтверждающее право, наименование органа/организации, выдавшего его, дату и номер этого документа.

В графах 22.1 и 22.2 указываются дата регистрации объекта в государственном реестре объектов размещения отходов и его регистрационный номер; если объект не зарегистрирован, ставится прочерк.

ОБРАЗЕЦ 2.16
СВЕДЕНИЯ О РЕЗУЛЬТАТАХ МОНИТОРИНГА И КОНТРОЛЯ СОСТОЯНИЯ ОКРУЖАЮЩЕЙ СРЕДЫ НА ТЕРРИТОРИЯХ ОБЪЕКТОВ РАЗМЕЩЕНИЯ ОТХОДОВ И В ПРЕДЕЛАХ ИХ ВОЗДЕЙСТВИЯ НА ОКРУЖАЮЩУЮ СРЕДУ

Инв. номер объекта Наименование объекта размещения отходов
Компоненты окружающей среды, подлежащие контролю
Виды систем контроля
атмосферный воздух поверхностные воды подземные воды почва
наименование загрязняющего вещества периодичность, раз/год количество контрольных точек число превышений нормативов качества ОС наименование загрязняющего вещества периодичность, раз/год количество контрольных точек число превышений нормативов качества ОС наименование загрязняющего вещества периодичность, раз/год количество контрольных точек число превышений нормативов качества ОС наименование загрязняющего вещества периодичность, раз/год количество контрольных точек число превышений нормативов качества ОС
1 2 3 4 5 6 7 8 9 10 11 12 13 14 15 16

УКАЗАНИЯ ПО ЗАПОЛНЕНИЮ ОБРАЗЦА 2.16

В графах 1, 5, 9, 13 указывают наименование контролируемого загрязняющего вещества;

в графах 2, 6, 10, 14 указывают периодичность отбора проб на данное загрязняющее вещество, раз/год;

в графах 3, 7, 11, 15 указывают количество контрольных точек, в которых отбираются пробы;

в графах 4, 8, 12, 16 указывают число превышений нормативов качества окружающей среды, выявленных за последний год.

ОБРАЗЕЦ 2.17
ПЛАНЫ МЕРОПРИЯТИЙ ПО СНИЖЕНИЮ КОЛИЧЕСТВА ОБРАЗОВАНИЯ И РАЗМЕЩЕНИЯ ОТХОДОВ, ОБЕСПЕЧЕНИЮ СОБЛЮДЕНИЯ ДЕЙСТВУЮЩИХ НОРМ И ПРАВИЛ В ОБЛАСТИ ОБРАЩЕНИЯ С ОТХОДАМИ

Вид отхода Наименование мероприятия Срок выполнения Стоимость мероприятия, тыс. руб. Ожидаемый экологический эффект
наименование код по ФККО   начало конец
1 2 3 4 5 6 7

УКАЗАНИЯ ПО ЗАПОЛНЕНИЮ ОБРАЗЦА 2.17

В графах 1 и 2 указывают наименование и код отхода в соответствии с ФККО;

в графе 3 указывают наименование мероприятия и его этапы (если мероприятие долгосрочное и выполняется по этапам);

в графах 4 и 5 указывают срок выполнения мероприятия и этапов соответственно;

в графе 6 указывают стоимость мероприятия (этапов);

в графе 7 указывают ожидаемый экологический эффект по снижению негативного воздействия на окружающую среду.

ОБРАЗЕЦ 2.18
ПРОТИВОАВАРИЙНЫЕ МЕРОПРИЯТИЯ И МЕРЫ ПО ЛИКВИДАЦИИ АВАРИЙ ПРИ ОБРАЩЕНИИ С ОТХОДАМИ

N п/п Наименование вида отхода Код отхода по ФККО Класс опасности Опасные свойства, которые могут привести к аварийной ситуации Возможные аварийные ситуации Противоаварийные мероприятия Меры по ликвидации аварий
1 2 3 4 5 6 7 8

УКАЗАНИЯ ПО ЗАПОЛНЕНИЮ ОБРАЗЦА 2.18

В графе 1 указывают порядковый номер записи в таблице;

в графах 2 - 5 указывают код отхода по ФККО и соответствующие коду наименование вида отхода, класс опасности и опасные свойства;

в графе 6 указывают аварийные ситуации, которые могут возникнуть при обращении с данным видом отходов;

в графе 7 указывают противоаварийные мероприятия;

в графе 8 указывают меры по ликвидации аварий.

