Приказ ФСФР РФ от 13.11.2007 N 07-107/ПЗ-Н

"Об утверждении Административного регламента по исполнению Федеральной службой по финансовым рынкам государственной функции контроля и надзора"
Редакция от 13.11.2007 — Документ утратил силу, см. «Приказ ФСФР РФ от 21.05.2013 N 13-44/ПЗ-Н»
Показать изменения

Зарегистрировано в Минюсте РФ 14 декабря 2007 г. N 10706


ФЕДЕРАЛЬНАЯ СЛУЖБА ПО ФИНАНСОВЫМ РЫНКАМ

ПРИКАЗ
от 13 ноября 2007 г. N 07-107/пз-н

ОБ УТВЕРЖДЕНИИ АДМИНИСТРАТИВНОГО РЕГЛАМЕНТА ПО ИСПОЛНЕНИЮ ФЕДЕРАЛЬНОЙ СЛУЖБОЙ ПО ФИНАНСОВЫМ РЫНКАМ ГОСУДАРСТВЕННОЙ ФУНКЦИИ КОНТРОЛЯ И НАДЗОРА

В соответствии с пунктом 7 Порядка разработки и утверждения административных регламентов исполнения государственной функции и административных регламентов предоставления государственных услуг, утвержденного Постановлением Правительства Российской Федерации от 11.11.2005 N 679 (Собрание законодательства Российской Федерации, 2005, N 47, ст. 4933), приказываю:

Нормы пункта 7 старой редакции Порядка, утвержденного Постановлением Правительства РФ от 11.11.2005 N 679 утратили силу. Аналогичные нормы содержатся в пункте 9 Порядка в редакции Постановления Правительства РФ от 29.11.2007 N 813

1. Утвердить прилагаемый Административный регламент по исполнению Федеральной службой по финансовым рынкам государственной функции контроля и надзора.

2. Настоящий Приказ вступает в силу с 1 марта 2008 года.

3. Контроль за исполнением настоящего Приказа оставляю за собой.

Руководитель
В.Д.МИЛОВИДОВ

УТВЕРЖДЕН
Приказом Федеральной службы
по финансовым рынкам
от 13.11.2007 N 07-107/пз-н

АДМИНИСТРАТИВНЫЙ РЕГЛАМЕНТ
ПО ИСПОЛНЕНИЮ ФЕДЕРАЛЬНОЙ СЛУЖБОЙ ПО ФИНАНСОВЫМ РЫНКАМ ГОСУДАРСТВЕННОЙ ФУНКЦИИ КОНТРОЛЯ И НАДЗОРА

ОБЩИЕ ПОЛОЖЕНИЯ

1. Административный регламент по исполнению Федеральной службой по финансовым рынкам государственной функции контроля и надзора (далее - Административный регламент) определяет сроки и последовательность действий (административных процедур) Федеральной службы по финансовым рынкам (далее - ФСФР России) и территориальных органов ФСФР России (далее - РО ФСФР России) при проведении проверок (контрольно-ревизионных мероприятий) организаций, осуществление контроля и надзора за которыми возложено на ФСФР России.

2. В число организаций, в отношении которых ФСФР России проводятся мероприятия по контролю и надзору за исполнением законодательства Российской Федерации, включены:

1) эмитенты;

2) акционерные инвестиционные фонды;

3) субъекты отношений по формированию и инвестированию средств пенсионных накоплений;

4) субъекты отношений по негосударственному пенсионному обеспечению, обязательному пенсионному страхованию и профессиональному пенсионному страхованию;

5) ипотечные агенты, управляющие ипотечным покрытием;

6) специализированные депозитарии ипотечного покрытия;

7) профессиональные участники рынка ценных бумаг;

8) управляющие компании акционерных инвестиционных фондов, паевых инвестиционных фондов и негосударственных пенсионных фондов;

9) специализированные депозитарии инвестиционных фондов, паевых инвестиционных фондов, негосударственных пенсионных фондов;

10) бюро кредитных историй;

11) жилищные накопительные кооперативы;

12) специализированные депозитарии, управляющие компании и брокеры как субъекты отношений по формированию и инвестированию накоплений для жилищного обеспечения военнослужащих;

13) саморегулируемые организации организаций, полномочия по контролю и надзору за которыми ФСФР России осуществляет на основании федеральных законов, актов Президента Российской Федерации и Правительства Российской Федерации (далее - саморегулируемые организации),

(далее - организации).

3. Центральный аппарат ФСФР России вправе проводить проверки любых вышеуказанных организаций.

РО ФСФР России (список РО ФСФР России приведен в приложении N 1 к Административному регламенту) проводят проверки организаций, их обособленных подразделений, а также обособленных подразделений иных организаций, осуществляющих деятельность на подведомственных им территориях.

РО ФСФР России только при получении письменных согласований (поручений) от ФСФР России проводят проверку деятельности следующих организаций:

- профессиональных участников рынка ценных бумаг, осуществляющих деятельность по организации торговли на рынке ценных бумаг (в том числе в качестве фондовой биржи), по ведению реестра владельцев ценных бумаг, клиринговую деятельность, депозитарную деятельность в качестве расчетного депозитария;

- профессиональных участников рынка ценных бумаг, информация о финансовом состоянии которых в оперативном порядке должна направляться в ФСФР России (перечень устанавливается приказом ФСФР России);

- специализированных депозитариев акционерных инвестиционных фондов, паевых инвестиционных фондов и негосударственных пенсионных фондов, специализированных депозитариев ипотечного покрытия;

- акционерных инвестиционных фондов, негосударственных пенсионных фондов;

- управляющих компаний акционерных инвестиционных фондов, паевых инвестиционных фондов и негосударственных пенсионных фондов;

- товарных бирж;

- бюро кредитных историй;

- эмитентов, регистрацию выпусков ценных бумаг которых осуществляет ФСФР России (перечень устанавливается приказом ФСФР России).

4. Предметом контроля и надзора за деятельностью организаций, в отношении которых ФСФР России (РО ФСФР России) проводятся соответствующие мероприятия, является:

- соблюдение организациями лицензионных требований и условий при осуществлении соответствующей деятельности;

- соблюдение законодательства Российской Федерации о ценных бумагах, об акционерных обществах, о защите прав и законных интересов инвесторов на рынке ценных бумаг, об инвестиционных фондах, о кредитных историях, о противодействии легализации (отмыванию) доходов, полученных преступным путем, и финансированию терроризма, о деятельности жилищных накопительных кооперативов, о деятельности по пенсионному обеспечению и пенсионному страхованию, о товарных биржах, об ипотечных ценных бумагах и о жилищном обеспечении военнослужащих;

- соблюдение установленных федеральными законами и иными нормативными правовыми актами Российской Федерации требований к раскрытию информации о деятельности организации;

- соблюдение установленных федеральными законами и иными нормативными правовыми актами Российской Федерации требований к предоставлению отчетности организаций;

- соблюдение требований и условий, содержащихся в нормативных правовых актах Российской Федерации, регулирующих деятельность по управлению инвестиционными резервами акционерных инвестиционных фондов, паевыми инвестиционными фондами, пенсионными резервами негосударственных пенсионных фондов, доверительному управлению средствами пенсионных накоплений, доверительному управлению накоплениями для жилищного обеспечения военнослужащих и доверительному управлению ипотечным покрытием;

- соблюдение требований и условий, содержащихся в нормативных правовых актах Российской Федерации, в том числе в нормативных правовых актах федеральных органов исполнительной власти, регулирующих осуществление организациями соответствующих видов деятельности;

- соблюдение субъектами отношений по негосударственному пенсионному обеспечению, обязательному пенсионному страхованию и профессиональному пенсионному страхованию требований по формированию и размещению средств пенсионных резервов, формированию и инвестированию средств пенсионных накоплений в соответствии с Федеральным законом "О негосударственных пенсионных фондах" и другими нормативными правовыми актами Российской Федерации;

- деятельность негосударственных пенсионных фондов по учету пенсионных обязательств негосударственных пенсионных фондов, назначению и выплатам негосударственных пенсий участникам фонда, учету средств пенсионных накоплений застрахованных лиц, а также по назначению и выплатам накопительной части трудовой пенсии застрахованным лицам;

- соответствие собственных средств организаций и иных финансовых показателей нормативам достаточности собственных средств и иным показателям, установленным законодательством Российской Федерации, в том числе нормативными правовыми актами федерального органа исполнительной власти по рынку ценных бумаг;

- соответствие работников организации квалификационным требованиям, установленным законодательством Российской Федерации, в том числе нормативными правовыми актами федерального органа исполнительной власти по рынку ценных бумаг;

- соответствие работников организации, ответственных за соблюдение правил внутреннего контроля и программ его осуществления в целях противодействия легализации (отмыванию) доходов, полученных преступным путем, и финансированию терроризма, квалификационным требованиям, установленным законодательством Российской Федерации.

5. Исполнение государственной функции по проведению надзорных мероприятий в отношении организаций, указанных в пункте 2 Административного регламента, осуществляется в соответствии со следующими нормативными правовыми актами:

1) Кодекс Российской Федерации об административных правонарушениях <*>;

<*> "Собрание законодательства Российской Федерации", 07.01.2002, N 1 (ч. I), ст. 1. Внесены изменения: Федеральным законом от 25.04.2002 N 41-ФЗ ("Собрание законодательства Российской Федерации" от 06.05.2002, N 18, ст. 1721), Федеральным законом от 25.07.2002 N 112-ФЗ ("Собрание законодательства Российской Федерации" от 29.07.2002, N 30, ст. 3029), Федеральным законом от 30.10.2002 N 130-ФЗ ("Собрание законодательства Российской Федерации" от 04.11.2002, N 44, ст. 4295), Федеральным законом от 31.10.2002 N 133-ФЗ ("Собрание законодательства Российской Федерации" от 04.11.2002, N 44, ст. 4298), Федеральным законом от 31.12.2002 N 187-ФЗ ("Собрание законодательства Российской Федерации" от 06.01.2003, N 1, ст. 2), Федеральным законом от 30.06.2003 N 86-ФЗ ("Собрание законодательства Российской Федерации" от 07.07.2003, N 27 (ч. I), ст. 2700), Федеральным законом от 04.07.2003 N 94-ФЗ ("Собрание законодательства Российской Федерации" от 07.07.2003, N 27 (ч. II), ст. 2708), Федеральным законом от 04.07.2003 N 103-ФЗ ("Собрание законодательства Российской Федерации" от 07.07.2003, N 27 (ч. II), ст. 2717), Федеральным законом от 11.11.2003 N 138-ФЗ ("Собрание законодательства Российской Федерации" от 17.11.2003, N 46 (ч. I), ст. 4434), Федеральным законом от 11.11.2003 N 144-ФЗ ("Собрание законодательства Российской Федерации" от 17.11.2003, N 46 (ч. I), ст. 4440), Федеральным законом от 08.12.2003 N 161-ФЗ ("Собрание законодательства Российской Федерации" от 15.12.2003, N 50, ст. 4847), Федеральным законом от 08.12.2003 N 169-ФЗ ("Собрание законодательства Российской Федерации" от 15.12.2003, N 50, ст. 4855), Федеральным законом от 23.12.2003 N 185-ФЗ ("Собрание законодательства Российской Федерации" от 29.12.2003, N 52 (часть I), ст. 5037), Федеральным законом от 09.05.2004 N 37-ФЗ ("Собрание законодательства Российской Федерации" от 10.05.2004, N 19 (часть I), ст. 1838), Федеральным законом от 26.07.2004 N 77-ФЗ ("Собрание законодательства Российской Федерации" от 26.07.2004, N 30, ст. 3095), Федеральным законом от 28.07.2004 N 93-ФЗ ("Собрание законодательства Российской Федерации" от 02.08.2004, N 31, ст. 3229), Федеральным законом от 20.08.2004 N 114-ФЗ ("Собрание законодательства Российской Федерации" от 23.08.2004, N 34, ст. 3529), Федеральным законом от 20.08.2004 N 118-ФЗ ("Собрание законодательства Российской Федерации" от 23.08.2004, N 34, ст. 3533), Федеральным законом от 25.10.2004 N 126-ФЗ ("Собрание законодательства Российской Федерации" от 01.11.2004, N 44, ст. 4266), Федеральным законом от 28.12.2004 N 183-ФЗ ("Собрание законодательства Российской Федерации" от 03.01.2005, N 1 (часть I), ст. 9), Федеральным законом от 28.12.2004 N 187-ФЗ ("Собрание законодательства Российской Федерации" от 03.01.2005, N 1 (часть I), ст. 13), Федеральным законом от 30.12.2004 N 211-ФЗ ("Собрание законодательства Российской Федерации" от 03.01.2005, N 1 (часть I), ст. 37), Федеральным законом от 30.12.2004 N 214-ФЗ ("Собрание законодательства Российской Федерации" от 03.01.2005, N 1 (часть I), ст. 40), Федеральным законом от 30.12.2004 N 219-ФЗ (ред. 21.03.2005) ("Собрание законодательства Российской Федерации" от 03.01.2005, N 1 (часть I), ст. 45), Федеральным законом от 07.03.2005 N 14-ФЗ ("Собрание законодательства Российской Федерации" от 07.03.2005, N 10, ст. 762), Федеральным законом от 07.03.2005 N 15-ФЗ ("Собрание законодательства Российской Федерации" от 07.03.2005, N 10, ст. 763), Федеральным законом от 21.03.2005 N 19-ФЗ ("Собрание законодательства Российской Федерации" от 28.03.2005, N 13, ст. 1077), Федеральным законом от 21.03.2005 N 21-ФЗ ("Собрание законодательства Российской Федерации" от 28.03.2005, N 13, ст. 1079), Федеральным законом от 22.04.2005 N 38-ФЗ ("Собрание законодательства Российской Федерации" от 25.04.2005, N 17, ст. 1484), Федеральным законом от 09.05.2005 N 45-ФЗ ("Собрание законодательства Российской Федерации" от 09.05.2005, N 19, ст. 1752), Федеральным законом от 18.06.2005 N 66-ФЗ ("Собрание законодательства Российской Федерации" от 20.06.2005, N 25, ст. 2431), Федеральным законом от 02.07.2005 N 80-ФЗ ("Собрание законодательства Российской Федерации" от 04.07.2005, N 27, ст. 2719), Федеральным законом от 02.07.2005 N 82-ФЗ ("Собрание законодательства Российской Федерации" от 04.07.2005, N 27, ст. 2721), Федеральным законом от 21.07.2005 N 93-ФЗ ("Собрание законодательства Российской Федерации" от 25.07.2005, N 30 (ч. I), ст. 3104), Федеральным законом от 21.07.2005 N 113-ФЗ ("Собрание законодательства Российской Федерации" от 25.07.2005, N 30 (ч. II), ст. 3124), Федеральным законом от 22.07.2005 N 120-ФЗ ("Собрание законодательства Российской Федерации" от 25.07.2005, N 30 (ч. II), ст. 3131), Федеральным законом от 27.09.2005 N 124-ФЗ ("Собрание законодательства Российской Федерации" от 03.10.2005, N 40, ст. 3986), Федеральным законом от 05.12.2005 N 156-ФЗ ("Собрание законодательства Российской Федерации" от 12.12.2005, N 50, ст. 5247), Федеральным законом от 19.12.2005 N 161-ФЗ ("Собрание законодательства Российской Федерации" от 26.12.2005, N 52 (ч. I), ст. 5574), Федеральным законом от 26.12.2005 N 183-ФЗ ("Собрание законодательства Российской Федерации" от 26.12.2005, N 52 (ч. I), ст. 5596), Федеральным законом от 27.12.2005 N 193-ФЗ ("Собрание законодательства Российской Федерации" от 02.01.2006, N 1, ст. 4), Федеральным законом от 31.12.2005 N 199-ФЗ ("Собрание законодательства Российской Федерации" от 02.01.2006, N 1, ст. 10), Федеральным законом от 05.01.2006 N 7-ФЗ ("Собрание законодательства Российской Федерации" от 09.01.2006, N 2, ст. 172), Федеральным законом от 05.01.2006 N 10-ФЗ ("Собрание законодательства Российской Федерации" от 09.01.2006, N 2, ст. 175), Федеральным законом от 02.02.2006 N 19-ФЗ ("Собрание законодательства Российской Федерации" от 06.02.2006, N 6, ст. 636), Федеральным законом от 03.03.2006 N 30-ФЗ ("Собрание законодательства Российской Федерации" от 06.03.2006, N 10, ст. 1067), Федеральным законом от 16.03.2006 N 41-ФЗ ("Собрание законодательства Российской Федерации" от 20.03.2006, N 12, ст. 1234), Федеральным законом от 15.04.2006 N 47-ФЗ ("Собрание законодательства Российской Федерации" от 24.04.2006, N 17 (ч. I), ст. 1776), Федеральным законом от 29.04.2006 N 57-ФЗ ("Собрание законодательства Российской Федерации" от 01.05.2006, N 18, ст. 1907), Федеральным законом от 08.05.2006 N 65-ФЗ ("Собрание законодательства Российской Федерации" от 08.05.2006, N 19, ст. 2066), Федеральным законом от 03.06.2006 N 73-ФЗ ("Собрание законодательства Российской Федерации" от 05.06.2006, N 23, ст. 2380), Федеральным законом от 03.06.2006 N 78-ФЗ ("Собрание законодательства Российской Федерации" от 05.06.2006, N 23, ст. 2385), Федеральным законом от 03.07.2006 N 97-ФЗ ("Собрание законодательства Российской Федерации" от 10.07.2006, N 28, ст. 2975), Федеральным законом от 18.07.2006 N 111-ФЗ ("Собрание законодательства Российской Федерации" от 24.07.2006, N 30, ст. 3287), Федеральным законом от 18.07.2006 N 121-ФЗ ("Собрание законодательства Российской Федерации" от 31.07.2006, N 31 (ч. I), ст. 3420), Федеральным законом от 26.07.2006 N 133-ФЗ ("Собрание законодательства Российской Федерации" от 31.07.2006, N 31 (ч. I), ст. 3432), Федеральным законом от 26.07.2006 N 134-ФЗ ("Собрание законодательства Российской Федерации" от 31.07.2006, N 31 (ч. I), ст. 3433), Федеральным законом от 27.07.2006 N 139-ФЗ ("Собрание законодательства Российской Федерации" от 31.07.2006, N 31 (ч. I), ст. 3438), Федеральным законом от 27.07.2006 N 153-ФЗ ("Собрание законодательства Российской Федерации" от 31.07.2006, N 31 (ч. I), ст. 3452), Федеральным законом от 16.10.2006 N 160-ФЗ ("Собрание законодательства Российской Федерации" от 23.10.2006, N 43, ст. 4412), Федеральным законом от 03.11.2006 N 181-ФЗ ("Собрание законодательства Российской Федерации" от 06.11.2006, N 45, ст. 4633), Федеральным законом от 03.11.2006 N 182-ФЗ ("Собрание законодательства Российской Федерации" от 06.11.2006, N 45, ст. 4634), Федеральным законом от 05.11.2006 N 189-ФЗ ("Собрание законодательства Российской Федерации" от 06.11.2006, N 45, ст. 4641), Федеральным законом от 04.12.2006 N 201-ФЗ ("Собрание законодательства Российской Федерации" от 11.12.2006, N 50, ст. 5279), Федеральным законом от 04.12.2006 N 203-ФЗ ("Собрание законодательства Российской Федерации" от 11.12.2006, N 50, ст. 5281), Федеральным законом от 18.12.2006 N 232-ФЗ ("Собрание законодательства Российской Федерации" от 25.12.2006, N 52 (ч. I), ст. 5498), Федеральным законом от 29.12.2006 N 258-ФЗ ("Собрание законодательства Российской Федерации" от 01.01.2007, N 1 (ч. I), ст. 21), Федеральным законом от 29.12.2006 N 262-ФЗ ("Собрание законодательства Российской Федерации" от 01.01.2007, N 1 (ч. I), ст. 25), Федеральным законом от 30.12.2006 N 266-ФЗ ("Собрание законодательства Российской Федерации" от 01.01.2007, N 1 (ч. I), ст. 29), Федеральным законом от 30.12.2006 N 270-ФЗ ("Собрание законодательства Российской Федерации" от 01.01.2007, N 1 (ч. I), ст. 33), Федеральным законом от 09.02.2007 N 19-ФЗ ("Собрание законодательства Российской Федерации" от 12.02.2007, N 7, ст. 840), Федеральным законом от 29.03.2007 N 39-ФЗ ("Собрание законодательства Российской Федерации" от 09.04.2007, N 15, ст. 1743), Федеральным законом от 09.04.2007 N 44-ФЗ ("Собрание законодательства Российской Федерации" от 16.04.2007, N 16, ст. 1824), Федеральным законом от 09.04.2007 N 45-ФЗ ("Собрание законодательства Российской Федерации" от 16.04.2007, N 16, ст. 1825), Федеральным законом от 20.04.2007 N 54-ФЗ ("Собрание законодательства Российской Федерации" от 23.04.2007, N 17, ст. 1930), Федеральным законом от 07.05.2007 N 66-ФЗ ("Собрание законодательства Российской Федерации" от 14.05.2007, N 20, ст. 2367), Федеральным законом от 10.05.2007 N 70-ФЗ ("Собрание законодательства Российской Федерации" от 21.05.2007, N 21, ст. 2456), Федеральным законом от 22.06.2007 N 116-ФЗ ("Собрание законодательства Российской Федерации" от 25.06.2007, N 26, ст. 3089), Федеральным законом от 19.07.2007 N 141-ФЗ ("Собрание законодательства Российской Федерации" от 23.07.2007, N 30, ст. 3755), Федеральным законом от 24.07.2007 N 204-ФЗ ("Собрание законодательства Российской Федерации" от 30.07.2007, N 31, ст. 4001), Федеральным законом от 24.07.2007 N 210-ФЗ ("Собрание законодательства Российской Федерации" от 30.07.2007, N 31, ст. 4007), Федеральным законом от 24.07.2007 N 211-ФЗ ("Собрание законодательства Российской Федерации" от 30.07.2007, N 31, ст. 4008), Федеральным законом от 24.07.2007 N 218-ФЗ ("Собрание законодательства Российской Федерации" от 30.07.2007, N 31, ст. 4015) и Федеральным законом от 18.10.2007 N 230-ФЗ ("Собрание законодательства Российской Федерации" от 30.07.2007, N 31, ст. 4009).

