Приказ Минэкономразвития РФ от 16.11.2007 N 396

"Об утверждении Административного регламента Федерального агентства по управлению особыми экономическими зонами по предоставлению государственной услуги "Принятие решения о заключении или отказе в заключении соглашения о ведении промышленно-производственной деятельности, а также об изменении условий соглашения. Подготовка и заключение соглашения о ведении промышленно-производственной деятельности на территории особых экономических зон. осуществление регистрации юридических лиц в качестве резидентов промышленно-производственных особых экономических зон"
Редакция от 16.11.2007 — Документ утратил силу, см. «Приказ Минэкономразвития РФ от 23.10.2017 N 560»

Зарегистрировано в Минюсте РФ 13 декабря 2007 г. N 10701


МИНИСТЕРСТВО ЭКОНОМИЧЕСКОГО РАЗВИТИЯ И ТОРГОВЛИ РОССИЙСКОЙ ФЕДЕРАЦИИ

ПРИКАЗ
от 16 ноября 2007 г. N 396

ОБ УТВЕРЖДЕНИИ АДМИНИСТРАТИВНОГО РЕГЛАМЕНТА ФЕДЕРАЛЬНОГО АГЕНТСТВА ПО УПРАВЛЕНИЮ ОСОБЫМИ ЭКОНОМИЧЕСКИМИ ЗОНАМИ ПО ПРЕДОСТАВЛЕНИЮ ГОСУДАРСТВЕННОЙ УСЛУГИ "ПРИНЯТИЕ РЕШЕНИЯ О ЗАКЛЮЧЕНИИ ИЛИ ОТКАЗЕ В ЗАКЛЮЧЕНИИ СОГЛАШЕНИЯ О ВЕДЕНИИ ПРОМЫШЛЕННО-ПРОИЗВОДСТВЕННОЙ ДЕЯТЕЛЬНОСТИ, А ТАКЖЕ ОБ ИЗМЕНЕНИИ УСЛОВИЙ СОГЛАШЕНИЯ. ПОДГОТОВКА И ЗАКЛЮЧЕНИЕ СОГЛАШЕНИЯ О ВЕДЕНИИ ПРОМЫШЛЕННО-ПРОИЗВОДСТВЕННОЙ ДЕЯТЕЛЬНОСТИ НА ТЕРРИТОРИИ ОСОБЫХ ЭКОНОМИЧЕСКИХ ЗОН. ОСУЩЕСТВЛЕНИЕ РЕГИСТРАЦИИ ЮРИДИЧЕСКИХ ЛИЦ В КАЧЕСТВЕ РЕЗИДЕНТОВ ПРОМЫШЛЕННО-ПРОИЗВОДСТВЕННЫХ ОСОБЫХ ЭКОНОМИЧЕСКИХ ЗОН"

В соответствии с Положением о Федеральном агентстве по управлению особыми экономическими зонами, утвержденным Постановлением Правительства Российской Федерации от 19 августа 2005 г. N 530 (Собрание законодательства Российской Федерации, 2005, N 35, ст. 3611; 2006, N 18, ст. 2005; N 25, ст. 2727; N 32, ст. 3578), Постановлением Правительства Российской Федерации от 11 ноября 2005 г. N 679 "О порядке разработки и утверждения административных регламентов исполнения государственных функций и административных регламентов предоставления государственных услуг" (Собрание законодательства Российской Федерации, 2005, N 47, ст. 4933) приказываю:

1. Утвердить прилагаемый Административный регламент Федерального агентства по управлению особыми экономическими зонами по предоставлению государственной услуги "Принятие решения о заключении или отказе в заключении соглашения о ведении промышленно-производственной деятельности, а также об изменении условий соглашения. Подготовка и заключение соглашения о ведении промышленно-производственной деятельности на территории особых экономических зон. Осуществление регистрации юридических лиц в качестве резидентов промышленно-производственных особых экономических зон".

3. Контроль за исполнением настоящего Приказа возложить на руководителя Федерального агентства по управлению особыми экономическими зонами Мишустина М.В.

В электронном документе нумерация пунктов соответствует официальному источнику.

Министр
Э.С.НАБИУЛЛИНА

УТВЕРЖДЕН
Приказом
Минэкономразвития России
от 16 ноября 2007 г. N 396

АДМИНИСТРАТИВНЫЙ РЕГЛАМЕНТ
ФЕДЕРАЛЬНОГО АГЕНТСТВА ПО УПРАВЛЕНИЮ ОСОБЫМИ ЭКОНОМИЧЕСКИМИ ЗОНАМИ ПО ПРЕДОСТАВЛЕНИЮ ГОСУДАРСТВЕННОЙ УСЛУГИ "ПРИНЯТИЕ РЕШЕНИЯ О ЗАКЛЮЧЕНИИ ИЛИ ОТКАЗЕ В ЗАКЛЮЧЕНИИ СОГЛАШЕНИЯ О ВЕДЕНИИ ПРОМЫШЛЕННО-ПРОИЗВОДСТВЕННОЙ ДЕЯТЕЛЬНОСТИ, А ТАКЖЕ ОБ ИЗМЕНЕНИИ УСЛОВИЙ СОГЛАШЕНИЯ. ПОДГОТОВКА И ЗАКЛЮЧЕНИЕ СОГЛАШЕНИЯ О ВЕДЕНИИ ПРОМЫШЛЕННО-ПРОИЗВОДСТВЕННОЙ ДЕЯТЕЛЬНОСТИ НА ТЕРРИТОРИИ ОСОБЫХ ЭКОНОМИЧЕСКИХ ЗОН. ОСУЩЕСТВЛЕНИЕ РЕГИСТРАЦИИ ЮРИДИЧЕСКИХ ЛИЦ В КАЧЕСТВЕ РЕЗИДЕНТОВ ПРОМЫШЛЕННО-ПРОИЗВОДСТВЕННЫХ ОСОБЫХ ЭКОНОМИЧЕСКИХ ЗОН"

I. Общие положения

1.1. Наименование государственной услуги

Принятие решения о заключении или отказе в заключении соглашения о ведении промышленно-производственной деятельности, а также об изменении условий соглашения, подготовка и заключение соглашения о ведении промышленно-производственной деятельности на территории особых экономических зон, осуществление регистрации юридических лиц в качестве резидентов промышленно-производственных особых экономических зон (далее - государственная услуга).

1.2. Нормативные правовые акты, регулирующие предоставление государственной услуги

Предоставление государственной услуги осуществляется в соответствии с:

Конституцией Российской Федерации (Российская газета, 1993, N 237; Собрание законодательства Российской Федерации, 1996, N 3, ст. 152; N 7, ст. 676; 2001, N 24, ст. 2421; 2003, N 30, ст. 3051; 2004, N 13, ст. 1110; 2005, N 42, ст. 4212; 2006, N 29, ст. 3119; 2007, N 1, ст. 1; N 30, ст. 3745);

Федеральным законом от 22 июля 2005 г. N 116-ФЗ "Об особых экономических зонах в Российской Федерации" (Собрание законодательства Российской Федерации, 2005, N 30, ст. 3127; 2006, N 23, ст. 2383; N 52, ст. 5498);

Федеральным законом от 2 мая 2006 г. N 59-ФЗ "О порядке рассмотрения обращений граждан Российской Федерации" (Собрание законодательства Российской Федерации, 2006, N 19, ст. 2060);

Федеральным законом от 27 июля 2006 г. N 149-ФЗ "Об информации, информационных технологиях и о защите информации" (Собрание законодательства Российской Федерации, 2006, N 31, ст. 3448);

Постановлением Правительства Российской Федерации от 19 августа 2005 г. N 530 "О Федеральном агентстве по управлению особыми экономическими зонами" (Собрание законодательства Российской Федерации, 2005, N 35, ст. 3611; N 48, ст. 5049; 2006, N 18, ст. 2005; N 25, ст. 2727; N 32, ст. 3578; N 44, ст. 4593; 2007, N 16, ст. 1925);

Постановлением Главного государственного санитарного врача Российской Федерации от 3 июня 2003 г. N 118 "О введении в действие санитарно-эпидемиологических правил и нормативов СанПиН 2.2.2/2.4.1340-03" (зарегистрировано в Минюсте России 10 июня 2003 г., рег. N 4673; Российская газета, 2003, N 120; Бюллетень нормативных актов федеральных органов исполнительной власти, 2007, N 26);

Приказом Минэкономразвития России от 16 января 2006 г. N 2 "Об утверждении типового положения о территориальном органе Федерального агентства по управлению особыми экономическими зонами" (зарегистрировано в Минюсте России 8 февраля 2006 г., рег. N 7473; Бюллетень нормативных актов федеральных органов исполнительной власти, 2006, N 9);

Приказом Минэкономразвития России от 31 марта 2006 г. N 84 "Об утверждении формы свидетельства, удостоверяющего регистрацию лица в качестве резидента особой экономической зоны" (зарегистрировано в Минюсте России 10 апреля 2006 г., рег. N 7672; Бюллетень нормативных актов федеральных органов исполнительной власти, 2006, N 16);

Приказом Минэкономразвития России от 10 марта 2006 г. N 64 "Об утверждении типовых форм соглашений о ведении промышленно-производственной и технико-внедренческой деятельности на территории особых экономических зон" (зарегистрировано в Минюсте России 27 марта 2006 г., рег. N 7636; Бюллетень нормативных актов федеральных органов исполнительной власти, 2006, N 14);

Приказом Минэкономразвития России от 23 марта 2006 г. N 75 "Об утверждении форм бизнес-планов, представляемых для заключения (изменения) соглашений о ведении промышленно-производственной (технико-внедренческой) деятельности, критериев отбора банков и иных кредитных организаций для подготовки заключения на бизнес-планы, критериев оценки бизнес-планов, проводимой экспертным советом по технико-внедренческим особым экономическим зонам" (зарегистрировано в Минюсте России 10 апреля 2006 г., рег. N 7671; Бюллетень нормативных актов федеральных органов исполнительной власти, 2006, N 16);

Приказом Минэкономразвития России от 23 апреля 2007 г. N 132 "Об утверждении Административного регламента Федерального агентства по управлению особыми экономическими зонами по исполнению государственной функции "Ведение реестра резидентов особой экономический зоны" (зарегистрировано в Минюсте России 8 июня 2007 г., рег. N 9625; Бюллетень нормативных актов федеральных органов исполнительной власти, 2007, N 31).

1.3. Наименование федерального органа исполнительной власти, предоставляющего государственную услугу

Государственную услугу предоставляет Федеральное агентство по управлению особыми экономическими зонами (далее - РосОЭЗ) и территориальные органы Федерального агентства по управлению особыми экономическими зонами (далее - Территориальные органы РосОЭЗ).

Государственная услуга предоставляется лицам, намеревающимся получить статус резидента особой экономической зоны и подавшим в территориальный орган РосОЭЗ заявку на заключение соглашения о ведении промышленно-производственной деятельности на территории особой экономической зоны (далее - заинтересованные лица), и резидентам особых экономических зон (далее - резиденты).

Территориальные органы РосОЭЗ предоставляют государственную услугу резидентам или заинтересованным лицам лично либо по почте.

РосОЭЗ организует и контролирует деятельность территориальных органов РосОЭЗ по предоставлению государственной услуги.

Реализация государственной услуги включает в себя:

предоставление государственной услуги по приему от лиц, намеревающихся получить статус резидента особой экономической зоны, заявок на заключение соглашений о ведении промышленно-производственной деятельности и прилагаемых к ним документов, а от резидентов особой экономической зоны - документов об изменении условий соглашений о ведении промышленно-производственной деятельности;

предоставление государственной услуги по направлению заявителю копии описи с отметкой о дате приема заявки на заключение соглашения о ведении промышленно-производственной деятельности и прилагаемых к ней документов, а также копию описи с отметкой о дате приема документов об изменении условий соглашения о ведении промышленно-производственной деятельности;

исполнение государственной функции по принятию решения о заключении или об отказе в заключении соглашения о ведении промышленно-производственной деятельности, а также об изменении или об отказе в изменении условий такого соглашения;

предоставление государственной услуги по направлению заявителю решения о заключении или об отказе в заключении соглашения о ведении промышленно-производственной деятельности, а также об изменении или об отказе в изменении условий такого соглашения;

предоставление государственной услуги по подготовке и заключению с заявителем соглашения о ведении промышленно-производственной деятельности;

исполнение государственной функции по регистрации юридических лиц в качестве резидентов промышленно-производственных зон;

исполнение государственной функции по предоставлению сведений о регистрации лица в качестве резидента особой экономической зоны и копию соглашения о ведении промышленно-производственной деятельности в налоговые и таможенные органы;

предоставление государственной услуги по выдаче резиденту особой экономической зоны свидетельства, удостоверяющего регистрацию лица в качестве резидента особой экономической зоны;

исполнение государственной функции по предоставлению заявлений в судебные органы о лишении лица статуса резидента особой экономической зоны и требований о расторжении соглашения о ведении промышленно-производственной деятельности;

исполнение государственной функции по предоставлению сведений о лишении лица статуса резидента особой экономической зоны в налоговые и таможенные органы.

II. Требования к порядку предоставления государственной услуги

2.1. Порядок получения информации о процедурах предоставления государственной услуги

2.1.1. Информация по процедурам предоставления государственной услуги размещается на официальных сайтах РосОЭЗ и территориальных органов РосОЭЗ в сети "Интернет" (далее - официальные сайты), в средствах массовой информации, на информационных стендах территориальных органов РосОЭЗ, а также в раздаточных информационных материалах (брошюрах, буклетах).

2.1.2. Раздаточные информационные материалы (брошюры, буклеты) находятся в помещениях, предназначенных для приема резидентов или заинтересованных лиц, местах ожидания, местах заполнения документов, а также местах получения информации о предоставлении услуги в территориальных органах РосОЭЗ.

2.1.3. На официальных сайтах, в средствах массовой информации (далее - СМИ), на информационных стендах территориальных органов РосОЭЗ, а также в раздаточных информационных материалах (брошюрах, буклетах) должна быть размещена следующая информация:

местонахождение РосОЭЗ и территориальных органов РосОЭЗ;

график приема резидентов или заинтересованных лиц в территориальных органах РосОЭЗ;

номера телефонов для справок, адреса электронной почты, адреса официальных сайтов РосОЭЗ и территориальных органов РосОЭЗ;

описание процедур;

бланки документов, а также образцы их заполнения;

перечень причин для отказа в предоставлении государственной услуги;

порядок обжалования действия (бездействия) и решений, принятых должностными лицами в рамках предоставления государственной услуги;

извлечения из нормативных правовых актов, регламентирующих предоставление государственной услуги.

2.1.4. Стенды, содержащие информацию о графике приема резидентов или заинтересованных лиц, размещаются при входе в территориальные органы РосОЭЗ.

2.2. Способ получения сведений о местонахождении и графике работы органов государственной власти, предоставляющих государственную услугу

2.2.1. Сведения о местонахождении РосОЭЗ и территориальных органов РосОЭЗ, почтовых адресах для направления документов и обращений, справочных телефонных номерах и адресах электронной почты для направления обращений представлены в приложении N 1 к Административному регламенту Федерального агентства по управлению особыми экономическими зонами по предоставлению государственной услуги "Принятие решения о заключении или отказе в заключении соглашения о ведении промышленно-производственной деятельности, а также об изменении условий соглашения. Подготовка и заключение соглашения о ведении промышленно-производственной деятельности на территории особых экономических зон. Осуществление регистрации юридических лиц в качестве резидентов промышленно-производственных особых экономических зон" (далее - Административный регламент), а также на официальных сайтах РосОЭЗ (www.rosoez.ru) и сайтах территориальных органов РосОЭЗ.

2.2.2. График приема резидентов и заинтересованных лиц в территориальных органах РосОЭЗ.

