Приказ Росземкадастра от 17.10.2002 N П/336

"Об утверждении Методики государственной кадастровой оценки земель лесного фонда Российской Федерации"
Редакция от 17.10.2002 — Документ не действует

ФЕДЕРАЛЬНАЯ СЛУЖБА ЗЕМЕЛЬНОГО КАДАСТРА РОССИИ

ПРИКАЗ
от 17 октября 2002 г. N П/336

ОБ УТВЕРЖДЕНИИ МЕТОДИКИ ГОСУДАРСТВЕННОЙ КАДАСТРОВОЙ ОЦЕНКИ ЗЕМЕЛЬ ЛЕСНОГО ФОНДА РОССИЙСКОЙ ФЕДЕРАЦИИ

В целях реализации Постановления Правительства Российской Федерации от 25.08.1999 N 945 "О государственной кадастровой оценке земель" и в соответствии с Правилами проведения государственной кадастровой оценки земель, утвержденными Постановлением Правительства Российской Федерации от 08.04.2000 N 316 "Об утверждении Правил проведения государственной кадастровой оценки земель", приказываю:

1. Утвердить прилагаемую Методику государственной кадастровой оценки земель лесного фонда Российской Федерации.

2. Контроль за исполнением Приказа возложить на заместителя руководителя Росземкадастра А.Л. Оверчука.

Руководитель
С.И.САЙ

УТВЕРЖДЕНА
Приказом Росземкадастра
от 17.10.2002 N П/336

МЕТОДИКА
ГОСУДАРСТВЕННОЙ КАДАСТРОВОЙ ОЦЕНКИ ЗЕМЕЛЬ ЛЕСНОГО ФОНДА РОССИЙСКОЙ ФЕДЕРАЦИИ

I. Общие положения

Методика государственной кадастровой оценки земель лесного фонда Российской Федерации (далее - Методика) разработана в целях реализации Постановления Правительства Российской Федерации от 25.08.99 N 945 "О государственной кадастровой оценке земель" (Собрание законодательства Российской Федерации, 30.08.1999, N 35, ст. 326) и в соответствии с Правилами проведения государственной кадастровой оценки земель, утвержденными Постановлением Правительства Российской Федерации от 08.04.2000 N 316 (Собрание законодательства Российской Федерации, 17.04.2000, N 16, ст. 1709).

Методика позволяет определить кадастровую стоимость 1 гектара лесных земель в составе земель лесного фонда Российской Федерации, к которым статьей 101 Земельного кодекса Российской Федерации (Собрание законодательства Российской Федерации, 29.10.2001, N 44, ст. 4147) отнесены земли, покрытые лесной растительностью и непокрытые ею, но предназначенные для ее восстановления, - вырубки, гари, редины, прогалины и другие.

Кадастровая стоимость лесных земель определяется в три этапа:

I этап - в пределах оценочных зон и территорий субъектов Российской Федерации;

II этап - в пределах территорий лесхозов;

III этап - в пределах участков лесных земель в границах лесхозов.

Кадастровая стоимость лесных земель определяется на основе капитализации годового расчетного рентного дохода, получаемого в результате хозяйственного использования лесных земель.

В Методике не рассматриваются экологические функции лесных земель.

II. Определение кадастровой стоимости земель лесного фонда в пределах оценочных зон и территорий субъектов Российской Федерации

На первом этапе государственной кадастровой оценки земель лесного фонда Российской Федерации определяется кадастровая стоимость 1 гектара лесных земель в пределах оценочных зон и территорий субъектов Российской Федерации.

Оценочные зоны совпадают с лесотаксовыми районами. Границы лесотаксовых районов устанавливаются в соответствии с Постановлением Правительства Российской Федерации от 19.02.2001 N 127 "О минимальных ставках платы за древесину, отпускаемую на корню" (Собрание законодательства Российской Федерации, 05.03.2001, N 10, ст. 958).

При определении кадастровой стоимости лесных земель в расчет принимается один вид лесопользования - заготовка древесины.

Для определения кадастровой стоимости 1 гектара лесных земель рассчитываются следующие показатели на 1 гектар лесных земель оценочной зоны и субъекта Российской Федерации:

- базовая оценочная продуктивность в натуральном и денежном выражениях;

- базовые оценочные затраты;

- цена производства древесины;

- годовой расчетный рентный доход.