2) Федеральный закон от 08.08.2001 N 128-ФЗ "О лицензировании отдельных видов деятельности" <*>;

<*> "Собрание законодательства Российской Федерации", 13.08.2001, N 33 (часть I), ст. 3430. Внесены изменения: Федеральным законом от 13.03.2002 N 28-ФЗ ("Собрание законодательства Российской Федерации" от 18.03.2002, N 11, ст. 1020), Федеральным законом от 21.03.2002 N 31-ФЗ ("Собрание законодательства Российской Федерации" от 25.03.2002, N 12, ст. 1093), Федеральным законом от 09.12.2002 N 164-ФЗ ("Собрание законодательства Российской Федерации" от 16.12.2002, N 50, ст. 4925), Федеральным законом от 10.01.2003 N 17-ФЗ ("Собрание законодательства Российской Федерации" от 13.01.2003, N 2, ст. 169), Федеральным законом от 27.02.2003 N 29-ФЗ ("Собрание законодательства Российской Федерации" от 03.03.2003, N 9, ст. 805), Федеральным законом от 11.03.2003 N 32-ФЗ ("Собрание законодательства Российской Федерации" от 17.03.2003, N 11, ст. 956), Федеральным законом от 26.03.2003 N 36-ФЗ ("Собрание законодательства Российской Федерации" от 31.03.2003, N 13, ст. 1178), Федеральным законом от 23.12.2003 N 185-ФЗ ("Собрание законодательства Российской Федерации" от 29.12.2003, N 52 (часть I), ст. 5037), Федеральным законом от 02.11.2004 N 127-ФЗ ("Собрание законодательства Российской Федерации" от 08.11.2004, N 45, ст. 4377), Федеральным законом от 21.03.2005 N 20-ФЗ ("Собрание законодательства Российской Федерации" от 28.03.2005, N 13, ст. 1078), Федеральным законом от 02.07.2005 N 80-ФЗ ("Собрание законодательства Российской Федерации" от 04.07.2005, N 27, ст. 2719), Федеральным законом от 31.12.2005 N 200-ФЗ ("Собрание законодательства Российской Федерации" от 02.01.2006, N 1, ст. 11), Федеральным законом от 27.07.2006 N 156-ФЗ ("Собрание законодательства Российской Федерации" от 31.07.2006, N 31 (ч. I), ст. 3455), Федеральным законом от 04.12.2006 N 201-ФЗ ("Собрание законодательства Российской Федерации" от 11.12.2006, N 50, ст. 5279), Федеральным законом от 29.12.2006 N 244-ФЗ ("Собрание законодательства Российской Федерации" от 01.01.2007, N 1 (ч. I), ст. 7), Федеральным законом от 29.12.2006 N 252-ФЗ ("Собрание законодательства Российской Федерации" от 01.01.2007, N 1 (ч. I), ст. 15), Федеральным законом от 05.02.2007 N 13-ФЗ ("Собрание законодательства Российской Федерации" от 12.02.2007, N 7, ст. 834), Федеральным законом от 19.07.2007 N 134-ФЗ ("Собрание законодательства Российской Федерации" от 23.07.2007, N 30, ст. 3748), Федеральным законом от 19.07.2007 N 135-ФЗ ("Собрание законодательства Российской Федерации" от 23.07.2007, N 30, ст. 3749), Федеральным законом от 19.07.2007 N 136-ФЗ ("Собрание законодательства Российской Федерации" от 23.07.2007, N 30, ст. 3750).

3) Федеральный закон от 22.04.1996 N 39-ФЗ "О рынке ценных бумаг" <*>;

<*> "Собрание законодательства Российской Федерации", 22.04.1996, N 17, ст. 1918. Внесены изменения: Федеральным законом от 26.11.1998 N 182-ФЗ ("Собрание законодательства Российской Федерации" от 30.11.1998, N 48, ст. 5857), Федеральным законом от 08.07.1999 N 139-ФЗ ("Собрание законодательства Российской Федерации" от 12.07.1999, N 28, ст. 3472), Федеральным законом от 07.08.2001 N 121-ФЗ ("Собрание законодательства Российской Федерации" от 13.08.2001, N 33 (часть I)), Федеральным законом от 28.12.2002 N 185-ФЗ ("Собрание законодательства Российской Федерации" от 30.12.2002, N 52 (ч. II), ст. 5141), Федеральным законом от 29.06.2004 N 58-ФЗ ("Собрание законодательства Российской Федерации" от 05.07.2004, N 27, ст. 2711), Федеральным законом от 28.07.2004 N 89-ФЗ ("Собрание законодательства Российской Федерации" от 02.08.2004, N 31, ст. 3225), Федеральным законом от 07.03.2005 N 16-ФЗ ("Собрание законодательства Российской Федерации" от 14.03.2005, N 11, ст. 900), Федеральным законом от 18.06.2005 N 61-ФЗ ("Собрание законодательства Российской Федерации" от 20.06.2005, N 25, ст. 2426), Федеральным законом от 27.12.2005 N 194-ФЗ ("Собрание законодательства Российской Федерации" от 02.01.2006, N 1, ст. 5), Федеральным законом от 05.01.2006 N 7-ФЗ ("Собрание законодательства Российской Федерации" от 09.01.2006, N 2, ст. 172), Федеральным законом от 15.04.2006 N 51-ФЗ ("Собрание законодательства Российской Федерации" от 24.04.2006, N 17 (ч. I), ст. 1780), Федеральным законом от 27.07.2006 N 138-ФЗ ("Собрание законодательства Российской Федерации" от 31.07.2006, N 31 (ч. I), ст. 3437), Федеральным законом от 16.10.2006 N 160-ФЗ ("Собрание законодательства Российской Федерации" от 23.10.2006, N 43, ст. 4412), Федеральным законом от 30.12.2006 N 282-ФЗ ("Собрание законодательства Российской Федерации" от 01.01.2007, N 1 (ч. I), ст. 45), Федеральным законом от 17.05.2007 N 83-ФЗ ("Собрание законодательства Российской Федерации" от 28.05.2007, N 22, ст. 2563), Федеральным законом от 02.10.2007 N 225-ФЗ ("Собрание законодательства Российской Федерации" от 08.10.2007, N 41, ст. 4845).

4) Федеральный закон от 05.03.1999 N 46-ФЗ "О защите прав и законных интересов инвесторов на рынке ценных бумаг" <*>;

<*> "Собрание законодательства Российской Федерации", 08.03.1999, N 10, ст. 1163. Внесены изменения: Федеральным законом от 30.12.2001 N 196-ФЗ ("Собрание законодательства Российской Федерации" от 07.01.2002, N 1 (ч. I), ст. 2), Федеральным законом от 09.12.2002 N 162-ФЗ ("Собрание законодательства Российской Федерации" от 16.12.2002, N 50, ст. 4923), Федеральным законом от 22.08.2004 N 122-ФЗ ("Собрание законодательства Российской Федерации" от 30.08.2004, N 35, ст. 3607), Федеральным законом от 18.06.2005 N 61-ФЗ ("Собрание законодательства Российской Федерации" от 20.06.2005, N 25, ст. 2426), Федеральным законом от 27.12.2005 N 194-ФЗ ("Собрание законодательства Российской Федерации" от 02.01.2006, N 1, ст. 5), Федеральным законом от 27.07.2006 N 138-ФЗ ("Собрание законодательства Российской Федерации" от 31.07.2006, N 31 (ч. I), ст. 3437), с изменениями, внесенными Федеральными законами от 27.12.2000 N 150-ФЗ ("Собрание законодательства Российской Федерации" от 01.01.2001, N 1 (часть I), ст. 2), от 30.12.2001 N 194-ФЗ ("Собрание законодательства Российской Федерации" от 31.12.2001, N 53 (ч. I), ст. 5030), от 24.12.2002 N 176-ФЗ ("Собрание законодательства Российской Федерации" от 30.12.2002, N 52 (ч. I), ст. 5132), от 23.12.2003 N 186-ФЗ ("Собрание законодательства Российской Федерации" от 29.12.2003, N 52 (часть I), ст. 5038), от 23.12.2004 N 173-ФЗ ("Собрание законодательства Российской Федерации" от 27.12.2004, N 52 (часть I), ст. 5277), от 26.12.2005 N 189-ФЗ ("Собрание законодательства Российской Федерации" от 26.12.2005, N 52 (ч. II), ст. 5602), от 19.12.2006 N 238-ФЗ ("Собрание законодательства Российской Федерации" от 25.12.2006, N 52 (ч. II), ст. 5504).

5) Федеральный закон от 30.12.2004 N 215-ФЗ "О жилищных накопительных кооперативах" <*>;

<*> "Собрание законодательства Российской Федерации", 03.01.2005, N 1 (часть I), ст. 41. Внесены изменения Федеральным законом от 16.10.2006 N 160-ФЗ ("Собрание законодательства Российской Федерации" от 23.10.2006, N 43, ст. 4412).

6) Федеральный закон от 30.12.2004 N 218-ФЗ "О кредитных историях" <*>;

<*> "Собрание законодательства Российской Федерации", 03.01.2005, N 1 (часть I), ст. 44. Внесены изменения: Федеральным законом от 21.07.2005 N 110-ФЗ ("Собрание законодательства Российской Федерации" от 25.07.2005, N 30 (ч. II), ст. 3121), Федеральным законом от 24.07.2007 N 214-ФЗ ("Собрание законодательства Российской Федерации" от 30.07.2007, N 31, ст. 4011).

7) Федеральный закон от 26.12.1995 N 208-ФЗ "Об акционерных обществах" <*>;

<*> "Собрание законодательства Российской Федерации", 01.01.1996, N 1, ст. 1. Внесены изменения: Федеральным законом от 13.06.1996 N 65-ФЗ ("Собрание законодательства Российской Федерации" от 17.06.1996, N 25, ст. 2956), Федеральным законом от 24.05.1999, N 101-ФЗ ("Собрание законодательства Российской Федерации" от 31.05.1999, N 22, ст. 2672), Федеральным законом от 07.08.2001 N 120-ФЗ ("Собрание законодательства Российской Федерации" от 13.08.2001, N 33 (часть I), ст. 3423), Федеральным законом от 21.03.2002 N 31-ФЗ ("Собрание законодательства Российской Федерации" от 25.03.2002, N 12, ст. 1093), Федеральным законом от 31.10.2002 N 134-ФЗ ("Собрание законодательства Российской Федерации" от 11.11.2002, N 45, ст. 4436), Федеральным законом от 27.02.2003 N 29-ФЗ ("Собрание законодательства Российской Федерации" от 03.03.2003, N 9, ст. 805), Федеральным законом от 24.02.2004 N 5-ФЗ ("Собрание законодательства Российской Федерации" от 15.03.2004, N 11, ст. 913), Федеральным законом от 06.04.2004 N 17-ФЗ ("Собрание законодательства Российской Федерации" от 12.04.2004, N 15, ст. 1343), Федеральным законом от 02.12.2004 N 153-ФЗ ("Собрание законодательства Российской Федерации" от 06.12.2004, N 49, ст. 4852), Федеральным законом от 29.12.2004 N 192-ФЗ ("Собрание законодательства Российской Федерации" от 03.01.2005 N 1 (часть I), ст. 18), Федеральным законом от 27.12.2005 N 194-ФЗ ("Собрание законодательства Российской Федерации" от 02.01.2006, N 1, ст. 5), Федеральным законом от 31.12.2005 N 208-ФЗ ("Собрание законодательства Российской Федерации" от 02.01.2006, N 1, ст. 19), Федеральным законом от 05.01.2006 N 7-ФЗ ("Собрание законодательства Российской Федерации" от 09.01.2006, N 2, ст. 172), Федеральным законом от 27.07.2006 N 138-ФЗ ("Собрание законодательства Российской Федерации" от 31.07.2006, N 31 (ч. I), ст. 3437), Федеральным законом от 27.07.2006 N 146-ФЗ ("Собрание законодательства Российской Федерации" от 31.07.2006, N 31 (ч. I), ст. 3445), Федеральным законом от 27.07.2006 N 155-ФЗ ("Собрание законодательства Российской Федерации" от 31.07.2006, N 31 (ч. I), ст. 3454), Федеральным законом от 05.02.2007 N 13-ФЗ ("Собрание законодательства Российской Федерации" от 12.02.2007, N 7, ст. 834), Федеральным законом от 24.07.2007 N 220-ФЗ ("Собрание законодательства Российской Федерации" от 30.07.2007, N 31, ст. 4016).

8) Федеральный закон от 29.11.2001 N 156-ФЗ "Об инвестиционных фондах" <*>;

<*> "Собрание законодательства Российской Федерации", 03.12.2001, N 49, ст. 4562. Внесены изменения: Федеральным законом от 29.06.2004 N 58-ФЗ ("Собрание законодательства Российской Федерации" от 05.07.2004, N 27, ст. 2711), Федеральным законом от 15.04.2006 N 51-ФЗ ("Собрание законодательства Российской Федерации" от 24.04.2006, N 17 (ч. I), ст. 1780).

9) Федеральный закон от 07.05.1998 N 75-ФЗ "О негосударственных пенсионных фондах" <*>;

<*> "Собрание законодательства Российской Федерации", 11.05.1998, N 19, ст. 2071. Внесены изменения: Федеральным законом от 12.02.2001 N 18-ФЗ ("Собрание законодательства Российской Федерации" от 12.02.2001, N 7, ст. 623), Федеральным законом от 21.03.2002 N 31-ФЗ ("Собрание законодательства Российской Федерации" от 25.03.2002, N 12, ст. 1093), Федеральным законом от 10.01.2003 N 14-ФЗ ("Собрание законодательства Российской Федерации" от 13.01.2003, N 2, ст. 166), Федеральным законом от 02.12.2004 N 155-ФЗ ("Собрание законодательства Российской Федерации" от 06.12.2004, N 49, ст. 4854), Федеральным законом от 09.05.2005 N 48-ФЗ ("Собрание законодательства Российской Федерации" от 09.05.2005, N 19, ст. 1755), Федеральным законом от 16.10.2006 N 160-ФЗ ("Собрание законодательства Российской Федерации" от 23.10.2006, N 43, ст. 4412).

