Приказ Россвязьохранкультуры от 19.03.2008 N 128

"Об утверждении Административного регламента Федеральной службы по надзору в сфере массовых коммуникаций, связи и охраны культурного наследия по исполнению государственной функции по рассмотрению обращений операторов связи по вопросам присоединения сетей электросвязи и взаимодействия операторов связи, принятию по ним решений и выдаче предписаний в соответствии с Федеральным законом"
Редакция от 19.03.2008 — Документ утратил силу, см. «Приказ Минкомсвязи РФ от 16.08.2010 N 107»

Зарегистрировано в Минюсте РФ 14 апреля 2008 г. N 11518


ФЕДЕРАЛЬНАЯ СЛУЖБА ПО НАДЗОРУ В СФЕРЕ МАССОВЫХ КОММУНИКАЦИЙ, СВЯЗИ И ОХРАНЫ КУЛЬТУРНОГО НАСЛЕДИЯ

ПРИКАЗ
от 19 марта 2008 г. N 128

ОБ УТВЕРЖДЕНИИ АДМИНИСТРАТИВНОГО РЕГЛАМЕНТА ФЕДЕРАЛЬНОЙ СЛУЖБЫ ПО НАДЗОРУ В СФЕРЕ МАССОВЫХ КОММУНИКАЦИЙ, СВЯЗИ И ОХРАНЫ КУЛЬТУРНОГО НАСЛЕДИЯ ПО ИСПОЛНЕНИЮ ГОСУДАРСТВЕННОЙ ФУНКЦИИ ПО РАССМОТРЕНИЮ ОБРАЩЕНИЙ ОПЕРАТОРОВ СВЯЗИ ПО ВОПРОСАМ ПРИСОЕДИНЕНИЯ СЕТЕЙ ЭЛЕКТРОСВЯЗИ И ВЗАИМОДЕЙСТВИЯ ОПЕРАТОРОВ СВЯЗИ, ПРИНЯТИЮ ПО НИМ РЕШЕНИЙ И ВЫДАЧЕ ПРЕДПИСАНИЙ В СООТВЕТСТВИИ С ФЕДЕРАЛЬНЫМ ЗАКОНОМ

В соответствии с Положением о Федеральной службе по надзору в сфере массовых коммуникаций, связи и охраны культурного наследия, утвержденным Постановлением Правительства Российской Федерации от 6 июня 2007 года N 354 (Собрание законодательства Российской Федерации, 2007, N 24, ст. 2923; N 52, ст. 6462), Постановлением Правительства Российской Федерации от 11 ноября 2005 года N 679 "О порядке разработки и утверждения административных регламентов исполнения государственных функций и административных регламентов предоставления государственных услуг" (Собрание законодательства Российской Федерации, 2005, N 47, ст. 4933; 2007, N 50, ст. 6285) приказываю:

1. Утвердить прилагаемый Административный регламент Федеральной службы по надзору в сфере массовых коммуникаций, связи и охраны культурного наследия по исполнению государственной функции по рассмотрению обращений операторов связи по вопросам присоединения сетей электросвязи и взаимодействия операторов связи, принятию по ним решений и выдаче предписаний в соответствии с федеральным законом.

2. Направить настоящий Приказ на государственную регистрацию в Министерство юстиции Российской Федерации.

3. Контроль за исполнением настоящего Приказа оставляю за собой.

Руководитель
Б.А.БОЯРСКОВ

Приложение
к Приказу Россвязьохранкультуры
от 19.03.2008 N 128

АДМИНИСТРАТИВНЫЙ РЕГЛАМЕНТ
ФЕДЕРАЛЬНОЙ СЛУЖБЫ ПО НАДЗОРУ В СФЕРЕ МАССОВЫХ КОММУНИКАЦИЙ, СВЯЗИ И ОХРАНЫ КУЛЬТУРНОГО НАСЛЕДИЯ ПО ИСПОЛНЕНИЮ ГОСУДАРСТВЕННОЙ ФУНКЦИИ ПО РАССМОТРЕНИЮ ОБРАЩЕНИЙ ОПЕРАТОРОВ СВЯЗИ ПО ВОПРОСАМ ПРИСОЕДИНЕНИЯ СЕТЕЙ ЭЛЕКТРОСВЯЗИ И ВЗАИМОДЕЙСТВИЯ ОПЕРАТОРОВ СВЯЗИ, ПРИНЯТИЮ ПО НИМ РЕШЕНИЙ И ВЫДАЧЕ ПРЕДПИСАНИЙ В СООТВЕТСТВИИ С ФЕДЕРАЛЬНЫМ ЗАКОНОМ

I. Общие положения

1. Административный регламент Федеральной службы по надзору в сфере массовых коммуникаций, связи и охраны культурного наследия по исполнению государственной функции по рассмотрению обращений операторов связи по вопросам присоединения сетей электросвязи и взаимодействия операторов связи, принятию по ним решений и выдаче предписаний в соответствии с федеральным законом (далее - Административный регламент) определяет сроки и последовательность административных процедур и административных действий Федеральной службы по надзору в сфере массовых коммуникаций, связи и охраны культурного наследия (далее - Россвязьохранкультура) и ее территориальных органов, а также порядок взаимодействия Россвязьохранкультуры, территориальных органов Россвязьохранкультуры и их структурных подразделений с операторами связи при осуществлении полномочий по рассмотрению обращений операторов связи по вопросам присоединения сетей электросвязи и взаимодействия операторов связи (далее - рассмотрение обращений), принятию по ним решений и выдаче предписаний в соответствии с федеральным законом.

2. Рассмотрение обращений операторов связи (далее - Заявители) осуществляется Россвязьохранкультурой или территориальными органами Россвязьохранкультуры в соответствии с настоящим Административным регламентом в случае, если предметом обращения Заявителя является присоединение сети электросвязи (кроме сети связи для распространения программ телевизионного вещания и радиовещания) Заявителя к сети связи общего пользования, взаимодействие сетей электросвязи (кроме сетей связи для распространения программ телевизионного вещания и радиовещания) или взаимодействие Заявителя с операторами сети связи общего пользования.

3. Исполнение государственной функции по рассмотрению обращений осуществляется в соответствии с:

Федеральным законом от 07.07.2003 N 126-ФЗ "О связи" (далее - Федеральный закон "О связи") (Собрание законодательства Российской Федерации, 2003, N 28, ст. 2895; N 52 (ч. I), ст. 5038; 2004, N 35, ст. 3607; 2004, N 45, ст. 4377; 2005, N 19, ст. 1752; 2006, N 6, ст. 636; 2006, N 10, ст. 1069; 2006, N 31 (ч. I), ст. 3431, ст. 3452; N 1, ст. 8; N 7, ст. 835);

Постановлением Правительства Российской Федерации от 06.06.2007 N 354 "Об утверждении Положения о Федеральной службе по надзору в сфере массовых коммуникаций, связи и охраны культурного наследия" (Собрание законодательства Российской Федерации, 2007, N 24, ст. 2923);

Постановлением Правительства Российской Федерации от 28.03.2005 N 161 "Об утверждении Правил присоединения сетей электросвязи и их взаимодействия" (Собрание законодательства Российской Федерации, 2005, N 14, ст. 1243; 2006, N 2, ст. 195);

Постановлением Правительства Российской Федерации от 02.03.2005 N 110 "Об утверждении Порядка осуществления государственного надзора за деятельностью в области связи" (Собрание законодательства Российской Федерации, 2005, N 10, ст. 850);

Постановлением Правительства Российской Федерации от 13.07.2004 N 350 "Об утверждении Правил распределения и использования ресурсов нумерации единой сети электросвязи Российской Федерации" (Собрание законодательства Российской Федерации, 2004, N 29, ст. 3056);

Приказом Министерства информационных технологий и связи Российской Федерации от 08.08.2005 N 97 с изменениями от 21.02.2006, 17.11.2006 "Об утверждении требований к построению телефонной сети связи общего пользования" (зарегистрирован в Минюсте России 18.08.2005. Регистрационный N 6916);

Приказом Министерства информационных технологий и связи Российской Федерации от 08.08.2005 N 98 с изменениями от 03.03.2006, 27.12.2006, 10.07.2007 "Об утверждении требований к порядку пропуска трафика в телефонной сети связи общего пользования" (зарегистрирован в Минюсте России 18.08.2005. Регистрационный N 6917);

Приказом Федеральной службы по надзору в сфере массовых коммуникаций, связи и охраны культурного наследия от 21.08.2007 N 101 "Об утверждении перечня должностных лиц Федеральной службы по надзору в сфере массовых коммуникаций, связи и охраны культурного наследия и ее территориальных органов, уполномоченных составлять протоколы об административных правонарушениях" (зарегистрирован в Минюсте России 17.09.2007, N 10150) (Российская газета, N 211, 22.09.2007).