понедельник 9.00 - 18.00 (перерыв 13.00 - 13.45)
вторник 9.00 - 18.00 (перерыв 13.00 - 13.45)
среда 9.00 - 18.00 (перерыв 13.00 - 13.45)
четверг 9.00 - 18.00 (перерыв 13.00 - 13.45)
пятница 9.00 - 16.45 (перерыв 13.15 - 13.45)
суббота - воскресенье выходной

2.2.3. Информация о процедурах предоставления государственной услуги (далее - информация о процедурах) предоставляется бесплатно.

2.2.4. Основными требованиями к информированию резидентов или заинтересованных лиц являются:

- достоверность предоставляемой информации о процедурах;

- четкость в изложении информации о процедурах;

- полнота информирования о процедурах;

- наглядность форм предоставляемой информации о процедурах;

- удобство и доступность получения информации о процедурах;

- оперативность предоставления информации о процедурах.

Информирование резидентов или заинтересованных лиц организуется следующим образом:

Публичное информирование проводится в форме:

- устного информирования (по радио или телевидению);

- письменного информирования (через официальные сайты или раздаточные информационные материалы либо информационные стенды).

Индивидуальное информирование проводится в форме:

- устного информирования (лично или по телефону);

- письменного информирования (по почте или по электронной почте через официальные сайты).

2.2.4.1. Лицами, ответственными за индивидуальное устное информирование, являются:

в РосОЭЗ (по телефону) должностное лицо РосОЭЗ, осуществляющее индивидуальное устное информирование (далее - сотрудник РосОЭЗ, осуществляющий индивидуальное устное информирование);

в территориальном органе РосОЭЗ (лично или по телефону) должностное лицо территориального органа РосОЭЗ, осуществляющее индивидуальное устное информирование (далее - сотрудник территориального органа РосОЭЗ, осуществляющий индивидуальное устное информирование).

Сотрудник РосОЭЗ или территориального органа РосОЭЗ, осуществляющий индивидуальное устное информирование, должен дать полный и оперативный ответ на поставленные вопросы. Время ожидания резидентами или заинтересованными лицами при индивидуальном устном информировании не может превышать 30 минут.

В случае если для подготовки ответа требуется продолжительное время, сотрудник РосОЭЗ или территориального органа РосОЭЗ, осуществляющий индивидуальное устное информирование, может предложить резидентам или заинтересованным лицам обратиться за необходимой информацией в письменном виде либо назначить другое удобное для резидентов или заинтересованных лиц время для устного информирования.

2.2.4.2. Индивидуальное письменное информирование при обращении резидентов или заинтересованных лиц в РосОЭЗ или территориальные органы РосОЭЗ осуществляется путем направления ответов почтовым отправлением или через официальные сайты РосОЭЗ и территориальных органов РосОЭЗ.

Ответ направляется в письменном виде, электронной почтой либо через официальный сайт в зависимости от способа обращения резидентов или заинтересованных лиц за информацией.

Руководитель РосОЭЗ или территориального органа РосОЭЗ или уполномоченное ими должностное лицо в соответствии со своей компетенцией определяет непосредственного исполнителя для подготовки ответа.

Ответ на вопрос предоставляется в простой, четкой и понятной форме с указанием должности лица, подписавшего ответ, а также фамилии, имени, отчества и номера телефона непосредственного исполнителя.

При индивидуальном письменном информировании ответ направляется резидентам или заинтересованным лицам в течение 30 дней со дня поступления запроса.

2.2.4.3. Публичное устное информирование осуществляется с привлечением СМИ.

2.2.4.4. Публичное письменное информирование осуществляется путем распространения информационных листков и оформления информационных стендов, при этом должны быть предусмотрены варианты информационных листков с увеличенным шрифтом (размер шрифта не менее N 20) для слабовидящих представителей резидентов или заинтересованных лиц, а также путем размещения информационных материалов на официальных сайтах.

Официальные сайты РосОЭЗ должны содержать:

номера телефонов, адреса электронной почты РосОЭЗ и территориальных органов РосОЭЗ;

форму и образец заполнения запроса;

рекомендации по заполнению.

2.3. Обязанности должностных лиц при информировании резидентов или заинтересованных лиц, требования к форме и характеру взаимодействия должностных лиц с резидентами или заинтересованными лицами

2.3.1. При индивидуальном устном информировании (по телефону или лично) должностное лицо РосОЭЗ или территориального органа РосОЭЗ должно назвать свою фамилию, имя, отчество, должность, а также наименование структурного подразделения, в которое обратился резидент или заинтересованное лицо, а затем в вежливой форме, без длительных пауз, не отвлекаясь, подробно проинформировать обратившегося по интересующим его вопросам с перечислением мер, которые надо принять (кто именно, когда и что должен сделать).

2.3.2. При индивидуальном устном информировании резидентов или заинтересованных лиц (по телефону или лично) сотрудники, осуществляющие прием и информирование, дают ответ самостоятельно. Если сотрудник, к которому обратился резидент или заинтересованное лицо, не может ответить на вопрос самостоятельно, то он может предложить резиденту или заинтересованному лицу обратиться письменно либо назначить другое удобное для резидента или заинтересованного лица время для получения информации.

На индивидуальное устное информирование (по телефону или лично) каждого резидента или заинтересованного лица сотрудник РосОЭЗ, осуществляющий индивидуальное устное информирование, или сотрудник территориального органа РосОЭЗ, осуществляющий индивидуальное устное информирование, выделяет не более 20 минут.

Сотрудник РосОЭЗ, осуществляющий индивидуальное устное информирование, и сотрудник территориального органа РосОЭЗ, осуществляющий индивидуальное устное информирование, должны корректно и внимательно относиться к резидентам или заинтересованным лицам, не унижая их чести и достоинства. Информирование должно проводиться без больших пауз, лишних слов, оборотов и эмоций.

2.3.3. Индивидуальное письменное информирование (по почте) осуществляется почтовым отправлением письма по адресу резидентов или заинтересованных лиц и должно содержать: ответы на поставленные вопросы, должность, фамилию, инициалы и номер телефона исполнителя. Ответ подписывается руководителем РосОЭЗ или территориального органа РосОЭЗ или уполномоченными ими лицами. Письмо направляется по почте по адресу резидента или заинтересованного лица в срок, не превышающий 30 дней с момента поступления письменного обращения от резидентов или заинтересованных лиц за информированием.

2.3.4. Индивидуальное письменное информирование (через официальный сайт) осуществляется направлением электронного письма на адрес электронной почты резидентов или заинтересованных лиц и должно содержать: ответы на поставленные вопросы, должность, фамилию, инициалы и номер телефона, адрес электронной почты исполнителя. Ответ на обращение направляется на адрес электронной почты резидента или заинтересованного лица в срок, не превышающий 30 дней с момента поступления электронного обращения резидентов или заинтересованных лиц за информированием.

2.4. Требования к удобству и комфорту мест предоставления государственной услуги

2.4.1. Организация приема резидентов или заинтересованных лиц осуществляется в соответствии с графиком, приведенным в пункте 2.2.2 настоящего Административного регламента.

2.4.2. Прием резидентов или заинтересованных лиц осуществляется в специально выделенных для этих целей помещениях. В помещениях для работы с резидентами или заинтересованными лицами размещаются информационные стенды.

Помещение для работы с резидентами или заинтересованными лицами должно быть оборудовано системой звукового информирования и электронной системой управления очередью. Длительность одного звукового сообщения не должна превышать 5 минут.

2.4.3. Места предоставления государственной услуги должны быть оборудованы системами кондиционирования (охлаждения и нагревания) воздуха, средствами пожаротушения и оповещения о возникновении чрезвычайной ситуации.

2.4.4. В местах предоставления государственной услуги предусматривается оборудование доступных мест общественного пользования (туалетов) и хранения верхней одежды резидентов или заинтересованных лиц.

2.4.5. Для ожидания приема резидентами и заинтересованными лицами, заполнения необходимых для получения государственной услуги документов отводятся места, оборудованные стульями, столами (стойками) для возможности оформления документов и обеспечение писчей бумагой, ручками, бланками документов.

2.4.6. Места получения информации о предоставлении государственной услуги оборудуются информационными стендами.

2.4.7. Помещение должно быть оборудовано в соответствии с санитарными правилами и нормами <*>.

<*> Постановление Главного государственного санитарного врача Российской Федерации от 3 июня 2003 г. N 118 "О введении в действие санитарно-эпидемиологических правил и нормативов СанПиН 2.2.2/2.4.1340-03", зарегистрировано в Минюсте России 10 июня 2003 г., рег. N 4673.

Должны быть созданы условия для обслуживания резидентов или заинтересованных лиц - инвалидов: помещения оборудованы пандусами, специальными ограждениями и перилами, обеспечены беспрепятственное передвижение и разворот инвалидных колясок, размещение столов для инвалидов в стороне от входа с учетом беспрепятственного подъезда и поворота колясок.

2.5. Условия и сроки предоставления государственной услуги

2.5.1. При заключении с заинтересованным лицом соглашения о ведении промышленно-производственной деятельности:

2.5.1.1. Прием от заинтересованных лиц заявок на заключение соглашений о ведении промышленно-производственной деятельности (далее - заявка) (приложение N 2 к настоящему Административному регламенту) и прилагаемых к ним документов осуществляется в день получения заявки и прилагаемых к ней документов от заинтересованного лица в территориальном органе РосОЭЗ лично или по почте (заинтересованное лицо не может подать за один раз более одной заявки).

2.5.1.2. Направление заинтересованному лицу копии описи (приложение N 3 к настоящему Административному регламенту) с отметкой о дате приема заявки и прилагаемых к ней документов осуществляется в день регистрации заявки и прилагаемых к ней документов.

2.5.1.3. Направление заявки и прилагаемых к ней документов в Консультационный совет с сопроводительным письмом (приложение N 4 к настоящему Административному регламенту) и РосОЭЗ осуществляется в течение рабочего дня, следующего за днем регистрации заявки и прилагаемых к ней документов.

2.5.1.4. Принятие решения о заключении или отказе в заключении соглашения о ведении промышленно-производственной деятельности (далее - решение о заключении или об отказе в заключении соглашения) (приложение N 5 к настоящему Административному регламенту) с учетом выписки из протокола заседания Консультационного совета (приложение N 15 к настоящему Административному регламенту) осуществляется в течение 10 рабочих дней с момента получения заявки и прилагаемых к ней документов от заинтересованного лица в территориальном органе РосОЭЗ.

2.5.1.4.1. По соглашению о ведении промышленно-производственной деятельности резидент особой экономической зоны обязан осуществить капитальные вложения в рублях в сумме, эквивалентной не менее десяти миллионов евро (за исключением нематериальных активов) по курсу Центрального банка Российской Федерации на день представления заявки на заключение соглашения о ведении промышленно-производственной деятельности в органы управления особыми экономическими зонами. При этом резидент особой экономической зоны обязан осуществить капитальные вложения в рублях в сумме, эквивалентной не менее одного миллиона евро (за исключением нематериальных активов) по курсу Центрального банка Российской Федерации на день представления заявки на заключение соглашения о ведении промышленно-производственной деятельности в органы управления особыми экономическими зонами, в течение года с даты заключения указанного соглашения <*>.

<*> Федеральный закон от 22 июля 2005 г. N 116-ФЗ "Об особых экономических зонах в Российской Федерации".

2.5.1.5. Направление заинтересованному лицу решения о заключении или об отказе в заключении соглашения письмом (приложение N 6 к настоящему Административному регламенту) осуществляется в рабочий день, следующий за днем принятия решения о заключении или об отказе в заключении соглашения.

2.5.1.6. Подготовка и заключение с заинтересованными лицами соглашения о ведении промышленно-производственной деятельности (далее - соглашение), осуществляется в течение 10 рабочих дней с момента принятия решения о заключении соглашения <*>.

<*> Приказ Минэкономразвития России от 10 марта 2006 г. N 64 "Об утверждении типовых форм соглашений о ведении промышленно-производственной и технико-внедренческой деятельности на территории особых экономических зон" (зарегистрировано в Минюсте России 27 марта 2006 г., рег. N 7636; Бюллетень нормативных актов федеральных органов исполнительной власти, 2006, N 14).

2.5.1.7. Регистрация юридического лица в качестве резидента промышленно-производственной особой экономической зоны и выдача свидетельства о регистрации лица в качестве резидента особой экономической зоны (далее - свидетельство о регистрации) осуществляется в течение трех рабочих дней со дня заключения с ним соглашения (выдача свидетельства о регистрации резиденту осуществляется территориальным органом РосОЭЗ лично или по почте).

2.5.1.8. Представление сведений о регистрации лица в качестве резидента (приложение N 7 к настоящему Административному регламенту) и копии соглашения в налоговые и таможенные органы осуществляется в течение рабочего дня, следующего за днем регистрации лица в качестве резидента особой экономической зоны.

2.5.2. При внесении изменений в соглашение о ведении промышленно-производственной деятельности:

2.5.2.1. Прием от резидентов особой экономической зоны документов с сопроводительным письмом (приложение N 8 к настоящему Административному регламенту) об изменении условий соглашений о ведении промышленно-производственной деятельности (далее - документы об изменении соглашения) осуществляется в день получения документов об изменении соглашения в территориальном органе РосОЭЗ от резидента лично или по почте.

2.5.2.2. Направление заинтересованному лицу копии описи (приложение N 3 к настоящему Административному регламенту) с отметкой о дате приема документов об изменении соглашения осуществляется в день регистрации документов об изменении соглашения.

2.5.2.3. Направление документов об изменении соглашения в Консультационный совет с копией сопроводительного письма (приложение N 8 к настоящему Административному регламенту) и в РосОЭЗ осуществляется в течение рабочего дня, следующего за днем регистрации документов об изменении соглашения.

2.5.2.4. Принятие решения об изменении условий соглашения или об отказе в изменении условий соглашения (далее - решение об изменении условий соглашения) (приложение N 5 к настоящему Административному регламенту) с учетом выписки из протокола заседания Консультационного совета (приложение N 15 к настоящему Административному регламенту) осуществляется в течение 10 рабочих дней с момента получения документов об изменении соглашения от резидента территориальным органом РосОЭЗ.

2.5.2.5. Направление резиденту решения об изменении условий соглашения или об отказе в изменении условий соглашения письмом (приложение N 6 к настоящему Административному регламенту) осуществляется в рабочий день, следующий за днем принятия решения об изменении условий соглашения или об отказе в изменении условий соглашения.

2.5.2.6. Подготовка и заключение с резидентами дополнительного соглашения к соглашению (далее - дополнительное соглашение), осуществляется в течение 10 рабочих дней с момента принятия решения об изменении соглашения.

2.5.3. При замене свидетельства о регистрации лица в качестве резидента особой экономической зоны:

2.5.3.1. Прием от резидентов заявления о замене свидетельства о регистрации (далее - заявление о замене свидетельства) (приложение N 9 к настоящему Административному регламенту) и копий документов, подтверждающих изменение данных в свидетельстве о регистрации, осуществляется в день получения заявления о замене свидетельства и копий документов, подтверждающих изменения данных в свидетельстве о регистрации в территориальном органе РосОЭЗ от резидентов лично или по почте.

2.5.3.2. Обновление сведений о резиденте и выдача нового свидетельства осуществляется в течение трех рабочих дней с даты регистрации заявления о замене свидетельства.

2.5.3.3. Прием от резидентов заявления о замене свидетельства в случае потери резидентом свидетельства о регистрации (приложение N 9 к настоящему Административному регламенту) осуществляется в день получения заявления о замене свидетельства в территориальном органе РосОЭЗ от резидентов лично или по почте.

2.5.3.4. Выдача дубликата свидетельства в случае потери резидентом свидетельства о регистрации в течение трех рабочих дней с даты регистрации заявления о замене свидетельства.

2.5.4. При утрате юридическим лицом статуса резидента промышленно-производственной зоны:

2.5.4.1. Подготовка и заключение соглашения о расторжении соглашения (по соглашению сторон) <*>:

<*> Федеральный закон от 22 июля 2005 г. N 116-ФЗ "Об особых экономических зонах в Российской Федерации".

