Приказ Минкультуры РФ от 23.11.2007 N 1322

"Об утверждении Административного регламента предоставления Федеральным архивным агентством государственной услуги "Согласование положений о центральных экспертных комиссиях, центральных архивах и иных нормативных правовых актов по архивному делу федеральных органов государственной власти и подведомственных им органов и организаций, а также инструкций по делопроизводству федеральных органов государственной власти"
Редакция от 23.11.2007 — Действует

Зарегистрировано в Минюсте РФ 21 февраля 2008 г. N 11202


МИНИСТЕРСТВО КУЛЬТУРЫ И МАССОВЫХ КОММУНИКАЦИЙ РОССИЙСКОЙ ФЕДЕРАЦИИ

ПРИКАЗ
от 23 ноября 2007 г. N 1322

ОБ УТВЕРЖДЕНИИ АДМИНИСТРАТИВНОГО РЕГЛАМЕНТА ПРЕДОСТАВЛЕНИЯ ФЕДЕРАЛЬНЫМ АРХИВНЫМ АГЕНТСТВОМ ГОСУДАРСТВЕННОЙ УСЛУГИ "СОГЛАСОВАНИЕ ПОЛОЖЕНИЙ О ЦЕНТРАЛЬНЫХ ЭКСПЕРТНЫХ КОМИССИЯХ, ЦЕНТРАЛЬНЫХ АРХИВАХ И ИНЫХ НОРМАТИВНЫХ ПРАВОВЫХ АКТОВ ПО АРХИВНОМУ ДЕЛУ ФЕДЕРАЛЬНЫХ ОРГАНОВ ГОСУДАРСТВЕННОЙ ВЛАСТИ И ПОДВЕДОМСТВЕННЫХ ИМ ОРГАНОВ И ОРГАНИЗАЦИЙ, А ТАКЖЕ ИНСТРУКЦИЙ ПО ДЕЛОПРОИЗВОДСТВУ ФЕДЕРАЛЬНЫХ ОРГАНОВ ГОСУДАРСТВЕННОЙ ВЛАСТИ"

В соответствии с пунктом 7 Порядка разработки и утверждения административных регламентов исполнения государственной функции и административных регламентов предоставления государственных услуг, утвержденного Постановлением Правительства Российской Федерации от 11 ноября 2005 г. N 679 (Собрание законодательства Российской Федерации, 2005, N 47, ст. 4933), приказываю:

Нормы пункта 7 старой редакции Порядка, утвержденного Постановлением Правительства РФ от 11.11.2005 N 679 утратили силу. Аналогичные нормы содержатся в пункте 9 Порядка в редакции Постановления Правительства РФ от 29.11.2007 N 813

1. Утвердить прилагаемый Административный регламент предоставления Федеральным архивным агентством государственной услуги "Согласование положений о центральных экспертных комиссиях, центральных архивах и иных нормативных правовых актов по архивному делу федеральных органов государственной власти и подведомственных им органов и организаций, а также инструкций по делопроизводству федеральных органов государственной власти".

2. Направить настоящий Приказ на государственную регистрацию в Министерство юстиции Российской Федерации.

3. Контроль за исполнением настоящего Приказа возложить на статс-секретаря - заместителя Министра П.А. Пожигайло.

Министр
А.С.СОКОЛОВ

УТВЕРЖДЕН
Приказом Министерства
культуры и массовых коммуникаций
Российской Федерации
от 23.11.2007 N 1322