4. Исполнение государственной функции по рассмотрению обращений включает в себя следующие административные процедуры:

рассмотрение обращения Заявителя;

подготовка проекта решения по обращению Заявителя;

принятие решения по обращению Заявителя;

передача принятого решения каждой из сторон спора;

выдача предписаний об устранении нарушений, выявленных в результате рассмотрения обращения Заявителя.

5. Исполнение государственной функции по рассмотрению обращений осуществляется Россвязьохранкультурой и территориальными органами Россвязьохранкультуры, перечень которых приведен в приложении 1 к настоящему Административному регламенту.

6. Государственная функция реализуется в отношении юридических лиц и индивидуальных предпринимателей, являющихся в соответствии с законодательством Российской Федерации операторами связи.

II. Требования к порядку исполнения государственной функции

7. Должностные лица Россвязьохранкультуры, уполномоченные на осуществление рассмотрения обращений Заявителей, при исполнении государственной функции руководствуются положениями настоящего Административного регламента и несут персональную ответственность за исполнение административных процедур и соблюдение сроков, установленных настоящим Административным регламентом.

1. Порядок информирования о правилах исполнения государственной функции

8. Место нахождения Россвязьохранкультуры: Москва, Китайгородский проезд, д. 7, стр. 2.

Почтовый адрес для направления обращений и документов: Китайгородский проезд, д. 7, стр. 2, Москва, 109074, Федеральная служба по надзору в сфере массовых коммуникаций, связи и охраны культурного наследия.

Место нахождения экспедиции Россвязьохранкультуры: Москва, Китайгородский проезд, д. 7, стр. 2, телефон: (495) 660-77-54.

Часы работы экспедиции:

Понедельник - четверг 10.00 - 18.00

Пятница 10.00 - 16.45

Суббота, воскресенье Выходной день.

Информация о месте нахождения территориальных органов Россвязьохранкультуры, почтовом и электронном адресах, контактных телефонах размещена на официальном сайте Россвязьохранкультуры по электронному адресу: www.rsoc.ru (далее - Сайт).

9. Информирование операторов связи по вопросам исполнения государственной функции по рассмотрению обращений может осуществляться:

по телефону;

по письменным обращениям;

по электронной почте.

10. При информировании по телефону должностные лица Россвязьохранкультуры и территориальных органов Россвязьохранкультуры, ответственные за информирование, обязаны давать информацию по следующим вопросам, связанным с рассмотрением обращений:

о входящем номере, под которым зарегистрировано обращение в системе делопроизводства Россвязьохранкультуры или территориального органа Россвязьохранкультуры;

о нормативных правовых актах по вопросам присоединения сетей электросвязи и взаимодействия операторов связи (наименование, номер, дата принятия нормативного правового акта);

о месте размещения на Сайте информации о решениях Россвязьохранкультуры по рассмотренным обращениям.

Иные вопросы рассматриваются в Россвязьохранкультуре и в территориальных органах Россвязьохранкультуры только на основании соответствующего письменного обращения.

11. При информировании по письменным обращениям ответ на вопросы, перечень которых установлен в пункте 10 настоящего Административного регламента, направляется почтовым отправлением в адрес Заявителя в срок, не превышающий 10 дней с момента поступления письменного обращения.

12. При информировании по электронной почте ответ на вопросы, перечень которых установлен в пункте 10 настоящего Административного регламента, направляется на электронный адрес Заявителя в срок, не превышающий 10 дней с момента поступления обращения.

2. Условия исполнения государственной функции

13. Исполнение государственной функции по рассмотрению обращений осуществляется на основании письменного обращения в Россвязьохранкультуру или в территориальный орган Россвязьохранкультуры.

Заявитель вправе направить письменное обращение следующими способами:

по почте или экспресс-почте в Россвязьохранкультуру или в территориальный орган Россвязьохранкультуры;

непосредственно в экспедицию Россвязьохранкультуры или в территориальный орган Россвязьохранкультуры.

14. Обращения Заявителей по вопросам присоединения сетей электросвязи и их взаимодействия, а также по вопросам взаимодействия операторов связи, если хотя бы один из участвующих в присоединении и (или) взаимодействии сетей электросвязи и (или) взаимодействующих операторов связи является оператором, занимающим существенное положение в сети связи общего пользования, рассматриваются в соответствии с настоящим Административным регламентом в случае, если обращение Заявителя содержит следующую информацию:

о нарушении оператором связи, занимающим существенное положение в сети связи общего пользования, опубликованных им условий присоединения сетей электросвязи и пропуска трафика;

об отказе оператора, занимающего существенное положение в сети связи общего пользования, в присоединении сети связи, если такой отказ не противоречит условиям лицензий, выданных операторам связи, или нормативным правовым актам Российской Федерации в области связи, определяющим построение и функционирование единой сети электросвязи Российской Федерации;

об установлении оператором, занимающим существенное положение в сети связи общего пользования, в сходных обстоятельствах неравных условий присоединения сетей электросвязи и пропуска трафика для операторов связи, оказывающих аналогичные услуги, и оказании этим операторам связи услуг присоединения и услуг по пропуску трафика на условиях и по качеству, отличных от установленных для своих структурных подразделений и (или) аффилированных лиц;

о нарушении условий присоединения и пропуска трафика оператором связи, сеть электросвязи которого присоединена к сети электросвязи оператора, занимающего существенное положение в сети связи общего пользования.

15. Обращение Заявителя по вопросам присоединения сетей электросвязи и их взаимодействия, а также по вопросам взаимодействия операторов связи, если ни один из участвующих в присоединении и (или) взаимодействии сетей электросвязи и (или) взаимодействующих операторов связи не является оператором, занимающим существенное положение в сети связи общего пользования, рассматривается в соответствии настоящим Административным регламентом в случае, если обращение Заявителя содержит информацию о нарушении условий присоединения и пропуска трафика оператором связи, сеть электросвязи которого присоединена к сети электросвязи Заявителя.

16. Письменное обращение Заявителя должно содержать:

полное наименование Заявителя;

номер лицензии Заявителя на осуществление деятельности в области оказания услуг связи;

полное наименование оператора (операторов) связи, действия которого обжалуются;

требования Заявителя к оператору связи, действия которого обжалуются, со ссылкой на федеральные законы и иные нормативные правовые акты Российской Федерации, а при наличии в заявлении требований к нескольким операторам связи - требования к каждому из них;

обстоятельства, на которых основаны указанные в заявлении требования;

документы, содержащие доказательства, подтверждающие, по мнению Заявителя, обстоятельства, на которых он основывает свои требования;

заключенные Заявителем договоры или проекты договоров, предметом которых является присоединение сетей электросвязи и (или) их взаимодействие и (или) взаимодействие операторов связи;

условия присоединения сетей электросвязи, установленные оператором, занимающим существенное положение в сети связи общего пользования, в том числе условия использования задействуемого в ходе исполнения договора о присоединении имущества (включая линейно-кабельные и иные сооружения связи) в случае, если участником договора о присоединении сетей электросвязи и (или) их взаимодействии является оператор, занимающий существенное положение в сети связи общего пользования;

схему построения сети связи Заявителя на указанную в запросе дату, а также пояснения к схеме построения сети связи;

технические характеристики задействованных в сети связи средств и сооружений связи, в том числе точек присоединения;

цены на услуги присоединения и услуги по пропуску трафика, оказываемые взаимодействующими операторами связи.

17. Обращение подписывается Заявителем либо его уполномоченным представителем.

Все документы, представляемые Заявителем на бумажном носителе, должны быть пронумерованы, прошиты, скреплены печатью Заявителя на последнем листе и заверены подписью Заявителя или его уполномоченного представителя. Если к обращению имеет отношение только часть документа, представляется заверенная выписка из него.

Обращение с прилагаемыми документами представляется в одном экземпляре.

18. Заявитель вправе представить иные сведения, которые считает необходимым сообщить.

3. Порядок рассмотрения обращений

19. Рассмотрение обращения Заявителя по вопросам присоединения сетей электросвязи и их взаимодействия, а также по вопросам взаимодействия операторов связи, если хотя бы один из участвующих в присоединении и (или) взаимодействии сетей электросвязи и (или) взаимодействующих операторов связи является оператором, занимающим существенное положение в сети связи общего пользования, осуществляется Комиссией Россвязьохранкультуры по рассмотрению обращений операторов связи (далее - Комиссия) или структурным подразделением Россвязьохранкультуры, ответственным за исполнение государственной функции, предусмотренной настоящим Административным регламентом.

В Россвязьохранкультуре структурным подразделением, ответственным за исполнение государственной функции, предусмотренной настоящим Административным регламентом, является отдел организации контроля и надзора за присоединением и ведения реестра операторов, занимающих существенное положение в сети связи общего пользования, Управления контроля и надзора в сфере связи.

20. Решение о вынесении обращения Заявителя на рассмотрение Комиссии принимается Руководителем (заместителем Руководителя) Россвязьохранкультуры.

