Приказ Минюста РФ от 05.02.2008 N 20

"Об утверждении Административного регламента исполнения территориальными органами Федеральной регистрационной службы государственной функции по ведению реестра адвокатов субъекта Российской Федерации и выдаче адвокатам удостоверений"
Редакция от 30.07.2008 — Документ не действует
Показать изменения

Зарегистрировано в Минюсте РФ 13 февраля 2008 г. N 11161


МИНИСТЕРСТВО ЮСТИЦИИ РОССИЙСКОЙ ФЕДЕРАЦИИ

ПРИКАЗ
от 5 февраля 2008 г. N 20

ОБ УТВЕРЖДЕНИИ АДМИНИСТРАТИВНОГО РЕГЛАМЕНТА ИСПОЛНЕНИЯ ТЕРРИТОРИАЛЬНЫМИ ОРГАНАМИ ФЕДЕРАЛЬНОЙ РЕГИСТРАЦИОННОЙ СЛУЖБЫ ГОСУДАРСТВЕННОЙ ФУНКЦИИ ПО ВЕДЕНИЮ РЕЕСТРА АДВОКАТОВ СУБЪЕКТА РОССИЙСКОЙ ФЕДЕРАЦИИ И ВЫДАЧЕ АДВОКАТАМ УДОСТОВЕРЕНИЙ

(в ред. Приказа Минюста РФ от 30.07.2008 N 157)

На основании пункта 9 Порядка разработки и утверждения административных регламентов исполнения государственных функций и административных регламентов предоставления государственных услуг, утвержденного Постановлением Правительства Российской Федерации от 11 ноября 2005 г. N 679 "О порядке разработки и утверждения административных регламентов исполнения государственных функций и административных регламентов предоставления государственных услуг" (Собрание законодательства Российской Федерации, 2005, N 47, ст. 4933; 2007, N 50, ст. 6285), приказываю:

1. Утвердить прилагаемый Административный регламент исполнения территориальными органами Федеральной регистрационной службы государственной функции по ведению реестра адвокатов субъекта Российской Федерации и выдаче адвокатам удостоверений.

2. Федеральной регистрационной службе (С.В. Васильев) обеспечить исполнение Административного регламента исполнения территориальными органами Федеральной регистрационной службы государственной функции по ведению реестра адвокатов субъекта Российской Федерации и выдаче адвокатам удостоверений.

3. Признать утратившими силу:

Приказ Министерства юстиции Российской Федерации от 29 июля 2002 г. N 211 "Об утверждении Порядка ведения реестров адвокатов субъектов Российской Федерации" (зарегистрирован Минюстом России 7 августа 2002 г., регистрационный N 3672);

пункт 1 Изменений в нормативные правовые акты Министерства юстиции Российской Федерации, утвержденных Приказом Министерства юстиции Российской Федерации от 1 марта 2006 г. N 32 "О внесении изменений в нормативные правовые акты Министерства юстиции Российской Федерации" (зарегистрирован Минюстом России 20 марта 2006 г., регистрационный N 7597);

пункт 1 Приказа Министерства юстиции Российской Федерации от 14 июня 2007 г. N 124 "О внесении изменений в Приказы Министерства юстиции Российской Федерации от 29 июля 2002 г. N 211 и от 2 декабря 2003 г. N 306" (зарегистрирован Минюстом России 25 июня 2007 г., регистрационный N 9698).

4. Приказ вступает в силу с 1 марта 2008 г.

5. Контроль за исполнением Приказа возложить на заместителя Министра В.В. Демидова.

Министр
В.В.УСТИНОВ

Приложение
к Приказу Министерства юстиции
Российской Федерации
от 5 февраля 2008 г. N 20

АДМИНИСТРАТИВНЫЙ РЕГЛАМЕНТ
ИСПОЛНЕНИЯ ТЕРРИТОРИАЛЬНЫМИ ОРГАНАМИ ФЕДЕРАЛЬНОЙ РЕГИСТРАЦИОННОЙ СЛУЖБЫ ГОСУДАРСТВЕННОЙ ФУНКЦИИ ПО ВЕДЕНИЮ РЕЕСТРА АДВОКАТОВ СУБЪЕКТА РОССИЙСКОЙ ФЕДЕРАЦИИ И ВЫДАЧЕ АДВОКАТАМ УДОСТОВЕРЕНИЙ

(в ред. Приказа Минюста РФ от 30.07.2008 N 157)

I. Общие положения

1. Административный регламент исполнения территориальными органами Федеральной регистрационной службы государственной функции по ведению реестра адвокатов субъекта Российской Федерации и выдаче адвокатам удостоверений (далее - Административный регламент) разработан в целях повышения качества исполнения и доступности результатов исполнения государственной функции по ведению реестров адвокатов субъектов Российской Федерации и выдаче адвокатам удостоверений (далее - государственная функция), создания комфортных условий для участников отношений, возникающих при ведении регионального реестра, и определяет сроки и последовательность действий (административных процедур) при осуществлении государственной функции.

2. Территориальный орган Федеральной регистрационной службы ведет реестр адвокатов субъекта Российской Федерации (далее - региональный реестр) и выдает адвокатам удостоверения на основании пункта 1 статьи 14, пункта 1 статьи 15, статьи 17 Федерального закона от 31 мая 2002 г. N 63-ФЗ "Об адвокатской деятельности и адвокатуре в Российской Федерации" <1>, подпунктов 8, 9 пункта 6 Общего положения о территориальном органе Федеральной регистрационной службы по субъекту (субъектам) Российской Федерации, утвержденного Приказом Министерства юстиции Российской Федерации от 3 декабря 2004 г. N 183 <2> (в редакции Приказов Министерства юстиции Российской Федерации от 28 сентября 2005 г. N 181 "О внесении изменений в Приказ Министерства юстиции Российской Федерации от 3 декабря 2004 г. N 183" <3>, от 5 мая 2006 г. N 149 "О внесении изменений в Приказ Министерства юстиции Российской Федерации от 3 декабря 2004 г. N 183" <4>).

<1> Собрание законодательства Российской Федерации, 2002, N 23, ст. 2102; 2003, N 44, ст. 4262; 2004, N 35, ст. 3607; 2004, N 52 (часть I), ст. 5267; 2007, N 31, ст. 4011.

<2> Зарегистрирован Минюстом России 9 декабря 2004 г., регистрационный N 6180. Бюллетень нормативных актов федеральных органов исполнительной власти, 2004, N 50.

<3> Зарегистрирован Минюстом России 6 октября 2005 г., регистрационный N 7060. Бюллетень нормативных актов федеральных органов исполнительной власти, 2005, N 42.

<4> Зарегистрирован Минюстом России 5 мая 2006 г., регистрационный N 7780. Бюллетень нормативных актов федеральных органов исполнительной власти, 2006, N 20.

3. Исполнение государственной функции осуществляется в соответствии с:

Конституцией Российской Федерации <1>;

<1> Российская газета, 25.12.1993, N 237.

Федеральным законом от 31 мая 2002 г. N 63-ФЗ "Об адвокатской деятельности и адвокатуре в Российской Федерации" (далее - Закон);

Указом Президента Российской Федерации от 13 октября 2004 г. N 1313 "Вопросы Министерства юстиции Российской Федерации" <1>;

<1> Собрание законодательства Российской Федерации, 2004, N 42, ст. 4108; 2005, N 44, ст. 4535; 2005, N 52 (ч. III), ст. 5690; 2006, N 12, ст. 1284; 2006, N 19, ст. 2070; 2006, N 23, ст. 2452; 2006, N 38, ст. 3975; 2007, N 13, ст. 1530; 2007, N 20, ст. 2390.

Указом Президента Российской Федерации от 13 октября 2004 г. N 1315 "Вопросы Федеральной регистрационной службы" <1>.

<1> Собрание законодательства Российской Федерации, 2004, N 42, ст. 4110; 2005, N 52 (ч. III), ст. 5689; 2006, N 19, ст. 2069; 2007, N 3, ст. 429; 2007, N 22, ст. 2617; 2007, N 25, ст. 3010.

4. Государственная функция исполняется федеральными государственными гражданскими служащими территориальных органов Федеральной регистрационной службы (далее - специалисты, ответственные за ведение регионального реестра).

5. При исполнении государственной функции по ведению регионального реестра территориальным органом Федеральной регистрационной службы (далее - территориальный орган) осуществляется внесение в региональный реестр сведений об адвокатах в связи с присвоением статуса адвоката, изменением адвокатом членства в адвокатской палате одного субъекта Российской Федерации на членство в адвокатской палате другого субъекта Российской Федерации, приостановлением, возобновлением, прекращением статуса адвоката, изменением фамилии, имени и (или) отчества адвоката, а также исключение сведений об адвокате из регионального реестра в связи с изменением им членства в адвокатской палате.

6. Началом исполнения государственной функции по внесению в региональный реестр сведений об адвокатах в связи с присвоением статуса адвоката, изменением адвокатом членства в адвокатской палате одного субъекта Российской Федерации на членство в адвокатской палате другого субъекта Российской Федерации, приостановлением, возобновлением, прекращением статуса адвоката, а также по исключению сведений об адвокате из регионального реестра в связи с изменением им членства в адвокатской палате является получение территориальным органом уведомления органа адвокатской палаты соответствующего субъекта Российской Федерации (далее - адвокатская палата). Окончанием исполнения указанной государственной функции являются внесение соответствующих сведений в региональный реестр или отказ во внесении таких сведений, исключение сведений из регионального реестра или отказ в исключении таких сведений.

7. О присвоении претенденту статуса адвоката территориальный орган уведомляется квалификационной комиссией адвокатской палаты (статья 15 Закона).

О приостановлении, возобновлении, прекращении статуса адвоката, изменении адвокатом членства в адвокатской палате одного субъекта Российской Федерации на членство в адвокатской палате другого субъекта Российской Федерации территориальный орган уведомляется советом адвокатской палаты (статьи 15 - 17 Закона).

8. Началом исполнения государственной функции по внесению в региональный реестр сведений в связи с изменением адвокатом фамилии, имени и (или) отчества является получение территориальным органом заявления адвоката.

Окончанием исполнения указанной государственной функции является внесение соответствующих сведений в региональный реестр или отказ во внесении таких сведений.

9. Сведения об адвокате вносятся только в один региональный реестр (пункт 4 статьи 15 Закона).

10. На основании переходных положений Закона первичное формирование региональных реестров осуществлено на основании распоряжений территориальных органов Министерства юстиции Российской Федерации о внесении сведений об адвокатах в региональные реестры, изданных в соответствии со списками членов коллегий адвокатов, представленными коллегиями адвокатов, образованными в соответствии с законодательством СССР и РСФСР и действовавшими на территории Российской Федерации до вступления в силу Закона (пункты 2, 3 статьи 40 Закона). В графе 3 регионального реестра проставлена дата приема лица в члены коллегии адвокатов.

11. На основании заключительных и переходных положений Закона (пункт 3 статьи 40) в реестровые дела адвокатов, являвшихся членами коллегий адвокатов, образованных в соответствии с законодательством СССР и РСФСР и действовавших на территории Российской Федерации до вступления в силу Закона, сформированы следующие документы:

личные заявления адвокатов о внесении сведений о них в соответствующий региональный реестр из коллегий адвокатов;

копии документов, удостоверяющих личности адвокатов;

анкеты, содержащие биографические сведения об адвокатах;

копии трудовых книжек или иные документы, подтверждающие стаж работы по юридической специальности;

копии документов, подтверждающих высшее юридическое образование либо наличие ученой степени по юридической специальности;

копии решений о приеме в коллегии адвокатов, образованные до вступления в силу Закона.

12. Региональный реестр ведется по форме (приложение N 1) на бумажном и электронном носителях.

Региональный реестр на бумажном носителе прошивается, его листы нумеруются, сведения о количестве листов заверяются подписью руководителя территориального органа - главного государственного регистратора субъекта (субъектов) Российской Федерации (далее - руководитель территориального органа) и оттиском печати территориального органа.

13. Регистрационный номер адвоката в региональном реестре включает две составляющие (группы цифр), разделенные косой чертой, из которых первые две цифры - это номер субъекта Российской Федерации согласно приложению N 16; а вторая составляющая (третья и далее цифры) - порядковый номер записи при внесении сведений об адвокате в региональный реестр. Формирование второй составляющей регистрационного номера осуществляется путем сквозной нумерации независимо от года.

Регистрационный номер имеет следующий вид: N/N (например, 01/253, 35/2, 77/1486).

Регистрационный номер не может быть присвоен другому лицу, в том числе при исключении сведений об адвокате из регионального реестра или внесении сведений о прекращении статуса адвоката.

Регистрационный номер указывается на реестровом деле адвоката и в удостоверении адвоката.

14. Записи в региональный реестр на бумажном носителе вносятся специалистом, ответственным за ведение регионального реестра, от руки, четким разборчивым почерком.

При ведении регионального реестра не допускаются помарки, подчистки и неоговоренные исправления. Каждое внесенное в региональный реестр исправление заверяется подписью специалиста, ответственного за ведение регионального реестра.

15. Территориальный орган ежегодно не позднее 1 февраля направляет в адвокатскую палату копию регионального реестра (пункт 2 статьи 14 Закона).

16. Внесение в региональный реестр сведений о присвоении статуса адвоката, приостановлении, возобновлении, прекращении статуса адвоката, об изменении адвокатом членства в адвокатской палате, об изменении адвокатом фамилии, имени и (или) отчества, исключение сведений об адвокате из регионального реестра в связи с изменением им членства в адвокатской палате осуществляется бесплатно.

17. При исполнении государственной функции по выдаче адвокату удостоверения территориальным органом осуществляются выдача адвокатам удостоверений в связи с присвоением статуса адвоката, изменением адвокатом членства в адвокатской палате одного субъекта Российской Федерации на членство в адвокатской палате другого субъекта Российской Федерации, изменением фамилии, имени и (или) отчества адвоката, утратой или порчей удостоверения, возврат адвокатам удостоверений при возобновлении статуса адвоката.

18. На основании пункта 5 статьи 15 Закона в случае изменения адвокатом членства в адвокатской палате одного субъекта Российской Федерации на членство в адвокатской палате другого субъекта Российской Федерации взамен сданного адвокатом удостоверения территориальный орган выдает адвокату документ, подтверждающий статус адвоката.

19. Началом исполнения территориальным органом государственной функции по выдаче адвокату удостоверения в связи с присвоением статуса адвоката, изменением адвокатом членства в адвокатской палате одного субъекта Российской Федерации на членство в адвокатской палате другого субъекта Российской Федерации, возобновлением статуса адвоката является внесение соответствующих сведений в региональный реестр на основании полученных от органов адвокатской палаты уведомлений, в связи с изменением адвокатом фамилии, имени и (или) отчества - внесение соответствующих сведений в региональный реестр на основании полученного от адвоката заявления, в связи с утратой или порчей удостоверения - получение соответствующего заявления адвоката.

Окончанием исполнения государственной функции по выдаче удостоверения является выдача адвокату удостоверения или отказ в выдаче удостоверения.

20. Территориальный орган выдает адвокату соответствующее удостоверение при внесении в региональный реестр сведений об адвокате в связи с присвоением статуса адвоката и сведений об адвокате в связи с изменением им членства в адвокатской палате (пункты 1 и 5 статьи 15 Закона).

Территориальный орган при внесении в региональный реестр сведений о возобновлении статуса адвоката возвращает адвокату удостоверение, ранее сданное им в связи с приостановлением статуса адвоката (пункт 3 статьи 15, пункты 5 и 6 статьи 16 Закона).

Территориальный орган выдает адвокату новое удостоверение в связи с изменением им фамилии, имени и (или) отчества, а также взамен утраченного или испорченного удостоверения.

21. Удостоверение выдается без ограничения срока по форме (приложение N 2).

22. Заполнение внутренней стороны удостоверения производится с помощью компьютерной техники, оборудованной лазерными или струйными печатающими устройствами, с использованием оптимальных шрифтов черным цветом с начертанием "курсив" или от руки тушью черного цвета четким разборчивым почерком.

23. При заполнении внутренней стороны удостоверения не допускаются помарки и подчистки. Удостоверение без необходимого оформления, с помарками и подчистками считается недействительным.

24. Территориальный орган ведет учет бланков удостоверений и выдачи оформленных удостоверений в книгах учета по формам (приложения N 3 и N 4).

Книги учета должны быть прошиты, их листы пронумерованы, сведения о количестве листов заверены подписью руководителя и оттиском печати территориального органа.

Ежегодно по состоянию на 1 января производится проверка наличия бланков удостоверений и соответствия их учетным данным.

25. Бланки удостоверений, удостоверения, сданные в территориальный орган в связи с приостановлением статуса адвоката, и книги учета хранятся в территориальных органах в несгораемых шкафах.

26. Удостоверения, возвращенные в территориальный орган, за исключением удостоверений, сданных в связи с приостановлением статуса адвоката, а также бланки удостоверений с испорченной внутренней стороной погашаются специальным штампом с надписью "Аннулировано" и не реже одного раза в год подлежат уничтожению с составлением акта произвольной формы.

27. Ответственность за соблюдение требований по оформлению, выдаче, учету, хранению и уничтожению бланков удостоверений возлагается на руководителя территориального органа.

28. Выдача удостоверения адвоката, а также документа, подтверждающего статус адвоката (в случае изменения им членства в адвокатской палате), осуществляется бесплатно.

II. Требования к порядку исполнения государственной функции

Порядок информирования об исполнении государственной функции

29. Информация о порядке исполнения государственной функции предоставляется:

непосредственно в территориальных органах;

с использованием средств телефонной связи, электронного информирования, вычислительной и электронной техники;

посредством размещения в информационно-телекоммуникационных сетях общего пользования (в том числе в сети Интернет), публикации в средствах массовой информации, издания информационных материалов (брошюр, буклетов и т.п.).

30. Сведения о местонахождении, контактных телефонах (телефонах для справок), интернет-адресах, адресах электронной почты Росрегистрации и ее территориальных органов приводятся в приложении N 5 и размещаются:

на Интернет-сайтах Росрегистрации и ее территориальных органов;

на информационных стендах территориальных органов.

31. Сведения о графике (режиме) работы территориальных органов сообщаются по телефонам для справок, а также размещаются:

на интернет-сайтах Росрегистрации и ее территориальных органов;

на информационном стенде перед входом в здание, в котором располагается территориальный орган.

32. Информация о процедуре исполнения государственной функции сообщается по телефонам для справок, а также размещается в информационно-телекоммуникационных сетях общего пользования (в том числе в сети Интернет), на информационных стендах территориальных органов, публикуется в средствах массовой информации, в раздаточных информационных материалах (брошюрах, буклетах и т.п.).

