Приказ МВД РФ от 21.03.2007 N 281

"Об утверждении Административного регламента МВД России по исполнению государственной функции обеспечения в соответствии с законодательством Российской Федерации государственной защиты судей, должностных лиц правоохранительных и контролирующих органов, безопасности участников уголовного судопроизводства и их близких"
Редакция от 21.03.2007 — Документ утратил силу, см. «Приказ МВД РФ от 28.03.2018 N 171»

Зарегистрировано в Минюсте РФ 17 октября 2007 г. N 10337


МИНИСТЕРСТВО ВНУТРЕННИХ ДЕЛ РОССИЙСКОЙ ФЕДЕРАЦИИ

ПРИКАЗ
от 21 марта 2007 г. N 281

ОБ УТВЕРЖДЕНИИ АДМИНИСТРАТИВНОГО РЕГЛАМЕНТА МВД РОССИИ ПО ИСПОЛНЕНИЮ ГОСУДАРСТВЕННОЙ ФУНКЦИИ ОБЕСПЕЧЕНИЯ В СООТВЕТСТВИИ С ЗАКОНОДАТЕЛЬСТВОМ РОССИЙСКОЙ ФЕДЕРАЦИИ ГОСУДАРСТВЕННОЙ ЗАЩИТЫ СУДЕЙ, ДОЛЖНОСТНЫХ ЛИЦ ПРАВООХРАНИТЕЛЬНЫХ И КОНТРОЛИРУЮЩИХ ОРГАНОВ, БЕЗОПАСНОСТИ УЧАСТНИКОВ УГОЛОВНОГО СУДОПРОИЗВОДСТВА И ИХ БЛИЗКИХ

На основании пункта 7 Порядка разработки и утверждения административных регламентов исполнения государственных функций и административных регламентов предоставления государственных услуг, утвержденного Постановлением Правительства Российской Федерации от 11 ноября 2005 г. N 679 "О порядке разработки и утверждения административных регламентов исполнения государственных функций и административных регламентов предоставления государственных услуг" <*>, приказываю:

Нормы пункта 7 старой редакции Порядка, утвержденного Постановлением Правительства РФ от 11.11.2005 N 679 утратили силу. Аналогичные нормы содержатся в пункте 9 Порядка в редакции Постановления Правительства РФ от 29.11.2007 N 813

<*> Собрание законодательства Российской Федерации, 2005, N 47, ст. 4933.

1. Утвердить прилагаемый Административный регламент Министерства внутренних дел Российской Федерации по исполнению государственной функции обеспечения в соответствии с законодательством Российской Федерации государственной защиты судей, должностных лиц правоохранительных и контролирующих органов, безопасности участников уголовного судопроизводства и их близких <*>.

<*> Далее - "Административный регламент".

2. Руководящему составу центрального аппарата Министерства внутренних дел Российской Федерации, подразделений, непосредственно подчиненных МВД России, главных управлений МВД России по федеральным округам, МВД, ГУВД, УВД по субъектам Российской Федерации, УВДТ, УВД (ОВД) в закрытых административно-территориальных образованиях, на особо важных и режимных объектах обеспечить в пределах своих полномочий неукоснительное исполнение требований Административного регламента.

3. Контроль за выполнением настоящего Приказа возложить на заместителей Министра по курируемым направлениям деятельности.

Министр
генерал армии
Р.НУРГАЛИЕВ

Приложение
к Приказу МВД России
от 21.03.2007 N 281

АДМИНИСТРАТИВНЫЙ РЕГЛАМЕНТ
МИНИСТЕРСТВА ВНУТРЕННИХ ДЕЛ РОССИЙСКОЙ ФЕДЕРАЦИИ ПО ИСПОЛНЕНИЮ ГОСУДАРСТВЕННОЙ ФУНКЦИИ ОБЕСПЕЧЕНИЯ В СООТВЕТСТВИИ С ЗАКОНОДАТЕЛЬСТВОМ РОССИЙСКОЙ ФЕДЕРАЦИИ ГОСУДАРСТВЕННОЙ ЗАЩИТЫ СУДЕЙ, ДОЛЖНОСТНЫХ ЛИЦ ПРАВООХРАНИТЕЛЬНЫХ И КОНТРОЛИРУЮЩИХ ОРГАНОВ, БЕЗОПАСНОСТИ УЧАСТНИКОВ УГОЛОВНОГО СУДОПРОИЗВОДСТВА И ИХ БЛИЗКИХ

I. Общие положения

1. Административный регламент Министерства внутренних дел Российской Федерации по исполнению государственной функции обеспечения в соответствии с законодательством Российской Федерации государственной защиты судей, должностных лиц правоохранительных и контролирующих органов, безопасности участников уголовного судопроизводства и их близких <*> разработан в целях определения сроков и последовательности действий (административные процедуры) МВД России непосредственно и (или) через входящие в его систему главные управления МВД России по федеральным округам, министерства внутренних дел, главные управления, управления внутренних дел по субъектам Российской Федерации, управления (отделы) внутренних дел на железнодорожном, водном и воздушном транспорте, управления (отделы) внутренних дел в закрытых административно-территориальных образованиях, на особо важных и режимных объектах, окружные управления материально-технического и военного снабжения, органы управления внутренними войсками, соединения и воинские части внутренних войск, иные организации и подразделения, созданные в установленном законодательством Российской Федерации порядке <**>, по организации государственной защиты, порядка взаимодействия между их структурными подразделениями и должностными лицами, а также порядка взаимодействия органов внутренних дел с федеральными органами исполнительной власти при осуществлении полномочий по организации государственной защиты.

<*> Далее - "Административный регламент".

<**> Далее - "органы внутренних дел".

2. Исполнение государственной функции по организации государственной защиты судей, должностных лиц правоохранительных и контролирующих органов, безопасности участников уголовного судопроизводства и их близких <*> осуществляется в соответствии с:

<*> Далее - "государственная функция".

Конституцией Российской Федерации <*>;

<*> Российская газета от 25 декабря 1993 г. N 237; Собрание законодательства Российской Федерации, 1996, N 3, ст. 152, N 7, ст. 676; 2001, N 24, ст. 2421; 2003, N 30, ст. 3051; 2004, N 13, ст. 1110; 2005, N 42, ст. 4212; 2006, N 29, 3119; 2007, N 1 (часть I), ст. 1.

Федеральными законами:

от 20 апреля 1995 г. N 45-ФЗ "О государственной защите судей, должностных лиц правоохранительных и контролирующих органов" <*>;

<*> Собрание законодательства Российской Федерации, 1995, N 17, ст. 1455; 1998, N 30, ст. 3613; 1999, N 2, ст. 238; 2000, N 10, ст. 1067; 2001, N 26, ст. 2580, N 49, ст. 4566; 2002, N 50, ст. 4928; 2003, N 27 (часть I), ст. 2700; 2004, N 27, ст. 2711, N 35, ст. 3607.

от 20 августа 2004 г. N 119-ФЗ "О государственной защите потерпевших, свидетелей и иных участников уголовного судопроизводства" <*>;

<*> Собрание законодательства Российской Федерации, 2004, N 34, ст. 3534; 2005, N 1 (часть I), ст. 25; 2007, N 31, ст. 4011.

от 15 июля 1995 г. N 103-ФЗ "О содержании под стражей подозреваемых и обвиняемых в совершении преступлений" <*>;

<*> Собрание законодательства Российской Федерации, 1995, N 29, ст. 2759; 1998, N 30, ст. 3613; 2001, N 11, ст. 1002, N 48, ст. 4551; 2003, N 1, ст. 2, N 27 (часть I), ст. 2700, N 50, ст. 4847; 2004, N 27, ст. 2711, N 35, ст. 3607; 2005, N 10, ст. 763; 2006, N 17 (часть I), ст. 1779; 2007, N 7, ст. 830, ст. 831, N 31, ст. 4011.

от 12 августа 1995 г. N 144-ФЗ "Об оперативно-розыскной деятельности" <*>;

<*> Собрание законодательства Российской Федерации, 1995, N 33, ст. 3349; 1997, N 29, ст. 3502; 1998, N 30, ст. 3613; 1999, N 2, ст. 233; 2000, N 1 (часть I), ст. 8; 2001, N 13, ст. 1140; 2003, N 2, ст. 167, N 27 (часть I), ст. 2700; 2004, N 27, ст. 2711, N 35, ст. 3607; 2005, N 49, ст. 5128; 2007, N 31, ст. 4008.

Уголовным кодексом Российской Федерации <*>;

<*> Собрание законодательства Российской Федерации, 1996, N 25, ст. 2954 с последующими изменениями.

Уголовно-процессуальным кодексом Российской Федерации <*>;

<*> Собрание законодательства Российской Федерации, 2001, N 52 (часть I), ст. 4921 с последующими изменениями.

Уголовно-исполнительным кодексом Российской Федерации <*>;

<*> Собрание законодательства Российской Федерации, 1997, N 2, ст. 198 с последующими изменениями.

Законом Российской Федерации от 18 апреля 1991 г. N 1026-1 "О милиции" <*>;

<*> Ведомости Съезда народных депутатов РСФСР и Верховного Совета РСФСР, 1991, N 16, ст. 503 с последующими изменениями.

Постановлениями Правительства Российской Федерации:

от 17 июля 1996 г. N 831 "О порядке выдачи оружия лицам, подлежащим государственной защите" <*>;

<*> Собрание законодательства Российской Федерации, 1996, N 31, ст. 3723; 2004, N 8, ст. 663, N 47, ст. 4666.

от 31 декабря 2004 г. N 900 "Об утверждении перечня категорий государственных и муниципальных служащих, подлежащих государственной защите" <*>;

<*> Собрание законодательства Российской Федерации, 2005, N 2, ст. 158.

от 10 апреля 2006 г. N 200 "Об утверждении Государственной программы "Обеспечение безопасности потерпевших, свидетелей и иных участников уголовного судопроизводства в 2006 - 2008 годах" <*>;

<*> Собрание законодательства Российской Федерации, 2006, N 16, ст. 1739.

от 27 октября 2006 г. N 630 "Об утверждении Правил применения отдельных мер безопасности в отношении потерпевших, свидетелей и иных участников уголовного судопроизводства" <*>;

<*> Российская газета от 10 ноября 2006 г. N 253.

от 11 ноября 2006 г. N 664 "Об утверждении Правил выплаты единовременных пособий потерпевшим, свидетелям и иным участникам уголовного судопроизводства, в отношении которых в установленном порядке принято решение об осуществлении государственной защиты" <*>;

<*> Российская газета от 17 ноября 2006 г. N 259.

иными нормативными правовыми актами.

3. Обеспечение государственной защиты судей, должностных лиц правоохранительных и контролирующих органов состоит в осуществлении уполномоченными на то государственными органами предусмотренных Федеральным законом от 20 апреля 1995 г. N 45-ФЗ "О государственной защите судей, должностных лиц правоохранительных и контролирующих органов" <*> мер безопасности, правовой и социальной защиты, применяемых при наличии угрозы посягательства на жизнь, здоровье и имущество указанных лиц в связи с их служебной деятельностью <**>.

<*> Далее - "Федеральный закон N 45-ФЗ".

<**> Часть 1 статьи 1 Федерального закона N 45-ФЗ.

