Приказ Росгидромета от 12.03.2008 N 94

"Об утверждении Административного регламента Федеральной службы по гидрометеорологии и мониторингу окружающей среды по исполнению государственной функции по лицензированию деятельности в области гидрометеорологии и смежных с ней областях"
Редакция от 12.03.2008 — Документ утратил силу, см. «Приказ Росгидромета от 27.06.2011 N 347»

Зарегистрировано в Минюсте РФ 31 марта 2008 г. N 11426


ФЕДЕРАЛЬНАЯ СЛУЖБА ПО ГИДРОМЕТЕОРОЛОГИИ И МОНИТОРИНГУ ОКРУЖАЮЩЕЙ СРЕДЫ

ПРИКАЗ
от 12 марта 2008 г. N 94

ОБ УТВЕРЖДЕНИИ АДМИНИСТРАТИВНОГО РЕГЛАМЕНТА ФЕДЕРАЛЬНОЙ СЛУЖБЫ ПО ГИДРОМЕТЕОРОЛОГИИ И МОНИТОРИНГУ ОКРУЖАЮЩЕЙ СРЕДЫ ПО ИСПОЛНЕНИЮ ГОСУДАРСТВЕННОЙ ФУНКЦИИ ПО ЛИЦЕНЗИРОВАНИЮ ДЕЯТЕЛЬНОСТИ В ОБЛАСТИ ГИДРОМЕТЕОРОЛОГИИ И СМЕЖНЫХ С НЕЙ ОБЛАСТЯХ

В соответствии с пунктом 7 Порядка разработки и утверждения административных регламентов исполнения государственных функций и административных регламентов предоставления государственных услуг, утвержденного Постановлением Правительства Российской Федерации от 11 ноября 2005 г. N 679 "О порядке разработки и утверждения административных регламентов исполнения государственных функций и административных регламентов предоставления государственных услуг" (Собрание законодательства Российской Федерации, 2005, N 47, ст. 4933) в редакции Постановления Правительства Российской Федерации от 29 ноября 2007 г. N 813 приказываю:

Нормы пункта 7 старой редакции Порядка, утвержденного Постановлением Правительства РФ от 11.11.2005 N 679 утратили силу. Аналогичные нормы содержатся в пункте 9 Порядка в редакции Постановления Правительства РФ от 29.11.2007 N 813

1. Утвердить прилагаемый Административный регламент Федеральной службы по гидрометеорологии и мониторингу окружающей среды по исполнению государственной функции по лицензированию деятельности в области гидрометеорологии и смежных с ней областях.

2. Направить настоящий Приказ на государственную регистрацию в Министерство юстиции Российской Федерации.

3. Контроль за исполнением Приказа оставляю за собой.

Руководитель Росгидромета
А.И.БЕДРИЦКИЙ

УТВЕРЖДЕН
Приказом Федеральной службы
по гидрометеорологии
и мониторингу окружающей среды
от 12.03.2008 N 94

АДМИНИСТРАТИВНЫЙ РЕГЛАМЕНТ
ФЕДЕРАЛЬНОЙ СЛУЖБЫ ПО ГИДРОМЕТЕОРОЛОГИИ И МОНИТОРИНГУ ОКРУЖАЮЩЕЙ СРЕДЫ ПО ИСПОЛНЕНИЮ ГОСУДАРСТВЕННОЙ ФУНКЦИИ ПО ЛИЦЕНЗИРОВАНИЮ ДЕЯТЕЛЬНОСТИ В ОБЛАСТИ ГИДРОМЕТЕОРОЛОГИИ И СМЕЖНЫХ С НЕЙ ОБЛАСТЯХ

1. Общие положения

1.1. Административный регламент Федеральной службы по гидрометеорологии и мониторингу окружающей среды (Росгидромет) по исполнению государственной функции по лицензированию деятельности в области гидрометеорологии и смежных с ней областях (далее - Регламент) разработан на основе:

Федерального закона от 30.12.2001 N 195-ФЗ "Кодекс Российской Федерации об административных правонарушениях" (Собрание законодательства Российской Федерации, 07.01.2002, N 1 (ч. I), ст. 1) (в ред. Федеральных законов от 25.04.2002 N 41-ФЗ, от 25.07.2002 N 112-ФЗ, от 30.10.2002 N 130-ФЗ, от 31.10.2002 N 133-ФЗ, от 31.12.2002 N 187-ФЗ, от 30.06.2003 N 86-ФЗ, от 04.07.2003 N 94-ФЗ, от 04.07.2003 N 103-ФЗ, от 11.11.2003 N 138-ФЗ, от 11.11.2003 N 144-ФЗ, от 08.12.2003 N 161-ФЗ, от 08.12.2003 N 169-ФЗ, от 23.12.2003 N 185-ФЗ, от 09.05.2004 N 37-ФЗ, от 26.07.2004 N 77-ФЗ, от 28.07.2004 N 93-ФЗ, от 20.08.2004 N 114-ФЗ, от 20.08.2004 N 118-ФЗ, от 25.10.2004 N 126-ФЗ, от 28.12.2004 N 183-ФЗ, от 28.12.2004 N 187-ФЗ, от 30.12.2004 N 211-ФЗ, от 30.12.2004 N 214-ФЗ, от 30.12.2004 N 219-ФЗ (ред. 21.03.2005), от 07.03.2005 N 14-ФЗ, от 07.03.2005 N 15-ФЗ, от 21.03.2005 N 19-ФЗ, от 21.03.2005 N 21-ФЗ, от 22.04.2005 N 38-ФЗ, от 09.05.2005 N 45-ФЗ, от 18.06.2005 N 66-ФЗ, от 02.07.2005 N 80-ФЗ, от 02.07.2005 N 82-ФЗ, от 21.07.2005 N 93-ФЗ, от 21.07.2005 N 113-ФЗ, от 22.07.2005 N 120-ФЗ, от 27.09.2005 N 124-ФЗ, от 05.12.2005 N 156-ФЗ, от 19.12.2005 N 161-ФЗ, от 26.12.2005 N 183-ФЗ, от 27.12.2005 N 193-ФЗ, от 31.12.2005 N 199-ФЗ, от 05.01.2006 N 7-ФЗ, от 05.01.2006 N 10-ФЗ, от 02.02.2006 N 19-ФЗ, от 03.03.2006 N 30-ФЗ, от 16.03.2006 N 41-ФЗ, от 15.04.2006 N 47-ФЗ, от 29.04.2006 N 57-ФЗ, от 08.05.2006 N 65-ФЗ, от 03.06.2006 N 73-ФЗ, от 03.06.2006 N 78-ФЗ, от 03.07.2006 N 97-ФЗ, от 18.07.2006 N 111-ФЗ, от 18.07.2006 N 121-ФЗ, от 26.07.2006 N 133-ФЗ, от 26.07.2006 N 134-ФЗ, от 27.07.2006 N 139-ФЗ, от 27.07.2006 N 153-ФЗ, от 16.10.2006 N 160-ФЗ, от 03.11.2006 N 181-ФЗ, от 03.11.2006 N 182-ФЗ, от 05.11.2006 N 189-ФЗ, от 04.12.2006 N 201-ФЗ, от 04.12.2006 N 203-ФЗ, от 18.12.2006 N 232-ФЗ, от 29.12.2006 N 258-ФЗ, от 29.12.2006 N 262-ФЗ, от 30.12.2006 N 266-ФЗ, от 30.12.2006 N 270-ФЗ, от 09.02.2007 N 19-ФЗ, от 29.03.2007 N 39-ФЗ, от 09.04.2007 N 44-ФЗ, от 09.04.2007 N 45-ФЗ, от 20.04.2007 N 54-ФЗ, от 07.05.2007 N 66-ФЗ, от 10.05.2007 N 70-ФЗ, от 22.06.2007 N 116-ФЗ, от 19.07.2007 N 141-ФЗ, от 24.07.2007 N 204-ФЗ, от 24.07.2007 N 210-ФЗ, от 24.07.2007 N 211-ФЗ, от 24.07.2007 N 218-ФЗ, от 02.10.2007 N 225-ФЗ, от 18.10.2007 N 230-ФЗ, от 08.11.2007 N 257-ФЗ, от 27.11.2007 N 273-ФЗ, от 01.12.2007 N 304-ФЗ, от 06.12.2007 N 333-ФЗ, с изм., внесенными Федеральным законом от 24.07.2007 N 212-ФЗ) (Собрание законодательства РФ, 08.10.2007, N 41, ст. 4845);