33. На информационных стендах и интернет-сайтах территориальных органов размещается следующая информация:

извлечения из Закона и иных нормативных правовых актов, содержащих нормы, регулирующие деятельность по исполнению государственной функции;

текст Административного регламента с приложениями (полная версия на интернет-сайте и извлечения на информационных стендах);

блок-схемы (приложение N 6) и краткое описание порядка исполнения государственной функции;

уведомление квалификационной комиссии адвокатской палаты о присвоении статуса адвоката (приложение N 7);

уведомление совета адвокатской палаты о приеме адвоката в члены адвокатской палаты в связи с изменением адвокатом членства в адвокатской палате одного субъекта Российской Федерации на членство в адвокатской палате другого субъекта Российской Федерации (приложение N 8);

уведомление совета адвокатской палаты о приостановлении статуса адвоката (приложение N 9);

уведомление совета адвокатской палаты о возобновлении статуса адвоката (приложение N 10);

уведомление совета адвокатской палаты о прекращении статуса адвоката (приложение N 11);

уведомление совета адвокатской палаты об изменении адвокатом членства в адвокатской палате одного субъекта Российской Федерации на членство в адвокатской палате другого субъекта Российской Федерации (приложение N 12);

заявление адвоката о внесении изменений в региональный реестр при изменении адвокатом фамилии, имени и (или) отчества и перечень документов, необходимых для внесения данных изменений (приложение N 14);

заявление адвоката о выдаче нового удостоверения взамен утраченного или испорченного и перечень прилагаемых к нему документов (приложение N 15);

схема размещения специалистов и график (режим) приема документов, заявлений адвокатов о внесении в региональный реестр сведений в связи с изменением фамилии, имени и (или) отчества и о выдаче нового удостоверения адвоката взамен утраченного или испорченного;

порядок информирования о ходе исполнения государственной функции;

порядок получения консультаций (справок);

порядок обжалования решений, действий или бездействия должностных лиц, исполняющих государственную функцию.

На интернет-сайте территориального органа также размещается региональный реестр.

34. При ответах на телефонные звонки и устные обращения граждан специалисты территориального органа подробно и в вежливой (корректной) форме информируют обратившихся по интересующим их вопросам. Ответ на телефонный звонок должен начинаться с информации о наименовании органа, в который позвонил гражданин, фамилии, имени, отчестве и должности специалиста территориального органа, принявшего телефонный звонок.

Время разговора не должно превышать 10 минут.

При невозможности специалиста территориального органа, принявшего звонок, самостоятельно ответить на поставленные вопросы телефонный звонок должен быть переадресован (переведен) другому должностному лицу территориального органа или обратившемуся гражданину должен быть сообщен телефонный номер, по которому можно получить необходимую информацию.

35. Органы адвокатской палаты и адвокат имеют право на получение сведений о ходе исполнения государственной функции при помощи телефона, средств сети Интернет, электронной почты или посредством личного посещения территориального органа в любое время с момента поступления в территориальный орган следующих документов:

уведомления квалификационной комиссии адвокатской палаты о присвоении претенденту статуса адвоката;

уведомления совета адвокатской палаты о принятии адвоката в члены адвокатской палаты в связи с изменением членства в адвокатской палате;

уведомления совета адвокатской палаты о приостановлении статуса адвоката;

уведомления совета адвокатской палаты о возобновлении статуса адвоката;

уведомления совета адвокатской палаты о прекращении статуса адвоката;

уведомления совета адвокатской палаты об изменении адвокатом членства в адвокатской палате;

заявления адвоката о внесении в региональный реестр сведений в связи с изменением фамилии, имени и (или) отчества адвоката и выдаче удостоверения адвоката;

заявления адвоката о выдаче нового удостоверения взамен утраченного или испорченного.

Порядок получения консультаций (справок) об исполнении государственной функции

36. Консультации (справки) по вопросам исполнения государственной функции предоставляются специалистами, ответственными за ведение регионального реестра, в том числе специалистами территориального органа, специально выделенными для предоставления консультаций.

37. Консультации (справки) предоставляются по вопросам:

перечня документов, необходимых для исполнения государственной функции по внесению в региональный реестр сведений о присвоении статуса адвоката, приостановлении, возобновлении, прекращении статуса адвоката, сведений об адвокате в связи с изменением им членства в адвокатской палате, сведений об изменении адвокатом фамилии, имени и (или) отчества, исключении сведений об адвокате из регионального реестра в связи с изменением им членства в адвокатской палате, выдачи нового удостоверения адвокату взамен утраченного или испорченного, а также в случае изменения адвокатом фамилии, имени и (или) отчества;

времени приема и выдачи документов;

срока исполнения государственной функции по внесению в региональный реестр сведений, по выдаче удостоверения адвоката;

порядка обжалования решений, действий (бездействия), принимаемых и осуществляемых в ходе исполнения государственной функции;

сведений об адвокате, содержащихся в региональном реестре.

38. Консультации (справки) предоставляются при личном общении, посредством интернет-сайта, телефонной связи или электронной почты.

Консультации общего характера (о местонахождении, графике работы, требуемых документах и т.п.) могут предоставляться с использованием средств автоинформирования.

При автоинформировании обеспечивается круглосуточное предоставление справочной информации.

На письменное обращение о предоставлении сведений об адвокате, содержащихся в региональном реестре, направляется письменный ответ в произвольной форме.

Требования к местам для информирования, ожидания и приема заявителей

39. Места для информирования, предназначенные для ознакомления граждан с информационными материалами, оборудуются:

информационными стендами;

стульями и столами для оформления документов.

40. Площадь мест ожидания рассчитывается в зависимости от количества заявителей, ежедневно обращающихся в территориальный орган для исполнения государственной функции.

Места ожидания должны соответствовать комфортным условиям для граждан и оптимальным условиям работы специалистов.

41. Места для ожидания на предоставление или получение документов оборудуются стульями, кресельными секциями, скамьями (банкетками). Количество мест ожидания определяется исходя из фактической нагрузки и возможностей для их размещения в здании, но не может составлять менее 5 мест.

Места для заполнения заявлений оснащаются стульями, столами (стойками) и обеспечиваются образцами заявлений и канцелярскими принадлежностями.

42. В территориальных органах помещения для непосредственного взаимодействия специалистов, ответственных за ведение регионального реестра, с гражданами могут быть организованы в виде отдельных кабинетов либо в виде отдельных рабочих мест для каждого ведущего прием специалиста.

43. Кабинеты для приема граждан должны быть оборудованы информационными табличками (вывесками) с указанием:

номера кабинета;

фамилии, имени, отчества и должности специалиста, осуществляющего исполнение государственной функции;

времени перерыва на обед, технического перерыва.

44. Каждое рабочее место специалистов, ответственных за ведение регионального реестра, должно быть оборудовано персональным компьютером с возможностью доступа к необходимым информационным базам данных, печатающим и сканирующим устройством.

Обязательства территориальных органов в отношении графика (режима) работы с заявителями

45. Территориальные органы осуществляют прием заявителей в соответствии со следующим графиком:

понедельник 9.30 - 12.00, 13.30 - 17.00;

вторник 9.30 - 12.00, 13.30 - 17.00;

среда 9.30 - 12.00, 13.30 - 17.00;

четверг 9.30 - 12.00, 13.30 - 17.00;

пятница 9.30 - 12.00, 13.30 - 16.00.

При высокой нагрузке по решению руководителя территориального органа продолжительность времени и количество дней приема могут быть увеличены.

Заявители имеют право представления документов в заранее установленное время (по предварительной записи).

46. Время предоставления технического перерыва, перерыва для отдыха и питания специалистов, ответственных за ведение регионального реестра, устанавливается служебным распорядком с соблюдением графика (режима) работы с заявителями.

Сроки и результат исполнения государственной функции

47. Сроки исполнения государственной функции по ведению регионального реестра и выдаче адвокатам удостоверений не должны превышать:

для внесения в региональный реестр сведений о присвоении статуса адвоката - месяца со дня поступления уведомления квалификационной комиссии адвокатской палаты о присвоении претенденту статуса адвоката;

для внесения сведений об адвокате в региональный реестр в связи с изменением адвокатом членства в адвокатской палате одного субъекта Российской Федерации на членство в адвокатской палате другого субъекта Российской Федерации - месяца со дня поступления уведомления совета адвокатской палаты о приеме адвоката в члены адвокатской палаты;

для внесения в региональный реестр сведений о приостановлении статуса адвоката - 10 рабочих дней с момента поступления соответствующего уведомления совета адвокатской палаты;

для внесения в региональный реестр сведений о возобновлении статуса адвоката - 10 рабочих дней с момента поступления соответствующего уведомления совета адвокатской палаты;

для внесения в региональный реестр сведений о прекращении статуса адвоката - 10 рабочих дней с момента поступления соответствующего уведомления совета адвокатской палаты;

для исключения из регионального реестра сведений об адвокате, изменившем членство в адвокатской палате одного субъекта Российской Федерации на членство в адвокатской палате другого субъекта Российской Федерации, - месяца со дня поступления уведомления совета адвокатской палаты, в который поступило уведомление адвоката об изменении адвокатом членства в адвокатской палате;

для внесения в региональный реестр сведений об изменении фамилии, имени и (или) отчества адвоката - 10 рабочих дней со дня поступления заявления адвоката;

для выдачи адвокату нового удостоверения взамен утраченного или испорченного - 10 рабочих дней со дня поступления заявления адвоката.

При представлении органом адвокатской палаты или адвокатом документов повторно в случаях, предусмотренных пунктами 49 - 56 Административного регламента, срок исполнения государственной функции по ведению регионального реестра и выдаче адвокатам удостоверений не должен превышать:

для внесения в региональный реестр сведений о присвоении статуса адвоката - 10 рабочих дней со дня поступления уведомления квалификационной комиссии адвокатской палаты о присвоении претенденту статуса адвоката;

для внесения сведений об адвокате в региональный реестр в связи с изменением адвокатом членства в адвокатской палате одного субъекта Российской Федерации на членство в адвокатской палате другого субъекта Российской Федерации - 10 рабочих дней со дня поступления соответствующего уведомления совета адвокатской палаты;

для внесения в региональный реестр сведений о приостановлении статуса адвоката - 5 рабочих дней с момента поступления соответствующего уведомления совета адвокатской палаты;

для внесения в региональный реестр сведений о возобновлении статуса адвоката - 5 рабочих дней с момента поступления соответствующего уведомления совета адвокатской палаты;

для внесения в региональный реестр сведений о прекращении статуса адвоката - 5 рабочих дней с момента поступления соответствующего уведомления совета адвокатской палаты;

для исключения из регионального реестра сведений об адвокате, изменившем членство в адвокатской палате одного субъекта Российской Федерации на членство в адвокатской палате другого субъекта Российской Федерации, - 10 рабочих дней со дня поступления соответствующего уведомления совета адвокатской палаты, в который поступило уведомление адвоката об изменении адвокатом членства в адвокатской палате;

для внесения в региональный реестр сведений об изменении фамилии, имени и (или) отчества адвоката - 5 рабочих дней со дня поступления заявления адвоката;

для выдачи адвокату нового удостоверения взамен утраченного или испорченного - 5 рабочих дней со дня поступления заявления адвоката.

48. Окончанием исполнения государственной функции по ведению регионального реестра и (или) выдаче адвокату удостоверения при отсутствии оснований для отказа являются:

при внесении в региональный реестр сведений о присвоении статуса адвоката - внесение в региональный реестр соответствующих сведений и выдача адвокату удостоверения;

при внесении сведений об адвокате в региональный реестр в связи с изменением адвокатом членства в адвокатской палате одного субъекта Российской Федерации на членство в адвокатской палате другого субъекта Российской Федерации - внесение в региональный реестр соответствующих сведений и выдача адвокату удостоверения;

при внесении в региональный реестр сведений о приостановлении статуса адвоката - внесение в региональный реестр соответствующих сведений;

при внесении в региональный реестр сведений о возобновлении статуса адвоката - внесение в региональный реестр соответствующих сведений и выдача адвокату удостоверения, сданного в территориальный орган на период приостановления статуса адвоката;

при внесении в региональный реестр сведений о прекращении статуса адвоката - внесение в региональный реестр соответствующих сведений;

при исключении сведений об адвокате из регионального реестра в случае изменения им членства в адвокатской палате одного субъекта Российской Федерации на членство в адвокатской палате другого субъекта Российской Федерации - исключение из регионального реестра сведений и выдача адвокату документа, подтверждающего статус адвоката;

при внесении в региональный реестр сведений об изменении фамилии, имени и (или) отчества адвоката - внесение в региональный реестр соответствующих сведений и выдача адвокату нового удостоверения;

при выдаче адвокату удостоверения взамен утраченного или испорченного - выдача адвокату нового удостоверения.

Перечень оснований для отказа в исполнении государственной функции

49. Во внесении в региональный реестр сведений о присвоении статуса адвоката отказывается, если:

1) уведомление квалификационной комиссии адвокатской палаты представлено с нарушением порядка, предусмотренного пунктом 1 статьи 15 Закона, и (или) его содержание не соответствует приложению N 7;

2) на уведомлении квалификационной комиссии адвокатской палаты отсутствует подпись председателя квалификационной комиссии и (или) оттиск печати адвокатской палаты;

3) к уведомлению квалификационной комиссии адвокатской палаты не приложены документы, указанные в пункте 59 Административного регламента;

4) на выписке из протокола заседания квалификационной комиссии адвокатской палаты отсутствует подпись председателя квалификационной комиссии и (или) оттиск печати адвокатской палаты;

5) выписка из протокола заседания квалификационной комиссии не содержит сведений о составе присутствовавших на заседании членов квалификационной комиссии и наличии кворума, указания на факт голосования именными бюллетенями, результатов голосования, содержания принятого решения, сведений о наличии особого мнения члена квалификационной комиссии (если особое мнение заявлялось);

6) из представленных копии трудовой книжки и (или) копий иных документов, подтверждающих стаж работы по юридической специальности, следует, что у лица, которому присвоен статус адвоката, отсутствует двухлетний стаж работы по специальности и (или) стаж работы в качестве стажера адвоката (пункт 1 статьи 9 и пункт 1 статьи 28 Закона);

7) из представленной копии документа, подтверждающего высшее юридическое образование, следует, что данное образование получено в образовательном учреждении высшего профессионального образования, не имеющем государственной аккредитации (пункт 1 статьи 9 Закона);

8) из представленной копии документа, подтверждающего наличие ученой степени (в случае, если копия данного документа представлена вместо копии документа, подтверждающего высшее юридическое образование), следует, что данная ученая степень присвоена претенденту не по юридической специальности (пункт 1 статьи 9 Закона);

9) установлена недостоверность сведений, представленных в квалификационную комиссию претендентом на получение статуса адвоката, и (или) выявлены обстоятельства, предусмотренные пунктом 2 статьи 9 Закона (лицо признано недееспособным или ограниченно дееспособным в установленном законодательством Российской Федерации порядке, имеет непогашенную или неснятую судимость за совершение умышленного преступления).

При устранении причин, послуживших в соответствии с подпунктами 1 - 5 настоящего пункта основаниями для отказа во внесении в региональный реестр сведений о присвоении статуса адвоката, квалификационная комиссия адвокатской палаты вправе представить документы повторно.

50. Во внесении в региональный реестр сведений об адвокате в связи с изменением адвокатом членства в адвокатской палате одного субъекта Российской Федерации на членство в адвокатской палате другого субъекта Российской Федерации отказывается, если:

1) уведомление совета адвокатской палаты представлено с нарушением порядка, предусмотренного пунктом 5 статьи 15 Закона, и (или) его содержание не соответствует приложению N 8;

2) установлена недостоверность сведений, являющихся основанием для исключения из регионального реестра сведений об адвокате в связи с принятием советом адвокатской палаты решения об изменении адвокатом членства в адвокатской палате одного субъекта Российской Федерации на членство в адвокатской палате другого субъекта Российской Федерации.

При устранении причин, послуживших в соответствии с подпунктом 1 настоящего пункта основанием для отказа во внесении в региональный реестр сведений об адвокате в связи с изменением адвокатом членства в адвокатской палате одного субъекта Российской Федерации на членство в адвокатской палате другого субъекта Российской Федерации, совет адвокатской палаты вправе представить документы повторно.

51. Во внесении в региональный реестр сведений о приостановлении статуса адвоката отказывается, если:

1) уведомление совета адвокатской палаты представлено с нарушением порядка, предусмотренного пунктами 1, 4, 6 статьи 16 Закона, и (или) его содержание не соответствует приложению N 9;

2) к уведомлению совета адвокатской палаты не приложена копия документа, подтверждающего наличие одного из оснований для приостановления статуса адвоката, предусмотренных пунктом 1 статьи 16 Закона;

3) из копии документа, служащего основанием для приостановления статуса адвоката, не усматривается наличие одного из оснований, предусмотренных подпунктами 1 - 4 пункта 1 и пунктом 2 статьи 16 Закона:

из копии документа представительного (законодательного) федерального органа государственной власти или органа государственной власти субъекта Российской Федерации либо копии документа органа местного самоуправления не следует, что адвокат избран в орган государственной власти или орган местного самоуправления на период работы на постоянной основе;

из копии документа, представленного адвокатом в совет адвокатской палаты (справка о болезни адвоката либо членов его семьи и т.д.), не усматривается неспособность адвоката более шести месяцев исполнять свои профессиональные обязанности;

из копии документа военного комиссариата не усматривается факт призыва адвоката на военную службу;

из копии решения суда не следует, что адвокат признан безвестно отсутствующим, а также если решение суда не вступило в законную силу;

из копии решения суда не усматривается, что к адвокату применены принудительные меры медицинского характера, а также если решение суда не вступило в законную силу.

При устранении причин, послуживших в соответствии с подпунктами 1 - 2 настоящего пункта основаниями для отказа во внесении в региональный реестр сведений о приостановлении статуса адвоката, совет адвокатской палаты вправе представить документы повторно.

52. Во внесении в региональный реестр сведений о возобновлении статуса адвоката отказывается, если:

1) уведомление совета адвокатской палаты представлено с нарушением порядка, предусмотренного пунктом 5 статьи 15 Закона, и (или) его содержание не соответствует приложению N 10;

2) из копии заявления адвоката о возобновлении статуса адвоката не усматривается факт прекращения оснований, послуживших поводом для приостановления статуса адвоката (пункты 1 и 2 статьи 16 Закона);

3) копия заявления адвоката не заверена подписью президента адвокатской палаты и оттиском печати адвокатской палаты.

При устранении причин, послуживших в соответствии с подпунктами 1 и 3 настоящего пункта основанием для отказа во внесении в региональный реестр сведений о возобновлении статуса адвоката, совет адвокатской палаты вправе представить документы повторно.