1. Определение базовой оценочной продуктивности 1 гектара лесных земель

Базовая оценочная продуктивность 1 гектара лесных земель определяется по оценочным зонам в натуральном и денежном выражении.

Базовая оценочная продуктивность 1 гектара лесных земель в оценочной зоне в натуральном выражении (Pb) рассчитывается по следующей формуле:

где:

- запас древесины, отпускаемой на корню на 1 гектаре спелых насаждений (насаждений в оптимальном возрасте рубки) i-й основной лесообразующей породы при j-м обороте рубки в оценочной зоне, куб. м;

- площадь, занятая i-й основной лесообразующей породой в j-м обороте рубки, га;

- число лет в j-м обороте рубки i-й основной лесообразующей породы;

n - количество основных лесообразующих пород;

m - количество вариантов оборотов рубок в насаждениях одной лесообразующей породы.

Средневзвешенная базовая плата за 1 куб. м древесины (Cb), отпускаемой на корню, на момент проведения государственной кадастровой оценки лесных земель в оценочной зоне определяется по следующей формуле:

где:

- фактически сложившаяся в оценочной зоне плата за 1 куб. м древесины, отпускаемой на корню i-й основной лесообразующей породы в j-м возрасте рубки, руб.

Базовая оценочная продуктивность 1 гектара лесных земель в оценочной зоне в денежном выражении рассчитывается как произведение базовой оценочной продуктивности в натуральном выражении (формула 2-1) на средневзвешенную базовую плату за 1 куб. м древесины, отпускаемой на корню, на момент проведения государственной кадастровой оценки лесных земель (формула 2-2).

2. Определение базовых оценочных затрат и цены производства древесины на 1 гектар лесных земель

Базовые оценочные затраты на 1 гектар лесных земель определяются как сумма фактических расходов лесхозов, находящихся в оценочной зоне, за соответствующий год на восстановление, выращивание, охрану, защиту лесов и управленческих расходов, выраженных в рублях.

Цена производства древесины в расчете на 1 гектар лесных земель в оценочной зоне определяется путем умножения базовых оценочных затрат на норматив, учитывающий рентабельность производства.

3. Определение годового расчетного рентного дохода с 1 гектара лесных земель

Дифференциальный рентный доход с 1 гектара лесных земель в оценочной зоне определяется как разность между базовой оценочной продуктивностью 1 гектара лесных земель в денежном выражении и ценой производства древесины в расчете на 1 гектар.

Если при расчете дифференциального рентного дохода получается отрицательное значение, дифференциальный рентный доход принимается равным нулю.

Годовой расчетный дифференциальный рентный доход с 1 гектара лесных земель в оценочной зоне определяется путем деления дифференциального рентного дохода с 1 гектара лесных земель на число лет в средневзвешенном обороте рубки с учетом структуры основных лесообразующих пород.

Число лет в средневзвешенном обороте рубки в оценочной зоне (Tb) рассчитывается по следующей формуле:

Годовой абсолютный рентный доход определяется исходя из следующего положения: кадастровая стоимость 1 гектара лесных земель, на которых не образуется дифференциальный рентный доход, устанавливается равной минимальному значению кадастровой стоимости 1 гектара сельскохозяйственных угодий в Российской Федерации.

Годовой расчетный рентный доход с 1 гектара лесных земель в оценочной зоне определяется суммированием годового расчетного дифференциального и годового абсолютного рентных доходов, получаемых с 1 гектара лесных земель.

4. Расчет кадастровой стоимости 1 гектара лесных земель

Кадастровая стоимость 1 гектара лесных земель в оценочной зоне определяется путем деления годового расчетного рентного дохода с 1 гектара лесных земель на коэффициент капитализации.

III. Определение кадастровой стоимости земель лесного фонда Российской Федерации в пределах территории лесхозов

На втором этапе государственной кадастровой оценки земель лесного фонда Российской Федерации определяется кадастровая стоимость 1 гектара лесных земель в пределах территории лесхозов.

При определении кадастровой стоимости лесных земель в расчет принимается один вид лесопользования - заготовка древесины.

Для определения кадастровой стоимости 1 гектара лесных земель по каждому лесхозу рассчитываются следующие показатели на 1 гектар лесных земель:

- оценочная продуктивность в натуральном и денежном выражениях;

- оценочные затраты;

- цена производства древесины;

- годовой расчетный рентный доход.