АДМИНИСТРАТИВНЫЙ РЕГЛАМЕНТ
ПО ПРЕДОСТАВЛЕНИЮ ФЕДЕРАЛЬНЫМ АРХИВНЫМ АГЕНТСТВОМ ГОСУДАРСТВЕННОЙ УСЛУГИ "СОГЛАСОВАНИЕ ПОЛОЖЕНИЙ О ЦЕНТРАЛЬНЫХ ЭКСПЕРТНЫХ КОМИССИЯХ, ЦЕНТРАЛЬНЫХ АРХИВАХ И ИНЫХ НОРМАТИВНЫХ ПРАВОВЫХ АКТОВ ПО АРХИВНОМУ ДЕЛУ ФЕДЕРАЛЬНЫХ ОРГАНОВ ГОСУДАРСТВЕННОЙ ВЛАСТИ И ПОДВЕДОМСТВЕННЫХ ИМ ОРГАНОВ И ОРГАНИЗАЦИЙ, А ТАКЖЕ ИНСТРУКЦИЙ ПО ДЕЛОПРОИЗВОДСТВУ ФЕДЕРАЛЬНЫХ ОРГАНОВ ГОСУДАРСТВЕННОЙ ВЛАСТИ"

I. Общие положения

Наименование государственной услуги

1. Государственной услугой является согласование положений о центральных экспертных комиссиях, центральных архивах и иных нормативных правовых актов по архивному делу федеральных органов государственной власти и подведомственных им органов и организаций, а также инструкций по делопроизводству федеральных органов государственной власти (далее - правовой акт).

Нормативные правовые акты, регулирующие предоставление государственной услуги

2. Предоставление государственной услуги осуществляется в соответствии со следующими нормативными правовыми актами:

Федеральным законом от 22.10.2004 N 125-ФЗ "Об архивном деле в Российской Федерации" (Собрание законодательства Российской Федерации, 2004, N 43, ст. 4169);

Постановлением Правительства Российской Федерации от 17.06.2004 N 290 "О Федеральном архивном агентстве" (Собрание законодательства Российской Федерации, 2004, N 25, ст. 2572);

Приказом Министерства культуры и массовых коммуникаций Российской Федерации от 18.01.2007 N 19 "Об утверждении Правил организации хранения, комплектования, учета и использования документов Архивного фонда Российской Федерации и других архивных документов в государственных и муниципальных архивах, музеях и библиотеках, организациях Российской академии наук", зарегистрирован в Минюсте России 06.03.2007 N 9059;

Приказом Федерального архивного агентства от 09.03.2005 N 17 "Об утверждении Регламента Федерального архивного агентства", зарегистрирован в Минюсте России 13.07.2005 N 6784.

В связи с утратой силы Приказа Росархива от 09.03.2005 N 17, следует руководствоваться принятым взамен Приказом Росархива от 20.07.2010 N 54.

Орган по предоставлению государственной услуги

3. Предоставление государственной услуги осуществляется Федеральным архивным агентством (далее - Росархив).

Технологическое обеспечение государственной услуги осуществляется Отделом комплектования Управления комплектования, организации услуг и архивных технологий Росархива (далее - Подразделение Росархива).

II. Требования к порядку предоставления государственной услуги

4. Предоставление государственной услуги предполагает осуществление следующих административных процедур:

прием и регистрация документов, поступивших от федерального органа государственной власти, и передача их на исполнение;

подготовка проекта правового акта к согласованию, согласование.

Порядок информирования о государственной услуге

5. Получение сведений.

5.1. Сведения о месте нахождения и графике работы Росархива, почтовом и электронном адресах, контактных телефонах размещены на официальном сайте Росархива "Архивы России" www.rusarchives.ru.

5.2. Место нахождения центрального аппарата Федерального архивного агентства и его почтовый адрес: Ильинка ул., д. 12, Москва, 103132.

5.3. Электронный адрес Росархива: rosarhiv@archives.ru.

5.4. Справочные телефоны: (495) 606-25-14; 606-29-73; 606-22-30; 606-27-12.

5.5. Факс: 606-55-87.

5.6. График работы Подразделения Росархива:

понедельник - четверг 9.00 - 18.00

пятница 9.00 - 16.45

суббота - воскресенье выходные дни.

6. Информирование по процедуре исполнения государственной услуги производится:

- по телефону;

- по письменным обращениям;

- по электронной почте;

- посредством личного обращения представителя федерального органа государственной власти;

- на официальном сайте Росархива "Архивы России".

6.1. Информирование представителей федеральных органов государственной власти по телефону осуществляется сотрудниками Подразделения Росархива по справочным телефонам в соответствии с графиком работы Подразделения Росархива. Сотрудник Подразделения Росархива дает исчерпывающую информацию по процедуре предоставления государственной услуги.