21. Комиссия создается приказом Россвязьохранкультуры в целях подготовки заключений о проектах решений Россвязьохранкультуры по обращениям Заявителей по вопросам присоединения сетей электросвязи и их взаимодействия, а также по вопросам взаимодействия операторов связи.

Комиссия возглавляется Председателем.

В права и обязанности Председателя Комиссии входит:

руководство деятельностью Комиссии;

определение даты заседания Комиссии;

утверждение повестки заседания Комиссии.

Председатель Комиссии имеет одного заместителя.

Заместитель председателя Комиссии выполняет функции председателя Комиссии в случае отсутствия последнего (нахождение в отпуске, командировке и т.п.).

Член Комиссии осуществляет свои полномочия лично. Полномочия члена комиссии не могут быть переданы другому лицу.

22. В случае принятия Руководителем (заместителем Руководителя) Россвязьохранкультуры решения о передаче обращения Заявителя, если хотя бы один из участвующих в присоединении и (или) взаимодействии сетей электросвязи и (или) взаимодействующих операторов связи является оператором, занимающим существенное положение в сети связи общего пользования, на рассмотрение в структурное подразделение Россвязьохранкультуры, ответственное за рассмотрение таких обращений, это подразделение рассматривает обращение Заявителя самостоятельно в соответствии с настоящим Административным регламентом.

23. Рассмотрение обращения Заявителя по вопросам присоединения сетей электросвязи и их взаимодействия, а также по вопросам взаимодействия операторов связи, если ни один из участвующих в присоединении и (или) взаимодействии сетей электросвязи и (или) взаимодействующих операторов связи не является оператором, занимающим существенное положение в сети связи общего пользования, осуществляется непосредственно Россвязьохранкультурой или территориальным органом Россвязьохранкультуры в зависимости от того, куда поступило обращение Заявителя.

4. Сроки исполнения государственной функции

24. Срок исполнения государственной функции по рассмотрению обращения Заявителя, если хотя бы один из участвующих в присоединении и (или) взаимодействии сетей электросвязи и (или) взаимодействующих операторов связи является оператором, занимающим существенное положение в сети связи общего пользования, не должен превышать:

50 дней со дня регистрации в системе делопроизводства Россвязьохранкультуры или первичной регистрации в системе делопроизводства территориального органа Россвязьохранкультуры обращения Заявителя (в случае поступления обращения Заявителя в территориальный орган Россвязьохранкультуры), рассмотрение которого осуществляется структурным подразделением Россвязьохранкультуры, ответственным за исполнение государственной функции, предусмотренной настоящим Административным регламентом;

60 дней со дня регистрации в системе делопроизводства Россвязьохранкультуры или первичной регистрации в системе делопроизводства территориального органа Россвязьохранкультуры (в случае поступления обращения Заявителя в территориальный орган Россвязьохранкультуры) обращения Заявителя, рассмотрение которого осуществляется Комиссией.

25. Срок исполнения государственной функции по рассмотрению обращения Заявителя, если ни один из участвующих в присоединении и (или) взаимодействии сетей электросвязи и (или) взаимодействующих операторов связи не является оператором, занимающим существенное положение в сети связи общего пользования, не должен превышать 30 дней со дня регистрации в системе делопроизводства поступившего обращения Заявителя.

При необходимости срок принятия Россвязьохранкультурой или территориальным органом Россвязьохранкультуры решения по результатам рассмотрения указанного обращения Заявителя по решению руководителя Россвязьохранкультуры или территориального органа Россвязьохранкультуры может продлеваться, но не более чем на 30 дней. О продлении срока письменно сообщается Заявителю, с указанием причин продления срока.

26. В случае представления Заявителем в ходе рассмотрения обращения дополнительных материалов по собственной инициативе срок рассмотрения обращения исчисляется с момента регистрации в системе делопроизводства поступивших дополнительных материалов.

5. Результаты исполнения государственной функции

27. Результатом исполнения государственной функции по рассмотрению обращений является принятие решения:

о нарушении оператором связи обязательных требований по вопросам присоединения сетей электросвязи и их взаимодействия и (или) лицензионных условий и выдача предписания об устранении выявленного нарушения;

об отсутствии нарушения оператором связи обязательных требований по вопросам присоединения сетей электросвязи и их взаимодействия и (или) лицензионных условий.

28. Процедура исполнения государственной функции завершается:

направлением каждой из сторон спора решения, принятого по результатам рассмотрения обращения Заявителя;

отказом Заявителю в рассмотрении его обращения;

выдачей предписаний об устранении нарушений, выявленных в результате рассмотрения обращения Заявителя.

29. Исполнение государственной функции по рассмотрению обращений является бесплатным для Заявителей.

6. Требования к оборудованию мест для осуществления государственной функции

30. Помещения для осуществления государственной функции по рассмотрению обращений должны отвечать следующим требованиям:

размещаться в отдельных помещениях Россвязьохранкультуры и ее территориальных органов;

снабжаться табличками с указанием номера кабинета, названием подразделения, фамилий, имен, отчеств, должностей должностных лиц, ответственных за осуществление государственных функций;

оснащаться телефоном, факсом, копировальным аппаратом и иной оргтехникой.

Рабочие места должностных лиц, осуществляющих государственную функцию по рассмотрению обращений, оборудуются:

рабочими столами и стульями (не менее 1 комплекта на одно должностное лицо);

компьютерами (1 рабочий компьютер на одно должностное лицо и 1 компьютер с установленной Единой информационной системой (далее - ЕИС));

оргтехникой, позволяющей своевременно и в полном объеме осуществлять исполнение государственной функции;

стульями для посетителей.

III. Административные процедуры

1. Последовательность действий при рассмотрении обращения Заявителя по вопросам присоединения сетей электросвязи и их взаимодействия, а также по вопросам взаимодействия операторов связи, если хотя бы один из участвующих в присоединении и (или) взаимодействии сетей электросвязи и (или) взаимодействующих операторов связи является оператором, занимающим существенное положение в сети связи общего пользования, осуществляемом Комиссией Россвязьохранкультуры

31. Юридическим фактом для начала исполнения государственной функции является поступление в Россвязьохранкультуру или в территориальный орган Россвязьохранкультуры письменного обращения Заявителя.

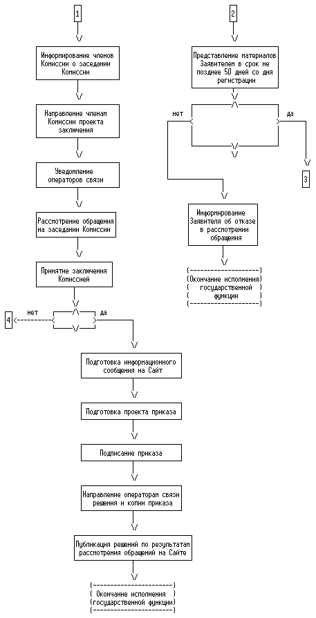
Блок-схема последовательности административных процедур приведена в приложении N 2 к настоящему Административному регламенту.

32. При поступлении в территориальный орган Россвязьохранкультуры обращения Заявителя по вопросам присоединения сетей электросвязи и их взаимодействия, а также по вопросам взаимодействия операторов связи, если хотя бы один из участвующих в присоединении и (или) взаимодействии сетей электросвязи и (или) взаимодействующих операторов связи является оператором, занимающим существенное положение в сети связи общего пользования, должностные лица территориального органа Россвязьохранкультуры, ответственные за делопроизводство, не позднее дня, следующего за днем получения, проводят регистрацию обращения с присвоением ему регистрационного входящего номера.

Дата регистрации обращения Заявителя в системе делопроизводства территориального органа Россвязьохранкультуры (первичная регистрация) является датой начала исчисления срока исполнения государственной функции, предусмотренной настоящим Административным регламентом.

33. В срок, не превышающий 3-х дней со дня получения обращения Заявителя, территориальный орган Россвязьохранкультуры направляет по почте обращение Заявителя со всеми приложениями для рассмотрения обращения по подведомственности в Россвязьохранкультуру.

34. Регистрация в Россвязьохранкультуре обращения, полученного непосредственно от Заявителя или направленного территориальным органом Россвязьохранкультуры для рассмотрения по подведомственности, и присвоение ему входящего номера осуществляется должностными лицами Россвязьохранкультуры, ответственными за делопроизводство, не позднее дня, следующего за днем получения.

При регистрации обращению присваивается регистрационный входящий номер, ссылка на который обязательна в дальнейшем документообороте.

35. Зарегистрированное обращение Заявителя, по которому Руководителем (заместителем Руководителя) Россвязьохранкультуры принято решение о вынесении рассмотрения на Комиссию, не позднее дня, следующего за днем регистрации, направляется для предварительного рассмотрения в структурное подразделение, ответственное за исполнение государственной функции, предусмотренной настоящим Административным регламентом.

36. Начальником (замещающим его должностным лицом) структурного подразделения в течение рабочего дня назначается ответственное должностное лицо по рассмотрению обращения Заявителя.

