ПРАВИТЕЛЬСТВО РОССИЙСКОЙ ФЕДЕРАЦИИ
ПОСТАНОВЛЕНИЕ
от 30 декабря 2006 г. N 842
О ПОРЯДКЕ ПРЕДОСТАВЛЕНИЯ В 2007 ГОДУ ФИНАНСОВОЙ ПОМОЩИ БЮДЖЕТАМ СУБЪЕКТОВ РОССИЙСКОЙ ФЕДЕРАЦИИ В ВИДЕ СУБСИДИЙ НА СОДЕРЖАНИЕ ДЕТЕЙ В СЕМЬЯХ ОПЕКУНОВ (ПОПЕЧИТЕЛЕЙ) И ПРИЕМНЫХ СЕМЬЯХ, А ТАКЖЕ НА ОПЛАТУ ТРУДА ПРИЕМНЫХ РОДИТЕЛЕЙ
(в ред. Постановления Правительства РФ от 14.12.2007 N 870)
В соответствии со статьей 43 Федерального закона "О федеральном бюджете на 2007 год" Правительство Российской Федерации постановляет:
1. Установить, что субсидии на содержание детей в семьях опекунов (попечителей) и приемных семьях, а также на оплату труда приемных родителей предоставляются субъектам Российской Федерации, принявшим в установленном порядке законы или иные нормативные правовые акты, устанавливающие расходные обязательства по осуществлению ежемесячных выплат на содержание детей в семьях опекунов (попечителей) и приемных семьях, а также на оплату труда приемных родителей, в соответствии с которыми размер выплат на содержание 1 ребенка в семье опекунов (попечителей) или приемной семье составляет не менее 4000 рублей в месяц, а размер оплаты труда приемных родителей - не менее 2500 рублей в месяц.
2. Федеральному агентству по образованию осуществлять предоставление финансовой помощи бюджетам субъектов Российской Федерации в виде субсидий на содержание детей в семьях опекунов (попечителей) и приемных семьях, а также на оплату труда приемных родителей за счет средств федерального бюджета, предусмотренных ему на эти цели в 2007 году, на основании соглашений с субъектами Российской Федерации.
3. Установить, что Федеральное агентство по образованию по итогам отчетов субъектов Российской Федерации об использовании средств федерального бюджета, предусмотренных на содержание детей в семьях опекунов (попечителей) и приемных семьях, а также на оплату труда приемных родителей, вправе перераспределять объемы субсидий на эти цели между субъектами Российской Федерации.
4. Утвердить прилагаемые:
Правила предоставления в 2007 году финансовой помощи бюджетам субъектов Российской Федерации в виде субсидий на содержание детей в семьях опекунов (попечителей) и приемных семьях, а также на оплату труда приемных родителей;
методику распределения субсидий, выделяемых из Федерального фонда софинансирования социальных расходов, между субъектами Российской Федерации на содержание детей в семьях опекунов (попечителей) и приемных семьях, а также на оплату труда приемных родителей;
распределение средств федерального бюджета, предоставляемых в 2007 году в виде субсидий бюджетам субъектов Российской Федерации на содержание детей в семьях опекунов (попечителей) и приемных семьях, а также на оплату труда приемных родителей.
5. Министерству образования и науки Российской Федерации в месячный срок разработать и утвердить:
форму соглашения о предоставлении субсидии бюджету субъекта Российской Федерации на содержание детей в семьях опекунов (попечителей) и приемных семьях, а также на оплату труда приемных родителей, заключаемого Федеральным агентством по образованию с субъектом Российской Федерации;
форму отчета о расходах консолидированного бюджета субъекта Российской Федерации, связанных с содержанием детей в семьях опекунов (попечителей) и приемных семьях, а также с оплатой труда приемных родителей;
порядок перераспределения субсидий между субъектами Российской Федерации.