Федерального закона от 08.08.2001 N 128-ФЗ "О лицензировании отдельных видов деятельности" (Собрание законодательства Российской Федерации, 13.08.2001, N 33 (часть I), ст. 3430);

Федерального закона от 08.08.2001 N 134-ФЗ "О защите прав юридических лиц и индивидуальных предпринимателей при проведении государственного контроля (надзора)" (Собрание законодательства Российской Федерации, 13.08.2001, N 33 (часть I), ст. 3436);

Федерального закона от 19.07.1998 N 113-ФЗ "О гидрометеорологической службе" (Собрание законодательства Российской Федерации, 1998, N 30, ст. 3609);

Налогового кодекса Российской Федерации (Собрание законодательства Российской Федерации, N 31, 03.08.1998, ст. 3824; N 32, 07.08.2000, ст. 3340);

в соответствии:

с Постановлением Правительства Российской Федерации от 13.08.2006 N 497 "О лицензировании деятельности в области гидрометеорологии и смежных с ней областях, а также работ по активному воздействию на гидрометеорологические и геофизические процессы и явления" (Собрание законодательства Российской Федерации, 21.08.2006, N 34, ст. 3685);

с Постановлением Правительства Российской Федерации от 11.04.2006 N 208 "Об утверждении формы документа, подтверждающего наличие лицензии" (Собрание законодательства Российской Федерации, 17.04.2006, N 16, ст. 1746);

с Постановлением Правительства Российской Федерации от 26.01.2006 N 45 "Об организации лицензирования отдельных видов деятельности" (Собрание законодательства Российской Федерации, 06.02.2006, N 6, ст. 700);

с Положением о Федеральной службе по гидрометеорологии и мониторингу окружающей среды, утвержденным Постановлением Правительства Российской Федерации от 23 июля 2004 г. N 372 (Собрание законодательства Российской Федерации, 2004, N 31, ст. 3262; 2005, N 50, ст. 5321);

с Постановлением Правительства Российской Федерации от 26.02.2004 N 110 "О совершенствовании процедур государственной регистрации и постановки на учет юридических лиц и индивидуальных предпринимателей" (Собрание законодательства Российской Федерации, 08.03.2004, N 10, ст. 864);

с Постановлением Правительства Российской Федерации от 16.10.2003 N 630 "О едином государственном реестре индивидуальных предпринимателей, правилах хранения в единых государственных реестрах юридических лиц и индивидуальных предпринимателей документов (сведений) и передачи их на постоянное хранение в государственные архивы, а также о внесении изменений и дополнений в Постановления Правительства Российской Федерации от 19.06.2002 N 438 и 439" (Собрание законодательства Российской Федерации, 27.10.2003, N 43, ст. 4238);

с Постановлением Правительства Российской Федерации от 19.06.2002 N 438 "О едином государственном реестре юридических лиц" (Собрание законодательства Российской Федерации, 01.07.2002, N 26, ст. 2585);

с Положением об информационных услугах в области гидрометеорологии и мониторинга загрязнения окружающей природной среды, утвержденным Постановлением Правительства РФ от 15 ноября 1997 г. N 1425 (Собрание законодательства Российской Федерации, 24.11.1997, N 47, ст. 5410);

с Положением о создании и ведении Единого государственного фонда данных о состоянии окружающей природной среды, ее загрязнении, утвержденным Постановлением Правительства Российской Федерации от 21 декабря 1999 г. N 1410 (Собрание законодательства Российской Федерации, 27.12.1999, N 52, ст. 6406).

1.2. Лицензирование деятельности в области гидрометеорологии и смежных с ней областях, осуществляемых юридическими лицами и (или) индивидуальными предпринимателями, является государственной функцией, исполняемой Росгидрометом, и представляет собой мероприятия, связанные с предоставлением лицензий или отказом в предоставлении лицензий, переоформлением документов, подтверждающих наличие лицензий, приостановлением действия лицензий в случае административного приостановления деятельности лицензиатов за нарушение лицензионных требований и условий, возобновлением или прекращением действия лицензий, аннулированием лицензий, контролем за соблюдением лицензиатами при осуществлении лицензируемых видов деятельности соответствующих лицензионным требованиям и условиям, ведением реестров лицензий, а также с предоставлением в установленном порядке заинтересованным лицам сведений из реестров лицензий и иной информации о лицензировании.

В настоящем Регламенте под деятельностью в области гидрометеорологии и смежных с ней областях понимается деятельность, включающая в себя:

определение метеорологических, климатологических, гидрологических, океанологических, гелиогеофизических и агрометеорологических характеристик окружающей среды;

определение уровня загрязнения (включая радиоактивное) атмосферного воздуха, почв, водных объектов и околоземного космического пространства;

подготовку и предоставление потребителям прогностической, аналитической и расчетной информации о состоянии окружающей среды, ее загрязнении (включая радиоактивное);

формирование и ведение банков данных в области гидрометеорологии и смежных с ней областях.

1.3. Результатом лицензирования является решение о предоставлении лицензии в форме приказа, утвержденного руководителем Росгидромета, и выдача документа, подтверждающего наличие лицензии, который должен содержать следующие сведения:

1) наименование лицензирующего органа;

2) полное и (в случае, если имеется) сокращенное наименование, в том числе фирменное наименование, и организационно-правовая форма юридического лица, место его нахождения, адреса мест осуществления деятельности в области гидрометеорологии и смежных с ней областях, государственный регистрационный номер записи о создании юридического лица;

3) фамилия, имя и (в случае, если имеется) отчество индивидуального предпринимателя, место его жительства, адреса мест осуществления лицензируемого вида деятельности, данные документа, удостоверяющего его личность, государственный регистрационный номер записи о государственной регистрации индивидуального предпринимателя;

4) лицензируемый вид деятельности - осуществление деятельности в области гидрометеорологии и смежных с ней областях (с указанием основных разделов, указанных в п. 1.2 настоящего Регламента, - определение метеорологических, климатологических, гидрологических, океанологических, гелиогеофизических и агрометеорологических характеристик окружающей среды; определение уровня загрязнения (включая радиоактивное) атмосферного воздуха, почв, водных объектов и околоземного космического пространства, подготовку и предоставление потребителям прогностической, аналитической и расчетной информации о состоянии окружающей среды, ее загрязнении (включая радиоактивное), формирование и ведение банков данных в области гидрометеорологии и смежных с ней областях);

5) срок действия лицензии;

6) идентификационный номер налогоплательщика;

7) номер лицензии;

8) дата принятия решения о предоставлении лицензии.

1.4. В случае принятия решения об отказе в предоставлении лицензии результатом исполнения государственной функции является уведомление об отказе, подписанное руководителем Росгидромета, которое должно содержать следующие сведения:

1) наименование лицензирующего органа;

2) полное и (в случае, если имеется) сокращенное наименование, в том числе фирменное наименование, и организационно-правовая форма юридического лица, место его нахождения, государственный регистрационный номер записи о создании юридического лица;

3) фамилия, имя и (в случае, если имеется) отчество индивидуального предпринимателя, место его жительства, данные документа, удостоверяющего его личность, государственный регистрационный номер записи о государственной регистрации индивидуального предпринимателя;

4) лицензируемый вид деятельности - осуществление деятельности в области гидрометеорологии и смежных с ней областях;

5) идентификационный номер налогоплательщика;

6) регистрационный номер отказа;

7) дата принятия решения об отказе в предоставлении лицензии;

8) причины отказа, в том числе реквизиты акта проверки возможности выполнения соискателем лицензии лицензионных требований и условий, если причиной отказа является невозможность выполнения соискателем лицензии указанных требований и условий.