3.1. На органы внутренних дел в соответствии с Федеральным законом N 45-ФЗ возлагается осуществление мер безопасности в отношении следующих лиц:

судей всех судов общей юрисдикции и арбитражных судов, арбитражных заседателей, присяжных заседателей;

прокуроров;

следователей;

лиц, производящих дознание;

сотрудников органов внутренних дел, осуществляющих оперативно-розыскную деятельность, охрану общественного порядка и обеспечение общественной безопасности, а также исполнение приговоров, определений и постановлений судов (судей) по уголовным делам, постановлений органов расследования и прокуроров;

военнослужащих внутренних войск МВД России, принимавших непосредственное участие в пресечении действий вооруженных преступников, незаконных вооруженных формирований и иных организованных преступных групп;

судебных исполнителей;

работников контрольных органов Президента Российской Федерации, осуществляющих контроль за исполнением законов и иных нормативных правовых актов, выявление и пресечение правонарушений;

работников налоговых органов, федеральных органов государственного контроля, Федеральной службы по финансовому мониторингу, Счетной палаты Российской Федерации.

В соответствии с Постановлением Правительства Российской Федерации от 31 декабря 2004 г. N 900 "Об утверждении перечня категорий государственных и муниципальных служащих, подлежащих государственной защите" осуществляются меры безопасности в отношении следующих лиц:

должностных лиц органов исполнительной власти субъектов Российской Федерации, осуществляющих функции по выявлению, предупреждению и пресечению правонарушений в соответствии с законодательством Российской Федерации, законодательством субъектов Российской Федерации;

должностных лиц контрольно-счетных органов, образуемых законодательными (представительными) органами субъектов Российской Федерации;

должностных лиц органов местного самоуправления, осуществляющих функции по выявлению, предупреждению и пресечению правонарушений в соответствии с законодательством Российской Федерации, законодательством субъектов Российской Федерации.

3.2. Органы внутренних дел осуществляют меры безопасности в отношении близких, перечисленных в подпункте 3.1 Административного регламента лиц.

4. Государственная защита потерпевших, свидетелей и иных участников уголовного судопроизводства представляет собой осуществление предусмотренных Федеральным законом от 20 августа 2004 г. N 119-ФЗ "О государственной защите потерпевших, свидетелей и иных участников уголовного судопроизводства" <*> мер безопасности, направленных на защиту их жизни, здоровья и (или) имущества, а также мер социальной поддержки указанных лиц в связи с их участием в уголовном судопроизводстве уполномоченными на то государственными органами <**>.

<*> Далее - "Федеральный закон N 119-ФЗ".

<**> См.: статья 1 Федерального закона от 20 августа 2004 г. N 119-ФЗ "О государственной защите потерпевших, свидетелей и иных участников уголовного судопроизводства".

4.1. В соответствии с Федеральным законом N 119-ФЗ на органы внутренних дел по уголовным делам, находящимся в их производстве или отнесенным к их ведению, возлагается осуществление мер безопасности в отношении следующих лиц:

потерпевших;

свидетелей;

частных обвинителей;

подозреваемых, обвиняемых, подсудимых, их защитников и законных представителей, осужденных, оправданных, а также лиц, в отношении которых уголовное дело либо уголовное преследование было прекращено;

экспертов, специалистов, переводчиков, понятых, а также участвующих в уголовном судопроизводстве педагогов и психологов;

гражданских истцов, гражданских ответчиков;

законных представителей, представителей потерпевших, гражданских истцов, гражданских ответчиков и частных обвинителей;

заявителей, очевидцев, жертв преступлений, иных лиц, способствующих предупреждению или раскрытию преступления;

установленных Уголовно-процессуальным кодексом Российской Федерации близких родственников, родственников и близких лиц, противоправное посягательство на которых оказывается в целях воздействия на указанных в данном подпункте защищаемых лиц.

4.2. Меры безопасности в отношении лиц, указанных в подпункте 4.1 Административного регламента, по уголовным делам, находящимся в производстве суда или прокуратуры, осуществляются по решению суда (судьи) или прокурора органами внутренних дел, расположенными по месту нахождения защищаемых лиц.

5. При исполнении государственной функции органами внутренних дел может осуществляться взаимодействие с:

иными федеральными органами исполнительной власти;

органами исполнительной власти субъектов Российской Федерации;

органами местного самоуправления;

организациями.

6. Порядок информирования о государственной функции.

6.1. Лица, перечисленные в подпункте 3.1 Административного регламента, информируются о праве на применение в отношении них мер государственной защиты при ознакомлении с положением или иным нормативным актом, регулирующим порядок прохождения их службы.

6.2. Должностные лица органов внутренних дел обязаны разъяснять лицам, указанным в подпунктах 3.1, 3.2 и 4.1 Административного регламента, их право на применение мер государственной защиты.

6.3. Сведения об исполнении государственной функции можно получать:

при обращении в МВД России (расположено по адресу: 119049, г. Москва, ул. Житная, д. 16, режим работы - круглосуточно);

при обращении в органы внутренних дел (информация о месте нахождения МВД, ГУВД, УВД по субъектам Российской Федерации и о режиме работы этих подразделений размещена на официальном сайте МВД России в сети Интернет по электронному адресу: www.mvd.ru, режим работы - круглосуточно);

по телефону ("02", а также по указанным в приложении N 1 к Административному регламенту телефонам дежурных частей органов внутренних дел, по которым следует обращаться за предоставлением государственной функции и получением дополнительной информации о вопросах ее реализации, режим работы - круглосуточно);

через Интернет (текст регламента и приложения опубликованы на официальном сайте МВД России в сети Интернет по электронному адресу www.mvd.ru);

на информационных стендах, расположенных в помещениях органов внутренних дел.

7. Срок исполнения государственной функции исчисляется с момента вынесения постановления о применении мер безопасности и заканчивается в момент вынесения постановления об отмене мер безопасности.

8. Основанием для отказа в исполнении государственной функции является отсутствие угрозы жизни, здоровью и (или) имуществу лиц, указанных в подпунктах 3.1, 3.2 и 4.1 Административного регламента.

9. Должностные лица органа внутренних дел, осуществляющего меры безопасности, обязаны разъяснять лицам, указанным в подпунктах 3.1 и 3.2 Административного регламента, их права, обязанности, порядок финансирования осуществляемых мер безопасности.

9.1. Лица, указанные в подпунктах 3.1 и 3.2 Административного регламента, в отношении которых вынесено постановление о применении мер безопасности, имеют право:

знать о применяющихся в их отношении мерах безопасности;

просить о применении или неприменении в их отношении конкретных мер безопасности, перечисленных в пункте 17.2 Административного регламента;

требовать от органа внутренних дел, обеспечивающего безопасность, применения в их отношении (кроме осуществляемых) иных мер безопасности, предусмотренных Федеральным законом N 45-ФЗ, или отмены каких-либо из осуществляемых мер;

обжаловать в вышестоящий по подчиненности орган внутренних дел, обеспечивающий безопасность, в прокуратуру либо в суд незаконные решения и действия должностных лиц, осуществляющих меры безопасности.

9.2. Должностные лица органа внутренних дел, осуществляющего меры безопасности, обязаны разъяснять лицам, указанным в подпунктах 3.1 и 3.2 Административного регламента, в отношении которых вынесено постановление о применении мер безопасности, предусмотренные законодательством обязанности:

выполнять законные требования органа внутренних дел, обеспечивающего безопасность;

незамедлительно информировать орган внутренних дел, обеспечивающий безопасность, о каждом случае угрозы или противоправных действий в их отношении;

бережно обращаться с имуществом, выданным им органом внутренних дел, обеспечивающим безопасность, в личное пользование для обеспечения безопасности;

не разглашать сведения о принимаемых в их отношении мерах безопасности без разрешения органа внутренних дел, осуществляющего эти меры.

9.3. Обеспечение мер государственной защиты в отношении:

лиц, денежное содержание которых осуществляется за счет средств федерального бюджета, - является расходным обязательством Российской Федерации и устанавливается в порядке, определяемом Правительством Российской Федерации;

иных лиц - является расходными обязательствами субъектов Российской Федерации и муниципальных образований соответственно в зависимости от источника их содержания.

10. Должностные лица органа внутренних дел, осуществляющего государственную защиту, обязаны разъяснять лицам, указанным в подпункте 4.1 Административного регламента, их права, обязанности и порядок финансирования осуществляемых мер безопасности.

10.1. Лица, перечисленные в подпункте 4.1 Административного регламента, в отношении которых вынесено постановление о применении мер безопасности, имеют право:

знать свои права и обязанности;

требовать обеспечения личной и имущественной безопасности, личной и имущественной безопасности лиц, указанных в части 3 статьи 2 Федерального закона N 119-ФЗ;

требовать применения мер социальной поддержки в случаях, предусмотренных Федеральным законом N 119-ФЗ;

знать о применении в отношении себя, а также своих близких родственников, родственников и близких лиц мер безопасности и о характере этих мер;

обращаться с заявлением о применении дополнительных мер безопасности, предусмотренных Федеральным законом N 119-ФЗ, либо об их отмене;

обжаловать в вышестоящий орган внутренних дел, прокурору или в суд решения и действия органов внутренних дел, обеспечивающих государственную защиту, в порядке, предусмотренном законодательством Российской Федерации.

10.2. Должностные лица органа внутренних дел, осуществляющего меры безопасности, обязаны разъяснять лицам, указанным в подпункте 4.1 Административного регламента, в отношении которых вынесено постановление о применении мер безопасности, предусмотренные законодательством обязанности:

выполнять условия применения в отношении их мер безопасности и законные требования органов внутренних дел, обеспечивающих государственную защиту;

немедленно информировать органы внутренних дел, обеспечивающие государственную защиту, о каждом случае угрозы или противоправных действий в отношении их;

при обращении со специальными средствами индивидуальной защиты, связи и оповещения об опасности, выданными им органами внутренних дел, осуществляющими меры безопасности, в пользование для обеспечения их безопасности, соблюдать требования федеральных законов и иных нормативных правовых актов Российской Федерации;

не разглашать сведения о применяемых в отношении их мерах государственной защиты без разрешения органа внутренних дел, обеспечивающего государственную защиту.

10.3. В случае необходимости орган внутренних дел, осуществляющий меры безопасности, заключает с лицами, указанными в подпункте 4.1 Административного регламента, в отношении которых вынесено постановление (определение) о применении мер безопасности, договор в письменной форме об условиях применения мер безопасности, о взаимных обязательствах и взаимной ответственности сторон в соответствии с Федеральным законом N 119-ФЗ и гражданским законодательством Российской Федерации.

11. Применение мер безопасности не должно ущемлять жилищные, трудовые, пенсионные и иные права защищаемых и других лиц.

12. Расходы, связанные с осуществлением государственной функции, не могут быть возложены на защищаемое лицо.

II. Административные процедуры

Порядок применения и осуществления мер безопасности в отношении судей, должностных лиц правоохранительных и контролирующих органов и их близких

13. Исполнение органом внутренних дел государственной функции в отношении лиц, указанных в подпунктах 3.1 и 3.2 Административного регламента, включает в себя следующие административные процедуры:

прием и регистрация заявления (обращения, информации);

проверка заявления (обращения, информации);

подготовка и утверждение постановления о применении или об отказе в применении мер безопасности;

подготовка и утверждение постановления о применении мер безопасности при избрании мер безопасности;

подготовка и утверждение постановления об отмене или изменении мер безопасности.

Прием и регистрация заявления (обращения, информации)

14. Органы внутренних дел осуществляют прием и регистрацию:

заявлений от лиц, указанных в подпунктах 3.1 и 3.2 Административного регламента;

обращений председателя суда либо руководителя соответствующего правоохранительного или контролирующего органа;

оперативной и иной информации о наличии угрозы безопасности лиц, указанных в подпунктах 3.1 и 3.2 Административного регламента, полученной органом внутренних дел, на который возложено обеспечение безопасности указанных лиц.

