Приказ ФСТ РФ от 15.06.2007 N 129-Э/2

"Об утверждении Методических указаний по регулированию розничных цен на сжиженный газ, реализуемый населению для бытовых нужд"
Редакция от 29.04.2008 — Документ утратил силу, см. «Приказ ФАС РФ от 07.08.2019 N 1072/19»
Показать изменения

Зарегистрировано в Минюсте РФ 16 июля 2007 г. N 9840


ФЕДЕРАЛЬНАЯ СЛУЖБА ПО ТАРИФАМ

ПРИКАЗ
от 15 июня 2007 г. N 129-э/2

ОБ УТВЕРЖДЕНИИ МЕТОДИЧЕСКИХ УКАЗАНИЙ ПО РЕГУЛИРОВАНИЮ РОЗНИЧНЫХ ЦЕН НА СЖИЖЕННЫЙ ГАЗ, РЕАЛИЗУЕМЫЙ НАСЕЛЕНИЮ ДЛЯ БЫТОВЫХ НУЖД

(в ред. Приказа ФСТ РФ от 29.04.2008 N 110-э/7)

На основании Положения о Федеральной службе по тарифам, утвержденного Постановлением Правительства Российской Федерации от 30 июня 2004 года N 332 (Собрание законодательства Российской Федерации, 2004, N 29, ст. 3049; 2006, N 3, ст. 301; N 23, ст. 2522; N 48, ст. 5032, N 50, ст. 5354; 2007, N 16, ст. 1912), а также Постановления Правительства Российской Федерации от 15 апреля 1995 года N 332 "О мерах по упорядочению государственного регулирования цен на газ и сырье для его производства" (Собрание законодательства Российской Федерации, 1995, N 17, ст. 1539; 2001, N 7, ст. 656; 2005, N 7, ст. 560; 2006, N 17 (ч. II), ст. 1882; 2007, N 23, ст. 2792) и решением Правления ФСТ России от 15 июня 2007 года N р-21-э/2 приказываю:

1. Утвердить Методические указания по регулированию розничных цен на сжиженный газ, реализуемый населению для бытовых нужд.

2. Настоящий Приказ вступает в силу в установленном порядке.

Руководитель Федеральной
службы по тарифам
С.НОВИКОВ

Приложение
к Приказу Федеральной
службы по тарифам
от 15 июня 2007 г. N 129-э/2

МЕТОДИЧЕСКИЕ УКАЗАНИЯ
ПО РЕГУЛИРОВАНИЮ РОЗНИЧНЫХ ЦЕН НА СЖИЖЕННЫЙ ГАЗ, РЕАЛИЗУЕМЫЙ НАСЕЛЕНИЮ ДЛЯ БЫТОВЫХ НУЖД

(в ред. Приказа ФСТ РФ от 29.04.2008 N 110-э/7)

I. Общие положения

1. Настоящие Методические указания по регулированию розничных цен на сжиженный газ, реализуемый населению для бытовых нужд (далее - Методические указания), разработаны в соответствии с Постановлениями Правительства Российской Федерации от 30.06.2004 N 332 "Об утверждении Положения о Федеральной службе по тарифам" (Собрание законодательства Российской Федерации, 2004, N 29, ст. 3049; 2006, N 3, ст. 301; N 23, ст. 2522; N 48, ст. 5032, N 50, ст. 5354; 2007, N 16, ст. 1912), от 15.04.1995 N 332 "О мерах по упорядочению государственного регулирования цен на газ и сырье для его производства" (Собрание законодательства Российской Федерации, 1995, N 17, ст. 1539; 2001, N 7, ст. 656; 2005, N 7, ст. 560; 2006, N 17 (ч. II), ст. 1882; 2007, N 23, ст. 2792).

2. Методические указания определяют порядок формирования розничных цен и (или) их предельных уровней на сжиженный газ, реализуемый населению для бытовых нужд, кроме газа для арендаторов нежилых помещений в жилых домах и газа для заправки автотранспортных средств (далее - розничные цены), и основные принципы регулирования розничных цен.

3. Розничные цены, устанавливаемые в соответствии с настоящими Методическими указаниями, применяются организациями, осуществляющими регулируемый вид деятельности (далее - субъекты регулирования), при реализации сжиженного газа населению для бытовых нужд (пищеприготовление, отопление, горячее водоснабжение).

II. Основные положения формирования розничных цен

4. Расчет розничных цен предусматривает их установление на уровне, обеспечивающем субъекту регулирования получение планируемого объема выручки от оказания услуг по регулируемому виду деятельности в размере, необходимом для:

а) возмещения экономически обоснованных расходов, связанных с производством, приобретением, транспортировкой, хранением, распределением и поставкой (реализацией) газа;

б) обеспечения получения обоснованной нормы прибыли на капитал, используемый в регулируемом виде деятельности (до разработки методики определения размера стоимости основных средств, иных материальных и финансовых активов, используемых в регулируемом виде деятельности, учитывается размер чистой прибыли в регулируемом виде деятельности, необходимый для покрытия согласованных расходов субъектов регулирования) <*>;

<*> Постановление Правительства Российской Федерации от 29.12.2000 N 1021 "О государственном регулировании цен на газ и тарифов на услуги по его транспортировке на территории Российской Федерации" (Собрание законодательства Российской Федерации, 2001, N 2, ст. 175; 2002, N 21, ст. 2001; 2006, N 50, ст. 5354; 2007, N 23, ст. 2798).

в) учета в структуре регулируемых цен всех налогов и иных обязательных платежей в соответствии с законодательством Российской Федерации.

5. Регулирование розничных цен базируется на раздельном учете расходов по регулируемому виду деятельности, в соответствии с нормативными актами о налоговом и бухгалтерском учете.

6. В случае если субъект регулирования помимо регулируемой деятельности осуществляет иные виды деятельности, расходы на их осуществление и полученные доходы от этих видов деятельности не учитываются при расчете розничных цен.

7. Часть расходов субъекта регулирования по обычным видам деятельности, которые невозможно отнести к конкретному производственному процессу, учитываются в расчете розничных цен пропорционально доле выручки (без учета покупной стоимости газа) по регулируемому виду деятельности за предыдущий период регулирования в общей сумме выручки субъекта регулирования за предыдущий период регулирования.

В случае если учетной политикой субъекта регулирования предусмотрен иной способ распределения части расходов по обычным видам деятельности, которые невозможно отнести к конкретному производственному процессу, субъект регулирования вправе распределять данные расходы согласно своей учетной политике.

Выручка рассматривается с учетом приведения деятельности субъекта регулирования к сопоставимым условиям за предыдущий и расчетный периоды регулирования.

8. В целях настоящих Методических указаний также применяются следующие правила учета расходов субъекта регулирования:

а) расходы субъекта регулирования, возникающие вследствие осуществления регулируемого вида деятельности (в случае возможности такого выделения), учитываются в расчете розничных цен полностью;

б) расходы субъекта регулирования, возникающие вследствие осуществления других видов деятельности (в случае возможности такого выделения), в расчете розничных цен не учитываются;

в) расходы субъекта регулирования в случае, когда их невозможно отнести к конкретному виду деятельности, учитываются в расчете розничных цен пропорционально доле выручки по регулируемому виду деятельности за предыдущий период регулирования в общей сумме выручки субъекта регулирования за предыдущий период регулирования, если иное не предусмотрено учетной политикой субъекта регулирования;

г) аналогичные изложенным выше в данном пункте подходы используются при формировании чистой прибыли с учетом положений п. 4 настоящих Методических указаний.

9. Фактические и плановые расходы субъекта регулирования подлежат анализу с учетом действующих нормативов, их экономической обоснованности, а также фактических индексов-дефляторов по прошлым периодам и прогнозных на период регулирования.

При расчете розничных цен и обосновании величин отдельных статей расходов применяются:

а) цены (тарифы), регулируемые государством;

б) цены (тарифы, стоимость услуг), установленные на основании договоров, заключенных по результатам проведенных субъектом регулирования конкурсов (тендеров);

в) прогнозные рыночные цены (тарифы, стоимость услуг), определяемые на основании прогнозного уровня инфляции на расчетный период действия розничных цен;

г) действующие нормативы численности, использования материалов и проведения различных видов эксплуатационных работ; при отсутствии нормативов по отдельным статьям расходов допускается использование в расчетах экспертных оценок.