6. Рекомендовать органам государственной власти субъектов Российской Федерации принять законы и (или) иные нормативные правовые акты, обеспечивающие увеличение ежемесячных выплат на содержание детей в семьях опекунов (попечителей) и приемных семьях, а также на оплату труда приемных родителей.
7. Министерству образования и науки Российской Федерации по согласованию с Министерством здравоохранения и социального развития Российской Федерации давать разъяснения по применению настоящего Постановления.
Председатель Правительства
Российской Федерации
М.ФРАДКОВ
МЕТОДИКА
РАСПРЕДЕЛЕНИЯ СУБСИДИЙ, ВЫДЕЛЯЕМЫХ ИЗ ФЕДЕРАЛЬНОГО ФОНДА СОФИНАНСИРОВАНИЯ СОЦИАЛЬНЫХ РАСХОДОВ, МЕЖДУ СУБЪЕКТАМИ РОССИЙСКОЙ ФЕДЕРАЦИИ НА СОДЕРЖАНИЕ ДЕТЕЙ В СЕМЬЯХ ОПЕКУНОВ (ПОПЕЧИТЕЛЕЙ) И ПРИЕМНЫХ СЕМЬЯХ, А ТАКЖЕ НА ОПЛАТУ ТРУДА ПРИЕМНЫХ РОДИТЕЛЕЙ
(в ред. Постановления Правительства РФ от 14.12.2007 N 870)
Распределение в 2007 году субсидий, выделяемых из Федерального фонда софинансирования социальных расходов (далее - субсидии), между субъектами Российской Федерации предусматривается с целью частичного возмещения расходов бюджетов субъектов Российской Федерации, связанных с осуществлением ежемесячных выплат на содержание детей в семьях опекунов (попечителей) и приемных семьях, а также на оплату труда приемных родителей.
Размер субсидий, предоставляемых субъектам Российской Федерации, определяется в пределах объема средств, утвержденного Федеральным законом "О федеральном бюджете на 2007 год", из расчета до 4000 рублей, ежемесячно выплачиваемых семье опекунов (попечителей) или приемной семье на содержание 1 ребенка, и до 2500 рублей, ежемесячно выплачиваемых приемным родителям, до применения к этим выплатам районного коэффициента.
При определении размера субсидии учитываются районные коэффициенты к заработной плате, установленные решениями органов государственной власти СССР или федеральных органов государственной власти за работу в районах Крайнего Севера и приравненных к ним местностях, высокогорных, пустынных, безводных и других районах (местностях) с тяжелыми климатическими условиями, а также начисления по единому социальному налогу, страховым взносам на обязательное пенсионное страхование и страховым взносам по обязательному социальному страхованию от несчастных случаев на производстве и профессиональных заболеваний.
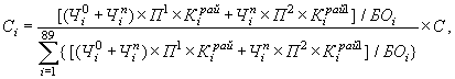
Размер субсидии определяется по формуле:
С_i - размер субсидии, предоставляемой i-му субъекту Российской Федерации (тыс. рублей);
- прогнозное число детей, переданных в течение 2007 года под опеку (попечительство) в i-м субъекте Российской Федерации (человек);
- прогнозное число детей, переданных в течение 2007 года на воспитание в приемную семью в i-м субъекте Российской Федерации (человек);
БО_i - расчетный уровень бюджетной обеспеченности в i-м субъекте Российской Федерации в 2007 году;
- районный коэффициент в i-м субъекте Российской Федерации;
- районный коэффициент к заработной плате, установленный за работу в районах Крайнего Севера и приравненных к ним местностях, высокогорных, пустынных, безводных и других районах (местностях) с тяжелыми климатическими условиями, в i-м субъекте Российской Федерации;
П(1) - базовый (минимальный) размер средств, выплачиваемых на содержание 1 ребенка, находящегося под опекой (попечительством) или в приемной семье (в 2007 году - 4000 руб. в месяц);
П(2) - базовый (минимальный) размер средств для расчета оплаты труда приемного родителя с учетом единого социального налога (в 2007 году - 2500 x 1,262 = 3155 рублей в месяц);