В случаях, предусмотренных в абзацах 3 и 4 настоящего пункта, для принятия решения о применении мер безопасности необходимо согласие указанных в подпунктах 3.1 и 3.2 Административного регламента лиц.

Заявление, обращение или информация является поводом для применения мер безопасности в отношении лиц, указанных в подпунктах 3.1 и 3.2 Административного регламента.

14.1. Сотрудник, осуществляющий прием заявлений (обращений, информации), устанавливает предмет заявления (обращения, информации) и регистрирует его в установленном ведомственными правовыми актами порядке ведения делопроизводства.

Максимальный срок выполнения указанного действия составляет 20 минут на каждое заявление (обращение, информацию).

14.2. Заявление (обращение, информация) в течение суток после получения, а в случаях, не терпящих отлагательства, незамедлительно, передается для принятия решения:

руководителям МВД России в отношении лиц, подлежащих государственной защите и работающих (состоящих на службе) в Верховном Суде Российской Федерации, Высшем Арбитражном Суде Российской Федерации, Генеральной прокуратуре Российской Федерации, в федеральных органах государственной власти, а также их близких;

министрам внутренних дел, начальникам ГУВД, УВД по субъектам Российской Федерации в отношении лиц (и их близких), подлежащих государственной защите и работающих (состоящих на службе) в судах, правоохранительных и контролирующих органах уровня субъекта Российской Федерации.

Проверка заявления (обращения, информации)

15. Органы внутренних дел осуществляют проверку наличия угрозы жизни, здоровью и сохранности имущества лиц, указанных в подпунктах 3.1 и 3.2 Административного регламента.

15.1. Орган внутренних дел, в который поступило заявление (обращение, информация), обязан принять решение о применении либо об отказе в применении мер безопасности в отношении лица, непосредственно подавшего заявление, либо в отношении которого поступило обращение (информация), в срок не более трех суток. В случаях, не терпящих отлагательства, меры безопасности применяются незамедлительно.

15.2. Руководитель органа внутренних дел, ответственный за рассмотрение заявлений (обращений, информации), обязан в день поступления (либо незамедлительно) рассмотреть документы, назначить исполнителя(ей), ответственного(ых) за проверку наличия угрозы.

15.3. Должностное лицо, ответственное за проверку наличия угрозы, в случае необходимости уточнения сведений и информации обязано опросить лицо, непосредственно подавшее заявление, либо в отношении которого поступило обращение (информация), лично или по телефону.

15.4. Основанием для применения мер безопасности является наличие достаточных данных, свидетельствующих о реальности угрозы безопасности лиц, указанных в подпунктах 3.1 и 3.2 Административного регламента.

15.5. Результат проверки оформляется в виде мотивированного рапорта (докладной записки) должностного лица, ответственного за проверку наличия угрозы, на имя руководителя органа внутренних дел, ответственного за рассмотрение заявлений (обращений, информации), с выводом о необходимости (отсутствии необходимости) применения мер безопасности.

Подготовка и утверждение постановления о применении или об отказе в применении мер безопасности

16. Органы внутренних дел осуществляют подготовку и утверждение постановления о применении или об отказе в применении мер безопасности в течение не более трех суток с момента получения заявления (обращения, информации), а в случаях, не терпящих отлагательства, - незамедлительно.

16.1. О принятом решении о применении мер безопасности органом внутренних дел, которому поручено обеспечение безопасности, выносится постановление, утверждаемое руководителем органа внутренних дел.

16.2. В случае подтверждения сведений о наличии угрозы лицам, указанным в подпунктах 3.1 и 3.2 Административного регламента, выносится постановление о применении мер безопасности (приложение N 2).

В постановлении указываются конкретные меры безопасности и сроки их осуществления.

О принятом решении сообщается защищаемому лицу или председателю суда (руководителю соответствующего правоохранительного или контролирующего органа), обратившемуся с просьбой о применении мер безопасности в отношении указанного лица.

При этом защищаемому лицу могут быть даны определенные предписания, соблюдение которых необходимо для его безопасности.

16.3. При неподтверждении сведений о наличии угрозы выносится постановление об отказе в применении мер безопасности (приложение N 3).

О принятом решении лицу или председателю суда (руководителю соответствующего правоохранительного или контролирующего органа), обратившемуся с просьбой о применении мер безопасности, сообщается по почте и по телефону в течение суток после вынесения постановления, а в случаях, не терпящих отлагательства, - незамедлительно.

Подготовка и утверждение постановления о применении мер безопасности при избрании мер безопасности

17. Органы внутренних дел осуществляют подготовку и утверждение постановления о применении мер безопасности при избрании мер безопасности.

17.1. В течение суток после подтверждения информации об угрозе, а в случаях, не терпящих отлагательства, незамедлительно, должностное лицо, ответственное за проверку наличия угрозы, готовит предложения о применении конкретных мер безопасности, получает письменное согласие защищаемого лица о применении избранных мер безопасности.

17.2. Для обеспечения защиты жизни и здоровья защищаемых лиц и сохранности их имущества органами внутренних дел, обеспечивающими безопасность, с учетом конкретных обстоятельств может применяться одна или несколько из следующих мер безопасности:

личная охрана, охрана жилища и имущества;

выдача оружия, специальных средств индивидуальной защиты и оповещения об опасности;

временное помещение в безопасное место;

обеспечение конфиденциальности сведений о защищаемых лицах;

перевод на другую работу (службу), изменение места работы (службы) или учебы;

переселение на другое место жительства;

замена документов, изменение внешности.

17.3. В целях реализации предусмотренных в подпункте 17.2 Административного регламента мер безопасности могут проводиться оперативно-розыскные мероприятия в порядке, установленном Федеральным законом от 12 августа 1995 г. N 144-ФЗ "Об оперативно-розыскной деятельности" <*>.

<*> Далее - "Федеральный закон N 144-ФЗ".

17.4. Избрание меры (комплекса мер) оформляется в течение суток после подтверждения информации об угрозе, а в случаях, не терпящих отлагательства, - незамедлительно, в виде постановления о применении мер безопасности и в те же сроки утверждается руководителем органа внутренних дел. В постановлении указываются сроки исполнения конкретных мер, а также должностные лица, ответственные за его исполнение.

17.5. Непосредственное осуществление мер безопасности начинается незамедлительно после утверждения постановления соответствующим руководителем либо по согласованию с защищаемым лицом.

17.6. Отдельные меры безопасности, указанные в пункте 17.2 Административного регламента, осуществляются в соответствии с правовыми актами МВД России.

17.7. Решения органов, обеспечивающих безопасность, принятые в соответствии с их компетенцией, обязательны для исполнения должностными лицами организаций, в адрес которых они направлены <*>.

<*> См. статья 16 Федерального закона N 45-ФЗ.

Должностное лицо органа внутренних дел, осуществляющего меры безопасности, направляет должностному лицу организации выписку из постановления о применении мер безопасности (приложение N 4), содержащую сведения о решении, принятом органом внутренних дел, осуществляющим меры безопасности, и его исполнении.

Выписка составляется в двух экземплярах. Первый экземпляр приобщается к материалам, второй экземпляр передается адресату.

Подготовка и утверждение постановления об отмене или изменении мер безопасности

18. Органы внутренних дел осуществляют подготовку и утверждение постановления об отмене или изменении мер безопасности.

18.1. В случае получения дополнительной информации об изменении характера и степени угрозы защищаемому лицу решение об изменении мер безопасности, осуществляемых в отношении защищаемого лица, принимается в течение трех суток после ее получения, а в случаях, не терпящих отлагательства, - незамедлительно. Об изменении мер безопасности выносится постановление, которое в указанные сроки объявляется защищаемому лицу.

18.2. При устранении угрозы жизни, здоровью и имуществу защищаемого лица должностное лицо органа внутренних дел, осуществляющего меры безопасности, выносит соответствующее постановление об отмене мер безопасности (приложение N 5), которое в срок не более суток объявляется защищаемому лицу.

Порядок применения и осуществления мер безопасности в отношении участников уголовного судопроизводства и их близких

19. Исполнение органом внутренних дел государственной функции в отношении участников уголовного судопроизводства и их близких включает в себя следующие административные процедуры:

прием и регистрация заявления (сообщения);

проверка заявления (сообщения);

вынесение постановления о применении или об отказе в применении мер безопасности и мер социальной поддержки;

подготовка и утверждение постановления об избрании мер безопасности;

подготовка и утверждение постановления об отмене или изменении мер безопасности.

Прием и регистрация заявления

20. Органы внутренних дел осуществляют прием и регистрацию заявлений (сообщений) о наличии угрозы посягательства на жизнь, здоровье и (или) имущество лиц, перечисленных в подпункте 4.1 Административного регламента.

20.1. Должностные лица органа внутренних дел разъясняют лицам, указанным в подпункте 4.1 Административного регламента, что они могут обратиться в орган или к должностному лицу органа, принимающего решение о применении государственной защиты, с соответствующим заявлением о поступлении угроз, связанных с их участием в уголовном судопроизводстве:

по уголовным делам, находящимся на рассмотрении в суде, - в суд или к судье, рассматривающему данное уголовное дело;

по уголовным делам, находящимся в производстве органов прокуратуры, - к прокурору или следователю прокуратуры, осуществляющему расследование уголовного дела;

по уголовным делам, находящимся в производстве органов внутренних дел, - к начальнику органа дознания или следователю, расследующему уголовное дело;

по уголовным делам, относящимся к компетенции ФСБ России, ФТС России и ФСКН России, - в соответствующие подразделения и к должностным лицам данных подразделений;

заявители, очевидцы, жертвы преступления, иные лица, способствующие предупреждению или раскрытию преступления, - к начальнику органа дознания органа внутренних дел.

20.2. Сотрудник, осуществляющий прием заявлений (сообщений), устанавливает предмет заявления (сообщения), регистрирует его в установленном ведомственными правовыми актами порядке ведения делопроизводства.

Максимальный срок выполнения действия составляет 20 минут на каждое заявление (сообщение).

20.3. Заявления (сообщения) о наличии угрозы посягательства на жизнь, здоровье и (или) имущество:

заявителей, очевидцев, жертв преступлений, иных лиц, способствующих предупреждению или раскрытию преступления, и их близких передаются начальнику органа дознания органа внутренних дел по месту их обращения в течение суток, а в случаях, не терпящих отлагательства, - немедленно;

иных участников уголовного судопроизводства, указанных в подпункте 4.1 Административного регламента, передаются следователю или начальнику органа дознания, в производстве которого находится соответствующее уголовное дело, в течение суток, а в случаях, не терпящих отлагательства, - немедленно.

Заявления (сообщения) иных лиц об угрозах посягательства на их жизнь, здоровье и (или) имущество принимаются, регистрируются и проверяются уполномоченными должностными лицами органов внутренних дел в соответствии с уголовно-процессуальным законодательством Российской Федерации.

В случае, если угрозы лицу поступают в связи с его участием в уголовном судопроизводстве, указанное заявление (сообщение) направляется для принятия решения об осуществлении мер безопасности в орган, в производстве которого находится соответствующее уголовное дело, в течение суток, а в случаях, не терпящих отлагательства, - немедленно.

В случае, если лицо является очевидцем или жертвой преступления и уголовное дело не возбуждено, указанное заявление (сообщение) направляется в орган, принимающий решение об осуществлении государственной защиты, по подследственности в соответствии с уголовно-процессуальным законодательством Российской Федерации, в течение суток, а в случаях, не терпящих отлагательства, - немедленно.

Проверка заявления (сообщения)

21. Должностное лицо, принимающее решение об осуществлении государственной защиты, обязано в день поступления (или немедленно) рассмотреть заявление (сообщение), организовать проверку наличия угрозы.