10. Полученная субъектом регулирования экономия расходов по регулируемому виду деятельности в результате внедрения передовых методов организации труда, энерго- и ресурсосберегающих технологий, а также других мероприятий по сокращению расходов, в случае представления в регулирующий орган обоснования по проведенным мероприятиям, не учитывается при определении розничных цен в течение 3 лет.

11. При расчете розничных цен учитывается незапланированный убыток прошлых лет (незапланированная прибыль, кроме прибыли, возникшей в связи с проведением мероприятий по сокращению расходов), полученный субъектом регулирования от регулируемого вида деятельности.

При этом возможно покрытие незапланированного экономически обоснованного убытка прошлых лет по согласованному с органом исполнительной власти субъекта Российской Федерации (далее - регулирующий орган) графику в течение согласованного регулирующим органом периода времени.

12. Не использованные в течение предыдущего расчетного периода действия розничных цен средства по отдельным статьям расходов, выявленные по данным отчетности, могут учитываться при расчете розничных цен на следующий период в качестве источника покрытия предстоящих расходов.

13. При наличии стороннего субсидирования (в том числе бюджетного) каких-либо расходов субъекта регулирования на безвозмездной основе такие статьи расходов принимаются для расчета розничных цен за вычетом указанного субсидирования.

14. Розничные цены устанавливаются дифференцированно в зависимости от системы франкирования по следующим категориям (далее - категории):

а) реализация сжиженного газа в баллонах без доставки до потребителя;

б) реализация сжиженного газа в баллонах с доставкой до потребителя;

в) реализация сжиженного газа из групповых газовых резервуарных установок;

г) реализация сжиженного газа в баллонах с места промежуточного хранения (склада). (в ред. Приказа ФСТ РФ от 29.04.2008 N 110-э/7)

15. Розничные цены могут устанавливаться по категориям едиными на территории субъекта Российской Федерации или дифференцированными по территориальным единицам субъекта Российской Федерации, исходя из определяемых раздельно по каждой территориальной единице экономических показателей субъекта регулирования по регулируемому виду деятельности, а также дифференцированными по отдельным субъектам регулирования.

16. При установлении розничных цен может быть установлена фиксированная цена и (или) предельный ее уровень.

17. В целях расчета розничных цен на период регулирования объемы реализации сжиженного газа населению принимаются на уровне прогнозных на период регулирования, прогноза газопотребления с учетом фактической динамики реализации газа населению по категориям, в соответствии с п. 14 настоящих Методических указаний, за последние три года, а также с учетом проводимых работ по газификации субъекта Российской Федерации.

18. Розничные цены рассчитываются и устанавливаются в рублях за 1 кг сжиженного газа с учетом в цене налога на добавленную стоимость (для сжиженного газа из газовых резервуарных установок дополнительно может рассчитываться цена за 1 куб. м).

III. Порядок представления материалов для рассмотрения регулирующим органом вопросов об утверждении (пересмотре) розничных цен

19. Для утверждения (пересмотра) розничных цен субъект регулирования вместе с заявлением об установлении (пересмотре) розничных цен представляет в регулирующий орган следующие материалы:

а) расчет розничных цен с обосновывающими материалами в соответствии с Приложениями N N 1 - 11 к настоящим Методическим указаниям;

б) годовую бухгалтерскую отчетность субъекта регулирования за последние три года; квартальную бухгалтерскую отчетность субъекта регулирования на последнюю отчетную дату;

в) постатейное обоснование изменения размера расходов, относимых на себестоимость продукции (работ, услуг), исходя из раздельного учета продукции (услуг) и расходов на ее производство по регулируемому виду деятельности;

г) обоснование необходимой прибыли по регулируемому виду деятельности;

д) планы капитальных вложений субъекта регулирования на соответствующий год по регулируемому виду деятельности в целях учета в структуре розничных цен расходов на привлечение заимствований и других источников финансирования инвестиций согласно этим планам, а также отчеты по использованию инвестиционных средств за предыдущие периоды;

е) сравнительные данные по статьям расходов по регулируемому виду деятельности и размеру балансовой прибыли за предыдущие 3 года.

Представляемые расчетные и обосновывающие материалы должны быть подписаны руководителем и главным бухгалтером субъекта регулирования.

20. Пересмотр розничных цен может проводиться по инициативе субъекта регулирования или регулирующего органа. При пересмотре розничных цен по инициативе регулирующего органа субъект регулирования обязан представить в месячный срок с момента запроса регулирующего органа требуемые документы.

21. Регулирующий орган регистрирует заявление с прилагаемыми расчетными и обосновывающими материалами в день получения. При несоответствии документов установленным требованиям регулирующий орган возвращает их на доработку в 7-дневный срок со дня получения.

22. Решение об установлении (изменении) цен принимается регулирующим органом в течение 40 рабочих дней со дня регистрации заявления об установлении (изменении) цен.

23. Розничные цены утверждаются на год. Розничные цены могут быть пересмотрены в течение года в связи с обращением субъекта регулирования или по инициативе регулирующего органа в случае возникновения причин, повлекших за собой убыточность регулируемого вида деятельности для субъекта регулирования, либо в случае получения субъектом регулирования незапланированной прибыли или иных обоснованных причин.

IV. Принципы расчета розничных цен

24. Розничная цена (Ц_кат) для каждой категории, указанной в п. 14 настоящих Методических указаний, рассчитывается по следующей формуле:

Ц_кат = Р_кат + ЧП_кат + Н_кат - СП_кат , (1)
Объем_кат

где:

Р_кат - прогнозная на расчетный период сумма расходов субъекта регулирования по рассматриваемой категории, относимых на себестоимость;

ЧП_кат - прогнозная на расчетный период сумма чистой прибыли субъекта регулирования, необходимая для покрытия всех согласованных с регулирующим органом расходов из чистой прибыли по рассматриваемой категории;

Н_кат - прогнозная на расчетный период сумма налога на прибыль субъекта регулирования в части прибыли, получаемой от деятельности по рассматриваемой категории;

Объем_кат - прогнозный на расчетный период суммарный объем сжиженного газа рассматриваемой категории;

СП_кат - прогнозное на расчетный период сальдо прочих доходов и расходов субъекта регулирования по рассматриваемой категории.

25. Прогнозная на расчетный период сумма расходов субъекта регулирования по рассматриваемой категории, относимых на себестоимость (Р_кат), рассчитывается по следующей формуле:

(2)

где:

- прогнозная на расчетный период сумма расходов субъекта регулирования, относимых на себестоимость, прямо отнесенных на конкретную категорию (порядок расчета прописан в главе V настоящих Методических указаний);

- прогнозная на расчетный период сумма расходов субъекта регулирования, относимых на себестоимость, которые невозможно отнести к конкретному производственному процессу и относимых на рассматриваемую категорию по следующей формуле:

(3)

где:

- прогнозная на расчетный период сумма расходов субъекта регулирования, относимых на себестоимость, которые невозможно отнести к конкретным видам деятельности;

- прогнозная на расчетный период сумма расходов субъекта регулирования, входящих в структуру себестоимости, отнесенных на деятельность по снабжению потребителей сжиженным газом, которые невозможно отнести к конкретным категориям;

В_сж - выручка (без учета покупной стоимости газа) субъекта регулирования по снабжению сжиженным газом всех групп потребителей за предыдущий период регулирования;

В_гро - общая сумма выручки субъекта регулирования (без учета стоимости газа и без учета выручки от использования специальных надбавок к тарифам на услуги по транспортировке газа по газораспределительным сетям) по всем видам деятельности за предыдущий период регулирования;

В_кат - выручка (без учета покупной стоимости газа) субъекта регулирования за предыдущий период регулирования по рассматриваемой категории.

26. Необходимый для покрытия согласованных расходов субъекта регулирования по регулируемому виду деятельности размер чистой прибыли по категориям (ЧП_кат) для реализации производственных и инвестиционных программ, рассчитывается исходя из суммы следующих показателей:

а) потребности в капитальных вложениях за вычетом амортизационных отчислений и полученных целевых инвестиционных кредитов по рассматриваемой категории;

б) средств, направляемых на погашение убытков прошлых лет, полученных по рассматриваемой категории регулируемого вида деятельности;

в) средств на создание резервного фонда в соответствии с действующим законодательством по рассматриваемой категории регулируемого вида деятельности;

г) средств, необходимых для обслуживания привлеченного заемного капитала в части, относимой на рассматриваемую категорию регулируемого вида деятельности;

д) средств, необходимых для выплаты дивидендов с учетом внутренних документов организации, определяющих принципы дивидендной политики, согласованных с регулирующим органом;

е) обеспечения нормативных значений коэффициентов, характеризующих финансово-хозяйственную деятельность организации, осуществляющей регулируемый вид деятельности.