53. Во внесении в региональный реестр сведений о прекращении статуса адвоката отказывается, если:

1) уведомление совета адвокатской палаты представлено с нарушением порядка, предусмотренного пунктами 1, 2, 4 статьи 17 Закона, и (или) его содержание не соответствует приложению N 11;

2) к уведомлению совета адвокатской палаты, принявшего решение о прекращении статуса адвоката, не приложены копии решения совета адвокатской палаты о прекращении статуса;

3) копия решения совета адвокатской палаты о прекращении статуса адвоката, уведомление совета адвокатской палаты о прекращении статуса адвоката, выписка из протокола заседания квалификационной комиссии адвокатской палаты, копия личного заявления адвоката не заверены подписью президента адвокатской палаты и оттиском печати адвокатской палаты;

4) из выписки из протокола заседания квалификационной комиссии не усматривается информация о составе присутствовавших на заседании членов квалификационной комиссии и наличии кворума, о голосовании именными бюллетенями, о результатах голосования, о содержании принятого решения, сведения о наличии особого мнения члена квалификационной комиссии.

При устранении причин, послуживших в соответствии с настоящим пунктом основаниями для отказа во внесении в региональный реестр сведений о прекращении статуса адвоката, совет адвокатской палаты вправе представить документы повторно.

54. В исключении из регионального реестра сведений об адвокате, изменившем членство в адвокатской палате одного субъекта Российской Федерации на членство в адвокатской палате другого субъекта Российской Федерации, отказывается, если:

1) уведомление совета адвокатской палаты представлено с нарушением порядка, предусмотренного пунктом 5 статьи 15 Закона, и (или) его содержание не соответствует приложению N 12;

2) установлена недостоверность сведений, являющихся основанием для исключения из регионального реестра сведений об адвокате в связи с принятием советом адвокатской палаты решения об изменении адвокатом членства в адвокатской палате одного субъекта Российской Федерации на членство в адвокатской палате другого субъекта Российской Федерации.

При устранении причин, послуживших в соответствии с подпунктом 1 настоящего пункта основанием для отказа в исключении из регионального реестра сведений об адвокате, изменившем членство в адвокатской палате одного субъекта Российской Федерации на членство в адвокатской палате другого субъекта Российской Федерации, совет адвокатской палаты вправе представить документы повторно.

55. Во внесении в региональный реестр сведений об изменении адвокатом фамилии, имени и (или) отчества отказывается, если:

1) содержание заявления адвоката не соответствует приложению N 14;

2) адвокатом не представлена копия свидетельства о государственной регистрации акта гражданского состояния, подтверждающая изменение фамилии, имени и (или) отчества;

3) установлена недостоверность сведений, являющихся основаниями для внесения в региональный реестр сведений об изменении адвокатом фамилии, имени и (или) отчества.

При устранении причин, послуживших в соответствии с подпунктами 1 - 2 настоящего пункта основаниями для отказа во внесении в региональный реестр сведений об изменении адвокатом фамилии, имени и (или) отчества, адвокат вправе представить документы повторно.

56. В выдаче адвокату нового удостоверения взамен утраченного или испорченного отказывается, если:

1) содержание заявления адвоката не соответствует приложению N 15;

2) в случае утраты удостоверения в результате противоправных действий третьих лиц адвокатом не представлена копия документа, подтверждающего обращение адвоката по факту утраты удостоверения в правоохранительные органы;

3) адвокатом не представлено удостоверение в случае его порчи;

4) из представленного адвокатом удостоверения не усматривается факт его порчи.

При устранении причин, послуживших в соответствии с подпунктами 1 - 3 настоящего пункта основаниями для отказа в выдаче адвокату нового удостоверения, адвокат вправе представить документы повторно.

57. В соответствии с пунктом 7 статьи 15 Закона невнесение сведений об адвокате в региональный реестр либо невыдача адвокату удостоверения могут быть обжалованы в суд.

III. Административные процедуры

А. Внесение в региональный реестр сведений об адвокате в связи с присвоением статуса адвоката и выдача адвокату удостоверения

Последовательность административных процедур

58. Исполнение государственной функции по внесению в региональный реестр сведений об адвокате в связи с присвоением статуса адвоката и выдаче адвокату удостоверения включает в себя следующие административные процедуры:

прием и регистрация представленных в территориальный орган уведомления квалификационной комиссии адвокатской палаты о присвоении претенденту статуса адвоката и прилагаемых к нему документов;

изучение документов, необходимых для внесения сведений в региональный реестр, на предмет их соответствия требованиям, предъявляемым Законом и Административным регламентом;

издание распоряжения территориального органа о внесении в региональный реестр сведений об адвокате в связи с присвоением претенденту статуса адвоката;

внесение в региональный реестр сведений об адвокате;

выдача адвокату удостоверения;

отказ во внесении сведений в региональный реестр.

Перечень документов, необходимых для исполнения государственной функции

59. Для внесения в региональный реестр сведений об адвокате в связи с присвоением статуса адвоката и выдачи адвокату удостоверения квалификационной комиссией адвокатской палаты в территориальный орган представляются следующие документы:

уведомление о присвоении претенденту статуса адвоката (приложение N 7);

выписка из протокола заседания квалификационной комиссии адвокатской палаты;

копия анкеты, содержащей биографические сведения о претенденте, успешно сдавшем квалификационный экзамен;

копия трудовой книжки или иные документы, подтверждающие стаж работы по юридической специальности и (или) работу в качестве стажера адвоката;

копия документа, подтверждающего наличие высшего юридического образования, полученного в образовательном учреждении высшего профессионального образования, имеющем государственную аккредитацию, либо ученой степени по юридической специальности;

фотография претендента, успешно сдавшего квалификационный экзамен.

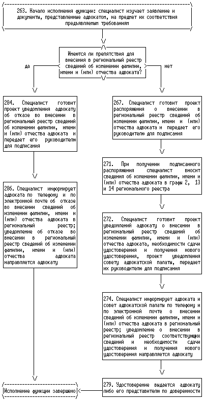
Требования к документам, представляемым квалификационной комиссией адвокатской палаты

60. Уведомление квалификационной комиссии адвокатской палаты о присвоении претенденту, успешно сдавшему квалификационный экзамен, статуса адвоката представляется в одном подлинном экземпляре.

Уведомление квалификационной комиссии адвокатской палаты должно быть выполнено на бланке адвокатской палаты машинописным способом или распечатано посредством электронных печатающих устройств, подписано председателем квалификационной комиссии адвокатской палаты и заверено оттиском печати адвокатской палаты.

61. Выписка из протокола заседания квалификационной комиссии адвокатской палаты представляется в одном экземпляре, отдельно по каждому адвокату. Выписка из протокола заседания квалификационной комиссии адвокатской палаты подписывается председателем квалификационной комиссии и заверяется оттиском печати адвокатской палаты.

62. Выписка из протокола заседания квалификационной комиссии адвокатской палаты должна содержать сведения о составе присутствовавших на заседании членов квалификационной комиссии, наличии кворума, указание на факт голосования именными бюллетенями, результаты голосования, содержание принятого решения, сведения о наличии особого мнения члена квалификационной комиссии.

63. Фотография размером 3 x 4 см представляется в цветном или черно-белом варианте, без светлого угла, на матовой тонкой фотобумаге (бюст, анфас, без головного убора). Допускается представление фотографий в головных уборах, не скрывающих овал лица, гражданами, религиозные убеждения которых не позволяют показываться перед посторонними лицами без головных уборов.

Прием и регистрация документов, представляемых квалификационной комиссией адвокатской палаты

64. Основанием для начала исполнения государственной функции по внесению сведений об адвокате в региональный реестр является получение территориальным органом уведомления квалификационной комиссии адвокатской палаты и иных документов, указанных в пункте 59 Административного регламента.

Уведомление квалификационной комиссии и документы, указанные в пункте 59 Административного регламента, должны быть представлены в территориальный орган не позднее семи дней со дня принятия квалификационной комиссией адвокатской палаты решения о присвоении претенденту статуса адвоката.

65. Документы, представленные в территориальный орган квалификационной комиссией адвокатской палаты, регистрируются и передаются специалисту, ответственному за ведение регионального реестра.

Изучение документов, необходимых для внесения сведений в региональный реестр на предмет их соответствия требованиям, предъявляемым Законом и Административным регламентом

66. Основанием для начала административной процедуры по изучению документов, необходимых для внесения сведений в региональный реестр, является поступление документов, указанных в пункте 59 Административного регламента, к специалисту, ответственному за ведение регионального реестра.

67. Специалист, ответственный за ведение регионального реестра, при поступлении документов проверяет следующие факты:

1) оформлено ли уведомление квалификационной комиссии адвокатской палаты в соответствии с порядком, установленным пунктом 1 статьи 15 Закона, и приложением N 7;

2) имеется ли на уведомлении квалификационной комиссии адвокатской палаты подпись председателя квалификационной комиссии и оттиск печати адвокатской палаты;

3) имеется ли на выписке из протокола заседания квалификационной комиссии адвокатской палаты подпись председателя квалификационной комиссии и оттиск печати адвокатской палаты;

4) содержит ли выписка из протокола заседания квалификационной комиссии сведения о составе присутствовавших на заседании членов квалификационной комиссии и наличии кворума, указание на факт голосования именными бюллетенями, результаты голосования, содержание принятого решения, сведения о наличии особого мнения члена квалификационной комиссии (в случае, если особое мнение заявлялось);

5) усматривается ли из представленных копии трудовой книжки или копий иных документов, подтверждающих стаж работы по юридической специальности и (или) стаж работы в качестве стажера адвоката, наличие у лица, которому присвоен статус адвоката, необходимого стажа работы по специальности либо стажа работы в качестве стажера адвоката (пункт 1 статьи 9 и пункт 1 статьи 28 Закона);

6) следует ли из представленной копии документа, подтверждающего наличие высшего юридического образования, что данное образование получено в образовательном учреждении высшего профессионального образования, имеющем государственную аккредитацию (пункт 1 статьи 9 Закона);

7) следует ли из представленной копии документа, подтверждающего наличие ученой степени (в случае, если копия данного документа представлена вместо копии документа, подтверждающего наличие высшего юридического образования), что данная ученая степень присвоена претенденту по юридической специальности (пункт 1 статьи 9 Закона).

68. Специалист, ответственный за ведение регионального реестра, вправе также проверить сведения, представленные в квалификационную комиссию адвокатской палаты претендентом на получение статуса адвоката, на предмет их достоверности и (или) выявления обстоятельств, предусмотренных пунктом 2 статьи 9 Закона.

69. По результатам проведенной проверки уведомления квалификационной комиссии адвокатской палаты и иных документов специалист, ответственный за ведение регионального реестра, принимает одно из следующих решений:

о подготовке проекта распоряжения территориального органа о внесении в региональный реестр сведений об адвокате в связи с присвоением статуса адвоката;

о подготовке проекта уведомления в квалификационную комиссию адвокатской палаты об отказе во внесении сведений в региональный реестр.

Решение о подготовке проекта распоряжения территориального органа или проекта уведомления в квалификационную комиссию адвокатской палаты об отказе во внесении сведений в региональный реестр принимается в день завершения проверки.

70. Общий срок изучения представленных квалификационной комиссией адвокатской палаты документов не должен превышать пятнадцати рабочих дней, а при представлении квалификационной комиссией документов повторно (пункт 49 Административного регламента) - трех рабочих дней.

Издание распоряжения территориального органа о внесении в региональный реестр сведений об адвокате в связи с присвоением статуса адвоката

71. При соответствии содержания и перечня документов требованиям, предъявляемым Законом и Административным регламентом, специалист, ответственный за ведение регионального реестра, готовит проект распоряжения территориального органа о внесении в региональный реестр сведений об адвокате в связи с присвоением статуса адвоката и передает проект распоряжения с приложением документов, указанных в пункте 59 Административного регламента, руководителю территориального органа (лицу, исполняющему его обязанности) для подписания.

Максимальный срок выполнения действия составляет 30 минут.

72. Распоряжение территориального органа должно содержать следующие реквизиты и сведения:

наименование территориального органа;

дату издания и регистрационный номер распоряжения;

фамилию, имя, отчество (последнее - при наличии) адвоката, сведения о котором вносятся в региональный реестр;

ссылку на соответствующее уведомление квалификационной комиссии адвокатской палаты (с указанием его реквизитов);

подпись руководителя территориального органа (лица, исполняющего его обязанности).

73. Руководитель территориального органа (лицо, исполняющее его обязанности) подписывает распоряжение о внесении сведений в региональный реестр, которое передается специалисту, ответственному за ведение регионального реестра.

Максимальный срок выполнения действия составляет два рабочих дня, а при представлении советом адвокатской палаты документов повторно (пункт 49 Административного регламента) - один рабочий день.

Внесение в региональный реестр сведений об адвокате

74. При получении подписанного распоряжения территориального органа о внесении в региональный реестр сведений об адвокате в связи с присвоением статуса адвоката специалист, ответственный за ведение регионального реестра, вносит следующие сведения в графы 1 - 4 регионального реестра:

в графу 1 - регистрационный номер адвоката в соответствии с пунктом 13 Административного регламента;

в графу 2 - фамилию, имя, отчество (последнее - при наличии) адвоката;

в графу 3 - реквизиты решения квалификационной комиссии адвокатской палаты о присвоении претенденту статуса адвоката;

в графу 4 - реквизиты распоряжения территориального органа о внесении сведений в региональный реестр.

Максимальный срок выполнения действия составляет 30 минут.

75. После внесения сведений в региональный реестр специалист, ответственный за ведение регионального реестра, готовит проект уведомления претенденту, успешно сдавшему квалификационный экзамен, о внесении сведений о присвоении статуса адвоката в региональный реестр и необходимости получения удостоверения и передает проект уведомления на подпись руководителю территориального органа (лицу, исполняющему его обязанности).

Максимальный срок выполнения действия составляет 30 минут.

76. Руководитель территориального органа (лицо, исполняющее его обязанности) подписывает уведомление, которое передается специалисту, ответственному за ведение регионального реестра.

Максимальный срок выполнения действия составляет два рабочих дня.

77. Специалист, ответственный за ведение регионального реестра, информирует претендента, которому присвоен статус адвоката, по телефону и по электронной почте (при указании номера телефона и адреса электронной почты претендента в уведомлении квалификационной комиссии адвокатской палаты) о внесении сведений об адвокате в региональный реестр и необходимости получения удостоверения и согласовывает порядок вручения удостоверения.

Уведомление о внесении соответствующих сведений в региональный реестр и необходимости получения удостоверения направляется претенденту, которому присвоен статус адвоката.

78. Распоряжение территориального органа о внесении сведений в региональный реестр, копия уведомления о внесении соответствующих сведений в региональный реестр и необходимости получения удостоверения, а также документы, указанные в пункте 59 Административного регламента (кроме фотографии), формируются в реестровое дело адвоката.

Выдача адвокату удостоверения

79. После внесения в региональный реестр сведений об адвокате в связи с присвоением статуса адвоката специалист, ответственный за ведение регионального реестра, оформляет удостоверение адвоката в соответствии с порядком, установленным пунктами 21 - 23 Административного регламента.

На внутреннюю сторону удостоверения наклеивается фотография адвоката.

Оформленное удостоверение специалист, ответственный за ведение регионального реестра, передает руководителю территориального органа (лицу, исполняющему его обязанности) для подписания.

Максимальный срок выполнения действия составляет 30 минут.

80. При получении подписанного удостоверения в нижнем левом углу правой внутренней стороны удостоверения и на левой стороне на правом нижнем углу фотографии специалист, ответственный за ведение регионального реестра, помещает оттиски малой выжимной металлической печати с изображением Государственного герба Российской Федерации, используемой при оформлении служебных удостоверений федеральных государственных гражданских служащих Росрегистрации, при этом используется мастика красного цвета.

Максимальный срок выполнения действия составляет 5 минут.

81. Удостоверение выдается адвокату либо его представителю на основании доверенности, оформленной в порядке, установленном законодательством Российской Федерации.

82. При выдаче удостоверения специалист, ответственный за ведение регионального реестра, вносит в графы 1 - 4 книги учета выдачи удостоверений адвокатов следующие записи:

в графу 1 - номер удостоверения;

в графу 2 - реквизиты распоряжения территориального органа о внесении сведений в региональный реестр;

в графу 3 - фамилию, имя, отчество (последнее - при наличии) адвоката;

в графу 4 - дату выдачи удостоверения.

Правильность заполнения удостоверения сверяется с данными документа, удостоверяющего личность адвоката (если удостоверение выдается представителю адвоката - с данными, указанными в доверенности). За полученное удостоверение адвокат (его представитель) расписывается в графе 5 книги учета выдачи удостоверений адвокатов. Если удостоверение выдано представителю адвоката, в графе 5 книги учета выдачи удостоверений адвокатов также указываются фамилия и инициалы представителя, слова "по доверенности" и реквизиты доверенности. Доверенность помещается в реестровое дело адвоката.

Максимальный срок выполнения действия составляет 30 минут.

Отказ во внесении сведений в региональный реестр

83. Во внесении в региональный реестр сведений об адвокате в связи с присвоением статуса адвоката может быть отказано по основаниям, установленным пунктом 49 Административного регламента.

84. Отказ во внесении в региональный реестр сведений об адвокате в связи с присвоением статуса адвоката оформляется в виде уведомления в адрес квалификационной комиссии адвокатской палаты и уведомления претенденту, успешно сдавшему квалификационный экзамен.

85. Специалист, ответственный за ведение регионального реестра, готовит проекты уведомлений в квалификационную комиссию и претенденту, успешно сдавшему квалификационный экзамен, об отказе во внесении в региональный реестр сведений о присвоении статуса адвоката с указанием причин отказа и передает проекты уведомлений с приложением документов, указанных в пункте 59 Административного регламента, руководителю территориального органа (лицу, исполняющему его обязанности) для подписания.

Максимальный срок выполнения действия составляет 30 минут.

86. Руководитель территориального органа (лицо, исполняющее его обязанности) подписывает уведомления об отказе во внесении сведений в региональный реестр, которые передаются специалисту, ответственному за ведение регионального реестра.

Максимальный срок выполнения действия составляет два рабочих дня.

87. Специалист, ответственный за ведение регионального реестра, информирует квалификационную комиссию адвокатской палаты по телефону и по электронной почте (при указании адреса электронной почты на бланке адвокатской палаты) об отказе во внесении сведений в региональный реестр об адвокате в связи с присвоением статуса.

88. Уведомления направляются в квалификационную комиссию адвокатской палаты и претенденту, успешно сдавшему квалификационный экзамен.

89. Документы, указанные в пункте 59 Административного регламента, и копии уведомлений об отказе формируются в дело.