6.2. Информирование представителей федеральных органов государственной власти при личном обращении осуществляется сотрудниками Подразделения Росархива на рабочем месте в соответствии с графиком работы Подразделения Росархива.

Сотрудник Подразделения Росархива, ответственный за прием, обязан принять представителя федерального органа государственной власти в назначенный день. Прием может быть перенесен по инициативе представителя федерального органа государственной власти на другой день или другое время.

В день назначенной встречи сотрудник Подразделения Росархива обязан обеспечить возможность доступа к месту проведения информирования представителю федерального органа государственной власти для осуществления информирования о предоставлении государственной услуги.

6.3. При информировании по процедуре предоставления государственной услуги по письменным обращениям федерального органа государственной власти ответ излагается в простой, четкой форме и направляется почтой или по факсу в адрес федерального органа государственной власти или представителя федерального органа государственной власти в срок, не превышающий 10 дней со дня регистрации обращения.

6.4. При информировании по процедуре предоставления государственной услуги по обращениям, направленным по электронной почте, ответ направляется по электронной почте на электронный адрес представителя федерального органа государственной власти в срок, не превышающий 10 дней со дня регистрации обращения.

Результат предоставления государственной услуги

7. Конечным результатом предоставления государственной услуги федеральному органу государственной власти является:

7.1. решение Росархива о согласовании положения о центральной экспертной комиссии федерального органа государственной власти, центральном архиве федерального органа государственной власти и иных нормативных правовых актов по архивному делу федерального органа государственной власти и подведомственных ему органов и организаций, оформленное с учетом требований Постановления Правительства Российской Федерации от 13 августа 1997 г. N 1009 "Об утверждении Правил подготовки нормативных правовых актов федеральных органов исполнительной власти и их государственной регистрации" (Собрание законодательства Российской Федерации, 1997, N 33, ст. 3895), решение Росархива о согласовании инструкций по делопроизводству федерального органа государственной власти, оформленное в виде грифа согласования документа, расположенного ниже реквизита "Подпись" в левой нижней части последнего листа в соответствии с ГОСТ Р 6.30-2003 "Унифицированные системы документации. Унифицированная система организационно-распорядительной документации. Требования к оформлению документов", утвержденным Постановлением Госстандарта России от 03.03.2003 N 65-ст (по заключению Минюста России данный документ в государственной регистрации не нуждается - письмо Минюста России от 04.04.2003 N 07/3276-ЮД), и в соответствии с Типовой инструкцией по делопроизводству в федеральных органах исполнительной власти, утвержденной Приказом Минкультуры России от 8 ноября 2005 г. N 536 и зарегистрированной в Минюсте России 27.01.2006 N 7418 ("Российская газета", N 24, 2006);

7.2. решение Росархива об отказе согласования правового акта.

Описание получателя государственной услуги

8. Получателями государственной услуги являются федеральные органы государственной власти.

Перечень представляемых документов

9. Для получения государственной услуги федеральные органы государственной власти представляют в Росархив с сопроводительным письмом, подписанным руководителем федерального органа государственной власти или его заместителем, проекты документов и правовые акты по архивному делу федерального органа государственной власти и подведомственных ему органов и организаций, требующих согласования, включая:

положение о центральной экспертной комиссии федерального органа государственной власти;

положение о центральном архиве федерального органа государственной власти;

инструкцию по делопроизводству в федеральном органе государственной власти.

Условия и сроки предоставления государственной услуги

10. Предоставление государственной услуги осуществляется по запросу федерального органа государственной власти в течение 30 дней со дня поступления запроса в Росархив, не считая времени ожидания документов от федерального органа государственной власти при дополнительном запросе.