Расчет необходимой чистой прибыли по категориям (ЧП_кат) проводится по следующей формуле:

(4)

где:

- прогнозный на расчетный период необходимый размер чистой прибыли для покрытия согласованных расходов субъекта регулирования по реализации производственных и инвестиционных программ по конкретной категории;

- прогнозный на расчетный период необходимый размер чистой прибыли для покрытия согласованных расходов субъекта регулирования по реализации производственных и инвестиционных программ субъекта регулирования, которые невозможно отнести к конкретным видам деятельности субъекта регулирования;

- прогнозный на расчетный период необходимый размер чистой прибыли для покрытия согласованных расходов субъекта регулирования по реализации производственных и инвестиционных программ, связанных с деятельностью по снабжению потребителей сжиженным газом, которые невозможно отнести к конкретным категориям.

27. Прогнозная на расчетный период сумма налога на прибыль (Н_кат) рассчитывается исходя из условия обеспечения субъекту регулирования получения необходимого объема чистой прибыли по рассматриваемой категории регулируемого вида деятельности:

(5)

где:

Р_кат - прогнозная на расчетный период сумма расходов субъекта регулирования по рассматриваемой категории, относимых на себестоимость;

Р`_кат - прогнозная на расчетный период сумма расходов субъекта регулирования по рассматриваемой категории, относимых на себестоимость, учитываемых в целях налогообложения в соответствии с главой 25 Налогового кодекса Российской Федерации <*> (далее - Налоговый кодекс Российской Федерации);

<*> Собрание законодательства Российской Федерации, 2000, N 32, ст. 3341; 2001, N 1 (ч. II), ст. 18; N 23, ст. 2289; N 33 (ч. I), ст. 3413, ст. 3421, ст. 3429; N 49, ст. 4554, ст. 4564; N 53 (ч. I), ст. 5015, ст. 5023; 2002, N 1 (ч. I), ст. 4, N 22, ст. 2026, N 30, ст. 3021, ст. 3027, ст. 3033, N 52 (ч. I), ст. 5132, ст. 5138; 2003, N 1, ст. 2, ст. 5, ст. 6, ст. 8, ст. 11, N 19, ст. 1749, N 21, ст. 1958, N 22, ст. 2066, N 23, ст. 2174, N 24, ст. 2432, N 26, ст. 2567, N 27 (ч. I), ст. 2700, N 28, ст. 2874, ст. 2879, ст. 2886, N 46 (ч. I), ст. 4435, ст. 4443, ст. 4444, N 50, ст. 4849, N 52 (ч. I), ст. 5030, ст. 5038; 2004, N 15, ст. 1342, N 27, ст. 2711, ст. 2713, ст. 2715, N 30, ст. 3083, ст. 3084, ст. 3088, N 31, ст. 3219, ст. 3220, ст. 3222, ст. 3231, N 34, ст. 3517, ст. 3518, ст. 3520, ст. 3522, ст. 3523, ст. 3524, ст. 3525, ст. 3527, N 35, ст. 3607, N 41, ст. 3994, N 45, ст. 4377, N 49, ст. 4840; 2005, ст. 1 (ч. I), ст. 9, ст. 29, ст. 30, ст. 34, ст. 38, N 21, ст. 1918, N 23, ст. 2201, N 24, ст. 2312, N 25, ст. 2427, ст. 2428, ст. 2429, N 27, ст. 2707, ст. 2710, ст. 2713, ст. 2717, N 30 (ч. I), ст. 3101, ст. 3104, ст. 3112, ст. 3117, ст. 3118, N 30 (ч. II), ст. 3128, ст. 3129, ст. 3130, N 43, ст. 4350, N 50, ст. 5246, ст. 5249, N 52 (ч. I), ст. 5581; 2006, N 1, ст. 12, ст. 16, N 3, ст. 280, N 10, ст. 1065, N 12, ст. 1233, N 23, ст. 2380, ст. 2382, N 27, ст. 2881, N 30, ст. 3295, N 31 (ч. I), ст. 3433, ст. 3436, ст. 3443, ст. 3450, ст. 3452, N 43, ст. 4412, N 45, ст. 4627, ст. 4628, ст. 4629, ст. 4630, ст. 4738, N 47, ст. 4819, N 50, ст. 5279, ст. 5286; 2007, N 1 (ч. I), ст. 7, ст. 31, ст. 39, N 21, ст. 2461.

СП`_кат - прогнозное на расчетный период сальдо прочих доходов и расходов субъекта регулирования по рассматриваемой категории, учитываемых в целях налогообложения в соответствии с главой 25 Налогового кодекса Российской Федерации;

K_пр - ставка начисления налога на прибыль.

28. Прогнозное на расчетный период сальдо прочих доходов и расходов субъекта регулирования по категориям (СП_кат) рассчитывается по следующей формуле:

(6)

где:

- прогнозное на расчетный период суммарное сальдо прочих доходов и расходов субъекта регулирования по всем видам деятельности, которые невозможно отнести к конкретному производственному процессу;

СП_сж - прогнозное на расчетный период сальдо прочих доходов и расходов субъекта регулирования, возникающих в результате деятельности по снабжению потребителей сжиженным газом.

V. Особенности учета расходов

29. С целью расчета розничных цен по каждой категории, указанной в п. 14 настоящих Методических указаний, расходы субъекта регулирования, входящие в структуру себестоимости, прямо

пр отнесенные на конкретную категорию (), могут включать в себя следующие расходы:

I. Категория "1" - "Реализация сжиженного газа в баллонах без доставки до потребителя".

Сумма прямых расходов по данной категории () может включать:

- - расходы на приобретение сжиженного газа для населения у оптовых поставщиков, относимые на данную категорию;

- - расходы на транспортировку сжиженного газа для населения от оптовых поставщиков до газонаполнительных станций, относимые на данную категорию;

- - расходы на работу и содержание газонаполнительных станций (далее - ГНС) и газонаполнительных пунктов (далее - ГНП), относимые на данную категорию (деятельность ГНС и ГНП по отпуску сжиженного газа в баллонах);

- - расходы на содержание аварийной диспетчерской службы (далее - АДС), относимые на данную категорию;

- - прочие обоснованные расходы (хранение газа, ремонт и освидетельствование баллонов, если это не входит в расходы ГНС и т.п.), относимые на данную категорию.

II. Категория "2" - "Реализация сжиженного газа в баллонах с доставкой до потребителя".

Сумма прямых расходов по данной категории может включать:

- - расходы на приобретение сжиженного газа для населения у оптовых поставщиков, относимые на данную категорию;

- - расходы на транспортировку сжиженного газа для населения от оптовых поставщиков до ГНС, относимые на данную категорию;

- - расходы на работу и содержание ГНС и ГНП, относимые на данную категорию (деятельность ГНС и ГНП по отпуску сжиженного газа в баллонах);

- - транспортные расходы на доставку сжиженного газа в баллонах до потребителей;

- - расходы на содержание АДС, относимые на данную категорию;

- - прочие обоснованные расходы (хранение газа, ремонт и освидетельствование баллонов, если это не входит в расходы ГНС и т.п.), относимые на данную категорию.

III. Категория "3" - "Реализация сжиженного газа из групповых газовых резервуарных установок".

Сумма прямых расходов по данной категории () может включать:

- - расходы на приобретение сжиженного газа для населения у оптовых поставщиков, относимые на данную категорию;

- - расходы на транспортировку сжиженного газа для населения от оптовых поставщиков до ГНС, относимые на данную категорию;

- - расходы на работу и содержание ГНС, относимые на данную категорию (деятельность ГНС по отпуску сжиженного газа в автоцистернах);

- - транспортные расходы на доставку сжиженного газа в автоцистернах до потребителей;

- - расходы на содержание АДС, относимые на данную категорию;

- - расходы на содержание объектов инфраструктуры, используемых для осуществления деятельности по снабжению населения сжиженным газом из групповых газовых резервуарных установок и находящихся в собственности субъекта регулирования или в пользовании на иных законных основаниях;

- - прочие обоснованные расходы (хранение газа, если это не входит в расходы ГНС и т.п.), относимые на данную категорию.