10) Федеральный закон от 24.07.2002 N 111-ФЗ "Об инвестировании средств для финансирования накопительной части трудовой пенсии в Российской Федерации" <*>;

<*> "Собрание законодательства Российской Федерации", 29.07.2002, N 30, ст. 3028. Внесены изменения: Федеральным законом от 31.12.2002 N 198-ФЗ ("Собрание законодательства Российской Федерации" от 06.01.2003, N 1, ст. 13), Федеральным законом от 10.11.2003 N 135-ФЗ ("Собрание законодательства Российской Федерации" от 17.11.2003, N 46 (ч. I), ст. 4431), Федеральным законом от 28.07.2004 N 81-ФЗ ("Собрание законодательства Российской Федерации" от 02.08.2004, N 31, ст. 3217), Федеральным законом от 28.12.2004 N 183-ФЗ ("Собрание законодательства Российской Федерации" от 03.01.2005, N 1 (часть I), ст. 9), Федеральным законом от 09.05.2005 N 48-ФЗ ("Собрание законодательства Российской Федерации" от 09.05.2005, N 19, ст. 1755), Федеральным законом от 02.02.2006 N 19-ФЗ ("Собрание законодательства Российской Федерации" от 06.02.2006, N 6, ст. 636).

11) Федеральный закон от 20.08.2004 N 117-ФЗ "О накопительно-ипотечной системе жилищного обеспечения военнослужащих" <*>;

<*> "Собрание законодательства Российской Федерации", 23.08.2004, N 34, ст. 3532. Внесены изменения Федеральным законом от 02.02.2006 N 19-ФЗ ("Собрание законодательства Российской Федерации" от 06.02.2006, N 6, ст. 636).

12) Федеральный закон от 11.11.2003 N 152-ФЗ "Об ипотечных ценных бумагах" <*>;

<*> "Собрание законодательства Российской Федерации", 17.11.2003, N 46 (ч. II), ст. 4448. Внесены изменения: Федеральным законом от 29.12.2004 N 193-ФЗ ("Собрание законодательства Российской Федерации" от 03.01.2005, N 1 (часть I), ст. 19), Федеральным законом от 27.07.2006 N 141-ФЗ ("Собрание законодательства Российской Федерации" от 31.07.2006, N 31 (ч. I), ст. 3440).

13) Федеральный закон от 20.02.1992 N 2383-1 "О товарных биржах и биржевой торговле" <*>;

<*> "Ведомости Совета Народных Депутатов и Верховного Совета Российской Федерации", 07.05.1992, N 18, ст. 961. Внесены изменения: Законом Российской Федерации от 24.06.1992 N 3119-1, от 30.04.1993 N 4919-1 ("Ведомости Съезда Народных Депутатов Российской Федерации и Верховного Совета Российской Федерации" от 07.05.1992, N 18, ст. 961); Федеральным законом от 19.06.1995 N 89-ФЗ ("Собрание законодательства Российской Федерации" от 26.06.1995, N 26, ст. 2397), Федеральным законом от 21.03.2002 N 31-ФЗ ("Собрание законодательства Российской Федерации" от 25.03.2002, N 12, ст. 1093), Федеральным законом от 29.06.2004 N 58-ФЗ ("Собрание законодательства Российской Федерации" от 05.07.2004, N 27, ст. 2711), Федеральным законом от 15.04.2006 N 47-ФЗ ("Собрание законодательства Российской Федерации" от 24.04.2006, N 17 (ч. I), ст. 1776), Федеральным законом от 26.12.2005 N 189-ФЗ ("Собрание законодательства Российской Федерации" от 26.12.2005, N 52 (ч. II), ст. 5602).

14) Постановление Правительства Российской Федерации от 08.11.2005 N 666 "Об уполномоченных федеральных органах исполнительной власти, осуществляющих функции по нормативно-правовому регулированию и государственному контролю (надзору) в сфере отношений по формированию, инвестированию и использованию накоплений для жилищного обеспечения военнослужащих - участников накопительно-ипотечной системы" <*>;

<*> "Собрание законодательства Российской Федерации", 14.11.2005, N 46, ст. 4681.

15) Постановление Правительства Российской Федерации от 04.11.2003 N 669 "Об уполномоченном органе исполнительной власти, осуществляющем государственное регулирование деятельности негосударственных пенсионных фондов по негосударственному пенсионному обеспечению, обязательному пенсионному страхованию и профессиональному пенсионному страхованию, надзор и контроль за указанной деятельностью" <*>;

<*> "Собрание законодательства Российской Федерации", 10.11.2003, N 45, ст. 4388. Внесены изменения: Постановлением Правительства Российской Федерации от 06.01.2006 N 2 ("Собрание законодательства Российской Федерации" от 09.01.2006, N 2, ст. 226), Постановлением Правительства Российской Федерации от 10.03.2007 N 149 ("Собрание законодательства Российской Федерации" от 19.03.2007, N 12, ст. 1414).

16) Постановление Правительства Российской Федерации от 10.08.2005 N 501 "О федеральном органе исполнительной власти, уполномоченном на осуществление функций по контролю и надзору за деятельностью бюро кредитных историй" <*>;

<*> "Собрание законодательства Российской Федерации", 15.08.2005, N 33, ст. 3429.

17) Постановление Правительства Российской Федерации от 02.04.2003 N 190 "Об уполномоченном федеральном органе государственной власти по регулированию, контролю и надзору в сфере формирования и инвестирования средств пенсионных накоплений" <*>;

<*> "Собрание законодательства Российской Федерации", 07.04.2003, N 14, ст. 1288. Внесены изменения Постановлением Правительства Российской Федерации от 27.12.2004 N 858 ("Собрание законодательства Российской Федерации" 07.04.2003, N 14, ст. 1288).

18) Постановление Правительства Российской Федерации от 14.07.2006 N 432 "О лицензировании отдельных видов деятельности на финансовых рынках" <*>;

<*> "Собрание законодательства Российской Федерации", 24.07.2006, N 30, ст. 3397.

19) Положение о Федеральной службе по финансовым рынкам, утвержденное Постановлением Правительства Российской Федерации от 30.06.2004 N 317 <*>.

<*> "Собрание законодательства Российской Федерации", 05.07.2004, N 27, ст. 2780. Внесены изменения: Постановлением Правительства Российской Федерации от 10.08.2005 N 501 ("Собрание законодательства Российской Федерации" от 15.08.2005, N 33, ст. 3429), Постановлением Правительства Российской Федерации от 20.03.2006 N 148 ("Собрание законодательства Российской Федерации" от 27.03.2006, N 13, ст. 1400), Постановлением Правительства Российской Федерации от 14.12.2006 N 767 ("Собрание законодательства Российской Федерации" 25.12.2006, N 52 (ч. III), ст. 5587), Постановлением Правительства Российской Федерации от 10.03.2007 N 152 ("Собрание законодательства Российской Федерации" от 19.03.2007, N 12, ст. 1417).

Исполнение государственной функции по проведению надзорных мероприятий осуществляется в соответствии с Порядком проведения проверок организаций, осуществление контроля и надзора за которыми возложено на Федеральную службу по финансовым рынкам, утвержденным Приказом ФСФР России от 13.09.2007 N 07-94/пз-н <*>.

<*> Зарегистрирован Минюстом России 10.10.2007, регистрационный N 10300.

6. В соответствии с пунктом 1 Положения о Федеральной службе по финансовым рынкам, утвержденного Постановлением Правительства Российской Федерации от 30.06.2004 N 317, ФСФР России является федеральным органом исполнительной власти, осуществляющим функции по контролю и надзору в сфере финансовых рынков (за исключением страховой, банковской и аудиторской деятельности).

Исполнение государственной функции осуществляется ФСФР России, государственными гражданскими служащими Управления организации и проведения надзорных мероприятий на рынке ценных бумаг (далее - Управление надзора), иных структурных подразделений ФСФР России в соответствии с настоящим Регламентом, РО ФСФР России на подведомственных им территориях.

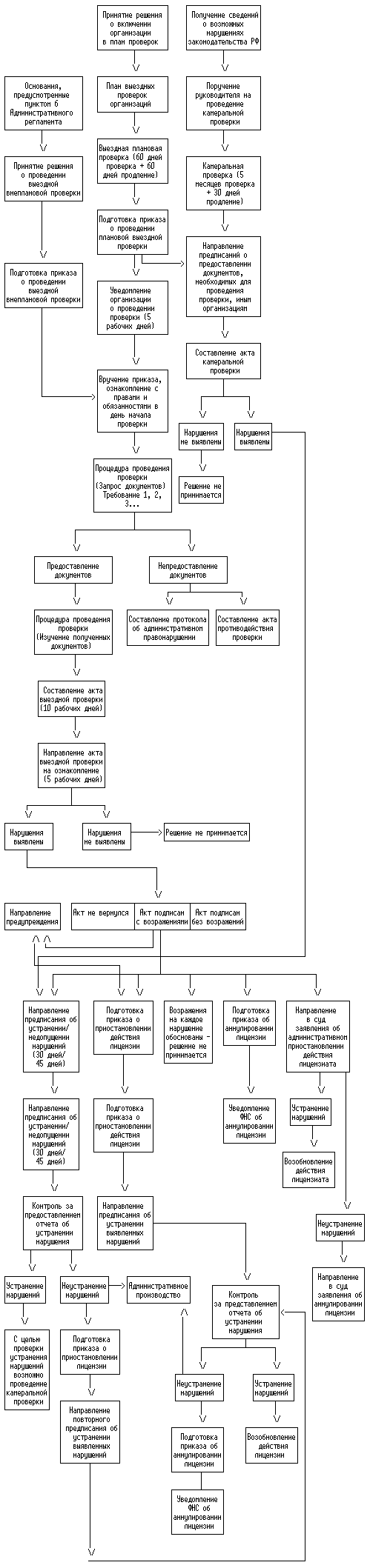
7. ФСФР России (РО ФСФР России) проводит выездные и камеральные проверки.

Выездная проверка может быть плановой или внеплановой.

Выездная проверка может быть совместной.

7.1. Виды проверок:

7.1.1. Выездной проверкой является проверка деятельности организации, проводимая группой инспекторов по месту нахождения и/или ведения деятельности организации.

Основанием проведения плановой выездной проверки являются единый план выездных проверок, формируемый на соответствующий квартал и утверждаемый приказом ФСФР России, и соответствующий приказ ФСФР России о проведении выездной плановой проверки деятельности конкретной организации.

Основанием проведения внеплановой выездной проверки является приказ ФСФР России (РО ФСФР России) о проведении выездной внеплановой проверки деятельности конкретной организации, который может быть издан в следующих случаях:

- в целях проверки исполнения организацией предписаний ФСФР России (РО ФСФР России) об устранении выявленных нарушений законодательства Российской Федерации и/или принятии мер, направленных на недопущение совершенных нарушений в дальнейшей деятельности организации;

- в целях проверки исполнения организацией требований законодательства Российской Федерации о защите прав и законных интересов инвесторов на рынке ценных бумаг;

- в случае поступления информации от органов государственной власти о наличии в деятельности организации нарушений федеральных законов, иных нормативных правовых актов Российской Федерации, контроль и надзор за соблюдением которых входит в компетенцию ФСФР России;

- в случае получения от физических и/или юридических лиц информации, подтвержденной документами, свидетельствующими о наличии признаков нарушений прав и законных интересов граждан, юридических лиц и индивидуальных предпринимателей и/или признаков нарушений федеральных законов, иных нормативных правовых актов Российской Федерации.

7.1.2. К проведению плановых выездных проверок организаций, являющихся членами саморегулируемых организаций, привлекаются уполномоченные работники соответствующих саморегулируемых организаций. Уполномоченный сотрудник саморегулируемой организации, привлеченный к проверке организации, не является инспектором.

7.1.3. Совместной выездной проверкой является плановая или внеплановая выездная проверка деятельности организации группой инспекторов, в состав которой включены по согласованию с иными федеральными органами исполнительной власти и их территориальными органами уполномоченные ими работники.

ФСФР России может проводить выездные проверки совместно со следующими федеральными органами исполнительной власти:

- Министерство внутренних дел Российской Федерации;

- Министерство обороны Российской Федерации;

- Министерство регионального развития Российской Федерации;

- Министерство здравоохранения и социального развития Российской Федерации;

- Федеральная служба безопасности;

- Федеральная служба по финансовому мониторингу;

- Федеральная налоговая служба;

- Федеральная антимонопольная служба.

Основанием для проведения совместной выездной плановой или внеплановой проверки является приказ ФСФР России (РО ФСФР России).

Приказ ФСФР России (РО ФСФР России) о проведении совместной выездной плановой или внеплановой проверки издается в случае, если имеются основания полагать, что в процессе проведения проверки деятельности организации могут быть выявлены нарушения требований федеральных законов, иных нормативных правовых актов Российской Федерации, контроль и надзор за соблюдением которых не входит в компетенцию ФСФР России.

Порядок включения в состав группы инспекторов уполномоченных работников федеральных органов исполнительной власти устанавливается соглашением о взаимодействии с федеральным органом исполнительной власти. В случае если такое соглашение не заключено между ФСФР России и каким-либо из федеральных органов исполнительной власти, то уполномоченные работники такого федерального органа исполнительной власти включаются в состав группы инспекторов по согласованию между ФСФР России и этим органом власти непосредственно перед проведением проверки. Согласование осуществляется в соответствии с пунктом 15.3 Административного регламента.

Совместная выездная проверка проводится в соответствии с пунктом 19 Административного регламента.

7.1.4. Камеральной проверкой является проверка без выезда по месту нахождения и/или ведения деятельности организации, которая проводится по месту нахождения ФСФР России (РО ФСФР России) путем рассмотрения документов и сведений, имеющихся у ФСФР России (РО ФСФР России), документов и сведений, поступающих от проверяемой организации, запрашиваемых и получаемых у данной организации, у органов государственной власти, иных организаций (лиц) в соответствии с законодательством Российской Федерации.

Основанием для проведения камеральной проверки является поручение руководителя ФСФР России (РО ФСФР России).

Камеральная проверка проводится в случае получения ФСФР России сведений о возможных нарушениях федеральных законов, иных нормативных правовых актов Российской Федерации, контроль и надзор за соблюдением которых входит в компетенцию ФСФР России (РО ФСФР России).

7.1.5. Внеплановая выездная проверка эмитента также может быть проведена в виде наблюдения на общих собраниях акционеров.

Основанием проведения наблюдения является приказ ФСФР России, который может быть издан в следующих случаях:

- для проверки исполнения эмитентом требований законодательства об акционерных обществах при подготовке, созыве и проведении общего собрания акционеров, законодательства о защите прав и законных интересов инвесторов на рынке ценных бумаг;

- поступление информации от органов государственной власти о наличии в деятельности эмитента при подготовке, созыве и проведении общего собрания акционеров нарушений федеральных законов, иных нормативных правовых актов Российской Федерации, контроль, надзор за соблюдением которых входит в компетенцию ФСФР России (РО ФСФР России);

- получение от физических и/или юридических лиц информации, подтвержденной документами, свидетельствующими о наличии признаков нарушений прав и законных интересов граждан, юридических лиц и индивидуальных предпринимателей и/или признаков нарушений федеральных законов, иных нормативных правовых актов Российской Федерации со стороны эмитента при подготовке, созыве и проведении общего собрания акционеров.

7.2. Отдельные надзорные мероприятия ФСФР России, а именно проверка сведений, изложенных в поступающих в ФСФР России жалобах и обращениях физических и юридических лиц, о возможном нарушении поднадзорными ФСФР России организациями законодательства Российской Федерации, в том числе нормативных правовых актов Российской Федерации, действующих в сфере ее деятельности, проводятся без назначения камеральной проверки (без составления поручения и акта камеральной проверки) путем затребования у этой организации (и/или у иных поднадзорных ФСФР России организаций, связанных с деятельностью проверяемой организации) необходимых объяснений, информации и документов, относящихся к деятельности проверяемой организации.

7.3. В случае возникновения при проведении проверки необходимости получения информации о деятельности организации, имеющейся у иных поднадзорных ФСФР России организаций, ФСФР России (РО ФСФР России) могут быть запрошены у этих организаций документы, относящиеся к деятельности проверяемой организации.

7.4. В случае выявления при проведении проверки нарушений организацией законодательства Российской Федерации, иных нормативных правовых актов Российской Федерации, надзор за соблюдением которых не входит в функции ФСФР России, материалы, полученные при проведении проверки, в срок не позднее 10 рабочих дней с даты выявления таких нарушений направляются в соответствующий надзорный орган.

Порядок оформления сопроводительного письма к направляемым материалам аналогичен порядку оформления писем о согласовании совместных выездных проверок (пункт 15.3 Административного регламента).

АДМИНИСТРАТИВНЫЕ ПРОЦЕДУРЫ

8. Исполнение государственной функции включает в себя следующие административные процедуры:

- издание приказа (или поручения) о проведении проверки;

- подготовка к проведению проверки;

- осуществление проверки (выездной или камеральной);

- подготовка акта по результатам проведенной проверки, ознакомление с актом уполномоченного лица организации;

- принятие по результатам проверки предусмотренных законодательством Российской Федерации мер.

Принятие решения о проведении проверки

9. Основаниями для начала исполнения государственной функции являются:

утвержденный на соответствующий квартал единый план выездных проверок деятельности организаций, осуществление контроля и надзора за которыми возложено на ФСФР России (далее - Единый квартальный план);

наличие оснований для проведения внеплановой проверки, предусмотренных пунктом 7.1.1 Административного регламента;

наличие оснований для проведения камеральной проверки, предусмотренных пунктом 7.1.4 Административного регламента.

10. Порядок планирования проведения выездных проверок организаций.

Последовательность действий:

- направление служебных записок структурными подразделениями Центрального аппарата ФСФР России;

- предоставление в Центральный аппарат предложений РО ФСФР России в Единый квартальный план;

- составление проекта Единого квартального плана Центральным аппаратом;

- предоставление проекта Единого квартального плана на утверждение руководителю ФСФР России;

- утверждение Единого квартального плана;

- доведение до сведения РО ФСФР России выписок из Единого квартального плана;

- доведение до сведения саморегулируемых организаций информации о планируемых проверках организаций - членов саморегулируемых организаций.