1. Определение оценочной продуктивности лесных земель

Расчет оценочной продуктивности 1 гектара лесных земель лесхоза в денежном выражении (Mkl) осуществляется в следующей последовательности:

- расчет первичной оценочной продуктивности;

- корректировка первичной оценочной продуктивности.

Расчет первичной оценочной продуктивности 1 гектара лесных земель лесхоза в денежном выражении (Ml) производится по формуле:

Ml = Pl x Cl, (3-1)

где:

Pl - оценочная продуктивность 1 гектара лесных земель l-го лесхоза в натуральном выражении, куб. м;

Cl - средневзвешенная плата за 1 куб. м древесины, отпускаемой на корню в l-м лесхозе, на момент проведения государственной кадастровой оценки, руб.;

l - индекс лесхоза в субъекте Российской Федерации.

Оценочная продуктивность 1 гектара лесных земель лесхоза в натуральном выражении () рассчитывается по формуле:

где:

- запас древесины на корню на 1 гектаре спелых насаждений i-й основной лесообразующей породы при j-м обороте рубки в оценочной зоне, рассчитанный на первом уровне государственной кадастровой оценки, куб. м;

- площадь, занятая i-й основной лесообразующей породой с j-м оборотом рубки в l-том лесхозе, га;

- число лет в j-м обороте рубки i-й основной лесообразующей породы;

n - количество основных лесообразующих пород;

m - количество вариантов оборотов рубок в насаждениях одной лесообразующей породы.

Средневзвешенная плата за 1 куб. м древесины (), отпускаемой на корню, на момент проведения государственной кадастровой оценки в лесхозе определяется по формуле:

где:

- фактически сложившаяся в оценочной зоне плата за 1 куб. м древесины, отпускаемой на корню i-й основной лесообразующей породы в j-м возрасте рубки, полученная на первом этапе государственной кадастровой оценки, руб.

Корректировка полученной первичной оценочной продуктивности 1 гектара лесных земель лесхоза в денежном выражении производится по формуле:

Mkl = Q x Ml, (3-4)

где:

Ml - первичная оценочная продуктивность 1 гектара лесных земель лесхоза в денежном выражении для l-го лесхоза, руб.;

Q - корректирующий коэффициент к первичной оценочной продуктивности.

Корректирующий коэффициент к первичной оценочной продуктивности в денежном выражении вычисляется по формуле:

где:

M - базовая оценочная продуктивность в денежном выражении 1 гектара лесных земель в субъекте Российской Федерации, полученная на первом уровне государственной кадастровой оценки, руб.;

Ml - первичная оценочная продуктивность в денежном выражении 1 гектара лесных земель по l-му лесхозу, руб.;

Sl - площадь лесных земель l-го лесхоза, га;

L - число лесхозов в субъекте Российской Федерации.

2. Определение оценочных затрат и цены производства древесины на 1 гектар лесных земель

Оценочные затраты на 1 гектар лесных земель определяются как сумма фактических расходов лесхозов на восстановление, выращивание, охрану, защиту лесов и управленческих расходов, выраженных в рублях.

Расчет оценочных затрат на 1 гектар лесных земель в лесхозе (Zkl) осуществляется в следующей последовательности:

- расчет первичных оценочных затрат для каждого лесхоза;

- корректировка первичных оценочных затрат.

Расчет первичных оценочных затрат для каждого лесхоза () производится по формуле:

где:

- оценочные затраты на воспроизводство i-й породы при j-м обороте рубки в оценочной зоне, определенные на первом уровне оценочных работ, руб.;

- лесопокрытая площадь, занятая i-й породой при j-м обороте рубки в l-м лесхозе, га;

l - индекс лесхоза в субъекте Российской Федерации.

Корректировка полученных первичных оценочных затрат производится по формуле:

Zkl = K x Zl, (3-7)

где:

K - корректирующий коэффициент к оценочным затратам.

Корректирующий коэффициент к оценочным затратам рассчитывается по формуле:

где:

Z - базовые оценочные затраты на воспроизводство лесов в субъекте Российской Федерации в расчете на 1 гектар лесных земель, полученные на первом уровне государственной кадастровой оценки, руб.;

Zl - первичные оценочные затраты по l-му лесхозу в расчете на 1 гектар лесных земель, руб.;

Sl - площадь лесных земель l-го лесхоза, га.