1.5. Заявителем (соискателем лицензии) может быть любое юридическое лицо или индивидуальный предприниматель, осуществляющий или планирующий осуществлять деятельность в области гидрометеорологии и смежных с ней областях. Лицензионными требованиями и условиями при осуществлении деятельности в области гидрометеорологии и смежных с ней областях являются:

а) передача информации в области гидрометеорологии и смежных с ней областях в Единый государственный фонд данных о состоянии окружающей природной среды, ее загрязнении;

б) соблюдение лицензиатом условий реализации деятельности стационарных и подвижных пунктов наблюдений;

в) наличие у соискателя лицензии (лицензиата) оборудования, приборов и документации, необходимых для осуществления деятельности в области гидрометеорологии и смежных с ней областях;

г) наличие в штате соискателя лицензии (лицензиата) работников, имеющих профессиональное образование и стаж работы в области гидрометеорологии и смежных с ней областях (в соответствии с требованиями, установленными квалификационными характеристиками по должностям служащих гидрометеорологической службы) не менее 3 лет;

д) наличие у индивидуального предпринимателя - соискателя лицензии (лицензиата) профессионального образования и стажа работы в области гидрометеорологии и смежных с ней областях (в соответствии с требованиями, установленными квалификационными характеристиками по должностям служащих гидрометеорологической службы) не менее 3 лет.

Грубыми нарушениями лицензионных требований и условий при осуществлении деятельности в области гидрометеорологии и смежных с ней областях являются передача лицензиатом информации о состоянии окружающей среды, ее загрязнении с нарушением порядка, установленного статьями 9 и 16 Федерального закона "О гидрометеорологической службе", а также умышленное искажение такой информации, ее непредоставление либо несвоевременное предоставление в лицензирующий орган, если это создает угрозу жизни, повлечет за собой человеческие жертвы и (или) создает условия возникновения чрезвычайной ситуации техногенного характера, причинения существенного вреда окружающей среде.

2. Требования к порядку исполнения государственной функции

2.1. Информация, относящаяся к исполнению государственной функции, предусмотренная пунктом 2 статьи 6 Федерального закона от 02.07.2005 N 80-ФЗ "О внесении изменений в Федеральный закон "О лицензировании отдельных видов деятельности", в том числе о правилах исполнения государственной функции, размещается в официальных электронных (на официальном Интернет-сайте www.meteorf.ru) или печатных средствах массовой информации Росгидромета, а также на информационных стендах в помещениях Росгидромета в течение 10 дней с даты:

1) официального опубликования нормативных правовых актов, устанавливающих обязательные требования к лицензируемой деятельности;

2) принятия Росгидрометом решения о предоставлении, об отказе в предоставлении, переоформлении лицензии, приостановлении, возобновлении ее действия, об аннулировании лицензии;

3) получения от Федеральной налоговой службы сведений о ликвидации юридического лица или прекращении его деятельности в результате реорганизации;

4) вступления в законную силу решения суда об аннулировании лицензии.

На официальном Интернет-сайте www.meteorf.ru должны быть размещены перечень документов, представляемых для получения лицензии на осуществление деятельности в области гидрометеорологии и смежных с ней областях или ее переоформления, требования к таким документам, образцы оформления, а также бланки заявлений и документов для получения и переоформления лицензий.

Прием заявлений и документов для получения лицензии на осуществление деятельности в области гидрометеорологии и смежных с ней областях, ее переоформления, а также выдача документов, подтверждающих наличие лицензии, или решений об отказе в предоставлении лицензии производится по адресу:

Федеральная служба по гидрометеорологии и мониторингу окружающей среды, Секретариат Лицензионной комиссии Росгидромета: 123995, Москва, Д-242, ГСП-5, Нововаганьковский пер., д. 8. Время работы с соискателями лицензии и лицензиатами: в рабочие дни с 10-00 до 16-00. Обеденный перерыв с 13-00 до 13-45.

Телефон для справок и предварительной записи: 8(495) 2551810.

Адрес электронной почты: komet.licence@mtu-net.ru.

Общая справочная служба Росгидромета, включая автоответчик: 8(495) 2521486.

2.2. Рассмотрение документов и принятие решения о предоставлении лицензии на осуществление деятельности в области гидрометеорологии и смежных с ней областях осуществляется в срок до 45 (сорока пяти) дней со дня поступления заявления и полного комплекта документов, предусмотренных законодательством Российской Федерации. Росгидромет со дня принятия решения о предоставлении лицензии, переоформлении документа, подтверждающего наличие лицензии, приостановлении действия лицензии при получении сведений о вступлении в законную силу решения суда об административном приостановлении деятельности лицензиата за нарушение лицензионных требований и условий, возобновлении или прекращении действия лицензии, а также со дня вступления в законную силу решения суда об аннулировании лицензии направляет копию документа, подтверждающего принятие соответствующего решения, с сопроводительным письмом в федеральный орган исполнительной власти, уполномоченный на осуществление государственной регистрации юридических лиц, по месту нахождения лицензиата.

Сроки исполнения отдельных административных процедур, необходимых для исполнения государственной функции, выдачи документов, являющихся результатом исполнения государственной функции по лицензированию осуществления деятельности в области гидрометеорологии и смежных с ней областях, представлены в разделе 3 административных процедур настоящего Регламента. Рассмотрение документов производится в порядке, обусловленном последовательностью их поступления.

2.3. Перечень оснований для приостановления исполнения государственной функции либо отказа в исполнении государственной функции приведен в следующих разделах нормативных документов:

при рассмотрении заявления и принятии решения о предоставлении лицензии или об отказе в предоставлении лицензии на осуществление деятельности в области гидрометеорологии и смежных с ней областях - статья 9 Федерального закона от 08.08.2001 N 128-ФЗ "О лицензировании отдельных видов деятельности", Федеральный закон "О защите прав юридических лиц и индивидуальных предпринимателей при проведении государственного контроля (надзора)" и статья 14.1 Кодекса Российской Федерации об административных правонарушениях; пункт 10 Положения о лицензировании деятельности в области гидрометеорологии и смежных с ней областях, утвержденного Постановлением Правительства Российской Федерации от 13 августа 2006 г. N 497 "О лицензировании деятельности в области гидрометеорологии и смежных с ней областях, а также работ по активному воздействию на гидрометеорологические и геофизические процессы и явления";

при переоформлении документов, подтверждающих наличие лицензии на осуществление деятельности в области гидрометеорологии и смежных с ней областях, - статья 11 Федерального закона от 08.08.2001 N 128-ФЗ;

при проведении контроля за соблюдением лицензиатом лицензионных требований и условий при осуществлении деятельности в области гидрометеорологии и смежных с ней областях - статья 12 Федерального закона от 08.08.2001 N 128-ФЗ;

при приостановлении действия и аннулировании лицензии на осуществление деятельности в области гидрометеорологии и смежных с ней областях - статья 13 Федерального закона от 08.08.2001 N 128-ФЗ.

2.4. Место приема заявлений и документов для получения лицензии на осуществление деятельности в области гидрометеорологии и смежных с ней областях, ее переоформления, а также выдачи документов, подтверждающих наличие лицензии, должно быть оснащено шкафами для хранения документов, стульями, столами, системой кондиционирования воздуха, телефоном, компьютером с возможностью печати и выхода в Интернет, а также печатными материалами, содержащими следующие документы (сведения):

- положение о лицензировании деятельности в области гидрометеорологии и смежных с ней областях;

- перечень нормативных правовых актов Российской Федерации, устанавливающих обязательные требования к деятельности в области гидрометеорологии и смежных с ней областях;

- текст настоящего Регламента;

- образцы оформления заявлений и документов для получения, переоформления лицензий;

- права и обязанности соискателей лицензий, лицензиатов и лицензирующих органов;

- банковские реквизиты для уплаты государственной пошлины.

2.5. Взимание государственной пошлины за осуществление действий, связанных с лицензированием, производится в порядке, установленном законодательством Российской Федерации о налогах и сборах.

За информацию, содержащуюся в реестре лицензий, в виде выписок о конкретных лицензиатах предоставляется физическим и юридическим лицам за плату в размере 10 рублей. Информация из реестра лицензий органам государственной власти и органам местного самоуправления предоставляется бесплатно.

3. Административные процедуры

3.1. При исполнении государственной функции по лицензированию деятельности в области гидрометеорологии и смежных с ней областях осуществляются следующие административные процедуры:

1) рассмотрение заявления и принятие решения о предоставлении лицензии на осуществление деятельности в области гидрометеорологии и смежных с ней областях (приложение 1). Основание - статья 9 Федерального закона от 08.08.2001 N 128-ФЗ;

2) переоформление документов, подтверждающих наличие лицензии на осуществление деятельности в области гидрометеорологии и смежных с ней областях. Основание - статья 11 Федерального закона от 08.08.2001 N 128-ФЗ;

3) приостановление действия и аннулирование лицензии на осуществление деятельности в области гидрометеорологии и смежных с ней областях. Основание - статья 13 Федерального закона от 08.08.2001 N 128-ФЗ;

4) ведение реестра лицензий на осуществление деятельности в области гидрометеорологии и смежных с ней областях и предоставление заинтересованным лицам сведений из реестра и иной информации о лицензировании, а также выдача дубликата лицензии. Основание - статьи 9 и 14 Федерального закона от 08.08.2001 N 128-ФЗ.