10.1. В целях составления Единого квартального плана структурные подразделения Центрального аппарата ФСФР России не позднее 10 числа последнего месяца каждого квартала направляют в Управление надзора служебные записки, составленные по результатам мониторинга деятельности и анализа отчетности организаций за предыдущий квартал, с предложениями о включении организаций в Единый квартальный план.

В служебной записке указываются следующие сведения об организации:

полное наименование;

указание на осуществляемый организацией вид деятельности;

номера лицензий на осуществление соответствующего вида деятельности (если лицензирование соответствующего вида деятельности предусмотрено);

место нахождения проверяемой организации;

фактический и почтовый адреса проверяемой организации;

номер, дата выдачи лицензии;

сведения об обособленных подразделениях;

краткое обоснование необходимости включения организации в Единый квартальный план выездных проверок с приложением копий документов (при наличии);

список работников соответствующего структурного подразделения, рекомендуемых для включения в группу инспекторов для проведения выездной проверки организации, с указанием занимаемых ими должностей.

В случае получения сведений о нарушениях организациями либо их обособленными подразделениями законодательства Российской Федерации, в том числе нормативных правовых актов Российской Федерации, регулирующих осуществление соответствующего вида деятельности на финансовом рынке, а также законодательства Российской Федерации о противодействии легализации (отмыванию) доходов, полученных преступным путем, и финансированию терроризма структурные подразделения Центрального аппарата ФСФР России дополнительно письменно информируют об этом Управление надзора с приложением копий соответствующих документов.

С учетом полученных предложений и сведений Управление надзора составляет проект квартального плана выездных проверок деятельности организаций Центральным аппаратом ФСФР России.

10.2. РО ФСФР России составляют предложения в Единый квартальный план и представляют их в Центральный аппарат ФСФР России в срок не позднее 15 числа последнего месяца каждого квартала.

Обособленные подразделения организаций, находящихся на территориях, подведомственных иным РО ФСФР России, в предложениях в Единый квартальный план указываются отдельно.

В целях координации выездных проверок, проводимых Центральным аппаратом ФСФР России и РО ФСФР России, Управление надзора после рассмотрения представленных РО ФСФР России предложений в Единый квартальный план при необходимости вносит изменения в указанные предложения и на основании проекта квартального плана выездных проверок деятельности организаций Центральным аппаратом ФСФР России и предложений РО ФСФР России в срок не позднее 20 числа последнего месяца каждого квартала составляет проект Единого квартального плана.

Единый квартальный план составляется с разбивкой по Центральному аппарату ФСФР России и каждому РО ФСФР России и включает в себя следующую информацию:

перечень организаций, выездные проверки которых планируется провести;

указание на осуществляемый организацией вид деятельности;

номера лицензий на осуществление соответствующего вида деятельности (если лицензирование соответствующего вида деятельности предусмотрено);

место нахождения проверяемой организации;

фактический и почтовый адреса проверяемой организации;

планируемые сроки проведения проверки;

обоснование включения в план (указывается в случае, если предыдущая проверка организации проводилась менее чем 2 года назад).

Предложения РО ФСФР России в Единый квартальный план должны содержать указанную информацию.

10.3. Не позднее 5 рабочих дней до начала квартала начальник Управления надзора в установленном порядке докладывает проект приказа об утверждении Единого квартального плана заместителю руководителя ФСФР России в соответствии с распределением обязанностей и руководителю ФСФР России.

10.4. При наличии замечаний к Единому квартальному плану в течение 1 рабочего дня Управлением надзора в план вносятся соответствующие изменения (дополнения).

10.5. При отсутствии замечаний принимается решение об утверждении Единого квартального плана приказом ФСФР России. Порядок оформления приказа аналогичен порядку, изложенному в пункте 16.3 Административного регламента. На приказе об утверждении Единого квартального плана проставляется пометка "Для служебного пользования".

10.6. Не позднее 2 рабочих дней после подписания руководителем ФСФР России приказа об утверждении Единого квартального плана Управление надзора доводит до сведения РО ФСФР России информацию из Единого квартального плана в отношении проверок организаций, расположенных на территориях соответствующих РО ФСФР России.

Проект выписки из Единого квартального плана подготавливается сотрудниками Управления надзора и содержит:

информацию из Единого квартального плана в отношении проверок соответствующих организаций;

перечень организаций, расположенных на подведомственной РО ФСФР России территории, проверки которых будут в соответствующем квартале осуществлены Центральным аппаратом ФСФР России;

предложение предоставить в Центральный аппарат ФСФР России кандидатуры сотрудников РО ФСФР России для включения их в группы инспекторов при проведении Центральным аппаратом проверок организаций, расположенных на территории, подведомственной РО ФСФР России.

Первый экземпляр выписки из Единого квартального плана подготавливается на бланке ФСФР России с угловым расположением реквизитов и подписывается начальником Управления надзора. Второй и третий экземпляры выписки подготавливаются на стандартных листах бумаги. Первый экземпляр выписки (оригинал) направляется адресату, второй (с визами) формируется в дело Управления делами и архива, третий формируется в дело Управления надзора.

Выписки из Единого квартального плана направляются в адреса РО ФСФР России посредством фельдъегерской связи.

11. При включении в Единый квартальный план организаций, являющихся членами саморегулируемых организаций, в саморегулируемые организации, членами которых являются проверяемые организации, направляются письма ФСФР России (порядок оформления таких писем аналогичен порядку, изложенному в пункте 10.6 Административного регламента).

Указанным письмом ФСФР России информирует саморегулируемую организацию о проведении в соответствующем квартале проверок организаций - членов саморегулируемой организации и предлагает предоставить в ФСФР России и/или соответствующие РО ФСФР России кандидатуры сотрудников саморегулируемой организации для включения их в группы инспекторов при проведении ФСФР России и/или РО ФСФР России проверок организаций - членов саморегулируемой организации.

Письмо, содержащее информацию о проведении в соответствующем квартале проверок организаций - членов саморегулируемой организации, в адрес саморегулируемой организации подписывает начальник Управления надзора.

12. РО ФСФР России проводит проверки деятельности организаций, указанных в пункте 3 Административного регламента, только при получении письменного согласования (поручения) от ФСФР России.

13. В случае если РО ФСФР России принимает решение о необходимости внесения изменений в Единый квартальный план или решение о необходимости проведения внеплановой выездной проверки какой-либо отдельной организации либо обособленного подразделения организации региональным отделением ФСФР России, соответствующее РО ФСФР России обязано направить посредством факсимильной связи с последующим письменным подтверждением уведомление об этом в ФСФР России (Управление надзора) с указанием сроков и оснований проведения проверки с приложением копий документов, содержащих сведения, явившиеся основанием для принятия соответствующего решения.

При получении такого уведомления руководитель ФСФР России (заместитель руководителя ФСФР России) принимает решение либо о внесении изменений в Единый квартальный план, либо о согласовании региональному отделению проведения внеплановой проверки, либо о нецелесообразности предложения РО ФСФР России.

В случае принятия руководителем ФСФР России (заместителем руководителем ФСФР России) решения о внесении изменений в Единый квартальный план проект приказа о внесении изменений в Единый квартальный план подготавливается сотрудниками Управления надзора. Порядок оформления такого приказа аналогичен порядку, изложенному в пункте 16.3 Административного регламента. На приказе о внесении изменений в Единый квартальный план проставляется пометка "Для служебного пользования".

Максимальный срок исполнения - 3 рабочих дня с даты поступления в Управление надзора соответствующего уведомления РО ФСФР России.

Решение руководителя ФСФР России (заместителя руководителя ФСФР России) не позднее следующего рабочего дня после его принятия доводится Управлением надзора до соответствующего регионального отделения ФСФР России письмом за подписью начальника Управления надзора.

14. Предоставление РО ФСФР России отчетности о проведенных проверках организаций.

Региональные отделения ФСФР России не позднее 10 рабочих дней после окончания квартала представляют в Управление надзора отчеты о проведенных выездных проверках организаций.

Отчет РО ФСФР России о проведенных выездных проверках организаций включает в себя следующую информацию:

перечень организаций, проверки которых были проведены;

даты проведения выездной проверки в соответствии с приказом РО ФСФР России о проведении проверки;

фактические даты проведения выездной проверки;

дата составления акта проверки;

дата направления (вручения) акта проверки проверенной организации;

дата представления проверенной организацией в РО ФСФР России подписанного экземпляра акта и возражений по нему (при наличии);

дата принятия решения по результатам проверки;

форма решения по результатам проверки.

В случае если проверка организации была запланирована РО ФСФР России, но не начата, соответствующая информация указывается в отчете. В случае если проверка организации начата РО ФСФР России, но на момент представления отчета не завершена, соответствующая информация указывается в отчете.

Подготовка к проведению проверки

15. После принятия решения о проведении проверки какой-либо организации либо ее обособленных подразделений Управление надзора в случае необходимости письменно запрашивает дополнительные документы и/или сведения в отношении этой организации либо ее обособленных подразделений в структурных подразделениях Центрального аппарата ФСФР России/РО ФСФР России.

Указанные документы и/или сведения должны быть предоставлены в Управление надзора в срок не позднее 3 рабочих дней с даты получения запроса.

В случае если для сбора информации требуется более длительный срок, такая информация предоставляется в срок, согласованный начальником (заместителем начальника) Управления надзора и начальником (заместителем начальника) структурного подразделения Центрального аппарата ФСФР России/руководителем (заместителем руководителя) РО ФСФР России.

В случае возникновения при проведении проверки необходимости получения информации о деятельности организации либо ее обособленных подразделений Управление надзора (РО ФСФР России) письменно запрашивает либо затребует предписанием о предоставлении документов необходимые документы у проверяемой организации и/или у поднадзорных ФСФР России организаций, связанных с деятельностью проверяемой организации. Запрос (предписание) о предоставлении документов не может быть направлен поднадзорным организациям ранее, чем проверяемая организация уведомлена о проведении выездной плановой проверки, а в случае проведения выездной внеплановой проверки - ранее дня начала проверки.

15.1. Запрос.

Текст запроса состоит из двух частей. В первой части излагается причина, основание или обоснование составления запроса, приводятся ссылки на документы, являющиеся основанием подготовки запроса. Во второй части, начинающейся с абзаца, помещаются просьбы о предоставлении документов, решения, выводы и т.д. (Приложение N 2 к Административному регламенту).

Проект запроса оформляется в трех экземплярах: первый экземпляр - на бланке ФСФР России установленного образца с угловым расположением реквизитов; 2 и 3 экземпляры - на стандартных листах бумаги.

Первый экземпляр запроса (оригинал) направляется адресату, второй (с визами) формируется в дело Управления делами и архива, третий формируется в дело структурного подразделения-исполнителя (Управление надзора).

Проект запроса подготавливается специалистом Управления надзора и визируется исполнителем и начальником Управления надзора.

Максимальный срок выполнения действия - 2 рабочих дня.

После получения визы начальника Управления надзора на втором экземпляре запроса специалист Управления надзора в течение рабочего дня подготавливает первый экземпляр запроса и отдает его на подпись заместителю руководителя ФСФР России.

15.2. Предписание ФСФР России о предоставлении документов.

Предписание ФСФР России - документ, содержащий распоряжение заместителя руководителя ФСФР России о выполнении изложенных в нем требований.

Текст предписания ФСФР России состоит из предисловия, в котором даются ссылки на соответствующие нормативные правовые акты Российской Федерации, в соответствии с которыми вынесено предписание, и излагаются причины подготовки данного предписания, и предписывающей части, содержащей перечень документов, копии которых следует предоставить, и указание на срок исполнения предписания (Приложение N 3 к Административному регламенту).

Проект предписания подготавливается специалистом Управления надзора в трех экземплярах (первый из которых является оригиналом), второй экземпляр визируется исполнителем и начальником Управления надзора.

Максимальный срок выполнения действия - 2 рабочих дня.

В течение последующих 2 рабочих дней при необходимости визовой экземпляр проекта предписания в порядке, установленном внутренними документами ФСФР России, визируется начальниками заинтересованных структурных подразделений.

После получения визы начальника Управления надзора и начальников заинтересованных структурных подразделений на втором экземпляре проекта предписания специалист Управления надзора в течение рабочего дня подготавливает первый экземпляр (оригинал) предписания на бланке ФСФР России установленного образца с угловым расположением реквизитов и отдает на подпись заместителю руководителя ФСФР России.

Предписания ФСФР России подписываются заместителями руководителя ФСФР России в соответствии с распределением обязанностей. Подпись на оригинале предписания заверяется печатью ФСФР России с изображением Государственного Герба Российской Федерации. Подписанные предписания регистрируются и рассылаются в установленном порядке.

Визовой экземпляр предписания формируется в дело Управления делами и архива, третий экземпляр формируется в дело Управления надзора.

Документы, затребованные предписанием, должны быть предоставлены в ФСФР России (в Управление надзора) в срок, указанный в предписании, но не более 15 рабочих дней.

15.3. Согласование с федеральными органами исполнительной власти проведения совместных проверок.

Проведение совместной выездной проверки согласовывается с соответствующим федеральным органом исполнительной власти. Согласование производится посредством направления писем.

Проект письма в соответствующий орган исполнительной власти оформляется в трех экземплярах: первый экземпляр - на бланке ФСФР России установленного образца с угловым расположением реквизитов; 2 и 3 экземпляры - на стандартных листах бумаги.

Первый экземпляр письма (оригинал) направляется адресату, визовой формируется в дело Управления делами и архива, третий формируется в дело структурного подразделения-исполнителя (Управление надзора).

Проект письма подготавливается специалистом Управления надзора и визируется исполнителем и начальником Управления надзора.

Максимальный срок выполнения действия - 2 рабочих дня.

После получения визы начальника Управления надзора на визовом экземпляре письма специалист Управления надзора в течение рабочего дня подготавливает первый экземпляр письма (оригинал) и отдает его на подпись заместителю руководителя ФСФР России.

16. Решения руководителя ФСФР России (РО ФСФР России) или лица, исполняющего его обязанности, о проведении выездных проверок организаций оформляются приказами ФСФР России (приказами РО ФСФР России) (Приложение N 4 к Административному регламенту).

16.1. Приказ ФСФР России (РО ФСФР России) о проведении выездной (плановой или внеплановой) проверки определяет предмет проверки, срок проведения проверки и состав группы инспекторов с указанием ее руководителя.

16.2. Состав группы инспекторов определяется начальником Управления надзора (руководителем РО ФСФР России). Группа инспекторов состоит не менее чем из 2 и не более чем из 7 инспекторов, один из которых является руководителем группы инспекторов. Количество инспекторов определяется начальником Управления надзора (руководителем РО ФСФР России) исходя из объема предполагаемой работы.

Группа инспекторов формируется из работников Управления надзора (работников соответствующих структурных подразделений РО ФСФР России). По решению начальника Управления надзора, согласованному с заинтересованным управлением, в состав группы инспекторов может быть включен работник другого структурного подразделения ФСФР России.

Аналогичный порядок применяется в РО ФСФР России.

Требования к инспектору: стаж работы в ФСФР России (РО ФСФР России) не менее 3 месяцев. Требования к руководителю группы инспекторов: стаж работы в ФСФР России (РО ФСФР России) не менее 6 месяцев, замещение им должности не ниже главного специалиста-эксперта. Руководителем группы инспекторов может быть назначен только работник Управления надзора.

В случае проведения совместной выездной проверки в состав группы инспекторов, сформированной начальником Управления надзора, дополнительно включается кандидатура (кандидатуры), предложенная соответствующим федеральным органом исполнительной власти. Требования к работнику, который должен быть включен в группу инспекторов по предложению федерального органа исполнительной власти при проведении совместной проверки, определяет данный орган федеральной исполнительной власти.

В случае проведения проверки организации, являющейся членом саморегулируемой организации, в приказ о проведении проверки дополнительно включается кандидатура, предложенная соответствующей саморегулируемой организацией. Требования к работнику, который может быть привлечен к проверке организации по предложению саморегулируемой организации, определяются саморегулируемой организацией по согласованию с ФСФР России.

16.3. Проект приказа о проведении выездной проверки готовит работник Управления надзора по поручению начальника Управления надзора на основании утвержденного на соответствующий квартал Единого квартального плана - в случае проведения плановой проверки - или на основаниях, изложенных в пункте 7.1.1 Административного регламента, - в случае проведения внеплановой проверки.

Проект приказа подготавливается в одном экземпляре на бланке ФСФР России с прямым расположением реквизитов. Проект приказа визируется исполнителем (работником Управления надзора), начальником Управления надзора, начальником Управления делами и архива, начальником Правового управления, начальниками заинтересованных структурных подразделений, а также заместителем руководителя ФСФР России в соответствии с распределением обязанностей.

Максимальный срок выполнения действия - 3 рабочих дня.

Приказ подписывает руководитель ФСФР России, а в его отсутствие - должностное лицо ФСФР России, исполняющее его обязанности.

Копии приказа или его размноженные экземпляры заверяются и направляются адресатам в соответствии с указателем рассылки, который составляется исполнителем (работником Управления надзора). Копии приказов воспроизводятся без подписи руководителя ФСФР России.

Аналогичный порядок применяется в РО ФСФР России.

16.4. Решение об осуществлении наблюдения на общих годовых или внеочередных собраниях акционеров эмитентов (далее - наблюдение) оформляется приказом ФСФР России.

Приказ ФСФР России (РО ФСФР России) об осуществлении наблюдения определяет предмет, место и время наблюдения, состав группы инспекторов с указанием ее руководителя.

Состав группы инспекторов определяется начальником Управления надзора (руководителем РО ФСФР России) по критериям, указанным в пункте 16.2 Административного регламента.

Наблюдение осуществляется в месте и во время проведения общего собрания акционеров без предварительного уведомления эмитента.

Проект приказа о наблюдении готовит и вносит Управление надзора ФСФР России в одном экземпляре на бланке ФСФР России с прямым расположением реквизитов. Проект приказа визируется исполнителем (специалистом Управления надзора), начальником Управления надзора, внесшими проект, начальником Управления делами и архива, начальником Правового управления, начальниками заинтересованных структурных подразделений, а также заместителем руководителя ФСФР России, курирующим деятельность Управления надзора.

Максимальный срок выполнения действия - 3 рабочих дня.

Приказ подписывает руководитель ФСФР России, а в его отсутствие - должностное лицо, исполняющее его обязанности.