С - объем средств, выделяемых в виде субсидий из Федерального фонда софинансирования социальных расходов, предусмотренных Федеральным законом "О федеральном бюджете на 2007 год" на частичное возмещение расходов бюджетов субъектов Российской Федерации, связанных с содержанием 1 ребенка в семье опекуна (попечителя) или приемной семье, а также с оплатой труда приемных родителей. (в ред. Постановления Правительства РФ от 14.12.2007 N 870)
ПРАВИЛА
ПРЕДОСТАВЛЕНИЯ В 2007 ГОДУ ФИНАНСОВОЙ ПОМОЩИ БЮДЖЕТАМ СУБЪЕКТОВ РОССИЙСКОЙ ФЕДЕРАЦИИ В ВИДЕ СУБСИДИЙ НА СОДЕРЖАНИЕ ДЕТЕЙ В СЕМЬЯХ ОПЕКУНОВ (ПОПЕЧИТЕЛЕЙ) И ПРИЕМНЫХ СЕМЬЯХ, А ТАКЖЕ НА ОПЛАТУ ТРУДА ПРИЕМНЫХ РОДИТЕЛЕЙ
1. Настоящие Правила определяют порядок предоставления в 2007 году за счет средств федерального бюджета финансовой помощи бюджетам субъектов Российской Федерации в виде субсидий на осуществление ежемесячных выплат на содержание детей в семьях опекунов (попечителей) и приемных семьях, в том числе переданных на воспитание в семьи граждан до 1 января 2007 г., а также на оплату труда приемных родителей (далее - субсидии).
2. Субсидии предоставляются субъектам Российской Федерации, осуществляющим их выплату, если родители ребенка неизвестны, умерли, объявлены умершими, лишены родительских прав, ограничены в родительских правах, признаны безвестно отсутствующими, недееспособными (ограниченно дееспособными), по состоянию здоровья не могут лично воспитывать и содержать ребенка, отбывают наказание в учреждениях, исполняющих наказание в виде лишения свободы, находятся в местах содержания под стражей подозреваемых и обвиняемых в совершении преступления, уклоняются от воспитания детей или защиты их прав и интересов или отказались взять своего ребенка из воспитательных, лечебных учреждений, учреждений социальной защиты населения либо других аналогичных учреждений.
3. Субсидии бюджетам субъектов Российской Федерации перечисляет Федеральное агентство по образованию в соответствии со сводной бюджетной росписью федерального бюджета в пределах бюджетных ассигнований и утвержденных лимитов бюджетных обязательств, предусмотренных ему на цели, указанные в пункте 1 настоящих Правил.
4. Субсидии бюджетам субъектов Российской Федерации в I квартале 2007 г. предоставляются в размере 30 процентов годового объема средств в соответствии с распределением средств федерального бюджета, направляемых в 2007 году на содержание детей в семьях опекунов (попечителей) и приемных семьях, а также на оплату труда приемных родителей. Начиная со II квартала 2007 г. субсидии бюджетам субъектов Российской Федерации предоставляются путем частичной компенсации кассовых расходов бюджетов субъектов Российской Федерации, связанных с содержанием детей в семьях опекунов (попечителей) и приемных семьях, а также с оплатой труда приемных родителей. Указанная компенсация производится на основании соответствующих отчетов и заявок уполномоченных органов исполнительной власти субъектов Российской Федерации с учетом неиспользованного остатка субсидий, предоставленных в предыдущем квартале 2007 г.
5. Перечисление субсидий бюджетам субъектов Российской Федерации осуществляется в соответствии с соглашением о предоставлении субсидии бюджету субъекта Российской Федерации на содержание детей в семьях опекунов (попечителей) и приемных семьях, а также на оплату труда приемных родителей, заключенным Федеральным агентством по образованию с субъектом Российской Федерации, предусматривающим условия предоставления субсидий и обязательства субъекта Российской Федерации по финансированию за счет средств его консолидированного бюджета расходов, связанных с содержанием детей в семьях опекунов (попечителей) и приемных семьях, а также с оплатой труда приемных родителей.