IV. Категория "4" - "Реализация сжиженного газа в баллонах с места промежуточного хранения (склада)".

Сумма прямых расходов по данной категории (SUМР(пр)_4 может включать:

- Р(пок)_4 - расходы на приобретение сжиженного газа для населения у оптовых поставщиков, относимые на данную категорию;

- Р(тр)_4 - расходы на транспортировку сжиженного газа для населения от оптовых поставщиков до газонаполнительных станций, относимые на данную категорию;

- Р(гнс)_4 - расходы на работу и содержание газонаполнительных станций (далее - ГНС) и газонаполнительных пунктов (далее - ГНП), относимые на данную категорию (деятельность ГНС и ГНП по отпуску сжиженного газа в баллонах);

- Р(тр скл)_4 - расходы на транспортировку сжиженного газа в баллонах для населения от газонаполнительных станций до места промежуточного хранения (склада), относимые на данную категорию;

- Р(скл)_4 - расходы на работу и содержание пунктов промежуточного хранения (склада), относимые на данную категорию;

- Р(адс)_4 - расходы на содержание аварийной диспетчерской службы (далее - АДС), относимые на данную категорию;

- Р(проч)_4 - прочие обоснованные расходы (хранение газа, ремонт и освидетельствование баллонов, если это не входит в расходы ГНС и т.п.), относимые на данную категорию. (в ред. Приказа ФСТ РФ от 29.04.2008 N 110-э/7)

30. Расходы на приобретение сжиженного газа у оптовых поставщиков.

Расчет расходов на приобретение сжиженного газа для населения у оптовых поставщиков, относимых на себестоимость, по категориям осуществляется по следующей формуле:

(7)

где:

- суммарные расходы на приобретение сжиженного газа у оптовых поставщиков по регулируемому виду деятельности, относимые на себестоимость;

Объем_кат - объем сжиженного газа рассматриваемой категории;

Объем_рег - суммарный объем сжиженного газа, закупаемый для реализации населению по регулируемому виду деятельности.

31. Расходы на транспортировку сжиженного газа от оптовых поставщиков до ГНС. Расчет расходов на транспортировку сжиженного газа для населения от оптовых поставщиков до ГНС, относимых на себестоимость, по категориям осуществляется по следующей формуле:

(8)

где:

- суммарные расходы на транспортировку сжиженного газа для населения от оптовых поставщиков до ГНС, относимые на себестоимость.

При невозможности выделения расходов на транспортировку сжиженного газа от оптовых поставщиков до ГНС по регулируемому виду деятельности из общей суммы расходов по транспортировке сжиженного газа от оптовых поставщиков до ГНС расчет производится по следующей формуле:

(9)

где:

- суммарные расходы на транспортировку всего объема сжиженного газа от оптовых поставщиков до ГНС, относимые на себестоимость;

Объем_сж - суммарный объем транспортировки сжиженного газа от оптовых поставщиков до ГНС.

В случае если субъект регулирования осуществляет транспортировку сжиженного газа от оптовых поставщиков до ГНС в автоцистернах, находящихся в его собственности или в пользовании на иных законных основаниях, расчет расходов в части данной транспортировки () по категориям производится по следующей кат формуле:

(10)

где:

- сумма расходов субъекта регулирования на транспортировку всего объема сжиженного газа, перевозимого в автоцистернах (учитывается и транспортировка сжиженного газа от оптовых поставщиков до ГНС, и доставка газа потребителям), относимых на себестоимость;

- суммарный объем сжиженного газа, транспортируемый субъектом регулирования в автоцистернах (учитывается и транспортировка газа от оптовых поставщиков до ГНС, и доставка газа потребителям);

- объем сжиженного газа, транспортируемый в автоцистернах от оптовых поставщиков до ГНС;

- объем сжиженного газа, отпускаемый с ГНС по рассматриваемой категории;

Объем_гнс - суммарный объем сжиженного газа, отпускаемый с ГНС всем группам потребителей;

Расчет расходов на доставку сжиженного газа в автоцистернах до потребителей () в этом случае осуществляется по следующей формуле:

(11)

где:

Объем_дост - объем доставки сжиженного газа в автоцистернах потребителям.

32. Расходы на работу и содержание ГНС (ГНП).

Расчет расходов на работу и содержание ГНС (ГНП), относимых на себестоимость, по категориям осуществляется по следующим формулам:

(12)
   
(13)
   
(14)

где:

- расходы на работу и обслуживание ГНС (ГНП), входящие в структуру себестоимости, прямо отнесенные на деятельность ГНС (ГНП) по отпуску сжиженного газа в баллонах;

- расходы на работу и обслуживание ГНС, входящие в структуру себестоимости, прямо отнесенные на деятельность ГНС по отпуску сжиженного газа в автоцистернах;

- расходы на работу и обслуживание ГНС, входящие в структуру себестоимости, которые невозможно отнести на конкретный вид деятельности ГНС;

- объем отпуска с ГНС сжиженного газа в баллонах (без доставки до потребителей) всем группам потребителей;

- объем отпуска с ГНС сжиженного газа в баллонах (с доставкой до потребителей) всем группам потребителей;

- объем отпуска с ГНС сжиженного газа в автоцистернах всем группам потребителей;

- объем отпуска с ГНС сжиженного газа в баллонах всем группам потребителей;

Объем_гнс - суммарный объем отпуска с ГНС сжиженного газа всем группам потребителей.

В случае если субъект регулирования приобретает сжиженный газ в баллонах и (или) в автоцистернах с ГНС, которые находятся в собственности или на иных законных основаниях у третьих лиц, или передает сжиженный газ, закупаемый у оптовых поставщиков на вышеуказанные ГНС для выполнения комплекса работ по наполнению баллонов и (или) автоцистерн передаваемым сжиженным газом, расходы субъекта регулирования на работу ГНС рассчитываются исходя из договорной цены между субъектом регулирования и собственником ГНС, при условии ее обоснованности.

33. Транспортные расходы на доставку сжиженного газа до потребителей.

Расчет транспортных расходов на доставку сжиженного газа до потребителей в баллонах и в автоцистернах , отнесенных на себестоимость, осуществляется на основании представляемых субъектом регулирования обоснованных расчетов согласно приложению 7 к настоящим Методическим указаниям.

Транспортные расходы на доставку сжиженного газа в баллонах и в автоцистернах до потребителей, отнесенные на себестоимость, могут рассчитываться дифференцированно по территориальным единицам субъектов Российской Федерации, исходя из определяемых раздельно по территориальным единицам экономически обоснованных расходов на доставку.

34. Расходы на содержание аварийно-диспетчерской службы (далее - АДС). Расходы субъекта регулирования на содержание АДС, по категориям, могут рассчитываться по одной из следующих формул:

а) Пропорционально доле заявок на ремонт от потребителей сжиженного газа в баллонах, потребителей сжиженного газа из групповых резервуарных установок в общем количестве заявок на ремонт от потребителей сжиженного газа:

(15)
   
(16)
   
(17)

где:

- расходы субъекта регулирования на содержание АДС, входящие в структуру себестоимости, относимые на сжиженный газ;

КЗ_бал - среднегодовое за последние три года количество заявок на ремонт от потребителей сжиженного газа в баллонах;

КЗ_емк - среднегодовое за последние три года количество заявок на ремонт от потребителей сжиженного газа из групповых резервуарных установок;

КЗ_сж - среднегодовое за последние три года общее количество заявок на ремонт от потребителей сжиженного газа (КЗ_сж = КЗ_бал + КЗ_емк);

Объем_1 - объем сжиженного газа в баллонах, реализуемый всем группам потребителей без доставки;

Объем_2 - объем сжиженного газа в баллонах, реализуемый всем группам потребителей с доставкой;

Объем_бал - суммарный объем сжиженного газа в баллонах, реализуемый всем группам потребителей.

б) Пропорционально доле потребителей сжиженного газа в баллонах, потребителей газа из групповых резервуарных установок в общем количестве потребителей сжиженного газа:

(18)
   
(19)
   
(20)

где:

КП_бал - количество потребителей, использующих сжиженный газ в баллонах;

КП_емк - количество потребителей, использующих сжиженный газ из групповых резервуарных установок;

КП_сж - общее количество потребителей, использующих сжиженный газ.