21.1. Ответственным за необходимость и обоснованность применения государственной защиты является должностное лицо, выносящее постановление (определение) о применении мер безопасности.

21.2. Лицо, ответственное за проверку наличия угрозы, в случае необходимости уточнения сведений и информации обязано опросить лицо, подавшее заявление (обращение), непосредственно или по телефону.

21.3. Должностные лица органов внутренних дел, принимающие решение об осуществлении государственной защиты, в пределах своей компетенции имеют право:

запрашивать у всех органов государственной власти, органов местного самоуправления, юридических и физических лиц и получать от указанных органов, юридических и физических лиц необходимые сведения по заявлениям и сообщениям об угрозе безопасности лиц, в отношении которых принимается решение об осуществлении государственной защиты;

производить процессуальные действия или давать необходимые поручения органам, осуществляющим меры безопасности, и органам, осуществляющим меры социальной поддержки, для осуществления государственной защиты лиц, указанных в статье 2 Федерального закона N 119-ФЗ;

требовать в случае необходимости от органов, осуществляющих меры безопасности, и органов, осуществляющих меры социальной поддержки, применения дополнительных мер государственной защиты;

полностью или частично отменять меры безопасности и меры социальной поддержки по согласованию с органами, осуществляющими указанные меры.

21.4. Основанием для применения мер безопасности являются данные о наличии реальной угрозы убийства лица, указанного в подпункте 4.1 Административного регламента, насилия над ним, уничтожения или повреждения его имущества в связи с участием в уголовном судопроизводстве, установленные органом, принимающим решение об осуществлении государственной защиты.

Вынесение постановления о применении или об отказе в применении мер безопасности и мер социальной поддержки

22. Должностное лицо органа внутренних дел, принимающее решение об осуществлении государственной защиты, обязано немедленно реагировать на каждый ставший ему известным случай, требующий применения мер безопасности или мер социальной поддержки, а также разъяснять защищаемому лицу его права и обязанности при объявлении ему постановления об осуществлении в отношении его государственной защиты.

Принятое в срок не более трех суток, а в случаях, не терпящих отлагательства, немедленно, решение оформляется:

постановлением о применении мер безопасности, которое в день его вынесения направляется в орган внутренних дел, осуществляющий меры безопасности, для исполнения, а также лицу, в отношении которого вынесено указанное постановление (приложение N 6);

постановлением об отказе в применении мер безопасности, которое в день его вынесения направляется лицу, в отношении которого вынесено указанное постановление (приложение N 7);

постановлением о применении мер социальной поддержки, которое в день его вынесения направляется в орган, осуществляющий меры социальной поддержки, для исполнения, а также лицу, в отношении которого вынесено указанное постановление (приложение N 8);

постановлением об отказе в применении мер социальной поддержки, которое в день его вынесения направляется лицу, в отношении которого вынесено указанное постановление (приложение N 9).

Подготовка и утверждение постановления об избрании мер безопасности

23. При поступлении постановления (определения) о применении мер безопасности орган внутренних дел, осуществляющий меры безопасности, в течение трех суток, а в случаях, не терпящих отлагательства, немедленно, подготавливает и утверждает постановление об избрании мер безопасности.

23.1. Должностные лица органов внутренних дел при осуществлении мер безопасности имеют право:

избирать необходимые меры безопасности, предусмотренные Федеральным законом N 119-ФЗ, определять способы их применения, при необходимости изменять и дополнять применяемые меры безопасности;

требовать от защищаемых лиц соблюдения условий применения в отношении их мер безопасности, выполнения законных распоряжений, связанных с применением указанных мер;

обращаться в суд (к судье), начальнику органа дознания или следователю, в производстве которых находится уголовное дело, с ходатайством о применении мер безопасности при производстве процессуальных действий либо об их отмене;

проводить оперативно-розыскные мероприятия в порядке, предусмотренном Федеральным законом N 144-ФЗ.

23.2. В течение суток после поступления постановления (определения) о применении мер безопасности, а в случаях, не терпящих отлагательства, немедленно, должностное лицо органа внутренних дел готовит предложения о применении конкретных мер безопасности, получает письменное согласие защищаемого лица о применении избранных мер безопасности (приложение N 10).

В отношении несовершеннолетних должностное лицо органа внутренних дел получает письменное заявление его родителей или лиц, их заменяющих, а также уполномоченных представителей органов опеки и попечительства (в случае отсутствия родителей или лиц, их заменяющих) или их согласие, выраженное в письменной форме.

В случае, если применение мер безопасности затрагивает интересы совершеннолетних членов семьи защищаемого лица и иных проживающих совместно с ним лиц, должностное лицо органа внутренних дел получает их согласие на применение мер безопасности, выраженное в письменной форме.

23.3. Для обеспечения защиты жизни и здоровья защищаемых лиц и (или) сохранности их имущества органами, обеспечивающими безопасность, с учетом конкретных обстоятельств могут применяться одновременно несколько или одна из следующих мер безопасности:

личная охрана, охрана жилища и имущества;

выдача специальных средств индивидуальной защиты, связи и оповещения об опасности;

обеспечение конфиденциальности сведений о защищаемом лице;

переселение на другое место жительства;

замена документов;

изменение внешности;

изменение места работы (службы) или учебы;

временное помещение в безопасное место.

23.4. Переселение на другое место жительства, замена документов и изменение внешности защищаемого лица производятся только в случаях, если безопасность указанного лица не может быть обеспечена путем применения в отношении его других мер безопасности <*>.

<*> Часть 5 статьи 10 Федерального закона N 119-ФЗ.

23.5. Избрание меры (комплекса мер) оформляется в виде постановления об избрании мер безопасности и утверждается руководителем органа внутренних дел. В постановлении указываются сроки исполнения мер, должностные лица, ответственные за его исполнение.

23.6. Об избрании мер безопасности, их изменении, дополнении и результатах применения орган внутренних дел, осуществляющий меры безопасности, в течение суток информирует суд (судью), начальника органа дознания или следователя, в производстве которых находится заявление (сообщение) о преступлении либо уголовное дело.

В случае устранения угрозы жизни, здоровью и (или) имуществу защищаемого лица орган внутренних дел, осуществляющий меры безопасности, ходатайствует об отмене мер безопасности.

23.7. Меры безопасности в отношении защищаемых лиц по уголовным делам, находящимся в производстве суда или прокуратуры, осуществляются по решению суда (судьи) или прокурора органами внутренних дел, расположенными по месту нахождения защищаемого лица.

23.8. Осуществление мер безопасности начинается незамедлительно после утверждения соответствующим руководителем постановления об избрании мер безопасности либо по согласованию с защищаемым лицом.

23.9. Решения органов, обеспечивающих государственную защиту, принимаемые в соответствии с их компетенцией, обязательны для исполнения должностными лицами организаций, которым они адресованы <*>.

<*> См. статью 22 Федерального закона N 119-ФЗ.

Подготовка и утверждение постановления об отмене или изменении мер безопасности

24. В случае получения дополнительной информации об изменении характера и степени угрозы защищаемому лицу решение об изменении мер безопасности, осуществляемых в отношении защищаемого лица, принимается в течение трех суток после ее получения, а в случаях, не терпящих отлагательства, немедленно.

24.1. Отмена мер безопасности осуществляется только в случае устранения основания их применения, а также в случае, если их дальнейшее применение невозможно вследствие нарушения защищаемым лицом условий договора, заключенного органом внутренних дел, осуществляющим меры безопасности, с защищаемым лицом.

24.2. Меры безопасности также могут быть отменены по письменному заявлению защищаемого лица, направленному в орган, принявший решение об осуществлении государственной защиты.

24.3. Отмена мер безопасности допускается только по постановлению (определению) органа, принявшего решение об осуществлении государственной защиты, либо по постановлению (определению) органа, в производстве которого находится уголовное дело с неотмененным постановлением (определением) об осуществлении государственной защиты.

24.4. В постановлении (определении) об отмене мер безопасности должны быть урегулированы вопросы восстановления имущественных и связанных с ними личных неимущественных прав защищаемого лица.

24.5. Постановление (определение) о применении мер безопасности действует до принятия органом, принимающим решение об осуществлении государственной защиты, решения об их отмене.

Порядок и формы контроля за исполнением государственной функции, обжалование действий (бездействий) и решений, осуществляемых (принятых) в ходе исполнения государственной функции

25. Отказ в применении мер безопасности к лицам, указанным в подпунктах 3.1 и 3.2 Административного регламента, может быть обжалован самими лицами, председателем суда или руководителем соответствующего правоохранительного или контролирующего органа, обратившимся с просьбой о применении мер безопасности.

Указанные лица могут обжаловать отказ в применении мер безопасности:

в вышестоящий по подчиненности орган внутренних дел, обеспечивающий безопасность;

в прокуратуру;

в суд.

Жалоба подлежит рассмотрению незамедлительно.

26. Лица, указанные в подпункте 4.1 Административного регламента, имеют право обжаловать решения и действия органов внутренних дел, обеспечивающих государственную защиту, в порядке, предусмотренном законодательством Российской Федерации:

в вышестоящий орган внутренних дел;

прокурору;

в суд.

Жалоба подлежит рассмотрению в течение 24 часов с момента ее подачи.

27. Жалоба составляется в произвольной форме, в ней должны быть отражены все сведения, необходимые для рассмотрения вопроса по существу.

28. Текущий контроль за соблюдением последовательности действий, определенных административными процедурами по исполнению государственной функции, и принятием решений осуществляется должностными лицами МВД России, главных управлений МВД России по федеральным округам, МВД, ГУВД, УВД по субъектам Российской Федерации, управлений (отделов) внутренних дел на железнодорожном, водном и воздушном транспорте, управлений (отделов) внутренних дел в закрытых административно-территориальных образованиях, на особо важных и режимных объектах.

28.1. Ответственность за соблюдение порядка и сроков исполнения процедур государственной функции возлагается на руководителей органов внутренних дел.

28.2. Руководство МВД России организует и осуществляет контроль за исполнением государственной функции департаментами МВД России, подразделениями, непосредственно подчиненными МВД России, главными управлениями МВД России по федеральным округам, МВД, ГУВД, УВД по субъектам Российской Федерации.

Контроль за полнотой и качеством исполнения государственной функции включает в себя проведение проверок, принятие мер по своевременному выявлению и устранению причин нарушения прав, свобод и законных интересов защищаемых лиц, подготовку ответов на их обращения и анализ содержания поступающих обращений.

29. Должностное лицо органа, обеспечивающего государственную защиту, виновное в непринятии решения об осуществлении государственной защиты или в ненадлежащем ее осуществлении, несет ответственность, предусмотренную законодательством Российской Федерации <*>.

<*> Статья 25 Федерального закона N 119-ФЗ. Кроме того, см.: часть 1 статьи 19 Федерального закона N 45-ФЗ.

30. В случаях выявления фактов ненадлежащего исполнения положений Административного регламента либо бездействия со стороны уполномоченных на то должностных лиц органов внутренних дел в отношении них проводится служебная проверка в соответствии с Положением о службе в органах внутренних дел Российской Федерации, утвержденным Постановлением Верховного Совета Российской Федерации от 23 декабря 1992 г. N 4202-1 <*>, и иными нормативными правовыми актами Российской Федерации.

<*> Ведомости съезда народных депутатов Российской Федерации и Верховного Совета Российской Федерации, 1993, N 2, ст. 70.