3.2. В соответствии с приказом Росгидромета, которым утверждается состав, порядок формирования и регламент работы, для обеспечения рассмотрения вопросов лицензирования при выполнении работ по активному воздействию и подготовки рекомендаций создается Лицензионная комиссия Росгидромета. Секретариат Лицензионной комиссии Росгидромета организует документированный учет прохождения документов, готовит документы для рассмотрения на Лицензионной комиссии, оформляет проекты приказов, уведомлений для утверждения руководителем Росгидромета, а также ведет Реестр лицензий.

3.3. Административная процедура "Рассмотрение документов и принятие решения о предоставлении лицензии на осуществление деятельности в области гидрометеорологии и смежных с ней областях" осуществляется в связи с поступлением заявления и документов от юридического лица в соответствии с нижеследующим порядком (схема осуществления административной процедуры приведена в Приложении 1).

3.3.1. Рассмотрение документов и принятие решения о предоставлении лицензии на осуществление деятельности в области гидрометеорологии и смежных с ней областях осуществляется в срок до 45 (сорока пяти) дней со дня поступления заявления и полного комплекта документов, предусмотренных законодательством Российской Федерации.

3.3.2. Заявление и документы для получения лицензии на осуществление деятельности в области гидрометеорологии и смежных с ней областях, поступившие от соискателя лицензии, в день поступления принимаются по описи (Приложение 2), копия которой с отметкой о дате приема указанных заявления и документов направляется (вручается) соискателю лицензии. Комплект документов может быть направлен соискателем по почте заказным письмом (бандеролью) с описью вложения и уведомлением о вручении. Контроль ведения учета поступивших документов осуществляет сотрудник Секретариата Лицензионной комиссии.

3.3.3. Для получения лицензии на осуществление деятельности в области гидрометеорологии и смежных с ней областях соискатель лицензии направляет или представляет в Росгидромет следующие документы:

1) заявление о предоставлении лицензии на осуществление деятельности в области гидрометеорологии и смежных с ней областях, в котором указываются:

- полное и (в случае, если имеется) сокращенное наименование, в том числе фирменное наименование, и организационно-правовая форма юридического лица, место его нахождения, адреса мест осуществления деятельности в области гидрометеорологии и смежных с ней областях, которое намерен осуществлять заявитель, основной государственный регистрационный номер записи о создании юридического лица и данные документа, подтверждающего факт внесения сведений о юридическом лице в единый государственный реестр юридических лиц;

- фамилия, имя и (в случае, если имеется) отчество индивидуального предпринимателя, место его жительства, адреса мест осуществления лицензируемого вида деятельности, данные документа, удостоверяющего его личность, государственный регистрационный номер записи о государственной регистрации индивидуального предпринимателя;

- идентификационный номер налогоплательщика и данные документа о постановке соискателя лицензии на учет в налоговом органе, почтовый адрес налогового органа;

- лицензируемый вид деятельности, который соискатель лицензии намерен осуществлять, - осуществление деятельности в области гидрометеорологии и смежных с ней областях (с указанием основных разделов, указанных в п. 1.2 настоящего Регламента, - определение метеорологических, климатологических, гидрологических, океанологических, гелиогеофизических и агрометеорологических характеристик окружающей среды; определение уровня загрязнения (включая радиоактивное) атмосферного воздуха, почв, водных объектов и околоземного космического пространства, подготовку и предоставление потребителям прогностической, аналитической и расчетной информации о состоянии окружающей среды, ее загрязнении (включая радиоактивное), формирование и ведение банков данных в области гидрометеорологии и смежных с ней областях);

2) копии учредительных документов (с представлением оригиналов в случае, если верность копий не засвидетельствована в нотариальном порядке);

3) документ, подтверждающий уплату государственной пошлины за рассмотрение лицензирующим органом заявления о предоставлении лицензии;

4) перечень имеющихся оборудования и приборов, необходимых для осуществления деятельности в области гидрометеорологии и смежных с ней областях;

5) перечень имеющейся нормативной, методической, технологической и технической документации, используемой при осуществлении деятельности в области гидрометеорологии и смежных с ней областях;

6) копии документов (дипломов, аттестатов и удостоверений), подтверждающих квалификацию индивидуального предпринимателя или работников юридического лица, осуществляющих деятельность в области гидрометеорологии и смежных с ней областях;

7) копии документов или заверенные в установленном порядке выписки из документов, подтверждающих стаж работы индивидуального предпринимателя или работников юридического лица в области гидрометеорологии и смежных с ней областях.

По своему усмотрению соискатель может также представить документы с описанием основных технологических процессов, проводимых соискателем при осуществлении деятельности в области гидрометеорологии и смежных с ней областях.

Все документы для лицензирования осуществления деятельности в области гидрометеорологии и смежных с ней областях подаются на русском языке либо имеют заверенный перевод на русский язык.

3.3.4. Соискатель может, по своему усмотрению, приложить к документам, представляемым для получения лицензии, заключение компетентных экспертных организаций (экспертов), которые по инициативе соискателя провели независимую проверку возможности выполнения соискателем лицензионных требований и условий, а также пояснительную записку о возможности выполнения работ (услуг) по заявляемому виду деятельности.

3.3.5. Заявление о предоставлении лицензии и прилагаемые к нему документы представляются соискателем лицензии в Росгидромет (в Секретариат Лицензионной комиссии) непосредственно или направляются почтовым отправлением (с описью вложения).

3.3.6. Росгидромет организует проверку полноты и достоверности сведений, содержащихся в документах, представленных соискателем лицензии в соответствии с пунктом 3.3.3 настоящего Регламента, проверку возможности выполнения соискателем лицензии лицензионных требований и условий, указанных в разделе 1.5 настоящего Регламента.

В случае если заявление оформлено в соответствии с требованиями, установленными Федеральным законом "О лицензировании отдельных видов деятельности", а в составе прилагаемых к заявлению документов отсутствуют документы, предусмотренные пунктом 3.3.3 настоящего Регламента, соискателю лицензии направляется (вручается) копия описи представленных документов с уведомлением о необходимости представления отсутствующих документов.

Проверка полноты и достоверности указанных сведений проводится путем их сопоставления со сведениями, содержащимися в Едином государственном реестре юридических лиц и Едином реестре выданных сертификатов соответствия.

Сведения, содержащиеся в Едином государственном реестре юридических лиц, предоставляются лицензирующему органу в установленном порядке Федеральной налоговой службой.

Сведения, содержащиеся в Едином реестре выданных сертификатов соответствия, предоставляются лицензирующему органу в установленном порядке Федеральным агентством по техническому регулированию и метрологии.

Проверка возможности выполнения соискателем лицензии лицензионных требований и условий проводится в соответствии с требованиями, установленными для организации проверок Федеральным законом "О защите прав юридических лиц и индивидуальных предпринимателей при проведении государственного контроля (надзора)".

3.3.7. Лицензионная комиссия, созданная в соответствии с п. 3.2 настоящего Регламента, не позднее 42 дней с даты регистрации заявления и документов, поступивших от соискателя лицензии, рассматривает документы и предложения Секретариата Лицензионной комиссии и дает рекомендации (заключение) о возможности предоставления соискателю лицензии на осуществление деятельности в области гидрометеорологии и смежных с ней областях или об отказе в предоставлении лицензии. Рекомендации Комиссии вносятся в протокол заседания. Соискатель лицензии может присутствовать на заседании Комиссии, на котором рассматривается вопрос о предоставлении ему лицензии.