не более 10 рабочих дней с даты регистрации обращения резидента о предложении расторжения соглашения о ведении промышленно-производственной деятельности (приложение N 10 к настоящему Административному регламенту) в территориальный орган РосОЭЗ лично либо по почте или

не более 10 рабочих дней с даты направления территориальным органом РосОЭЗ резиденту уведомления о намерении расторжения соглашения о ведении промышленно-производственной деятельности по почте (приложение N 11 к настоящему Административному регламенту).

В том числе принятие решения о заключении или об отказе в заключении соглашения о расторжении соглашения (решение РосОЭЗ о согласии либо об отказе в расторжении соглашения (приложение N 14 к настоящему Административному регламенту).

2.5.4.2. Регистрация факта утраты юридическим лицом статуса резидента промышленно-производственной особой экономической зоны:

три дня с даты окончания срока, на который соглашение о ведении промышленно-производственной деятельности было заключено, или

расторжения соглашения о ведении промышленно-производственной деятельности (в случае расторжения по соглашению сторон), или

прекращение предусмотренного соглашением о ведении промышленно-производственной деятельности договора аренды земельного участка, за исключением случаев, когда договор аренды расторгается в связи с выкупом земельного участка, или

вступления в законную силу решения суда о лишении лица статуса резидента особой экономической зоны, или

принятия решения Правительства Российской Федерации о досрочном прекращении существования особой экономической зоны.

2.5.4.3. Представление сведений о лишении лица статуса резидента в налоговые и таможенные органы в виде уведомления о факте утраты лицом статуса резидента (приложение N 12 к настоящему Административному регламенту) - в течение рабочего дня, следующего за днем внесения в реестр резидентов особой экономической зоны соответствующей записи.

2.6. Перечень документов, необходимых для получения государственной услуги

2.6.1. При заключении с заинтересованным лицом соглашения о ведении промышленно-производственной деятельности - заявка, которая должна содержать:

сведения о предполагаемой деятельности заявителя, соответствующей типу особой экономической зоны;

сведения о площади земельного участка, необходимой для предполагаемой деятельности заявителя;

сведения о предполагаемых объемах капитальных вложений, включая объем капитальных вложений в течение года со дня заключения соглашения о ведении промышленно-производственной деятельности, и прилагаемые к заявке документы:

копия свидетельства о государственной регистрации;

копия свидетельства о постановке на учет в налоговом органе;

копия учредительных документов;

бизнес-план по утвержденной форме <*>;

<*> Приложение N 1 к Приказу Минэкономразвития России от 23 марта 2006 г. N 75 "Об утверждении форм бизнес-планов, представляемых для заключения (изменения) соглашений о ведении промышленно-производственной (технико-внедренческой) деятельности, критериев отбора банков и иных кредитных организаций для подготовки заключения на бизнес-планы, критериев оценки бизнес-планов, проводимой экспертным советом по технико-внедренческим особым экономическим зонам" (зарегистрировано в Минюсте России 10 апреля 2006 г., рег. N 7671).

положительное заключение на представленный заявителем бизнес-план, подготовленное банком или иной кредитной организацией, которые соответствуют утвержденным критериям <*>.

<*> Приложение N 2 к Приказу Минэкономразвития России от 23 марта 2006 г. N 75 "Об утверждении форм бизнес-планов, представляемых для заключения (изменения) соглашений о ведении промышленно-производственной (технико-внедренческой) деятельности, критериев отбора банков и иных кредитных организаций для подготовки заключения на бизнес-планы, критериев оценки бизнес-планов, проводимой экспертным советом по технико-внедренческим особым экономическим зонам" (зарегистрировано в Минюсте России 10 апреля 2006 г., рег. N 7671).

2.6.2. При внесении изменений в соглашение о ведении промышленно-производственной деятельности:

бизнес-план по утвержденной форме;

положительное заключение на представленный заявителем бизнес-план, подготовленное банком или иной кредитной организацией, которые соответствуют утвержденным критериям.

2.6.3. При замене свидетельства о регистрации лица в качестве резидента особой экономической зоны:

2.6.3.1. В случае изменения данных в свидетельстве:

заявление о замене свидетельства;

копии документов, подтверждающих изменение данных в свидетельстве;

свидетельство о регистрации, требующее замены.

2.6.3.2. В случае потери резидентом свидетельства о регистрации - заявление о замене свидетельства.

2.6.4. При утрате юридическим лицом статуса резидента промышленно-производственной деятельности:

2.6.4.1. При подготовке и заключении соглашения о расторжении соглашения (по соглашению сторон):

при обращении резидента о расторжении соглашения:

письмо о предложении расторжения соглашения о ведении промышленно-производственной деятельности;

при намерении расторжения соглашения со стороны РосОЭЗ:

письмо о намерении расторжения соглашения о ведении промышленно-производственной деятельности;

письмо резидента о согласии либо об отказе в расторжении соглашения (приложение N 15 к настоящему Административному регламенту).

2.6.4.2. При регистрации факта утраты юридическим лицом статуса резидента промышленно-производственной особой экономической зоны:

соглашение о ведении промышленно-производственной деятельности с окончанием срока, на который было заключено, или

соглашение о расторжении соглашения (в случае расторжения по соглашению сторон), или

документ, подтверждающий прекращение предусмотренного соглашением о ведении промышленно-производственной деятельности договора аренды земельного участка, за исключением случаев, когда договор аренды расторгается в связи с выкупом земельного участка, или

вступившее в законную силу решение суда о лишении лица статуса резидента особой экономической зоны, или

решение Правительства Российской Федерации о досрочном прекращении существования особой экономической зоны.

2.6.5. Документы, необходимые для подготовки и заключения с заявителем соглашения о ведении промышленно-производственной деятельности, находятся в учетном деле заявителя. В случае если с заявителем заключается соглашение о ведении промышленно-производственной деятельности, учетное дело заявителя становится регистрационным делом резидента особой экономической зоны (далее - регистрационное дело).

В учетное (регистрационное) дело на основании описи подшиваются документы, содержащие сведения о резиденте, с момента подачи заявки на заключение соглашения о ведении промышленно-производственной деятельности до лишения лица статуса резидента особой экономической зоны (далее - сведения о резиденте), и подлежащие обязательной нумерации при регистрации.

2.7. Описание конечного результата предоставления государственной услуги

2.7.1. При заключении с заинтересованным лицом соглашения о ведении промышленно-производственной деятельности:

прием заявки и прилагаемых к ней документов или письмо об отказе в предоставлении услуги с указанием причины и перечнем недостающих документов (приложение N 16 к настоящему Административному регламенту):

- копия описи с отметкой о дате приема заявки и прилагаемых к ней документов;

- решение о заключении или об отказе в заключении соглашения;

- соглашение, подписанное сторонами;

- свидетельство о регистрации.

2.7.2. При внесении изменений в соглашение о ведении промышленно-производственной деятельности:

прием документов или письмо об отказе в предоставлении услуги с указанием причины и перечнем недостающих документов;

копия описи с отметкой о дате приема документов об изменении соглашения;

решение об изменении условий соглашения или об отказе в изменении условий соглашения;

дополнительное соглашение.

2.7.3. При замене свидетельства о регистрации лица в качестве резидента особой экономической зоны:

прием документов или письмо об отказе в предоставлении услуги с указанием причины и перечнем недостающих документов.

2.7.3.1. В случае изменения сведений о резиденте - новое свидетельство о регистрации.

2.7.3.2. В случае потери резидентом свидетельства о регистрации - дубликат свидетельства о регистрации.

2.7.4. При утрате юридическим лицом статуса резидента промышленно-производственной деятельности:

2.7.4.1. При подготовке и заключении соглашения о расторжении соглашения (по соглашению сторон) - соглашение о расторжении соглашения или обращение в суд.

2.7.4.2. При регистрации факта утраты юридическим лицом статуса резидента - уведомление о факте утраты лицом статуса резидента.

2.8. Основания для отказа в предоставлении государственной услуги

2.8.1. При заключении с заинтересованным лицом соглашения о ведении промышленно-производственной деятельности:

непредставление заинтересованным лицом документов, указанных в пункте 2.6.1 настоящего Административного регламента;

неправильное оформление заявки и прилагаемых к ней документов (наличие в них исправлений, серьезных повреждений, не позволяющих однозначно истолковать содержание);

отсутствие на территории особой экономической зоны свободного земельного участка, отвечающего условиям, указанным в заявке на заключение соглашения о ведении промышленно-производственной деятельности;

несоответствие предполагаемой деятельности заявителя видам деятельности, осуществление которых разрешено на территории особой экономической зоны;

несоответствие предполагаемого объема капитальных вложений условиям, указанным в пункте 2.5.1.4.1 настоящего Административного регламента.

2.8.8.1. При принятии решения о заключении или об отказе в заключении соглашения - несоответствие бизнес-плана условиям, указанным в заявке на заключение соглашения о ведении промышленно-производственной деятельности.

В электронном документе нумерация пунктов соответствует официальному источнику.

2.8.2. При осуществлении приема от резидентов документов об изменении соглашения:

непредставление резидентом документов, представленных в пункте 2.6.2 настоящего Административного регламента;

неправильное оформление документов об изменении соглашения (наличие в них исправлений, серьезных повреждений, не позволяющих однозначно истолковать содержание);

отсутствие на территории особой экономической зоны свободного земельного участка, отвечающего условиям, указанным в заявке на заключение соглашения о ведении промышленно-производственной деятельности;

несоответствие предполагаемой деятельности заявителя видам деятельности, осуществление которых разрешено на территории особой экономической зоны;

несоответствие предполагаемого объема капитальных вложений требованиям, условиям, указанным в пункте 2.5.1.4.1 настоящего Административного регламента.

2.8.2.1. При принятии решения о внесении изменений или об отказе в изменении соглашения - несоответствие измененного бизнес-плана условиям, указанным в заявке на заключение соглашения о ведении промышленно-производственной деятельности.

2.8.3. При замене свидетельства о регистрации лица в качестве резидента особой экономической зоны:

2.8.3.1. В случае изменения сведений о резиденте:

непредставление документов, подтверждающих изменение данных в свидетельстве о регистрации, и свидетельства о регистрации, требующего замены;

неправильное оформление заявления о замене свидетельства (наличие в них исправлений, серьезных повреждений, не позволяющих однозначно истолковать содержание).

2.8.3.2. В случае потери резидентом свидетельства о регистрации - неправильное оформление заявления о замене свидетельства (наличие в них исправлений, серьезных повреждений, не позволяющих однозначно истолковать содержание).

2.8.4. При утрате юридическим лицом статуса резидента промышленно-производственной деятельности:

2.8.4.1. При подготовке и заключении соглашения о расторжении соглашения (по соглашению сторон) - несогласие РосОЭЗ с условиями расторжения соглашения о ведении промышленно-производственной деятельности, предлагаемыми резидентом, либо несогласие резидента с условиями расторжения соглашения о ведении промышленно-производственной деятельности, представленными РосОЭЗ.

2.8.4.2. При регистрации факта утраты юридическим лицом статуса резидента промышленно-производственной особой экономической зоны - отсутствие оснований, указанных в пункте 2.6.4.2 настоящего Административного регламента.

2.9. Другие положения

2.10.1. Государственная услуга предоставляется бесплатно.

В электронном документе нумерация пунктов соответствует официальному источнику.

2.10.2. Бланк свидетельства о регистрации является защищенной полиграфической продукцией, имеет учетную серию и номер. Бланки свидетельства подлежат учету.

III. Административные процедуры

3.1. Предоставление государственной услуги включает в себя следующие административные процедуры

3.1.1. Заключение с заинтересованным лицом соглашения о ведении промышленно-производственной деятельности, включающей в себя:

прием от заинтересованных лиц заявок на заключение соглашений о ведении промышленно-производственной деятельности и прилагаемых к ним документов;

направление заинтересованному лицу копии описи с отметкой о дате приема заявки и прилагаемых к ней документов;

направление заявки и прилагаемых к ней документов в Консультационный совет с сопроводительным письмом и в РосОЭЗ;

принятие решения о заключении или отказе в заключении соглашения о ведении промышленно-производственной деятельности;

направление заинтересованному лицу решения о заключении или об отказе в заключении соглашения о ведении промышленно-производственной деятельности;

подготовку и заключение с заинтересованными лицами соглашения о ведении промышленно-производственной деятельности;

регистрацию юридического лица в качестве резидента промышленно-производственной особой экономической зоны и выдачу свидетельства о регистрации лица в качестве резидента особой экономической зоны;

представление сведений о регистрации лица в качестве резидента и копии соглашения в налоговые и таможенные органы.

3.1.2. Внесение изменений в соглашение о ведении промышленно-производственной деятельности, включающей в себя:

прием от резидентов особой экономической зоны документов об изменении условий соглашений о ведении промышленно-производственной деятельности;

направление заинтересованному лицу копии описи с отметкой о дате приема документов об изменении соглашения;

направление документов об изменении соглашения в Консультационный совет и РосОЭЗ;

принятие решения об изменении условий соглашения или об отказе в изменении условий соглашения;

направление заинтересованному лицу решения об изменении условий соглашения или об отказе в изменении условий соглашения;

подготовку и заключение с резидентами дополнительного соглашения к соглашению о ведении промышленно-производственной деятельности.

3.1.3. Замена свидетельства о регистрации лица в качестве резидента особой экономической зоны, включающая в себя:

прием от резидентов заявления о замене свидетельства о регистрации и копий документов, подтверждающих изменение данных в свидетельстве о регистрации;

обновление сведений о резиденте и выдачу нового свидетельства;

прием от резидентов заявления о замене свидетельства в случае потери резидентом свидетельства о регистрации;

выдачу дубликата свидетельства в случае потери резидентом свидетельства о регистрации.

3.1.4. Утрата юридическим лицом статуса резидента промышленно-производственной зоны, включающая в себя:

подготовку и заключение соглашения о расторжении соглашения (по соглашению сторон);

регистрацию факта утраты юридическим лицом статуса резидента промышленно-производственной особой экономической зоны;

представление сведений о лишении лица статуса резидента в налоговые и таможенные органы.

3.2. Описание последовательности действий при осуществлении процедур заключения с заинтересованным лицом соглашения о ведении промышленно-производственной деятельности

3.2.1. Юридическим фактом, являющимся основанием для осуществления процедур заключения с заинтересованным лицом соглашения о ведении промышленно-производственной деятельности, является подача лицом, намеревающимся получить статус резидента особой экономической зоны, заявки на заключение соглашения о ведении промышленно-производственной деятельности.

3.2.2. Прием от заинтересованных лиц заявок на заключение соглашений о ведении промышленно-производственной деятельности и прилагаемых к ним документов осуществляется должностным лицом, ответственным за выполнение процедуры приема от заинтересованных лиц заявок на заключение соглашений о ведении промышленно-производственной деятельности и прилагаемых к ним документов, которым является должностное лицо территориального органа РосОЭЗ, в обязанности которого в соответствии с его должностным регламентом входит выполнение соответствующих функций (далее - сотрудник территориального органа РосОЭЗ, ответственный за прием).

Заинтересованное лицо представляет в территориальный орган РосОЭЗ заявку и прилагаемые к ней документы (пункт 2.6.1 настоящего Административного регламента) в двух экземплярах лично или по почте в территориальный орган РосОЭЗ.

Сотрудник территориального органа РосОЭЗ, ответственный за прием, в день получения заявки и прилагаемых к ней документов:

проверяет комплектность и соответствие условиям, указанным в пункте 2.8.1 настоящего Административного регламента:

если представлен неполный комплект документов или не соответствующий условиям, отказывает в предоставлении услуги с указанием причины и перечнем недостающих документов в письменном виде (приложение N 16 к настоящему Административному регламенту) заинтересованному лицу лично в территориальном органе РосОЭЗ или по почте;

если представлен полный комплект, регистрирует поступление заявки в журнале регистрации, принимает заявку по описи с отметкой о дате приема заявки и прилагаемых к ней документов (далее - опись).