Федеральное агентство по образованию на основании отчета, представленного субъектом Российской Федерации, определяет размер субсидии бюджету субъекта Российской Федерации и представляет в территориальный орган Федерального казначейства платежные документы для перечисления ее в установленном порядке.
В отчете указывается количество детей, переданных на воспитание в семьи опекунов (попечителей) и приемные семьи, в том числе в течение 2007 года.
6. Субсидии зачисляются в бюджеты субъектов Российской Федерации на счета территориальных органов Федерального казначейства, открытые для кассового обслуживания исполнения бюджетов субъектов Российской Федерации.
7. Учет операций по использованию средств, полученных в виде субсидий, осуществляется на лицевых счетах получателей средств бюджетов субъектов Российской Федерации, открытых уполномоченным органам исполнительной власти субъектов Российской Федерации в территориальных органах Федерального казначейства. При передаче указанных средств в виде субвенций в местные бюджеты учет операций по использованию этих средств осуществляется на лицевых счетах получателей средств местных бюджетов, открытых уполномоченным органам муниципальных образований в территориальных органах Федерального казначейства при осуществлении кассового обслуживания исполнения местных бюджетов.
8. Уполномоченный орган исполнительной власти субъекта Российской Федерации представляет в территориальный орган Федерального казначейства для осуществления в установленном порядке кассовых расходов бюджета субъекта Российской Федерации, связанных с проведением соответствующего мероприятия, копию соглашения, которое предусмотрено пунктом 5 настоящих Правил.
9. Уполномоченные органы исполнительной власти субъектов Российской Федерации представляют ежеквартально, до 15-го числа месяца, следующего за отчетным кварталом, в Федеральное агентство по образованию отчет о расходах консолидированных бюджетов субъектов Российской Федерации, связанных с содержанием детей в семьях опекунов (попечителей) и приемных семьях, а также с оплатой труда приемных родителей, по форме, утвержденной Министерством образования и науки Российской Федерации.
10. Контроль за целевым использованием субсидий возлагается на Федеральное агентство по образованию и Федеральную службу финансово-бюджетного надзора в соответствии с установленными полномочиями.
УТВЕРЖДЕНО
Постановлением
Правительства Российской Федерации
от 30 декабря 2006 г. N 842
РАСПРЕДЕЛЕНИЕ
СРЕДСТВ ФЕДЕРАЛЬНОГО БЮДЖЕТА, ПРЕДОСТАВЛЯЕМЫХ В 2007 ГОДУ В ВИДЕ СУБСИДИЙ БЮДЖЕТАМ СУБЪЕКТОВ РОССИЙСКОЙ ФЕДЕРАЦИИ НА СОДЕРЖАНИЕ ДЕТЕЙ В СЕМЬЯХ ОПЕКУНОВ (ПОПЕЧИТЕЛЕЙ) И ПРИЕМНЫХ СЕМЬЯХ, А ТАКЖЕ НА ОПЛАТУ ТРУДА ПРИЕМНЫХ РОДИТЕЛЕЙ
(в ред. Постановления Правительства РФ от 14.12.2007 N 870)
| Субъект Российской Федерации | Размер субсидий (тыс. рублей) |
| Республика Адыгея | 29836 |
| Республика Алтай | 80333 |
| Республика Башкортостан | 226707 |
| (в ред. Постановления Правительства РФ от 14.12.2007 N 870) | |
| Республика Бурятия | 179751 |
| Республика Дагестан | 41927 |
| Республика Ингушетия | 16833 |
| Кабардино-Балкарская Республика | 33567 |
| Республика Калмыкия | 13781 |
| Карачаево-Черкесская Республика | 17118 |
| Республика Карелия | 36673 |
| Республика Коми | 106698 |
| (в ред. Постановления Правительства РФ от 14.12.2007 N 870) | |