Б. Внесение сведений об адвокате в региональный реестр в связи с изменением адвокатом членства в адвокатской палате одного субъекта Российской Федерации на членство в адвокатской палате другого субъекта Российской Федерации и выдача адвокату удостоверения

Последовательность административных процедур

90. Исполнение государственной функции по внесению сведений об адвокате в региональный реестр в связи с изменением адвокатом членства в адвокатской палате одного субъекта Российской Федерации на членство в адвокатской палате другого субъекта Российской Федерации и выдача адвокату удостоверения включает в себя следующие административные процедуры:

прием и регистрация представленных в территориальный орган уведомления совета адвокатской палаты о принятии советом адвокатской палаты решения о приеме адвоката в члены адвокатской палаты в связи с изменением адвокатом членства в адвокатской палате одного субъекта Российской Федерации на членство в адвокатской палате другого субъекта Российской Федерации и прилагаемых к нему документов;

изучение документов, необходимых для внесения сведений в региональный реестр, на предмет их соответствия требованиям, предъявляемым Законом и Административным регламентом;

издание распоряжения территориального органа о внесении в региональный реестр сведений об адвокате при приеме адвоката в члены адвокатской палаты в случае изменения им членства в адвокатской палате одного субъекта Российской Федерации на членство в адвокатской палате другого субъекта Российской Федерации;

внесение в региональный реестр сведений об адвокате;

выдача адвокату удостоверения;

отказ во внесении в региональный реестр сведений.

Перечень документов, необходимых для исполнения государственной функции

91. Для внесения в региональный реестр сведений об адвокате в связи с изменением адвокатом членства в адвокатской палате одного субъекта Российской Федерации на членство в адвокатской палате другого субъекта Российской Федерации и выдачи удостоверения советом адвокатской палаты в территориальный орган представляются следующие документы:

уведомление совета адвокатской палаты о принятии советом адвокатской палаты решения о приеме адвоката в члены адвокатской палаты в связи с изменением адвокатом членства в адвокатской палате одного субъекта Российской Федерации на членство в адвокатской палате другого субъекта Российской Федерации;

фотография адвоката.

Требования к документам, представляемым советом адвокатской палаты

92. Уведомление совета адвокатской палаты о принятии советом адвокатской палаты решения о приеме адвоката в члены адвокатской палаты в связи с изменением адвокатом членства в адвокатской палате одного субъекта Российской Федерации на членство в адвокатской палате другого субъекта Российской Федерации представляется в одном подлинном экземпляре.

93. Уведомление совета адвокатской палаты должно быть выполнено в соответствии с приложением N 8 на бланке адвокатской палаты машинописным способом или распечатано посредством электронных печатающих устройств, подписано президентом адвокатской палаты и заверено оттиском печати адвокатской палаты.

94. Фотография адвоката должна соответствовать требованиям, установленным пунктом 63 Административного регламента.

Прием и регистрация документов, представляемых советом адвокатской палаты

95. Основанием для начала исполнения государственной функции по внесению сведений об адвокате в региональный реестр и выдаче адвокату удостоверения является представление советом адвокатской палаты в территориальный орган документов, указанных в пункте 91 Административного регламента.

96. Уведомление совета адвокатской палаты должно быть представлено в территориальный орган в десятидневный срок со дня принятия соответствующего решения.

97. Документы, представленные в территориальный орган советом адвокатской палаты, регистрируются и передаются специалисту, ответственному за ведение регионального реестра.

Изучение документов, необходимых для внесения сведений в региональный реестр, на предмет их соответствия требованиям, предъявляемым Законом и Административным регламентом

98. Основанием для начала административной процедуры по изучению документов, необходимых для внесения сведений в региональный реестр, является поступление документов, указанных в пункте 91 Административного регламента, к специалисту, ответственному за ведение регионального реестра.

99. Специалист, ответственный за ведение регионального реестра, проверяет соответствие уведомления совета адвокатской палаты требованиям, предъявляемым Законом и Административным регламентом.

100. При поступлении в территориальный орган уведомления совета адвокатской палаты специалист, ответственный за ведение регионального реестра, проверяет, оформлено ли оно в соответствии с порядком, установленным пунктом 5 статьи 15 Закона, и приложением N 8.

101. При соответствии содержания и перечня документов требованиям, предъявляемым Законом и Административным регламентом, специалист, ответственный за ведение регионального реестра, подготавливает проект запроса копии реестрового дела в территориальный орган, исключивший сведения об адвокате из регионального реестра, и передает проект запроса руководителю территориального органа (лицу, исполняющему его обязанности) для подписания.

Максимальный срок выполнения действия составляет 30 минут.

102. Руководитель территориального органа (лицо, исполняющее его обязанности) подписывает запрос.

Максимальный срок выполнения действия составляет два рабочих дня.

103. Территориальный орган, исключивший сведения об адвокате из регионального реестра, обязан направить копию реестрового дела адвоката не позднее пяти дней со дня получения запроса.

104. По результатам проведенной проверки специалист, ответственный за ведение регионального реестра, принимает одно из следующих решений:

о подготовке проекта распоряжения территориального органа о внесении в региональный реестр сведений об адвокате в связи с изменением адвокатом членства в адвокатской палате одного субъекта Российской Федерации на членство в адвокатской палате другого субъекта Российской Федерации;

о подготовке проекта уведомления в совет адвокатской палаты, принявший решение о приеме адвоката в члены данной адвокатской палаты, об отказе во внесении сведений в региональный реестр.

105. Решение о подготовке проекта распоряжения территориального органа или проекта уведомления в совет адвокатской палаты об отказе во внесении сведений в региональный реестр принимается в день завершения проверки.

106. Общий срок изучения представленных советом адвокатской палаты документов не должен превышать пятнадцати рабочих дней, а при представлении советом адвокатской палаты документов повторно (пункт 50 Административного регламента) - трех рабочих дней.

Издание распоряжения территориального органа о внесении сведений об адвокате в региональный реестр

107. При соответствии содержания и перечня документов требованиям, предъявляемым Законом и Административным регламентом, специалист, ответственный за ведение регионального реестра, готовит проект распоряжения территориального органа о внесении в региональный реестр сведений об адвокате и передает проект распоряжения с приложением документов, указанных в пункте 91 Административного регламента, руководителю территориального органа (лицу, исполняющему его обязанности) для подписания.

Максимальный срок выполнения действия составляет 30 минут.

108. Распоряжение территориального органа должно содержать реквизиты и сведения, установленные пунктом 72 Административного регламента.

109. Руководитель территориального органа (лицо, исполняющее его обязанности) подписывает распоряжение о внесении сведений в региональный реестр и передает специалисту, ответственному за ведение регионального реестра.

Максимальный срок выполнения действия составляет два рабочих дня, а при представлении советом адвокатской палаты документов повторно (пункт 50 Административного регламента) - один рабочий день.

Внесение в региональный реестр сведений об адвокате

110. При получении подписанного распоряжения территориального органа о внесении в региональный реестр сведений об адвокате в связи с изменением членства в адвокатской палате специалист, ответственный за ведение регионального реестра, вносит следующие сведения в графы 1 - 4 регионального реестра:

в графу 1 - регистрационный номер адвоката, проставляемый в соответствии с пунктом 13 Административного регламента;

в графу 2 - фамилию, имя, отчество (последнее - при наличии) адвоката;

в графу 3 - реквизиты решения совета адвокатской палаты о приеме адвоката в члены адвокатской палаты;

в графу 4 - реквизиты распоряжения территориального органа о внесении сведений в региональный реестр.

Максимальный срок выполнения действия составляет 30 минут.

111. После внесения сведений в региональный реестр специалист, ответственный за ведение регионального реестра, готовит проект уведомления адвокату о внесении сведений в региональный реестр и необходимости получения удостоверения и передает проект уведомления на подпись руководителю территориального органа (лицу, исполняющему его обязанности).

Максимальный срок выполнения действия составляет два рабочих дня.

112. Руководитель территориального органа (лицо, исполняющее его обязанности) подписывает уведомление, которое передается специалисту, ответственному за ведение регионального реестра.

Максимальный срок выполнения действия составляет два рабочих дня.

113. Специалист, ответственный за ведение регионального реестра, информирует адвоката по телефону и по электронной почте (при указании номера телефона и адреса электронной почты адвоката в уведомлении совета адвокатской палаты) о внесении сведений в региональный реестр в связи с изменением адвокатом членства в адвокатской палате и необходимости получения удостоверения, согласовывает порядок вручения удостоверения.

Уведомление о внесении соответствующих сведений в региональный реестр и необходимости получения удостоверения направляется адвокату.

114. Распоряжение территориального органа о внесении сведений в региональный реестр, копии документов реестрового дела адвоката, поступившие из территориального органа, исключившего сведения об адвокате из регионального реестра, уведомление совета адвокатской палаты о принятии советом адвокатской палаты решения о приеме адвоката в члены адвокатской палаты в связи с изменением адвокатом членства в адвокатской палате одного субъекта Российской Федерации на членство в адвокатской палате другого субъекта Российской Федерации, копия уведомления адвокату о внесении сведений в региональный реестр и необходимости получения удостоверения, доверенность (если удостоверение адвоката было выдано представителю адвоката) формируются в реестровое дело адвоката.

Выдача адвокату удостоверения

115. После внесения в региональный реестр сведений об адвокате специалист, ответственный за ведение регионального реестра, оформляет удостоверение адвоката в соответствии с порядком, установленным пунктами 21 - 23 Административного регламента. На внутреннюю сторону удостоверения наклеивается фотография адвоката.

116. Оформленное удостоверение специалист, ответственный за ведение регионального реестра, передает руководителю территориального органа (лицу, исполняющему его обязанности) для подписания.

Максимальный срок выполнения действия составляет 30 минут.

117. При получении подписанного удостоверения в нижнем левом углу правой внутренней стороны удостоверения и на левой стороне на правом нижнем углу фотографии специалист, ответственный за ведение регионального реестра, помещает оттиски малой выжимной металлической печати с изображением Государственного герба Российской Федерации, используемой при оформлении служебных удостоверений федеральных государственных гражданских служащих Росрегистрации, при этом используется мастика красного цвета.

Максимальный срок выполнения действия составляет 5 минут.

118. Удостоверение выдается адвокату либо его представителю по доверенности, оформленной в порядке, установленном законодательством Российской Федерации.

119. При выдаче удостоверения специалист, ответственный за ведение регионального реестра, вносит следующие сведения в графы 1 - 4 книги учета выдачи удостоверений адвокатов:

в графу 1 - номер удостоверения;

в графу 2 - реквизиты распоряжения территориального органа о внесении сведений в региональный реестр;

в графу 3 - фамилию, имя, отчество (последнее - при наличии) адвоката;

в графу 4 - дату выдачи удостоверения.

120. Правильность заполнения удостоверения сверяется с данными документа, удостоверяющего личность адвоката (если удостоверение выдается представителю адвоката - с данными, указанными в доверенности). За полученное удостоверение адвокат (его представитель) расписывается в графе 5 книги учета выдачи удостоверений адвокатов. Если удостоверение выдано представителю адвоката, в графе 5 книги учета выдачи удостоверений адвокатов также указываются фамилия и инициалы представителя, слова "по доверенности" и реквизиты доверенности. Доверенность помещается в реестровое дело адвоката.

Максимальный срок выполнения действия составляет 15 минут.

Отказ во внесении сведений в региональный реестр

121. Во внесении в региональный реестр сведений об адвокате в связи с изменением адвокатом членства в адвокатской палате одного субъекта Российской Федерации на членство в адвокатской палате другого субъекта Российской Федерации может быть отказано по основаниям, установленным пунктом 50 Административного регламента.

122. Отказ оформляется в виде уведомления в адрес совета адвокатской палаты и уведомления адвокату.

123. Специалист, ответственный за ведение регионального реестра, готовит проекты уведомлений об отказе во внесении в региональный реестр сведений об адвокате в совет адвокатской палаты, принявшей решение о приеме адвоката в члены адвокатской палаты в связи с изменением им членства в адвокатской палате, и адвокату с указанием причин отказа, а также передает проекты уведомлений с приложением документов, указанных в пункте 91 Административного регламента, руководителю территориального органа (лицу, исполняющему его обязанности) для подписания.

Максимальный срок выполнения действия составляет 30 минут.

124. Руководитель территориального органа (лицо, исполняющее его обязанности) подписывает уведомления об отказе во внесении сведений в региональный реестр, которые передаются специалисту, ответственному за ведение регионального реестра.

Максимальный срок выполнения действия составляет два рабочих дня.

125. Специалист, ответственный за ведение регионального реестра, информирует совет адвокатской палаты по телефону и по электронной почте (при указании на бланке адвокатской палаты адреса электронной почты) об отказе во внесении сведений в региональный реестр.

Уведомления направляются в совет адвокатской палаты и адвокату.

126. Копии документов реестрового дела адвоката, поступившие из территориального органа, исключившего сведения об адвокате из регионального реестра, уведомление совета адвокатской палаты о принятии советом адвокатской палаты решения о приеме адвоката в члены адвокатской палаты в связи с изменением адвокатом членства в адвокатской палате одного субъекта Российской Федерации на членство в адвокатской палате другого субъекта Российской Федерации, копии уведомлений в адрес совета адвокатской палаты и адвоката об отказе во внесении в региональный реестр сведений об адвокате формируются в реестровое дело адвоката.

В. Внесение сведений о приостановлении статуса адвоката в региональный реестр

Последовательность административных процедур

127. Исполнение государственной функции по внесению сведений о приостановлении статуса адвоката в региональный реестр включает в себя следующие административные процедуры:

прием и регистрация представленных в территориальный орган уведомления совета адвокатской палаты о приостановлении статуса адвоката и прилагаемых к нему документов;

изучение документов, необходимых для внесения сведений в региональный реестр, на предмет их соответствия требованиям, предъявляемым Законом и Административным регламентом;

издание распоряжения территориального органа о внесении в региональный реестр сведений о приостановлении статуса адвоката;

внесение в региональный реестр сведений о приостановлении статуса адвоката;

отказ во внесении в региональный реестр сведений.

Перечень документов, необходимых для исполнения государственной функции

128. Для внесения в региональный реестр сведений о приостановлении статуса адвоката в территориальный орган представляются следующие документы:

уведомление совета адвокатской палаты о приостановлении статуса адвоката;

копия документа, подтверждающего наличие оснований для приостановления статуса адвоката, предусмотренных подпунктами 1 - 4 пункта 1 и пунктом 2 статьи 16 Закона. При этом факты, служащие основанием для приостановления статуса адвоката, подтверждаются следующими документами:

1) при избрании адвоката в орган государственной власти на период работы на постоянной основе - копией документа представительного (законодательного) федерального органа государственной власти или органа государственной власти субъекта Российской Федерации, подтверждающего избрание адвоката на соответствующую должность для работы на постоянной основе;

2) при избрании адвоката в орган местного самоуправления на период работы на постоянной основе - копией документа органа местного самоуправления, подтверждающего избрание адвоката на соответствующую должность для работы на постоянной основе;

3) при неспособности адвоката более шести месяцев исполнять свои профессиональные обязанности - копией документа, подтверждающего неспособность адвоката более шести месяцев исполнять свои профессиональные обязанности;

4) при призыве адвоката на военную службу - копией документа военного комиссариата о призыве адвоката на военную службу;

5) при признании адвоката безвестно отсутствующим - копией решения суда;

6) при применении к адвокату принудительных мер медицинского характера - копией решения суда.

Требования к документам, представляемым советом адвокатской палаты

129. Уведомление совета адвокатской палаты о приостановлении статуса адвоката представляется в одном подлинном экземпляре.

130. Уведомление совета адвокатской палаты должно быть выполнено в соответствии с приложением N 9 на бланке адвокатской палаты машинописным способом или распечатано посредством электронных печатающих устройств, подписано президентом адвокатской палаты и заверено оттиском печати адвокатской палаты.

131. Копия решения суда о признании адвоката безвестно отсутствующим, копия решения суда о применении к адвокату принудительных мер медицинского характера (подпункт 4 пункта 1 и пункт 2 статьи 16 Закона) представляются с отметкой суда, свидетельствующей о вступлении данных решений суда в законную силу.

Прием и регистрация документов, представляемых советом адвокатской палаты

132. Основанием для начала исполнения государственной функции по внесению в региональный реестр сведений о приостановлении статуса адвоката является получение территориальным органом уведомления совета адвокатской палаты, а также иных документов, указанных в пункте 128 Административного регламента.

Уведомление совета адвокатской палаты и документы, указанные в пункте 128 Административного регламента, должны быть представлены в территориальный орган не позднее десяти дней со дня принятия советом адвокатской палаты соответствующего решения.

133. Документы, представленные в территориальный орган советом адвокатской палаты, регистрируются и передаются специалисту, ответственному за ведение регионального реестра.

Изучение документов, необходимых для внесения сведений в региональный реестр на предмет их соответствия требованиям, предъявляемым Законом и Административным регламентом

134. Основанием для начала административной процедуры по изучению документов, необходимых для внесения сведений в региональный реестр, является поступление всех документов, указанных в пункте 128 Административного регламента, к специалисту, ответственному за ведение регионального реестра.

135. Специалист, ответственный за ведение регионального реестра, при поступлении документов проверяет следующие факты:

1) оформлено ли уведомление совета адвокатской палаты в соответствии с порядком, установленным пунктами 4, 6 статьи 16 Закона, и приложением N 9;

2) содержится ли на копии решения суда о признании адвоката безвестно отсутствующим или копии решения суда о применении к адвокату принудительных мер медицинского характера отметка суда о том, что данное решение суда вступило в законную силу;

3) усматривается ли из копии документа, служащего основанием для приостановления статуса адвоката, наличие одного из оснований, предусмотренных подпунктами 1 - 4 пункта 1 и пунктом 2 статьи 16 Закона:

из копии документа представительного (законодательного) федерального органа государственной власти или органа государственной власти субъекта Российской Федерации - факт избрания адвоката в орган государственной власти на период работы на постоянной основе;

из копии документа органа местного самоуправления - факт избрания адвоката в орган местного самоуправления на период работы на постоянной основе;

из копии документа, представленного адвокатом в совет адвокатской палаты, - факт неспособности адвоката более шести месяцев исполнять свои профессиональные обязанности по не зависящим от его воли обстоятельствам (справка о болезни адвоката либо членов его семьи и т.д.);

из копии документа военного комиссариата о призыве адвоката на военную службу - факт призыва адвоката на военную службу;

из копии решения суда - факт признания адвоката безвестно отсутствующим или факт применения к адвокату принудительных мер медицинского характера.

136. По результатам проведенной проверки специалист, ответственный за ведение регионального реестра, принимает одно из следующих решений:

о подготовке проекта распоряжения территориального органа о внесении сведений о приостановлении статуса адвоката в региональный реестр;

о подготовке проекта уведомления в совет адвокатской палаты об отказе во внесении сведений о приостановлении статуса адвоката в региональный реестр.