3.2.3. Направление заинтересованному лицу копии описи осуществляет сотрудник территориального органа РосОЭЗ, ответственный за прием.

Сотрудник территориального органа, ответственный за прием, в день регистрации заявки и прилагаемых к ней документов:

делает копию описи;

вручает (направляет) копию описи с отметкой о дате приема заинтересованному лицу лично в территориальном органе РосОЭЗ или по почте.

3.2.4. Направление заявки и прилагаемых к ней документов в Консультационный совет с сопроводительным письмом и в РосОЭЗ осуществляет сотрудник территориального органа РосОЭЗ, ответственный за прием.

Сотрудник территориального органа РосОЭЗ, ответственный за прием, в день регистрации:

делает 2 копии заявки и прилагаемых к ней документов (далее - копия заявки);

готовит сопроводительное письмо в Консультационный совет;

направляет копию заявки с сопроводительным письмом в Консультационный совет;

направляет копию заявки в РосОЭЗ.

3.2.5. Принятие решения о заключении или отказе в заключении соглашения осуществляется должностными лицами РосОЭЗ, в обязанности которых в соответствии с их должностными регламентами входит выполнение соответствующих функций (далее - сотрудник РосОЭЗ, ответственный за принятие решения).

Сотрудник РосОЭЗ, ответственный за принятие решения о заключении или отказе в заключении соглашения, в течение 10 рабочих дней:

рассматривает заявку и прилагаемые к ней документы;

рассматривает выписку из протокола заседания Консультационного совета;

принимает решение о заключении или отказе в заключении соглашения (причины отказа в заключении соглашения указаны в пункте 2.8.1.1);

направляет решение о заключении или отказе в заключении соглашения в территориальный орган РосОЭЗ.

3.2.5.1. Консультационный совет в течение не более чем 10 рабочих дней с даты подачи заявки проводит экспертную оценку бизнес-плана и принимает решение о его поддержке либо об отказе в поддержке, в ходе которой:

Ответственный секретарь Консультационного совета регистрирует в журнале поступление от территориального органа РосОЭЗ заявки на заключение соглашения и бизнес-плана в день поступления указанных документов, информирует председателя Консультационного совета об их поступлении для проведения экспертизы.

Председатель Консультационного совета или лицо, его замещающее, в двухдневный срок принимает решение о дате проведения заседания Консультационного совета для принятия мотивированного решения по поступившей заявке и бизнес-плану.

Ответственный секретарь не позднее следующего рабочего дня после принятия решения о дате проведения заседания Консультационного совета информирует членов Консультационного совета о дате заседания Консультационного совета и направляет им необходимые материалы. Информация о дате и месте проведения заседания Консультационного совета, а также повестка заседания предоставляется членам Консультационного совета в срок не позднее 5 рабочих дней до даты заседания.

Консультационный совет проводит экспертную оценку бизнес-плана на их соответствие условиям заявки на заключение соглашения о ведении промышленно-производственной деятельности, по итогам которой готовит соответствующее решение.

Принятое решение оформляется протоколом, который подписывается председательствующим на заседании Консультационного совета и ответственным секретарем Консультационного совета.

Ответственный секретарь Консультационного совета оформляет выписку из протокола заседания по заявленному бизнес-плану и направляет в РосОЭЗ. Решение Консультационного совета имеет рекомендательный характер.

3.2.6. Направление заинтересованному лицу решения о заключении или об отказе в заключении соглашения осуществляет сотрудник РосОЭЗ, ответственный за принятие решения.

Сотрудник РосОЭЗ, ответственный за принятие решения, в течение рабочего дня, следующего за днем принятия решения о заключении или об отказе в заключении соглашения, направляет решение заинтересованному лицу.

3.2.7. Подготовка и заключение с заинтересованными лицами соглашения о ведении промышленно-производственной деятельности осуществляется должностными лицами РосОЭЗ, в обязанности которых в соответствии с их должностными регламентами входит заключение соглашения (далее - сотрудник РосОЭЗ, ответственный за заключение), должностными лицами РосОЭЗ, в обязанности которых в соответствии с их должностными регламентами входит согласование соглашения (далее - сотрудник РосОЭЗ, ответственный за согласование), и должностными лицами территориального органа РосОЭЗ, в обязанности которых в соответствии с их должностными регламентами входит подготовка соглашения (далее - сотрудник территориального органа РосОЭЗ, ответственный за подготовку).

В течение 10 рабочих дней с даты принятия решения:

Сотрудник территориального органа РосОЭЗ, ответственный за подготовку:

готовит проект соглашения;

отправляет проект соглашения на согласование в РосОЭЗ.

Сотрудник РосОЭЗ, ответственный за согласование:

согласовывает проект соглашения (при отсутствии возражений);

направляет в территориальный орган РосОЭЗ.

Сотрудник территориального органа РосОЭЗ, ответственный за подготовку:

организует подписание соглашения со стороны заинтересованного лица;

направляет в РосОЭЗ.

Сотрудник РосОЭЗ, ответственный за заключение:

подписывает соглашение;

передает в территориальный орган РосОЭЗ.

Сотрудник территориального органа, ответственный за подготовку:

делает копию соглашения;

направляет один экземпляр соглашения заинтересованному лицу.

3.2.8. Регистрация юридического лица в качестве резидента промышленно-производственной особой экономической зоны (далее - регистрация) и выдача свидетельства о регистрации лица в качестве резидента особой экономической зоны осуществляется сотрудниками территориального органа РосОЭЗ, в обязанности которых в соответствии с их должностными регламентами входит регистрация юридического лица в качестве резидента (далее - сотрудник территориального органа РосОЭЗ, ответственный за регистрацию).

Сотрудник территориального органа РосОЭЗ, ответственный за регистрацию, в течение 3 рабочих дней с даты подписания соглашения о ведении промышленно-производственной деятельности:

вносит в реестр резидентов особых экономических зон запись о регистрации заинтересованного лица в качестве резидента особой экономической зоны <*>;

<*> Порядок внесения сведений о резиденте в реестр резидентов особых экономических зон, определяется Приказом Минэкономразвития России от 23 апреля 2007 г. N 132, зарегистрировано в Минюсте России 8 июня 2007 г., рег. N 9625.

готовит свидетельство о регистрации по форме <*>;

<*> Приказ Минэкономразвития России от 31 марта 2006 г. N 84 "Об утверждении формы свидетельства, удостоверяющего регистрацию лица в качестве резидента особой экономической зоны" (зарегистрировано в Минюсте России 10 апреля 2006 г., рег. N 7672).

В связи с утратой силы Приказа Минэкономразвития РФ от 31.03.2006 N 84, следует руководствоваться принятым взамен Приказом Минэкономразвития РФ от 28.12.2009 N 554

выдает лично либо направляет по почте (в случае неявки за ним резидента в течение 3 рабочих дней после регистрации) свидетельство о регистрации резиденту;

подшивает все документы, служащие основанием для заключения соглашения, и копию соглашения в регистрационное дело резидента ОЭЗ.

3.2.9. Представление сведений о регистрации лица в качестве резидента и копии соглашения в налоговые и таможенные органы осуществляет сотрудник территориального органа РосОЭЗ, ответственный за регистрацию.

Сотрудник территориального органа РосОЭЗ, ответственный за регистрацию в течение дня, следующего за днем регистрации:

готовит 2 уведомления о регистрации;

делает 2 копии соглашения;

направляет уведомления о регистрации и копии соглашения в налоговые и таможенные органы почтовым отправлением.

3.2.10. Контроль за осуществлением процедур заключения с заинтересованным лицом соглашения о ведении промышленно-производственной деятельности осуществляется должностным лицом РосОЭЗ, в обязанности которого в соответствии с его должностным регламентом входит выполнение соответствующих функций (далее - сотрудник РосОЭЗ, ответственный за контроль), в форме регулярного мониторинга соблюдения и исполнения сотрудниками РосОЭЗ и территориального органа РосОЭЗ, ответственными за осуществление процедур, положений настоящего Административного регламента, утвержденных планов работ, иных методических и нормативных правовых документов, определяющих порядок выполнения процедуры. По результатам проверок сотрудник РосОЭЗ, ответственный за контроль, дает указания по устранению выявленных нарушений и контролирует их исполнение.

3.2.11. Результатами выполнения процедур заключения с заинтересованным лицом соглашения о ведении промышленно-производственной деятельности является:

подписанное соглашение;

выданное свидетельство о регистрации лично либо по почте резиденту.

3.2.12. Блок-схема осуществления процедур заключения с заинтересованным лицом соглашения о ведении промышленно-производственной деятельности представлена в приложении N 17 к настоящему Административному регламенту.

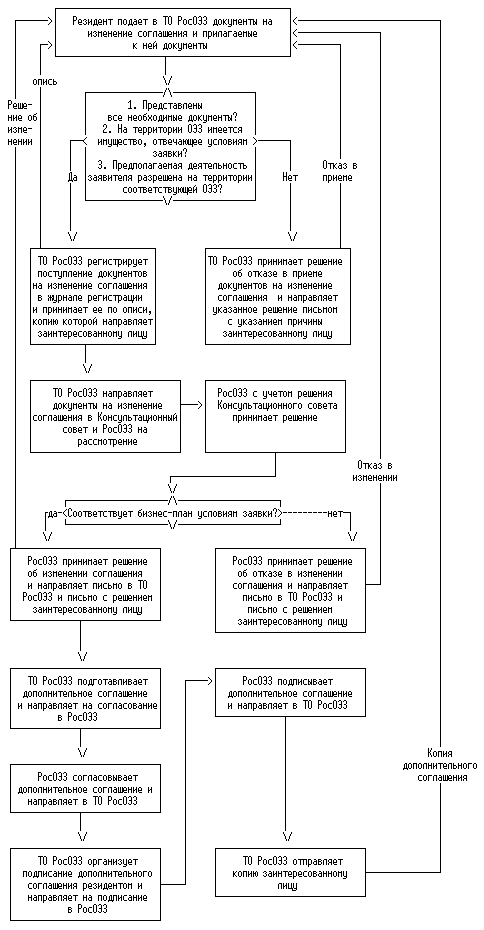
3.3. Описание последовательности действий при осуществлении процедур внесения изменений в соглашение о ведении промышленно-производственной деятельности

3.3.1. Юридическим фактом, служащим основанием для осуществления процедур внесения изменений в соглашение о ведении промышленно-производственной деятельности, является подача документов об изменении соглашения (пункт 2.6.2 настоящего Административного регламента) резидентом, намеревающимся изменить условия соглашения о ведении промышленно-производственной деятельности.

3.3.2. Прием от резидентов особой экономической зоны документов об изменении условий соглашений о ведении промышленно-производственной деятельности осуществляется сотрудником территориального органа РосОЭЗ, ответственным за прием.

Резидент представляет в территориальный орган РосОЭЗ документы об изменении соглашения (пункт 2.6.2 настоящего Административного регламента) в двух экземплярах лично или по почте в территориальный орган РосОЭЗ.

Сотрудник территориального органа РосОЭЗ, ответственный за прием, в день получения документов об изменении условий соглашений:

проверяет комплектность и соответствие условиям, указанным в пункте 2.8.2 настоящего Административного регламента:

если представлен неполный комплект документов и не соответствует условиям, отказывает в предоставлении услуги с указанием причины и перечнем недостающих документов в письменном виде (приложение N 16 к настоящему Административному регламенту) заинтересованному лицу лично в территориальном органе РосОЭЗ или по почте;

если представлен полный комплект, регистрирует поступление заявки в журнале регистрации, принимает заявку по описи с отметкой о дате приема заявки и прилагаемых к ней документов (далее - опись).

3.3.3. Направление заинтересованному лицу копии описи с отметкой о дате приема документов об изменении соглашения осуществляет сотрудник территориального органа РосОЭЗ, ответственный за прием.

Сотрудник территориального органа, ответственный за прием, в день регистрации документов об изменении соглашения:

делает копию описи;

вручает (направляет) копию описи с отметкой о дате приема заинтересованному лицу лично в территориальном органе РосОЭЗ или по почте.

3.3.4. Направление документов об изменении соглашения в Консультационный совет и РосОЭЗ осуществляет сотрудник территориального органа РосОЭЗ, ответственный за прием.

Сотрудник территориального органа РосОЭЗ, ответственный за прием, в день регистрации:

делает 2 копии документов об изменении соглашения (далее - копия документов об изменении);

готовит сопроводительное письмо в Консультационный совет;

направляет копию документов об изменении с сопроводительным письмом в Консультационный совет;

направляет копию документов об изменении в РосОЭЗ.

3.3.5. Принятие решения об изменении условий соглашения или об отказе в изменении условий соглашения осуществляется сотрудниками РосОЭЗ, ответственными за принятие решения.

Сотрудник РосОЭЗ, ответственный за принятие решения, в течение 10 рабочих дней:

рассматривает документы об изменении соглашения;

рассматривает выписку из протокола заседания Консультационного совета;

принимает решение об изменении условий соглашения или об отказе в изменении условий соглашения;

направляет решение об изменении условий соглашения или об отказе в изменении условий соглашения в территориальный орган РосОЭЗ.

3.3.5.1. Процедура рассмотрения документов об изменении условий соглашения в Консультационном совете алогична процедуре, указанной в пункте 3.2.5.1 настоящего Административного регламента.

3.3.6. Направление заинтересованному лицу решения об изменении условий соглашения или об отказе в изменении условий соглашения осуществляет сотрудник РосОЭЗ, ответственный за принятие решения.

Сотрудник РосОЭЗ, ответственный за принятие решения, в течение рабочего дня, следующего за днем принятия решения об изменении условий соглашения или об отказе в изменении условий соглашения, направляет решение заинтересованному лицу.

3.3.7. Подготовка и заключение с резидентами дополнительного соглашения к соглашению о ведении промышленно-производственной деятельности (далее - дополнительное соглашение) осуществляется сотрудниками РосОЭЗ, ответственными за заключение, сотрудниками РосОЭЗ, ответственными за согласование, и сотрудниками территориального органа РосОЭЗ, ответственными за подготовку.

В течение 10 рабочих дней с даты принятия решения:

Сотрудник территориального органа РосОЭЗ, ответственный за подготовку:

готовит проект дополнительного соглашения;

отправляет проект дополнительного соглашения на согласование в РосОЭЗ.

Сотрудник РосОЭЗ, ответственный за согласование:

согласовывает проект дополнительного соглашения (при отсутствии возражений);

направляет в территориальный орган РосОЭЗ.

Сотрудник территориального органа РосОЭЗ, ответственный за подготовку:

организует подписание дополнительного соглашения со стороны заинтересованного лица;

направляет в РосОЭЗ.

Сотрудник РосОЭЗ, ответственный за заключение:

подписывает дополнительное соглашение;

передает в территориальный орган РосОЭЗ.

Сотрудник территориального органа, ответственный за подготовку:

делает копию дополнительного соглашения;

направляет один экземпляр дополнительного соглашения заинтересованному лицу;

подшивает все документы, служащие основанием для внесения изменений в соглашение и копию дополнительного соглашения, в регистрационное дело резидента ОЭЗ.

3.3.8. Контроль за осуществлением процедур внесения изменений в соглашение о ведении промышленно-производственной деятельности осуществляется должностным лицом РосОЭЗ, в обязанности которого в соответствии с его должностным регламентом входит выполнение соответствующих функций (далее - сотрудник РосОЭЗ, ответственный за контроль), в форме регулярного мониторинга соблюдения и исполнения сотрудниками РосОЭЗ и территориального органа РосОЭЗ, ответственными за осуществление процедур, положений настоящего Административного регламента, утвержденных планов работ, иных методических и нормативных правовых документов, определяющих порядок выполнения процедуры. По результатам проверок сотрудник РосОЭЗ, ответственный за контроль, дает указания по устранению выявленных нарушений и контролирует их исполнение.