Цена производства древесины в расчете на 1 гектар лесных земель в лесхозе определяется путем умножения оценочных затрат на норматив, учитывающий рентабельность лесохозяйственного производства.

3. Определение годового расчетного рентного дохода с 1 гектара лесных земель

Дифференциальный рентный доход с 1 гектара лесных земель в лесхозе определяется как разность между оценочной продуктивностью 1 гектара лесных земель в денежном выражении и ценой производства древесины в расчете на 1 гектар.

Если при расчете дифференциального рентного дохода получается отрицательное значение, дифференциальный рентный доход принимается равным нулю.

Годовой расчетный дифференциальный рентный доход с 1 гектара лесных земель в лесхозе определяется путем деления дифференциального рентного дохода с 1 гектара лесных земель на число лет в средневзвешенном обороте рубки с учетом структуры основных лесообразующих пород.

Число лет в средневзвешенном обороте рубки в лесхозе () рассчитывается по следующей формуле:

где:

- площадь, занятая i-й основной лесообразующей породой j-м обороте рубки в l-м лесхозе, га;

- число лет в j-м обороте рубки i-й основной лесообразующей породы;

n - количество основных лесообразующих пород;

m - количество вариантов оборотов рубок в насаждениях одной лесообразующей породы.

Годовой абсолютный рентный доход определяется исходя из следующего положения: кадастровая стоимость 1 гектара лесных земель, на которых не образуется дифференциальный рентный доход, устанавливается равной минимальному значению кадастровой стоимости 1 гектара сельскохозяйственных угодий в Российской Федерации.

Годовой расчетный рентный доход с 1 гектара лесных земель в лесхозе определяется суммированием годового расчетного дифференциального и годового абсолютного рентных доходов, получаемых с 1 гектара лесных земель.

4. Расчет кадастровой стоимости 1 гектара лесных земель

Кадастровая стоимость 1 гектара лесных земель лесхоза определяется путем деления годового расчетного рентного дохода с 1 гектара лесных земель на коэффициент капитализации.

IV. Определение кадастровой стоимости участков лесных земель в границах лесхозов

На третьем этапе государственной кадастровой оценки земель лесного фонда в качестве объекта кадастровой оценки выступают участки земель лесного фонда в границах лесхозов.

Участки лесных земель в границах лесхозов для целей государственной кадастровой оценки подразделяются на три вида:

1) участки лесных земель, не покрытые лесной растительностью, но предназначенные для ее восстановления (вырубки, гари, погибшие древостои, редины, пустыри, прогалины, площади, занятые питомниками, несомкнувшимися лесными культурами, и иные);

2) участки лесных земель, занятые насаждениями, которые не входят в категорию спелых и перестойных лесов, то есть земли, занятые молодняками, средневозрастными и приспевающими насаждениями;

3) участки лесных земель, занятые спелыми и перестойными насаждениями, пригодными для проведения рубок главного пользования при наличии соответствующих экономических условий.

1. Расчет кадастровой стоимости участка лесных земель

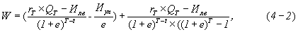
Кадастровая стоимость 1 гектара участка лесных земель (W), не покрытых лесом, если они будут использоваться для выращивания и заготовки древесины, определяется по формуле:

где:

T - возраст рубки главного пользования, лет;

- эксплуатационный запас древесины на корню в возрасте главной рубки, куб. м/га;

- лесная рента, образующаяся при осуществлении рубок главного пользования в насаждении возраста T, руб./куб. м;

- нормативные затраты на лесовосстановление, руб./га;

- нормативные ежегодные затраты на управление, охрану и защиту лесов, руб./га;

e - коэффициент капитализации.

Для второго вида участков лесных земель, занятых насаждениями, не достигшими возраста спелости, - молодняками, средневозрастными и приспевающими насаждениями, - кадастровая стоимость участка, если он будет использоваться для выращивания и заготовки древесины, рассчитывается по формуле (4-2), где кадастровая стоимость участка земель лесного фонда представляет собой сумму двух слагаемых:

а) текущей стоимости насаждения, произрастающего на участке в момент рубки главного пользования за минусом капитализированных затрат на управление, охрану и защиту лесов и их восстановление после первой рубки главного пользования;

б) текущей стоимости капитализированных доходов от последующих рубок главного пользования, начиная со второй рубки.