Копии приказа или его размноженные экземпляры заверяются и направляются адресатам в соответствии с указателем рассылки, который составляется и подписывается исполнителем (специалистом Управления надзора). Копии приказа воспроизводятся без подписи руководителя ФСФР России.

Аналогичный порядок применяется в РО ФСФР России.

17. Камеральная проверка может назначаться при получении сведений о возможных нарушениях организацией законодательства Российской Федерации, в том числе нормативных правовых актов Российской Федерации, регулирующих осуществление соответствующего вида деятельности на финансовом рынке, а также законодательства Российской Федерации о противодействии легализации (отмыванию) доходов, полученных преступным путем, и финансированию терроризма и в других необходимых для исполнения ФСФР России (РО ФСФР России) своих полномочий случаях.

Камеральная проверка назначается решением руководителя (заместителя руководителя) ФСФР России, оформленным письменным поручением руководителя (заместителя руководителя) ФСФР России.

В поручении указывается начальник структурного подразделения ФСФР России, которому поручается организация проведения камеральной проверки, документ, в котором содержатся подлежащие проверке сведения, либо наименование проверяемой организации с указанием ее действий или операций, которые необходимо проверить.

Руководитель структурного подразделения своим письменным указанием на бланке поручения назначает для проведения камеральной проверки инспектора из состава работников этого подразделения в соответствии со служебными обязанностями.

Максимальный срок выполнения действия - 2 рабочих дня.

Аналогичный порядок применяется в РО ФСФР России.

Сроки проведения проверок

18.1. Срок проведения выездной проверки составляет от 30 до 60 дней.

Проверка организации может быть завершена раньше срока, установленного приказом ФСФР России (РО ФСФР России).

Назначивший проверку руководитель (заместитель руководителя) ФСФР России (РО ФСФР России) может продлить приказом ФСФР России (РО ФСФР России) срок выездной проверки на срок до 60 дней в следующих случаях:

- значительный объем проверяемой информации;

- непредоставление проверяемой организацией и/или иными поднадзорными организациями запрашиваемых документов в установленный срок;

- выявление в результате рассмотрения предоставленных документов необходимости запроса и изучения дополнительных документов.

Максимальный срок проведения выездной проверки (с учетом возможного продления) - 120 дней.

Выездная проверка проводится за период деятельности организации, не подлежавший проверке при проведении предыдущих выездных проверок, но не превышающий 3 лет деятельности организации, непосредственно предшествовавших году проведения проверки (проверяемый период), за исключением проверки эмитентов.

Запрещается проведение повторных выездных проверок по одним и тем же обстоятельствам, за исключением случаев, когда такая проверка проводится в период реорганизации или ликвидации организации, в связи с вновь открывшимися обстоятельствами, или ФСФР России в порядке контроля за деятельностью РО ФСФР России, проводившего проверку.

18.2. Камеральная проверка проводится в срок до 5 месяцев. С учетом сложности проверки, количества и объема проверяемой информации срок камеральной проверки может быть продлен назначившим ее руководителем (заместителем руководителя) ФСФР России (РО ФСФР России) на один месяц.

Максимальный срок проведения камеральной проверки (с учетом возможного продления) - 6 месяцев.

Основаниями для продления проверок также могут являться:

- необходимость дополнительного изучения материалов, связанных с проводимой проверкой;

- несвоевременное представление или непредоставление организациями материалов, документов и информации, необходимых для проведения проверки;

- необходимость уточнения достоверности информации в организациях и государственных органах Российской Федерации.

18.3. Срок проведения наблюдения ограничивается сроком проведения наблюдаемого собрания акционеров.

Осуществление выездной проверки

19. Организация выездных проверок организаций инспекторами Центрального аппарата ФСФР России возлагается на начальника Управления надзора.

Организация выездных проверок организаций инспекторами РО ФСФР России возлагается на заместителей руководителей РО ФСФР России в соответствии с распределением обязанностей. Порядок, аналогичный приведенному ниже, применяется в РО ФСФР России.

Последовательность действий:

- уведомление о проведении плановой проверки (с одновременным направлением списка документов, указанного в пункте 19.1 Административного регламента);

- вручение копии приказа о проведении проверки;

- ознакомление руководителя проверяемой организации с полномочиями инспекторов;

- ознакомление руководителя проверяемой организации с правами и обязанностями проверяемой организации при проведении проверки;

- анализ документов, предоставленных согласно приложению к уведомлению о проведении плановой проверки;

- вручение требования N 1 и последующих требований о предоставлении документов (последовательно по мере необходимости);

- анализ предоставленных по требованиям документов или осуществление наблюдения;

- составление и подписание актов приема-передачи копий документов, подлежащих приобщению к материалам проверки;

- запрос (устный) и получение устных пояснений по мере необходимости;

- завершение проверки.

19.1. Уведомление о проведении проверки.

Плановая выездная проверка проводится с предварительным уведомлением организации. Уведомление организации о проведении плановой выездной проверки осуществляется посредством телефонной, факсимильной, электронной связи с обязательным последующим направлением уведомления о проведении плановой проверки, почтовым отправлением (с уведомлением о вручении или иным способом, обеспечивающим подтверждение получения уведомления организации) не позднее чем за 5 рабочих дней до даты начала проверки.

В уведомлении о проведении плановой проверки указываются:

реквизиты приказа о проведении проверки;

вид проверки;

срок (дата начала и окончания) проведения проверки;

предмет проверки;

иная информация.

К уведомлению о проведении плановой проверки может быть приложен список документов, которые организация обязана предоставить инспекторам в первый день проведения проверки.

Проект уведомления о проведении плановой проверки подготавливается руководителем группы инспекторов или членом группы инспекторов из работников Управления надзора по поручению руководителя группы инспекторов и визируется руководителем группы инспекторов и начальником Управления надзора. Список документов, которые организация обязана предоставить инспекторам в первый день проведения проверки, оформляется в виде приложения к письму.

Максимальный срок выполнения действия - 1 рабочий день.

После получения визы начальника Управления надзора на проекте письма работник Управления надзора в течение рабочего дня подготавливает данное письмо на бланке ФСФР России установленного образца и отдает его на подпись заместителю руководителя ФСФР России.

Проект уведомления о проведении плановой проверки оформляется в трех экземплярах: первый экземпляр - на бланке ФСФР России установленного образца; 2 и 3 экземпляры - на стандартных листах бумаги. Первый экземпляр письма (оригинал) направляется адресату, второй (с визами) формируется в дело, третий приобщается к материалам проверки.

Внеплановая выездная проверка проводится без предварительного уведомления проверяемой организации и без направления соответствующего уведомления.

19.2. Полномочия инспекторов подтверждаются служебными удостоверениями и заверенной копией приказа ФСФР России о проведении проверки деятельности организации.

Перед началом проведения проверки руководитель группы инспекторов вручает руководителю (иному уполномоченному руководителем лицу) проверяемой организации копию приказа о проведении проверки, заверенную в установленном порядке ФСФР России. На втором экземпляре копии приказа о проведении проверки, остающемся у руководителя группы инспекторов, руководитель проверяемой организации (иное уполномоченное им лицо) проставляет отметку о получении заверенной копии приказа о проведении проверки с подписью и с указанием должности, фамилии, имени и отчества, а также даты получения копии. Второй экземпляр копии приказа приобщается к материалам проверки.

В случае проведения внеплановой выездной проверки вместе с копией приказа о проведении проверки руководителю проверяемой организации (иному уполномоченному им лицу) вручается требование о предоставлении документов (Приложение N 5 к Административному регламенту) в срок, указанный в данном требовании, но не позднее 5 рабочих дней с даты вручения данного требования.

Максимальный срок выполнения действия - в течение одного рабочего дня с момента прибытия инспекторов по адресу проверяемой организации.

19.3. В ходе проведения проверки организации инспекторы ФСФР России вправе затребовать документы:

относящиеся к виду деятельности организации, контроль и надзор за осуществлением которой возложен на ФСФР России;

не относящиеся непосредственно к соответствующему виду деятельности организации, но необходимые для проверки организации на соответствие лицензионным требованиям и условиям;

необходимые для проверки деятельности организации на соответствие регулирующим осуществление соответствующего вида деятельности законодательным и нормативным правовым актам Российской Федерации.

19.4. Руководитель группы инспекторов знакомит руководителя проверяемой организации (иное уполномоченное им лицо) с правами и обязанностями уполномоченных лиц проверяемой организации.

Руководитель группы инспекторов совместно с руководителем проверяемой организации (иным уполномоченным им лицом) определяет должностных лиц или работников проверяемой организации, ответственных за взаимодействие с инспекторами (далее - уполномоченные лица организации), с которыми будет производиться взаимодействие в ходе проведения проверки.

В ходе проведения проверки руководитель группы инспекторов (инспекторы) взаимодействует по всем вопросам проведения проверки:

- с руководителем проверяемой организации, заместителями руководителя организации;

- с уполномоченными лицами организации, определенными руководителем (иным уполномоченным им лицом) организации.

Максимальный срок выполнения действия - в течение одного рабочего дня с момента прибытия инспекторов по адресу проверяемой организации.

19.5. После вручения копии приказа о проведении проверки и ознакомления руководителя (иного уполномоченного лица) проверяемой организации с правами и обязанностями инспекторов и проверяемой организации при проведении проверки инспекторы приступают к проведению проверки путем изучения и анализа документов, предоставленных проверяемой организацией согласно списку, приложенному к уведомлению о проведении плановой проверки. В дальнейшем выездная проверка проводится путем последовательного затребования и анализа документов проверяемой организации.

Представляемые копии документов (информации) должны быть прошиты, пронумерованы, скреплены подписью руководителя организации или уполномоченного лица и печатью. Оригиналы документов предоставляются только на обозрение инспекторов в помещении проверяемой организации. Инспекторы вправе затребовать изготовление копий любых документов организации, предоставленных для проведения проверки.

В случае если по требованию инспектора документы (их копии) не могут быть предоставлены в установленный им срок либо отсутствуют, уполномоченное лицо организации должно до истечения такого срока предоставить руководителю группы инспекторов письменное мотивированное объяснение о причинах неисполнения требования.

За исключением документов, предоставленных согласно списку, приложенному к уведомлению о проведении плановой проверки, документы (информация) организации, необходимые для проведения проверки, предоставляются инспектору на основании письменного требования о предоставлении документов (информации) (Приложение N 5 к Административному регламенту) в срок, устанавливаемый в требовании о представлении документов (информации), но не позднее 10 рабочих дней с момента получения требования.

Требование о предоставлении документов в двух экземплярах подготавливает и подписывает руководитель группы инспекторов. После подписания руководителем группы инспекторов двух экземпляров требования один из них вручается уполномоченному лицу проверяемой организации. На втором экземпляре требования уполномоченное лицо проверяемой организации проставляет отметку о получении требования с подписью и с указанием фамилии, должности, даты и времени получения требования. Второй экземпляр требования приобщается к материалам проверки.

Максимальный срок подготовки и вручения требования - 1 рабочий день.

19.6. В случае если по решению руководителя группы инспекторов заверенные копии документов проверяемой организации подлежат приобщению к материалам проверки, то руководитель группы инспекторов и уполномоченное лицо проверяемой организации подписывают акт приема-передачи документов.

Акт приема-передачи документов подготавливается в двух экземплярах работником проверяемой организации. В акте приема-передачи документов указывается перечень документов, передаваемых проверяемой организацией группе инспекторов, дата приема-передачи документов. Оба экземпляра акта подписывают руководитель группы инспекторов и уполномоченное лицо проверяемой организации. Один акт поступает в распоряжение проверяемой организации, второй экземпляр акта приобщается к материалам проверки.

Срок выполнения действия - в рабочий день, в который руководителем группы инспекторов принято решение о приобщении копий документов организации к материалам проверки.

19.7. Проведение наблюдения осуществляется без предварительного уведомления эмитента, общее собрание акционеров которого наблюдается.

При проведении наблюдения инспекторы вправе устно затребовать необходимые пояснения и копии документов, касающиеся созыва, подготовки и проведения наблюдаемого общего собрания акционеров.

Права и обязанности руководителя группы инспекторов, инспекторов, уполномоченных работников саморегулируемых организаций, уполномоченного лица организации при проведении проверки

20.1. Права и обязанности руководителя группы инспекторов, инспекторов, уполномоченных работников саморегулируемых организаций и уполномоченных лиц проверяемой организации определяются Положением о проведении проверок организаций, осуществление контроля и надзора за которыми возложено на Федеральную службу по финансовым рынкам.

20.2. В случае противодействия проверке, то есть неисполнения уполномоченным лицом организации обязанностей, установленных Положением о проведении проверок организаций, осуществление контроля и надзора за которыми возложено на Федеральную службу по финансовым рынкам, руководителем группы инспекторов (либо в случае отсутствия руководителя группы инспекторов по месту нахождения проверяемой организации в связи с болезнью, командировкой или служебной необходимостью двумя и более инспекторами) в день оказания противодействия проверке составляется акт по факту противодействия проверке; или руководителем группы инспекторов составляется протокол об административном правонарушении.

Акт по факту противодействия проверке составляется в двух экземплярах и подписывается руководителем группы инспекторов или не менее чем двумя инспекторами. Второй экземпляр акта вручается (направляется) уполномоченному лицу организации. В случае вручения в первом экземпляре акта производится запись с указанием даты вручения, должности, фамилии, имени, отчества и подписи уполномоченного лица организации. При отказе уполномоченного лица организации получить акт по факту противодействия проверке руководителем группы инспекторов (инспектором) в акте производится соответствующая запись.

Срок выполнения действия - в рабочий день, в который было оказано противодействие в проведении проверки.

20.3. Порядок составления протокола об административном правонарушении определяется Кодексом Российской Федерации об административных правонарушениях.

Перечни должностных лиц ФСФР России и ее территориальных органов, уполномоченных составлять протоколы об административных правонарушениях, утверждены Приказом ФСФР России от 22.06.2006 N 06-69/пз-н "О территориальных органах Федеральной службы по финансовым рынкам" <*> и Приказом ФСФР России от 12.11.2004 N 04-936/пз-н "Об утверждении перечня должностных лиц региональных отделений Федеральной службы по финансовым рынкам, уполномоченных составлять протоколы об административных правонарушениях" <**>.

<*> Зарегистрирован Минюстом России 14.07.2006, регистрационный N 8059. Внесены изменения Приказом ФСФР России от 23.04.2007 N 07-49/пз-н (зарегистрирован Минюстом России 22.05.2007, регистрационный N 9511), Приказом ФСФР России от 12.12.2006 N 06-145/пз-н (зарегистрирован Минюстом России 19.01.2007, регистрационный N 8796).

<**> Зарегистрирован Минюстом России 07.12.2004, регистрационный N 6175. Внесены изменения Приказом ФСФР России от 30.03.2005 N 05-7/пз-н (зарегистрирован Минюстом России 20.04.2005, регистрационный N 6524).

Проведение камеральных проверок

21. Организация камеральных проверок организаций инспекторами Центрального аппарата ФСФР России возлагается на начальников структурных подразделений ФСФР России в соответствии с утвержденными положениями об управлениях ФСФР России.

Начальник структурного подразделения своим письменным указанием на бланке поручения назначает для проведения камеральной проверки инспекторов (не более 3 инспекторов) из состава работников этого подразделения в соответствии со служебными обязанностями.

Последовательность действий:

- направление в адрес проверяемой организации предписания о предоставлении документов;

- анализ полученных документов;

- по мере необходимости запросы у проверяемой организации, иных организаций и органов власти документов;

- анализ полученных документов;

- завершение проверки.

Камеральная проверка проводится путем истребования информации и документов у проверяемой организации и/или иных организаций, связанных с деятельностью проверяемой организации, и анализа такой информации и документов.

При проведении камеральной проверки ФСФР России вправе истребовать у организации любые необходимые для проведения камеральной проверки и решения вопросов, относящихся к компетенции ФСФР России, объяснения, сведения и документы.

При необходимости ФСФР России запрашивает соответствующую информацию у других органов государственной власти, органов местного самоуправления, саморегулируемых и иных организаций путем направления запроса и/или предписания о предоставлении информации в соответствии с пунктами 15.1 и 15.2 Административного регламента.

Аналогичный порядок применяется в РО ФСФР России.

Подготовка акта по результатам проведенной проверки, ознакомление с актом уполномоченного лица организации

22. По результатам проверки организации инспекторами составляется акт проверки. Акт выездной проверки должен быть составлен в срок, не превышающий 10 рабочих дней после завершения проверки организации.

По результатам проведения наблюдения составляется отчет о наблюдении. Отчет о наблюдении должен быть составлен в срок, не превышающий 5 рабочих дней после завершения наблюдения.

22.1. Последовательность действий по подготовке и направлению акта выездной проверки:

- написание вводной и основной частей акта;

- подписание акта инспекторами;

- регистрация акта в соответствии с порядком делопроизводства, принятым в ФСФР России;

- направление дополнительных экземпляров акта в соответствующий орган федеральной исполнительной власти и саморегулируемые организации;

- вручение акта проверки или подготовка сопроводительного письма для направления акта проверки в организацию;

- направление второго и третьего экземпляров акта проверки вместе с сопроводительным письмом в проверяемую организацию.

22.1.1. Акт выездной проверки составляется в трех экземплярах. В случае проведения совместной проверки составляется дополнительный экземпляр акта (дополнительные экземпляры - по количеству федеральных органов исполнительной власти, работники которых участвовали в проверке). Каждый экземпляр акта должен быть зарегистрирован в соответствии с принятым в ФСФР России порядком делопроизводства, установленным внутренними документами ФСФР России, и иметь пометку "Для служебного пользования" (Приложение N 6 к Административному регламенту).

Акт выездной проверки состоит из вводной и основной частей.

Вводная часть включает:

- основание выездной проверки;

- предмет выездной проверки;

- срок проведения выездной проверки;

- проверенный период деятельности организации;

- состав группы инспекторов с указанием уполномоченных работников саморегулируемых организаций (в случае если такие работники были привлечены к проведению проверки данной организации);

- справочные данные об организации, руководителях высшего звена и контролере (контролерах).