Перечень оснований для отказа в предоставлении государственной услуги

11. Основанием для отказа в рассмотрении представленных документов по существу является оформление представленных документов с нарушениями требований Постановления Правительства Российской Федерации от 13 августа 1997 г. N 1009 "Об утверждении Правил подготовки нормативных правовых актов федеральных органов исполнительной власти и их государственной регистрации" (Собрание законодательства Российской Федерации, 1997, N 33, ст. 3895) <*>, требований ГОСТ Р 6.30-2003 "Унифицированные системы документации. Унифицированная система организационно-распорядительной документации. Требования к оформлению документов", утвержденного Постановлением Госстандарта России от 03.03.2003 N 65-ст (по заключению Минюста России данный документ в государственной регистрации не нуждается - письмо Минюста России от 04.04.2003 N 07/3276-ЮД), и с нарушениями требований Типовой инструкции по делопроизводству в федеральных органах исполнительной власти, утвержденной Приказом Минкультуры России от 8 ноября 2005 г. N 536 и зарегистрированной в Минюсте России 27.01.2006 N 7418 ("Российская газета", N 24, 2006).

<*> В случае согласования проекта нормативного правового акта.

12. Основанием для отказа в согласовании проекта правового акта является несоответствие представленного документа требованиям следующих нормативных правовых актов:

Федерального закона от 22.10.2004 N 125-ФЗ "Об архивном деле в Российской Федерации" (Собрание законодательства Российской Федерации, 2004, N 43, ст. 4169);

Федерального закона от 27.07.2006 N 149-ФЗ "Об информации, информационных технологиях и о защите информации" (Собрание законодательства Российской Федерации, 2006, N 31 (ч. I), ст. 305);

Федерального закона от 02.05.2006 N 59-ФЗ "О порядке рассмотрения обращений граждан Российской Федерации" (Собрание законодательства Российской Федерации, 2006, N 19, ст. 2060);

Федерального закона от 25.12.2000 N 2-ФКЗ "О государственном гербе Российской Федерации" (Собрание законодательства, 2000, N 52, часть I, ст. 5021);

Постановления Правительства Российской Федерации от 19.01.2005 N 30 "О Типовом регламенте взаимодействия федеральных органов государственной власти" (Собрание законодательства Российской Федерации, 2005, N 4, ст. 305);

Постановления Правительства Российской Федерации от 28.07.2005 N 452 "О Типовом регламенте внутренней организации федеральных органов исполнительной власти" (Собрание законодательства Российской Федерации, 2005, N 31, ст. 3233);

Постановления Правительства Российской Федерации от 13 августа 1997 г. N 1009 "Об утверждении Правил подготовки нормативных правовых актов федеральных органов исполнительной власти и их государственной регистрации" (Собрание законодательства Российской Федерации, 1997, N 33, ст. 3895) <*>;

<*> В случае согласования проекта нормативного правового акта.

Положений о федеральных органах государственной власти, утвержденных Правительством Российской Федерации;

Приказа Министерства культуры и массовых коммуникаций Российской Федерации от 08.11.2005 N 536 "О Типовой инструкции по делопроизводству в федеральных органах исполнительной власти", зарегистрированного в Минюсте России 27.01.2006 N 7418 (Российская газета, N 24, 2006);

Приказа Министерства культуры и массовых коммуникаций Российской Федерации от 18.01.2007 N 19 "Об утверждении Правил организации хранения, комплектования, учета и использования документов Архивного фонда Российской Федерации и других архивных документов в государственных и муниципальных архивах, музеях и библиотеках, организациях Российской Академии наук", зарегистрированного в Минюсте России 06.03.2007 N 9059;

Приказа Комитета по делам архивов при Правительстве Российской Федерации от 29.06.1992 N 151 "О Примерном положении о центральном архиве министерства, ведомства Российской Федерации", зарегистрированного в Минюсте России 28.07.1992 N 19.

Другие положения, характеризующие требования к предоставлению государственной услуги

13. Росархив осуществляет предоставление государственной услуги бесплатно.

III. Административные процедуры

Прием и регистрация документов, поступивших от федерального органа государственной власти, и передача их на исполнение

Блок-схема административной процедуры представлена в Приложении 1.

14. Документы, указанные в п. 9, могут быть доставлены в Росархив посредством почтовой, фельдъегерской, курьерской связи.