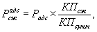
Расчет расходов субъекта регулирования на содержание АДС, входящих в структуру себестоимости, относимых на сжиженный газ (), может быть произведен по одной из нижеследующих формул:

а) Пропорционально количеству заявок на ремонт между потребителями природного и сжиженного газа:

(21)

где:

Р_адс - общие расходы субъекта регулирования на содержание АДС, отнесенные на себестоимость;

КЗ_сж - среднегодовое за последние три года количество заявок на ремонт от потребителей сжиженного газа;

КЗ_сумм - среднегодовое за последние три года общее количество заявок на ремонт от потребителей (суммарно по сжиженному газу и природному газу).

б) Пропорционально количеству потребителей, использующих природный и сжиженный газ:

(22)

где:

КП_сж - количество потребителей, использующих сжиженный газ;

КП_сумм - общее количество потребителей, использующих сжиженный и природный газ.

35. Расходы на содержание объектов инфраструктуры Расчет расходов на содержание объектов инфраструктуры, используемых для осуществления деятельности по снабжению населения сжиженным газом из групповых резервуарных установок и находящихся в собственности субъекта регулирования или в пользовании на иных законных основаниях, осуществляется на основании обоснованных расчетов согласно приложению 9 к настоящим Методическим указаниям.

36. Прочие расходы

Формирование прочих обоснованных расходов, входящих в структуру себестоимости, отнесенных к конкретным категориям (например, расходов на хранение газа, ремонт и освидетельствование баллонов, если это не входит в расходы ГНС и т.п.), осуществляется на основании обоснованных расчетов, представляемых субъектом регулирования.

VI. Заключительные положения

37. Споры и разногласия, связанные с применением регулируемых розничных цен на сжиженный газ, реализуемый населению для бытовых нужд, кроме газа для арендаторов нежилых помещений в жилых домах и газа для заправки автотранспортных средств, рассматриваются в соответствии с законодательством Российской Федерации, а в досудебном порядке - регулирующими органами в пределах их компетенции.

Приложение 1
к Методическим указаниям
по расчету розничных цен
на сжиженный газ,
реализуемый населению

Таблица 1

ПОТРЕБЛЕНИЕ СЖИЖЕННОГО ГАЗА НАСЕЛЕНИЕМ

N п/п Наименование показателя Базовый период (за 3 предшествующих года) Период регулирования
200_ год 200_ год 200_ год
1 2 3 4 5 6
1. Количество потребителей газа из групповых резервуарных установок        
2. Средний норматив потребления газа из групповых резервуарных установок        
3. Суммарный объем потребления газа из групповых резервуарных установок, тонн        
4. Количество потребителей баллонного газа        
5. Норматив потребления баллонного газа        
6. Суммарный объем потребления баллонного газа, тонн        
7. Всего потребление сжиженного газа, тонн        
Руководитель организации   (расшифровка подписи)
Главный бухгалтер   (расшифровка подписи)

Приложение 2
к Методическим указаниям
по расчету розничных цен
на сжиженный газ,
реализуемый населению

Таблица 2

БАЛАНС ПОТРЕБЛЕНИЯ СЖИЖЕННОГО ГАЗА НАСЕЛЕНИЕМ (ТОНН)

N п/п Наименование показателя Базовый период (за 3 предшествующих года) Период регулирования
200_ г. 200_ г. 200_ г.
всего сумма столб. N 4, 5 газ из групповых резервуар. установок газ в баллонах всего сумма столб. N 7, 8 газ из групповых резервуар. установок газ в баллонах всего сумма столб. N 10, 11 газ из групповых резервуар. установок газ в баллонах всего сумма столб N 13, 14 газ из групповых резервуар. установок газ в баллонах
1 2 3 4 5 6 7 8 9 10 11 12 13 14
1. Остаток газа на начало отчетного периода                        
2. Покупка газа                        
3. Расход газа на собственные нужды                        
4. Потери газа                        
5. Отпущено газа потребителям                        
6. Остаток газа на конец отчетного периода                        
Руководитель организации   (расшифровка подписи)
Главный бухгалтер   (расшифровка подписи)

Приложение 3
к Методическим указаниям
по расчету розничных цен
на сжиженный газ,
реализуемый населению

Таблица 3

КАЛЬКУЛЯЦИЯ ПЛАНОВЫХ РАСХОДОВ ПО РЕАЛИЗАЦИИ СЖИЖЕННОГО ГАЗА, С ВЫДЕЛЕНИЕМ РАСХОДОВ ПО РЕГУЛИРУЕМОМУ ВИДУ ДЕЯТЕЛЬНОСТИ
(ПРОГНОЗНЫЕ РАСХОДЫ НА ПЕРИОД РЕГУЛИРОВАНИЯ)

тыс. руб.

N стр Наименование показателя Всего по реализации сжиженного газа сумма столб. N N 4, 7, 10 Регулируемая деятельность Нерегулируемая деятельность Расходы, которые невозможно отнести на конкретный вид деятельности
всего сумма столб. N N 5, 7 газ в баллонах газ из групп. резервуар. установок всего сумма столб. N N 8, 9 газ в баллонах газ из групп. резервуар. установок
1 2 3 4 5 6 7 8 9 10
1 Объем реализации сжиженного газа, всего, тонн                
2 Объем реализации сжиженного газа по регулируемому виду деятельности, всего, тонн                
3 Расходы, относящиеся на себестоимость, по данным бухгалтерского учета, всего (сумма стр. 04 + 05 + 06 + 11 + 12), в том числе:                
4 Фонд оплаты труда (ФОТ)                
5 Налоги на ФОТ                
6 Материальные затраты (сумма стр. 07 - 10), в том числе:                
7 Материалы                
8 Газ на собственные и технологические нужды                
9 Технологические (эксплуатационные) потери газа                
10 Прочие                
11 Амортизация основных средств                
12 Прочие затраты (сумма стр. 13 + 16 + 17 + 21 + 28 + 29 + 30), в том числе:                
13 Аренда (лизинг) (сумма стр. 14 - 15), в том числе:                
14 Аренда (лизинг) здания, транспорта                
15 Аренда (лизинг) прочего имущества                
16 Страховые платежи                
17 Налоги, включаемые в себестоимость (сумма стр. 18 - 20), в том числе:                
18 Налог на землю                
19 Налог на загрязнение окружающей среды                
20 Единый транспортный налог                
21 Услуги сторонних организаций (сумма стр. 22 - 27), в том числе:                
22 Услуги средств связи                
23 Транспортные услуги                
24 Оплата вневедомственной охраны                
25 Аудиторские и консалтинговые услуги                
26 Информационно - вычислительные услуги                
27 Прочие                
28 Капитальный ремонт                
29 Пусконаладочные работы                
30 Другие затраты (сумма стр. 31 - 36), в том числе:                
31 Представительские расходы                
32 Командировочные расходы                
33 Охрана труда, подготовка кадров                
34 Канцелярские и почтово - телеграфные расходы                
35 НИОКР                
36 Прочие                
37 Сальдо прочих доходов и расходов (разность стр. 38 и 39), в том числе:                
38 Прочие доходы <*>                
39 Прочие расходы <*>                
  Дополнительно:                
40 Выручка по реализации сжиженного газа всем группам потребителей за прошедший период регулирования                
41 Выручка по регулируемому виду деятельности за прошедший период регулирования                
42 Выручка по реализации сжиженного газа населению в баллонах за прошедший период регулирования                
43 Выручка по реализации сжиженного газа населению из групповых резервуарных установок за прошедший период регулирования                
  Справочно:                
44 Численность персонала по регулируемому виду деятельности, чел.                
45 Средняя заработная плата, руб./мес.                

<*> Прочие доходы и расходы подлежат дополнительной расшифровке (указываются все статьи, превышающие 10% от общей суммы доходов и расходов).

Примечание:

При наличии стороннего субсидирования (в том числе бюджетного) каких-либо расходов субъекта регулирования на безвозмездной основе такие статьи расходов принимаются для расчета розничных цен за вычетом указанного субсидирования.