Основная часть акта включает:

- изложение всех выявленных при проверке нарушений организацией требований законодательства Российской Федерации, в том числе нормативных правовых актов Российской Федерации, регулирующих осуществление соответствующего вида деятельности на финансовом рынке, а также законодательства Российской Федерации о противодействии легализации (отмыванию) доходов, полученных преступным путем, и финансированию терроризма с краткой ссылкой на установленные доказательства (документы) их совершения;

- требования законодательства Российской Федерации, в том числе нормативных правовых актов Российской Федерации, регулирующих осуществление соответствующего вида деятельности на финансовом рынке, а также законодательства Российской Федерации о противодействии легализации (отмыванию) доходов, полученных преступным путем, и финансированию терроризма, которые были нарушены организацией, - по каждому выявленному нарушению;

- выявленные недостатки в деятельности организации (в том числе действия либо бездействие должностных лиц и (или) работников организации), не являющиеся нарушениями положений нормативных правовых актов Российской Федерации, но отрицательно влияющие на ее финансовое состояние или создающие предпосылки для возникновения правонарушений, в том числе нарушений прав и законных интересов инвесторов, и дополнительные риски;

- информацию об устранении организацией нарушений (недостатков), выявленных при проведении проверки организации (при наличии подтверждающих такое устранение материалов).

Выявленные факты однородных правонарушений могут группироваться в ведомости, таблицы, другие справочные материалы, которые прилагаются к акту выездной проверки.

Максимальный срок выполнения действия - не более 9 рабочих дней с даты окончания проверки.

22.1.2. Акт выездной проверки подписывается инспекторами. В случае невозможности подписания акта выездной проверки отдельными инспекторами (из-за болезни, нахождения в командировке, отпуске и по другим причинам) руководителем группы инспекторов в акте производится соответствующая запись, а в случае невозможности подписания акта выездной проверки руководителем группы инспекторов соответствующая запись производится инспектором.

Максимальный срок выполнения действия - в рабочий день, следующий за днем написания акта.

Уполномоченный работник саморегулируемой организации не подписывает акт в случае несогласия с фактами, изложенными в акте проверки, проведенной с его участием, уполномоченный работник саморегулируемой организации вправе приложить к акту письменные возражения, а также документы (их заверенные копии), подтверждающие обоснованность возражений. Предварительный обмен мнениями инспекторов и уполномоченного работника саморегулируемой организации проводится в рабочем порядке при проведении проверки.

Письменные возражения уполномоченного работника саморегулируемой организации предоставляются данным работником в ФСФР России не позднее 5 рабочих дней с даты завершения проверки.

22.1.3. Акт выездной проверки регистрируется в соответствии с принятым в ФСФР России порядком делопроизводства с проставлением пометки "Для служебного пользования".

Максимальный срок выполнения действия - в рабочий день, следующий за днем написания акта.

22.1.4. При проведении совместной выездной проверки дополнительные экземпляры акта (с приложением копии мотивированных возражений работника саморегулируемой организации - в случае наличия) после подписания инспекторами и регистрации направляются в соответствующие федеральные органы исполнительной власти с сопроводительным письмом, оформляемым в соответствии с требованиями пункта 15.3 Административного регламента и с проставлением пометки "Для служебного пользования".

Максимальный срок выполнения действия - 3 рабочих дня с даты регистрации акта.

При проведении проверки организации, являющейся членом саморегулируемой организации, составляются дополнительные экземпляры акта, соответствующие количеству саморегулируемых организаций, членом которых является организация. Дополнительные экземпляры акта направляются в соответствующие саморегулируемые организации с сопроводительным письмом, оформляемым в соответствии с требованиями пункта 15.3 Административного регламента и с проставлением пометки "Для служебного пользования".

Максимальный срок выполнения действия - 3 рабочих дня с даты регистрации акта.

22.1.5. Акт выездной проверки (первый и второй экземпляры) с приложением копии возражений работника саморегулируемой организации (в случае наличия таких возражений) вручается (направляется в установленном порядке) организации в срок, не превышающий 5 рабочих дней с даты его составления.

В случае направления акта руководителем группы инспекторов или инспектором из работников Управления надзора по поручению руководителя группы инспекторов подготавливается проект сопроводительного письма. Указанное письмо визируется руководителем группы инспекторов и начальником Управления надзора.

Максимальный срок выполнения действия - 3 рабочих дня.

После получения визы начальника Управления надзора на проекте сопроводительного письма работник Управления надзора в течение рабочего дня подготавливает письмо на бланке ФСФР России установленного образца с угловым расположением реквизитов и отдает на подпись заместителю руководителя ФСФР России.

22.1.6. Акт считается полученным организацией в момент его вручения представителю организации под расписку или в случае направления акта по почте заказным письмом с уведомлением о вручении, фельдъегерской или курьерской связью - в день его получения организацией.

Руководитель организации (лицо, исполняющее его обязанности) обязан в течение 10 рабочих дней с даты получения ознакомиться с актом, подписать его с записью "с актом ознакомлен" и направить второй экземпляр акта в ФСФР России заказным почтовым отправлением с уведомлением о вручении или передать иным способом, свидетельствующим о дате его передачи в ФСФР России.

В случае если руководитель организации (лицо, исполняющее его обязанности) отказался от подписания акта либо не направил его в ФСФР России, в предусмотренный срок в третьем экземпляре акта производится соответствующая запись.

В случае несогласия с фактами, изложенными в акте выездной проверки, руководитель организации вправе приложить к нему письменные возражения по акту в целом или по его отдельным положениям, а также документы (их заверенные копии), подтверждающие обоснованность возражений.

При проведении совместной выездной проверки по получении возражений и документов их копии передаются ФСФР России в федеральный орган исполнительной власти, работники которого участвовали в проверке.

22.1.7. Все полученные при проведении выездной проверки материалы формируются в отдельное дело проверки и подлежат хранению в ФСФР России в соответствии с порядком, установленным внутренними документами ФСФР России.

22.2. Последовательность действий по составлению акта камеральной проверки:

- написание акта (не более 10 рабочих дней с даты окончания проверки);

- подписание акта инспектором (в рабочий день, следующий за днем написания акта);

- утверждение акта начальником структурного подразделения (не более 2 рабочих дней);

- представление акта руководителю (заместителю руководителя) ФСФР России (в рабочий день, следующий за днем утверждения акта);

- рассмотрение акта руководителем (заместителем руководителя) ФСФР России (не более 10 рабочих дней со дня утверждения акта).

По результатам камеральной проверки инспектором (инспекторами), проводившим камеральную проверку, составляется и подписывается акт камеральной проверки, который утверждается начальником структурного подразделения (лицом, исполняющим его обязанности), и представляется руководителю (заместителю руководителя) ФСФР России, назначившему камеральную проверку.

Акт камеральной проверки включает в себя:

- сведения о поручении на проведение камеральной проверки;

- изложение фактических обстоятельств, установленных при проведении камеральной проверки действий (операций) организации, доказательств, на которых основаны выводы инспектора по результатам камеральной проверки;

- требования законодательства Российской Федерации, в том числе нормативных правовых актов Российской Федерации, регулирующих осуществление соответствующего вида деятельности на финансовом рынке, а также законодательства Российской Федерации о противодействии легализации (отмыванию) доходов, полученных преступным путем, и финансированию терроризма, которые были нарушены организацией (при установлении факта совершения организацией правонарушения);

- выявленные недостатки в деятельности организации;

- выводы и предлагаемые решения в отношении организации, подготовленные инспектором по результатам проверки, а также их обоснования.

Акт камеральной проверки рассматривается руководителем (заместителем руководителя) ФСФР России, назначившим проверку, в срок, не превышающий 10 рабочих дней с даты утверждения акта начальником структурного подразделения.

По окончании камеральной проверки все материалы формируются в отдельное дело проверки и подлежат хранению в ФСФР России.

22.3.1. Отчет о наблюдении составляется в одном экземпляре. Отчет о наблюдении не направляется в организацию, на общем собрании акционеров которой проводилось наблюдение.

В электронном документе нумерация пунктов соответствует официальному источнику.

22.3.2. В отчете о наблюдении указываются:

- основание наблюдения;

- предмет наблюдения;

- дата проведения наблюдения;

- состав группы инспекторов;

- справочные данные об организации, руководителях высшего звена и счетной комиссии;

- все выявленные при проведении наблюдения нарушения организацией требований законодательства Российской Федерации, в том числе нормативных правовых актов Российской Федерации, с краткой ссылкой на установленные доказательства (документы) их совершения.

Максимальный срок выполнения действия - 5 рабочих дней с даты наблюдения.

22.3.3. Отчет о наблюдении подписывается инспекторами. В случае невозможности подписания отчета отдельными инспекторами (из-за болезни, нахождения в командировке, отпуске и по другим причинам) руководителем группы инспекторов в отчете производится соответствующая запись, а в случае невозможности подписания отчета руководителем группы инспекторов соответствующая запись производится инспектором.

Максимальный срок выполнения действия - в последний рабочий день написания отчета.

22.3.4. Отчет о наблюдении регистрируется в соответствии с принятым в ФСФР России порядком делопроизводства с проставлением пометки "Для служебного пользования".

Максимальный срок выполнения действия - в рабочий день, следующий за днем подписания отчета инспекторами.

22.4. Аналогичный порядок применяется в РО ФСФР России.

Принятие предусмотренных законодательством Российской Федерации мер при выявлении нарушений в деятельности организации

23. ФСФР России (РО ФСФР России) рассматривает акт выездной проверки, а также документы и материалы, представленные организацией, и принимает решение в отношении организации в срок, не превышающий 30 дней с даты получения от организации второго экземпляра акта. Отчет о наблюдении рассматривается в срок, не превышающий 30 дней с даты его подписания инспекторами, осуществлявшими наблюдение.

В случае невозвращения в ФСФР России (РО ФСФР России) руководителем организации (лицом, исполняющим его обязанности) акта выездной проверки либо нарушения срока его направления ФСФР России (РО ФСФР России) рассматривает акт выездной проверки и принимает решение в отношении организации в срок, не превышающий 45 дней с даты вручения (направления в установленном порядке) акта организации.

В случае если к направленному в ФСФР России (РО ФСФР России) второму экземпляру акта проверки организацией прилагаются письменные возражения (с подтверждающими документами или без таковых), ФСФР России (РО ФСФР России) в случае необходимости направляет организации предписание о предоставлении недостающих документов. Решение о необходимости направления организации предписания о предоставлении недостающих документов принимает начальник Управления надзора. Решение о направлении организации предписания о предоставлении недостающих документов может быть принято в сроки, предусмотренные абзацами вторым и третьим пункта 23 Административного регламента.

Порядок подготовки и направления предписания установлен пунктом 15.2 Административного регламента.

В случае направления организации предписания о предоставлении недостающих документов ФСФР России (РО ФСФР России) принимает решение в отношении организации в срок, не превышающий 15 дней с даты получения от организации недостающих документов (или письма с объяснениями относительно причин их непредоставления). В случае неисполнения организацией предписания о предоставлении недостающих документов либо нарушения срока исполнения предписания ФСФР России (РО ФСФР России) принимает решение в отношении организации в срок, не превышающий 30 дней с даты направления такого предписания в установленном порядке в адрес организации.

По результатам проведенной проверки могут быть приняты следующие решения:

Центральным аппаратом ФСФР России:

а) о направлении проверяемой организации предписания об устранении нарушений законодательства и/или о принятии мер, направленных на недопущение подобных нарушений впредь;

б) о направлении предписания о запрете или ограничении проведения организацией отдельных операций на рынке ценных бумаг;

в) о направлении предписания о приостановлении деятельности жилищного накопительного кооператива;

г) о приостановлении действия лицензии профессионального участника рынка ценных бумаг проверяемой организации;

д) об аннулировании лицензии профессионального участника рынка ценных бумаг проверяемой организации;

е) об обращении в суд с заявлением о ликвидации жилищного накопительного кооператива;

ж) об обращении в суд с заявлением об исключении бюро кредитных историй из государственного реестра бюро кредитных историй;

з) об обращении в суд с заявлением об административном приостановлении действия или аннулировании лицензии, выданной организации, осуществляющей:

- деятельность инвестиционного фонда;

- деятельность по управлению инвестиционными фондами, паевыми инвестиционными фондами и негосударственными пенсионными фондами;

- деятельность специализированного депозитария инвестиционных фондов, паевых инвестиционных фондов и негосударственных пенсионных фондов;

- деятельность негосударственного пенсионного фонда по пенсионному обеспечению и пенсионному страхованию.

РО ФСФР России:

а) о направлении проверяемой организации предписания об устранении нарушений законодательства и/или о принятии мер, направленных на недопущение подобных нарушений впредь;

б) о направлении предписания о запрете или ограничении проведения организацией отдельных операций на рынке ценных бумаг;

в) о направлении в Центральный аппарат ФСФР России представления о приостановлении действия или аннулировании лицензии проверяемой организации;

г) о направлении в Центральный аппарат ФСФР России представления об обращении в суд с заявлением об административном приостановлении действия или аннулировании лицензии, выданной организации, осуществляющей:

- деятельность инвестиционного фонда;

- деятельность по управлению инвестиционными фондами, паевыми инвестиционными фондами и негосударственными пенсионными фондами;

- деятельность специализированного депозитария инвестиционных фондов, паевых инвестиционных фондов и негосударственных пенсионных фондов;

- деятельность негосударственного пенсионного фонда по пенсионному обеспечению и пенсионному страхованию;

д) о направлении в Центральный аппарат ФСФР России представления об обращении в суд с заявлением об исключении бюро кредитных историй из государственного реестра бюро кредитных историй;

е) о направлении в Центральный аппарат ФСФР России представления о приостановлении деятельности жилищного накопительного кооператива или представления об обращении в суд с заявлением о ликвидации жилищного накопительного кооператива.

Решение принимается в форме приказа, предписания или обращения в суд.

В случае принятия решения в форме предписания предписание направляется в организацию не позднее 3 рабочих дней с даты принятия такого решения. В случае принятия иного решения уведомление организации о принятом решении осуществляется путем направления в организацию соответствующего письма ФСФР России не позднее 3 рабочих дней с даты его принятия.

В случае если по результатам рассмотрения акта выездной проверки с учетом представленных организацией возражений и замечаний по акту выездной проверки или акта камеральной проверки нарушений законодательства Российской Федерации, в том числе нормативных правовых актов Российской Федерации, в деятельности организации не установлено, решение ФСФР России (РО ФСФР России) не принимается.

23.1. Вынесение предписания.

Предписание ФСФР России об устранении нарушений законодательства Российской Федерации направляется организации в целях прекращения и/или предотвращения выявленных при проведении проверки нарушений законодательства Российской Федерации, в том числе нормативных правовых актов Российской Федерации, регулирующих осуществление соответствующего вида деятельности на финансовом рынке, а также законодательства Российской Федерации о противодействии легализации (отмыванию) доходов, полученных преступным путем, и финансированию терроризма.

23.1.1. Проект предписания подготавливается руководителем группы инспекторов, а в случае его отсутствия - инспектором из работников Управления надзора по поручению начальника Управления надзора (Приложение N 7 к Административному регламенту).

Проект предписания подготавливается специалистом Управления надзора, визируется исполнителем и начальником Управления надзора. Проект предписания подготавливается в трех экземплярах: первый экземпляр - на бланке ФСФР России установленного образца с угловым расположением реквизитов, второй и третий экземпляры - на стандартных листах бумаги.

Максимальный срок выполнения действия - 5 рабочих дней.

В течение последующих 2 рабочих дней проект предписания в порядке, установленном внутренними документами ФСФР России, визируется начальниками заинтересованных структурных подразделений.

После получения визы начальника Управления надзора и начальников заинтересованных структурных подразделений на проекте предписания специалист Управления надзора в течение рабочего дня подготавливает предписание на бланке ФСФР России и отдает на подпись заместителю руководителя ФСФР России. Первый экземпляр запроса (оригинал) направляется адресату, второй (с визами) формируется в дело, третий формируется в дело структурного подразделения-исполнителя (Управление надзора).

Аналогичный порядок действует в РО ФСФР России.

23.1.2. Если нарушения, допущенные организацией, не могут быть устранены, Управление надзора направляет организации предписание о принятии мер, направленных на недопущение совершения подобных нарушений в дальнейшем.

Предписание может также содержать указание на необходимость устранения причин и условий, способствующих совершению нарушений, а также на необходимость принятия мер, направленных на профилактику совершения нарушений в деятельности организации.

Аналогичный порядок действует в РО ФСФР России.

23.1.3. Организация обязана исполнить предписание в указанный в предписании срок, но не позднее 30 дней с момента получения предписания (в случае необходимости для устранения нарушений внесения изменений в учредительные документы организации - не позднее 90 дней с момента получения предписания), и представить в ФСФР России отчет об исполнении этого предписания в рабочий день, следующий за днем исполнения предписания. К отчету должны быть приложены надлежащим образом оформленные (сшитые, пронумерованные, подписанные уполномоченным лицом и скрепленные печатью организации) копии документов, подтверждающих исполнение указанных в предписании требований.

23.1.4. Управление надзора рассматривает предоставленный организацией отчет об исполнении предписания с приложением копий документов, подтверждающих исполнение указанных в предписании требований, и в случае неустранения нарушений устанавливает необходимость направления нового (повторного) предписания либо необходимость проведения внеплановой проверки.

В случае непредставления организацией в установленные сроки информации об устранении нарушений Управление надзора устанавливает:

- возможность продления сроков устранения нарушений в случае наличия уважительных (объективных) причин, не позволивших в установленные сроки устранить указанные нарушения;

- наличие основания для направления нового и/или повторного предписания;

- наличие основания для привлечения виновных лиц к ответственности.

При наличии основания для привлечения виновных лиц к ответственности Управление надзора приступает к возбуждению дела об административном правонарушении в порядке, установленном Кодексом Российской Федерации об административных правонарушениях, или подготавливает материалы для передачи в правоохранительные органы для решения вопроса о привлечении виновных лиц к уголовной ответственности.

Аналогичный порядок действует в РО ФСФР России.

23.2. Приостановление действия лицензии и аннулирование лицензии.

В случае выявления нарушений лицензионных требований и условий осуществления деятельности организации ФСФР России может быть принято решение в форме приказа о приостановлении действия лицензии организации.