37. Ответственное должностное лицо в течение 1-го дня проводит проверку обращения Заявителя на соответствие требованиям, предусмотренным пунктом 14 настоящего Административного регламента.

38. В случае выявления несоответствия обращения требованиям, предусмотренным пунктом 14 настоящего Административного регламента, ответственное должностное лицо не позднее 2-х дней со дня получения обращения докладывает начальнику (замещающему его должностному лицу) структурного подразделения, который принимает решение об отказе в рассмотрении обращения.

39. Ответственное должностное лицо в течение 2-х дней готовит уведомление об отказе в рассмотрении обращения и докладывает начальнику (замещающему его должностному лицу) структурного подразделения.

40. Уведомление об отказе подписывается начальником Управления контроля и надзора в сфере связи Россвязьохранкультуры (замещающим его должностным лицом) и направляется Заявителю ответственным за делопроизводство в 3-дневный срок.

41. При соответствии обращения требованиям, предусмотренным пунктом 14 Административного регламента, ответственное должностное лицо проводит проверку комплектности представленных Заявителем документов.

42. Если Заявителем представлены не все необходимые документы, указанные в пункте 16 настоящего Административного регламента, ответственное должностное лицо в 3-дневный срок готовит запрос Заявителю о представлении недостающих документов.

43. Запрос подписывается начальником Управления контроля и надзора в сфере связи Россвязьохранкультуры (замещающим его должностным лицом).

Срок представления недостающих материалов не должен превышать 10 рабочих дней со дня получения запроса Россвязьохранкультуры, если иной срок не установлен в запросе.

44. В случае непоступления от Заявителя недостающих материалов в установленный срок рассмотрение обращения приостанавливается, о чем Заявитель уведомляется в письменной форме.

45. Ответственное должностное лицо в 3-дневный срок готовит проект письма Заявителю с информацией о приостановлении рассмотрения обращения до получения недостающих документов и докладывает начальнику (замещающему его должностному лицу) структурного подразделения.

Письмо подписывается начальником Управления контроля и надзора в сфере связи Россвязьохранкультуры (замещающим его должностным лицом) и направляется Заявителю ответственным за делопроизводство в 3-дневный срок.

46. В случае представления Заявителем недостающих документов после направления Россвязьохранкультурой уведомления о приостановлении рассмотрения обращения рассмотрение обращения возобновляется со дня регистрации в системе делопроизводства Россвязьохранкультуры таких материалов.

47. Если в течение 30 дней со дня получения обращения Заявителя недостающие документы от Заявителя не поступят, Заявитель уведомляется об отказе в рассмотрении обращения.

48. Ответственное должностное лицо в 3-дневный срок готовит проект уведомления Заявителю об отказе в рассмотрении обращения и докладывает начальнику (замещающему его должностному лицу) структурного подразделения.

Уведомление подписывается начальником Управления контроля и надзора в сфере связи Россвязьохранкультуры (замещающим его должностным лицом) и направляется Заявителю ответственным за делопроизводство в 3-дневный срок.

49. При получении всех необходимых материалов ответственное должностное лицо проводит анализ обращения и представленных документов с целью установления в действиях операторов связи наличия или отсутствия нарушений обязательных требований по вопросам присоединения сетей электросвязи и их взаимодействия и (или) лицензионных условий.

50. Ответственное должностное лицо по результатам анализа обращения и представленных документов готовит проект заключения и докладывает их начальнику (замещающему его должностному лицу) структурного подразделения.

Срок проведения анализа обращения и подготовки проекта заключения по результатам рассмотрения обращения Заявителя должен составлять не более 20-ти дней.

51. Начальник (замещающее его должностное лицо) структурного подразделения Россвязьохранкультуры в течение 3-х дней проверяет обоснованность выводов в проекте заключения и докладывает их вместе с проектом повестки заседания Комиссии начальнику Управления контроля и надзора в сфере связи Россвязьохранкультуры (замещающему его должностному лицу) и Председателю Комиссии.

Председатель назначает дату, место проведения заседания Комиссии и утверждает повестку не позднее чем за 14 дней до даты заседания Комиссии.

52. Ответственное должностное лицо не позднее чем за 12 дней до дня заседания Комиссии:

информирует членов Комиссии о дате заседания и рассматриваемых вопросах;

направляет членам Комиссии проект заключения;

уведомляет операторов связи, в отношении которых рассматривается обращение, о времени и месте проведения заседания Комиссии.

53. На заседании Комиссии заслушиваются мнения членов Комиссии по рассматриваемому вопросу и пояснения представителей операторов связи.

54. Заседание Комиссии правомочно, если на нем присутствует не менее половины ее членов.

55. На заседании Комиссии один из ее членов - сотрудников Россвязьохранкультуры ведет протокол, который подписывается всеми членами Комиссии, присутствующими на заседании, не позднее трех рабочих дней со дня проведения заседания.

56. Заключение Комиссии по результатам рассмотрения обращения Заявителя принимается большинством голосов членов Комиссии, присутствующих на заседании. При равенстве голосов голос председательствующего является решающим.

57. Протоколу заседания Комиссии присваивается номер XXXX/YY, где XXXX - год, а YY - порядковый номер. Протоколы заседаний Комиссии хранятся в архиве Россвязьохранкультуры.

58. В случае невозможности принятия заключения на заседании Комиссии председатель Комиссии принимает решение о назначении новой даты заседания Комиссии, о чем делается запись в протоколе заседания Комиссии.

59. Представители операторов связи, в отношении которых рассматривается обращение, вправе присутствовать на заседании Комиссии и давать необходимые пояснения.

60. На основании принятого Комиссией заключения ответственное должностное лицо в течение 3-х дней готовит решение по результатам рассмотрения обращения Заявителя и проект приказа Россвязьохранкультуры об утверждении решения по обращению (далее - приказ).

61. После подписания Руководителем (заместителем Руководителя) Россвязьохранкультуры приказа ответственное должностное лицо в течение 5-ти дней:

направляет решение по обращению каждой из сторон спора вместе с копией приказа об утверждении решения;

публикует на Сайте информационное сообщение в разделе "Решения по обращениям операторов связи" о принятом решении по результатам рассмотрения обращения.

62. При наличии в решении вывода о нарушении оператором связи обязательных требований по вопросам присоединения сетей электросвязи и их взаимодействия и (или) лицензионных условий ответственное должностное лицо на основании принятого решения оформляет предписание об устранении нарушения.

Образец оформления предписания приведен в приложении N 3 к настоящему Административному регламенту.

Предписание подписывается заместителем Руководителя Россвязьохранкультуры либо руководителем Россвязьохранкультуры.

63. Предписание направляется оператору связи вместе с решением и копией приказа об утверждении решения.

64. Предписание подлежит обязательному исполнению в установленный в нем срок.

Оператор связи информирует Россвязьохранкультуру об исполнении предписания не позднее 3-х дней после окончания установленного в предписании срока. При этом к информационному письму прилагаются документы, подтверждающие исполнение предписания.

2. Последовательность действий при рассмотрении обращения Заявителя по вопросам присоединения сетей электросвязи и их взаимодействия, а также по вопросам взаимодействия операторов связи, если хотя бы один из участвующих в присоединении и (или) взаимодействии сетей электросвязи и (или) взаимодействующих операторов связи является оператором, занимающим существенное положение в сети связи общего пользования, осуществляемом структурным подразделением Россвязьохранкультуры

65. Юридическим фактом для начала исполнения государственной функции является поступление в Россвязьохранкультуру или в территориальный орган Россвязьохранкультуры письменного обращения Заявителя.

66. При поступлении в территориальный орган Россвязьохранкультуры обращения Заявителя по вопросам присоединения сетей электросвязи и их взаимодействия, а также по вопросам взаимодействия операторов связи, если хотя бы один из участвующих в присоединении и (или) взаимодействии сетей электросвязи и (или) взаимодействующих операторов связи является оператором, занимающим существенное положение в сети связи общего пользования, должностные лица территориального органа Россвязьохранкультуры, ответственные за делопроизводство, не позднее дня, следующего за днем получения, проводят регистрацию обращения с присвоением ему регистрационного входящего номера.

Дата регистрации обращения Заявителя в системе делопроизводства территориального органа Россвязьохранкультуры (первичная регистрация) является датой начала исчисления срока исполнения государственной функции, предусмотренной настоящим Административным регламентом.

67. В срок, не превышающий 3-х дней со дня получения обращения Заявителя, территориальный орган Россвязьохранкультуры направляет по почте обращение Заявителя со всеми приложениями для рассмотрения обращения по подведомственности в Россвязьохранкультуру.

68. Регистрация в Россвязьохранкультуре обращения, полученного непосредственно от Заявителя или направленного территориальным органом Россвязьохранкультуры для рассмотрения по подведомственности, и присвоение ему входящего номера осуществляется должностными лицами Россвязьохранкультуры, ответственными за делопроизводство, не позднее дня, следующего за днем получения.

При регистрации обращению присваивается регистрационный входящий номер, ссылка на который обязательна в дальнейшем документообороте.