| Республика Марий Эл | 28474 |
| Республика Мордовия | 40475 |
| Республика Саха (Якутия) | 50201 |
| Республика Северная Осетия - Алания | 18649 |
| Республика Татарстан | 60490 |
| Республика Тыва | 132788 |
| Удмуртская Республика | 95811 |
| Республика Хакасия | 29016 |
| Чеченская Республика | 104010,6 |
| (в ред. Постановления Правительства РФ от 14.12.2007 N 870) | |
| Чувашская Республика | 58005 |
| Алтайский край | 80199 |
| Краснодарский край | 205138 |
| Красноярский край | 184430 |
| (в ред. Постановления Правительства РФ от 14.12.2007 N 870) | |
| Пермский край | 164838 |
| в том числе | |
| Коми-Пермяцкий округ | 23846 |
| Приморский край | 178907 |
| Ставропольский край | 29506 |
| Хабаровский край | 90590 |
| Амурская область | 97449 |
| Архангельская область | 24126 |
| Астраханская область | 47179 |
| Белгородская область | 30910 |
| Брянская область | 58588 |
| Владимирская область | 104362 |
| Волгоградская область | 77827 |
| Вологодская область | 36392 |
| Воронежская область | 45804,8 |
| (в ред. Постановления Правительства РФ от 14.12.2007 N 870) | |
| Ивановская область | 61048 |
| Иркутская область | 283859,6 |
| (в ред. Постановления Правительства РФ от 14.12.2007 N 870) | |
| Калининградская область | 66262 |
| Калужская область | 76981 |
| Камчатская область | 18876 |
| Кемеровская область | 227723 |
| Кировская область | 97955 |
| Костромская область | 33188 |
| Курганская область | 122597 |
| Курская область | 48022 |
| Ленинградская область | 45210 |
| Липецкая область | 23947 |
| Магаданская область | 17470 |
| Московская область | 151015 |
| Мурманская область | 37549 |
| Нижегородская область | 118341 |
| Новгородская область | 61562 |
| (в ред. Постановления Правительства РФ от 14.12.2007 N 870) | |
| Новосибирская область | 102311 |
| Омская область | 114853 |
| Оренбургская область | 80769 |
| Орловская область | 43693 |
| Пензенская область | 41913 |
| Псковская область | 39013 |
| Ростовская область | 149832 |
| Рязанская область | 47207 |
| Самарская область | 100782 |
| Саратовская область | 87622 |
| Сахалинская область | 76822 |
| (в ред. Постановления Правительства РФ от 14.12.2007 N 870) | |
| Свердловская область | 179993 |
| Смоленская область | 45039 |
| Тамбовская область | 49870 |
| Тверская область | 78752 |
| Томская область | 69395 |
| Тульская область | 85808 |
| Тюменская область | 11583 |
| Ульяновская область | 67537,6 |
| (в ред. Постановления Правительства РФ от 14.12.2007 N 870) | |
| Челябинская область | 140570 |
| Читинская область | 138114 |
| Ярославская область | 44893 |
| Город Москва | 44752 |
| Город Санкт-Петербург | 49552,6 |
| (в ред. Постановления Правительства РФ от 14.12.2007 N 870) | |
| Еврейская автономная область | 20737 |
| Агинский Бурятский автономный округ | 18883 |
| Корякский автономный округ | 9146 |
| Ненецкий автономный округ | 2300 |
| (в ред. Постановления Правительства РФ от 14.12.2007 N 870) | |
| Усть-Ордынский Бурятский автономный округ | 16149,8 |
| (в ред. Постановления Правительства РФ от 14.12.2007 N 870) | |
| Ханты-Мансийский автономный округ - Югра | 5981 |
| Чукотский автономный округ | 16930 |
| (в ред. Постановления Правительства РФ от 14.12.2007 N 870) | |
| Ямало-Ненецкий автономный округ | 4464 |
| "Итого | 6334262". |
| (в ред. Постановления Правительства РФ от 14.12.2007 N 870) | |