3.3.9. Результатами выполнения процедур внесения изменений в соглашение о ведении промышленно-производственной деятельности является:

подписанное дополнительное соглашение.

3.3.10. Блок-схема осуществления процедур внесения изменений в соглашение о ведении промышленно-производственной деятельности представлена в приложении N 18 к настоящему Административному регламенту.

3.4. Описание последовательности действий при осуществлении процедур замены свидетельства о регистрации лица в качестве резидента особой экономической зоны

3.4.1. Юридическим фактом, служащим основанием для начала осуществления процедур замены свидетельства о регистрации, является заявление резидента о замене свидетельства.

3.4.2. Прием от резидентов заявления о замене свидетельства о регистрации, копий документов, подтверждающих изменение данных в свидетельстве о регистрации, и свидетельства, подлежащего замене, осуществляет сотрудник территориального органа РосОЭЗ, ответственный за прием, и сотрудник территориального органа РосОЭЗ, ответственный за регистрацию.

Для замены свидетельства о регистрации резидент особой экономической зоны в течение 10 рабочих дней с даты изменения сведений о нем представляет в территориальный орган РосОЭЗ заявление о замене свидетельства, копию документов, подтверждающих изменения, и свидетельство, подлежащее замене, лично или по почте в территориальный орган РосОЭЗ.

Сотрудник территориального органа РосОЭЗ, ответственный за прием, в день получения заявления о замене свидетельства и документов, подтверждающих изменения, и свидетельства, подлежащего замене:

проверяет оформление заявления о замене свидетельства (наличие в них исправлений, серьезных повреждений, не позволяющих однозначно истолковать содержание);

проверяет наличие копий документов, подтверждающих изменение сведений в свидетельстве о регистрации, и свидетельства, подлежащего замене:

если оформление неправильно или копии документов, подтверждающие изменение сведений, и свидетельство, подлежащее замене, отсутствуют, отказывает в предоставлении услуги с указанием причины и перечня недостающих документов в письменном виде (приложение N 16 к настоящему Административному регламенту) резиденту лично в территориальном органе РосОЭЗ или по почте;

если оформление правильно и представлены копии документов, подтверждающие изменение сведений, и свидетельство, подлежащее замене, регистрирует поступление заявления в журнале регистрации, принимает документы по описи с отметкой о дате приема заявления о замене свидетельства.

3.4.3. Обновление сведений о резиденте и выдача нового свидетельства осуществляется сотрудником территориального органа РосОЭЗ, ответственным за регистрацию.

Сотрудник территориального органа РосОЭЗ, ответственный за регистрацию, в течение трех рабочих дней с даты регистрации заявления о замене свидетельства:

вносит в реестр резидентов особых экономических зон запись об изменении сведений, содержащихся в свидетельстве о регистрации <*>;

<*> Порядок внесения сведений о резиденте в реестр резидентов особых экономических зон, определяется Приказом Минэкономразвития России от 23 апреля 2007 г. N 132, зарегистрировано в Минюсте России 8 июня 2007 г., рег. N 9625.

готовит новое свидетельство о регистрации по форме <*>;

<*> Приказ Минэкономразвития России от 31 марта 2006 г. N 84 "Об утверждении формы свидетельства, удостоверяющего регистрацию лица в качестве резидента особой экономической зоны" (зарегистрировано в Минюсте России 10 апреля 2006 г., рег. N 7672).

вручает (направляет) новое свидетельство о регистрации резиденту лично в территориальном органе РосОЭЗ или по почте;

подшивает письмо о замене свидетельства, служащее основанием замены свидетельства, копии документов, подтверждающих изменение данных в свидетельстве о регистрации, и свидетельство, подлежащее замене, в регистрационное дело резидента ОЭЗ.

3.4.4. Прием от резидента заявления о замене свидетельства в случае потери резидентом свидетельства о регистрации осуществляет сотрудник территориального органа РосОЭЗ, ответственный за прием.

При утрате свидетельства о регистрации резидент особой экономической зоны обязан незамедлительно сообщить об этом в территориальный орган РосОЭЗ, выдавший это свидетельство.

Юридическим фактом, служащим основанием для замены утраченного свидетельства, является заявление резидента о замене свидетельства.

Сотрудник территориального органа РосОЭЗ, ответственный за прием, в день получения заявления о замене свидетельства:

проверяет оформление заявления о замене свидетельства (наличие в нем исправлений, серьезных повреждений, не позволяющих однозначно истолковать содержание):

если оформление неправильно, отказывает в предоставлении услуги с указанием причины в письменном виде (приложение N 16 к настоящему Административному регламенту), направляет (вручает) резиденту лично в территориальном органе РосОЭЗ или по почте;

если оформление правильно, регистрирует поступление заявления о замене свидетельства в журнале регистрации.

3.4.5. Выдачу дубликата свидетельства в случае потери резидентом свидетельства о регистрации осуществляет сотрудник территориального органа РосОЭЗ, ответственный за регистрацию.

Сотрудник территориального органа РосОЭЗ в течение трех рабочих дней с даты регистрации заявления о замене свидетельства:

вносит в реестр резидентов особых экономических зон запись об утрате свидетельства о регистрации <*>.

<*> Порядок внесения сведений о резиденте в реестр резидентов особых экономических зон, определяется Приказом Минэкономразвития России от 23 апреля 2007 г. N 132, зарегистрировано в Минюсте России 8 июня 2007 г., рег. N 9625.

готовит новое свидетельство о регистрации по форме <*> и ставит печать "ДУБЛИКАТ" в верхний правый угол на лицевой стороне;

<*> Приказ Минэкономразвития России от 31 марта 2006 г. N 84 "Об утверждении формы свидетельства, удостоверяющего регистрацию лица в качестве резидента особой экономической зоны" (зарегистрировано в Минюсте России 10 апреля 2006 г., рег. N 7672).

вручает (направляет) дубликат свидетельства о регистрации резиденту особой экономической зоны в территориальном органе РосОЭЗ лично либо по почте;

подшивает письмо о замене свидетельства, служащее основанием замены свидетельства дубликатом, в регистрационное дело резидента ОЭЗ.

3.4.6. Контроль за осуществлением процедур замены свидетельства проводится в форме регулярного мониторинга соблюдения и исполнения сотрудником территориального органа РосОЭЗ, ответственным за контроль, положений настоящего Административного регламента, утвержденных планов работ, иных методических и нормативных правовых документов, определяющих порядок выполнения процедуры. По результатам проверок сотрудник РосОЭЗ дает указания по устранению выявленных нарушений и контролирует их исполнение.

3.4.7. Результатом выполнения процедур является выдача нового свидетельства о регистрации или выдача дубликата свидетельства о регистрации лично либо по почте резидентам особых экономических зон.

3.4.8. Блок-схема процедур замены свидетельства представлена в приложении N 19 к настоящему Административному регламенту.

3.5. Описание последовательности действий при осуществлении процедур утраты юридическим лицом статуса резидента промышленно-производственной зоны

3.5.1. Юридическим фактом, служащим основанием для начала процедур расторжения соглашения о ведении промышленно-производственной деятельности, является письмо резидента с предложением расторжения соглашения о ведении промышленно-производственной деятельности, представленное им в территориальный орган РосОЭЗ лично или по почте, либо уведомление о намерении расторжения соглашения о ведении промышленно-производственной деятельности, направленное территориальным органом РосОЭЗ резиденту почтой.

Подготовка и заключение соглашения о расторжении соглашения (по соглашению сторон) осуществляется сотрудниками РосОЭЗ, ответственными за заключение, сотрудниками РосОЭЗ, ответственными за согласование, сотрудниками территориального органа РосОЭЗ, ответственными за подготовку.

Расторжение соглашения о ведении промышленно-производственной деятельности по соглашению сторон производится в следующем порядке:

В случае расторжения соглашения о ведении промышленно-производственной деятельности по предложению резидента после представления им в территориальный орган РосОЭЗ письма с предложением расторжения соглашения о ведении промышленно-производственной деятельности в течение 10 рабочих дней:

Сотрудник территориального органа РосОЭЗ, ответственный за подготовку:

проверяет оформление письма резидента с предложением расторжения соглашения (наличие в них исправлений, серьезных повреждений, не позволяющих однозначно истолковать содержание);

если оформление неправильно, отказывает в предоставлении услуги с указанием причины (приложение N 16 к настоящему Административному регламенту) резиденту лично в территориальном органе РосОЭЗ или по почте;

если оформление правильно, регистрирует поступление письма резидента с предложением расторжения соглашения в журнале регистрации, направляет в установленном порядке на рассмотрение в РосОЭЗ копию письма резидента с предложением расторжения соглашения о ведении промышленно-производственной деятельности.

Сотрудник РосОЭЗ, ответственный за согласование, принимает решение о согласии либо об отказе расторгнуть соглашение о ведении промышленно-производственной деятельности с указанием причин отказа, которое направляет в территориальный орган РосОЭЗ.

Сотрудник территориального органа РосОЭЗ, ответственный за подготовку, направляет в установленном порядке резиденту уведомление в письменной форме о расторжении или об отказе в расторжении соглашения о ведении промышленно-производственной деятельности.

В случае принятия решения о расторжении соглашения сотрудник территориального органа РосОЭЗ, ответственный за подготовку, в установленном порядке готовит соглашение о расторжении соглашения о ведении промышленно-производственной деятельности и направляет его на согласование в РосОЭЗ.

Сотрудники РосОЭЗ, ответственные за согласование, согласовывают соглашение о расторжении (при отсутствии возражений) и направляют в территориальный орган РосОЭЗ.

Сотрудник территориального органа, ответственный за подготовку, организует подписание соглашения о расторжении с соответствующим резидентом.

Сотрудник территориального органа РосОЭЗ, ответственный за подготовку, направляет в установленном порядке соглашение о расторжении соглашения о ведении промышленно-производственной деятельности, согласованное сторонами и подписанное резидентом, намеревающимся расторгнуть соглашение, в РосОЭЗ на подписание.

Сотрудник РосОЭЗ, ответственный за заключение, заключает согласованное соглашение о расторжении соглашения о ведении промышленно-производственной деятельности и направляет его в территориальный орган РосОЭЗ.

Сотрудник территориального органа РосОЭЗ делает копию и вручает (направляет) резиденту в территориальном органе РосОЭЗ или по почте (в случае неявки за ним резидента в течение 3 рабочих дней со дня заключения соглашения о расторжении).

В случае отказа РосОЭЗ расторгнуть соглашение о ведении промышленно-производственной деятельности резидент вправе обратиться в суд с заявлением о расторжении указанного соглашения.

В случае расторжения соглашения о ведении промышленно-производственной деятельности по предложению РосОЭЗ после направления РосОЭЗ в территориальный орган РосОЭЗ указаний о подготовке уведомления резидента о намерении расторжения соглашения о ведении промышленно-производственной деятельности в течение 10 дней:

Сотрудник территориального органа РосОЭЗ, ответственный за подготовку, готовит и направляет в установленном порядке резиденту уведомление о намерении расторжения соглашения о ведении промышленно-производственной деятельности.

Резидент направляет в территориальный орган РосОЭЗ письмо о согласии либо об отказе расторгнуть соглашение о ведении промышленно-производственной деятельности, с указанием причин отказа.

Сотрудник территориального органа РосОЭЗ, ответственный за подготовку:

проверяет оформление письма резидента о согласии либо об отказе расторгнуть соглашение (наличие в них исправлений, серьезных повреждений, не позволяющих однозначно истолковать содержание);

если оформление неправильно, отказывает в предоставлении услуги с указанием причины (приложение N 16 к настоящему Административному регламенту) резиденту лично в территориальном органе РосОЭЗ или по почте;

если оформление правильно, регистрирует поступление письма о согласии либо об отказе расторгнуть соглашение в журнале регистрации.

В случае решения резидента о согласии расторгнуть соглашение о ведении промышленно-производственной деятельности сотрудник территориального органа РосОЭЗ, ответственный за подготовку, готовит соглашение о расторжении соглашения о ведении промышленно-производственной деятельности и направляет его в РосОЭЗ на согласование.

Сотрудники РосОЭЗ, ответственные за согласование, согласовывают его положения (при отсутствии возражений) и направляют в территориальный орган РосОЭЗ.

Сотрудник территориального органа РосОЭЗ, ответственный за подготовку, организует подписание соглашения о расторжении соответствующим резидентом;

направляет в установленном порядке соглашение о расторжении соглашения о ведении промышленно-производственной деятельности, согласованное сторонами и подписанное резидентом, в РосОЭЗ на подписание.

Сотрудник РосОЭЗ, ответственный за заключение, подписывает согласованное сторонами и подписанное резидентом соглашение о расторжении соглашения о ведении промышленно-производственной деятельности и направляет в территориальный орган РосОЭЗ.

Сотрудник территориального органа РосОЭЗ, ответственный за подготовку, делает копию и вручает (направляет) резиденту в территориальном органе РосОЭЗ или по почте (в случае неявки за ним резидента в течение 3 рабочих дней со дня заключения соглашения о расторжении).

В случае отказа резидента расторгнуть соглашение о ведении промышленно-производственной деятельности РосОЭЗ вправе обратиться в суд с заявлением о расторжении указанного соглашения.

3.5.2. Регистрация факта утраты юридическим лицом статуса резидента промышленно-производственной особой экономической зоны осуществляется должностным лицом территориального органа РосОЭЗ (далее - сотрудник территориального органа РосОЭЗ, ответственный за регистрацию), в обязанности которого в соответствии с его должностным регламентом включены соответствующие функции.

Юридическим фактом, служащим основанием для начала осуществления процедуры регистрации факта утраты юридическим лицом статуса резидента особой экономической зоны, является прекращение действия соглашения о ведении промышленно-производственной деятельности в случае:

окончания срока, на который было заключено соглашение о ведении промышленно-производственной деятельности;

расторжения соглашения о ведении промышленно-производственной деятельности;

прекращения предусмотренного соглашением о ведении промышленно-производственной деятельности договора аренды земельного участка, за исключением случаев, когда договор аренды расторгается в связи с выкупом земельного участка;

лишения лица статуса резидента особой экономической зоны;

досрочного прекращения существования особой экономической зоны.

Сотрудник территориального орган РосОЭЗ, ответственный за регистрацию, вносит в реестр резидентов особой экономической зоны запись об утрате лицом статуса резидента особой экономической зоны <*>:

<*> Порядок внесения сведений о резиденте в реестр резидентов особых экономических зон, определяется Приказом Минэкономразвития России от 23 апреля 2007 г. N 132, зарегистрировано в Минюсте России 8 июня 2007 г., рег. N 9625.

в течение 3 рабочих дней с даты прекращения действия соглашения о ведении промышленно-производственной деятельности;

в течение 3 рабочих дней с даты расторжения соглашения о ведении промышленно-производственной деятельности (в случае расторжения по соглашению сторон);

в течение 3 рабочих дней с даты вступления в законную силу решения суда о лишении лица статуса резидента особой экономической зоны;

в течение 3 рабочих дней с даты принятия решения Правительства Российской Федерации о досрочном прекращении существования особой экономической зоны.

При внесении в реестр резидентов особых экономических зон сведений об утрате лицом статуса резидента особой экономической зоны все документы, служащие основанием прекращения действия соглашения о ведении промышленно-производственной деятельности, территориальный орган РосОЭЗ подшивает в регистрационное дело резидента особой экономической зоны.

3.5.3. Представление сведений о лишении лица статуса резидента в налоговые и таможенные органы осуществляет сотрудник территориального органа РосОЭЗ, ответственный за регистрацию.

Сотрудник территориального органа РосОЭЗ, ответственный за регистрацию, в течение дня, следующего за днем регистрации:

готовит 2 уведомления о регистрации факта утраты лицом статуса резидента;

направляет уведомления о регистрации и копии соглашения в налоговые и таможенные органы почтовым отправлением.