69. Зарегистрированное обращение Заявителя, по которому Руководителем (заместителем Руководителя) Россвязьохранкультуры принято решение о передаче на рассмотрение в структурное подразделение, ответственное за исполнение государственной функции, предусмотренной настоящим Административным регламентом, не позднее дня, следующего за днем регистрации, направляется для рассмотрения в указанное структурное подразделение.

70. Начальником (замещающим его должностным лицом) структурного подразделения в течение рабочего дня назначается ответственное должностное лицо по рассмотрению обращения Заявителя.

71. Ответственное должностное лицо в течение 1-го дня проводит проверку обращения Заявителя на соответствие требованиям, предусмотренным пунктом 14 настоящего Административного регламента.

72. В случае выявления несоответствия обращения требованиям, предусмотренным пунктом 14 настоящего Административного регламента, ответственное должностное лицо не позднее 2-х дней со дня получения обращения докладывает начальнику (замещающему его должностному лицу) структурного подразделения, который принимает решение об отказе в рассмотрении обращения.

73. Ответственное должностное лицо в течение 2-х дней готовит уведомление об отказе в рассмотрении обращения и докладывает начальнику (замещающему его должностному лицу) структурного подразделения.

74. Уведомление об отказе подписывается начальником Управления контроля и надзора в сфере связи Россвязьохранкультуры (замещающим его должностным лицом) и направляется Заявителю ответственным за делопроизводство в 3-дневный срок.

75. При соответствии обращения требованиям, предусмотренным пунктом 14 Административного регламента, ответственное должностное лицо проводит проверку комплектности представленных Заявителем документов.

76. Если Заявителем представлены не все необходимые документы, указанные в пункте 16 настоящего Административного регламента, ответственное должностное лицо в 3-дневный срок готовит запрос Заявителю о представлении недостающих документов.

77. Запрос подписывается начальником Управления контроля и надзора в сфере связи Россвязьохранкультуры (замещающим его должностным лицом).

Срок представления недостающих материалов не должен превышать 10 рабочих дней со дня получения запроса Россвязьохранкультуры, если иной срок не установлен в запросе.

78. В случае непоступления от Заявителя недостающих материалов в установленный срок рассмотрение обращения приостанавливается, о чем Заявитель уведомляется в письменной форме.

79. Ответственное должностное лицо в 3-дневный срок готовит проект письма Заявителю с информацией о приостановлении рассмотрения обращения до получения недостающих документов и докладывает начальнику (замещающему его должностному лицу) структурного подразделения.

Письмо подписывается начальником Управления контроля и надзора в сфере связи Россвязьохранкультуры (замещающим его должностным лицом) и направляется Заявителю ответственным за делопроизводство в 3-дневный срок.

80. В случае представления Заявителем недостающих документов после направления Россвязьохранкультурой уведомления о приостановлении рассмотрения обращения рассмотрение обращения возобновляется со дня регистрации в системе делопроизводства Россвязьохранкультуры таких материалов.

81. Если в течение 30 дней со дня получения обращения Заявителя недостающие документы от Заявителя не поступят, Заявитель уведомляется об отказе в рассмотрении обращения.

82. Ответственное должностное лицо в 3-дневный срок готовит проект уведомления Заявителю об отказе в рассмотрении обращения и докладывает начальнику (замещающему его должностному лицу) структурного подразделения.

Уведомление подписывается начальником Управления контроля и надзора в сфере связи Россвязьохранкультуры (замещающим его должностным лицом) и направляется Заявителю ответственным за делопроизводство в 3-дневный срок.

83. При получении всех необходимых материалов ответственное должностное лицо проводит анализ обращения и представленных документов с целью установления в действиях операторов связи наличия или отсутствия нарушений обязательных требований по вопросам присоединения сетей электросвязи и их взаимодействия и (или) лицензионных условий.

84. Ответственное должностное лицо по результатам анализа обращения и представленных документов готовит проект заключения и докладывает их начальнику (замещающему его должностному лицу) структурного подразделения.

Срок проведения анализа обращения и подготовки проекта заключения по результатам рассмотрения обращения Заявителя должен составлять не более 20-ти дней.

85. Начальник (замещающее его должностное лицо) структурного подразделения Россвязьохранкультуры в течение 3-х дней проверяет заключение и обоснованность выводов в проекте решения и докладывает их начальнику Управления контроля и надзора в сфере связи Россвязьохранкультуры (замещающему его должностному лицу).

86. На основании принятого начальником Управления контроля и надзора в сфере связи Россвязьохранкультуры (замещающим его должностным лицом) заключения ответственное должностное лицо в течение 3-х дней готовит решение по результатам рассмотрения обращения Заявителя и проект приказа Россвязьохранкультуры об утверждении решения по обращению (далее - приказ).

87. После подписания Руководителем (заместителем Руководителя) Россвязьохранкультуры приказа ответственное должностное лицо в течение 5-ти дней:

направляет решение по обращению каждой из сторон спора вместе с копией приказа об утверждении решения;

публикует на Сайте информационное сообщение в разделе "Решения по обращениям операторов связи" о принятом решении по результатам рассмотрения обращения.

88. При наличии в решении вывода о нарушении оператором связи обязательных требований по вопросам присоединения сетей электросвязи и их взаимодействия и (или) лицензионных условий ответственное должностное лицо на основании принятого решения оформляет предписание об устранении нарушения.

Образец оформления предписания приведен в приложении N 3 к настоящему Административному регламенту.

Предписание подписывается заместителем Руководителя Россвязьохранкультуры либо руководителем Россвязьохранкультуры.

89. Предписание направляется оператору связи вместе с решением и копией приказа об утверждении решения.

90. Предписание подлежит обязательному исполнению в установленный в нем срок.

Оператор связи информирует Россвязьохранкультуру об исполнении предписания не позднее 3-х дней после окончания установленного в предписании срока. При этом к информационному письму прилагаются документы, подтверждающие исполнение предписания.

3. Последовательность действий при рассмотрении обращения Заявителя по вопросам присоединения сетей электросвязи и их взаимодействия, а также по вопросам взаимодействия операторов связи, если ни один из участвующих в присоединении и (или) взаимодействии сетей электросвязи и (или) взаимодействующих операторов связи не является оператором, занимающим существенное положение в сети связи общего пользования, осуществляемом структурным подразделением Россвязьохранкультуры или территориальным органом Россвязьохранкультуры

91. Юридическим фактом для начала исполнения государственной функции является поступление в Россвязьохранкультуру или в территориальный орган Россвязьохранкультуры письменного обращения Заявителя.

92. Регистрация в Россвязьохранкультуре или в территориальном органе Россвязьохранкультуры полученного от Заявителя обращения и присвоение ему входящего номера осуществляется должностными лицами Россвязьохранкультуры или территориального органа Россвязьохранкультуры, ответственными за делопроизводство, не позднее дня, следующего за днем получения.

При регистрации обращению присваивается регистрационный входящий номер, ссылка на который обязательна в дальнейшем документообороте.

93. Зарегистрированное обращение Заявителя не позднее дня, следующего за днем регистрации, направляется в ответственное структурное подразделение.

В Россвязьохранкультуре ответственным структурным подразделением за исполнение государственной функции по рассмотрению обращений является отдел организации контроля и надзора за присоединением и ведения реестра операторов, занимающих существенное положение в сети связи общего пользования, Управления контроля и надзора в сфере связи.

В территориальном органе Россвязьохранкультуры ответственным структурным подразделением за исполнение государственной функции по рассмотрению обращений является отдел, ведающий вопросами контроля и надзора за присоединением.

94. Начальником (замещающим его должностным лицом) ответственного структурного подразделения в течение рабочего дня назначается ответственное должностное лицо по рассмотрению обращения Заявителя.

95. Ответственное должностное лицо в течение 1-го дня проводит проверку обращения Заявителя на соответствие требованиям, предусмотренным пунктом 15 настоящего Административного регламента.

96. В случае выявления несоответствия обращения требованиям, предусмотренным пунктом 15 настоящего Административного регламента, ответственное должностное лицо не позднее 2-х дней со дня получения обращения докладывает начальнику (замещающему его должностному лицу) структурного подразделения, который принимает решение об отказе в рассмотрении обращения.

97. Ответственное должностное лицо в течение 2-х дней готовит уведомление об отказе в рассмотрении обращения и докладывает начальнику (замещающему его должностному лицу) структурного подразделения.

98. Уведомление от отказе подписывается начальником Управления контроля и надзора в сфере связи Россвязьохранкультуры (замещающим его должностным лицом) либо руководителем территориального органа Россвязьохранкультуры (замещающим его должностным лицом) и направляется Заявителю ответственным за делопроизводство в 3-дневный срок.

99. При соответствии обращения требованиям, предусмотренным пунктом 15 Административного регламента, ответственное должностное лицо проводит проверку комплектности представленных Заявителем документов.