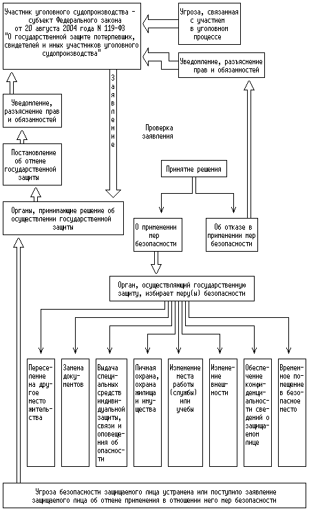
31. В приложении N 11 к Административному регламенту приведены графические схемы реализации норм Федерального закона N 45-ФЗ и Федерального закона N 119-ФЗ.

Приложение N 1
к Административному регламенту
Министерства внутренних дел
Российской Федерации по исполнению
государственной функции обеспечения
в соответствии с законодательством
Российской Федерации государственной
защиты судей, должностных лиц
правоохранительных и контролирующих
органов, безопасности участников
уголовного судопроизводства
и их близких

ПЕРЕЧЕНЬ
ТЕЛЕФОНОВ ОРГАНОВ ВНУТРЕННИХ ДЕЛ ПО СУБЪЕКТАМ РОССИЙСКОЙ ФЕДЕРАЦИИ

МИНИСТЕРСТВО ВНУТРЕННИХ ДЕЛ РОССИЙСКОЙ ФЕДЕРАЦИИ
119049, г. Москва, ул. Житная, 16
(код 495) Дежурная часть 239-61-35
 
ГУ МВД РОССИИ ПО ЦЕНТРАЛЬНОМУ ФЕДЕРАЛЬНОМУ ОКРУГУ
119049, г. Москва, ул. Шаболовка, 6
(код 495) Дежурная часть 237-09-01, 958-52-31, факс 952-25-23
 
ГУ МВД РОССИИ ПО ДАЛЬНЕВОСТОЧНОМУ ФЕДЕРАЛЬНОМУ ОКРУГУ
680009, г. Хабаровск, ул. Ленина, 37
(код 421-2) + 7 часов Дежурная часть 73-58-48, 31-62-04, факс 31-62-04
 
ГУ МВД РОССИИ ПО СЕВЕРО-ЗАПАДНОМУ ФЕДЕРАЛЬНОМУ ОКРУГУ
191194, Санкт-Петербург, ул. Чайковского, 30
(код 812) Дежурная часть 272-70-65, 273-52-75, факс 272-33-04
 
ГУ МВД РОССИИ ПО ПРИВОЛЖСКОМУ ФЕДЕРАЛЬНОМУ ОКРУГУ
603024, г. Н. Новгород, ул. Б. Печерская, 93
(код 831-2) Дежурная часть 38-20-27, 32-11-11, факс 32-70-59
 
ГУ МВД РОССИИ ПО УРАЛЬСКОМУ ФЕДЕРАЛЬНОМУ ОКРУГУ
620102, г. Екатеринбург, ул. Ясная, 2 "А"
(код 343) + 2 часа Дежурная часть 212-93-02, 214-73-02, факс 212-97-02
 
ГУ МВД РОССИИ ПО ЮЖНОМУ ФЕДЕРАЛЬНОМУ ОКРУГУ
344015, г. Ростов-на-Дону, ул. Довлатора, 142
(код 863-2) Дежурная часть 50-56-05, 50-56-06, факс 22-59-24
 
ГУ МВД РОССИИ ПО СИБИРСКОМУ ФЕДЕРАЛЬНОМУ ОКРУГУ
630099, г. Новосибирск, ул. Серебрянниковская, 40
(код 383-2) + 4 часа Дежурная часть 90-72-02, факс 23-67-06
 
МВД ПО РЕСПУБЛИКЕ АДЫГЕЯ
352700, г. Майкоп, ул. Жуковского, 25
(код 877-22) Дежурная часть 3-97-18, 3-20-15
 
МВД ПО РЕСПУБЛИКЕ АЛТАЙ
659701, г. Горно-Алтайск, пр. Коммунистический, 40
код (388-22) + 4 часа Дежурная часть 2-27-97, 2-31-87, факс 3-22-59
 
МВД ПО РЕСПУБЛИКЕ БАШКОРТОСТАН
450000, г. Уфа, ул. Ленина, 7
(код 347-2) + 2 часа Дежурная часть 22-08-05, 79-39-02, факс 23-47-60
 
МВД ПО РЕСПУБЛИКЕ БУРЯТИЯ
670000, г. Улан-Удэ, пр-т Победы, 14
код (301-2) + 5 часов Дежурная часть 21-22-74, 22-02-02, факс 21-22-74
 
МВД ПО РЕСПУБЛИКЕ ДАГЕСТАН
367012, г. Махачкала, пр-т Ленина, 7
(код 872-2) Дежурная часть 68-27-28, факс 67-01-64
 
МВД ПО РЕСПУБЛИКЕ ИНГУШЕТИЯ
366720, г. Назрань, ул. Итазова, 33
(код 873-2) Дежурная часть 22-10-49, 22-10-42, факс 33-82-35
 
МВД ПО КАБАРДИНО-БАЛКАРСКОЙ РЕСПУБЛИКЕ
360000, г. Нальчик, пр. Кулиева, 10
(код 866-2 (22)) Дежурная часть 40-49-10, факс 40-45-96
 
МВД ПО РЕСПУБЛИКЕ КАЛМЫКИЯ
358000, г. Элиста, ул. Пушкина, д. 4
(код 847-22) Дежурная часть 9-94-01, 5-31-18, факс 5-26-77
 
МВД ПО КАРАЧАЕВО-ЧЕРКЕССКОЙ РЕСПУБЛИКЕ
369000, г. Черкесск, ул. Ворошилова, 5
(код 878-22) Дежурная часть 5-32-97, 9-25-05, факс 9-20-20
 
МВД ПО РЕСПУБЛИКЕ КАРЕЛИЯ
185035, г. Петрозаводск, пр. К. Маркса, 18
(код 814-2) Дежурная часть 71-54-20, 78-39-24, факс 78-39-24
 
МВД ПО РЕСПУБЛИКЕ КОМИ
167981, г. Сыктывкар, ул. Кирова, 38
(код 821-2) Дежурная часть 28-23-03, 21-66-35, факс 24-52-72
 
МВД ПО РЕСПУБЛИКЕ МАРИЙ ЭЛ
424000, г. Йошкар-Ола, ул. Коммунистическая, 16
(код 836-2) Дежурная часть 68-03-25, 42-42-73, 41-77-73, факс 41-49-82
 
МВД ПО РЕСПУБЛИКЕ МОРДОВИЯ
430000, г. Саранск, ул. Коммунистическая, 75
(код 834-2 (22)) Дежурная часть 29-85-43, 47-77-71, 24-63-02, факс 47-77-88
 
МВД ПО РЕСПУБЛИКЕ САХА (Якутия)
677000, г. Якутск, ул. Дзержинского, 10
(код 411-2) + 6 часов Дежурная часть 42-17-16, 42-07-10, 49-05-00, факс 42-25-63
 
МВД ПО РЕСПУБЛИКЕ СЕВЕРНАЯ ОСЕТИЯ - АЛАНИЯ
362007, г. Владикавказ, ул. Бутырина, 4
(код 867-2) Дежурная часть 53-45-54, факс 77-19-57
 
МВД ПО РЕСПУБЛИКЕ ТАТАРСТАН
420111, г. Казань, ул. Дзержинского, 19
(код 843-2) Дежурная часть 73-45-11, факс 73-46-11
 
МВД ПО РЕСПУБЛИКЕ ТЫВА
667000, г. Кызыл, ул. Ленина, 18
(код 394-22) Дежурная часть 3-48-11, 1-18-24, факс 1-11-20
 
МВД ПО УДМУРТСКОЙ РЕСПУБЛИКЕ
426035, г. Ижевск, ул. Советская, 17
(код 341-2) + 1 час Дежурная часть 78-37-25, 78-18-85, факс 75-53-85
 
МВД ПО РЕСПУБЛИКЕ ХАКАСИЯ
655017, г. Абакан, ул. К. Маркса, 13
(код 390-22) + 4 часа Дежурная часть 2-11-37, 6-60-04, факс 6-21-85
 
МВД ПО ЧЕЧЕНСКОЙ РЕСПУБЛИКЕ
364000, г. Грозный, ул. Алтайская, 17
(код 8712) Дежурная часть 22-32-33, (код 495) 239-71-41
 
МВД ПО ЧУВАШСКОЙ РЕСПУБЛИКЕ
428000, г. Чебоксары, ул. К. Маркса, 41
(код 835-2) Дежурная часть 39-20-02, 62-34-06, 62-05-91, факс 69-20-06
 
ГУВД ПО АЛТАЙСКОМУ КРАЮ
656025, г. Барнаул, пр-т Ленина, 74
(код 385-2) + 4 часа Дежурная часть 39-73-13, 39-74-01, 24-46-25, факс 39-73-03
 
ГУВД ПО КРАСНОДАРСКОМУ КРАЮ
350020, г. Краснодар, ул. Гаврилова, 96
(код 861-2) Дежурная часть 24-16-72, 59-50-45, факс 55-09-97
 
ГУВД ПО КРАСНОЯРСКОМУ КРАЮ
660017, г. Красноярск, ул. Дзержинского, 18
(код 391-2) Дежурная часть 23-44-55, 29-53-33, 45-93-33, факс 23-24-74
 
ГУВД ПО ПЕРМСКОМУ КРАЮ
614000, г. Пермь, пр-т Комсомольский, 74
(код 342-2) + 2 часа Дежурная часть 46-78-01, 45-00-98, факс 45-15-85
 
УВД ПО ПРИМОРСКОМУ КРАЮ
690600, г. Владивосток, ул. Алеутская, 44
(код 423-2) + 7 часов Дежурная часть 22-42-87, факс 45-94-88
 
ГУВД ПО СТАВРОПОЛЬСКОМУ КРАЮ
355000, г. Ставрополь, ул. Дзержинского, 102
(код 865-2) Дежурная часть 94-15-27, 30-44-44, факс 26-63-26
 
УВД ПО ХАБАРОВСКОМУ КРАЮ
680000, г. Хабаровск, Уссурийский б-р, 2
(код 421-2) + 7 часов Дежурная часть 32-83-40, 35-41-00, факс 32-99-82
 
УВД ПО АМУРСКОЙ ОБЛАСТИ
675000, г. Благовещенск, ул. 50 лет Октября, 18
(код 416-2) + 6 часов Дежурная часть 52-45-37, 44-69-73, факс 49-73-59
 
УВД ПО АРХАНГЕЛЬСКОЙ ОБЛАСТИ
163061, г. Архангельск, ул. Воскресенская, 3
(код 818-2) Дежурная часть 64-77-22, 21-65-11, факс 64-76-72
 
УВД ПО АСТРАХАНСКОЙ ОБЛАСТИ
414000, г. Астрахань, ул. Кирова, 5
(код 851-2) Дежурная часть 22-35-23, 26-69-02, факс 22-28-33
 
УВД ПО БЕЛГОРОДСКОЙ ОБЛАСТИ
308000, г. Белгород, ул. Фрунзе, 70
(код 072-2) Дежурная часть 50-75-11, 32-13-41, факс 27-09-11
 
УВД ПО БРЯНСКОЙ ОБЛАСТИ
241035, г. Брянск, пр. Ленина, 18
(код 083-2) Дежурная часть 74-20-23, 72-18-64, факс 72-17-66
 
УВД ПО ВЛАДИМИРСКОЙ ОБЛАСТИ
600681, г. Владимир, ул. Б. Московская, 45
(код 092-2) Дежурная часть 32-52-22, 37-43-08, факс 32-35-66
 