3.5.4. Контроль за осуществлением процедур утраты юридическим лицом статуса резидента промышленно-производственной зоны осуществляется должностным лицом РосОЭЗ, в обязанности которого в соответствии с его должностным регламентом входит выполнение соответствующих функций (далее - сотрудник РосОЭЗ, ответственный за контроль), в форме регулярного мониторинга соблюдения и исполнения сотрудниками РосОЭЗ и территориального органа РосОЭЗ, ответственными за осуществление процедур, положений настоящего Административного регламента, утвержденных планов работ, иных методических и нормативных правовых документов, определяющих порядок выполнения процедуры. По результатам проверок сотрудник РосОЭЗ, ответственный за контроль, дает указания по устранению выявленных нарушений и контролирует их исполнение.

3.5.5. Результатами выполнения процедур утраты юридическим лицом статуса резидента промышленно-производственной зоны являются:

подписанное соглашение о расторжении;

запись в реестре резидентов особых экономических зон о регистрации факта утраты лицом статуса резидента.

3.5.6. Блок-схема осуществления процедур утраты юридическим лицом статуса резидента промышленно-производственной зоны представлена в приложении N 20 к настоящему Административному регламенту.

3.5. Порядок обжалования действия (бездействия) и решений, осуществляемых (принятых) в ходе предоставления государственной услуги

В электронном документе нумерация пунктов соответствует официальному источнику.

3.5.1. Резиденты или заинтересованные лица (далее - заявители) могут обратиться с жалобой на действия (бездействие) и решения, осуществляемые (принятые) в ходе предоставления государственной услуги (далее - обращение), устно или письменно в территориальный орган РосОЭЗ. Если заявители не удовлетворены решением, принятым в ходе рассмотрения обращения, или решение не было принято, то заявители вправе обратиться письменно почтовым отправлением в РосОЭЗ.

Если заявители не удовлетворены решением, принятым в ходе рассмотрения обращения, или решение не было принято в РосОЭЗ, то заявители вправе обратиться в Минэкономразвития России.

3.5.2. Обращение заявителя считается разрешенным, если рассмотрены все поставленные в них вопросы, приняты необходимые меры и даны письменные ответы по существу всех поставленных в обращении вопросов.

3.5.3. Обращение, содержащее вопросы, решение которых не входит в компетенцию РосОЭЗ или должностного лица, направляется в течение семи дней со дня регистрации в соответствующий орган или соответствующему должностному лицу, в компетенцию которых входит решение поставленных в обращении вопросов, с уведомлением лица, направившего обращение, о переадресации обращения.

3.5.4. В случае если обращение содержит вопросы, решение которых не входит в компетенцию РосОЭЗ, заявителю дается ответ, разъясняющий порядок обращения в соответствующие органы государственной власти.

3.5.5. Порядок подачи и рассмотрения обращения в письменной форме:

3.5.5.1. Письменное обращение должно содержать:

фамилию, имя, отчество (при наличии) заявителя либо полное наименование юридического лица (в случае обращения от имени юридического лица);

контактный почтовый адрес;

уведомление о переадресации обращения;

предмет жалобы;

причину несогласия с обжалуемым решением, действием (бездействием);

документы, подтверждающие изложенные обстоятельства;

личную подпись заявителя (либо руководителя юридического лица) и дату.

3.5.5.2. Письменное обращение подлежит обязательной регистрации в течение 3 рабочих дней.

3.5.5.3. Поступившее письменное обращение докладывается руководителю (заместителю руководителя) территориального органа РосОЭЗ или РосОЭЗ. Руководитель (заместитель руководителя) территориального органа РосОЭЗ или РосОЭЗ назначает исполнителя для рассмотрения и подготовки письменного ответа на поступившее письменное обращение.

По результатам рассмотрения обращения принимается решение об удовлетворении требований заявителя и о признании неправомерным обжалованного решения, действия (бездействия) либо об отказе в удовлетворении обращения.

3.5.5.4. Ответ на обращение подготавливается и направляется заявителю в срок до 30 дней со дня регистрации обращения. В исключительных случаях срок рассмотрения обращения может быть продлен, но не более чем на 30 дней, с одновременным информированием заявителя и указанием причин продления.

3.5.5.5. В случае необходимости в целях рассмотрения обращений в РосОЭЗ по распоряжению руководителя создаются комиссии по рассмотрению обращений, утверждаются положения и составы их членов.

3.5.5.6. Комиссия осуществляет объективное, всестороннее и своевременное рассмотрение обращения.

3.5.5.7. Рассмотрение обращения происходит в рамках заседания комиссии, по результатам которого оформляется решение комиссии, направленное на принятие мер по устранению нарушений и восстановление или защиту нарушенных прав, свобод и законных интересов заявителя либо содержащее мотивированный отказ в удовлетворении обращения. Комиссией может быть принято решение о направлении обращения на рассмотрение в вышестоящий орган или иному должностному лицу в соответствии с их компетенцией.

3.5.5.8. Копия решения комиссии, подготовленного по результатам рассмотрения обращения, подписанная руководителем РосОЭЗ либо уполномоченным на то лицом, направляется в течение 5 рабочих дней лицу, которое с ним обратилось.

3.5.5.9. В рассмотрении обращения заявителю отказывается в следующих случаях:

в случае отсутствия сведений об обжалуемом решении, действии, бездействии (в чем выразилось, кем принято), о заявителе (фамилия, имя, отчество физического лица, подпись, наименование юридического лица, контактный почтовый адрес);

в случае если лицом представлено дубликатное обращение (второй и последующие экземпляры обращения, повторяющие текст предыдущего обращения, на которое дан ответ); при этом заявителю направляются уведомления о ранее данных ответах или копии этих ответов.

3.5.6. Порядок подачи и рассмотрения устного личного обращения.

3.5.6.1. Личный прием заявителей осуществляется в приемные дни руководителем территориального органа РосОЭЗ или уполномоченными на то лицами. Информация о месте приема, а также об установленных для приема днях и часах доводится до сведения граждан по телефонным номерам, указанным в приложении N 1 к настоящему Административному регламенту.

3.5.6.2. Содержание устного обращения заносится в карточку личного приема заявителя. В случае если изложенные в устном обращении факты и обстоятельства являются очевидными и не требуют дополнительной проверки, ответ на обращение с согласия заявителя может быть дан устно в ходе личного приема, о чем делается запись в карточке личного приема заявителя. В остальных случаях дается письменный ответ по существу поставленных в обращении вопросов.

3.5.6.3. В случае если во время приема заявителя решение поставленных вопросов невозможно, принимается письменное обращение, которое после регистрации подлежит рассмотрению в порядке, определяемом в пункте 3.5.5 настоящего Административного регламента.

3.5.7. При повторном обращении дополнительное рассмотрение разрешенных обращений заявителей проводится в случае выявления новых обстоятельств или изменения нормативного правового регулирования в сфере, касающейся решения вопроса, вызывающего указанные обращения.

3.5.8. Получатель государственной услуги вправе обжаловать решения, принятые в ходе предоставления государственной услуги, действия или бездействие должностных лиц, участвующих в предоставлении государственной услуги, в судебном порядке.

Приложение N 1
к Административному регламенту
Федерального агентства по управлению
особыми экономическими зонами
по предоставлению государственной
услуги "Принятие решения о заключении
или отказе в заключении соглашения
о ведении промышленно-производственной
деятельности, а также об изменении
условий соглашения. Подготовка
и заключение соглашения о ведении
промышленно-производственной
деятельности на территории особых
экономических зон. Осуществление
регистрации юридических лиц
в качестве резидентов
промышленно-производственных
особых экономических зон"

СПРАВОЧНИК РОСОЭЗ, В КОТОРОМ МОЖНО ПОЛУЧИТЬ СВЕДЕНИЯ О ПРЕДОСТАВЛЕНИИ ГОСУДАРСТВЕННОЙ УСЛУГИ "ОСУЩЕСТВЛЕНИЕ РЕГИСТРАЦИИ ЮРИДИЧЕСКИХ ЛИЦ В КАЧЕСТВЕ РЕЗИДЕНТОВ ПРОМЫШЛЕННО-ПРОИЗВОДСТВЕННЫХ ОСОБЫХ ЭКОНОМИЧЕСКИХ ЗОН"

N Наименование органа Место нахождения Почтовый адрес Номера телефонов для справок Адреса электронной почты для справок
1. Федеральное агентство по управлению особыми экономическими зонами г. Москва, Овчинниковская наб., д. 18/1 115324, г. Москва, Овчинниковская наб., д. 18/1 тел.: (495) 985-31-94;
факс: (495) 985-31-75
rosoez@economy.gov.ru
2. Территориальное управление по Липецкой области г. Липецк, ул. Скороходова, д. 2 398019, г. Липецк, ул. Скороходова, д. 2 тел.: 8(4742) 771904;
факс: 8(4742) 771535
lvv@admlr.lipetsk.ru
3. Территориальное управление по Республике Татарстан г. Елабуга, Промышленная зона Промышленная площадка улица 14 а/я 161/1, г. Елабуга, 423602 тел: 8(85557) 5-50-54,
5-50-45, 5-50-69;
факс: 8(85557) 5-52-11
investrussia@inbox.ru,
alabuga1@inbox.ru

Приложение N 2
к Административному регламенту
Федерального агентства по управлению
особыми экономическими зонами
по предоставлению государственной
услуги "Принятие решения о заключении
или отказе в заключении соглашения
о ведении промышленно-производственной
деятельности, а также об изменении
условий соглашения. Подготовка
и заключение соглашения о ведении
промышленно-производственной
деятельности на территории особых
экономических зон. Осуществление
регистрации юридических лиц
в качестве резидентов
промышленно-производственных
особых экономических зон"

ОБРАЗЕЦ ЗАЯВКИ
НА ЗАКЛЮЧЕНИЕ СОГЛАШЕНИЯ О ВЕДЕНИИ
ПРОМЫШЛЕННО-ПРОИЗВОДСТВЕННОЙ ДЕЯТЕЛЬНОСТИ
 
                                 Территориальное управление РосОЭЗ
                                 по ______________________________
 
                              ЗАЯВКА
                на заключение соглашения о ведении
            промышленно-производственной деятельности
 
    Прошу    Федеральное    агентство    по   управлению   особыми
экономическими             зонами             заключить          с
__________________________________________________________________
       (сокращенное наименование коммерческой организации)
соглашение  о ведении промышленно-производственной деятельности на
территории
__________________________________________________________________
         (указать наименование особой экономической зоны)
_________________________________________________
  (наименование субъекта Российской Федерации)
 
    1. Сведения о заявителе
__________________________________________________________________
    (полное и сокращенное наименование заявителя, юридический
  и фактический адрес, Ф.И.О. руководителя, полное и сокращенное
              наименование проекта и иные реквизиты)
__________________________________________________________________
__________________________________________________________________
 
    2. Сведения о предполагаемой деятельности заявителя
__________________________________________________________________
       (сокращенное наименование коммерческой организации)
планирует   развивать   следующие   направления   деятельности  на
территории особой экономической зоны:
    2.1. _________________________________________________________
    2.2. _________________________________________________________
 
    3.  Сведения  о  площади  земельного участка, необходимого для
предполагаемой деятельности заявителя:
    3.1. Земельный участок:
    3.2.  Потребности  в инженерной инфраструктуре (электроэнергия
(МВт),  водоснабжение (м3/сут.), канализирование стоков (м3/сут.),
отопление  (Гкал/час), горячее водоснабжение (Гкал/час), природный
газ (м3/час), нейтрализации химических стоков (м3/час) и т.д.):
    3.3.  Необходимость  объектов  транспортной  инфраструктуры  в
непосредственной близости от земельного участка:
    3.4. Другие потребности.
 
    4. Сведения о предполагаемых объемах капитальных вложений:
    4.1.  Объем   капитальных  вложений  в  течение  года  со  дня
заключения соглашения;
    4.2. Объем и сроки последующих капитальных вложений.
 
Приложения:
    1. Копия свидетельства о государственной регистрации  на __ л.
       в __ экз.
    2. Копия свидетельства о постановке на учет в налоговом органе
       на __ л. в __ экз.
    3. Копия учредительных документов на __ л. в __ экз.
    4. Бизнес-план на __ л. в __ экз.
    5. Заключение   на  представленный бизнес-план, подготовленное
       банком или иной кредитной организацией, на __ л. в __ экз.
 
Руководитель коммерческой
организации
___________________              ______________ И.О. Фамилия
 
М.П.
 
 
 

Приложение N 3
к Административному регламенту
Федерального агентства по управлению
особыми экономическими зонами
по предоставлению государственной
услуги "Принятие решения о заключении
или отказе в заключении соглашения
о ведении промышленно-производственной
деятельности, а также об изменении
условий соглашения. Подготовка
и заключение соглашения о ведении
промышленно-производственной
деятельности на территории особых
экономических зон. Осуществление
регистрации юридических лиц
в качестве резидентов
промышленно-производственных
особых экономических зон"

ОБРАЗЕЦ
ОПИСИ ДОКУМЕНТОВ, ПРЕДСТАВЛЕННЫХ НА РАССМОТРЕНИЕ
ДЛЯ ЗАКЛЮЧЕНИЯ (ИЗМЕНЕНИЯ) СОГЛАШЕНИЯ О ВЕДЕНИИ
ПРОМЫШЛЕННО-ПРОИЗВОДСТВЕННОЙ ДЕЯТЕЛЬНОСТИ
 
                    Территориальное управление
               Федерального агентства по управлению
                  особыми экономическими зонами
по _______________________________________________________________
 
                        ОПИСЬ ДОКУМЕНТОВ,
    представленных на рассмотрение для заключения (изменения)
  соглашения о ведении промышленно-производственной деятельности
                на территории ____________________
 
    В  соответствии  с порядком, установленным Федеральным законом
от  22  июля  2005  г.  N  116-ФЗ "Об особых экономических зонах в
Российской Федерации", от ________________________________________
                              (сокращенное наименование лица,
                              намеревающегося получить статус
                                       резидента ОЭЗ)
в лице ___________________________________________________________
                      (Ф.И.О. уполномоченного лица)
были приняты следующие документы:
 
 N 
п/п
                 Наименование 
Кол-во листов 
1 
Заявка 
 
2 
Копия свидетельства о государственной 
регистрации
 
3 
Копия свидетельства о постановке на учет в 
налоговом органе
 
4 
Копия учредительных документов 
(для юридических лиц):
копия Устава ____________________________
и т.д.
 
5 
Бизнес-план проекта "___________________" 
 
6 
Заключение на представленный бизнес-план, 
подготовленное банком или иной кредитной
организацией
 
 
 
 
 
 
 
 
Должность ответственного лица                         И.О. Фамилия
 
Дата приема документов:                        "__" ______________
 
 
 

Приложение N 4
к Административному регламенту
Федерального агентства по управлению
особыми экономическими зонами
по предоставлению государственной
услуги "Принятие решения о заключении
или отказе в заключении соглашения
о ведении промышленно-производственной
деятельности, а также об изменении
условий соглашения. Подготовка
и заключение соглашения о ведении
промышленно-производственной
деятельности на территории особых
экономических зон. Осуществление
регистрации юридических лиц
в качестве резидентов
промышленно-производственных
особых экономических зон"

ОБРАЗЕЦ
СОПРОВОДИТЕЛЬНОГО ПИСЬМА К ЗАЯВКЕ ЛИЦА, НАМЕРЕВАЮЩЕГОСЯ
ПОЛУЧИТЬ СТАТУС РЕЗИДЕНТА ОСОБОЙ ЭКОНОМИЧЕСКОЙ ЗОНЫ
 
                                   Федеральное агентство
                                   по управлению особыми
                                   экономическими зонами
 
                                   Ответственному секретарю
                                   Консультационного совета
                                   по промышленно-производственным
                                   особым экономическим зонам
 
                                   _____________________
                                          Ф.И.О.
 
О   направлении   заявки  лица,
намеревающегося получить статус
резидента ОЭЗ
 
              Уважаемый ___________________________!
                                   И.О.
 