Стоимость оцениваемого насаждения, имеющего на момент государственной кадастровой оценки возраст t лет, меньший возраста спелости T, определяется путем дисконтирования к настоящему моменту времени лесной ренты, которая может быть получена при рубке оцениваемого насаждения при достижении им возраста спелости.

где:

(T - t) - период времени, разделяющий момент проведения оценки и время проведения первой рубки главного пользования.

Для третьего вида участков лесных земель, занятых спелыми и перестойными насаждениями, пригодными к рубке главного пользования, кадастровая стоимость участка, если он будет использоваться в дальнейшем для выращивания и заготовки древесины, рассчитывается по формуле (4-3), где кадастровая стоимость участка земель лесного фонда представляет собой сумму двух слагаемых:

а) стоимости произрастающего на участке насаждения, пригодного в момент проведения государственной кадастровой оценки к рубке главного пользования за минусом капитализированных затрат на управление, охрану и защиту лесов и их восстановление после первой рубки главного пользования;

б) текущей стоимости капитализированных доходов от последующих рубок главного пользования, начиная со второй рубки.

Стоимость произрастающего на участке насаждения, пригодного в момент проведения государственной кадастровой оценки к рубке главного пользования, равна произведению имеющегося эксплуатационного запаса древесины на лесную ренту, приносимую одним кубометром этого запаса.

Кадастровая стоимость участка лесных земель при условии использования только недревесных ресурсов без пользования древесиной (Wn) определяется по формуле:

Wn = Pn - Cn - in x Kn - Слх , (4-4)
e

где:

Pn - годовой валовой доход от использования недревесных ресурсов (например, охота, рекреация, заготовка кедровых орехов и т.д.), руб./га;

Cn - годовые текущие издержки по заготовке (производству) продукции из недревесных ресурсов леса, руб./га;

Kn - удельные капитальные вложения в организацию использования недревесных ресурсов леса, руб./га;

i - норма прибыли на основной и оборотный капитал;

e - коэффициент капитализации;

Слх - издержки по восстановлению, поддержанию и охране недревесных ресурсов леса (помимо тех издержек, которые учитываются в формулах (4-1) - (4-3)).

В случае если на участке лесных земель возможно взаимодополняющее использование древесных и недревесных ресурсов леса, то совокупная кадастровая стоимость 1 гектара участка лесных земель (WСИГМА), на котором возможно комплексное многоресурсное использование древесных и недревесных ресурсов леса, определяется капитализированной суммой рентного дохода от лесозаготовок и от использования недревесных ресурсов.

WСИГМА = W + Wn (4-5)

Кадастровая стоимость участка лесных земель при альтернативных заготовке древесины видах лесопользования также может определяться по рыночной стоимости участков нелесных земель с соответствующими видами использования и аналогичными характеристиками.

На основе формул (4-1) - (4-5) может быть также определена кадастровая стоимость лесных земель лесхоза в целом как суммарная стоимость выделенных в его составе участков или участков, выделяемых для удобства расчетов.

2. Расчет значения лесной ренты

Определение лесной ренты, используемой при определении кадастровой стоимости участков лесных земель, может производиться по формулам (4-6) - (4-9):

r = P0 - C0 - i0 x K0   C1 - i1 x K1 , (4-6)
m

или:

r = P1 - C1 - i1 x K1, (4-7)

или:

r = P1 x 100   C1 , (4-8)
p

или:

r = rm, (4-9)

где:

rm - плата за лес на корню, полученная по результатам торгов на участках лесных земель, выбранных в качестве аналога оцениваемого участка, характеризующегося совокупностью идентичных или близких по значению рентообразующих факторов (средний эксплуатационный запас древесины на 1 гектар, структура породного состава насаждений, задаваемая долей отдельных пород в общем запасе; средний объем хлыста, характер рельефа местности и состояния грунтов, расстояние доставки заготовленных лесоматериалов (хлыстов, сортиментов) до пункта конечного потребления или нижнего склада, соотношение объемов летней и зимней заготовки древесины);