ОБРАЗЕЦ 2.19
ПРЕДЛОЖЕНИЯ ПО ЛИМИТАМ НА РАЗМЕЩЕНИЕ ОТХОДОВ

N п/п Сведения об отходах Годовой норматив образования отхода на 20__ - 20__ годы, тонн в год Лимиты на размещение отходов на период 20__ - 20__ годы
наименование вида отхода код отхода по ФККО класс опасности для окружающей среды передача отходов на размещение размещение отходов на собственных объектах размещения
наименование объекта размещения отходов собственник объекта/ эксплуатирующая организация лимит размещения отхода на 20__ - 20__ годы, тонн в т.ч. по годам, тонн: наименование объекта размещения инвентарный номер объекта размещения лимит размещения отхода на 20__ - 20__ годы, тонн в т.ч. по годам, тонн:
20__ 20__ 20__ 20__ 20__ 20__ 20__ 20__ 20__ 20__
1 2 3 4 5 6 7 8 9 10 11 12 13 14 15 16 17 18 19 20 21
  Отходы I класса опасности:   1 Итого I класса опасности:                                
      1                                  
  Отходы II класса опасности:   2 Итого II класса опасности:                                
      2                                  
  Отходы III класса опасности:   3 Итого III класса опасности:                                
      3                                  
  Отходы IV класса опасности:   4 Итого IV класса опасности:                                
      4                                  
  Отходы V класса опасности:   5 Итого V класса опасности:                                
      5                                  
  ИТОГО:                                      

Приложение 3
к Методическим указаниям
по разработке проектов
нормативов образования отходов
и лимитов на их размещение

ОБРАЗЦЫ ДЛЯ ОФОРМЛЕНИЯ ТЕХНИЧЕСКОГО ОТЧЕТА О НЕИЗМЕННОСТИ ПРОИЗВОДСТВЕННОГО ПРОЦЕССА, ИСПОЛЬЗУЕМОГО СЫРЬЯ И ОБ ОБРАЩЕНИИ С ОТХОДАМИ

ОБРАЗЕЦ 3.1
ТИТУЛЬНЫЙ ЛИСТ

      УТВЕРЖДАЮ  
      Руководитель организации или
индивидуальный предприниматель
 
          /   /
        (подпись)   (расшифровка подписи)  
               
        "__" __________ 20__ г.  
               
        М.П.  
               
  ТЕХНИЧЕСКИЙ ОТЧЕТ  
  О НЕИЗМЕННОСТИ ПРОИЗВОДСТВЕННОГО ПРОЦЕССА, ИСПОЛЬЗУЕМОГО СЫРЬЯ И ОБ ОБРАЩЕНИИ С ОТХОДАМИ  
               
               
  (Наименование юридического лица или ф.и.о. индивидуального предпринимателя)  
               
  (Наименование территориально обособленного подразделения (филиала))  
               
  Отметка территориального органа Ростехнадзора о принятии Технического отчета   Ответственный исполнитель  
           
    подпись   ФИО  
               
  место расположения (город, поселок)  
               
  год  

ОБРАЗЕЦ 3.2
ТЕКСТ ТЕХНИЧЕСКОГО ОТЧЕТА

               
 
  (Фамилия, имя, отчество индивидуального предпринимателя или полное наименование юридического лица)  
     
     
  (Краткое наименование юридического лица)  
     
  ИНН              
  ОКПО    
  ОКАТО    
  ОКВЭД    
  Юридический адрес    
  Почтовый адрес    
  Телефон    
  Факс    
                 
  Лицензия на деятельность по сбору, использованию, обезвреживанию, транспортировке, размещению опасных отходов ____  
     
  данным Техническим отчетом на ____ листах подтверждает, что сведения о перечне и количестве разрешенных к размещению отходов, внесенные в проект нормативов образования отходов и лимитов на их размещение N ___ от "__" ______ 20__ г.: (выбрать нужное)  
     
  не изменились в связи с неизменностью производственных процессов и использованного сырья;  
     
  изменились в связи с (указать причину); изменения внесены в ПНООЛР и приложены к данному отчету.  
     