137. Решение о подготовке проекта распоряжения территориального органа или проекта уведомления в совет адвокатской палаты об отказе во внесении сведений о приостановлении статуса адвоката в региональный реестр принимается в день завершения проверки.

138. Общий срок изучения представленных советом адвокатской палаты документов не должен превышать пяти рабочих дней, а при представлении советом адвокатской палаты документов повторно (пункт 51 Административного регламента) - одного рабочего дня.

Издание распоряжения территориального органа о внесении сведений в региональный реестр

139. При соответствии содержания и перечня документов требованиям, предъявляемым Законом и Административным регламентом, специалист, ответственный за ведение регионального реестра, готовит проект распоряжения территориального органа о внесении в региональный реестр сведений о приостановлении статуса адвоката и передает проект распоряжения руководителю территориального органа (лицу, исполняющему его обязанности) для подписания.

Максимальный срок выполнения действия составляет 30 минут.

140. Распоряжение территориального органа должно содержать реквизиты и сведения, предусмотренные пунктом 72 Административного регламента.

141. Руководитель территориального органа (лицо, исполняющее его обязанности) подписывает распоряжение о внесении сведений в региональный реестр о приостановлении статуса адвоката, которое передается специалисту, ответственному за ведение регионального реестра.

Максимальный срок выполнения действия составляет два рабочих дня, а при представлении советом адвокатской палаты документов повторно (пункт 51 Административного регламента) - один рабочий день.

Внесение в региональный реестр сведений о приостановлении статуса адвоката

142. При получении подписанного распоряжения территориального органа о внесении в региональный реестр сведений о приостановлении статуса адвоката специалист, ответственный за ведение регионального реестра, вносит следующие сведения в графы 5, 6 регионального реестра:

в графу 5 - реквизиты решения совета адвокатской палаты о приостановлении статуса адвоката;

в графу 6 - реквизиты распоряжения территориального органа о внесении в региональный реестр сведений о приостановлении статуса адвоката.

Максимальный срок выполнения действия составляет 30 минут.

143. После внесения сведений в региональный реестр специалист, ответственный за ведение регионального реестра, готовит проект уведомления адвокату о внесении в региональный реестр сведений о приостановлении статуса адвоката и необходимости сдачи в территориальный орган удостоверения (за исключением случаев приостановления статуса адвоката по основаниям, предусмотренным подпунктом 4 пункта 1 и пунктом 2 статьи 16 Закона) и передает его на подпись руководителю территориального органа (лицу, исполняющему его обязанности).

Максимальный срок выполнения действия составляет 30 минут.

144. Руководитель территориального органа (лицо, исполняющее его обязанности) подписывает уведомление адвокату, которое передается специалисту, ответственному за ведение регионального реестра.

Максимальный срок выполнения действия составляет два рабочих дня, а при представлении советом адвокатской палаты документов повторно (пункт 51 Административного регламента) - один рабочий день.

145. Специалист, ответственный за ведение регионального реестра, информирует адвоката по телефону и по электронной почте (при указании номера телефона и адреса электронной почты адвоката в уведомлении совета адвокатской палаты) о внесении сведений в региональный реестр о приостановлении статуса адвоката и необходимости сдачи в территориальный орган удостоверения адвоката, согласовывает с адвокатом порядок сдачи удостоверения.

Уведомление о внесении в региональный реестр сведений о приостановлении статуса адвоката и необходимости сдачи в территориальный орган удостоверения направляется адвокату.

146. При возврате адвокатом удостоверения специалист, ответственный за ведение регионального реестра, вносит следующие сведения в графы 6, 7 книги учета выдачи удостоверений адвокатов:

в графу 6 - реквизиты распоряжения территориального органа о внесении в региональный реестр сведений о приостановлении статуса адвоката;

в графу 7 - дату сдачи удостоверения адвокатом в связи с приостановлением статуса адвоката.

147. В случае невозврата удостоверения адвокатом в территориальный орган специалист, ответственный за ведение регионального реестра, по истечении двух месяцев со дня направления уведомления о необходимости сдачи удостоверения в графе 7 книги учета выдачи удостоверений адвокатов проставляет отметку "Удостоверение не сдано".

148. После внесения сведений в региональный реестр специалист, ответственный за ведение регионального реестра, готовит проект письма в управление (отдел) Судебного департамента при Верховном Суде Российской Федерации и органы предварительного следствия в субъекте Российской Федерации, содержащего информацию о внесении в региональный реестр сведений о приостановлении статуса адвоката, и передает его руководителю территориального органа (лицу, исполняющему его обязанности) для подписания.

Максимальный срок выполнения действия составляет 30 минут.

149. Руководитель территориального органа (лицо, исполняющее его обязанности) подписывает указанное в пункте 148 Административного регламента письмо, которое передается специалисту, ответственному за ведение регионального реестра.

Максимальный срок выполнения действия составляет два рабочих дня.

150. Письмо, предусмотренное пунктом 148 Административного регламента, направляется в соответствующие органы.

Максимальный срок выполнения действия составляет 30 минут.

Территориальный орган публикует сообщение о приостановлении статуса адвоката в средствах массовой информации.

151. Распоряжение территориального органа о внесении сведений в региональный реестр, документы, указанные в пункте 128 Административного регламента, копии уведомления и письма, предусмотренных пунктами 143 и 148 Административного регламента, помещаются в реестровое дело адвоката.

Отказ во внесении сведений в региональный реестр

152. Во внесении в региональный реестр сведений о приостановлении статуса адвоката может быть отказано по основаниям, установленным пунктом 51 Административного регламента.

153. Отказ оформляется в виде уведомления в адрес совета адвокатской палаты и уведомления адвокату.

154. Специалист, ответственный за ведение регионального реестра, готовит проекты уведомлений в совет адвокатской палаты и адвокату с указанием причин отказа и передает проекты уведомлений руководителю территориального органа (лицу, исполняющему его обязанности) для подписания.

Максимальный срок выполнения действия составляет 30 минут.

155. Руководитель территориального органа (лицо, исполняющее его обязанности) подписывает уведомления, которые передаются специалисту, ответственному за ведение регионального реестра.

Максимальный срок выполнения действия составляет два рабочих дня.

156. Специалист, ответственный за ведение регионального реестра, информирует совет адвокатской палаты по телефону и по электронной почте (при указании на бланке адвокатской платы адреса электронной почты) об отказе во внесении сведений о приостановлении статуса адвоката в региональный реестр.

Уведомления, предусмотренные пунктом 154 Административного регламента, направляются в совет адвокатской палаты и адвокату.

157. Документы, указанные в пункте 128 Административного регламента, копии уведомлений об отказе во внесении в региональный реестр сведений о приостановлении статуса адвоката помещаются в реестровое дело адвоката.

Г. Внесение сведений о возобновлении статуса адвоката в региональный реестр

Последовательность административных процедур

158. Исполнение государственной функции по внесению в региональный реестр сведений о возобновлении статуса адвоката включает в себя следующие административные процедуры:

прием и регистрация представленных в территориальный орган уведомления совета адвокатской палаты о возобновлении статуса адвоката и прилагаемого к нему документа;

изучение документов, необходимых для внесения сведений в региональный реестр, на предмет их соответствия требованиям, предъявляемым Законом;

издание распоряжения территориального органа о внесении в региональный реестр сведений о возобновлении статуса адвоката;

внесение в региональный реестр сведений о возобновлении статуса адвоката;

выдача адвокату удостоверения;

отказ во внесении в региональный реестр сведений.

Перечень документов, необходимых для исполнения государственной функции

159. Для внесения в региональный реестр сведений о возобновлении статуса адвоката в территориальный орган представляются следующие документы:

уведомление совета адвокатской палаты о возобновлении статуса адвоката;

копия личного заявления адвоката о возобновлении статуса адвоката.

Требования к документам, представляемым советом адвокатской палаты

160. Уведомление совета адвокатской палаты о возобновлении статуса адвоката должно быть выполнено в соответствии с приложением N 10, на бланке адвокатской палаты машинописным способом или распечатано посредством электронных печатающих устройств, подписано президентом адвокатской палаты и заверено оттиском печати адвокатской палаты.

161. Уведомление совета адвокатской палаты о принятии советом адвокатской палаты решения о возобновлении статуса адвоката представляется в одном подлинном экземпляре.

162. Копия личного заявления адвоката о возобновлении статуса адвоката должна быть заверена подписью президента адвокатской палаты и оттиском печати адвокатской палаты.

Прием и регистрация документов, представляемых советом адвокатской палаты

163. Основанием для начала исполнения государственной функции по внесению в региональный реестр сведений о возобновлении статуса адвоката является получение территориальным органом уведомления совета адвокатской палаты о возобновлении статуса адвоката, а также документа, предусмотренного пунктом 159 Административного регламента.

Уведомление совета адвокатской палаты и копия заявления адвоката должны быть представлены в территориальный орган в десятидневный срок со дня принятия соответствующего решения.

164. Документы, представленные в территориальный орган советом адвокатской палаты, регистрируются и передаются специалисту, ответственному за ведение регионального реестра.

Изучение документов, необходимых для внесения сведений в региональный реестр, на предмет их соответствия требованиям, предъявляемым Законом и Административным регламентом

165. Основанием для начала административной процедуры по изучению документов, необходимых для внесения сведений в региональный реестр, является поступление к специалисту, ответственному за ведение регионального реестра, документов, предусмотренных пунктом 159 Административного регламента.

166. Специалист, ответственный за ведение регионального реестра, проверяет следующие факты:

1) оформлено ли уведомление совета адвокатской палаты в соответствии с порядком, установленным пунктом 5 статьи 16 Закона и приложением N 10;

2) следует ли из копии заявления адвоката, что прекращено действие оснований, предусмотренных пунктами 1 и 2 статьи 16 Закона;

3) заверена ли копия личного заявления адвоката о возобновлении статуса адвоката подписью президента адвокатской палаты и оттиском печати адвокатской палаты.

167. По результатам проведенной проверки специалист, ответственный за ведение регионального реестра, принимает одно из следующих решений:

о подготовке проекта распоряжения территориального органа о внесении в региональный реестр сведений о возобновлении статуса адвоката;

о подготовке проекта уведомления в совет адвокатской палаты об отказе во внесении в региональный реестр сведений о возобновлении статуса адвоката.

168. Решение в соответствии с пунктом 167 Административного регламента принимается в день завершения проверки.

169. Общий срок изучения представленных советом адвокатской палаты документов не должен превышать пяти рабочих дней, а при представлении советом адвокатской палаты документов повторно (пункт 52 Административного регламента) - одного рабочего дня.

Издание распоряжения территориального органа о внесении сведений в региональный реестр и выдача удостоверения

170. При соответствии содержания и перечня документов требованиям, предъявляемым Законом и Административным регламентом, специалист, ответственный за ведение регионального реестра, готовит проект распоряжения территориального органа о внесении в региональный реестр сведений о возобновлении статуса адвоката и передает проект распоряжения с приложением документов, указанных в пункте 159 Административного регламента, руководителю территориального органа (лицу, исполняющему его обязанности) для подписания.

Максимальный срок выполнения действия составляет 30 минут.

171. Распоряжение территориального органа должно иметь реквизиты и сведения, предусмотренные пунктом 72 Административного регламента.

172. Руководитель территориального органа (лицо, исполняющее его обязанности) подписывает распоряжение о внесении сведений о возобновлении статуса адвоката в региональный реестр, которое передается специалисту, ответственному за ведение регионального реестра.

Максимальный срок выполнения действия составляет два рабочих дня, а при представлении советом адвокатской палаты документов повторно (пункт 52 Административного регламента) - один рабочий день.

Внесение в региональный реестр сведений о возобновлении статуса адвоката

173. При получении подписанного распоряжения территориального органа о внесении в региональный реестр сведений о возобновлении статуса адвоката специалист, ответственный за ведение регионального реестра, вносит следующие сведения в графы 7, 8 регионального реестра:

в графу 7 - реквизиты решения совета адвокатской палаты о возобновлении статуса адвоката (согласно данным уведомления совета адвокатской палаты);

в графу 8 - реквизиты распоряжения территориального органа.

Максимальный срок выполнения действия составляет 30 минут.

174. После внесения сведений в региональный реестр специалист, ответственный за ведение регионального реестра, готовит проект уведомления адвокату о внесении в региональный реестр сведений о возобновлении статуса адвоката и необходимости получения удостоверения и передает проект уведомления руководителю территориального органа (лицу, исполняющему его обязанности) для подписания.

Максимальный срок выполнения действия составляет 30 минут.

175. Руководитель территориального органа (лицо, исполняющее его обязанности) подписывает уведомление о внесении сведений о возобновлении статуса адвоката в региональный реестр и необходимости получения удостоверения, которое передается специалисту, ответственному за ведение регионального реестра.

Максимальный срок выполнения действия составляет два рабочих дня, а при представлении советом адвокатской палаты документов повторно (пункт 52 Административного регламента) - один рабочий день.

176. Специалист, ответственный за ведение регионального реестра, информирует адвоката по телефону и по электронной почте (при указании в уведомлении совета адвокатской палаты номера телефона и адреса электронной почты адвоката) о внесении сведений о возобновлении статуса адвоката в региональный реестр и необходимости получения удостоверения, согласовывает с ним порядок выдачи (возврата) удостоверения.

Уведомление направляется адвокату.

177. После подготовки проекта уведомления адвокату специалист, ответственный за ведение регионального реестра, готовит проект письма в управление (отдел) Судебного департамента при Верховном Суде Российской Федерации и органы предварительного следствия в субъекте Российской Федерации, содержащего информацию о внесении в региональный реестр сведений о возобновлении статуса адвоката, и передает его руководителю территориального органа (лицу, исполняющему его обязанности) для подписания.

Максимальный срок выполнения действия составляет 30 минут.

178. Руководитель территориального органа (лицо, исполняющее его обязанности) подписывает письмо, которое передается специалисту, ответственному за ведение регионального реестра.

Максимальный срок выполнения действия составляет два рабочих дня.

179. Письмо, предусмотренное пунктом 177 Административного регламента, направляется в соответствующие органы.

180. Распоряжение территориального органа о внесении сведений в региональный реестр, документы, указанные в пункте 159 Административного регламента, копии уведомления и письма, предусмотренных пунктами 174 и 177 Административного регламента, помещаются в реестровое дело адвоката.

Выдача адвокату удостоверения

181. После внесения в региональный реестр сведений о возобновлении статуса адвоката адвокату либо его представителю по доверенности, оформленной в порядке, установленном законодательством Российской Федерации, выдается (возвращается) удостоверение, сданное адвокатом в территориальный орган после приостановления статуса адвоката.

182. При выдаче адвокату удостоверения специалист, ответственный за ведение регионального реестра, в графе 9 книги учета выдачи удостоверений адвокатов проставляет дату выдачи удостоверения адвокату.

183. Если адвокатом после внесения в региональный реестр сведений о приостановлении статуса адвоката удостоверение не было возвращено в территориальный орган (в графе 7 книги учета выдачи удостоверений адвокатов проставлена отметка "Удостоверение не сдано"), новое удостоверение адвокату не выдается.

184. В случае утраты или порчи адвокатом удостоверения новое удостоверение выдается адвокату либо его представителю на основании доверенности, оформленной в порядке, установленном законодательством Российской Федерации, в соответствии с порядком, установленным пунктами 21 - 23, 80, 288 - 320 Административного регламента.

При выдаче нового удостоверения адвокату специалист, ответственный за ведение регионального реестра, в графе 7 книги учета выдачи удостоверений, под отметкой "Удостоверение не сдано" делает пометку "Выдано новое удостоверение".

Если удостоверение (новое или ранее сданное при приостановлении статуса адвоката) выдается представителю адвоката, доверенность, на основании которой действовал данный представитель, приобщается к документам реестрового дела адвоката.

185. Территориальный орган публикует сообщение о возобновлении статуса адвоката в средствах массовой информации.

Отказ во внесении сведений в региональный реестр

186. Во внесении в региональный реестр сведений о возобновлении статуса адвоката может быть отказано по основаниям, установленным пунктом 52 Административного регламента.

187. Отказ оформляется в виде уведомления в адрес совета адвокатской палаты и уведомления адвокату.

188. Специалист, ответственный за ведение регионального реестра, готовит проекты уведомлений в совет адвокатской палаты, принявший решение о возобновлении статуса адвоката, и адвокату с указанием причин отказа и передает проекты уведомлений с приложением документов, указанных в пункте 159 Административного регламента, руководителю территориального органа (лицу, исполняющему его обязанности) для подписания.

Максимальный срок выполнения действия составляет 30 минут.

189. Руководитель территориального органа (лицо, исполняющее его обязанности) подписывает уведомления об отказе во внесении сведений в региональный реестр, которые передаются специалисту, ответственному за ведение регионального реестра.

Максимальный срок выполнения действия составляет два рабочих дня.

190. Специалист, ответственный за ведение регионального реестра, информирует совет адвокатской палаты по телефону и по электронной почте (при указании на бланке адвокатской палаты адреса электронной почты) об отказе во внесении сведений о возобновлении статуса адвоката в региональный реестр.

Уведомления направляются в совет адвокатской палаты и адвокату.

191. Документы, указанные в пункте 159 Административного регламента, а также копии уведомлений об отказе во внесении сведений в региональный реестр помещаются в реестровое дело адвоката.

Д. Внесение в региональный реестр сведений о прекращении статуса адвоката

Последовательность административных процедур

192. Исполнение государственной функции по внесению в региональный реестр сведений о прекращении статуса адвоката включает в себя следующие административные процедуры:

прием и регистрация представленных в территориальный орган уведомления совета адвокатской палаты о прекращении статуса адвоката и прилагаемых к нему документов;

изучение документов, необходимых для внесения сведений в региональный реестр, на предмет их соответствия требованиям, предъявляемым Законом и Административным регламентом;

издание распоряжения территориального органа о внесении в региональный реестр сведений о прекращении статуса адвоката;

внесение в региональный реестр сведений о прекращении статуса адвоката;

отказ во внесении сведений в региональный реестр.

Перечень документов, необходимых для исполнения государственной функции

193. Для внесения в региональный реестр сведений о прекращении статуса адвоката в территориальный орган представляются следующие документы:

уведомление совета адвокатской палаты о прекращении статуса адвоката;

копия решения совета адвокатской палаты о прекращении статуса адвоката;

выписка из протокола заседания квалификационной комиссии (в случае прекращения статуса адвоката по основаниям, предусмотренным пунктом 2 статьи 17 Закона);

копия личного заявления адвоката о прекращении статуса адвоката (в случае прекращения статуса адвоката по основанию, предусмотренному подпунктом 1 пункта 1 статьи 17 Закона).