100. Если Заявителем представлены не все необходимые документы, указанные в пункте 16 настоящего Административного регламента, ответственное должностное лицо в 3-дневный срок готовит запрос Заявителю о представлении недостающих документов.

101. Запрос подписывается начальником Управления контроля и надзора в сфере связи Россвязьохранкультуры (замещающим его должностным лицом) либо руководителем территориального органа Россвязьохранкультуры (замещающим его должностным лицом).

Срок представления недостающих материалов не должен превышать 10 рабочих дней со дня получения запроса Россвязьохранкультуры, если иной срок не установлен в запросе.

102. В случае непоступления от Заявителя недостающих материалов в установленный срок рассмотрение обращения приостанавливается, о чем Заявитель уведомляется в письменной форме.

103. Ответственное должностное лицо в 3-дневный срок готовит проект письма Заявителю с информацией о приостановлении рассмотрения обращения до получения недостающих документов и докладывает начальнику (замещающему его должностному лицу) структурного подразделения.

Письмо подписывается начальником Управления контроля и надзора в сфере связи Россвязьохранкультуры (замещающим его должностным лицом) либо руководителем территориального органа Россвязьохранкультуры (замещающим его должностным лицом) и направляется Заявителю ответственным за делопроизводство в 3-дневный срок.

104. В случае представления Заявителем недостающих документов после направления Россвязьохранкультурой либо территориальным органом Россвязьохранкультуры уведомления о приостановлении рассмотрения обращения рассмотрение обращения возобновляется со дня регистрации в системе делопроизводства таких материалов.

105. Если в течение 20 дней со дня получения обращения Заявителя недостающие документы от Заявителя не поступят, Заявитель уведомляется об отказе в рассмотрении обращения.

106. Ответственное должностное лицо в 3-дневный срок готовит проект уведомления Заявителю об отказе в рассмотрении обращения и докладывает начальнику (замещающему его должностному лицу) структурного подразделения.

Уведомление подписывается начальником Управления контроля и надзора в сфере связи Россвязьохранкультуры (замещающим его должностным лицом) либо руководителем территориального органа Россвязьохранкультуры (замещающим его должностным лицом) и направляется Заявителю ответственным за делопроизводство в 3-дневный срок.

107. При получении всех необходимых материалов ответственное должностное лицо проводит анализ обращения и представленных документов с целью установления в действиях операторов связи наличия или отсутствия нарушений обязательных требований по вопросам присоединения сетей электросвязи и их взаимодействия и (или) лицензионных условий.

108. Ответственное должностное лицо на основании анализа обращения и представленных документов готовит проект заключения и докладывает их начальнику (замещающему его должностному лицу) структурного подразделения.

Срок проведения анализа обращения и подготовки проекта заключения по результатам рассмотрения обращения Заявителя должен составлять не более 20-ти дней.

109. Начальник (замещающее его должностное лицо) структурного подразделения Россвязьохранкультуры или территориального органа Россвязьохранкультуры в течение 3-х дней проверяет заключение и обоснованность выводов в проекте решения и докладывает их начальнику Управления контроля и надзора в сфере связи Россвязьохранкультуры (замещающему его должностному лицу) либо руководителю территориального органа Россвязьохранкультуры (замещающему его должностному лицу).

110. На основании принятого соответствующими должностными лицами Россвязьохранкультуры или территориального органа Россвязьохранкультуры заключения ответственное должностное лицо в течение 3-х дней готовит решение по результатам рассмотрения обращения Заявителя и проект приказа Россвязьохранкультуры или территориального органа Россвязьохранкультуры об утверждении решения по обращению (далее - приказ).

111. После подписания приказа Руководителем (заместителем Руководителя) Россвязьохранкультуры или руководителем территориального органа Россвязьохранкультуры ответственное должностное лицо в течение 5-ти дней направляет решение по обращению каждой из сторон спора и копию приказа об утверждении решения.

112. При наличии в решении вывода о нарушении оператором связи обязательных требований по вопросам присоединения сетей электросвязи и их взаимодействия и (или) лицензионных условий ответственное должностное лицо на основании принятого решения оформляет предписание об устранении нарушения.

Образец оформления предписания приведен в приложении N 3 к настоящему Административному регламенту.

Предписание подписывается в соответствующих случаях Руководителем (заместителем Руководителя) Россвязьохранкультуры или руководителем (заместителем руководителя) территориального органа Россвязьохранкультуры.

113. Предписание направляется оператору связи вместе с решением и копией приказа об утверждении решения.

114. Предписание подлежит обязательному исполнению в установленный в нем срок.

Оператор связи информирует Россвязьохранкультуру или ее территориальный орган об исполнении предписания не позднее 3-х дней после окончания установленного в предписании срока. При этом к информационному письму прилагаются документы, подтверждающие исполнение предписания.

IV. Порядок и формы контроля за исполнением государственной функции по рассмотрению обращений по вопросам присоединения сетей электросвязи и взаимодействия операторов связи, принятию по ним решений и выдаче предписаний в соответствии с федеральным законом

115. Текущий контроль за соблюдением последовательности действий, определенных административными процедурами по исполнению государственной функции по рассмотрению обращений и принятию решений, осуществляется должностными лицами Управления контроля и надзора в сфере связи Россвязьохранкультуры и территориальных органов Россвязьохранкультуры, ответственными за организацию работы по исполнению государственной функции.

116. Текущий контроль осуществляется путем проведения должностным лицом, ответственным за организацию работы по исполнению государственной функции по рассмотрению обращений, проверок соблюдения и исполнения специалистами положений настоящего Административного регламента, иных нормативных правовых актов Российской Федерации.

Предметом контроля является выявление и устранение нарушений порядка рассмотрения обращений Заявителей, оценка полноты рассмотрения поставленных в обращениях вопросов, объективность и тщательность проверки изложенных в обращениях сведений, обоснованность и законность принятых по обращениям решений.

117. Ответственность за исполнение государственной функции по рассмотрению обращений и соблюдение установленных сроков их исполнения возлагается на руководителей территориальных органов Россвязьохранкультуры и непосредственно Россвязьохранкультуры.

118. Персональная ответственность за выполнение государственной функции по рассмотрению обращений закрепляется в должностных регламентах специалистов Россвязьохранкультуры и территориальных органов Россвязьохранкультуры, ответственных за рассмотрение обращений Заявителей, в соответствии с требованиями законодательства Российской Федерации.

119. В случае выявления нарушений прав заявителей осуществляется привлечение виновных лиц к ответственности в соответствии с законодательством Российской Федерации.

V. Порядок обжалования действия (бездействия) должностного лица, а также принимаемого им решения при исполнении государственной функции

120. Операторы связи имеют право на обжалование решений, принятых при исполнения государственной функции, действий или бездействия должностных лиц Россвязьохранкультуры в ходе исполнения государственной функции на основании настоящего Регламента (далее - жалоба) путем:

обращения в порядке подчиненности к руководителю Россвязьохранкультуры или его заместителю, руководителям территориальных органов Россвязьохранкультуры;

обращения в суд в порядке, установленном законодательством Российской Федерации.

121. Жалоба в письменной форме должна содержать следующую информацию:

полное наименование юридического лица или индивидуального предпринимателя;

фамилия, имя, отчество руководителя юридического лица;

место нахождения юридического лица или индивидуального предпринимателя и почтовый адрес, по которому должен быть направлен ответ;

наименование органа, осуществляющего исполнение государственной функции, и (или) фамилия, имя, отчество должностного лица (при наличии информации), решение, действие (бездействие) которого обжалуется;

существо обжалуемого действия (бездействия) и решения.

122. Дополнительно могут быть указаны:

причины несогласия с обжалуемым действием (бездействием) и решением;

обстоятельства, на основании которых автор обращения считает, что нарушены его права, свободы и законные интересы, созданы препятствия к их реализации либо незаконно возложена какая-либо обязанность, требования об отмене решения, о признании незаконным действия (бездействия) и решения;

иные сведения, которые автор обращения считает необходимым сообщить;

копии документов, подтверждающих изложенные в жалобе доводы.

123. Жалоба подписывается подавшим ее руководителем (заместителем руководителя) юридического лица или индивидуальным предпринимателем, и ставится дата.

К жалобе могут быть приложены копии документов, подтверждающих изложенные в жалобе обстоятельства. В таком случае в жалобе приводится перечень прилагаемых к ней документов.

124. Если документы, имеющие существенное значение для рассмотрения жалобы, отсутствуют или не приложены к обращению, заявитель в пятидневный срок уведомляется (письменно, с использованием средств телефонной или факсимильной связи либо по электронной почте) о том, что рассмотрение жалобы и принятие решения будут осуществляться без учета доводов, в подтверждение которых документы не представлены.

125. Поступившая в Россвязьохранкультуру или ее территориальный орган жалоба регистрируется в установленном порядке.