  Технический отчет содержит информацию о:  
  - балансе образовавшихся, использованных и размещенных отходов за 20__ год (на ___ стр.);  
  - выполнении плана мероприятий за отчетный период по снижению негативного воздействия отходов на окружающую среду (на ___ стр.);  
  - введенных в эксплуатацию в отчетном году объектах использования, обезвреживания отходов (на ___ стр.);  
  - введенных в эксплуатацию (выведенных из эксплуатации, рекультивированных) в отчетном году объектах размещения отходов (на ___ стр.).  
     
  Руководитель организации/
индивидуальный предприниматель
         
    /   /  
        (подпись)   (расшифровка подписи)    

ОБРАЗЕЦ 3.3
БАЛАНС МАССЫ ОТХОДОВ ЗА ОТЧЕТНЫЙ ПЕРИОД
С _________ 20__ Г. ПО _________ 20__ Г.

ИНН __________________ Лист ___ Листов ____________
Наименование хозяйствующего субъекта ____________

N строки Наименование отхода Код отхода по ФККО Класс опасности Размещено на начало года Образовалось в отчетном периоде, т Годовой норматив образования, т Поступило от других организаций, т
всего на использование на обезвреживание на хранение на захоронение
инв. N объекта количество, т
А 1 2 3 4 5 6 7 8 9 10 11 12

ПРОДОЛЖЕНИЕ ОБРАЗЦА 3.3

N строки Использовано/ обезврежено, т Передано другим организациям, т (м3) Размещено на собственных объектах хранения сроком более 3 лет и захоронения, т (м3) Хранение на объектах хранения сроком до 3 лет, т (м3)
инв. N объекта использование обезвреживание всего на использование на обезвреживание на размещение лимит размещения инв. N объекта фактически за отчетный период лимит размещения всего на конец отчетного периода инв. N объекта фактически за отчетный период фактически на конец отчетного периода предельный объем накопления
на хранение на захоронение
А 13 14 15 16 17 18 19 20 21 22 23 24 25 26 27 28 29

УКАЗАНИЯ ПО ЗАПОЛНЕНИЮ ОБРАЗЦА 3.3

1. В каждой заполняемой строке в графах с 1 по 28 проставляются данные или знак отсутствия явления - прочерк. Для каждого вида отхода, включенного в соответствующую группировку по классам опасности для окружающей природной среды, выделяется отдельная строка. Номера строк обозначаются трехзначными числами. Для отходов 1 класса опасности для окружающей природной среды следует использовать номера с 100 по 199 включительно, для 2, 3, 4 и 5 классов опасности - с 200 по 299, с 300 по 399, с 400 по 499, с 500 по 599 соответственно. При этом в строке 100, 200, 300, 400 и 500 показываются суммарные сведения о количестве отходов, сгруппированных по соответствующим классам опасности.

2. По строке 100 в графах 5 - 6, 8 - 12, 14 - 20, 23, 25, 27 - 28 отражаются суммарные данные по всем отходам 1 класса опасности для окружающей природной среды. Эти данные формируются путем суммирования сведений об отходах 1 класса опасности по видам отходов, находящихся в обращении у индивидуального предпринимателя или юридического лица (данные по видам отходов приводятся в строках 101 - 199).

3. По строкам 101 - 199 в графах 1 - 29 приводятся сведения по каждому наименованию вида отходов 1 класса опасности для окружающей природной среды, включенному в группировку по классам опасности. Номера строк для отражения сведений по видам отходов проставляются строго по порядку: 101, 102, 103 и т.д. При этом используется количество номеров и соответственно заполняемых в бланке строк по наименованиям видов отходов, равное числу видов отходов. При наличии в обращении только одного вида отхода сведения по строке 101 в графах 5 - 6, 8 - 12, 14 - 20, 23, 25, 27 - 28 повторяются (отражаются) по строке 100. В случае отсутствия в обращении отходов 1 класса опасности (в т.ч. ранее накопленных) номера с 100 по 199 не используются при заполнении формы.