Требования к документам, представляемым советом адвокатской палаты

194. Уведомление совета адвокатской палаты о прекращении статуса адвоката должно быть выполнено в соответствии с приложением N 11, на бланке адвокатской палаты машинописным способом или распечатано посредством электронных печатающих устройств, подписано президентом адвокатской палаты и заверено оттиском печати адвокатской палаты.

195. Уведомление совета адвокатской палаты о принятии советом адвокатской палаты решения о прекращении статуса адвоката представляется в одном подлинном экземпляре.

196. Копия решения совета адвокатской палаты о прекращении статуса адвоката и копия личного заявления адвоката должны быть заверены подписью президента адвокатской палаты и оттиском печати адвокатской палаты.

197. Выписка из протокола заседания квалификационной комиссии адвокатской палаты должна быть заверена подписью председателя квалификационной комиссии и оттиском печати адвокатской палаты и содержать сведения, предусмотренные пунктом 62 Административного регламента.

Прием и регистрация документов, представляемых советом адвокатской палаты

198. Основанием для начала исполнения государственной функции по внесению в региональный реестр сведений о прекращении статуса адвоката является получение территориальным органом уведомления совета адвокатской палаты и документов, указанных в пункте 193 Административного регламента.

Уведомление совета адвокатской палаты и иные документы, указанные в пункте 193 Административного регламента, представляются в территориальный орган не позднее десяти дней со дня принятия советом адвокатской палаты решения о прекращении статуса адвоката.

199. Документы, представленные в территориальный орган советом адвокатской палаты, регистрируются и передаются специалисту, ответственному за ведение регионального реестра.

Изучение документов, необходимых для внесения сведений в региональный реестр, на предмет их соответствия требованиям, предъявляемым Законом и Административным регламентом

200. Основанием для начала административной процедуры по изучению документов, необходимых для внесения сведений в региональный реестр, является поступление всех документов, указанных в пункте 193 Административного регламента, к специалисту, ответственному за ведение регионального реестра.

201. Специалист, ответственный за ведение регионального реестра, проверяет следующие факты:

1) оформлено ли уведомление совета адвокатской палаты в соответствии с порядком, установленным пунктом 4 статьи 17 Закона, и приложением N 11;

2) заверена ли копия решения совета адвокатской палаты о прекращении статуса адвоката подписью президента адвокатской палаты и оттиском печати адвокатской палаты;

3) заверена ли выписка из протокола заседания квалификационной комиссии адвокатской палаты подписью председателя квалификационной комиссии и оттиском печати адвокатской палаты;

4) содержит ли выписка из протокола заседания квалификационной комиссии сведения о составе присутствовавших на заседании членов квалификационной комиссии адвокатской палаты и наличии кворума, указание на факт голосования именными бюллетенями, результаты голосования, содержание принятого решения, сведения о наличии особого мнения члена квалификационной комиссии (в случае, если особое мнение заявлялось);

5) усматривается ли из копии решения совета адвокатской палаты, что статус адвоката прекращен;

6) заверена ли копия личного заявления адвоката о прекращении статуса адвоката подписью президента адвокатской палаты и оттиском печати адвокатской палаты.

202. По результатам проведенной проверки специалист, ответственный за ведение регионального реестра, принимает одно из следующих решений:

о подготовке проекта распоряжения территориального органа о внесении в региональный реестр сведений о прекращении статуса адвоката;

о подготовке проекта уведомления совету адвокатской палаты об отказе во внесении в региональный реестр сведений о прекращении статуса адвоката.

203. Решение о подготовке проекта распоряжения территориального органа о внесении в региональный реестр сведений о прекращении статуса адвоката или о подготовке проекта уведомления совету адвокатской палаты об отказе во внесении в региональный реестр сведений о прекращении статуса адвоката принимается в день завершения проверки.

204. Общий срок изучения представленных советом адвокатской палаты документов не должен превышать пяти рабочих дней, а при представлении советом адвокатской палаты документов повторно (пункт 53 Административного регламента) - одного рабочего дня.

Издание распоряжения территориального органа о внесении в региональный реестр сведений о прекращении статуса адвоката

205. При соответствии содержания и перечня документов требованиям, предъявляемым Законом и Административным регламентом, специалист, ответственный за ведение регионального реестра, готовит проект распоряжения территориального органа о внесении в региональный реестр сведений о прекращении статуса адвоката и передает проект распоряжения с приложением документов, указанных в пункте 193 Административного регламента, руководителю территориального органа (лицу, исполняющему его обязанности) для подписания.

Максимальный срок выполнения действия составляет 30 минут.

206. Распоряжение территориального органа должно иметь реквизиты и сведения, предусмотренные пунктом 72 Административного регламента.

207. Руководитель территориального органа (лицо, исполняющее его обязанности) подписывает распоряжение о внесении сведений о прекращении статуса адвоката в региональный реестр, которое передается специалисту, ответственному за ведение регионального реестра.

Максимальный срок выполнения действия составляет два рабочих дня, а при представлении советом адвокатской палаты документов повторно (пункт 53 Административного регламента) - один рабочий день.

Внесение в региональный реестр сведений о прекращении статуса адвоката

208. При получении подписанного распоряжения территориального органа о внесении в региональный реестр сведений о прекращении статуса адвоката специалист, ответственный за ведение регионального реестра, вносит следующие сведения в графы 9, 10 регионального реестра:

в графу 9 - реквизиты решения совета адвокатской палаты о прекращении статуса адвоката;

в графу 10 - реквизиты соответствующего распоряжения территориального органа.

Максимальный срок выполнения действия составляет 30 минут.

209. После внесения сведений в региональный реестр специалист, ответственный за ведение регионального реестра, готовит проект уведомления лицу, чей статус адвоката прекращен, о внесении соответствующих сведений в региональный реестр и необходимости сдачи в территориальный орган удостоверения и передает проект уведомления руководителю территориального органа (лицу, исполняющему его обязанности) для подписания.

Максимальный срок выполнения действия составляет 30 минут.

210. Руководитель территориального органа (лицо, исполняющее его обязанности) подписывает уведомление лицу, чей статус адвоката прекращен, которое передается специалисту, ответственному за ведение регионального реестра.

Максимальный срок выполнения действия составляет два рабочих дня.

211. Специалист, ответственный за ведение регионального реестра, информирует лицо, чей статус адвоката прекращен, по телефону и по электронной почте (при указании в уведомлении совета адвокатской палаты номера телефона и адреса электронной почты лица, чей статус адвоката прекращен) о внесении сведений в региональный реестр о прекращении статуса адвоката и необходимости сдачи в территориальный орган удостоверения, согласовывает с ним порядок сдачи удостоверения.

Уведомление направляется лицу, чей статус адвоката прекращен.

212. При возврате лицом, чей статус адвоката был прекращен, удостоверения специалист, ответственный за ведение регионального реестра, вносит следующие сведения в графы 10, 11 книги учета выдачи удостоверений адвокатов:

в графу 10 - реквизиты распоряжения территориального органа о внесении сведений в региональный реестр в связи с прекращением статуса адвоката;

в графу 11 - дату сдачи удостоверения адвокатом в связи с прекращением статуса адвоката.

213. Удостоверение, возвращенное адвокатом в территориальный орган, погашается специальным штампом с надписью "Аннулировано".

214. В случае невозврата лицом, чей статус адвоката был прекращен, удостоверения специалист, ответственный за ведение регионального реестра:

в графе 10 книги учета выдачи удостоверений адвокатов проставляет реквизиты распоряжения территориального органа о внесении сведений в региональный реестр в связи с прекращением статуса адвоката;

в графу 11 данной книги по истечении двух месяцев со дня направления уведомления о необходимости сдачи удостоверения вносит отметку "Удостоверение не сдано".

Территориальный орган вправе опубликовать сообщение в средствах массовой информации о недействительности удостоверения, не сданного лицом, чей статус адвоката был прекращен.

215. После внесения в региональный реестр сведений о прекращении статуса адвоката специалист, ответственный за ведение регионального реестра, готовит проект письма в управление (отдел) Судебного департамента при Верховном Суде Российской Федерации и органы предварительного следствия в субъекте Российской Федерации, содержащего информацию о внесении в региональный реестр сведений о прекращении статуса адвоката, и передает его в порядке делопроизводства руководителю территориального органа (лицу, исполняющему его обязанности) для подписания.

Максимальный срок выполнения действия составляет 30 минут.

216. Руководитель территориального органа (лицо, исполняющее его обязанности) подписывает письмо, которое в порядке делопроизводства передается специалисту, ответственному за ведение регионального реестра.

Максимальный срок выполнения действия составляет два рабочих дня.

217. Письмо, предусмотренное пунктом 215 Административного регламента, направляется в соответствующие органы.

Максимальный срок выполнения действия составляет 30 минут.

218. Распоряжение территориального органа о внесении сведений в региональный реестр, документы, указанные в пункте 193 Административного регламента, копии уведомления и письма, предусмотренных пунктами 209 и 215 Административного регламента, помещаются в реестровое дело адвоката.

Отказ во внесении сведений в региональный реестр

219. Во внесении в региональный реестр сведений о прекращении статуса адвоката может быть отказано по основаниям, установленным пунктом 53 Административного регламента.

220. Отказ оформляется в виде уведомления в адрес совета адвокатской палаты и уведомления лицу, статус которого прекращен.

221. Специалист, ответственный за ведение регионального реестра, готовит проекты уведомлений в совет адвокатской палаты, принявший решение о прекращении статуса адвоката, и лицу, в отношении которого принято решение о прекращении статуса адвоката, с указанием причин отказа и передает проекты уведомлений с приложением документов, указанных в пункте 193 Административного регламента, руководителю территориального органа (лицу, исполняющему его обязанности) для подписания.

Максимальный срок выполнения действия составляет 30 минут.

222. Руководитель территориального органа (лицо, исполняющее его обязанности) подписывает уведомления об отказе во внесении сведений в региональный реестр, которые передаются специалисту, ответственному за ведение регионального реестра.

Максимальный срок выполнения действия составляет два рабочих дня.

223. Специалист, ответственный за ведение регионального реестра, информирует совет адвокатской палаты по телефону и по электронной почте (при наличии на бланке адвокатской палаты адреса электронной почты) об отказе во внесении сведений о прекращении статуса адвоката в региональный реестр.

Уведомления направляются в совет адвокатской палаты и лицу, в отношении которого советом адвокатской палаты принято решение о прекращении статуса адвоката.

224. Документы, указанные в пункте 193 Административного регламента, и копии уведомлений об отказе во внесении сведений о прекращении статуса адвоката в региональный реестр помещаются в реестровое дело адвоката.

Е. Исключение из регионального реестра сведений об адвокате в связи с изменением адвокатом членства в адвокатской палате одного субъекта Российской Федерации на членство в адвокатской палате другого субъекта Российской Федерации

Последовательность административных процедур

225. Исполнение государственной функции включает в себя следующие административные процедуры:

прием и регистрация представленных в территориальный орган уведомления совета адвокатской палаты о поступлении в совет заявления адвоката об изменении адвокатом членства в адвокатской палате одного субъекта Российской Федерации на членство в адвокатской палате другого субъекта Российской Федерации и прилагаемых к нему документов;

изучение документов, необходимых для исключения сведений из регионального реестра, на предмет их соответствия требованиям, предъявляемым Законом и Административным регламентом;

издание распоряжения территориального органа об исключении из регионального реестра сведений об адвокате в связи с изменением им членства в адвокатской палате одного субъекта Российской Федерации на членство в адвокатской палате другого субъекта Российской Федерации;

исключение из регионального реестра сведений об адвокате;

выдача адвокату документа, подтверждающего статус адвоката;

отказ во внесении в региональный реестр сведений.

Перечень документов, необходимых для исполнения государственной функции

226. Для исключения из регионального реестра сведений об адвокате в связи с изменением им членства в адвокатской палате одного субъекта Российской Федерации на членство в адвокатской палате другого субъекта Российской Федерации в территориальный орган представляются:

уведомление совета адвокатской палаты о поступлении в совет адвокатской палаты заявления адвоката об изменении адвокатом членства в адвокатской палате одного субъекта Российской Федерации на членство в адвокатской палате другого субъекта Российской Федерации;

копия уведомления адвоката, направленного заказным письмом в совет адвокатской палаты, об изменении адвокатом членства в адвокатской палате одного субъекта Российской Федерации на членство в адвокатской палате другого субъекта Российской Федерации.

Требования к документам, представляемым советом адвокатской палаты

227. Уведомление совета адвокатской палаты об изменении адвокатом членства в адвокатской палате должно быть выполнено в соответствии с приложением N 12 на бланке адвокатской палаты машинописным способом или распечатано посредством электронных печатающих устройств, подписано президентом адвокатской палаты и заверено оттиском печати адвокатской палаты.

Уведомление совета адвокатской палаты об изменении адвокатом членства в адвокатской палате представляется в одном подлинном экземпляре.

228. Копия уведомления адвоката, направленного заказным письмом в совет адвокатской палаты, об изменении адвокатом членства в адвокатской палате одного субъекта Российской Федерации на членство в адвокатской палате другого субъекта Российской Федерации должна быть заверена подписью президента адвокатской палаты и оттиском печати адвокатской палаты.

Прием и регистрация документов, представляемых советом адвокатской палаты

229. Основанием для начала исполнения государственной функции по исключению сведений об адвокате из регионального реестра в связи с изменением им членства в адвокатской палате одного субъекта Российской Федерации на членство в адвокатской палате другого субъекта Российской Федерации является получение территориальным органом уведомления совета адвокатской палаты и копии уведомления адвоката, указанного в пункте 226 Административного регламента.

230. Уведомление совета адвокатской палаты об изменении адвокатом членства в адвокатской палате одного субъекта Российской Федерации на членство в адвокатской палате другого субъекта Российской Федерации и копия уведомления адвоката, указанная в пункте 226 Административного регламента, представляются в территориальный орган не позднее десяти дней со дня поступления в совет адвокатской палаты уведомления адвоката.

231. Документы, представленные в территориальный орган советом адвокатской палаты, регистрируются и передаются специалисту, ответственному за ведение регионального реестра.

Изучение документов, необходимых для исключения из регионального реестра сведений об адвокате, на предмет их соответствия требованиям, предъявляемым Законом и Административным регламентом

232. Основанием для начала административной процедуры по изучению документов, необходимых для внесения сведений в региональный реестр, является поступление всех документов, указанных в пункте 226 Административного регламента, к специалисту, ответственному за ведение регионального реестра.

233. Специалист, ответственный за ведение регионального реестра, при поступлении документов проверяет следующие факты:

1) оформлено ли уведомление совета адвокатской палаты в соответствии с порядком, установленным пунктом 5 статьи 15 Закона, и приложением N 12;

2) заверена ли копия уведомления адвоката, направленного заказным письмом в совет адвокатской палаты, об изменении адвокатом членства в адвокатской палате одного субъекта Российской Федерации на членство в адвокатской палате другого субъекта Российской Федерации подписью президента адвокатской палаты и оттиском печати адвокатской палаты.

234. По результатам проведенной проверки специалист, ответственный за ведение регионального реестра, принимает одно из следующих решений:

о подготовке проекта распоряжения территориального органа об исключении из регионального реестра сведений об адвокате в связи с изменением им членства в адвокатской палате одного субъекта Российской Федерации на членство в адвокатской палате другого субъекта Российской Федерации;

о подготовке проекта уведомления в совет адвокатской палаты об отказе в исключении из регионального реестра сведений об адвокате в связи с изменением им членства в адвокатской палате одного субъекта Российской Федерации на членство в адвокатской палате другого субъекта Российской Федерации.

235. Решение в соответствии с пунктом 234 Административного регламента принимается в день завершения проверки.

236. Общий срок изучения представленных советом адвокатской палаты документов не должен превышать пятнадцати рабочих дней, а при представлении советом адвокатской палаты документов повторно (пункт 54 Административного регламента) - одного рабочего дня.

Издание распоряжения территориального органа об исключении из регионального реестра сведений

237. При соответствии содержания и перечня документов требованиям, предъявляемым Законом и Административным регламентом, специалист, ответственный за ведение регионального реестра, готовит проект распоряжения территориального органа об исключении из регионального реестра сведений об адвокате и передает проект распоряжения с приложением документов, указанных в пункте 226 Административного регламента, руководителю территориального органа (лицу, исполняющему его обязанности) для подписания.

Максимальный срок выполнения действия составляет 30 минут.

238. Распоряжение территориального органа должно иметь реквизиты, предусмотренные пунктом 72 Административного регламента.

239. Руководитель территориального органа (лицо, исполняющее его обязанности) подписывает распоряжение об исключении из регионального реестра сведений, которое передается специалисту, ответственному за ведение регионального реестра.

Максимальный срок выполнения действия составляет два рабочих дня, а при представлении советом адвокатской палаты документов повторно (пункт 54 Административного регламента) - один рабочий день.

Исключение из регионального реестра сведений об адвокате

240. При получении подписанного распоряжения территориального органа об исключении из регионального реестра сведений об адвокате специалист, ответственный за ведение регионального реестра, вносит следующие сведения в графы 11, 12 регионального реестра:

в графу 11 - реквизиты уведомления совета адвокатской палаты о принятии адвокатом решения об изменении членства в адвокатской палате;

в графу 12 - реквизиты распоряжения территориального органа об исключении сведений из регионального реестра.

Максимальный срок выполнения действия составляет 30 минут.

241. После исключения из регионального реестра сведений об адвокате специалист, ответственный за ведение регионального реестра, готовит проект уведомления адвокату об исключении из регионального реестра сведений об адвокате и необходимости сдачи удостоверения и получения документа, подтверждающего статус адвоката.

Максимальный срок выполнения действия составляет 30 минут.

242. Руководитель территориального органа (лицо, исполняющее его обязанности) подписывает уведомление адвокату об исключении из регионального реестра сведений, необходимости сдачи удостоверения и получения документа, подтверждающего статус адвоката, которое передается специалисту, ответственному за ведение регионального реестра.

Максимальный срок выполнения действия составляет два рабочих дня.

243. Специалист, ответственный за ведение регионального реестра, информирует адвоката по телефону и по электронной почте (при указании номера телефона и адреса электронной почты адвоката в уведомлении совета адвокатской палаты) об исключении сведений из регионального реестра и необходимости сдачи удостоверения и получении документа, подтверждающего статус адвоката, согласовывает с ним порядок сдачи удостоверения и получения документа, подтверждающего статус адвоката.

Уведомление направляется адвокату.

244. Распоряжение территориального органа о внесении сведений в региональный реестр, а также документы, указанные в пункте 226 Административного регламента, и копия уведомления адвокату об исключении из регионального реестра сведений об адвокате и необходимости сдачи удостоверения и получения документа, подтверждающего статус адвоката, помещаются в реестровое дело адвоката.