Руководитель организации   (расшифровка подписи)
Главный бухгалтер   (расшифровка подписи)

Приложение 3
к Методическим указаниям
по расчету розничных цен
на сжиженный газ,
реализуемый населению

Таблица 4

КАЛЬКУЛЯЦИЯ ФАКТИЧЕСКИХ РАСХОДОВ ПО РЕАЛИЗАЦИИ СЖИЖЕННОГО ГАЗА, С ВЫДЕЛЕНИЕМ РАСХОДОВ ПО РЕГУЛИРУЕМОМУ ВИДУ ДЕЯТЕЛЬНОСТИ
(базовый период (200_ год))

тыс. руб.

N стр Наименование показателя Всего по реализации сжиженного газа сумма столб. N N 4, 7, 10 Регулируемая деятельность Нерегулируемая деятельность Расходы, которые невозможно отнести на конкретный вид деятельности
всего сумма столб. N N 5, 7 газ в баллонах газ из групп. резервуар. установок всего сумма столб. N N 8, 9 газ в баллонах газ из групп. резервуар. установок
1 2 3 4 5 6 7 8 9 10
1 Объем реализации сжиженного газа, всего, тонн                
2 Объем реализации сжиженного газа по регулируемому виду деятельности всего, тонн                
3 Расходы, относящиеся на себестоимость по данным бухгалтерского учета, всего (сумма стр. 04 + 05 + 06 + 11 + 12), в том числе:                
4 Фонд оплаты труда (ФОТ)                
5 Налоги на ФОТ                
6 Материальные затраты (сумма стр. 07 - 10), в том числе:                
7 Материалы                
8 Газ на собственные и технологические нужды                
9 Технологические (эксплуатационные) потери газа                
10 Прочие                
11 Амортизация основных средств                
12 Прочие затраты (сумма стр. 13 + 16 + 17 + 21 + 28 + 29 + 30), в том числе:                
13 Аренда (лизинг) (сумма стр. 14 - 15), в том числе:                
14 Аренда (лизинг) здания, транспорта                
15 Аренда (лизинг) прочего имущества                
16 Страховые платежи                
17 Налоги, включаемые в себестоимость (сумма стр. 18 - 20), в том числе:                
18 Налог на землю                
19 Налог на загрязнение окружающей среды                
20 Единый транспортный налог                
21 Услуги сторонних организаций (сумма стр. 22 - 27), в том числе:                
22 Услуги средств связи                
23 Транспортные услуги                
24 Оплата вневедомственной охраны                
25 Аудиторские и консалтинговые услуги                
26 Информационно - вычислительные услуги                
27 Прочие                
28 Капитальный ремонт                
29 Пусконаладочные работы                
30 Другие затраты (сумма стр. 31 - 36), в том числе:                
31 Представительские расходы                
32 Командировочные расходы                
33 Охрана труда, подготовка кадров                
34 Канцелярские и почтово - телеграфные расходы                
35 НИОКР                
36 Прочие                
37 Сальдо Прочих доходов и расходов (разность стр. 38 и 39), в том числе:                
38 Прочие доходы <*>                
39 Прочие расходы <*>                
  Дополнительно:                
40 Выручка по реализации сжиженного газа всем группам потребителей за прошедший период регулирования                
41 Выручка по регулируемому виду деятельности за прошедший период регулирования                
42 Выручка по реализации сжиженного газа населению в баллонах за прошедший период регулирования                
43 Выручка по реализации сжиженного газа населению из групповых резервуарных установок за прошедший период регулирования                
  Справочно:                
44 Численность персонала по регулируемому виду деятельности, чел.                
45 Средняя заработная плата, руб./мес.                

<*> Прочие доходы и расходы подлежат дополнительной расшифровке (указываются все статьи, превышающие 10% от общей суммы доходов и расходов).

Примечание:

При наличии стороннего субсидирования (в том числе бюджетного) каких-либо расходов субъекта регулирования на безвозмездной основе такие статьи расходов принимаются для расчета розничных цен за вычетом указанного субсидирования.

Руководитель организации   (расшифровка подписи)
Главный бухгалтер   (расшифровка подписи)

Приложение 3
к Методическим указаниям
по расчету розничных цен
на сжиженный газ,
реализуемый населению

Таблица 5

КАЛЬКУЛЯЦИЯ ФАКТИЧЕСКИХ РАСХОДОВ ПО РЕАЛИЗАЦИИ СЖИЖЕННОГО ГАЗА, С ВЫДЕЛЕНИЕМ РАСХОДОВ ПО РЕГУЛИРУЕМОМУ ВИДУ ДЕЯТЕЛЬНОСТИ
(базовый период (200_ год))

тыс. руб.

N стр Наименование показателя Всего по реализации сжиженного газа сумма столб. N N 4, 7, 10 Регулируемая деятельность Нерегулируемая деятельность Расходы, которые невозможно отнести на конкретный вид деятельности
всего сумма столб. N N 5, 7 газ в баллонах газ из групп. резервуар. установок всего сумма столб. N N 8, 9 газ в баллонах газ из групп. резервуар. установок
1 2 3 4 5 6 7 8 9 10
1 Объем реализации сжиженного газа, всего, тонн                
2 Объем реализации сжиженного газа по регулируемому виду деятельности, всего, тонн                
3 Расходы, относящиеся на себестоимость, по данным бухгалтерского учета, всего (сумма стр. 04 + 05 + 06 + 11 + 12), в том числе:                
4 Фонд оплаты труда (ФОТ)                
5 Налоги на ФОТ                
6 Материальные затраты (сумма стр. 07 - 10), в том числе:                
7 Материалы                
8 Газ на собственные и технологические нужды                
9 Технологические (эксплуатационные) потери газа                
10 Прочие                
11 Амортизация основных средств                
12 Прочие затраты (сумма стр. 13 + 16 + 17 + 21 + 28 + 29 + 30), в том числе:                
13 Аренда (лизинг) (сумма стр. 14 - 15), в том числе:                
14 Аренда (лизинг) здания, транспорта                
15 Аренда (лизинг) прочего имущества                
16 Страховые платежи                
17 Налоги, включаемые в себестоимость (сумма стр. 18 - 20), в том числе:                
18 Налог на землю                
19 Налог на загрязнение окружающей среды                
20 Единый транспортный налог                
21 Услуги сторонних организаций (сумма стр. 22 - 27), в том числе:                
22 Услуги средств связи                
23 Транспортные услуги                
24 Оплата вневедомственной охраны                
25 Аудиторские и консалтинговые услуги                
26 Информационно-вычислительные услуги                
27 Прочие                
28 Капитальный ремонт                
29 Пусконаладочные работы                
30 Другие затраты (сумма стр. 31 - 36), в том числе:                
31 Представительские расходы                
32 Командировочные расходы                
33 Охрана труда, подготовка кадров                
34 Канцелярские и почтово - телеграфные расходы                
35 НИОКР                
36 Прочие                
37 Сальдо прочих доходов и расходов (разность стр. 38 и 39), в том числе:                
38 Прочие доходы <*>                
39 Прочие расходы <*>                
  Дополнительно:                
40 Выручка по реализации сжиженного газа всем группам потребителей за прошедший период регулирования                
41 Выручка по регулируемому виду деятельности за прошедший период регулирования                
42 Выручка по реализации сжиженного газа населению в баллонах за прошедший период регулирования                
43 Выручка по реализации сжиженного газа населению из групповых резервуарных установок за прошедший период регулирования                
  Справочно:                
44 Численность персонала по регулируемому виду деятельности, чел.                
45 Средняя заработная плата, руб./мес.                

<*> Прочие доходы и расходы подлежат дополнительной расшифровке (указываются все статьи, превышающие 10% от общей суммы доходов и расходов).

Примечание:

При наличии стороннего субсидирования (в том числе бюджетного) каких-либо расходов субъекта регулирования на безвозмездной основе такие статьи расходов принимаются для расчета розничных цен за вычетом указанного субсидирования.

Руководитель организации   (расшифровка подписи)
Главный бухгалтер   (расшифровка подписи)

Приложение 3
к Методическим указаниям
по расчету розничных цен
на сжиженный газ,
реализуемый населению

Таблица 6

КАЛЬКУЛЯЦИЯ
ФАКТИЧЕСКИХ РАСХОДОВ ПО РЕАЛИЗАЦИИ СЖИЖЕННОГО ГАЗА, С ВЫДЕЛЕНИЕМ РАСХОДОВ ПО РЕГУЛИРУЕМОМУ ВИДУ ДЕЯТЕЛЬНОСТИ
(базовый период (200_ год))

тыс. руб.