15. Прием и регистрацию документов, поступивших от федерального органа государственной власти, осуществляет сотрудник подразделения Росархива, обеспечивающего прием и регистрацию почтовой корреспонденции, ответственный за регистрацию документов.

Регистрация документов осуществляется в день поступления.

16. Сотрудник, ответственный за регистрацию документов, не позднее рабочего дня, следующего за регистрацией, направляет зарегистрированный комплект документов Руководителю Росархива.

17. Руководитель Росархива в течение рабочего дня рассматривает полученные документы и направляет их в Подразделение Росархива на исполнение.

18. Начальник Подразделения Росархива в день поступления документов назначает ответственного исполнителя Подразделения Росархива (далее - ответственный исполнитель) и направляет ему поступившие документы.

19. Ответственный исполнитель в течение 5 рабочих дней проверяет комплектность и правильность оформления представленных документов в соответствии с п. 11.

20. Если поступившие документы надлежаще оформлены и представлены в полной комплектности, ответственный исполнитель Подразделения Росархива готовит документы к согласованию в соответствии с административной процедурой "Подготовка проекта правового акта к согласованию, согласование".

21. При выявлении в ходе проверки некомплектности документов или их неправильного оформления ответственный исполнитель Подразделения Росархива информирует об этом исполнителя федерального органа государственной власти по телефону.

22. В случае, если по истечении 30 дней федеральный орган государственной власти не представит в адрес Росархива необходимые и документы, то осуществляются следующие действия:

22.1. ответственный исполнитель Подразделения Росархива в течение 3 рабочих дней готовит письменное уведомление с обоснованием отказа в предоставлении государственной услуги и направляет его начальнику Подразделения.

22.2. Начальник Подразделения Росархива в течение 2 рабочих дней визирует документы и направляет их Руководителю (заместителю руководителя) Росархива.

22.3. Руководитель (заместитель руководителя) Росархива в течение 3 рабочих дней подписывает документы и направляет их в подразделение, ответственное за делопроизводство.

22.4. Сотрудник подразделения, ответственного за делопроизводство, ответственный за рассылку корреспонденции, не позднее рабочего дня, следующего за поступлением документов, направляет его в федеральный орган государственной власти по почте по адресу, указанному в бланке сопроводительного письма федерального органа государственной власти.

23. В случае, если в течение 30 дней федеральный орган государственной власти представил комплект документов, то повторно выполняется данная административная процедура.

Подготовка проекта правового акта к согласованию, согласование

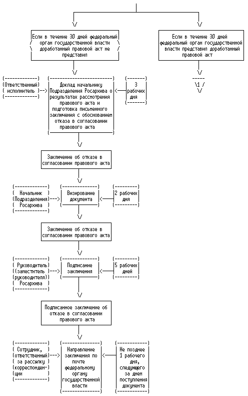
Блок-схема административной процедуры представлена в Приложении 2.

24. Ответственный исполнитель Подразделения Росархива в течение 10 рабочих дней проверяет соответствие проекта правового акта на соответствие основаниям для отказа в согласовании правового акта, указанным в п. 12.

25. Если проект правового акта соответствует требованиям нормативных правовых актов, указанных в пункте 12 настоящего Регламента, ответственный исполнитель Подразделения Росархива готовит проект сопроводительного письма и представляет документы начальнику Подразделения Росархива для визирования.

26. Начальник Подразделения Росархива в течение 3 рабочих дней визирует представленные документы и направляет их Руководителю Росархива для согласования и докладывает Руководителю Росархива о соответствии проекта правового акта требованиям законодательства.

27. Руководитель Росархива в течение 3 рабочих дней согласовывает проект правового акта, подписывает сопроводительное письмо и направляет их в подразделение, ответственное за делопроизводство.

Согласование оформляется в соответствии с п. 7.1.

28. Ответственный исполнитель в течение 5 рабочих дней после согласования вносит сведения о согласовании правового акта в учетную базу данных Подразделения Росархива.