23.2.1. В случае выявления РО ФСФР России в деятельности организации нарушений законодательства Российской Федерации, в том числе нормативных правовых актов Российской Федерации, регулирующих осуществление соответствующего вида деятельности на финансовом рынке, а также законодательства Российской Федерации о противодействии легализации (отмыванию) доходов, полученных преступным путем, и финансированию терроризма, являющихся основанием для принятия решения о приостановлении действия или аннулировании лицензии, РО ФСФР России направляют в ФСФР России (Управление надзора) представления о приостановлении действия или аннулировании лицензии (далее - представление) соответствующих организаций в следующие сроки:

- в срок, не превышающий 10 дней с даты получения от организации экземпляра акта;

- в срок, не превышающий 30 дней с даты вручения (передачи) акта организации, если акт выездной проверки не возвращен в РО ФСФР России руководителем организации (замещающим его лицом) либо нарушен срок его направления.

К представлению прилагаются:

- копия акта проверки с возражениями и замечаниями организации (при наличии);

- копии документов, подтверждающих нарушения, указанные в представлении о приостановлении или аннулировании лицензии (при необходимости).

Управление надзора осуществляет рассмотрение представлений РО ФСФР России о приостановлении действия или аннулировании лицензий.

По результатам рассмотрения представлений Управление надзора в срок, не превышающий 15 дней с даты получения документов из РО ФСФР России, подготавливает предложения о принятии мер в отношении организации, допустившей нарушения законодательства Российской Федерации, в том числе нормативных правовых актов Российской Федерации, регулирующих осуществление соответствующего вида деятельности на финансовом рынке, а также законодательства Российской Федерации о противодействии легализации (отмыванию) доходов, полученных преступным путем, и финансированию терроризма. По результатам рассмотрения ФСФР России могут быть приняты следующие решения:

- о рекомендации РО ФСФР России направить организации предписание;

- о приостановлении действия лицензии;

- об аннулировании лицензии.

Решение руководителя ФСФР России в отношении указанных в представлениях организаций Управление надзора в течение 5 рабочих дней с даты его принятия доводит до сведения соответствующих РО ФСФР России.

23.2.2. Приостановление действия лицензии осуществляется ФСФР России в следующих случаях:

- в случае неоднократного нарушения в течение 1 года профессиональными участниками рынка ценных бумаг законодательства Российской Федерации о ценных бумагах, в том числе нормативных правовых актов федерального органа исполнительной власти по рынку ценных бумаг;

- в случае принятия судом решения об административном приостановлении деятельности инвестиционного фонда, управляющей компании инвестиционных фондов, паевых инвестиционных фондов и негосударственных пенсионных фондов, специализированного депозитария инвестиционных фондов, паевых инвестиционных фондов и негосударственных пенсионных фондов, негосударственного пенсионного фонда по пенсионному обеспечению и пенсионному страхованию.

Приостановление действия лицензии осуществляется по решению ФСФР России на срок до 6 месяцев или на срок действия административного приостановления деятельности.

Приостановление действия лицензии влечет запрет на осуществление соответствующего вида профессиональной деятельности на рынке ценных бумаг до принятия ФСФР России решения о возобновлении действия лицензии.

Письмо ФСФР России, уведомляющее о решении ФСФР России о приостановлении действия лицензии, должно быть направлено организации в течение 5 рабочих дней с даты его принятия с указанием оснований приостановления действия лицензии. Если нарушения, допущенные организацией, могут быть устранены, ФСФР России направляет организации одновременно с письмом ФСФР России, уведомляющем о решении о приостановлении действия лицензии, предписание об устранении выявленных нарушений (пункт 23.1.1 Административного регламента).

Письмо ФСФР России, уведомляющее о решении о приостановлении действия лицензии, оформляется аналогично письму ФСФР России, уведомляющему о проведении проверки (пункт 19.1 Административного регламента).

Если нарушения, допущенные организацией, не могут быть устранены, ФСФР России направляет организации одновременно с письмом, уведомляющим о решении о приостановлении действия лицензии, предписание о принятии мер, направленных на недопущение совершения подобных нарушений в дальнейшем.

Решение ФСФР России о приостановлении действия лицензии может быть обжаловано организацией в порядке, установленном законодательством Российской Федерации.

В случае устранения организацией нарушений, явившихся основанием для приостановления действия лицензии, организация обязана представить в ФСФР России документы, подтверждающие устранение нарушения, в срок, установленный в предписании, но не позднее чем за 15 рабочих дней до дня окончания срока приостановления действия лицензии.

В случае принятия организацией мер, направленных на недопущение совершения нарушений в дальнейшем, организация обязана представить в лицензирующий орган документы, подтверждающие принятие указанных мер, в срок, установленный в предписании, но не позднее чем за 15 рабочих дней до дня окончания срока приостановления действия лицензии.

В случае устранения организацией нарушений законодательства Российской Федерации или принятия организацией надлежащих мер, направленных на недопущение нарушений законодательства в дальнейшей деятельности, ФСФР России принимает решение о возобновлении действия лицензии в течение 15 рабочих дней с даты получения отчета об исполнении предписания.

Письмо ФСФР России, уведомляющее о решении ФСФР России о возобновлении действия лицензии, должно быть направлено организации в течение 3 рабочих дней с даты его принятия. Порядок оформления такого письма аналогичен порядку оформления письма ФСФР России, уведомляющего о проведении проверки (пункт 19.1 Административного регламента).

В случае непредставления в ФСФР России в срок, установленный в предписании, документов, подтверждающих устранение нарушений, явившихся основанием для приостановления действия лицензии и/или подтверждающих принятие мер, направленных на недопущение совершения нарушений в дальнейшем, ФСФР России принимает решение об аннулировании лицензии.

23.2.3. Лицензия профессионального участника рынка ценных бумаг может быть аннулирована ФСФР России в следующих случаях:

- неоднократное нарушение в течение 1 года профессиональными участниками рынка ценных бумаг законодательства Российской Федерации о ценных бумагах, в том числе нормативных правовых актов федерального органа исполнительной власти по рынку ценных бумаг;

- неоднократное нарушение в течение 1 года профессиональными участниками рынка ценных бумаг требований, предусмотренных статьями 6 и 7 (за исключением пункта 3 статьи 7) Федерального закона от 07.08.2001 N 115-ФЗ "О противодействии легализации (отмыванию) доходов, полученных преступным путем, и финансированию терроризма" <*>;

<*> "Собрание законодательства Российской Федерации" от 13.09.2001, N 33 (часть I), ст. 3418. В настоящий Закон внесены изменения: Федеральным законом от 24.07.2007 N 214-ФЗ (опубликован в "Собрании законодательства Российской Федерации" от 30.07.2007, N 31, ст. 4011), Федеральным законом от 19.07.2007 N 197-ФЗ (опубликован в "Собрании законодательства Российской Федерации" от 30.07.2007, N 31, ст. 3993), Федеральным законом от 12.04.2007 N 51-ФЗ (опубликован в "Собрании законодательства Российской Федерации" от 16.04.2007, N 16, ст. 1831), Федеральным законом от 27.07.2006 N 153-ФЗ (опубликован в "Собрании законодательства Российской Федерации" от 31.07.2006, N 31 (часть I), ст. 3452), Федеральным законом от 27.07.2006 N 147-ФЗ (опубликован в "Собрании законодательства Российской Федерации" от 31.07.2006, N 31 (часть I), ст. 3446), Федеральным законом от 16.11.2005 N 145-ФЗ (опубликован в "Собрании законодательства Российской Федерации" от 21.11.2005, N 47, ст. 4828), Федеральным законом от 28.07.2004 N 88-ФЗ (опубликован в "Собрании законодательства Российской Федерации" от 02.08.2004, N 31, ст. 3224), Федеральным законом от 30.10.2002 N 131-ФЗ (опубликован в "Собрании законодательства Российской Федерации" от 04.11.2002, N 44, ст. 4296), Федеральным законом от 25.07.2002 N 112-ФЗ (опубликован в "Собрании законодательства Российской Федерации" от 29.07.2002, N 30, ст. 3029).

- в случае непредставления в ФСФР России в срок, установленный в предписании, документов, подтверждающих устранение нарушений, явившихся основанием для приостановления действия лицензии и/или подтверждающих принятие мер, направленных на недопущение совершения нарушений в дальнейшем;

- аннулирование или отзыв лицензии на осуществление банковских операций - для кредитных организаций, являющихся профессиональными участниками рынка ценных бумаг.

Письмо ФСФР России, уведомляющее о решении ФСФР России об аннулировании лицензии, должно быть направлено организации в течение 5 рабочих дней с даты его принятия с указанием оснований аннулирования лицензии.

Порядок оформления такого письма аналогичен порядку оформления, установленного пунктом 19.1 Административного регламента.

23.3. Приостановление действия лицензии организаций, осуществляющих деятельность инвестиционных фондов, деятельность по управлению инвестиционными фондами, паевыми инвестиционными фондами и негосударственными пенсионными фондами, деятельность специализированных депозитариев инвестиционных фондов, паевых инвестиционных фондов и негосударственных пенсионных фондов, деятельность негосударственных пенсионных фондов по пенсионному обеспечению и пенсионному страхованию, осуществляется ФСФР России в случае привлечения организации за нарушение лицензионных требований и условий к административной ответственности в порядке, установленном Кодексом Российской Федерации об административных правонарушениях.

В случае вынесения судьей решения об административном приостановлении деятельности организации за нарушение лицензионных требований и условий ФСФР России в течение суток со дня вступления данного решения в законную силу приостанавливает действие лицензии на срок административного приостановления деятельности организации.

Организация обязана уведомить в письменной форме ФСФР России об устранении ею нарушения лицензионных требований и условий, повлекшего за собой административное приостановление деятельности организации.

Действие лицензии возобновляется ФСФР России со дня, следующего за днем истечения срока административного приостановления деятельности организации, или со дня, следующего за днем досрочного прекращения исполнения административного наказания в виде административного приостановления деятельности организации.

Срок действия лицензии на время приостановления ее действия не продлевается.

В случае если в установленный судьей срок организация не устранила нарушение лицензионных требований и условий, повлекшее за собой административное приостановление деятельности организации, ФСФР России обязана обратиться в суд с заявлением об аннулировании лицензии.

Лицензия аннулируется решением суда на основании рассмотрения заявления ФСФР России.

Действие лицензии прекращается со дня внесения в единый государственный реестр юридических лиц или единый государственный реестр индивидуальных предпринимателей записи о ликвидации юридического лица или прекращении его деятельности в результате реорганизации (за исключением реорганизации в форме преобразования или слияния при наличии на дату государственной регистрации правопреемника реорганизованных юридических лиц у каждого участвующего в слиянии юридического лица лицензии на один и тот же вид деятельности) либо прекращении физическим лицом деятельности в качестве индивидуального предпринимателя либо со дня окончания срока действия лицензии или принятия лицензирующим органом решения о досрочном прекращении действия лицензии на основании представленного в лицензирующий орган заявления в письменной форме лицензиата (правопреемника лицензиата - юридического лица) о прекращении им осуществления лицензируемого вида деятельности, а также со дня вступления в законную силу решения суда об аннулировании лицензии.

23.4. В случае выявления нарушений законодательства Российской Федерации при осуществлении деятельности жилищных накопительных кооперативов ФСФР России применяет меры ответственности, установленные Федеральным законом от 30.12.2004 N 215-ФЗ "О жилищных накопительных кооперативах", а также Кодексом Российской Федерации об административных правонарушениях.

В случае неисполнения жилищным накопительным кооперативом в установленный ФСФР России срок предписания об устранении выявленных нарушений, а также в случае, если эти нарушения создали реальную угрозу правам и законным интересам членов кооператива, ФСФР России вправе вынести предписание о приостановлении деятельности кооператива по привлечению новых членов кооператива до устранения кооперативом соответствующих нарушений.

Предписание о приостановлении деятельности жилищного накопительного кооператива по привлечению новых членов кооператива оформляется аналогично предписанию в целях прекращения и/или предотвращения выявленных при проведении проверки нарушений законодательства Российской Федерации (пункт 23.1 Административного регламента).

В случае неисполнения жилищным накопительным кооперативом требований ФСФР России ФСФР России вправе обратиться в суд с требованием о его ликвидации.

В случае осуществления жилищным накопительным кооперативом деятельности, запрещенной законом, либо в случае неоднократных или грубых нарушений кооперативом Федерального закона от 30.12.2004 N 215-ФЗ "О жилищных накопительных кооперативах", а также в иных предусмотренных федеральными законами случаях ФСФР России вправе обратиться в суд с требованием о ликвидации жилищного накопительного кооператива.

23.5. В соответствии со статьей 16 Федерального закона от 30.12.2004 N 218-ФЗ "О кредитных историях" нарушение бюро кредитных историй законодательства Российской Федерации о кредитных историях может являться основанием для предъявления ФСФР России в судебном порядке требования об исключении бюро кредитных историй из государственного реестра бюро кредитных историй.

Подготовка информации для размещения на официальном сайте ФСФР России

24. В целях информирования инвесторов и предупреждения их о совершенных и возможных нарушениях требований законодательства Российской Федерации и правонарушениях на рынке ценных бумаг информация о принятых по результатам работы Управления надзора решениях (согласно перечню, установленному пунктом 24.2 Административного регламента) размещается на официальном сайте ФСФР России в сети Интернет. Перечень решений, информация о которых подлежит опубликованию на официальном сайте ФСФР России, составляется в соответствии с требованиями Федерального закона от 05.03.1999 N 46-ФЗ "О защите прав и законных интересов инвесторов на рынке ценных бумаг" и Постановления Правительства Российской Федерации от 12.02.2003 N 98 "Об обеспечении доступа к информации о деятельности Правительства Российской Федерации и федеральных органов исполнительной власти" <*>.

<*> "Собрание законодательства Российской Федерации" от 17.02.2003, N 7, ст. 658.

В связи с утратой силы Постановления Правительства РФ от 12 февраля 2003 г. N 98, следует руководствоваться принятым взамен Постановлением Правительства РФ от 24.11.2009 N 953

24.1. Управление надзора подготавливает перечень решений, информация о которых подлежит опубликованию на официальном сайте ФСФР России, и служебной запиской направляет данный перечень в структурное подразделение ФСФР России, в обязанности которого входит размещение информационных материалов на официальном сайте ФСФР России.

24.2. Состав информации, подлежащей размещению на официальном сайте ФСФР России:

- сведения о результатах проверок, проведенных ФСФР России;

- сведения о приостановлении действия лицензии организации;

- сведения об аннулировании лицензии организации;

- сведения об административных взысканиях, наложенных ФСФР России на организации.

24.3. Сроки предоставления информации Управлением надзора:

Информация для размещения на официальном сайте ФСФР России в сети Интернет относительно сведений о результатах проверок, проведенных ФСФР России, предоставляется Управлением надзора соответствующему структурному подразделению ФСФР России не позднее 5 рабочих дней после принятия решения по результатам проведенной проверки.

Информация для размещения на официальном сайте ФСФР России в сети Интернет относительно приостановления действия или аннулирования лицензии предоставляется Управлением надзора соответствующему структурному подразделению ФСФР России в день принятия соответствующего решения ФСФР России. Указанная информация публикуется на официальном сайте ФСФР России не позднее следующего рабочего дня после принятия решения.

Информация для размещения на официальном сайте ФСФР России в сети Интернет относительно административных взысканий, наложенных ФСФР России на организации, предоставляется Управлением надзора соответствующему структурному подразделению ФСФР России ежемесячно. Служебная записка о предоставлении подлежащей раскрытию информации от начальника Управления надзора начальнику соответствующего структурного подразделения ФСФР России подготавливается и направляется не позднее чем через 5 рабочих дня после окончания каждого месяца.

Формы и порядок контроля за исполнением государственной функции

25. Работники ФСФР России (РО ФСФР России) несут ответственность за неисполнение или ненадлежащее исполнение возложенных на них полномочий и должностных обязанностей, закрепленную в должностных регламентах, в соответствии с законодательством Российской Федерации.

Контроль за совершением действий и принятием решений по итогам проверки Центрального аппарата ФСФР России, а также по итогам рассмотрения представлений РО ФСФР России о приостановлении действия/аннулировании лицензии возлагается на начальника Управления надзора.

Начальник Управления надзора несет персональную ответственность за выполнение возложенных на управление функций и полномочий, а также за состояние исполнительской дисциплины.

Контроль за совершением действий и принятием решений по итогам проверки РО ФСФР России возлагается на заместителей руководителей РО ФСФР России в соответствии с распределением обязанностей.

Руководитель РО ФСФР России несет персональную ответственность за осуществление РО ФСФР России возложенных на него функций.

Порядок обжалования действия (бездействия) и решений, осуществляемых (принятых) в ходе выполнения государственной функции

26. Организации, иные лица имеют право на обжалование действий (бездействия) должностных лиц ФСФР России, РО ФСФР России в досудебном и судебном порядке.

Контроль деятельности РО ФСФР России осуществляет ФСФР России.

Руководство ФСФР России осуществляет Правительство Российской Федерации.

Проверяемые организации вправе обжаловать действия (бездействие) должностных лиц:

- инспекторов - руководителю группы инспекторов;

- руководителя группы инспекторов - начальнику Управления надзора (руководителю РО ФСФР России или его заместителям);

- РО ФСФР России (его отдельных работников) - ФСФР России;

- ФСФР России (его отдельных работников) - руководителю ФСФР России, Правительству Российской Федерации.

ФСФР России рассматривает жалобы и обращения в соответствии с законодательством Российской Федерации и нормативными правовыми актами ФСФР России.

26.1. Действия инспектора ФСФР России при проведении выездной проверки (плановой или внеплановой) обжалуются должностным лицом проверяемой организации руководителю группы инспекторов в письменной форме. Проверяемая организация вправе обжаловать действия только тех инспекторов, которые непосредственно осуществляют проверку данной организации (указаны в приказе о проведении данной проверки), и только в течение срока проведения проверки, указанного в приказе о проведении данной проверки.

Заявление (обращение, жалоба) должностного лица проверяемой организации (с приложением подтверждающих документов или без таковых) передается руководителю группы инспекторов в ходе проведения проверки в момент нахождения группы инспекторов на территории (в помещении) проверяемой организации. Заявление подготавливается работниками проверяемой организации в двух экземплярах. Первый экземпляр получает руководитель группы инспекторов, второй экземпляр с отметкой руководителя группы инспекторов о получении (с проставлением подписи, даты и времени получения) передается проверяемой организации.