    Во  исполнение  Приказа  Минэкономразвития  России  от 26 июня
2006 г.  N  161  "О  создании  Консультационного  совета по особым
экономическим  зонам промышленно-производственного типа" направляю
Вам  на рассмотрение Консультационного совета заявку на заключение
соглашения  о  ведении промышленно-производственной деятельности с
приложениями (далее - Заявка), в том  числе:  бизнес-план  проекта
_________________________________________________________________,
             (сокращенное наименование бизнес-плана)
заключение  на  представленный бизнес-план, подготовленное банком,
иной кредитной организацией
_________________________________________________________________,
      (сокращенное наименование банка/кредитной организации)
    поданную
__________________________________________________________________
     (сокращенное наименование лица, намеревающегося получить
                      статус резидента ОЭЗ)
    (далее - Заявитель).
    Территориальное управление РосОЭЗ по _________________________
подтверждает   наличие   на  территории  особой экономической зоны
земельного  участка,  отвечающего условиям Заявки и не переданного
во владение и (или) в пользование третьим лицам.
    Заявка  с  приложениями  соответствует документам, указанным в
частях 1 и 2 статьи 13 Закона.
    Предполагаемая   деятельность  Заявителя  соответствует  видам
деятельности, осуществление которых разрешено на территории особой
экономической зоны.
    Приложение:   Заявка   с   приложениями  (оригинал)  на ___ л.
в ___ экз.
 
Руководитель (заместитель руководителя)
территориального органа
РосОЭЗ по _____________                               И.О. Фамилия
 
 
 

Приложение N 5
к Административному регламенту
Федерального агентства по управлению
особыми экономическими зонами
по предоставлению государственной
услуги "Принятие решения о заключении
или отказе в заключении соглашения
о ведении промышленно-производственной
деятельности, а также об изменении
условий соглашения. Подготовка
и заключение соглашения о ведении
промышленно-производственной
деятельности на территории особых
экономических зон. Осуществление
регистрации юридических лиц
в качестве резидентов
промышленно-производственных
особых экономических зон"

ОБРАЗЕЦ
ПИСЬМА О ПРИНЯТИИ РЕШЕНИЯ
О ЗАКЛЮЧЕНИИ (ИЗМЕНЕНИИ) ИЛИ ОБ ОТКАЗЕ В ЗАКЛЮЧЕНИИ
(ИЗМЕНЕНИИ, РАСТОРЖЕНИИ) СОГЛАШЕНИЯ О ВЕДЕНИИ
ПРОМЫШЛЕННО-ПРОИЗВОДСТВЕННОЙ ДЕЯТЕЛЬНОСТИ
 
                              Письмо
 
________________                                N ________________
    (дата)
 
                        О принятии решения
         о заключении (изменении, расторжении) соглашения
       о ведении промышленно-производственной деятельности
 
    В  соответствии  с порядком, установленным Федеральным законом
от  22  июля  2005  г.  N  116-ФЗ "Об особых экономических зонах в
Российской  Федерации",  принимаю решение о заключении (изменении,
расторжении)  соглашения  о  ведении  промышленно-производственной
деятельности с заинтересованным лицом (резидентом)
__________________________________________________________________
     (сокращенное наименование лица, намеревающегося получить
                статус резидента ОЭЗ (резидента))
    Территориальному органу РосОЭЗ по ____________________________
подготовить к подписанию и согласовать соглашение  (дополнительное
соглашение, соглашение о расторжении соглашения) и представить  на
подпись в установленные сроки.
 
Должность ответственного лица                         И.О. Фамилия
 
 
 
                              Письмо
 
________________                                N ________________
    (дата)
 
                        О принятии решения
                об отказе в заключении (изменении,
                расторжении) соглашения о ведении
            промышленно-производственной деятельности
 
    В  соответствии  с порядком, установленным Федеральным законом
от  22  июля  2005  г.  N  116-ФЗ "Об особых экономических зонах в
Российской  Федерации",  принимаю  решение  об отказе в заключении
(изменении,       расторжении)      соглашения      о      ведении
промышленно-производственной деятельности с заинтересованным лицом
(резидентом)
__________________________________________________________________
 (сокращенное наименование лица, намеревающегося получить статус
                    резидента ОЭЗ (резидента))
по причине _______________________________________________________
 
Должность ответственного лица                         И.О. Фамилия
 
 
 

Приложение N 6
к Административному регламенту
Федерального агентства по управлению
особыми экономическими зонами
по предоставлению государственной
услуги "Принятие решения о заключении
или отказе в заключении соглашения
о ведении промышленно-производственной
деятельности, а также об изменении
условий соглашения. Подготовка
и заключение соглашения о ведении
промышленно-производственной
деятельности на территории особых
экономических зон. Осуществление
регистрации юридических лиц
в качестве резидентов
промышленно-производственных
особых экономических зон"

ОБРАЗЕЦ ПИСЬМА
О РЕШЕНИИ ЗАКЛЮЧЕНИЯ (ИЗМЕНЕНИЯ)/
ОБ ОТКАЗЕ В ЗАКЛЮЧЕНИИ (ИЗМЕНЕНИИ) СОГЛАШЕНИЯ
О ВЕДЕНИИ ПРОМЫШЛЕННО-ПРОИЗВОДСТВЕННОЙ
ДЕЯТЕЛЬНОСТИ НА ТЕРРИТОРИИ ОЭЗ
 
                              ПИСЬМО
 
   О решении заключения (изменения) или об отказе в заключении
  (изменении) соглашения о ведении промышленно-производственной
                  деятельности на территории ОЭЗ
 
________________                                N ________________
    (дата)
 
    Настоящим  письмом  уведомляем о том, что соглашение о ведении
промышленно-производственной  деятельности  на  территории  ОЭЗ  с
__________________________________________________________________
        (полное наименование юридического лица с указанием
                  организационно-правовой формы)
    В срок  с ___________ может быть заключено (изменено)/не может
быть заключено (изменено)
    Причины отказа:
 
    Письмо составлено ____________________________________________
__________________________________________________________________
           (полное наименование регистрирующего органа)
 
Должность ответственного лица                         И.О. Фамилия
 
 
 

Приложение N 7
к Административному регламенту
Федерального агентства по управлению
особыми экономическими зонами
по предоставлению государственной
услуги "Принятие решения о заключении
или отказе в заключении соглашения
о ведении промышленно-производственной
деятельности, а также об изменении
условий соглашения. Подготовка
и заключение соглашения о ведении
промышленно-производственной
деятельности на территории особых
экономических зон. Осуществление
регистрации юридических лиц
в качестве резидентов
промышленно-производственных
особых экономических зон"

                    Территориальное управление
                      Федерального агентства
           по управлению особыми экономическими зонами
             по _____________________________________
 
                           УВЕДОМЛЕНИЕ
             о регистрации лица в качестве резидента
                    особой экономической зоны
 
                                  "__" _____________ 200_ г.
 
    Территориальное    управление    Федерального   агентства   по
управлению особой экономической зоной по _________________________
уведомляет о регистрации
__________________________________________________________________
         (полное наименование организации, ИНН/КПП, ЕГРН,
                        юридический адрес)
в  качестве  резидента  особой  экономической  зоны и о выдаче ему
Свидетельства,   удостоверяющего   регистрацию   лица  в  качестве
резидента  особой  экономической  зоны,
Серия ____ Номер ____ Регистрационный номер ____ Дата выдачи _____
Приложение: Копия соглашения о ведении
__________________________________________________________________
           (тип деятельности особой экономической зоны)
деятельности    на  территории   особой   экономической   зоны  по
_________________________________________________________________.
 
Руководитель (заместитель руководителя)
территориального управления
РосОЭЗ по ____________________
 
Исполнитель: _____________                            И.О. Фамилия
 
Телефон: ________________
 
     Уведомление о представлении документов по форме получил:
__________________________________________________________________
      (Ф.И.О. руководителя организации, полное наименование
                           организации)
 
 
 

Приложение N 8
к Административному регламенту
Федерального агентства по управлению
особыми экономическими зонами
по предоставлению государственной
услуги "Принятие решения о заключении
или отказе в заключении соглашения
о ведении промышленно-производственной
деятельности, а также об изменении
условий соглашения. Подготовка
и заключение соглашения о ведении
промышленно-производственной
деятельности на территории особых
экономических зон. Осуществление
регистрации юридических лиц
в качестве резидентов
промышленно-производственных
особых экономических зон"

ОБРАЗЕЦ
СОПРОВОДИТЕЛЬНОГО ПИСЬМА ОБ ИЗМЕНЕНИИ СОГЛАШЕНИЯ
 
                                       Территориальное управление
                                       Федерального агентства
                                       по управлению особыми
                                       экономическими зонами
                                       по _______________________
 
Об изменении условий
соглашения о ведении
промышленно-производственной
деятельности
 
    В  соответствии  со  статьи  28 Федерального закона от 22 июля
2005  г.  N  116-ФЗ  "Об особых  экономических  зонах в Российской
Федерации"  (далее  -  Закон)  прошу изменить условия соглашения о
ведении        промышленно-производственной      деятельности   от
"__" _______ 20__ г.,    заключенное    между      РосОЭЗ        и
_________________________________________________________________.
(полное наименование юридического лица, номер и дата регистрации)
Бизнес-план по утвержденной форме и  положительное  заключение  на
него прилагаю.
    Приложение: на __ л. в __ экз.
 
Должность ответственного лица                         Фамилия И.О.
                                                 М.П.
 
 
 

Приложение N 9
к Административному регламенту
Федерального агентства по управлению
особыми экономическими зонами
по предоставлению государственной
услуги "Принятие решения о заключении
или отказе в заключении соглашения
о ведении промышленно-производственной
деятельности, а также об изменении
условий соглашения. Подготовка
и заключение соглашения о ведении
промышленно-производственной
деятельности на территории особых
экономических зон. Осуществление
регистрации юридических лиц
в качестве резидентов
промышленно-производственных
особых экономических зон"

ОБРАЗЕЦ
ЗАЯВЛЕНИЯ РЕЗИДЕНТА ОЭЗ О ЗАМЕНЕ СВИДЕТЕЛЬСТВА
 
                 Заявление о замене свидетельства
 
                                        Территориальное управление
                                        Федерального агентства
                                        по управлению особыми
                                        экономическими зонами
                                        по _______________________
 
О выдаче нового свидетельства
 
    В  связи с изменениями сведений, содержащихся в свидетельстве,
удостоверяющем                                         регистрацию
__________________________________________________________________
             (полное наименование юридического лица,
                    номер и дата регистрации)
 
О выдаче дубликата свидетельства
 
   В  связи  с утратой  оригинала  свидетельства,  удостоверяющего
регистрацию
__________________________________________________________________
             (полное наименование юридического лица,
                    номер и дата регистрации)
в  качестве  резидента  особой  экономической  зоны, прошу  выдать
дубликат свидетельства.
 
Должность ответственного лица                         Фамилия И.О.
 
                                        М.П.
 
 
 

Приложение N 10
к Административному регламенту
Федерального агентства по управлению
особыми экономическими зонами
по предоставлению государственной
услуги "Принятие решения о заключении
или отказе в заключении соглашения
о ведении промышленно-производственной
деятельности, а также об изменении
условий соглашения. Подготовка
и заключение соглашения о ведении
промышленно-производственной
деятельности на территории особых
экономических зон. Осуществление
регистрации юридических лиц
в качестве резидентов
промышленно-производственных
особых экономических зон"

ОБРАЗЕЦ ПИСЬМА
О ПРЕДЛОЖЕНИИ РАСТОРЖЕНИЯ СОГЛАШЕНИЯ О ВЕДЕНИИ
ПРОМЫШЛЕННО-ПРОИЗВОДСТВЕННОЙ ДЕЯТЕЛЬНОСТИ
 
                                        Территориальное управление
                                        РосОЭЗ по ________________
 
                              ПИСЬМО
          о предложении расторжения соглашения о ведении
            промышленно-производственной деятельности
 
_______________                                 N ________________
    (дата)
 
    Настоящим   письмом     уведомляем   о  том,    что   резидент
__________________________________________________________________
        (полное наименование юридического лица с указанием
             организационно-правовой формы или Ф.И.О.
                 индивидуального предпринимателя)
предлагает  расторгнуть  соглашение о промышленно-производственной
деятельности по причине __________________________________________
__________________________________________________________________
__________________________________________________________________
__________________________________________________________________
 
Должность уполномоченного резидентом лица             Фамилия И.О.
 
                               М.П.
 
 
 

Приложение N 11
к Административному регламенту
Федерального агентства по управлению
особыми экономическими зонами
по предоставлению государственной
услуги "Принятие решения о заключении
или отказе в заключении соглашения
о ведении промышленно-производственной
деятельности, а также об изменении
условий соглашения. Подготовка
и заключение соглашения о ведении
промышленно-производственной
деятельности на территории особых
экономических зон. Осуществление
регистрации юридических лиц
в качестве резидентов
промышленно-производственных
особых экономических зон"

ОБРАЗЕЦ
УВЕДОМЛЕНИЯ О НАМЕРЕНИИ РАСТОРЖЕНИЯ СОГЛАШЕНИЯ
О ВЕДЕНИИ ПРОМЫШЛЕННО-ПРОИЗВОДСТВЕННОЙ ДЕЯТЕЛЬНОСТИ
 
                           УВЕДОМЛЕНИЕ
           о намерении расторжения соглашения о ведении
            промышленно-производственной деятельности
 
                                            "__" _________ 200_ г.
 
    Территориальное    управление    Федерального    агентства  по
управлению        особой        экономической       зоной       по
_______________________________________________________ уведомляет
__________________________________________________________________
         (полное наименование организации, ИНН/КПП, ЕГРН,
__________________________________________________________________
                        юридический адрес)
__________________________________________________________________
 
о   намерении   расторжения   с    Вами   соглашения   о   ведении
промышленно-производственной  деятельности  на  территории  особой
экономической зоны ______________________.
    Причина
__________________________________________________________________
__________________________________________________________________
 
Руководитель (заместитель руководителя)
территориального управления
РосОЭЗ по ________________                            И.О. Фамилия
 
    Уведомление о представлении документов по форме получил:
__________________________________________   "__" ________ 200_ г.
    (Ф.И.О. руководителя организации,          (дата получения)
     полное наименование организации
     (Ф.И.О. физического лица) либо
     Ф.И.О. ее (его) представителя)
 
Исполнитель: ___________
Телефон: _______________
 
 
 

Приложение N 12
к Административному регламенту
Федерального агентства по управлению
особыми экономическими зонами
по предоставлению государственной
услуги "Принятие решения о заключении
или отказе в заключении соглашения
о ведении промышленно-производственной
деятельности, а также об изменении
условий соглашения. Подготовка
и заключение соглашения о ведении
промышленно-производственной
деятельности на территории особых
экономических зон. Осуществление
регистрации юридических лиц
в качестве резидентов
промышленно-производственных
особых экономических зон"

                    Территориальное управление
               Федерального агентства по управлению
                  особыми экономическими зонами
                 по _____________________________
 
                           УВЕДОМЛЕНИЕ
    о лишении лица статуса резидента особой экономической зоны
 
                                 "__" _______________ 200_ г.
 