29. В подразделении, ответственном за делопроизводство, сотрудник, ответственный за рассылку корреспонденции, не позднее рабочего дня, следующего за поступлением документов, направляет согласованный правовой акт в адрес федерального органа государственной власти с сопроводительным письмом.

30. При выявлении в ходе проверки несоответствия проекта правового акта требованиям нормативных правовых актов, указанных в пункте 12 настоящего Регламента, ответственный исполнитель Подразделения Росархива уведомляет по телефону об имеющихся замечаниях исполнителя федерального органа государственной власти, в случае необходимости согласовывает дату и время проведения консультаций для обсуждения и устранения имеющихся несоответствий.

31. В случае, если в течение 30 дней федеральный орган государственной власти представил доработанный проект правового акта, то повторно выполняется данная административная процедура.

32. В ином случае осуществляются следующие действия:

32.1. ответственный исполнитель в течение 3 рабочих дней Подразделения Росархива докладывает начальнику Подразделения Росархива результаты рассмотрения проекта правового акта, готовит письменное заключение с обоснованием отказа в согласовании проекта правового акта, в котором даются ссылки на нормативные правовые акты (пункты, статьи), указываются причины, послужившие основанием для принятия такого решения. Заключение оформляется на бланке письма Росархива и направляется начальнику Подразделения Росархива.

32.2. Начальник подразделения Росархива в течение 2 рабочих дней визирует документы и направляет их Руководителю (заместителю руководителя) Росархива.

32.3. Руководитель (заместитель руководителя) Росархива в течение 5 рабочих дней подписывает документы и направляет их в подразделение, ответственное за делопроизводство.

32.4. В подразделении, ответственном за делопроизводство, сотрудник, ответственный за рассылку корреспонденции, не позднее рабочего дня, следующего за поступлением документов, направляет документы в федеральный орган государственной власти по почте по адресу, указанному в бланке сопроводительного письма федерального органа государственной власти.

Порядок обжалования действия (бездействия) и решений, осуществляемых (принятых) в ходе предоставления государственной услуги на основании административного регламента

33. Федеральные органы государственной власти (либо их представитель) могут обратиться с жалобой на действия (бездействие) и решения, осуществляемые (принятые) в ходе предоставления государственной услуги на основании настоящего Регламента (далее - жалоба), устно или письменно в Подразделение Росархива либо непосредственно к Руководителю Росархива или его заместителю.

34. В письменной жалобе указываются:

полное наименование федерального органа государственной власти (либо фамилия, имя, отчество его уполномоченного представителя);

почтовый адрес;

предмет жалобы;

подпись;

дата.

35. Письменная жалоба должна быть рассмотрена в течение 30 дней со дня регистрации.

36. Если в результате рассмотрения жалоба признана обоснованной, то принимается решение об осуществлении действий по устранению предмета жалобы и применении мер ответственности к сотруднику, допустившему нарушения в ходе предоставления государственной услуги, которые повлекли за собой жалобу.

37. В федеральный орган государственной власти направляется сообщение о принятом решении и действиях, осуществленных в соответствии с принятым решением.

38. Обращение федерального органа государственной власти считается разрешенным, если рассмотрены все поставленные в нем вопросы, приняты необходимые меры и дан письменный ответ (в пределах компетенции) по существу всех поставленных в обращении вопросов.

39. Если федеральный орган государственный власти не удовлетворен решением, принятым в ходе рассмотрения жалобы, или решение не было принято, жалоба может быть подана в Министерство культуры и массовых коммуникаций Российской Федерации по адресу: Китайгородский проезд, д. 7, стр. 2, Москва, 109074.

Приложение 1

Блок-схема административной процедуры "Прием и регистрация документов, поступивших от федерального органа государственной власти, и передача их на исполнение" - часть 1

Блок-схема административной процедуры "Прием и регистрация документов, поступивших от федерального органа государственной власти, и передача их на исполнение" - часть 2

Приложение 2

Блок-схема административной процедуры "Подготовка проекта правового акта к согласованию, согласование" - часть 1

Блок-схема административной процедуры "Подготовка проекта правового акта к согласованию, согласование" - часть 2