4. По строке 200 в графах 5 - 6, 8 - 12, 14 - 20, 23, 25, 27 - 28 отражаются суммарные данные по всем видам отходов 2 класса опасности для окружающей природной среды. Данные строки 200 формируются путем суммирования сведений об отходах 2 класса опасности по видам отходов, находящихся в обращении у индивидуального предпринимателя или юридического лица (данные по видам отходов приводятся в строках 201 - 299 аналогично п. 3).

5. По строке 300 в графах 5 - 6, 8 - 12, 14 - 20, 23, 25, 27 - 28 отражаются суммарные данные по всем видам отходов 3 класса опасности для окружающей природной среды. Данные строки 300 формируются путем суммирования сведений об отходах 3 класса опасности по видам отходов, находящихся в обращении у индивидуального предпринимателя или юридического лица (данные по видам отходов приводятся в строках 301 - 399 аналогично п. 3).

6. По строке 400 в графах 5 - 6, 8 - 12, 14 - 20, 23, 25, 27 - 28 отражаются суммарные данные по всем видам отходов 4 класса опасности для окружающей природной среды. Данные строки 400 формируются путем суммирования сведений об отходах 4 класса опасности по видам отходов, находящихся в обращении у индивидуального предпринимателя или юридического лица (данные по видам отходов приводятся в строках 401 - 499 аналогично п. 3).

7. По строке 500 в графах 5 - 6, 8 - 12, 14 - 20, 23, 25, 27 - 28 отражаются суммарные данные по всем видам отходов 5 класса опасности для окружающей природной среды. Данные строки 500 формируются путем суммирования сведений об отходах 5 класса опасности по видам отходов, находящихся в обращении у индивидуального предпринимателя или юридического лица (данные по видам отходов приводятся в строках 501 - 599 аналогично п. 3).

8. В итоговой строке 010 отражается общее количество отходов всех классов опасности для окружающей природной среды (с 1-го по 5-й). Данные строки 010 по графам 5 - 6, 8 - 12, 14 - 20, 23, 25, 27 - 28 должны быть равны сумме данных строк 100, 200, 300, 400 и 500 соответственно по этим графам.

Заполнение граф.

В графе А указывается номер строки;

в графе 1 приводится наименование вида отходов;

в графе 2 указывается код вида отхода по ФККО;

в графе 3 указывается класс опасности вида отхода;

в графах 4 - 5 представляются сведения о количестве отходов данного вида, хранящихся на объектах хозяйствующего субъекта на начало отчетного периода:

в графе 4 отражается инвентарный номер объекта хранения отходов (за исключением объектов, относящихся к таким типам, как открытая площадка, крытая площадка, помещение, стационарная емкость), на которых на начало отчетного периода имелись в наличии отходы данного вида; если данный вид отхода был размещен на двух или более объектах, то для внесения инвентарного номера второго и каждого последующего объекта выделяется дополнительная строка, которая не нумеруется в соответствии с п. 1 настоящих указаний;

в графе 5 показывается количество отходов данного вида, накопленных в течение предыдущих лет и находящихся на указанном в графе 4 объекте по состоянию на начало отчетного периода; если данный вид отхода был размещен на двух или более объектах, то данные приводятся по каждому объекту отдельно в соответствующей дополнительной строке;

в графе 6 приводится количество отходов данного вида, образовавшихся в течение отчетного периода (без учета отходов, поступивших от других организаций);

в графе 7 приводится годовой норматив образования отходов данного вида (внести данные из утвержденного лимита на размещение отходов);

в графе 8 указывается количество отходов данного вида, поступивших от других организаций (со стороны) в отчитывающуюся организацию для дальнейшего использования, обезвреживания, захоронения, хранения и т.д.;

в графе 9 отражается количество отходов, поступивших в течение отчетного периода для использования;

в графе 10 отражается количество отходов, поступивших в течение отчетного периода для обезвреживания;

в графе 11 отражается количество отходов, поступивших в течение отчетного периода для хранения;

в графе 12 отражается количество отходов, поступивших в течение отчетного периода для захоронения;

в графе 13 указывается инвентарный номер объекта, на котором осуществлялось использование или обезвреживание отходов данного вида; если данный вид отхода был использован или обезврежен на двух или более объектах, то для внесения инвентарного номера второго и каждого последующего объекта выделяется дополнительная строка, которая не нумеруется в соответствии с п. 1 настоящих указаний;