3.3.8. При положительном заключении, в течение 2 дней с даты заседания Комиссии, Секретариат Лицензионной комиссии готовит проект приказа о предоставлении соискателю лицензии на осуществление деятельности в области гидрометеорологии и смежных с ней областях и проект документа, подтверждающего наличие лицензии, которые рассматриваются и подписываются руководителем Росгидромета, а также уведомление соискателя лицензии о предоставлении ему лицензии на осуществление деятельности в области гидрометеорологии и смежных с ней областях, которое подписывается заместителем руководителя Росгидромета. Подписание данных документов подтверждает принятие решения о предоставлении лицензии и вместе с выдачей документа, подтверждающего наличие лицензии, является результатом лицензирования. Кроме того, Секретариат готовит уведомление в инспекции Федеральной налоговой службы России о предоставлении лицензии юридическим лицам, которое подписывается заместителем Руководителя Росгидромета.

При отрицательном заключении Комиссии, в течение 2 дней с даты ее заседания, Секретариат Лицензионной комиссии готовит уведомление соискателя лицензии об отказе ему в предоставлении лицензии на осуществление деятельности в области гидрометеорологии и смежных с ней областях с указанием причин отказа, в том числе реквизитов акта проверки возможности выполнения соискателем лицензии лицензионных требований и условий, если причиной отказа явилась невозможность выполнения соискателем указанных требований и условий. Уведомление рассматривается и подписывается руководителем Росгидромета и направляется (вручается) соискателю лицензии.

3.3.9. В предоставлении лицензии на осуществление деятельности в области гидрометеорологии и смежных с ней областях отказывается по следующим основаниям:

1) при наличии в документах, представленных соискателем лицензии, недостоверной или искаженной информации;

2) при несоответствии соискателя лицензии, принадлежащих ему или используемых им объектов лицензионным требованиям и условиям.

3.3.10. В течение 3 рабочих дней с даты подписания приказа и документа, подтверждающего наличие лицензии на осуществление деятельности в области гидрометеорологии и смежных с ней областях, Секретариат Лицензионной комиссии направляет (уведомляет) об этом соискателя в письменной форме, а также размещает соответствующую информацию на Интернет-сайте www.meteorf.ru.

В течение 3 рабочих дней после представления соискателем лицензии документа, подтверждающего уплату государственной пошлины за предоставление лицензии, ответственный исполнитель выдает лицензиату документ, подтверждающий наличие лицензии на осуществление деятельности в области гидрометеорологии и смежных с ней областях.

3.3.11. В течение 3 рабочих дней с даты подписания документа, подтверждающего наличие лицензии на осуществление деятельности в области гидрометеорологии и смежных с ней областях, либо уведомления об отказе в предоставлении лицензии ответственный исполнитель направляет все документы для внесения изменений в реестр лицензий и их архивирования в виде лицензионного дела.

3.3.12. Лицензионное дело независимо от того, предоставлена соискателю лицензия на осуществление деятельности в области гидрометеорологии и смежных с ней областях или ему отказано в предоставлении лицензии, подлежит хранению в Росгидромете вместе с соответствующими заключениями, копиями приказов, копиями и дубликатами документов, подтверждающих наличие лицензии, других документов с соблюдением требований по обеспечению конфиденциальности информации в течение всего срока действия лицензии и в течение 5 лет после окончания ее действия.

3.4. Административная процедура "Переоформление документов, подтверждающих наличие лицензии на осуществление деятельности в области гидрометеорологии и смежных с ней областях" осуществляется в связи с поступлением заявления от юридического лица, имеющего лицензию на осуществление деятельности в области гидрометеорологии и смежных с ней областях или от его правопреемника, в котором указываются новые сведения о лицензиате или его правопреемнике и данные документа, подтверждающего факт внесения соответствующих изменений в единый государственный реестр юридических лиц в соответствии с нижеследующим порядком (схема осуществления административной процедуры приведена в Приложении 3).

Продление срока действия лицензии осуществляется в порядке переоформления документа, подтверждающего наличие лицензии.

3.4.1. Заявление о переоформлении документа, подтверждающего наличие лицензии на осуществление деятельности в области гидрометеорологии и смежных с ней областях, подается лицензиатом в случае реорганизации юридического лица в форме преобразования, изменения его наименования или места его нахождения, а также в случае изменения адресов мест осуществления юридическим лицом деятельности в области гидрометеорологии и смежных с ней областях в Росгидромет не позднее чем через пятнадцать дней со дня внесения соответствующих изменений в единый государственный реестр юридических лиц либо со дня изменения адресов мест осуществления юридическим лицом лицензируемого вида деятельности.

3.4.2. Переоформление документа, подтверждающего наличие лицензии на осуществление деятельности в области гидрометеорологии и смежных с ней областях, осуществляется Росгидрометом в течение 10 (десяти) дней со дня получения заявления с приложением квитанции об уплате государственной пошлины.

3.4.3. Заявление и документы о переоформлении документа, подтверждающего наличие лицензии на осуществление деятельности в области гидрометеорологии и смежных с ней областях, регистрируются в день поступления в Росгидромет. Заявление может быть направлено лицензиатом или его правопреемником по почте заказным письмом с описью вложения и уведомлением о вручении. Контроль ведения учета поступивших заявления и документов осуществляет Секретариат Лицензионной комиссии Росгидромета.

3.4.4. Руководитель Секретариата Лицензионной комиссии в течение 2 дней с даты поступления заявления и документов о переоформлении документа, подтверждающего наличие лицензии на осуществление деятельности в области гидрометеорологии и смежных с ней областях, назначает из числа сотрудников Секретариата ответственного исполнителя по рассмотрению заявления. Фамилия, имя и отчество ответственного исполнителя, его место работы и телефон должны быть сообщены лицензиату по его письменному или устному обращению.

3.4.5. Ответственный исполнитель в течение 6 дней с даты своего назначения осуществляет проверку полноты и достоверности представленных сведений путем сопоставления сведений, содержащихся в заявлении и документах, представленных лицензиатом, со сведениями, содержащимися в Едином государственном реестре юридических лиц, которые предоставляются Росгидромету Федеральной налоговой службой в порядке, установленном Правительством Российской Федерации, с целью определения:

- наличия оснований переоформления документа, подтверждающего наличие лицензии на осуществление деятельности в области гидрометеорологии и смежных с ней областях, указанных в пункте 3.4.1 настоящего Регламента;

- достоверности представленных в заявлении сведений.

При положительных результатах проверки ответственный исполнитель готовит проект соответствующего приказа, проект переоформленного документа, подтверждающего наличие лицензии, которые подписываются руководителем Росгидромета, а также уведомление лицензиата о переоформлении лицензии на осуществление деятельности в области гидрометеорологии и смежных с ней областях, которое подписывается заместителем руководителя Росгидромета. Кроме того, ответственный исполнитель готовит уведомление в инспекции Федеральной налоговой службы России о предоставлении лицензии юридическим лицам, которое подписывается заместителем руководителя Росгидромета.

При отрицательных результатах проверки ответственный исполнитель готовит проект соответствующего приказа и уведомление об отказе в переоформлении документа, подтверждающего наличие лицензии на осуществление деятельности в области гидрометеорологии и смежных с ней областях с указанием причин отказа, которое подписывается руководителем Росгидромета и направляется лицензиату или его правопреемнику.

3.4.6. В переоформлении документа, подтверждающего наличие лицензии на осуществление деятельности в области гидрометеорологии и смежных с ней областях, отказывается в случае представления заявителем неполных или недостоверных сведений. Переоформление документа, подтверждающего наличие лицензии на осуществление деятельности в области гидрометеорологии и смежных с ней областях, не производится при отсутствии оснований для переоформления, указанных в пункте 3.4.1 настоящего Регламента.

3.4.7. В течение 3 рабочих дней с даты подписания приказа и переоформленного документа, подтверждающего наличие лицензии на осуществление деятельности в области гидрометеорологии и смежных с ней областях, ответственный исполнитель направляет лицензиату или его правопреемнику уведомление об этом.

3.4.8. В течение 3 рабочих дней с даты подписания переоформленного документа, подтверждающего наличие лицензии на осуществление деятельности в области гидрометеорологии и смежных с ней областях, либо уведомления об отказе ответственный исполнитель направляет все документы для внесения изменений в реестр лицензий и их архивирования в соответствующее лицензионное дело, которое ведется в соответствии с требованиями пункта 3.3.12 настоящего Регламента.

3.5. Административная процедура "Приостановление действия и аннулирование лицензии на выполнение работ по активному воздействию" осуществляется в связи с выявлением в ходе проведения мероприятий по контролю грубых нарушений лицензионных требований и условий, приведенных в п. 1.5 настоящего Регламента, в соответствии с нижеследующим порядком (схема осуществления административной процедуры приведена в Приложении 4).