126. Должностные лица Россвязьохранкультуры и ее территориальных органов:

обеспечивают объективное, всестороннее и своевременное рассмотрение обращения, в случае необходимости - с участием заявителя, направившего жалобу, или его законного представителя;

вправе запрашивать необходимые для рассмотрения жалобы документы и материалы в других государственных органах, органах местного самоуправления и у иных должностных лиц, за исключением судов, органов дознания и органов предварительного следствия;

по результатам рассмотрения жалобы принимают меры, направленные на восстановление или защиту нарушенных прав, свобод и законных интересов заявителя, дают письменный ответ по существу поставленных в жалобе вопросов.

127. Рассмотрение жалобы и подготовка ответа по ней осуществляется в соответствии с установленными в Россвязьохранкультуре и ее территориальных органах правилами документооборота.

128. Письменная жалоба, поступившая в Россвязьохранкультуру, рассматривается в течение 30 дней со дня регистрации жалобы.

129. В исключительных случаях, предусмотренных законодательством Российской Федерации, руководитель Россвязьохранкультуры либо уполномоченное должностное лицо вправе продлить срок рассмотрения жалобы не более чем на 30 дней, уведомив о продлении срока ее рассмотрения заявителя, направившего жалобу.

130. Россвязьохранкультура при получении письменной жалобы, в которой содержатся нецензурные либо оскорбительные выражения, угрозы имуществу государственного органа, угрозы имуществу, жизни, здоровью должностного лица, а также членов его семьи, вправе оставить жалобу без ответа по существу поставленных в ней вопросов и сообщить заявителю, направившему жалобу, о недопустимости злоупотребления правом.

131. В случае, если текст жалобы не поддается прочтению, ответ на жалобу не дается, о чем сообщается заявителю, направившему жалобу, если его фамилия и почтовый адрес поддаются прочтению.

132. В случае если в жалобе содержится вопрос, на который многократно давались письменные ответы по существу в связи с ранее направляемыми жалобами, и при этом в жалобе не приводятся новые доводы или обстоятельства, руководитель Россвязьохранкультуры, должностное лицо либо уполномоченное лицо вправе принять решение о безосновательности очередной жалобы и прекращении переписки с заявителем по данному вопросу при условии, что указанная жалоба и ранее направляемые жалобы направлялись в один и тот же государственный орган. О данном решении уведомляется заявитель, направивший жалобу.

133. Ответ на жалобу подписывается руководителем Россвязьохранкультуры либо уполномоченным должностным лицом.

134. Если в результате рассмотрения жалоба признана обоснованной, то должностным лицом, рассматривающим жалобу, принимается решение о привлечении к ответственности в соответствии с законодательством Российской Федерации должностного лица, ответственного за действие (бездействие) и решения, осуществляемые (принятые) в ходе исполнения государственной функции на основании настоящего Регламента и повлекшие за собой жалобу оператора связи.

135. Обращения считаются разрешенными, если рассмотрены все поставленные в них вопросы, приняты необходимые меры и даны письменные ответы.

136. Представители юридических лиц или индивидуальные предприниматели могут сообщить о нарушении своих прав и законных интересов, противоправных решениях, действиях или бездействии должностных лиц Россвязьохранкультуры, нарушении положений административного регламента, некорректном поведении или нарушении служебной этики:

- по номеру телефона 660-77-54 (Отдел документооборота, архива, контроля и работы с обращениями граждан);

- на сайте Россвязьохранкультуры (www.rsoc.ru) в разделе "Обратная связь".

В таких сообщениях должна содержаться следующая информация:

- фамилия, имя, при наличии отчество гражданина (представителя юридического лица), которым подается сообщение, его место жительства или пребывания (место нахождения юридического лица);

- фамилия, имя, при наличии отчество должностного лица, решение, действие (бездействие) которого нарушает права и законные интересы гражданина (юридического лица);

- суть нарушенных прав и законных интересов, противоправного решения, действия (бездействия).

137. Юридические лица или индивидуальные предприниматели вправе обжаловать решения, принятые в ходе осуществления государственной функции, действия или бездействие должностных лиц Россвязьохранкультуры в судебном порядке.

Приложение N 1
к Административному регламенту
по исполнению государственной функции
по рассмотрению обращений операторов
связи по вопросам присоединения сетей
электросвязи и взаимодействия операторов
связи, принятию по ним решений
и выдаче предписаний в соответствии
с федеральным законом

ПЕРЕЧЕНЬ
ТЕРРИТОРИАЛЬНЫХ ОРГАНОВ РОССВЯЗЬОХРАНКУЛЬТУРЫ

Наименование территориального органа Место нахождения территориального органа
Межрегиональные территориальные органы
     
1. Управление Федеральной службы по надзору в сфере массовых коммуникаций, связи и охраны культурного наследия по Москве и Московской области г. Москва
2. Управление Федеральной службы по надзору в сфере массовых коммуникаций, связи и охраны культурного наследия по Санкт-Петербургу и Ленинградской области г. Санкт-Петербург
3. Управление Федеральной службы по надзору в сфере массовых коммуникаций, связи и охраны культурного наследия по Архангельской области и Ненецкому автономному округу г. Архангельск
4. Управление Федеральной службы по надзору в сфере массовых коммуникаций, связи и охраны культурного наследия по Иркутской области и Усть-Ордынскому Бурятскому автономному округу г. Иркутск
5. Управление Федеральной службы по надзору в сфере массовых коммуникаций, связи и охраны культурного наследия по Магаданской области и Чукотскому автономному округу г. Магадан
6. Управление Федеральной службы по надзору в сфере массовых коммуникаций, связи и охраны культурного наследия по Тюменской области и Ямало-Ненецкому автономному округу г. Тюмень
7. Управление Федеральной службы по надзору в сфере массовых коммуникаций, связи и охраны культурного наследия по Читинской области и Агинскому Бурятскому автономному округу г. Чита
     
Региональные территориальные органы (в границах субъекта Российской Федерации)
     