в графе 14 приводится количество отходов данного вида, использованных хозяйствующим субъектом в течение отчетного периода для получения какой-либо продукции или оказания услуг (в т.ч. для получения тепла и электроэнергии). При этом учитывается также переработка ранее накопленных отходов и поступивших со стороны в отчетном году; если данный вид отхода был использован на двух или более объектах, то данные приводятся по каждому объекту отдельно в соответствующей дополнительной строке;

в графе 15 указывается количество отходов данного вида, обезвреженных в течение отчетного периода на принадлежащих организации специализированных установках, в т.ч. по сжиганию отходов; если данный вид отхода был обезврежен на двух или более объектах, то данные приводятся по каждому объекту отдельно в соответствующей дополнительной строке;

в графе 16 отражается общее количество отходов данного вида, переданных в течение отчетного периода сторонним организациям для использования, обезвреживания, хранения или захоронения;

в графе 17 приводится количество отходов, переданных в течение отчетного года сторонним организациям для использования;

в графе 18 указывается количество отходов, переданных в течение отчетного периода сторонним организациям для обезвреживания;

в графе 19 отражается количество отходов, переданных в течение отчетного периода сторонним организациям для хранения;

в графе 20 показывается количество отходов, переданных в течение отчетного периода сторонним организациям для захоронения;

в графе 21 указывается утвержденный лимит на размещение отходов данного вида на объектах размещения отходов, не принадлежащих хозяйствующему субъекту (внести данные из утвержденного лимита на размещение отходов);

в графе 22 указывается инвентарный номер собственного объекта размещения отходов (включая арендованные), на котором осуществляется хранение сроком более 3 лет или захоронение отходов; если данный вид отхода был размещен на двух или более объектах, то для внесения инвентарного номера второго и каждого последующего объекта выделяется дополнительная строка, которая не нумеруется в соответствии с п. 1 настоящих указаний;

в графе 23 приводится количество отходов данного вида, размещенных за отчетный период на собственном объекте; если данный вид отхода был размещен на двух или более объектах, то данные приводятся по каждому объекту отдельно в соответствующей дополнительной строке;

в графе 24 указывают утвержденный лимит размещения отходов данного вида на собственном объекте (внести данные из утвержденного лимита на размещение отходов);

в графе 25 приводится количество отходов данного вида, находящихся на собственном объекте на конец отчетного периода; если данный вид отхода был использован на двух или более объектах, то данные приводятся по каждому объекту отдельно в соответствующей дополнительной строке;

в графе 26 отражается инвентарный номер объекта хранения сроком до 3 лет (за исключением объектов, относящихся к таким типам, как открытая площадка, крытая площадка, помещение, стационарная емкость), на котором на конец отчетного периода имелись в наличии отходы данного вида; если данный вид отхода был размещен на двух или более объектах, то для внесения инвентарного номера второго и каждого последующего объекта выделяется дополнительная строка, которая не нумеруется в соответствии с п. 1 настоящих указаний;

в графе 27 приводится количество отходов данного вида, размещенных за отчетный период на каждом объекте, для которого указан инвентарный номер в графе 26; для остальных объектов (открытая площадка, крытая площадка, помещение, стационарная емкость) указывается общее количество отходов данного вида, размещенных за отчетный период;

в графе 28 приводится количество отходов данного вида, находящихся на конец отчетного периода на каждом объекте, для которого был указан инвентарный номер в графе 26; для остальных объектов указывается общее количество отходов данного вида;

в графе 29 указывают предельный объем накопления отходов данного вида на объекте/объектах хранения сроком до 3 лет (внести данные из утвержденного лимита на размещение отходов).