3.5.1. При выявлении в ходе проведения мероприятий по контролю грубых нарушений лицензионных требований и условий, указанных в п. 1.3 настоящего Регламента, а также иных обстоятельств, которые могут причинить вред жизни, здоровью людей, окружающей среде и имуществу, должностное лицо Росгидромета в течение 3 дней готовит докладную записку с предложением о приостановлении действия лицензии на осуществление деятельности в области гидрометеорологии и смежных с ней областях с приложением копии протокола об административном правонарушении и направляет ее на имя руководителя Росгидромета для рассмотрения и принятия решения о направлении дела в суд.

3.5.2. В том случае, если Руководитель Росгидромета принимает решение о направлении дела в суд, руководитель Секретариата Лицензионной комиссии в тот же день передает в соответствующее подразделение Росгидромета, курирующее осуществление деятельности в области гидрометеорологии и смежных с ней областях, необходимые выписки из лицензионного дела.

Протокол об административном правонарушении направляется судье, уполномоченному рассматривать дело об административном правонарушении, в течение суток с момента составления протокола об административном правонарушении.

3.5.3. В случае вынесения судьей решения об административном приостановлении деятельности лицензиата за нарушение лицензионных требований и условий Росгидромет в течение суток со дня вступления данного решения в законную силу приостанавливает действие лицензии на срок административного приостановления деятельности лицензиата, о чем лицензиату направляется соответствующее уведомление.

Лицензиат обязан уведомить в письменной форме Росгидромет об устранении им нарушения лицензионных требований и условий, повлекшего за собой административное приостановление деятельности лицензиата.

Действие лицензии возобновляется со дня, следующего за днем истечения срока административного приостановления деятельности лицензиата, или со дня, следующего за днем досрочного прекращения исполнения административного наказания в виде административного приостановления деятельности лицензиата, о чем лицензиату направляется соответствующее письменное уведомление. Срок действия лицензии на время приостановления ее действия не продлевается.

3.5.4. В случае если в установленный судом срок лицензиат не устранил нарушение лицензионных требований и условий, повлекшее за собой административное приостановление деятельности лицензиата, Росгидромет обязан обратиться в суд с заявлением об аннулировании лицензии. Лицензия аннулируется решением суда. В течение суток с даты принятия судом решения об аннулировании лицензии Росгидромет готовит соответствующий приказ и уведомляет лицензиата об этом.

3.5.5. Действие лицензии на осуществление деятельности в области гидрометеорологии и смежных с ней областях прекращается со дня внесения в единый государственный реестр юридических лиц записи о ликвидации юридического лица или прекращении его деятельности в результате реорганизации (за исключением реорганизации в форме преобразования или слияния при наличии на дату государственной регистрации правопреемника реорганизованных юридических лиц у каждого участвующего в слиянии юридического лица лицензии на один и тот же вид деятельности) либо со дня окончания срока действия лицензии или принятия Росгидрометом решения о досрочном прекращении действия лицензии на основании представленного заявления в письменной форме лицензиата - юридического лица о прекращении им осуществления деятельности в области гидрометеорологии и смежных с ней областях, а также со дня вступления в законную силу решения суда об аннулировании лицензии.

3.5.6. Документы, связанные с приостановлением, возобновлением и аннулированием лицензии на осуществление деятельности в области гидрометеорологии и смежных с ней областях, включая переписку с лицензиатом, приобщаются к лицензионному делу и хранятся в соответствии с требованиями пункта 3.3.12 настоящего Регламента. Сведения о приостановлении, возобновлении и о прекращении действия лицензии на осуществление деятельности в области гидрометеорологии и смежных с ней областях заносятся в реестр лицензий.

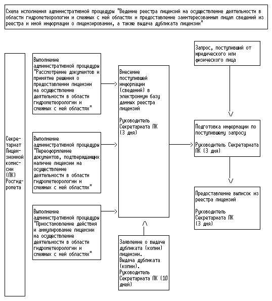
3.6. Административная процедура "Ведение реестра лицензий на осуществление деятельности в области гидрометеорологии и смежных с ней областях и предоставление заинтересованным лицам сведений из реестра и иной информации о лицензировании, а также выдача дубликата лицензии" осуществляется в связи с выполнением административных процедур "Рассмотрение документов и принятие решения о предоставлении лицензии на осуществление деятельности в области гидрометеорологии и смежных с ней областях", "Переоформление документов, подтверждающих наличие лицензии на осуществление деятельности в области гидрометеорологии и смежных с ней областях", "Приостановление действия и аннулирование лицензии на осуществление деятельности в области гидрометеорологии и смежных с ней областях" настоящего Регламента (Приложение 5).

В случае утраты документа, подтверждающего наличие лицензии на осуществление деятельности в области гидрометеорологии и смежных с ней областях, лицензиат имеет право на получение его дубликата. Росгидромет выдает дубликат на основании письменного заявления лицензиата в течение 10 дней с даты получения заявления. Дубликат документа, подтверждающего наличие лицензии, оформляется с пометкой "дубликат" в 2 экземплярах, один из которых вручается лицензиату, другой хранится в лицензионном деле.

Лицензиат имеет право на получение заверенных Росгидрометом копий документа, подтверждающего наличие лицензии. Росгидромет выдает заверенную им копию на основании письменного заявления лицензиата в течение 7 дней с даты получения заявления.

3.6.1. Электронная база данных реестра лицензий на осуществление деятельности в области гидрометеорологии и смежных с ней областях ведется в Секретариате Лицензионной комиссии Росгидромета и включает в себя следующие сведения:

- наименование лицензирующего органа;

- полное и (в случае, если имеется) сокращенное наименование, в том числе фирменное наименование, и организационно-правовая форма юридического лица, место его нахождения, адреса мест осуществления лицензируемого вида деятельности, основной государственный регистрационный номер записи о создании юридического лица;

- фамилия, имя и (в случае, если имеется) отчество индивидуального предпринимателя, место его жительства, адреса мест осуществления лицензируемого вида деятельности, данные документа, удостоверяющего его личность, государственный регистрационный номер записи о государственной регистрации индивидуального предпринимателя;

- лицензируемый вид деятельности - осуществление деятельности в области гидрометеорологии и смежных с ней областях (с указанием основных разделов, указанных в п. 1.2 настоящего Регламента, - определение метеорологических, климатологических, гидрологических, океанологических, гелиогеофизических и агрометеорологических характеристик окружающей среды; определение уровня загрязнения (включая радиоактивное) атмосферного воздуха, почв, водных объектов и околоземного космического пространства, подготовку и предоставление потребителям прогностической, аналитической и расчетной информации о состоянии окружающей среды, ее загрязнении (включая радиоактивное), формирование и ведение банков данных в области гидрометеорологии и смежных с ней областях);

- срок действия лицензии;

- идентификационный номер налогоплательщика;

- номер лицензии;

- дата принятия решения о предоставлении лицензии;

- сведения о регистрации лицензии в реестре лицензий;

- основание и срок приостановления и возобновления действия лицензии;

- основание и дата аннулирования лицензии;

- сведения об адресах мест осуществления лицензируемого вида деятельности;

- сведения о выдаче документа, подтверждающего наличие лицензии;

- основание и дата прекращения действия лицензии.

3.6.2. В течение 3 рабочих дней с даты поступления соответствующих сведений руководитель Секретариата Лицензионной комиссии или лицо, им назначенное (ответственный исполнитель), вводит их в электронную базу данных реестра лицензий и архивирует ее.

3.6.3. Ведение электронной базы данных реестра лицензий ведется на основании лицензионных дел, которые представляют собой архив на бумажных носителях и включают в себя следующие документы или их копии:

1) документы, представленные для лицензирования осуществления деятельности в области гидрометеорологии и смежных с ней областях, для переоформления документа, подтверждающего наличие лицензии, документы, связанные с проведением мероприятий по контролю соблюдения лицензионных требований и условий, приостановлением и возобновлением действия лицензии, прекращением действия лицензии на осуществление деятельности в области гидрометеорологии и смежных с ней областях;

2) решения о предоставлении лицензии на осуществление деятельности в области гидрометеорологии и смежных с ней областях, о переоформлении документа, подтверждающего наличие лицензии, протоколы лицензионных комиссий;

3) копии документов, подтверждающих наличие лицензии на осуществление деятельности в области гидрометеорологии и смежных с ней областях.