ГУВД ПО ВОЛГОГРАДСКОЙ ОБЛАСТИ
400131, г. Волгоград, ул. Краснознаменская, 17
(код 844-2) Дежурная часть 30-43-45, 36-62-63, факс 36-75-34
 
УВД ПО ВОЛОГОДСКОЙ ОБЛАСТИ
160000, г. Вологда, ул. Мира, 30
(код 817-2) Дежурная часть 79-44-35, 72-10-85, факс 72-37-74
 
ГУВД ПО ВОРОНЕЖСКОЙ ОБЛАСТИ
394000, г. Воронеж, ул. Володарского, 39
(код 073-2) Дежурная часть 55-17-21, 51-12-16, факс 77-98-07
 
УВД ПО ИВАНОВСКОЙ ОБЛАСТИ
153002, г. Иваново, пр-т Ленина, 37
(код 093-2) Дежурная часть 32-80-00, 48-10-02, факс 37-80-14
 
ГУВД ПО ИРКУТСКОЙ ОБЛАСТИ
664003, г. Иркутск, ул. Литвинова, 15
(код 395-2) + 5 часов Дежурная часть 21-65-11, 20-85-70, факс 29-19-09
 
УВД ПО КАЛИНИНГРАДСКОЙ ОБЛАСТИ
236000, г. Калининград, Советский пр-т, 7
(код 011-2) Дежурная часть 21-46-39, 22-64-00, факс 21-29-11
 
УВД ПО КАЛУЖСКОЙ ОБЛАСТИ
248611, г. Калуга, ул. Суворова, 139
(код 084-2) Дежурная часть 50-24-59, 57-47-40, факс 12-30-02
 
УВД ПО КАМЧАТСКОЙ ОБЛАСТИ
683003, г. Петропавловск-Камчатский, ул. Ленинградская, 126
(код 415-22) + 9 часов Дежурная часть 7-11-02, факс 7-11-03
 
ГУВД ПО КЕМЕРОВСКОЙ ОБЛАСТИ
650099, г. Кемерово, ул. Н. Островского, 17
(код 384-2) + 4 часа Дежурная часть 29-75-20, 36-45-01, 29-73-12, факс 36-42-46
 
УВД ПО КИРОВСКОЙ ОБЛАСТИ
610000, г. Киров, ул. Ленина, 96
(код 833-2) Дежурный 69-75-30, 62-87-07, факс 62-75-80
 
УВД ПО КОСТРОМСКОЙ ОБЛАСТИ
156961, г. Кострома, ул. Советская, 90
(код 094-2) Дежурная часть 31-21-18, 39-75-47, факс 54-69-113
 
УВД ПО КУРГАНСКОЙ ОБЛАСТИ
640626, г. Курган, ул. Куйбышева, 81
(код 352-2) + 2 часа Дежурная часть 42-12-98, 49-41-61, факс 46-27-40
 
УВД ПО КУРСКОЙ ОБЛАСТИ
305000, г. Курск, ул. Бебеля, 2
(код 071-22) Дежурная часть 2-67-60, 55-82-65, факс 56-64-92
 
УВД ПО ЛИПЕЦКОЙ ОБЛАСТИ
398050, г. Липецк, ул. Интернациональная, 35
(код 074-2) Дежурная часть 24-24-80, 71-51-60, факс 77-17-20
 
УВД ПО МАГАДАНСКОЙ ОБЛАСТИ
685000, г. Магадан, ул. Дзержинского, 9
(код 413-22) + 8 час. Дежурная часть 2-00-21, 9-64-11, факс 2-49-18
 
ГУВД ПО МОСКОВСКОЙ ОБЛАСТИ
125993, г. Москва, Никитский пер., 3
(код 495) Дежурная часть 222-48-01, 222-35-06, факс 222-40-03
 
УВД ПО МУРМАНСКОЙ ОБЛАСТИ
183038, г. Мурманск, пр. Ленина, 64
(код 815-2) Дежурная часть 48-71-26, 48-72-77, факс 47-60-26
 
ГУВД ПО НИЖЕГОРОДСКОЙ ОБЛАСТИ
603024, г. Н. Новгород, ул. Горького, 71
(код 831-2) Дежурная часть 31-53-79, 34-19-19, факс 31-58-84
 
УВД ПО НОВГОРОДСКОЙ ОБЛАСТИ
173621, г. Великий Новгород, ул. Б. С.-Петербургская, 2/9
(код 816-2(22)) Дежурная часть 18-03-81, 13-92-81, факс 13-92-85
 
ГУВД ПО НОВОСИБИРСКОЙ ОБЛАСТИ
630099, г. Новосибирск, ул. Октябрьская, 78
(код 383-2) + 4 часа Дежурная часть 16-70-89, 22-02-96, 23-12-40, факс 16-77-47
 
УВД ПО ОМСКОЙ ОБЛАСТИ
644099, г. Омск, ул. Ленина, 2
(код 381-2) + 3 часа Дежурная часть 29-31-00, факс 24-29-70
 
УВД ПО ОРЕНБУРГСКОЙ ОБЛАСТИ
460745, г. Оренбург, ул. Комсомольская, 49
(код 353-2) + 2 часа Дежурная часть 77-99-40, 77-42-82, факс 72-14-40
 
УВД ПО ОРЛОВСКОЙ ОБЛАСТИ
302000, г. Орел, ул. Тургенева, 15
(код 086-2) Дежурная часть 43-37-92, 43-32-32, факс 43-37-92
 
УВД ПО ПЕНЗЕНСКОЙ ОБЛАСТИ
440009, г. Пенза, ул. Злобина, 52
(код 841-2) Дежурная часть 47-45-26, 56-31-11, факс 55-11-61
 
УВД ПО ПСКОВСКОЙ ОБЛАСТИ
180004, г. Псков, Октябрьский пр-т, 48
(код 811-2) Дежурная часть 16-16-49, 9-55-25, факс 16-12-21
 
ГУВД ПО РОСТОВСКОЙ ОБЛАСТИ
344042, г. Ростов-на-Дону, ул. Большая Садовая, 29
(код 863-2) Дежурная часть 49-05-31, 40-60-83, факс 62-54-09
 
УВД ПО РЯЗАНСКОЙ ОБЛАСТИ
390046, г. Рязань, ул. Введенская, 106
(код 091-2) Дежурная часть 27-08-60, 29-93-33, факс 29-99-09
 
ГУВД ПО САМАРСКОЙ ОБЛАСТИ
443068, г. Самара, ул. Соколова, 34
(код 846-2) Дежурная часть 78-22-23, 78-22-22, факс 78-22-24
 
ГУВД ПО САРАТОВСКОЙ ОБЛАСТИ
410822, г. Саратов, ул. Дзержинского, 30
(код 845-2) Дежурная часть 26-01-20, 74-13-33, 50-78-62, факс 50-78-46
 
УВД ПО САХАЛИНСКОЙ ОБЛАСТИ
693000, г. Южно-Сахалинск, ул. Ленина, 149
(код 424-2) + 8 часов Дежурная часть 72-24-90, 78-94-06, факс 72-39-25
 
ГУВД ПО СВЕРДЛОВСКОЙ ОБЛАСТИ
620022, г. Екатеринбург, пр-т Ленина, 17
(код 343) + 2 часа Дежурная часть 358-83-38, 358-89-09, факс 358-87-40
 
УВД ПО СМОЛЕНСКОЙ ОБЛАСТИ
214000, г. Смоленск, ул. Дзержинского, 13
(код 0812) Дежурная часть 38-29-34, 9-34-55, факс 55-44-22
 
УВД ПО ТАМБОВСКОЙ ОБЛАСТИ
392002, г. Тамбов, ул. Энгельса, 31
(код 075-2) Дежурная часть 79-92-27, 72-52-33, факс 71-47-82
 
УВД ПО ТВЕРСКОЙ ОБЛАСТИ
170005, г. Тверь, пл. Мира, 70/1
(код 082-2) Дежурная часть 31-26-00, 32-94-07, факс 55-11-60
 
УВД ПО ТОМСКОЙ ОБЛАСТИ
634034, г. Томск, пл. Кирова, 18 "а"
(код 382-2) + 4 часа Дежурная часть 55-60-46, 28-12-20, 55-60-06, факс 21-44-33
 
УВД ПО ТУЛЬСКОЙ ОБЛАСТИ
300600, г. Тула, пр-т Ленина, 83
(код 087-2) Дежурная часть 36-33-29, 32-22-49, факс 36-48-97
 
ГУВД ПО ТЮМЕНСКОЙ ОБЛАСТИ
625000, г. Тюмень, ул. Водопроводная, 38
(код 345-2) + 2 часа Дежурная часть 79-35-45, 79-30-23, 79-33-43, факс 79-31-06
 
УВД ПО УЛЬЯНОВСКОЙ ОБЛАСТИ
432001, г. Ульяновск, ул. К. Маркса, 31/10
(код 842-2) Дежурная часть 41-22-62, 41-21-50, факс 35-17-74
 
ГУВД ПО ЧЕЛЯБИНСКОЙ ОБЛАСТИ
454000, г. Челябинск, ул. Елькина, 34
(код 351-2) + 2 часа Дежурная часть 63-64-13, 65-75-74, факс 66-65-45
 
УВД ПО ЧИТИНСКОЙ ОБЛАСТИ
672089, г. Чита, ул. П. Осипенко, 21
(код 302-2) + 6 часов Дежурная часть 23-20-63, 26-54-71, факс 26-54-71
 
УВД ПО ЯРОСЛАВСКОЙ ОБЛАСТИ
150000, г. Ярославль, ул. Республиканская, 23
(код 085-2) Дежурная часть 25-28-23, 25-27-23, факс 25-03-35
 
ГУВД ПО г. МОСКВЕ
127994, г. Москва, ул. Петровка, 38
(код 495) Дежурная часть 200-95-61, 200-82-05, факс 925-68-92, 925-70-66
 
ГУВД ПО г. САНКТ-ПЕТЕРБУРГУ И ЛЕНИНГРАДСКОЙ ОБЛАСТИ
193015, г. Санкт-Петербург, Суворовский пр-д, 50/52
(код 812) Дежурная часть 340-10-20, 102-21-78, факс 274-99-92
 
УВД ПО ЕВРЕЙСКОЙ АВТОНОМНОЙ ОБЛАСТИ
679000, г. Биробиджан, ул. Ленина, 4
(код 426-22) + 7 часов Дежурная часть 6-23-12, факс 6-01-12
 
УВД ПО АГИНСКОМУ БУРЯТСКОМУ АВТОНОМНОМУ ОКРУГУ
687000, Четинской обл., п. Агинское, ул. Комсомольская, д. 19
(код 8-302-39) + 6 часов Дежурная часть 3-43-02
 
УВД ПО КОРЯКСКОМУ АВТОНОМНОМУ ОКРУГУ
684620, Камчатская обл., п. Палана, ул. Чубарова, 1 "А"
(код 415-43) + 9 часов Дежурная часть 3-13-04, факс 3-13-04
 
УВД ПО НЕНЕЦКОМУ АВТОНОМНОМУ ОКРУГУ
166000, г. Нарьян-Мар, ул. Выучейского, 13
(код 818-53) Дежурная часть 4-57-00, факс 4-21-26
 
 
УВД ПО УСТЬ-ОРДЫНСКОМУ БУРЯТСКОМУ АВТОНОМНОМУ ОКРУГУ
669002, пгт Усть-Ордынский, ул. Первомайская, 7
(код 395-41) Дежурная часть 3-13-64, факс 3-10-61
 
УВД ПО ХАНТЫ-МАНСИЙСКОМУ АВТОНОМНОМУ ОКРУГУ - ЮГРЕ
628011, г. Ханты-Мансийск, ул. Дзержинского, 11
(код 346-71) + 2 часа Дежурная часть 9-82-16, 9-82-15, факс 3-23-19
 
УВД ПО ЧУКОТСКОМУ АВТОНОМНОМУ ОКРУГУ
686900, г. Анадырь, ул. Ленина, 9
(код 427-22) + 9 час. Дежурная часть 2-43-00, 2-64-31, факс 2-05-65
 
УВД ПО ЯМАЛО-НЕНЕЦКОМУ АВТОНОМНОМУ ОКРУГУ
629008, г. Салехард, ул. Матросова, 7
(код 349-22) + 2 часа Дежурная часть 4-13-60, 4-45-90, факс 7-62-14, 4-13-60

Приложение N 2
к Административному регламенту
Министерства внутренних дел
Российской Федерации по исполнению
государственной функции обеспечения
в соответствии с законодательством
Российской Федерации государственной
защиты судей, должностных лиц
правоохранительных и контролирующих
органов, безопасности участников
уголовного судопроизводства
и их близких

                              УТВЕРЖДАЮ
                              Начальник __________________________
                                              (наименование
                              ____________________________________
                                     органа внутренних дел,
                              ____________________________________
                                   звание, фамилия и инициалы)
                              ____________________________________
                                            (подпись)
                              "__" _________ 20__ г.
 