8. Управление Федеральной службы по надзору в сфере массовых коммуникаций, связи и охраны культурного наследия по Республике Адыгея г. Майкоп
9. Управление Федеральной службы по надзору в сфере массовых коммуникаций, связи и охраны культурного наследия по Республике Алтай г. Горно-Алтайск
10. Управление Федеральной службы по надзору в сфере массовых коммуникаций, связи и охраны культурного наследия по Республике Башкортостан г. Уфа
11. Управление Федеральной службы по надзору в сфере массовых коммуникаций, связи и охраны культурного наследия по Республике Бурятия г. Улан-Удэ
12. Управление Федеральной службы по надзору в сфере массовых коммуникаций, связи и охраны культурного наследия по Республике Дагестан г. Махачкала
13. Управление Федеральной службы по надзору в сфере массовых коммуникаций, связи и охраны культурного наследия по Республике Ингушетия г. Назрань
14. Управление Федеральной службы по надзору в сфере массовых коммуникаций, связи и охраны культурного наследия по Кабардино-Балкарской Республике г. Нальчик
15. Управление Федеральной службы по надзору в сфере массовых коммуникаций, связи и охраны культурного наследия по Республике Калмыкия г. Элиста
16. Управление Федеральной службы по надзору в сфере массовых коммуникаций, связи и охраны культурного наследия по Карачаево-Черкесской Республике г. Черкесск
17. Управление Федеральной службы по надзору в сфере массовых коммуникаций, связи и охраны культурного наследия по Республике Карелия г. Петрозаводск
18. Управление Федеральной службы по надзору в сфере массовых коммуникаций, связи и охраны культурного наследия по Республике Коми г. Сыктывкар
19. Управление Федеральной службы по надзору в сфере массовых коммуникаций, связи и охраны культурного наследия по Республике Марий Эл г. Йошкар-Ола
20. Управление Федеральной службы по надзору в сфере массовых коммуникаций, связи и охраны культурного наследия по Республике Мордовия г. Саранск
21. Управление Федеральной службы по надзору в сфере массовых коммуникаций, связи и охраны культурного наследия по Республике Саха (Якутия) г. Якутск
22. Управление Федеральной службы по надзору в сфере массовых коммуникаций, связи и охраны культурного наследия по Республике Северная Осетия - Алания г. Владикавказ
23. Управление Федеральной службы по надзору в сфере массовых коммуникаций, связи и охраны культурного наследия по Республике Татарстан г. Казань
24. Управление Федеральной службы по надзору в сфере массовых коммуникаций, связи и охраны культурного наследия по Республике Тыва г. Кызыл
25. Управление Федеральной службы по надзору в сфере массовых коммуникаций, связи и охраны культурного наследия по Удмуртской Республике г. Ижевск
26. Управление Федеральной службы по надзору в сфере массовых коммуникаций, связи и охраны культурного наследия по Республике Хакасия г. Абакан
27. Управление Федеральной службы по надзору в сфере массовых коммуникаций, связи и охраны культурного наследия по Чеченской Республике г. Грозный
28. Управление Федеральной службы по надзору в сфере массовых коммуникаций, связи и охраны культурного наследия по Чувашской Республике г. Чебоксары
29. Управление Федеральной службы по надзору в сфере массовых коммуникаций, связи и охраны культурного наследия по Алтайскому краю г. Барнаул
30. Управление Федеральной службы по надзору в сфере массовых коммуникаций, связи и охраны культурного наследия по Камчатскому краю г. Петропавловск-Камчатский
31. Управление Федеральной службы по надзору в сфере массовых коммуникаций, связи и охраны культурного наследия по Краснодарскому краю г. Краснодар
32. Управление Федеральной службы по надзору в сфере массовых коммуникаций, связи и охраны культурного наследия по Красноярскому краю г. Красноярск
33. Управление Федеральной службы по надзору в сфере массовых коммуникаций, связи и охраны культурного наследия по Пермскому краю г. Пермь
34. Управление Федеральной службы по надзору в сфере массовых коммуникаций, связи и охраны культурного наследия по Приморскому краю г. Владивосток
35. Управление Федеральной службы по надзору в сфере массовых коммуникаций, связи и охраны культурного наследия по Ставропольскому краю г. Ставрополь
36. Управление Федеральной службы по надзору в сфере массовых коммуникаций, связи и охраны культурного наследия по Хабаровскому краю г. Хабаровск
37. Управление Федеральной службы по надзору в сфере массовых коммуникаций, связи и охраны культурного наследия по Амурской области г. Благовещенск
38. Управление Федеральной службы по надзору в сфере массовых коммуникаций, связи и охраны культурного наследия по Астраханской области г. Астрахань
39. Управление Федеральной службы по надзору в сфере массовых коммуникаций, связи и охраны культурного наследия по Белгородской области г. Белгород
40. Управление Федеральной службы по надзору в сфере массовых коммуникаций, связи и охраны культурного наследия по Брянской области г. Брянск
41. Управление Федеральной службы по надзору в сфере массовых коммуникаций, связи и охраны культурного наследия по Владимирской области г. Владимир
42. Управление Федеральной службы по надзору в сфере массовых коммуникаций, связи и охраны культурного наследия по Волгоградской области г. Волгоград
43. Управление Федеральной службы по надзору в сфере массовых коммуникаций, связи и охраны культурного наследия по Вологодской области г. Вологда
44. Управление Федеральной службы по надзору в сфере массовых коммуникаций, связи и охраны культурного наследия по Воронежской области г. Воронеж
45. Управление Федеральной службы по надзору в сфере массовых коммуникаций, связи и охраны культурного наследия по Ивановской области г. Иваново
46. Управление Федеральной службы по надзору в сфере массовых коммуникаций, связи и охраны культурного наследия по Калининградской области г. Калининград
47. Управление Федеральной службы по надзору в сфере массовых коммуникаций, связи и охраны культурного наследия по Калужской области г. Калуга
48. Управление Федеральной службы по надзору в сфере массовых коммуникаций, связи и охраны культурного наследия по Кемеровской области г. Кемерово
49. Управление Федеральной службы по надзору в сфере массовых коммуникаций, связи и охраны культурного наследия по Кировской области г. Киров
50. Управление Федеральной службы по надзору в сфере массовых коммуникаций, связи и охраны культурного наследия по Костромской области г. Кострома
51. Управление Федеральной службы по надзору в сфере массовых коммуникаций, связи и охраны культурного наследия по Курганской области г. Курган
52. Управление Федеральной службы по надзору в сфере массовых коммуникаций, связи и охраны культурного наследия по Курской области г. Курск
53. Управление Федеральной службы по надзору в сфере массовых коммуникаций, связи и охраны культурного наследия по Липецкой области г. Липецк
54. Управление Федеральной службы по надзору в сфере массовых коммуникаций, связи и охраны культурного наследия по Мурманской области г. Мурманск
55. Управление Федеральной службы по надзору в сфере массовых коммуникаций, связи и охраны культурного наследия по Нижегородской области г. Нижний Новгород
56. Управление Федеральной службы по надзору в сфере массовых коммуникаций, связи и охраны культурного наследия по Новгородской области г. Великий Новгород
57. Управление Федеральной службы по надзору в сфере массовых коммуникаций, связи и охраны культурного наследия по Новосибирской области г. Новосибирск
58. Управление Федеральной службы по надзору в сфере массовых коммуникаций, связи и охраны культурного наследия по Омской области г. Омск
59. Управление Федеральной службы по надзору в сфере массовых коммуникаций, связи и охраны культурного наследия по Оренбургской области г. Оренбург
60. Управление Федеральной службы по надзору в сфере массовых коммуникаций, связи и охраны культурного наследия по Орловской области г. Орел
61. Управление Федеральной службы по надзору в сфере массовых коммуникаций, связи и охраны культурного наследия по Пензенской области г. Пенза
62. Управление Федеральной службы по надзору в сфере массовых коммуникаций, связи и охраны культурного наследия по Псковской области г. Псков
63. Управление Федеральной службы по надзору в сфере массовых коммуникаций, связи и охраны культурного наследия по Ростовской области г. Ростов-на-Дону
64. Управление Федеральной службы по надзору в сфере массовых коммуникаций, связи и охраны культурного наследия по Рязанской области г. Рязань
65. Управление Федеральной службы по надзору в сфере массовых коммуникаций, связи и охраны культурного наследия по Самарской области г. Самара
66. Управление Федеральной службы по надзору в сфере массовых коммуникаций, связи и охраны культурного наследия по Саратовской области г. Саратов
67. Управление Федеральной службы по надзору в сфере массовых коммуникаций, связи и охраны культурного наследия по Сахалинской области г. Южно-Сахалинск
68. Управление Федеральной службы по надзору в сфере массовых коммуникаций, связи и охраны культурного наследия по Свердловской области г. Екатеринбург
69. Управление Федеральной службы по надзору в сфере массовых коммуникаций, связи и охраны культурного наследия по Смоленской области г. Смоленск
70. Управление Федеральной службы по надзору в сфере массовых коммуникаций, связи и охраны культурного наследия по Тамбовской области г. Тамбов
71. Управление Федеральной службы по надзору в сфере массовых коммуникаций, связи и охраны культурного наследия по Тверской области г. Тверь
72. Управление Федеральной службы по надзору в сфере массовых коммуникаций, связи и охраны культурного наследия по Томской области г. Томск
73. Управление Федеральной службы по надзору в сфере массовых коммуникаций, связи и охраны культурного наследия по Тульской области г. Тула
74. Управление Федеральной службы по надзору в сфере массовых коммуникаций, связи и охраны культурного наследия по Ульяновской области г. Ульяновск
75. Управление Федеральной службы по надзору в сфере массовых коммуникаций, связи и охраны культурного наследия по Челябинской области г. Челябинск
76. Управление Федеральной службы по надзору в сфере массовых коммуникаций, связи и охраны культурного наследия по Ярославской области г. Ярославль
77. Управление Федеральной службы по надзору в сфере массовых коммуникаций, связи и охраны культурного наследия по Еврейской автономной области г. Биробиджан
78. Управление Федеральной службы по надзору в сфере массовых коммуникаций, связи и охраны культурного наследия по Ханты-Мансийскому автономному округу - Югре г. Ханты-Мансийск

Приложение N 2
к Административному регламенту
по исполнению государственной функции
по рассмотрению обращений операторов
связи по вопросам присоединения сетей
электросвязи и взаимодействия операторов
связи, принятию по ним решений
и выдаче предписаний в соответствии
с федеральным законом

Условные обозначения на блок-схеме последовательности административных процедур при исполнении государственной функции

Блок-схема
последовательности административных процедур при исполнении государственной функции по рассмотрению обращений операторов связи по вопросам присоединения сетей электросвязи и взаимодействия операторов связи и принятию по ним решений Комиссией Россвязьохранкультуры

Приложение N 3
к Административному регламенту
по исполнению государственной функции
по рассмотрению обращений операторов
связи по вопросам присоединения сетей
электросвязи и взаимодействия операторов
связи, принятию по ним решений
и выдаче предписаний в соответствии
с федеральным законом

ОБРАЗЕЦ ПРЕДПИСАНИЯ ОБ УСТРАНЕНИИ ВЫЯВЛЕННОГО НАРУШЕНИЯ <*>

Бланк территориального органа
Россвязьохранкультуры

Предписание об устранении выявленного нарушения

1. Номер предписания.

2. Дата оформления предписания.

3. Наименование проверяемого лица.

4. Номер лицензии.

5. Наименование услуги связи.

6. Дата и номер приказа Россвязьохранкультуры (территориального органа

Россвязьохранкультуры) об утверждении принятого решения, номер решения.

7. Содержание нарушения.

8. Основание выдачи предписания.

9. Срок устранения нарушения.

10. Срок сообщения об устранении нарушения.

11. Подпись должностного лица, выдавшего предписание.

<*> Конкретное размещение и оформление полей на бланке предписания определяются условиями и возможностями автоматизированной обработки с использованием информационных систем, в том числе средств вычислительной техники и связи, реализующих информационные процессы.