Лицензионные дела хранятся в Секретариате Лицензионной комиссии Росгидромета.

3.6.4. На официальном Интернет-сайте www.meteorf.ru в открытом доступе должны размещаться и ежемесячно обновляться следующие сведения из электронной базы данных реестра лицензий на осуществление деятельности в области гидрометеорологии и смежных с ней областях:

- наименование и организационно-правовая форма юридического лица;

- местонахождение (юридический адрес) юридического лица или индивидуального предпринимателя;

- наименование лицензирующего органа;

- лицензируемый вид деятельности - осуществление деятельности в области гидрометеорологии и смежных с ней областях (с указанием основных разделов, указанных в п. 1.2 настоящего Регламента, - определение метеорологических, климатологических, гидрологических, океанологических, гелиогеофизических и агрометеорологических характеристик окружающей среды; определение уровня загрязнения (включая радиоактивное) атмосферного воздуха, почв, водных объектов и околоземного космического пространства, подготовку и предоставление потребителям прогностической, аналитической и расчетной информации о состоянии окружающей среды, ее загрязнении (включая радиоактивное), формирование и ведение банков данных в области гидрометеорологии и смежных с ней областях);

- регистрационный номер лицензии;

- сведения об адресах мест осуществления лицензируемой деятельности;

- срок действия лицензии;

- сведения о приостановлении, возобновлении и аннулировании и прекращении действия лицензии.

3.6.5. Информация, содержащаяся в реестре лицензий, в виде выписок о конкретных лицензиатах предоставляется заинтересованным лицам на основании их письменного запроса и документа об оплате за предоставление информации в течение 3 дней со дня его поступления в Росгидромет.

3.6.6. Контроль ведения реестра лицензий на осуществление деятельности в области гидрометеорологии и смежных с ней областях осуществляет руководитель Секретариата Лицензионной комиссии.

4. Порядок и формы контроля за исполнением государственной функции

4.1. Контроль за соблюдением лицензиатом лицензионных требований и условий при осуществлении деятельности в области гидрометеорологии и смежных с ней областях проводится на основании статьи 12 Федерального закона от 08.08.2001 N 128-ФЗ.

4.2. Плановые мероприятия по контролю за соблюдением лицензионных требований и условий осуществления деятельности в области гидрометеорологии и смежных с ней областях (далее - плановые мероприятия по контролю) осуществляются в соответствии с планом, разрабатываемым Секретариатом Лицензионной комиссии и утверждаемым руководством Росгидромета. Сведения о проведении плановых мероприятий по контролю размещаются на официальном Интернет-сайте www.meteorf.ru.

В отношении одного лицензиата плановое мероприятие по контролю по каждому месту осуществления деятельности в области гидрометеорологии и смежных с ней областях, указанному в документе, подтверждающем наличие лицензии, проводится не более чем 1 (один) раз в 2 (два) года. В отношении субъекта малого предпринимательства плановое мероприятие по контролю проводится не ранее чем через 3 (три) года с момента его государственной регистрации.

4.3. Внеплановые мероприятия по контролю за соблюдением лицензиатами лицензионных требований и условий осуществления деятельности в области гидрометеорологии и смежных с ней областях (далее - внеплановые мероприятия по контролю) осуществляются в следующих случаях:

1) при выявлении в результате планового мероприятия по контролю нарушений лицензионных требований и условий - с целью контроля исполнения предписаний об устранении выявленных нарушений;

2) при получении информации от юридических лиц, индивидуальных предпринимателей, органов государственной власти о возникновении аварийных ситуаций, об изменениях или о нарушениях технологических процессов, а также о выходе из строя сооружений, оборудования, которые могут непосредственно причинить вред жизни, здоровью людей, окружающей среде и имуществу граждан, юридических лиц и индивидуальных предпринимателей;

3) при возникновении угрозы здоровью и жизни граждан, загрязнения окружающей среды, повреждения имущества, в том числе в отношении однородных работ, выполняемых другими юридическими лицами и (или) индивидуальными предпринимателями;

4) при обращении граждан, юридических лиц и индивидуальных предпринимателей с жалобами на нарушения их прав и законных интересов действиями (бездействием) иных юридических лиц и (или) индивидуальных предпринимателей, связанные с невыполнением ими обязательных требований, а также при получении иной информации, подтверждаемой документами и иными доказательствами, свидетельствующими о наличии признаков таких нарушений.

Внеплановые мероприятия по контролю в случаях, установленных подпунктами 2 и 3 настоящего пункта, могут проводиться по мотивированному решению Росгидромета, в том числе в отношении иных юридических лиц и индивидуальных предпринимателей, выполняющих соответствующие однородные работы в области гидрометеорологии и смежных с ней областях.

Обращения, не позволяющие установить лицо, обратившееся в Росгидромет, не могут служить основанием для проведения внепланового мероприятия по контролю.

4.4. Ежегодно Секретариат Лицензионной комиссии готовит проект приказа об организации проверки лицензиатов с поквартальным графиком проведения проверок. При наступлении очередного этапа плана мероприятий по контролю либо событий, определенных в пункте 4.3 настоящего Регламента, Секретариат Лицензионной комиссии в течение 7 рабочих дней готовит приказ на проведение проверки, который утверждается руководителем Росгидромета.

В приказе должны быть указаны:

- наименование органа государственного контроля (надзора);

- фамилии, имена, отчества и должности лиц, уполномоченных на проведение мероприятия по контролю;

- наименование юридического лица или фамилия, имя, отчество индивидуального предпринимателя, в отношении которого проводится мероприятие по контролю;

- цели, задачи и предмет проводимого мероприятия по контролю;

- правовые основания проведения мероприятия по контролю, в том числе нормативные правовые акты, обязательные требования которых подлежат проверке;

- дата начала и окончания мероприятия по контролю.

Приказ о проведении мероприятия по контролю либо его заверенная печатью копия предъявляется должностным лицом, осуществляющим мероприятие по контролю, руководителю или иному должностному лицу юридического лица или индивидуальному предпринимателю, в отношении которого проводится мероприятие по контролю, одновременно со служебным удостоверением.

4.5. Мероприятия по контролю проводятся в строгом соответствии со сведениями, указанными в приказе, должностными лицами, которые указаны в приказе о проведении мероприятия по контролю.

Продолжительность плановых и внеплановых мероприятий по контролю не должна превышать один месяц. В исключительных случаях, связанных с необходимостью проведения специальных исследований (испытаний), экспертиз со значительным объемом мероприятий по контролю, на основании мотивированного предложения должностного лица, осуществляющего мероприятие по контролю, руководителем органа государственного контроля (надзора) или его заместителем срок проведения мероприятия по контролю может быть продлен, но не более чем на один месяц.

4.6. По результатам мероприятия по контролю должностным лицом (лицами) Росгидромета, осуществляющим проверку, составляется акт в двух экземплярах.

В акте указываются:

- дата, время и место составления акта;

- наименование органа государственного контроля (надзора);

- дата и номер приказа, на основании которого проведено мероприятие по контролю;

- фамилии, имена, отчества и должности лиц, проводивших мероприятие по контролю;

- наименование проверяемого юридического лица и индивидуального предпринимателя;

- дата, время и место проведения мероприятия по контролю;

- сведения о результатах мероприятия по контролю, в том числе о выявленных нарушениях, об их характере, о лицах, на которых возлагается ответственность за совершение этих нарушений;

- сведения об ознакомлении или об отказе в ознакомлении с актом представителя юридического лица и индивидуального предпринимателя;

- подпись должностных лиц, осуществивших мероприятие по контролю.

К акту прилагаются акты об обследовании объектов окружающей среды, протоколы (заключения) проведенных исследований (испытаний) и экспертиз, объяснения должностных лиц органов государственного контроля (надзора), работников, на которых возлагается ответственность за нарушения обязательных требований, и другие документы или их копии, связанные с результатами мероприятия по контролю.

Один экземпляр акта с копиями приложений вручается руководителю юридического лица или его заместителю или их представителям (или индивидуальному предпринимателю) под расписку либо направляется посредством почтовой связи с уведомлением о вручении, которое приобщается к экземпляру акта, остающемуся в лицензионном деле.