                      ПОСТАНОВЛЕНИЕ N ______
                  о применении мер безопасности
 
"__" _________ 20__ г.                            г. _____________
 
    Я, ___________________________________________________________
                 (должность, звание, фамилия и инициалы)
_________________________________________________________________,
рассмотрев ______________________________________________________,
                     (заявление, сообщение, информацию)
 
                            УСТАНОВИЛ:
 
__________________________________________________________________
                     (обстоятельства события)
__________________________________________________________________
__________________________________________________________________
 
    Учитывая, что в материалах усматривается наличие _____________
__________________________________________________________________
      (угрозы жизни, здоровью, сохранности имущества и иное)
__________________________________________________________________
       (должность, фамилия, имя и отчество защищаемого лица)
и   руководствуясь   Федеральным   законом  от   20 апреля 1995 г.
N 45-ФЗ   "О   государственной   защите   судей,   должностных лиц
правоохранительных и контролирующих органов",
 
                           ПОСТАНОВИЛ:
 
    1. Избрать в отношении _______________________________________
                                  (Ф.И.О. защищаемого лица)
меры безопасности: _______________________________________________
                           (перечислить меры безопасности
__________________________________________________________________
         в соответствии со статьей 5 Федерального закона
__________________________________________________________________
    от 20 апреля 1995 г. N 45-ФЗ с указанием сроков исполнения
__________________________________________________________________
       и ответственных руководителей подразделений органов
__________________________________________________________________
                внутренних дел по каждому пункту)
__________________________________________________________________
    2. Координацию  деятельности  задействованных подразделений по
исполнению настоящего постановления возложить на _________________
__________________________________________________________________
         (должность, звание, Ф.И.О. ответственного лица)
    3. Обязать __________________________________________ в период
                       (Ф.И.О. защищаемого лица)
с "__" ____________ 20__ г. по "__" ___________ 20__ г. __________
__________________________________________________________________
      (перечень предписаний о поведении, соблюдение которых
__________________________________________________________________
                 необходимо для его безопасности)
__________________________________________________________________
 
Исполнитель                            ___________________________
                                                (подпись)
 
    С  постановлением  ознакомлен(а).  Мои  права  и  обязанности,
предусмотренные   ст.  17 Федерального закона от 20 апреля 1995 г.
N 45-ФЗ, как защищаемого лица мне разъяснены.
    С  принимаемыми  мерами  по  обеспечению  моей  безопасности и
предписаниями согласен(а).
    Об  уголовной  ответственности за разглашение сведений о мерах
безопасности   в   соответствии  с  действующим  законодательством
предупрежден(а).
    Заявления по существу постановления __________________________
                                              (нет; если есть,
__________________________________________________________________
                            то какие)
 
"__" _____________ 20__ г.          ______________________________
                                      (подпись защищаемого лица)
 
 
 

Приложение N 3
к Административному регламенту
Министерства внутренних дел
Российской Федерации по исполнению
государственной функции обеспечения
в соответствии с законодательством
Российской Федерации государственной
защиты судей, должностных лиц
правоохранительных и контролирующих
органов, безопасности участников
уголовного судопроизводства
и их близких

                              УТВЕРЖДАЮ
                              Начальник __________________________
                                              (наименование
                              ____________________________________
                                     органа внутренних дел,
                              ____________________________________
                                   звание, фамилия и инициалы)
                              ____________________________________
                                            (подпись)
                              "__" _________ 20__ г.
 
                       ПОСТАНОВЛЕНИЕ
             об отказе в применении мер безопасности
 
"__" _________ 20__ г.                            г. _____________
 
    Я, ___________________________________________________________
                 (должность, звание, фамилия и инициалы)
_________________________________________________________________,
рассмотрев ______________________________________________________,
                    (заявление, сообщение, информацию)
 
                            УСТАНОВИЛ:
 
__________________________________________________________________
                     (обстоятельства события)
__________________________________________________________________
__________________________________________________________________
__________________________________________________________________
 
    Учитывая, что в материалах не усматривается наличие __________
__________________________________________________________________
      (угрозы жизни, здоровью, сохранности имущества и иное)
__________________________________________________________________
         (должность, фамилия, имя и отчество заявителя)
и   руководствуясь    Федеральным     законом от 20 апреля 1995 г.
N 45-ФЗ "О   государственной   защите   судей,   должностных   лиц
правоохранительных и контролирующих органов",
 
                           ПОСТАНОВИЛ:
 
    1. Отказать в применении мер безопасности ____________________
__________________________________________________________________
                        (Ф.И.О. заявителя)
    2. Уведомить о принятом решении ______________________________
                                        (должность, фамилия и
_________________________________________________________________,
                       инициалы заявителя)
разъяснив   право   обжаловать   принятое   решение  в вышестоящий
орган внутренних дел, прокурору либо в суд.
 
Исполнитель                      _________________________________
                                             (подпись)
 
 
 

Приложение N 4
к Административному регламенту
Министерства внутренних дел
Российской Федерации по исполнению
государственной функции обеспечения
в соответствии с законодательством
Российской Федерации государственной
защиты судей, должностных лиц
правоохранительных и контролирующих
органов, безопасности участников
уголовного судопроизводства
и их близких

                              ____________________________________
                                   (наименование организации,
                              ____________________________________
                                   должность, Ф.И.О. адресата)
                              ____________________________________
 
                             ВЫПИСКА
          из постановления о применении мер безопасности
 
от "__" _________ 20__ г.                         г. _____________
 
    На  основании  статьи 16 Федерального закона от 20 апреля 1995
г.  N  45-ФЗ  "О  государственной  защите  судей,  должностных лиц
правоохранительных и контролирующих органов" и  в  соответствии  с
решением о применении мер безопасности в отношении _______________
__________________________________________________________________
               (должность, Ф.И.О. защищаемого лица)
 
    Вам необходимо:
__________________________________________________________________
          (содержание конкретных мероприятий по защите,
                       сроки их проведения)
__________________________________________________________________
__________________________________________________________________
__________________________________________________________________
 
    О выполнении сообщите в наш адрес.
 
__________________________________________________________________
       Должность, звание, подпись, инициалы, фамилия лица,
                    утвердившего постановление
 
М.П.
 
    Я, ___________________________________________________________
                           (должность, Ф.И.О.)
получил выписку из постановления о   применении  мер  безопасности
от "__" ___________ 20__ г. N ____.
    Об  уголовной  ответственности  в  соответствии  с действующим
законодательством  за  разглашение  сведений  о мерах безопасности
предупрежден.
 
"__" ____________ 20__ г. _____________  _________________________
                            (подпись)             фамилия
___ ч. ___ мин.
 
    Выписку вручил _______________________________________________
                    (должность, звание лица, вручившего выписку)
 
"__" ____________ 20__ г. _____________  _________________________
                            (подпись)             фамилия
 
 
 

Приложение N 5
к Административному регламенту
Министерства внутренних дел
Российской Федерации по исполнению
государственной функции обеспечения
в соответствии с законодательством
Российской Федерации государственной
защиты судей, должностных лиц
правоохранительных и контролирующих
органов, безопасности участников
уголовного судопроизводства
и их близких

                              УТВЕРЖДАЮ
                              Начальник __________________________
                                              (наименование
                              ____________________________________
                                     органа внутренних дел,
                              ____________________________________
                                   звание, фамилия и инициалы)
                              ____________________________________
                                           (подпись)
                              "__" _________ 20__ г.
 
                      ПОСТАНОВЛЕНИЕ N ______
              об отмене применения мер безопасности
 
"__" _________ 20__ г.                            г. _____________
 
    Я, ___________________________________________________________
                 (должность, звание, фамилия и инициалы)
_________________________________________________________________,
рассмотрев  материалы  о  применении  государственных мер защиты в
отношении ________________________________________________________
                        (Ф.И.О. защищаемого лица)
 
                            УСТАНОВИЛ:
 
__________________________________________________________________
  (обстоятельства и причины отмены применения мер безопасности)
__________________________________________________________________
__________________________________________________________________
__________________________________________________________________
__________________________________________________________________
 
    Учитывая, что в отношении ____________________________________
                                          (должность,
__________________________________________________________________
            фамилия, имя и отчество защищаемого лица)
устранены    причины    угрозы   безопасности,   и  руководствуясь
Федеральным   законом   от   20   апреля   1995   г.  N  45-ФЗгосударственной защите судей, должностных лиц правоохранительных и
контролирующих органов",
 
                           ПОСТАНОВИЛ:
 
    1. Отменить с "__" _______ 20__ г. применение мер безопасности
в отношении ______________________________________________________
                     (должность, ф.и.о. защищаемого лица)
    2. Ознакомить с настоящим постановлением _____________________
                                                  (фамилия и
________________________________________, разъяснив ему (ей) право
       инициалы защищаемого лица)
обжаловать   принятое   решение   в   вышестоящий орган внутренних
дел, прокуратуру либо в суд.
    3. Уведомить о принятом решении  заинтересованных  должностных
лиц.
 
Исполнитель                     __________________________________
                                            (подпись)
 
    С   настоящим   постановлением  ознакомлен,  право  обжаловать
принятое решение мне разъяснено.
 
"__" ___________ 20__ г. _________________________________________
                                (подпись, фамилия, инициалы
                                      защищаемого лица)
 
    С постановлением ознакомил ___________________________________
                                   (должность, звание, подпись,
                                            фамилия)
 
 
 

Приложение N 6
к Административному регламенту
Министерства внутренних дел
Российской Федерации по исполнению
государственной функции обеспечения
в соответствии с законодательством
Российской Федерации государственной
защиты судей, должностных лиц
правоохранительных и контролирующих
органов, безопасности участников
уголовного судопроизводства
и их близких

                              УТВЕРЖДАЮ
                              ____________________________________
                                 (начальник органа дознания или
                              ____________________________________
                                  следственного подразделения,
                              ____________________________________
                                в производстве которых находится
                                     заявление (сообщение)
                              о преступлении либо уголовное дело,
                                        звание, ф.и.о.)
                              ____________________________________
                                           (подпись)
                              "__" _________ 20__ г.
 