N стр Наименование показателя Всего по реализации сжиженного газа сумма столб. N N 4, 7, 10 Регулируемая деятельность Нерегулируемая деятельность Расходы, которые невозможно отнести на конкретный вид деятельности
всего сумма столб. N N 5, 7 газ в баллонах газ из групп. резервуар. установок всего сумма столб. N N 8, 9 газ в баллонах газ из групп. резервуар. установок
1 2 3 4 5 6 7 8 9 10
1 Объем реализации сжиженного газа, всего, тонн                
2 Объем реализации сжиженного газа по регулируемому виду деятельности, всего, тонн                
3 Расходы, относящиеся на себестоимость, по данным бухгалтерского учета, всего (сумма стр. 04 + 05 + 06 + 11 + 12), в том числе:                
4 Фонд оплаты труда (ФОТ)                
5 Налоги на ФОТ                
6 Материальные затраты (сумма стр. 07 - 10), в том числе:                
7 Материалы                
8 Газ на собственные и технологические нужды                
9 Технологические (эксплуатационные) потери газа                
10 Прочие                
11 Амортизация основных средств                
12 Прочие затраты (сумма стр. 13 + 16 + 17 + 21 + 28 + 29 + 30), в том числе:                
13 Аренда (лизинг) (сумма стр. 14 - 15), в том числе:                
14 Аренда (лизинг) здания, транспорта                
15 Аренда (лизинг) прочего имущества                
16 Страховые платежи                
17 Налоги, включаемые в себестоимость (сумма стр. 18 - 20), в том числе:                
18 Налог на землю                
19 Налог на загрязнение окружающей среды                
20 Единый транспортный налог                
21 Услуги сторонних организаций (сумма стр. 22 - 27), в том числе:                
22 Услуги средств связи                
23 Транспортные услуги                
24 Оплата вневедомственной охраны                
25 Аудиторские и консалтинговые услуги                
26 Информационно - вычислительные услуги                
27 Прочие                
28 Капитальный ремонт                
29 Пусконаладочные работы                
30 Другие затраты (сумма стр. 31 - 36), в том числе:                
31 Представительские расходы                
32 Командировочные расходы                
33 Охрана труда, подготовка кадров                
34 Канцелярские и почтово - телеграфные расходы                
35 НИОКР                
36 Прочие                
37 Сальдо прочих доходов и расходов (разность стр. 38 и 39), в том числе:                
38 Прочие доходы <*>                
39 Прочие расходы <*>                
  Дополнительно:                
40 Выручка по реализации сжиженного газа всем группам потребителей за прошедший период регулирования                
41 Выручка по регулируемому виду деятельности за прошедший период регулирования                
42 Выручка по реализации сжиженного газа населению в баллонах за прошедший период регулирования                
43 Выручка по реализации сжиженного газа населению из групповых резервуарных установок за прошедший период регулирования                
  Справочно:                
44 Численность персонала по регулируемому виду деятельности, чел.                
45 Средняя заработная плата, руб./мес.                

<*> Прочие доходы и расходы подлежат дополнительной расшифровке (указываются все статьи, превышающие 10% от общей суммы доходов и расходов).

Примечание:

При наличии стороннего субсидирования (в том числе бюджетного) каких-либо расходов субъекта регулирования на безвозмездной основе такие статьи расходов принимаются для расчета розничных цен за вычетом указанного субсидирования.

Руководитель организации   (расшифровка подписи)
Главный бухгалтер   (расшифровка подписи)

Приложение 4
к Методическим указаниям
по расчету розничных цен
на сжиженный газ,
реализуемый населению

Таблица 7

СТОИМОСТЬ ПРИОБРЕТЕНИЯ СЖИЖЕННОГО ГАЗА ДЛЯ НАСЕЛЕНИЯ

N п/п Поставщик Наименование показателя Базовый период (за 3 предшествующих года) Период регулирования
200_ г. 200_ г. 200_ г.
1 2 3 4 5 6 7
1. Поставщик 1 Объем покупки газа, тонн        
2. Цена покупки газа, руб./т        
3. Стоимость покупки газа, тыс. руб.        
4. Поставщик N Объем покупки газа, тонн        
5. Цена покупки газа, руб./т        
6. Стоимость покупки газа, тыс. руб.        
7.   Итого объем покупки газа по всем поставщикам, тонн        
    Итого расходы на покупку газа по всем поставщикам, тыс. руб.        
Руководитель организации   (расшифровка подписи)
Главный бухгалтер   (расшифровка подписи)

Приложение 5
к Методическим указаниям
по расчету розничных цен
на сжиженный газ,
реализуемый населению

Таблица 8

РАСХОДЫ НА ТРАНСПОРТИРОВКУ СЖИЖЕННОГО ГАЗА ОТ ОПТОВЫХ ПОСТАВЩИКОВ НА ГАЗОНАПОЛНИТЕЛЬНЫЕ СТАНЦИИ

N п/п Поставщик Наименование показателя Базовый период (за 3 предшествующих года) Период регулирования
200_ г. 200_ г. 200_ г.
1 2 3 4 5 6 7
1 Поставщик 1 Объем транспортировки, тонн        
2 Расходы на ж/д транспортировку по путям общего пользования (ОАО "РЖД"), тыс. руб.        
3 Расходы на ж/д транспортировку по частным (ведомственным) путям, тыс. руб.        
4 Иные расходы на транспортировку, тыс. руб.        
5 Поставщик N Объем транспортировки, тонн        
6 Расходы на ж/д транспортировку по путям общего пользования (ОАО "РЖД"), тыс. руб.        
7 Расходы на ж/д транспортировку по частным (ведомственным) путям, тыс. руб.        
8 Иные расходы на транспортировку, тыс. руб.        
9   Всего объем транспортировки сжиженного газа, тонн        
10   Всего расходы на транспортировку, тыс. руб.        
Руководитель организации   (расшифровка подписи)
Главный бухгалтер   (расшифровка подписи)

Приложение 6
к Методическим указаниям
по расчету розничных цен
на сжиженный газ,
реализуемый населению

Таблица 9

КАЛЬКУЛЯЦИЯ
РАСХОДОВ ПО СОДЕРЖАНИЮ И ЭКСПЛУАТАЦИИ ГАЗОНАПОЛНИТЕЛЬНЫХ СТАНЦИЙ

тыс. руб.

N стр. Наименование показателя Базовый период (за 3 предшествующих года) Период регулирования
200_ г. 200_ г. 200_ г.
Газ в баллонах Газ в цистернах (емкостях) Расходы, которые невозможно отнести к конкретн. видам деятельн. Газ в баллонах Газ в цистернах (емкостях) Расходы, которые невозможно отнести к конкретн. видам деятельн. Газ в баллонах Газ в цистернах (емкостях) Расходы, которые невозможно отнести к конкретн. видам деятельн. Газ в баллонах Газ в цистернах (емкостях) Расходы, которые невозможно отнести к конкретн. видам деятельн.
1 2 3 4 5 6 7 8 9 10 11 12 13 14
1 Объем реализации с ГНС сжиженного газа, всего, тонн                        
2 Расходы на работу и содержание ГНС, относящиеся на себестоимость, по данным бухгалтерского учета, всего (сумма стр. 03 + 04 + 05 + 10 + 11), в том числе:                        
3 Фонд оплаты труда (ФОТ)                        
4 Налоги на ФОТ                        
5 Материальные затраты (сумма стр. 06 - 09), в том числе:                        
6 Материалы                        
7 Газ на собственные и технологические нужды                        
8 Технологические (эксплуатационные) потери газа                        
9 Прочие                        
10 Амортизация основных средств                        
11 Прочие затраты (сумма стр. 12 + 15 + 16 + 20 + 21 + 22), в том числе:                        
12 Аренда (лизинг) (сумма стр. 13 - 14), в том числе:                        
13 Аренда (лизинг) здания, транспорта                        
14 Аренда (лизинг) прочего имущества                        
15 Страховые платежи                        
16 Услуги сторонних организаций (сумма стр. 17 - 19), в том числе:                        
17 Услуги средств связи                        
18 Оплата вневедомственной охраны                        
19 Прочие                        
20 Капитальный ремонт                        
21 Пусконаладочные работы                        
22 Другие затраты                        
  Справочно:                        
23 Численность рабочих и служащих                        
24 Среднемесячная зарплата по стр. 23                        
25 Численность АУП                        
26 Среднемесячная зарплата по стр. 25                        
Руководитель организации   (расшифровка подписи)
Главный бухгалтер   (расшифровка подписи)

Приложение 7
к Методическим указаниям
по расчету розничных цен
на сжиженный газ,
реализуемый населению

Таблица 10

ТРАНСПОРТНЫЕ РАСХОДЫ
ПО ДОСТАВКЕ СЖИЖЕННОГО ГАЗА ПОТРЕБИТЕЛЯМ

тыс. руб.