ОБРАЗЕЦ 3.4
РЕКВИЗИТЫ ПОСТАВЩИКОВ ОТХОДОВ

ИНН   Лист  
Листов        
Наименование хозяйствующего
субъекта
 

N п/ п Наименование вида отхода Код отхода по ФККО Получено, т/м3 Цель приема/ передачи Наименование организации Адрес организации ИНН Реквизиты лицензии N договора
1 2 3 4 5 6 7 8 9 10

ОБРАЗЕЦ 3.5
РЕКВИЗИТЫ ПОТРЕБИТЕЛЕЙ ОТХОДОВ

ИНН     Лист  
Листов        
Наименование хозяйствующего
субъекта
 

N п/ п Наименование вида отхода Код отхода по ФККО Передано, т/м3 Цель приема/ передачи Наименование организации Адрес организации ИНН Реквизиты лицензии N договора
1 2 3 4 5 6 7 8 9 10

УКАЗАНИЯ ПО ЗАПОЛНЕНИЮ ОБРАЗЦОВ 3.4 и 3.5

В графы 1 таблиц по образцам 3.4 и 3.5 вносят порядковый номер записи в таблице;

в графах 2 таблиц по образцам 3.4 и 3.5 указывают наименование вида отхода, полученного или переданного хозяйствующим субъектом в течение года;

в графах 3 таблиц по образцам 3.4 и 3.5 указывают код отхода по ФККО;

в графе 4 таблиц по образцу 3.4 отдельной строкой для каждого поставщика указывается суммарное количество данного вида отходов, полученного от него за отчетный период, в тоннах; после того, как по данному виду отходов будут указаны все его поставщики, рассчитывается общее количество полученного в течение года отходов данного вида от всех поставщиков, которое указывается в графе 4; перед графой 4 вписывается слово "Итого". Эта величина должна быть равна тому количеству данного вида отходов, которое указано в форме "Баланс..." по графе 8 "Поступило: всего";

в графе 4 таблицы по образцу 3.5 отдельной строкой для каждого потребителя указывается суммарное количество данного вида отходов, переданного ему за отчетный период, в тоннах; после того, как по данному виду отходов будут указаны все его потребители, рассчитывается общее количество переданного всем потребителям в течение года отходов данного вида, которое указывается в графе 4; перед графой 4 вписывается слово "Итого". Эта величина должна быть равна тому количеству данного вида отходов, которое указано в форме "Баланс..." по графе 16 "Передано";

в графах 5 таблиц по образцам 3.4 и 3.5 указывают цель приема/передачи данного вида отходов для каждого поставщика/потребителя в отдельности: использование, обезвреживание, хранение, захоронение (буквы И, О, Х, З соответственно);

в графах 6 таблиц по образцам 3.4 и 3.5 указывают полное наименование каждого поставщика/потребителя данного вида отхода (заполняется на основе договоров или документов бухгалтерского учета);

в графах 7 таблиц по образцам 3.4 и 3.5 указывают адрес фактического местонахождения поставщика/потребителя данного вида отхода;

в графах 8 таблиц по образцам 3.4 и 3.5 указывают ИНН поставщика/потребителя отхода (заполняется на основе документов бухгалтерского учета); для иностранных организаций коды не проставляются, но в адресе указывается страна нахождения организации;

в графах 9 таблиц по образцам 3.4 и 3.5 указывают реквизиты лицензии на сбор, использование, обезвреживание, транспортировку, размещение отходов;

в графах 10 таблиц по образцам 3.4 и 3.5 указывают номер договора (при наличии), по которому осуществлялся прием/передача отхода.

ОБРАЗЕЦ 3.6
ОТЧЕТ О ВЫПОЛНЕНИИ ПЛАНА МЕРОПРИЯТИЙ ПО СНИЖЕНИЮ НЕГАТИВНОГО ВОЗДЕЙСТВИЯ ОТХОДОВ НА ОКРУЖАЮЩУЮ СРЕДУ

ИНН     Лист  
Листов        
Наименование хозяйствующего
субъекта
 
Вид отхода Наименование мероприятия Срок выполнения Полученный экологический эффект
наименование код по ФККО
1 2 3 4 5

УКАЗАНИЯ ПО ЗАПОЛНЕНИЮ ОБРАЗЦА 3.6

В графах 1 и 2 указывают наименование и код отхода в соответствии с ФККО;

в графе 3 указывают наименование мероприятия и его этапы (если мероприятие долгосрочное и выполняется по этапам);

в графе 4 указывают срок выполнения мероприятия и этапов соответственно;

в графе 5 указывают полученный экологический эффект по снижению негативного воздействия на окружающую среду.