В случае выявления в результате мероприятия по контролю административного правонарушения должностным лицом Росгидромета составляется протокол в порядке, установленном законодательством Российской Федерации об административных правонарушениях, и даются предписания об устранении выявленных нарушений. Протокол, акт проверки и предписания приобщаются к лицензионному делу.

4.7. Должностные лица Росгидромета в случае ненадлежащего исполнения своих обязанностей при осуществлении государственной функции по лицензированию деятельности в области гидрометеорологии и смежных с ней областях и в случае совершения противоправных действий (бездействия) несут ответственность в соответствии с законодательством Российской Федерации.

4.8. Действия или бездействие должностных лиц Росгидромета в связи с исполнением государственной функции по лицензированию деятельности в области гидрометеорологии и смежных с ней областях могут быть обжалованы в соответствии с законодательством Российской Федерации.

4.9. О мерах, принятых в отношении виновных в нарушении законодательства Российской Федерации должностных лиц, Росгидромет в течение тридцати дней обязан сообщить юридическому лицу или индивидуальному предпринимателю, права и законные интересы которых нарушены.

5. Порядок обжалования действий (бездействия) должностного лица, а также принимаемого им решения при исполнении государственной функции

5.1. Юридическое лицо или индивидуальный предприниматель, права и законные интересы которых нарушены должностным лицом Росгидромета в случае ненадлежащего исполнения своих обязанностей при осуществлении государственной функции по лицензированию деятельности в области гидрометеорологии и смежных с ней областях, имеет право обжалование действий (бездействия) и решений, принятых (осуществляемых) в ходе исполнения государственной функции.

5.2. Предметом обжалования может являться нарушение порядка осуществления административных процедур, изложенных в разделе 3 настоящего Регламента, а также других требований и положений настоящего Регламента.

5.3. Для обжалования порядка заявитель подает письменное обращение в Росгидромет, в котором в обязательном порядке указывает либо фамилию, имя, отчество соответствующего должностного лица, либо должность соответствующего лица, нарушившего права и законные интересы заявителя, а также наименование юридического лица, почтовый адрес, по которому должны быть направлены ответ, уведомление о переадресации обращения, излагает суть предложения, заявления или жалобы, ставит личную подпись и дату.

В случае необходимости в подтверждение своих доводов заявитель прилагает к письменному обращению документы и материалы либо их копии. Заявитель имеет право на получение информации и документов, необходимых для обоснования и рассмотрения жалобы.

5.4. Письменное обращение подлежит обязательной регистрации в течение трех дней с момента поступления в Росгидромет.

Запрещается направлять жалобу на рассмотрение должностному лицу, решение или действие (бездействие) которого обжалуется.

5.5. Обращение, поступившее в Росгидромет, подлежит обязательному рассмотрению.

Основанием для отказа в рассмотрении обращении либо приостановления ее рассмотрения могут также быть:

если в письменном обращении отсутствуют сведения, которые должны быть указаны в соответствии с п. 5.3 настоящего Регламента;

если в письменном обращении содержатся нецензурные либо оскорбительные выражения, угрозы жизни, здоровью и имуществу должностного лица, действие (бездействие) которого обжалуются.

Если текст письменного обращения не поддается прочтению, ответ на обращение не дается, о чем сообщается заявителю, направившему обращение, если его фамилия и почтовый адрес поддаются прочтению.

В случае если в письменном обращении заявителя в Росгидромет содержится вопрос, на который ему многократно давались письменные ответы по существу в связи с ранее направляемыми обращениями, и при этом в обращении не приводятся новые доводы или обстоятельства, руководитель Росгидромета либо уполномоченное на то лицо вправе принять решение о безосновательности очередного обращения и прекращении переписки с заявителем по данному вопросу. О данном решении уведомляется заявитель, направивший обращение.

В случае если ответ по существу поставленного в обращении вопроса не может быть дан без разглашения сведений, составляющих государственную или иную охраняемую федеральным законом тайну, заявителю, направившему обращение, сообщается о невозможности дать ответ по существу поставленного в нем вопроса в связи с недопустимостью разглашения указанных сведений.

В случае если причины, по которым ответ по существу поставленных в обращении вопросов не мог быть дан, в последующем были устранены, заявитель вправе вновь направить обращение в Росгидромет.

5.6. Письменное обращение, поступившее в Росгидромет, рассматривается в течение 30 дней со дня регистрации письменного обращения.

В исключительных случаях, а также в случае направления запроса, предусмотренного подпунктом 2 п. 5.7 настоящего Регламента, руководитель Росгидромета либо уполномоченное на то лицо вправе продлить срок рассмотрения обращения не более чем на 30 дней, уведомив о продлении срока его рассмотрения заявителя, направившего обращение.

5.7. Росгидромет:

1) обеспечивает объективное, всестороннее и своевременное рассмотрение обращения, в случае необходимости - с участием заявителя, направившего обращение;

2) запрашивает необходимые для рассмотрения обращения документы и материалы;

3) принимает меры, направленные на восстановление или защиту нарушенных прав, свобод и законных интересов заявителя;

4) дает письменный ответ по существу поставленных в обращении вопросов;

5) уведомляет заявителя о направлении его обращения на рассмотрение в подведомственный государственный орган или должностному лицу в соответствии с их компетенцией.

5.8. Результатом обжалования является ответ на обращение, который подписывается руководителем Росгидромета либо уполномоченным на то лицом. Ответ на обращение направляется по почтовому адресу, указанному в обращении.

5.9. Росгидромет и его должностные лица осуществляют в пределах своей компетенции контроль за соблюдением порядка рассмотрения обращений, анализируют содержание поступающих обращений, принимают меры по своевременному выявлению и устранению причин нарушения прав и законных интересов заявителей.

5.10. При судебном обжаловании сроки обжалования и юрисдикция суда, в который подается соответствующее заявление, устанавливаются в соответствии с законодательством Российской Федерации.

Приложение 1
к Административному регламенту
Федеральной службы
по гидрометеорологии и мониторингу
окружающей среды по исполнению
государственной функции
по лицензированию деятельности
в области гидрометеорологии
и смежных с ней областях

Приложение 2
к Административному регламенту
Федеральной службы
по гидрометеорологии и мониторингу
окружающей среды по исполнению
государственной функции
по лицензированию деятельности
в области гидрометеорологии
и смежных с ней областях

ОПИСЬ ДОКУМЕНТОВ

Настоящим удостоверяется, что _______________________________ (Ф.И.О.), представитель соискателя лицензии (лицензиата) ____________________________ _____________________________________ (наименование соискателя) представил, а лицензирующий орган _______________________________________ (наименование лицензирующего органа) принял от соискателя лицензии (лицензиата) "__" ___________ 200_ г. ________________________________________ следующие документы для предоставления лицензии на деятельность в области гидрометеорологии и смежных с ней областях:

п/п Наименование документа Наличие и состояние документов (заполняется при приеме документов) Дополнительно представлено
1 заявление соискателя лицензии/лицензиата    
2 <*> копии учредительных документов - для юридического лица    
3 документ, подтверждающий уплату государственной пошлины за рассмотрение лицензирующим органом заявления о предоставлении лицензии    
4 перечень имеющихся оборудования и приборов    
5 перечень имеющейся нормативной, методической, технологической и технической документации    
6 копия документа (диплом, аттестат), подтверждающего квалификацию работников юридического лица или индивидуального предпринимателя    
7 копии документов или заверенные в установленном порядке выписки из документов, подтверждающих наличие у работников юридического лица или индивидуального предпринимателя стажа деятельности в области гидрометеорологии и смежных с ней областях    

<*> Если верность копий не засвидетельствована в нотариальном порядке, копии предоставляются с представлением оригиналов.

Документы сдал:     Документы принял:  
         
(Ф.И.О., должность, подпись)   (Ф.И.О., должность, подпись)

Приложение 3
к Административному регламенту
Федеральной службы
по гидрометеорологии и мониторингу
окружающей среды по исполнению
государственной функции
по лицензированию деятельности
в области гидрометеорологии
и смежных с ней областях

Приложение 4
к Административному регламенту
Федеральной службы
по гидрометеорологии и мониторингу
окружающей среды по исполнению
государственной функции
по лицензированию деятельности
в области гидрометеорологии
и смежных с ней областях

Приложение 5
к Административному регламенту
Федеральной службы
по гидрометеорологии и мониторингу
окружающей среды по исполнению
государственной функции
по лицензированию деятельности
в области гидрометеорологии
и смежных с ней областях