    Территориальное    управление    Федерального   агентства   по
управлению особой экономической зоной по _________________________
уведомляет о лишении лица ________________________________________
                             (полное наименование организации,
__________________________________________________________________
                 ИНН/КПП, ЕГРН, юридический адрес)
статуса резидента особой экономической зоны на основании _________
__________________________________________________________________
  (наименование, номер и дата документа - основания лишения лица
                        статуса резидента)
 
Руководитель (заместитель руководителя)
территориального управления
РосОЭЗ по ________________                     И.О. Фамилия
 
Исполнитель: _______________
Телефон: ________________
 
    Уведомление о представлении документов по форме получил:
_________________________________________     ____________________
   (Ф.И.О. руководителя организации,            (дата получения)
    полное наименование организации
    (Ф.И.О. физического лица) либо
     Ф.И.О. ее (его) представителя)
 
 
 

Приложение N 13
к Административному регламенту
Федерального агентства по управлению
особыми экономическими зонами
по предоставлению государственной
услуги "Принятие решения о заключении
или отказе в заключении соглашения
о ведении промышленно-производственной
деятельности, а также об изменении
условий соглашения. Подготовка
и заключение соглашения о ведении
промышленно-производственной
деятельности на территории особых
экономических зон. Осуществление
регистрации юридических лиц
в качестве резидентов
промышленно-производственных
особых экономических зон"

                             ОБРАЗЕЦ
     Выписки из протокола заседания Консультационного совета
    по промышленно-производственным особым экономическим зонам
                 от "__" ________ 20__ г. N _____
 
Место проведения заседания _______________________________________
                                       (почтовый адрес)
Присутствовали:
Члены Консультационного совета __________________________________;
                                      (фамилия, инициалы)
                               __________________________________.
                                  (фамилия, инициалы, должность
                                    и место работы других лиц)
 
Повестка дня:
__________________________________    ___________________________.
    (тема доклада/выступления)            (фамилия, инициалы)
 
Консультационный   совет  по  промышленно-производственным  особым
экономическим   зонам,   действующий   на  основании  Положения  о
Консультационном  совете  по  промышленно-производственным  особым
экономическим   зонам,  утвержденного  Приказом  Минэкономразвития
России  от  26  июня  2006  г.  N  161,  на своем заседании провел
экспертную      оценку          бизнес-плана               проекта
__________________________________________________________________
                  (полное наименование проекта)
_________________________________________________________________,
представленного __________________________________________________
                  (полное наименование коммерческой организации)
для         заключения         соглашения         о        ведении
промышленно-производственной  деятельности  в особой экономической
зоне     промышленно-производственного    типа    на    территории
______________________________________________________________, на
        (наименование субъекта РФ, области, города)
соответствие критериям, установленным Министерством экономического
развития  и торговли Российской Федерации (Приказ от 23 марта 2006
г. N 75), и условиям заявки (от 2 июня 2006 г.),
    считает, что _________________________________________________
__________________________________________________________________
    (заключение относительно соответствия бизнес-плана проекта
__________________________________________________________________
            установленным критериям и условиям заявки)
__________________________________________________________________
__________________________________________________________________
__________________________________________________________________
 
    Итоговая  оценка представленного бизнес-плана - __ балл(а/ов).
    Исходя из вышеизложенного,  комиссия Консультационного  совета
рекомендует _____________________________________________________.
                (поддержать/отказать в поддержке бизнес-плана)
    Данное решение принято _______________________________________
                             (единогласно/большинством голосов)
_________________________________________________________________.
 
Должность ответственного лица    _________     ____________
                                                  Ф.И.О.
Ответственный секретарь          _________     ____________
                                                  Ф.И.О.
 
 
 

Приложение N 14
к Административному регламенту
Федерального агентства по управлению
особыми экономическими зонами
по предоставлению государственной
услуги "Принятие решения о заключении
или отказе в заключении соглашения
о ведении промышленно-производственной
деятельности, а также об изменении
условий соглашения. Подготовка
и заключение соглашения о ведении
промышленно-производственной
деятельности на территории особых
экономических зон. Осуществление
регистрации юридических лиц
в качестве резидентов
промышленно-производственных
особых экономических зон"

                      Федеральное агентство
           по управлению особыми экономическими зонами
 
                             РЕШЕНИЕ
        о согласии либо об отказе в расторжении соглашения
       о ведении промышленно-производственной деятельности
 
                                             "__" ________ 200_ г.
 
    При рассмотрении письма о предложении расторжения соглашения о
ведении    промышленно-производственной    деятельности,   которое
предоставил "__" ______ 200_ г. резидент особой экономической зоны
_________________________________________________________________,
       (сокращенное наименование коммерческой организации)
с       целью       расторжения      соглашения      о     ведении
промышленно-производственной   деятельности   в   соответствии   с
Федеральным  законом  от  22  июля  2005  г.  N  116-ФЗ "Об особых
экономических зонах в Российской Федерации"
ПРИНЯЛ РЕШЕНИЕ:
согласиться с предложением _______________________________________
                                  (сокращенное наименование
                                  коммерческой организации)
отказать в предложении ___________________________________________
                               (сокращенное наименование
                               коммерческой организации)
по причине ______________________________________________________.
 
Должность ответственного лица                         И.О. Фамилия
 
Исполнитель: _________
Телефон: ___________
 
 
 

Приложение N 15
к Административному регламенту
Федерального агентства по управлению
особыми экономическими зонами
по предоставлению государственной
услуги "Принятие решения о заключении
или отказе в заключении соглашения
о ведении промышленно-производственной
деятельности, а также об изменении
условий соглашения. Подготовка
и заключение соглашения о ведении
промышленно-производственной
деятельности на территории особых
экономических зон. Осуществление
регистрации юридических лиц
в качестве резидентов
промышленно-производственных
особых экономических зон"

ОБРАЗЕЦ ПИСЬМА
О СОГЛАСИИ ЛИБО ОБ ОТКАЗЕ В РАСТОРЖЕНИИ СОГЛАШЕНИЯ
О ВЕДЕНИИ ПРОМЫШЛЕННО-ПРОИЗВОДСТВЕННОЙ ДЕЯТЕЛЬНОСТИ
 
                                        Территориальное управление
                                        РосОЭЗ по ________________
 
                              ПИСЬМО
        о согласии либо об отказе в расторжении соглашения
       о ведении промышленно-производственной деятельности
 
___________                                     N ________________
  (дата)
 
    Настоящим       уведомляем    Вас   о  том,    что    резидент
__________________________________________________________________
        (полное наименование юридического лица с указанием
     организационно-правовой формы или Ф.И.О. индивидуального
                         предпринимателя)
принял решение:
согласиться с намерениями о расторжении __________________________
__________________________________________________________________
отклонить намерения о расторжении ________________________________
по причине _______________________________________________________
__________________________________________________________________
__________________________________________________________________
 
Должность уполномоченного резидентом лица             Фамилия И.О.
 
                                             М.П.
 
 
 

Приложение N 16
к Административному регламенту
Федерального агентства по управлению
особыми экономическими зонами
по предоставлению государственной
услуги "Принятие решения о заключении
или отказе в заключении соглашения
о ведении промышленно-производственной
деятельности, а также об изменении
условий соглашения. Подготовка
и заключение соглашения о ведении
промышленно-производственной
деятельности на территории особых
экономических зон. Осуществление
регистрации юридических лиц
в качестве резидентов
промышленно-производственных
особых экономических зон"

ОБРАЗЕЦ
ПИСЬМА ОБ ОТКАЗЕ В ПРИЕМЕ ДОКУМЕНТОВ
 
                    Территориальное управление
                      Федерального агентства
           по управлению особыми экономическими зонами
             по ____________________________________
 
                              Письмо
                  об отказе в приеме документов
                                           "__" __________ 200_ г.
 
___________________________________________, при приеме документов
        (Ф.И.О. должностного лица,
            принявшего решение)
_____________________________________________, которые предоставил
"__" ___________ 200_ г.
__________________________________________________________________
       (сокращенное наименование коммерческой организации)
с целью __________________________________________________________
УСТАНОВИЛ: _______________________________________________________
__________________________________________________________________
                         (причина отказа)
ПРИНЯЛ РЕШЕНИЕ:
отказать _________________________________________________________
            (сокращенное наименование коммерческой организации)
в приеме документов ______________________________________________
 
    Руководитель (заместитель руководителя)
    территориального управления
    РосОЭЗ по ________________                   И.О. Фамилия
 
    Исполнитель: _______________
    Телефон: ________________
 
 
 

Приложение N 17
к Административному регламенту
Федерального агентства по управлению
особыми экономическими зонами
по предоставлению государственной
услуги "Принятие решения о заключении
или отказе в заключении соглашения
о ведении промышленно-производственной
деятельности, а также об изменении
условий соглашения. Подготовка
и заключение соглашения о ведении
промышленно-производственной
деятельности на территории особых
экономических зон. Осуществление
регистрации юридических лиц
в качестве резидентов
промышленно-производственных
особых экономических зон"

БЛОК-СХЕМА
ОСУЩЕСТВЛЕНИЯ ПРОЦЕДУР ЗАКЛЮЧЕНИЯ С ЗАИНТЕРЕСОВАННЫМ ЛИЦОМ СОГЛАШЕНИЯ О ВЕДЕНИИ ПРОМЫШЛЕННО-ПРОИЗВОДСТВЕННОЙ ДЕЯТЕЛЬНОСТИ

Приложение N 18
к Административному регламенту
Федерального агентства по управлению
особыми экономическими зонами
по предоставлению государственной
услуги "Принятие решения о заключении
или отказе в заключении соглашения
о ведении промышленно-производственной
деятельности, а также об изменении
условий соглашения. Подготовка
и заключение соглашения о ведении
промышленно-производственной
деятельности на территории особых
экономических зон. Осуществление
регистрации юридических лиц
в качестве резидентов
промышленно-производственных
особых экономических зон"

БЛОК-СХЕМА
ОСУЩЕСТВЛЕНИЯ ПРОЦЕДУР ВНЕСЕНИЯ ИЗМЕНЕНИЙ В СОГЛАШЕНИЕ О ВЕДЕНИИ ПРОМЫШЛЕННО-ПРОИЗВОДСТВЕННОЙ ДЕЯТЕЛЬНОСТИ

Приложение N 19
к Административному регламенту
Федерального агентства по управлению
особыми экономическими зонами
по предоставлению государственной
услуги "Принятие решения о заключении
или отказе в заключении соглашения
о ведении промышленно-производственной
деятельности, а также об изменении
условий соглашения. Подготовка
и заключение соглашения о ведении
промышленно-производственной
деятельности на территории особых
экономических зон. Осуществление
регистрации юридических лиц
в качестве резидентов
промышленно-производственных
особых экономических зон"

БЛОК-СХЕМА
ОСУЩЕСТВЛЕНИЯ ПРОЦЕДУР ЗАМЕНЫ СВИДЕТЕЛЬСТВА О РЕГИСТРАЦИИ ЛИЦА В КАЧЕСТВЕ РЕЗИДЕНТА ОСОБОЙ ЭКОНОМИЧЕСКОЙ ЗОНЫ

Резидент представляет: письмо о замене свидетельства, копию документов, подтверждающих изменения, и свидетельство, подлежащее замене   Резидент представляет: письмо о замене свидетельства с запросом о выдаче дубликата свидетельства
         
\/   \/
ТО РосОЭЗ вносит в реестр резидентов особой экономической зоны запись о выдаче резиденту особой экономической зоны свидетельства о регистрации с указанием новых атрибутов   ТО РосОЭЗ вносит в реестр резидентов особой экономической зоны запись о выдаче резиденту особой экономической зоны дубликата свидетельства о регистрации
         
\/   \/
ТО РосОЭЗ подшивает все документы, служащие основанием замены свидетельства, в регистрационное дело резидента ОЭЗ   ТО РосОЭЗ подшивает письмо о замене свидетельства, служащее основанием выдачи дубликата свидетельства, в регистрационное дело резидента ОЭЗ
         
\/   \/
ТО РосОЭЗ готовит и выдает свидетельство лично или по почте   ТО РосОЭЗ готовит и выдает дубликат свидетельства лично или по почте

Приложение N 20
к Административному регламенту
Федерального агентства по управлению
особыми экономическими зонами
по предоставлению государственной
услуги "Принятие решения о заключении
или отказе в заключении соглашения
о ведении промышленно-производственной
деятельности, а также об изменении
условий соглашения. Подготовка
и заключение соглашения о ведении
промышленно-производственной
деятельности на территории особых
экономических зон. Осуществление
регистрации юридических лиц
в качестве резидентов
промышленно-производственных
особых экономических зон"

БЛОК-СХЕМЫ
ОСУЩЕСТВЛЕНИЯ ПРОЦЕДУР УТРАТЫ ЮРИДИЧЕСКИМ ЛИЦОМ СТАТУСА РЕЗИДЕНТА ПРОМЫШЛЕННО-ПРОИЗВОДСТВЕННОЙ ЗОНЫ

РосОЭЗ направляет в ТО РосОЭЗ предложение резиденту ОЭЗ о намерении расторжения соглашения деятельности
   
\/
ТО РосОЭЗ направляет резиденту ОЭЗ предложение РосОЭЗ о намерении расторжения соглашения
   
\/
Резидент ОЭЗ направляет в ТО РосОЭЗ решение о согласии либо об отказе расторгнуть соглашение с указанием причин отказа
   
\/
            /\              
      Резидент ОЭЗ
согласен расторгнуть соглашение?
     
    < >    
       
           
Да           \/           Нет
                             
\/                       \/
ТО РосОЭЗ готовит соглашение о расторжении соглашения и согласовывает его положения с РосОЭЗ и соответствующим резидентом ОЭЗ   РосОЭЗ вправе обратиться в суд с заявлением о расторжении соглашения
       
\/    
Резидент ОЭЗ подписывает согласованное сторонами соглашение о расторжении соглашения    
       
\/    
ТО РосОЭЗ направляет соглашение о расторжении соглашения, согласованное сторонами и подписанное резидентом ОЭЗ, в РосОЭЗ на подписание    
       
\/    
РосОЭЗ подписывает согласованное сторонами и подписанное резидентом соглашение о расторжении соглашения, направляет в ТО РосОЭЗ, которое выдает копию его соответствующему лицу    
Резидент ОЭЗ представляет в ТО РосОЭЗ письмо с предложением расторжения соглашения
   
\/
ТО РосОЭЗ направляет на рассмотрение в РосОЭЗ предложение резидента ОЭЗ о расторжении соглашения
   
\/
РосОЭЗ рассматривает предложение резидента о расторжении соглашения, выносит решение о согласии либо об отказе расторгнуть соглашение с указанием причин отказа, которое направляет в ТО РосОЭЗ
            /\              
      РосОЭЗ вынесло решение
о согласии расторгнуть соглашение?
     
    < >    
       
           
Да           \/           Нет
                             
\/                       \/
ТО РосОЭЗ направляет резиденту ОЭЗ уведомление о согласии расторгнуть соглашение в письменной форме   ТО РосОЭЗ направляет резиденту ОЭЗ уведомление в письменной форме об отказе в расторжении соглашения
         
\/   \/
ТО РосОЭЗ готовит соглашение о расторжении соглашения и согласовывает его положения с РосОЭЗ и соответствующим резидентом ОЭЗ   Резидент ОЭЗ вправе обратиться в суд с заявлением о расторжении соглашения
         
\/      
Резидент ОЭЗ, намеревающийся расторгнуть соглашение, подписывает согласованное сторонами соглашение о расторжении соглашения      
         
\/      
ТО РосОЭЗ направляет соглашение о расторжении соглашения, согласованное сторонами и подписанное резидентом ОЭЗ, намеревающимся расторгнуть соглашение, в РосОЭЗ на подписание      
         
\/      
РосОЭЗ подписывает согласованное сторонами и подписанное резидентом, намеревающимся расторгнуть соглашение, соглашение о расторжении соглашения о ведении, направляет в ТО РосОЭЗ, которое выдает его копию соответствующему лицу      
Прекратило действие соглашение о ведении промышленно-производственной деятельности, заключенное с резидентом ОЭЗ
   
\/
Территориальный орган РосОЭЗ вносит в реестр резидентов особой экономической зоны запись об утрате лицом статуса резидента ОЭЗ
   
\/
Территориальный орган РосОЭЗ подшивает в дело решение о прекращении соглашения, направляет юридическому лицу уведомление об утрате им статуса резидента
   
\/
Территориальный орган РосОЭЗ сообщает сведения об утрате лицом статуса резидента особой экономической зоны в налоговый и таможенный органы