245. Территориальный орган, исключивший сведения об адвокате из регионального реестра, обязан направить копию реестрового дела адвоката не позднее пяти дней со дня получения запроса территориального органа, решающего вопрос о внесении сведений об адвокате в соответствующий региональный реестр.

Выдача адвокату документа, подтверждающего статус адвоката

246. После сдачи удостоверения адвоката в территориальный орган, исключивший сведения об адвокате из регионального реестра, адвокату либо его представителю на основании доверенности, оформленной в порядке, установленном законодательством Российской Федерации, выдается документ, подтверждающий статус адвоката (приложение N 13).

247. При возврате адвокатом удостоверения и выдаче документа, подтверждающего статус адвоката, специалист, ответственный за ведение регионального реестра, вносит следующие сведения в графы 11, 12 книги учета выдачи удостоверений адвокатов:

в графу 11 - дату сдачи удостоверения адвокатом в связи с исключением сведений из регионального реестра;

в графу 12 - дату выдачи документа, подтверждающего статус адвоката.

248. Удостоверение, возвращенное адвокатом в территориальный орган, погашается специальным штампом с надписью "Аннулировано".

Отказ в исключении сведений из регионального реестра

249. В исключении из регионального реестра сведений об адвокате в связи с изменением им членства в адвокатской палате одного субъекта Российской Федерации на членство в адвокатской палате другого субъекта Российской Федерации может быть отказано по основаниям, установленным пунктом 54 Административного регламента.

250. Отказ оформляется в виде уведомления в адрес совета адвокатской палаты и уведомления адвокату.

251. Специалист, ответственный за ведение регионального реестра, готовит проекты уведомлений в совет адвокатской палаты, направивший уведомление о принятии адвокатом решения об изменении им членства в адвокатской палате одного субъекта Российской Федерации на членство в адвокатской палате другого субъекта Российской Федерации, и адвокату с указанием причин отказа и передает проекты уведомлений с приложением документов, указанных в пункте 226 Административного регламента, руководителю территориального органа (лицу, исполняющему его обязанности) для подписания.

Максимальный срок выполнения действия составляет 30 минут.

252. Руководитель территориального органа (лицо, исполняющее его обязанности) подписывает уведомления об отказе в исключении сведений из регионального реестра, которые передаются специалисту, ответственному за ведение регионального реестра.

Максимальный срок выполнения действия составляет два рабочих дня.

253. Специалист, ответственный за ведение регионального реестра, информирует совет адвокатской палаты по телефону и по электронной почте (при указании на бланке адвокатской палаты адреса электронной почты) об отказе в исключении сведений из регионального реестра.

Уведомления направляются в совет адвокатской палаты и адвокату.

254. Документы, указанные в пункте 226 Административного регламента, и копии уведомлений об отказе в исключении сведений из регионального реестра помещаются в реестровое дело адвоката.

И. Внесение в региональный реестр сведений об изменении фамилии, имени и (или) отчества адвоката

В электронном документе нумерация пунктов соответствует официальному источнику.

Последовательность административных процедур

255. Исполнение государственной функции по внесению в региональный реестр сведений об изменении фамилии, имени и (или) отчества адвоката включает в себя следующие административные процедуры:

прием и регистрация представленных в территориальный орган заявления адвоката о внесении в региональный реестр сведений об изменении фамилии, имени и (или) отчества и прилагаемых к нему документов;

изучение документов, необходимых для внесения сведений в региональный реестр, на предмет их соответствия требованиям, предъявляемым настоящим Административным регламентом;

издание распоряжения территориального органа о внесении в региональный реестр сведений об изменении фамилии, имени и (или) отчества адвоката;

внесение в региональный реестр соответствующих сведений;

выдача адвокату удостоверения;

отказ во внесении в региональный реестр сведений.

Перечень документов, необходимых для исполнения государственной функции

256. Для внесения в региональный реестр сведений об изменении фамилии, имени и (или) отчества адвоката в территориальный орган адвокатом представляются:

заявление адвоката;

копия свидетельства о государственной регистрации акта гражданского состояния;

фотография адвоката.

Требования к документам, представляемым адвокатом

257. Заявление адвоката о внесении в региональный реестр сведений об изменении фамилии, имени и (или) отчества представляется в одном подлинном экземпляре.

Заявление адвоката о внесении в реестр сведений об изменении фамилии, имени и (или) отчества составляется в соответствии с приложением N 14. Заявление может быть выполнено от руки, машинописным способом или распечатано посредством электронных печатающих устройств.

Заявление о внесении в реестр сведений об изменении фамилии, имени и (или) отчества подписывается лично адвокатом.

258. Фотография адвоката должна соответствовать требованиям, установленным пунктом 63 Административного регламента.

Прием и регистрация документов, представляемых адвокатом

259. Основанием для начала исполнения государственной функции по внесению в региональный реестр сведений об изменении фамилии, имени и (или) отчества адвоката является получение территориальным органом соответствующего заявления адвоката и иных документов, указанных в пункте 256 Административного регламента.

260. Документы, представленные адвокатом в территориальный орган, регистрируются и передаются специалисту, ответственному за ведение регионального реестра.

Изучение документов, необходимых для внесения сведений в региональный реестр, на предмет их соответствия требованиям, предъявляемым Административным регламентом

261. Основанием для начала административной процедуры по изучению документов, необходимых для внесения сведений в региональный реестр, является поступление всех документов, указанных в пункте 256 Административного регламента, к специалисту, ответственному за ведение регионального реестра.

262. Специалист, ответственный за ведение регионального реестра, проверяет соответствие заявления адвоката предъявляемым Административным регламентом требованиям.

263. При поступлении в территориальный орган заявления адвоката специалист, ответственный за ведение регионального реестра, проверяет следующие факты:

1) оформлено ли заявление адвоката в соответствии с приложением N 14;

2) подтверждает ли копия свидетельства о государственной регистрации акта гражданского состояния изменение адвокатом фамилии, имени и (или) отчества.

264. По результатам проведенной проверки специалист, ответственный за ведение регионального реестра, принимает одно из следующих решений:

о подготовке проекта распоряжения территориального органа о внесении в региональный реестр сведений об изменении фамилии, имени и (или) отчества адвоката;

о подготовке проекта уведомления адвокату об отказе во внесении изменений в региональный реестр.

265. Решение в соответствии с пунктом 264 Административного регламента принимается в день завершения проверки.

266. Общий срок изучения представленных адвокатом документов не должен превышать пяти рабочих дней, а при представлении адвокатом документов повторно (пункт 55 Административного регламента) - одного рабочего дня.

Издание распоряжения территориального органа о внесении в региональный реестр сведений об изменении фамилии, имени и (или) отчества адвоката

267. При соответствии заявления адвоката и копии свидетельства о государственной регистрации акта гражданского состояния требованиям, установленным пунктами 257, 258 Административного регламента, специалист, ответственный за ведение регионального реестра, готовит проект распоряжения территориального органа о внесении в региональный реестр сведений об изменении фамилии, имени и (или) отчества адвоката.

Максимальный срок выполнения действия составляет 30 минут.

268. Распоряжение территориального органа должно содержать реквизиты и сведения, предусмотренные пунктом 72 Административного регламента.

269. Подготовленный проект распоряжения территориального органа с приложением документов, указанных в пункте 256 Административного регламента, специалист, ответственный за ведение регионального реестра, передает руководителю территориального органа (лицу, исполняющему его обязанности) для подписания.

Максимальный срок выполнения действия составляет два рабочих дня.

270. Руководитель территориального органа (лицо, исполняющее его обязанности) подписывает распоряжение о внесении изменений в региональный реестр, которое передается специалисту, ответственному за ведение регионального реестра.

Максимальный срок выполнения действия составляет два рабочих дня, а при представлении адвокатом документов повторно (пункт 55 Административного регламента) - один рабочий день.

Внесение в региональный реестр сведений об изменении фамилии, имени и (или) отчества адвоката

271. При получении подписанного распоряжения территориального органа о внесении изменений в региональный реестр об изменении фамилии, имени и (или) отчества адвоката специалист, ответственный за ведение регионального реестра, вносит следующие записи в графы 2, 13, 14 регионального реестра:

в графе 2 - тонкой чертой зачеркиваются измененные сведения (например, фамилия);

в графу 13 - вносятся новые сведения об адвокате (например, новая фамилия);

в графе 14 - проставляются реквизиты распоряжения территориального органа о внесении в региональный реестр соответствующих изменений.

Максимальный срок выполнения действия составляет 30 минут.

272. После внесения сведений в региональный реестр специалист, ответственный за ведение регионального реестра, готовит проекты уведомления адвокату о внесении в региональный реестр сведений и необходимости сдачи удостоверения и получения нового удостоверения, уведомления в адвокатскую палату о внесении соответствующих изменений в региональный реестр. Проекты уведомлений с приложением документов, указанных в пункте 256 Административного регламента, специалист, ответственный за ведение регионального реестра, передает руководителю территориального органа (лицу, исполняющему его обязанности) для подписания.

Максимальный срок выполнения действия составляет два рабочих дня.

273. Руководитель территориального органа (лицо, исполняющее его обязанности) подписывает уведомления адвокату и адвокатской палате о внесении в региональный реестр сведений об изменении фамилии, имени и (или) отчества адвоката, которые передаются специалисту, ответственному за ведение регионального реестра.

Максимальный срок выполнения действия составляет два рабочих дня.

274. Специалист, ответственный за ведение регионального реестра, информирует адвоката и совет адвокатской палаты по телефону и по электронной почте (при наличии сведений об адресе электронной почты у адвокатской палаты) о внесении сведений об изменении фамилии, имени и (или) отчества адвоката в региональный реестр, а также согласовывает с адвокатом порядок сдачи ранее выданного удостоверения и получения нового удостоверения.

Уведомления, указанные в пункте 272 Административного регламента, направляются адвокату и в адвокатскую палату.

275. Распоряжение территориального органа о внесении изменений в региональный реестр, документы, указанные в пункте 256 Административного регламента (кроме фотографии), копии уведомлений, предусмотренных пунктом 272 Административного регламента, помещаются в реестровое дело адвоката.

Выдача адвокату удостоверения

276. После внесения в региональный реестр сведений об изменении фамилии, имени и (или) отчества адвоката специалист, ответственный за ведение регионального реестра, оформляет новое удостоверение адвоката в соответствии с порядком, установленным пунктами 21 - 23 Административного регламента, и передает удостоверение на подпись руководителю территориального органа (лицу, исполняющему его обязанности).

Максимальный срок выполнения действия составляет 30 минут.

277. Руководитель территориального органа (лицо, исполняющее его обязанности) подписывает удостоверение адвоката, которое передается специалисту, ответственному за ведение регионального реестра.

Максимальный срок выполнения действия составляет два рабочих дня.

278. После подписания удостоверения руководителем территориального органа (лицом, исполняющим его обязанности) в нижнем левом углу правой внутренней стороны удостоверения и на левой стороне на правом нижнем углу фотографии специалист, ответственный за ведение регионального реестра, помещает оттиски малой выжимной металлической печати с изображением Государственного герба Российской Федерации, используемой при оформлении служебных удостоверений федеральных государственных гражданских служащих Росрегистрации, при этом используется мастика красного цвета.

Максимальный срок выполнения действия составляет 5 минут.

279. Удостоверение выдается адвокату либо его представителю на основании доверенности, оформленной в порядке, установленном законодательством Российской Федерации.

280. Новое удостоверение выдается после возврата адвокатом удостоверения, выданного до изменения фамилии, имени и (или) отчества. Записи о выдаче нового удостоверения в книгу учета выдачи удостоверений адвокатов вносятся в порядке, установленном пунктом 82 Административного регламента. Если удостоверение выдается представителю адвоката, доверенность, на основании которой действовал данный представитель, приобщается к документам реестрового дела адвоката.

281. Удостоверение, возвращенное адвокатом в территориальный орган, погашается специальным штампом с надписью "Аннулировано".

Отказ во внесении сведений в региональный реестр

282. Во внесении в региональный реестр сведений об изменении фамилии, имени и (или) отчества адвоката может быть отказано по основаниям, установленным пунктом 55 Административного регламента.

283. Отказ оформляется в виде уведомления адвокату.

284. Специалист, ответственный за ведение регионального реестра, готовит проект уведомления адвокату с указанием причин отказа и передает проект уведомления с приложением документов, указанных в пункте 256 Административного регламента, руководителю территориального органа (лицу, исполняющему его обязанности) для подписания.

Максимальный срок выполнения действия составляет 30 минут.

285. Руководитель территориального органа (лицо, исполняющее его обязанности) подписывает уведомление об отказе во внесении сведений в региональный реестр, которое передается специалисту, ответственному за ведение регионального реестра.

Максимальный срок выполнения действия составляет два рабочих дня.

286. Специалист, ответственный за ведение регионального реестра, информирует адвоката по телефону и по электронной почте (при указании номера телефона и адреса электронной почты в заявлении адвоката) об отказе во внесении сведений об изменении фамилии, имени и (или) отчества адвоката в региональный реестр.

Уведомление направляется адвокату.

287. Документы, указанные в пункте 256 Административного регламента, и копия уведомления об отказе во внесении сведений об изменении фамилии, имени и (или) отчества адвоката в региональный реестр помещаются в реестровое дело адвоката.

К. Выдача адвокату нового удостоверения взамен утраченного или испорченного

Последовательность административных процедур

288. Исполнение государственной функции по выдаче адвокату нового удостоверения взамен утраченного или испорченного включает в себя следующие административные процедуры:

прием и регистрация представленных в территориальный орган заявления адвоката о выдаче нового удостоверения взамен утраченного или испорченного и прилагаемых к нему документов;

изучение документов, необходимых для выдачи адвокату нового удостоверения взамен утраченного или испорченного удостоверения, на предмет их соответствия требованиям, предъявляемым Административным регламентом;

издание распоряжения территориального органа о выдаче нового удостоверения взамен утраченного или испорченного;

выдача адвокату удостоверения;

отказ в выдаче адвокату нового удостоверения взамен утраченного или испорченного.

Перечень документов, необходимых для исполнения государственной функции

289. Для выдачи нового удостоверения взамен утраченного или испорченного в территориальный орган адвокатом представляется:

заявление о выдаче нового удостоверения взамен утраченного или испорченного;

копия документа, подтверждающего обращение адвоката по факту утраты удостоверения в правоохранительные органы (в случае утраты удостоверения в результате противоправных действий третьих лиц);

удостоверение (в случае его порчи);

фотография адвоката.

Требования к документам, представляемым адвокатом

290. Заявление адвоката о выдаче нового удостоверения взамен утраченного или испорченного представляется в одном подлинном экземпляре.

Заявление адвоката составляется в соответствии с приложением N 15. В заявлении указываются обстоятельства утраты или порчи удостоверения (при порче удостоверения указывается характер (признаки) его повреждения).

Заявление может быть выполнено от руки, машинописным способом или распечатано посредством электронных печатающих устройств.

Заявление о выдаче нового удостоверения взамен утраченного или испорченного подписывается лично адвокатом.

291. Копия документа, подтверждающего обращение адвоката по факту утраты удостоверения в правоохранительные органы (в случае утраты удостоверения в результате противоправных действий третьих лиц), должна подтверждать факт утраты удостоверения в результате противоправных действий третьих лиц.

292. Удостоверение, представленное адвокатом в случае его порчи, должно содержать признаки порчи.

293. Фотография адвоката должна соответствовать требованиям, установленным пунктом 62 Административного регламента.

Прием и регистрация документов, представляемых адвокатом

294. Основанием для начала исполнения государственной функции является представление адвокатом в территориальный орган заявления и иных документов, указанных в пункте 289 Административного регламента.

295. Документы, представленные в территориальный орган адвокатом, регистрируются и передаются специалисту, ответственному за ведение регионального реестра.

Изучение документов, необходимых для выдачи адвокату нового удостоверения взамен утраченного или испорченного на предмет их соответствия требованиям, предъявляемым Административным регламентом

296. Основанием для начала административной процедуры по изучению документов, необходимых для выдачи адвокату нового удостоверения взамен утраченного или испорченного, является поступление всех документов, указанных в пункте 289 Административного регламента, к специалисту, ответственному за ведение регионального реестра.

297. При поступлении документов в территориальный орган специалист, ответственный за ведение регионального реестра, проверяет следующие факты:

1) оформлено ли заявление адвоката в соответствии с приложением N 15;

2) подтверждает ли копия документа по обращению адвоката в правоохранительные органы факт утраты удостоверения в результате противоправных действий третьих лиц;

3) подтверждает ли представленное адвокатом удостоверение факт его порчи.

298. По результатам проведенной проверки специалист, ответственный за ведение регионального реестра, принимает одно из следующих решений:

о подготовке проекта распоряжения территориального органа об объявлении утраченного или испорченного удостоверения недействительным и о выдаче адвокату нового удостоверения взамен утраченного или испорченного;

о подготовке проекта уведомления адвокату об отказе в выдаче нового удостоверения.

299. Решение в соответствии с пунктом 298 Административного регламента принимается в день завершения проверки.

300. Общий срок изучения представленных адвокатом документов не должен превышать трех рабочих дней, а при представлении адвокатом документов повторно (пункт 56 Административного регламента) - одного рабочего дня.

Издание распоряжения территориального органа об объявлении утраченного или испорченного удостоверения недействительным и выдаче адвокату нового удостоверения

301. При соответствии содержания и перечня документов требованиям, предъявляемым пунктами 290 - 293 Административного регламента, специалист, ответственный за ведение регионального реестра, готовит проекты распоряжения территориального органа об объявлении утраченного или испорченного удостоверения недействительным и выдаче адвокату нового удостоверения взамен утраченного или испорченного и уведомления адвокату о необходимости получения нового удостоверения.

Максимальный срок выполнения действия составляет 30 минут.

302. Распоряжение территориального органа должно содержать реквизиты и сведения, предусмотренные пунктом 72 Административного регламента.

303. Подготовленные проекты распоряжения и уведомления адвокату с приложением документов, указанных в пункте 289 Административного регламента, специалист, ответственный за ведение регионального реестра, передает руководителю территориального органа (лицу, исполняющему его обязанности) для подписания.

304. Руководитель территориального органа (лицо, исполняющее его обязанности) подписывает распоряжение и уведомление адвокату, которые передаются специалисту, ответственному за ведение регионального реестра.

Максимальный срок выполнения действия составляет два рабочих дня, а при представлении адвокатом документов повторно (пункт 56 Административного регламента) - один рабочий день.