P0 - рыночная цена отправления единицы продукции обработки круглых лесоматериалов (пиломатериалов, целлюлозы, бумаги, фанеры, плит и др.), руб./ед. продукции (руб./куб. м, руб./т);

P1 - рыночная цена отправления единицы круглых лесоматериалов, руб./куб. м;

C0 - текущие издержки на переработку древесины без стоимости древесного сырья, руб./ед. продукции;

K0 - удельные капитальные вложения в перерабатывающих производствах, руб./ед. продукции;

m - расход сырья (круглых лесоматериалов) на единицу продукции деревопереработки, куб. м/ед. продукции;

C1 - текущие издержки на заготовку древесины и ее вывозку из леса на нижний склад, пункт реализации или пункт переработки, руб./куб. м;

K1 - удельные капитальные вложения на заготовку древесины, включая издержки на строительство лесовозных дорог и вывозку древесины из леса, руб./куб. м;

i0 - норма прибыли на основной и оборотный капитал в деревопереработке;

i1 - норма прибыли на основной и оборотный капитал на лесозаготовках;

p - норма прибыли по отношению к текущим затратам на лесозаготовках.

Формула (4-6) применяется при следующих условиях:

- в качестве пользователя участка лесных земель (ожидаемого пользователя) выступает предприятие, у которого лесозаготовка интегрирована с деревопереработкой;

- приобретение круглых лесоматериалов на региональных лесных рынках осуществляется в основном крупными деревоперерабатывающими предприятиями;

- имеется возможность получить достоверную информацию об экономических показателях деревоперерабатывающих производств.

Формулы (4-7) - (4-8) применяются в условиях, когда права пользования участками лесных земель предоставляются лесопользователям, продукция которых реализуется на конкурентных внутреннем или внешнем рынках. Различие между этими формулами состоит лишь в объеме имеющейся исходной информации.

Формула (4-9) предусматривает расчет лесной ренты для условий, когда основная часть лесосечного фонда продается на лесных аукционах.

Рыночные цены на продукцию деревопереработки (бумагу, целлюлозу, пиломатериалы, фанеру, плиты) и круглые лесоматериалы определяются на основе анализа существующих цен на внутреннем и внешнем рынках, а также на базе прогноза этих цен, осуществляемого соответствующими государственными и коммерческими организациями на федеральном и региональном уровнях.

Норма прибыли на основной и оборотный капитал принимается в размере величины, обратной сроку возврата капитала.

Расчетные текущие издержки на заготовку и переработку древесины, показатели удельных капитальных вложений, коэффициенты расхода сырья на производство конечной лесопродукции определяются на основании нормативов, регламентирующих потребление производственных ресурсов (трудозатраты, энергоемкость, фондоемкость), в зависимости от условий эксплуатации лесных ресурсов и их качественных характеристик.

Расчетные текущие издержки на заготовку древесины в денежном выражении определяются на основе натуральных показателей расхода трудовых, материальных и других ресурсов в расчете на единицу подлежащей заготовке древесины на корню: человеко - дней на кубометр, литров горючего на кубометр, кВт.ч на кубометр, рублей на кубометр и т.д. по формуле:

C = (t x Pt + ню x Pe + K x a ) x (1 + b ) , (4-10)
100 100

где:

C - текущие издержки в расчете на обезличенный куб. м заготовки древесины, руб./куб. м;

t - трудоемкость лесозаготовительного производства, чел.-дн./куб. м;

Pt - фактически сложившаяся в регионе норма оплаты труда на лесозаготовках за единицу времени, руб./чел.-дн.;

ню - энергоемкость производства (затраты горюче - смазочных материалов и электроэнергии на заготовку 1 куб. м древесины), кг/куб. м, литр/куб. м, кВт/куб. м;

Pe - рыночная цена топливно - энергетических ресурсов, руб./кг, руб./литр, руб./кВт;

K - капитальные вложения производства (удельные инвестиции), руб./куб. м;

a - норма амортизации основных фондов в процентах;

b - отношение накладных расходов к прямым затратам в процентах.

Состав и размер текущих затрат при заготовке и переработке древесины определяются действующими нормативными материалами по калькулированию операционных издержек в лесопромышленном производстве.

Транспортные расходы по доставке древесины от мест заготовки до пунктов переработки определяются на основании действующих тарифов на перевозку лесных грузов разными видами транспорта.