                          ПОСТАНОВЛЕНИЕ
                  о применении мер безопасности
                              N ___
 
г. ________________                       "__" ___________ 20__ г.
 
    Я, ___________________________________________________________
                (должность, звание, фамилия и инициалы)
__________________________________________________________________
рассмотрев ______________________________________________________,
                          (заявление, сообщение)
 
                            УСТАНОВИЛ:
 
__________________________________________________________________
                     (обстоятельства события)
__________________________________________________________________
__________________________________________________________________
 
    Учитывая, что в материалах усматривается наличие _____________
__________________________________________________________________
      (угрозы жизни, здоровью, сохранности имущества и иное)
__________________________________________________________________
 (фамилия, имя, отчество или псевдоним, статус защищаемого лица)
и   руководствуясь   Федеральным   законом   от 20 августа 2006 г.
N 119-ФЗ "О государственной  защите потерпевших, свидетелей и иных
участников уголовного судопроизводства",
 
                           ПОСТАНОВИЛ:
 
    1. Применить в отношении _____________________________________
                               (Ф.И.О. или псевдоним защищаемого
                                            лица)
меры   безопасности,   предусмотренные   статьей   6  Федерального
закона  от  20  августа 2006 г. N 119-ФЗ "О государственной защите
потерпевших,    свидетелей    и    иных    участников   уголовного
судопроизводства".
    2. Постановление направить для исполнения в __________________
__________________________________________________________________
    (орган внутренних дел или иной орган, на который возложено
                 осуществление мер безопасности)
    3. Постановление  направить  лицу,  в  отношении  которого оно
вынесено, по адресу: _____________________________________________
    4. Обязать __________________________________________ в период
                (Ф.И.О. или псевдоним защищаемого лица)
с "__" ___________ 20__ г. по "__" ___________ 20__ г.
__________________________________________________________________
 (перечень предписаний о поведении, соблюдение которых необходимо
__________________________________________________________________
                      для его безопасности)
__________________________________________________________________
 
Исполнитель ____________________
                 (подпись)
 
    С  постановлением  ознакомлен(а).  Мои  права  и  обязанности,
предусмотренные  ст. 23 Федерального закона от 20 августа 2006  г.
N 119-ФЗ, как защищаемого лица мне разъяснены.
    С  принимаемыми  мерами  по  обеспечению  моей  безопасности и
предписаниями согласен(а).
    Об  уголовной  ответственности за разглашение сведений о мерах
безопасности   в  соответствии  с  действующим   законодательством
предупрежден(а).
    Заявления по существу постановления __________________________
                                             (нет; если есть,
__________________________________________________________________
                            то какие)
 
"__" ___________ 20__ г.           _______________________________
                                      (подпись защищаемого лица)
 
 
 

Приложение N 7
к Административному регламенту
Министерства внутренних дел
Российской Федерации по исполнению
государственной функции обеспечения
в соответствии с законодательством
Российской Федерации государственной
защиты судей, должностных лиц
правоохранительных и контролирующих
органов, безопасности участников
уголовного судопроизводства
и их близких

                              УТВЕРЖДАЮ
                              ____________________________________
                                 (начальник органа дознания или
                              ____________________________________
                                  следственного подразделения,
                              ____________________________________
                                в производстве которых находится
                                     заявление (сообщение)
                              о преступлении либо уголовное дело,
                                        звание, ф.и.о.)
                              ____________________________________
                                            (подпись)
                              "__" _________ 20__ г.
 
                          ПОСТАНОВЛЕНИЕ
             об отказе в применении мер безопасности
                              N ___
 
г. ________________                       "__" ___________ 20__ г.
 
    Я, ___________________________________________________________
                (должность, звание, фамилия и инициалы)
__________________________________________________________________
рассмотрев ______________________________________________________,
                           (заявление, сообщение)
 
                            УСТАНОВИЛ:
 
__________________________________________________________________
                     (обстоятельства события)
__________________________________________________________________
__________________________________________________________________
 
    Учитывая, что в материалах не усматривается наличие __________
__________________________________________________________________
      (угрозы жизни, здоровью, сохранности имущества и иное)
__________________________________________________________________
 (фамилия, имя, отчество или псевдоним, статус защищаемого лица)
и    руководствуясь   Федеральным   законом  от 20 августа 2006 г.
N 119-ФЗ  "О государственной защите потерпевших, свидетелей и иных
участников уголовного судопроизводства",
 
                           ПОСТАНОВИЛ:
 
    1. Отказать  в   применении  мер  безопасности,  в   отношении
__________________________________________________________________
             (Ф.И.О. или псевдоним защищаемого лица)
меры   безопасности,   предусмотренные   статьей   6  Федерального
закона  от  20  августа 2006 г. N 119-ФЗ "О государственной защите
потерпевших,    свидетелей    и    иных    участников   уголовного
судопроизводства", не применять.
    2.  Постановление  направить  лицу,  в  отношении которого оно
вынесено, по адресу: _____________________________________________
 
Исполнитель ____________________
                 (подпись)
 
 
 

Приложение N 8
к Административному регламенту
Министерства внутренних дел
Российской Федерации по исполнению
государственной функции обеспечения
в соответствии с законодательством
Российской Федерации государственной
защиты судей, должностных лиц
правоохранительных и контролирующих
органов, безопасности участников
уголовного судопроизводства
и их близких

                              УТВЕРЖДАЮ
                              ____________________________________
                                 (начальник органа дознания или
                              ____________________________________
                                  следственного подразделения,
                              ____________________________________
                                в производстве которых находится
                                     заявление (сообщение)
                              о преступлении либо уголовное дело,
                                        звание, ф.и.о.)
                              ____________________________________
                                            (подпись)
                              "__" _________ 20__ г.
 
                          ПОСТАНОВЛЕНИЕ
              о применении мер социальной поддержки
                              N ___
 
"__" ___________ 20__ г.                       г. ________________
 
    Я, ___________________________________________________________
                (должность, звание, фамилия и инициалы)
__________________________________________________________________
рассмотрев ______________________________________________________,
                           (заявление, сообщение)
 
                            УСТАНОВИЛ:
 
__________________________________________________________________
                     (обстоятельства события)
__________________________________________________________________
__________________________________________________________________
 
    Учитывая, что   в  материалах  усматривается  наличие   данных
__________________________________________________________________
     (о причинении вреда здоровью или иное в связи с участием
                  в уголовном судопроизводстве,
_________________________________________________________________,
  фамилия, имя, отчество или псевдоним, статус защищаемого лица)
и   руководствуясь    Федеральным   законом  от 20 августа 2006 г.
N 119-ФЗ  "О государственной защите потерпевших, свидетелей и иных
участников уголовного судопроизводства",
 
                           ПОСТАНОВИЛ:
 
    1. Применить в отношении _____________________________________
                               (Ф.И.О. или псевдоним защищаемого
                                            лица)
меры     социальной     поддержки,     предусмотренные     статьей
15 Федерального   закона  от  20  августа  2006  г.  N  119-ФЗ  "О
государственной  защите  потерпевших, свидетелей и иных участников
уголовного судопроизводства".
    2. Постановление направить для исполнения в __________________
__________________________________________________________________
         (орган, на который возложено осуществление мер
                     социальной поддержки)
    3. Постановление  направить  лицу,  в  отношении  которого оно
вынесено, по адресу: _____________________________________________
 
Исполнитель ____________________
                 (подпись)
 
 
 

Приложение N 9
к Административному регламенту
Министерства внутренних дел
Российской Федерации по исполнению
государственной функции обеспечения
в соответствии с законодательством
Российской Федерации государственной
защиты судей, должностных лиц
правоохранительных и контролирующих
органов, безопасности участников
уголовного судопроизводства
и их близких

                              УТВЕРЖДАЮ
                              ____________________________________
                                 (начальник органа дознания или
                              ____________________________________
                                  следственного подразделения,
                              ____________________________________
                                в производстве которых находится
                                      заявление (сообщение)
                              о преступлении либо уголовное дело,
                                         звание, ф.и.о.)
                              ____________________________________
                                            (подпись)
                              "__" _________ 20__ г.
 
                          ПОСТАНОВЛЕНИЕ
         об отказе в применении мер социальной поддержки
                              N ___
 
"__" ___________ 20__ г.                       г. ________________
 
    Я, ___________________________________________________________
                (должность, звание, фамилия и инициалы)
__________________________________________________________________
рассмотрев ______________________________________________________,
                           (заявление, сообщение)
 
                            УСТАНОВИЛ:
 
__________________________________________________________________
                     (обстоятельства события)
__________________________________________________________________
__________________________________________________________________
 
    Учитывая, что в материалах не   усматривается  наличие  данных
__________________________________________________________________
     (о причинении вреда здоровью или иное в связи с участием
                   в уголовном судопроизводстве,
_________________________________________________________________,
  фамилия, имя, отчество или псевдоним, статус защищаемого лица)
и  руководствуясь   Федеральным   законом   от  20 августа  2006 г.
N 119-ФЗ "О  государственной защите потерпевших, свидетелей и иных
участников уголовного судопроизводства",
 
                           ПОСТАНОВИЛ:
 
    1. Отказать в применении мер социальной поддержки, в отношении
__________________________________________________________________
             (Ф.И.О. или псевдоним защищаемого лица)
меры     социальной     поддержки,     предусмотренные     статьей
15 Федерального закона   от   20   августа  2006  г.  N  119-ФЗ "О
государственной  защите  потерпевших, свидетелей и иных участников
уголовного судопроизводства", не применять.
    2.  Постановление  направить  лицу,  в  отношении которого оно
вынесено, по адресу: _____________________________________________
 
Исполнитель _____________________________
                     (подпись)
 
 
 

Приложение N 10
к Административному регламенту
Министерства внутренних дел
Российской Федерации по исполнению
государственной функции обеспечения
в соответствии с законодательством
Российской Федерации государственной
защиты судей, должностных лиц
правоохранительных и контролирующих
органов, безопасности участников
уголовного судопроизводства
и их близких

ОБРАЗЕЦ
 
                         Начальнику ______________________________
                                            (наименование
                         _________________________________________
                          органа внутренних дел, осуществляющего
                                      меры безопасности,
                         _________________________________________
                                 звание, фамилия и инициалы)
 
                             СОГЛАСИЕ
                  на применение мер безопасности
 
    Я, ___________________________, _________________________ года
        (Ф.И.О. защищаемого лица)        (дата рождения)
рождения, уроженец ____________________________________, постоянно
                             (место рождения)
проживающий по адресу: ___________________________________________
                             (адрес постоянного проживания
                                    защищаемого лица)
__________________________________________, согласен на применение
в отношении меня мер безопасности, предусмотренных _______________
                                                     (часть(и) и
                                                      статья(и))
Федерального закона от 20 августа 2004 г. N 119-ФЗ _______________
                                                    (особенности
__________________________________________________________________
    и условия применения мер безопасности, ссылка на договор)
_________________________________________________________________.
    Об   ответственности  за  разглашение  сведений,  ставших  мне
известными   в   связи   с   применением   в  отношении  меня  мер
безопасности, предупрежден.
 
"__" ____________ 20__ г.          _______________________________
                                      (подпись защищаемого лица)
 
 
 

Приложение N 11
к Административному регламенту
Министерства внутренних дел
Российской Федерации по исполнению
государственной функции обеспечения
в соответствии с законодательством
Российской Федерации государственной
защиты судей, должностных лиц
правоохранительных и контролирующих
органов, безопасности участников
уголовного судопроизводства
и их близких

Схема реализации норм Федерального закона от 20 апреля 1995 г. N 45-ФЗ

Схема реализации норм Федерального закона от 20 августа 2004 г. N 119-ФЗ