Заявление (обращение, жалоба) должностного лица проверяемой организации должно быть рассмотрено руководителем группы инспекторов в срок не более 5 рабочих дней с даты получения такого заявления.

Решение по результатам рассмотрения заявления (обращения, жалобы) об обжаловании действий инспекторов принимает руководитель группы инспекторов и в срок, предусмотренный для рассмотрения такого заявления (обращения, жалобы), подготавливает письменный ответ на имя проверяемой организации. Ответ руководителя группы инспекторов подготавливается в двух экземплярах. Первый экземпляр вручается руководителю (иному уполномоченному лицу) проверяемой организации, второй экземпляр с отметкой руководителя (иного уполномоченного лица) проверяемой организации о получении (с проставлением подписи, даты и времени получения) формируется в дело с материалами проверки.

В случае выявления руководителем группы инспекторов в действиях инспектора нарушения требований законодательства Российской Федерации или признаков совершения правонарушения, предусмотренного Кодексом Российской Федерации об административных правонарушениях, руководитель группы инспекторов в срок, установленный абзацем 3 настоящего подпункта, передает заявление (жалобу, обращение) и докладывает обстоятельства начальнику Управления надзора.

Начальник Управления надзора рассматривает заявление (жалобу, обращение) и принимает решение о необходимости применения к инспектору мер дисциплинарного, административного или иного предусмотренного законодательством характера в соответствии с процедурами, установленными законодательством Российской Федерации. Начальник Управления надзора принимает в случае необходимости решение об устранении последствий нарушения, допущенного инспектором.

Заявитель информируется обо всех принятых по его заявлению решениях.

26.2. Действия руководителя группы инспекторов при проведении выездной проверки (плановой и внеплановой) обжалуются должностным лицом проверяемой организации начальнику Управления надзора (заместителю руководителя ФСФР России, руководителю ФСФР России) в письменной форме. Заявление об обжаловании действий руководителя группы инспекторов (с приложением подтверждающих документов или без таковых) направляется почтой в адрес ФСФР России на имя начальника Управления надзора (заместителя руководителя ФСФР России, руководителя ФСФР России) или передается в установленном порядке в экспедицию ФСФР России.

Проверяемая организация вправе обжаловать действия только руководителя группы инспекторов, который непосредственно руководит проверкой данной организации (указан в приказе о проведении данной проверки в качестве руководителя группы инспекторов), и только в течение срока проведения проверки, указанного в приказе о проведении данной проверки.

Заявление (обращение, жалоба) об обжаловании действий руководителя группы инспекторов должно быть рассмотрено в срок не более 30 дней с даты поступления такого заявления в ФСФР России. Решение по результатам рассмотрения принимает заместитель руководителя ФСФР России. Письменный мотивированный ответ на заявление направляется в адрес проверяемой организации. Указанный ответ подписывает заместитель руководителя ФСФР России, курирующий деятельность Управления надзора.

В случае выявления в действиях руководителя группы инспекторов нарушения требований законодательства Российской Федерации или признаков совершения правонарушения, предусмотренного Кодексом Российской Федерации об административных правонарушениях, начальник Управления надзора в установленном порядке докладывает заместителю руководителя ФСФР России о выявленном нарушении (правонарушении). Заместитель руководителя ФСФР России в установленный законодательством срок принимает решение о применении к руководителю группы инспекторов мер дисциплинарного, административного или иного предусмотренного законодательством характера в соответствии с процедурами, установленными законодательством Российской Федерации. Заместитель руководителя ФСФР России принимает в случае необходимости решение об устранении последствий нарушения, допущенного руководителем группы инспекторов.

Заявитель информируется о всех принятых по его заявлению решениях.

26.3. Действия РО ФСФР России (его отдельных работников) обжалуются должностным лицом организации, в отношении которой РО ФСФР России проводит надзорные мероприятия. Организация вправе обжаловать действия РО ФСФР России или его отдельных работников в случае, если полагает (имеет подтверждающие документы), что ее права нарушаются действиями РО ФСФР России (его отдельных работников).

Заявление об обжаловании действий РО ФСФР России и/или его отдельных работников (с приложением подтверждающих документов или без таковых) направляется почтой в адрес ФСФР России на имя руководителя ФСФР России (заместителя руководителя ФСФР России) или передается в установленном порядке в экспедицию ФСФР России. Заявление об обжаловании действий РО ФСФР России и/или его отдельных работников рассматривает структурное подразделение ФСФР России в соответствии с распределением полномочий.

Заявление (обращение, жалоба) об обжаловании действий РО ФСФР России и/или его отдельных работников должно быть рассмотрено в срок не более 30 дней с даты поступления такого заявления в ФСФР России. Решение по результатам рассмотрения принимает заместитель руководителя ФСФР России, курирующий деятельность структурного подразделения, рассматривавшего данное заявление. Письменный мотивированный ответ за подписью заместителя руководителя ФСФР России на заявление подготавливается соответствующим структурным подразделением и направляется в адрес заявителя.

В случае выявления в действиях РО ФСФР России и/или его отдельных работников нарушения требований законодательства Российской Федерации или признаков совершения правонарушения, предусмотренного Кодексом Российской Федерации об административных правонарушениях, руководитель ФСФР России (заместитель руководителя ФСФР России) в установленный законодательством срок принимает решение о применении к работнику РО ФСФР России, ответственному за совершенное нарушение (правонарушение), мер дисциплинарного, административного или иного предусмотренного законодательством характера в соответствии с процедурами, установленными законодательством Российской Федерации. Руководитель ФСФР России (заместитель руководителя ФСФР России) принимает в случае необходимости решение об устранении последствий нарушения, допущенного работником РО ФСФР России.

Заявитель информируется о всех принятых по его заявлению решениях.

26.4. Действия отдельных работников ФСФР России обжалуются должностным лицом организации, в отношении которой ФСФР России проводит надзорные мероприятия. Организация вправе обжаловать действия отдельных работников ФСФР России в случае, если полагает (имеет подтверждающие документы), что ее права нарушаются действиями этих работников.

Порядок обжалования действий отдельных работников ФСФР России аналогичен порядку, изложенному в пункте 26.3 Административного регламента.

27. В соответствии со статьей 46 Конституции Российской Федерации решения и действия (или бездействие) органов государственной власти и их должностных лиц могут быть обжалованы в суд.

Решения и действия ФСФР России могут быть обжалованы в порядке, установленном законодательством Российской Федерации, в соответствии с которым ФСФР России осуществляет свои функции.

Приложение N 1
к Административному регламенту

РЕГИОНАЛЬНЫЕ ОТДЕЛЕНИЯ ФСФР РОССИИ

1. Региональное отделение Федеральной службы по финансовым рынкам в Центральном федеральном округе (РО ФСФР России в ЦФО)

Адрес: 119017, г. Москва, Старомонетный пер., д. 3, стр. 1

Тел.: (495) 238-88-86. Факс: (495) 230-28-00

E-mail: romail@moscow.fcsm.ru

2. Региональное отделение Федеральной службы по финансовым рынкам в Юго-Западном регионе (РО ФСФР России в ЮЗР)

Адрес: 302006, г. Орел, ул. Московская, д. 159

Тел.: (0862) 43-16-90, 75-50-61, 75-50-60, 75-50-62, 75-50-63

E-mail: fsfr@orel.ru, fsfr@rekom.ru

3. Региональное отделение Федеральной службы по финансовым рынкам в Северо-Западном федеральном округе (РО ФСФР России в СЗФО)

191023, г. Санкт-Петербург, наб. Реки Фонтанки, д. 15

(812) тел./ф.: 325-95-87, 311-05-04, 117-05-04, 321-97-66

E-mail: romail@spb.fcsm.ru

4. Региональное отделение Федеральной службы по финансовым рынкам в Южном федеральном округе (РО ФСФР России в ЮФО)

Адрес: 344007, г. Ростов-на-Дону, Газетный пер., д. 47

Тел.: (8632) 44-14-68. Факс: (8632) 62-29-50

E-mail: fsfrufo@donpac.ru

5. Региональное отделение Федеральной службы по финансовым рынкам в Приволжском федеральном округе (РО ФСФР России в ПриФО)

Адрес: 603089, г. Нижний Новгород, Высоковский проезд, д. 22

Тел.: (831) 416-60-02. Факс:

E-mail: romail@nnov.fcsm.ru

6. Региональное отделение Федеральной службы по финансовым рынкам в Юго-Восточном регионе (РО ФСФР России в ЮВР)

Адрес: 443100, г. Самара, ул. Галактионовская, д. 132

Тел.: (8462) 42-08-95, 42-01-03, 42-03-57. Факс: (8462) 42-22-81

E-mail: samro@samara.ru

7. Региональное отделение Федеральной службы по финансовым рынкам в Волго-Камском регионе (РО ФСФР России в ВКР)

Адрес: 420066, г. Казань, ул. Декабристов, д. 1

Тел.: (843) 264-69-09, 264-68-27, 264-68-17, 523-84-35, 523-88-20, 292-29-51

http://www.fsfr-vkr.ru

E-mail: fcsmrt@kgts.ru

8. Региональное отделение Федеральной службы по финансовым рынкам в Уральском федеральном округе (РО ФСФР России в УрФО)

Адрес: 620075, г. Екатеринбург, ул. Кузнечная, д. 72

Тел.: (343) 355-29-69, 355-28-54, 355-21-41. Факс: (343) 355-26-69

E-mail: srofkcb@r66.ru, romail@sverdlovsk.fcsm.ru, srofkcb@dialup.mplik.ru

9. Региональное отделение Федеральной службы по финансовым рынкам в Сибирском федеральном округе (РО ФСФР России в СФО)

Адрес: 630102, г. Новосибирск, ул. Нижегородская, д. 6

Тел./факс: (3832) 10-17-93

E-mail: romail@nsk.fcsm.ru

10. Региональное отделение Федеральной службы по финансовым рынкам в Восточно-Сибирском регионе (РО ФСФР России в ВСР)

Адрес: 664011, г. Иркутск, ул. Нижняя набережная, д. 14

Тел.: (3952) 24-14-01

E-mail: romail@irk.fcsm.ru, inform@irk.fcsm.ru

11. Региональное отделение Федеральной службы по финансовым рынкам в Дальневосточном федеральном округе (РО ФСФР России в ДФО)

Адрес: 690091, г. Владивосток, ул. Алеутская, д. 45а

Тел./факс: (4232) 40-00-66, 40-06-26

Тел.: (4232) 40-00-66, 40-06-26

E-mail: romail@vlad.fcsm.ru, romail@fsfm.pk.ru

12. Региональное отделение Федеральной службы по финансовым рынкам в Прикубанском регионе (РО ФСФР России в ПР)

Адрес: 350063, г. Краснодар, ул. Дзержинского, д. 8/1

Тел./факс: (861) 225-40-91

Сайт: http://www.krd.ffms.ru

13. Региональное отделение Федеральной службы по финансовым рынкам в Центрально-Сибирском регионе (РО ФСФР России в ЦСР)

Адрес: 660017, Красноярск, пр-т Мира, д. 98

Телефон: (3912) 65-12-15. Факс: (3912) 65-12-20

E-mail: romail@kras.fcsm.ru

Приложение N 2
к Административному регламенту

                                                           ОБРАЗЕЦ
 
_______________________________ 
_______________________________
(наименование организации)



_______________________________
_______________________________
_______________________________
(почтовый адрес)

О предоставлении информации
 
    В соответствии _______________________________________________
                      (указываются нормативные акты, являющиеся
__________________________________________________________________
              обоснованием направления предписания)
__________________________________________________________________
в связи с ________________________________________________________
            (указываются факты, являющиеся причиной направления
                               предписания)
__________________________________________________________________
       (наименование юридического лица в дательном падеже)
надлежит в ______________________ срок с даты получения настоящего
запроса предоставить в ФСФР России следующие документы:
__________________________________________________________________
                     (указывается требуемое)
__________________________________________________________________
 
Наименование должности
лица, подписавшего документ       Подпись      Расшифровка подписи
 
 
 

Приложение N 3
к Административному регламенту

                                                           ОБРАЗЕЦ
 
_______________________________ 
_______________________________
(наименование организации)



_______________________________
_______________________________
_______________________________
(почтовый адрес)
 
                           ПРЕДПИСАНИЕ
                   о предоставлении документов
 
    В соответствии _______________________________________________
                      (указываются нормативные акты, являющиеся
__________________________________________________________________
              обоснованием направления предписания)
в связи с ________________________________________________________
            (указываются факты, являющиеся причиной направления
                              предписания)
Федеральная служба по финансовым рынкам ПРЕДПИСЫВАЕТ:
__________________________________________________________________
       (наименование юридического лица в дательном падеже)
в ___________________ срок с даты получения настоящего предписания
предоставить в ФСФР России следующие документы:
__________________________________________________________________
                     (указываются документы)
__________________________________________________________________
    Предоставляемые  документы  должны  быть сшиты, пронумерованы,
подписаны уполномоченным лицом и скреплены печатью Общества.
 
Наименование должности
лица, подписавшего документ       Подпись      Расшифровка подписи
 
 
 

Приложение N 4
к Административному регламенту

                                                           ОБРАЗЕЦ
 
                             ПРИКАЗ
 
________________________                    N ____________________
                              Москва
 
           О проведении выездной проверки деятельности
                    (наименование организации)
 
    В соответствии с _____________________________________________
                                     (основание)
__________________________________________________________________
приказываю:
    1. Провести с ______________ по ____________ выездную проверку
деятельности (наименование организации)
    2. Назначить группу инспекторов в следующем составе:
 
Руководитель            Подпись                Расшифровка подписи
 
Визы (на оборотной стороне)
 
 
 

Приложение N 5
к Административному регламенту

                                                           ОБРАЗЕЦ
 
                        Требование N ____
 
                                                     от __.__.____
 
    В связи с проведением проверки деятельности __________________
_________________________________________________________ (далее -
Общество)    прошу   предоставить   группе инспекторов ФСФР России
в срок до __:__ __.__.200_ следующие документы:
 
 N 
                       Наименование                         
1 
 
2 
 
3 
 
4 
 
5 
 
6 
 
 
    Все  документы  должны  быть  сшиты,  пронумерованы, подписаны
уполномоченным лицом и скреплены печатью Общества.
    Документы, указанные  в  пункте __, должны быть представлены в
электронном виде на магнитном носителе в формате Microsoft Excel.
    Если   какие-либо  документы  не  могут  быть  представлены  в
установленный  в настоящем требовании срок либо отсутствуют, прошу
в   установленный   срок   представить  письменное  мотивированное
объяснение о причинах невозможности их представления в срок.
 
Руководитель группы
инспекторов ФСФР России                 ___________/______________
(инспектор ФСФР России                  ___________/_____________)
Требование получил
 
____________________/________________________  "__" ______ 200_ г.
(должность, подпись) (фамилия, имя, отчество)
 
 
 

Приложение N 6
к Административному регламенту

                                                           ОБРАЗЕЦ
 
                                  [место проставления пометки ДСП]
 
                                                Экз. N ___________
 
                          АКТ N ________
       плановой выездной проверки деятельности организации
 
г. Москва                                   "__" _________ 200_ г.
 
    В соответствии с ____________________________________________,
а также __________________________________________________________
группой инспекторов в составе:
    -
    -
    -
в период с ______ по ________ была проведена проверка деятельности
__________________________________________________ на соответствие
_________________________________________________________________.
 
Краткие сведения об организации:
    Место нахождения:
    Фактический адрес:
    Почтовый адрес:
    Основной государственный регистрационный номер:
    Индивидуальный номер налогоплательщика:
    Лицензии,  выданные  Федеральной  службой по финансовым рынкам
(Федеральной комиссией по рынку ценных бумаг): ___________________
 
    Генеральный директор:
    Контролер - заместитель генерального директора:
 
                                    Продолжение приложения N 6
                                    к Административному регламенту
 
    В ходе проверки установлено:
    1.
    1.1.
    1.2.
    2.
    Также в ходе проверки установлено:
    I.
    II.
 
Настоящий акт составлен на ___ листах с Приложением на ___ листах.
 
Руководитель группы инспекторов   ___________   __________________
                                   (подпись)     (и.о., фамилия)
 
Инспекторы                        ___________   __________________
                                   (подпись)     (и.о., фамилия)
                                  ___________   __________________
                                   (подпись)     (и.о., фамилия)
                                  ___________   __________________
                                   (подпись)     (и.о., фамилия)
 
С актом ознакомлен:
 
____________________________________    _________ ________________
(должность руководителя организации)    (подпись)  (и.о., фамилия)
 
Место для печати
 
"__" _______ 200_ г.
 
 
 

Приложение N 7
к Административному регламенту

                                                           ОБРАЗЕЦ
 
                                       ___________________________
                                       ___________________________
                                        (наименование организации)
 
                                       ___________________________
                                       ___________________________
                                       ___________________________
                                            (почтовый адрес)
 
                           ПРЕДПИСАНИЕ
             об устранении нарушений законодательства
                       Российской Федерации
 
    В связи с нарушением _________________________________________
                          (указываются наименование юридического
                                           лица)
__________________________________________________________________
(указываются нормативные акты, являющиеся обоснованием направления
__________________________________________________________________
предписания, и факты, являющиеся причиной направления предписания)
__________________________________________________________________
__________________________________________________________________
__________________________________________________________________
__________________________________________________________________
Федеральная служба по финансовым рынкам ПРЕДПИСЫВАЕТ:
__________________________________________________________________
       (наименование юридического лица в дательном падеже)
в ___________________ срок с даты получения настоящего предписания
__________________________________________________________________
              (указываются предписываемые действия)
__________________________________________________________________
 
Наименование должности
лица, подписавшего документ       Подпись      Расшифровка подписи
 
 
 

Приложение N 8

БЛОК-СХЕМА
ИСПОЛНЕНИЯ ГОСУДАРСТВЕННОЙ ФУНКЦИИ ПО НАДЗОРУ И КОНТРОЛЮ ЗА ИСПОЛНЕНИЕМ ЗАКОНОДАТЕЛЬСТВА РОССИЙСКОЙ ФЕДЕРАЦИИ УПРАВЛЕНИЕМ ОРГАНИЗАЦИИ И ПРОВЕДЕНИЯ НАДЗОРНЫХ МЕРОПРИЯТИЙ НА РЫНКЕ ЦЕННЫХ БУМАГ