N стр. Наименование показателя Базовый период (за 3 предшествующих года) Период регулирования
200_ г. 200_ г. 200_ г. 200_ г.
газ в баллонах газ в цистернах (емкостях) газ в баллонах газ в цистернах (емкостях) газ в баллонах газ в цистернах (емкостях) газ в баллонах газ в цистернах (емкостях)
1 2 3 4 6 7 9 10 12 13
01 Объем транспортировки сжиженного газа до потребителей, всего, тонн (сумма стр. 02 + 03), в том числе:                
02 Объем транспортировки сжиженного газа в баллонах, тонн                
03 Объем транспортировки сжиженного газа в цистернах (емкостях), тонн                
04 Расходы на транспортировку сжиженного газа, относящиеся на себестоимость, по данным бухгалтерского учета, всего (сумма стр. 05 + 06 + 07 + 10 + 11), в том числе:                
05 Фонд оплаты труда (ФОТ)                
06 Налоги на ФОТ                
07 Материальные затраты (сумма стр. 08 - 09), в том числе:                
08 ГСМ                
09 Прочие                
10 Амортизация основных средств                
11 Прочие затраты (сумма стр. 12 + 13 + 14 + 19 + 20), в том числе:                
12 Аренда (лизинг) транспорта                
13 Страховые платежи                
14 Услуги сторонних организаций (сумма стр. 15 - 18), в том числе:                
15 Услуги средств связи                
16 Оплата вневедомственной охраны                
17 Транспортные услуги                
18 Прочие                
19 Капитальный ремонт                
20 Другие затраты                
  Справочно:                
21 Кол-во автотранспорта по доставке газа в цистернах (емкостях), шт.                
22 Кол-во автотранспорта по доставке баллонного газа, шт.                
23 Среднемесячная зарплата водителей, руб./мес.                

В электронном документе нумерация граф таблицы соответствует официальному источнику.

Руководитель организации   (расшифровка подписи)
Главный бухгалтер   (расшифровка подписи)

Приложение 8
к Методическим указаниям
по расчету розничных цен
на сжиженный газ,
реализуемый населению

Таблица 11

РАСХОДЫ
НА СОДЕРЖАНИЕ АВАРИЙНО-ДИСПЕТЧЕРСКОЙ СЛУЖБЫ (АДС)

тыс. руб.

N стр. Наименование показателя Базовый период (за 3 предшествующих года) Период регулирования
200_ г. 200_ г. 200_ г.
1 2 3 4 5 6
1 Расходы на содержание АДС, всего (сумма стр. 02 + 03 + 04 + 05 + 06), в том числе:        
2 Фонд оплаты труда (ФОТ)        
3 Налоги на ФОТ        
4 Материальные затраты        
5 Амортизация основных средств        
6 Прочие затраты        
  Справочно:        
7 Кол-во потребителей природного газа        
8 Кол-во потребителей сж. газа (сумма стр. 09 + 10), в т.ч.        
9 Кол-во потребителей газа в баллонах        
10 Кол-во потребителей газа из групп. резерв. установок        
11 Кол-во заявок на ремонт по природному газу        
12 Кол-во заявок на ремонт по сж. газу (сумма стр. 13 + 14), в т.ч.:        
13 Кол-во заявок на ремонт по газу в баллонах        
14 Кол-во заявок на ремонт по газу из групп. резерв. уст.        
Руководитель организации   (расшифровка подписи)
Главный бухгалтер   (расшифровка подписи)

Приложение 9
к Методическим указаниям
по расчету розничных цен
на сжиженный газ,
реализуемый населению

Таблица 12

РАСХОДЫ
НА СОДЕРЖАНИЕ ОБЪЕКТОВ ИНФРАСТРУКТУРЫ, ИСПОЛЬЗУЕМЫХ ДЛЯ ОСУЩЕСТВЛЕНИЯ ДЕЯТЕЛЬНОСТИ ПО СНАБЖЕНИЮ НАСЕЛЕНИЯ СЖИЖЕННЫМ ГАЗОМ ИЗ ГРУППОВЫХ РЕЗЕРВУАРНЫХ УСТАНОВОК

тыс. руб.

N стр. Наименование показателя Базовый период (за 3 предшествующих года) Период регулирования
200_ г. 200_ г. 200_ г.
1 2 3 4 5 6
1 Расходы на содержание объектов инфраструктуры, относящиеся на себестоимость, по данным бухгалтерского учета, всего (сумма стр. 02 + 03 + 04 + 05 + 06), в том числе:        
2 Фонд оплаты труда (ФОТ)        
3 Налоги на ФОТ        
4 Материальные затраты        
5 Амортизация основных средств        
6 Прочие затраты        
  Справочно:        
7 Кол-во групповых резервуарных установок, шт.        
08 Протяженность сетей, км        
9 Численность персонала по эксплуатации, чел.        
10 Средняя заработная плата, руб./мес        
Руководитель организации   (расшифровка подписи)
Главный бухгалтер   (расшифровка подписи)

Приложение 10
к Методическим указаниям
по расчету розничных цен
на сжиженный газ,
реализуемый населению

Таблица 13

РАСШИФРОВКА ПРОЧИХ ДОХОДОВ И РАСХОДОВ

тыс. руб.

N стр. Наименование показателя Базовый период (за 3 предшествующих года) Период регулирования
200_ г. 200_ г. 200_ г.
1 2 3 4 5 6
1 Прочие доходы        
2 Реализация основных средств        
3 Штрафы, пени, неустойки        
4 Прочие <*>        
5 Прочие расходы        
6 Местные налоги        
7 Налог на имущество        
8 Проценты по краткосрочным кредитам        
9 Услуги банков        
10 Соцразвитие и выплаты социального характера        
11 Прочие <*>        

<*> Раздел "Прочие" подлежит дополнительной расшифровке в случае превышения 10% от общей суммы прочих расходов и доходов, соответственно.

Руководитель организации   (расшифровка подписи)
Главный бухгалтер   (расшифровка подписи)

Приложение 11
к Методическим указаниям
по расчету розничных цен
на сжиженный газ,
реализуемый населению

Таблица 14

РАСЧЕТ НЕОБХОДИМОЙ ЧИСТОЙ ПРИБЫЛИ

тыс. руб.

N стр. Наименование показателя Базовый период (за 3 предшествующих года) Период регулирования
200_ г. 200_ г. 200_ г.
1 2 3 4 5 6
1 Расходы, относящиеся на себестоимость, по данным бухгалтерского учета        
2 Расходы, относящиеся на себестоимость, учтенные в целях налогообложения        
3 Сальдо прочих доходов и расходов, отнесенных на регулируемый вид деятельности, по данным бухгалтерского учета        
4 Сальдо прочих доходов и расходов, отнесенных на регулируемый вид деятельности, учтенные в целях налогообложения        
5 Потребность в капитальных вложениях (за минусом амортизационных отчислений и полученных целевых инвестиционных кредитов)        
6 Средства, необходимые для обслуживания привлеченного заемного капитала в части, относимой на регулируемый вид деятельности        
7 Выплата дивидендов        
8 Средства на создание резервного фонда        
9 Средства, направляемые на погашение убытков прошлых лет, полученных по регулируемому виду деятельности        
10 Налоги, выплачиваемые за счет чистой прибыли (кроме налога на прибыль)        
11 Итого расходов из чистой прибыли (сумма стр. 06 - 11)        
12 Налог на прибыль <*>        
13 Потребность в прибыли до налогообложения (сумма стр. 12 - 13)        

<*> Расчет суммы налога на прибыль производится по формуле (5) настоящих Методических указаний.

Руководитель организации   (расшифровка подписи)
Главный бухгалтер   (расшифровка подписи)