305. Специалист, ответственный за ведение регионального реестра, информирует адвоката по телефону и по электронной почте (при указании адреса электронной почты в заявлении адвоката) о необходимости получения нового удостоверения, согласовывает порядок выдачи нового удостоверения.

Уведомление о необходимости получения нового удостоверения направляется адвокату.

Выдача адвокату нового удостоверения

306. При получении подписанного распоряжения территориального органа об объявлении утраченного или испорченного удостоверения недействительным и выдаче адвокату нового удостоверения взамен утраченного или испорченного специалист, ответственный за ведение регионального реестра, оформляет новое удостоверение адвоката в соответствии с порядком, установленным пунктами 21 - 23 Административного регламента, и передает удостоверение на подпись руководителю территориального органа (лицу, исполняющему его обязанности).

307. Руководитель территориального органа (лицо, исполняющее его обязанности) подписывает удостоверение адвоката, которое передается специалисту, ответственному за ведение регионального реестра.

Максимальный срок выполнения действия составляет два рабочих дня, а при представлении адвокатом документов повторно (пункт 56 Административного регламента) - один рабочий день.

308. После подписания удостоверения руководителем территориального органа (лицом, исполняющим его обязанности) в нижнем левом углу правой внутренней стороны удостоверения и на левой стороне на правом нижнем углу фотографии специалист, ответственный за ведение регионального реестра, помещает оттиски малой выжимной металлической печати с изображением Государственного герба Российской Федерации, используемой при оформлении служебных удостоверений федеральных государственных гражданских служащих Росрегистрации, при этом используется мастика красного цвета.

Максимальный срок выполнения действия составляет 5 минут.

309. Удостоверение выдается адвокату либо его представителю на основании доверенности, оформленной в порядке, установленном законодательством Российской Федерации.

310. Записи о выдаче нового удостоверения в книгу учета выдачи удостоверений адвокатов вносятся в порядке, установленном пунктом 82 Административного регламента. Если удостоверение выдается представителю адвоката, доверенность, на основании которой действовал данный представитель, приобщается к документам реестрового дела адвоката.

Максимальный срок выполнения действия составляет 30 минут.

311. Испорченное удостоверение, возвращенное адвокатом в территориальный орган, погашается специальным штампом с надписью "Аннулировано".

312. После выдачи нового удостоверения специалист, ответственный за ведение регионального реестра, готовит проект уведомления в адвокатскую палату об утрате или порче адвокатом удостоверения и выдаче ему нового удостоверения и проект письма в управление (отдел) Судебного департамента при Верховном Суде Российской Федерации и органы предварительного следствия в субъекте Российской Федерации, содержащего данную информацию, и передает их руководителю территориального органа (лицу, исполняющему его обязанности) для подписания.

Максимальный срок выполнения действия составляет 30 минут.

313. В адвокатскую палату направляется уведомление, а в управление (отдел) Судебного департамента при Верховном Суде Российской Федерации и органы предварительного следствия в субъекте Российской Федерации - письмо об утрате или порче адвокатом удостоверения и выдаче нового удостоверения.

Максимальный срок выполнения действия составляет 30 минут.

314. Распоряжение территориального органа об объявлении утраченного или испорченного удостоверения недействительным и выдаче адвокату нового удостоверения взамен утраченного или испорченного, а также документы, указанные в пункте 289 (за исключением фотографии) Административного регламента, копии уведомлений и письма, предусмотренных пунктами 301 и 312 Административного регламента (кроме фотографии), помещаются в реестровое дело адвоката.

Отказ в выдаче нового удостоверения

315. В выдаче адвокату удостоверения взамен утраченного или испорченного может быть отказано по основаниям, установленным пунктом 56 Административного регламента.

316. Отказ оформляется в виде уведомления адвокату.

317. Специалист, ответственный за ведение регионального реестра, готовит проект уведомления адвокату с указанием причин отказа в выдаче нового удостоверения и передает проект уведомления с приложением документов, указанных в пункте 289 Административного регламента, руководителю территориального органа (лицу, исполняющему его обязанности) для подписания.

Максимальный срок выполнения действия составляет 30 минут.

318. Руководитель территориального органа (лицо, исполняющее его обязанности) подписывает уведомление об отказе во внесении сведений в региональный реестр, которое передается специалисту, ответственному за ведение регионального реестра.

Максимальный срок выполнения действия составляет два рабочих дня, а при представлении адвокатом документов повторно (пункт 56 Административного регламента) - один рабочий день.

319. Специалист, ответственный за ведение регионального реестра, информирует адвоката по телефону и по электронной почте (при указании адреса электронной почты в заявлении адвоката) об отказе в выдаче нового удостоверения.

Уведомление направляется адвокату.

320. Документы, указанные в пункте 289 Административного регламента, и копия уведомления об отказе в выдаче нового удостоверения помещаются в реестровое дело адвоката.

IV. Порядок и формы контроля за исполнением государственной функции

321. Текущий контроль за соблюдением последовательности действий, определенных административными процедурами по исполнению государственной функции, осуществляется должностными лицами территориальных органов, ответственными за организацию работы по исполнению государственной функции.

322. Специалист, ответственный за ведение регионального реестра, несет персональную ответственность за:

соблюдение порядка приема документов;

соответствие результатов рассмотрения документов требованиям законодательства Российской Федерации;

соблюдение порядка, в том числе сроков, внесения сведений в региональный реестр, выдачи адвокатам удостоверений, документов, подтверждающих статус адвоката, подготовки уведомлений об отказе во внесении сведений в региональный реестр и об отказе в выдаче адвокатам удостоверений;

правильность внесения сведений в региональный реестр, удостоверения, книгу учета выданных удостоверений адвокатов.

323. Персональная ответственность специалистов территориальных органов закрепляется в их должностных регламентах в соответствии с требованиями законодательства.

324. Перечень должностных лиц, осуществляющих текущий контроль, устанавливается индивидуальными правовыми актами территориальных органов.

325. Текущий контроль осуществляется путем проведения должностным лицом, ответственным за организацию работы по исполнению государственной функции, проверок соблюдения и исполнения специалистами положений Административного регламента, иных нормативных правовых актов Российской Федерации.

Периодичность осуществления текущего контроля устанавливается руководителем территориального органа.

326. Федеральная регистрационная служба организует и осуществляет контроль за исполнением государственной функции территориальными органами.

Контроль за полнотой и качеством исполнения государственной функции включает в себя проведение проверок, выявление и устранение нарушений прав претендентов, успешно сдавших квалификационные экзамены, адвокатов (далее - заявители), органов адвокатских палат, рассмотрение, принятие решений и подготовку ответов на обращения заявителей (запросов адвокатских палат), содержащих жалобы на действия (бездействие) должностных лиц территориальных органов.

По результатам проведенных проверок в случае выявления нарушений прав заявителей виновные лица привлекаются к ответственности в порядке, установленном законодательством Российской Федерации.

327. Проверки могут быть плановыми (осуществляться на основании полугодовых или годовых планов работы Росрегистрации) и внеплановыми. При проверке могут рассматриваться все вопросы, связанные с исполнением государственной функции (комплексные проверки), или вопросы, связанные с исполнением той или иной административной процедуры (тематические проверки). Проверка также может проводиться по конкретному обращению заявителя (запросу адвокатской палаты).

V. Порядок обжалования действий (бездействия) и решений, осуществляемых (принятых) в ходе исполнения государственной функции

328. Заявитель, адвокатская палата (ее органы) имеет право на обжалование действий или бездействия должностных лиц Росрегистрации, ее территориальных органов в досудебном и судебном порядке.

329. Отказ во внесении сведений в региональный реестр и в выдаче удостоверения адвоката может быть обжалован в судебном порядке.

330. Контроль деятельности территориальных органов осуществляет Федеральная регистрационная служба, контроль деятельности Росрегистрации осуществляет Министерство юстиции Российской Федерации.

331. Заявитель, адвокатская палата (ее органы) вправе обжаловать действия (бездействие) должностных лиц:

территориальных органов - в Федеральную регистрационную службу;

Федеральной регистрационной службы - руководителю Федеральной регистрационной службы, в Министерство юстиции Российской Федерации;

руководителя Федеральной регистрационной службы, в том числе в связи с непринятием основанных на законодательстве Российской Федерации мер в отношении действий или бездействия должностных лиц Росрегистрации и ее территориальных органов, - в Министерство юстиции Российской Федерации.

332. Заявитель вправе обратиться с жалобой, адвокатская палата (ее органы) - с запросом в устной или письменной форме.

333. Заявитель, адвокатская палата (ее органы) могут сообщить о нарушении своих прав и законных интересов, противоправных решениях, действиях или бездействии должностных лиц Росрегистрации (территориальных органов), нарушении положений Административного регламента, некорректном поведении или нарушении служебной этики:

по номерам телефонов, содержащимся в приложении N 5;

на Интернет-сайт и по электронной почте органов, исполняющих государственную функцию.

Сообщение заявителя содержит следующую информацию:

фамилию, имя, отчество гражданина, которым подается сообщение, его место жительства или пребывания;

наименование органа, должность, фамилию, имя и отчество специалиста (при наличии информации), решение, действие (бездействие) которого нарушает права и законные интересы заявителя;

суть нарушения прав и законных интересов, противоправного решения, действия (бездействия);

сведения о способе информирования заявителя о принятых мерах по результатам рассмотрения его сообщения.

Запрос адвокатской палаты (ее органа) содержит следующую информацию:

наименование адвокатской палаты (ее органа), которой подается запрос, адрес ее места нахождения;

наименование органа, должность, фамилию, имя и отчество специалиста (при наличии информации), решение, действие (бездействие) которого обжалуются;

суть нарушения (противоправного решения, действия (бездействия));

сведения о способе информирования адвокатской палаты о принятых мерах по результатам рассмотрения ее запроса.

334. Заявитель в своем письменном обращении в обязательном порядке указывает либо наименование органа, в который направляет обращение, либо фамилию, имя, отчество соответствующего должностного лица, либо должность соответствующего должностного лица, а также свои фамилию, имя, отчество (последнее - при наличии), почтовый адрес, по которому должен быть направлен ответ или уведомление о переадресовании обращения, излагает суть предложения, заявления или жалобы, ставит личную подпись и дату.

Дополнительно в обращении могут быть указаны:

обстоятельства, на основании которых заявитель считает, что нарушены его права, свободы и законные интересы, созданы препятствия для их реализации;

иные сведения, которые заявитель считает необходимым сообщить.

В случае необходимости в подтверждение своих доводов заявитель прилагает к письменному обращению документы либо их копии.

335. При обращении заявителя в письменной форме срок рассмотрения обращения не должен превышать 30 дней с момента регистрации такого обращения.

В исключительных случаях (в том числе при принятии решения о проведении проверки в соответствии с пунктом 327 Административного регламента, направлении Росрегистрацией запроса в соответствующий территориальный орган о представлении дополнительных документов), а также в случае направления запроса другим государственным органам, органам местного самоуправления и иным должностным лицам для получения необходимых для рассмотрения обращения документов и материалов руководитель Росрегистрации (ее территориального органа), иное уполномоченное на то должностное лицо вправе продлить срок рассмотрения обращения не более чем на 30 дней, уведомив о продлении срока его рассмотрения заявителя.

Запрос адвокатской палаты (ее органов) рассматривается в аналогичные сроки.

336. По результатам рассмотрения обращения (запроса) уполномоченным должностным лицом Росрегистрации (ее территориального органа) принимается решение об удовлетворении требований заявителя (адвокатской палаты) либо об отказе в удовлетворении обращения (запроса).

Письменный ответ, содержащий результаты рассмотрения обращения (запроса), направляется заявителю (адвокатской палате).

337. Если в письменном обращении не указаны фамилия заявителя, направившего обращение, и почтовый адрес, по которому должен быть направлен ответ, ответ на обращение не дается.

Росрегистрация (ее территориальные органы) при получении письменного обращения (запроса), в котором содержатся нецензурные либо оскорбительные выражения, угрозы жизни, здоровью и имуществу должностного лица, а также членов его семьи, вправе оставить обращение (запрос) без ответа по существу поставленных в нем вопросов и сообщить заявителю (адвокатской палате), направившему обращение, о недопустимости злоупотребления правом.

Если текст письменного обращения (запроса) не поддается прочтению, ответ на обращение (запрос) не дается, о чем сообщается заявителю (адвокатской палате), направившему обращение, если фамилия и почтовый адрес заявителя поддаются прочтению.

Если в письменном обращении заявителя содержится вопрос, на который заявителю многократно давались письменные ответы по существу в связи с ранее направляемыми обращениями, и при этом в обращении не приводятся новые доводы или обстоятельства, руководитель Росрегистрации (ее территориального органа), иное уполномоченное на то должностное лицо вправе принять решение о безосновательности очередного обращения и прекращении переписки с заявителем по данному вопросу при условии, что указанное обращение и ранее направляемые обращения направлялись в Росрегистрацию или в один и тот же ее территориальный орган или одному и тому же должностному лицу. О данном решении уведомляется заявитель, направивший обращение.

Если ответ по существу поставленного в обращении (запросе) вопроса не может быть дан без разглашения сведений, составляющих государственную или иную охраняемую федеральным законом тайну, заявителю (адвокатской палате), направившему обращение, сообщается о невозможности дать ответ по существу поставленного в нем вопроса в связи с недопустимостью разглашения указанных сведений.

Если причины, по которым ответ по существу поставленных в обращении (запросе) вопросов не мог быть дан, в последующем были устранены, заявитель (адвокатская палата) вправе вновь направить обращение в Росрегистрацию (ее территориальный орган) или к соответствующему должностному лицу Росрегистрации (ее территориального органа).

Обращение, в котором обжалуется судебное решение, возвращается гражданину, направившему обращение, с разъяснением порядка обжалования данного судебного решения.

Приложение N 1
к Административному регламенту

РЕЕСТР АДВОКАТОВ
_______________________________________________
(наименование субъекта Российской Федерации)

Регистрационный номер Фамилия, имя, отчество адвоката Присвоение статуса адвоката Приостановление статуса адвоката Возобновление статуса адвоката Прекращение статуса адвоката Исключение сведений об адвокате из реестра Внесение изменений
реквизиты решения квалификационной комиссии адвокатской палаты о присвоении статуса адвоката реквизиты распоряжения территориального органа Росрегистрации о внесении сведений об адвокате в реестр реквизиты решения совета адвокатской палаты о приостановлении статуса адвоката реквизиты распоряжения территориального органа Росрегистрации о внесении в реестр сведений о приостановлении статуса адвоката реквизиты решения совета адвокатской палаты о возобновлении статуса адвоката реквизиты распоряжения территориального органа Росрегистрации о внесении в реестр сведений о возобновлении статуса адвоката реквизиты решения совета адвокатской палаты о прекращении статуса адвоката реквизиты распоряжения территориального органа Росрегистрации о внесении в реестр сведений о прекращении статуса адвоката реквизиты уведомления совета адвокатской палаты реквизиты распоряжения территориального органа Росрегистрации об исключении сведений об адвокате из реестра содержание изменений реквизиты распоряжения территориального органа Росрегистрации о внесении в реестр изменений
1 2 3 4 5 6 7 8 9 10 11 12 13 14
                           

Приложение N 2
к Административному регламенту

                    ФОРМА УДОСТОВЕРЕНИЯ АДВОКАТА 
 
         (в ред. Приказа Минюста РФ от 30.07.2008 N 157)
 
                                                Обложка удостоверения 
 
                                 









                                  

Изображение
Государственного герба
Российской Федерации

УДОСТОВЕРЕНИЕ АДВОКАТА



 
                                     Внутренняя сторона удостоверения 
 
                                  
------¬
¦ ¦ Изображение
¦ФОТО ¦ Государственного герба
¦ ¦ Российской Федерации
¦ ¦
L------
Удостоверение
N ____

выдано __________________________
наименование
_________________________________
территориального органа
_________________________________
Министерства юстиции Российской
_________________________________
Федерации, выдавшего удостоверение

Дата выдачи удостоверения _______

_________________________________ 
фамилия
_________________________________
имя, отчество

ЯВЛЯЕТСЯ АДВОКАТОМ

регистрационный номер ___________
в реестре адвокатов _____________
наименование
_________________________________
субъекта Российской Федерации
_________________________________

Руководитель

____________ __________________
подпись фамилия, инициалы



 
              1. Описание обложки удостоверения 
 
   Обложка удостоверения изготавливается из кожзаменителя красного
цвета размером в развернутом виде 200 мм x 70 мм.
   На   лицевой   стороне   обложки   выполнена   тисненая надпись
золотистого   цвета   "Удостоверение   адвоката".   Над   надписью
расположено    изображение    Государственного    герба Российской
Федерации.
 
          2. Описание внутренней стороны удостоверения 
 
   Внутренняя   сторона   удостоверения   имеет   бело-синий фон с
защитной сеткой в виде надписи "адвокат".
   На   левой   внутренней   стороне   удостоверения   размещается
фотография,    справа    от    фотографии    помещено  изображение
Государственного  герба  Российской  Федерации в цветном варианте,
ниже     указываются:     номер     удостоверения;    наименование
территориального  органа Министерства юстиции Российской Федерации
в    субъекте    (субъектах)    Российской    Федерации, выдавшего
удостоверение;  дата  выдачи удостоверения. На правый верхний угол
фотографии наклеивается защитный голографический знак.
   На   правой   внутренней   стороне   удостоверения указываются:
фамилия,  имя, отчество адвоката; регистрационный номер адвоката в
реестре  адвокатов  субъекта  Российской  Федерации и наименование
этого   реестра;   должность,   фамилия,   инициалы   руководителя
территориального  органа Министерства юстиции Российской Федерации
в  субъекте  (субъектах)  Российской  Федерации, проставляется его
подпись.

 
 

Приложение N 3
к Административному регламенту

КНИГА УЧЕТА БЛАНКОВ УДОСТОВЕРЕНИЙ АДВОКАТОВ

Дата получения бланков Количество полученных бланков Дата и номер накладной Количество выданных бланков Количество уничтоженных бланков (дата и номер акта) Остаток бланков на отчетный период
1 2 3 4 5 6 7
Бланки обложек            
Бланки внутренней стороны удостоверений            

Приложение N 4
к Административному регламенту

КНИГА УЧЕТА ВЫДАЧИ УДОСТОВЕРЕНИЙ АДВОКАТОВ

Номер удостоверения Реквизиты распоряжения территориального органа Росрегистрации о внесении сведений в региональный реестр или замене удостоверения в связи с утратой, порчей, изменением Ф.И.О. адвоката Фамилия, имя, отчество адвоката Дата выдачи удостоверения Подпись адвоката о получении удостоверения Реквизиты распоряжения территориального органа Росрегистрации о внесении в региональный реестр сведений о приостановлении статуса адвоката Дата сдачи удостоверения в территориальный орган Росрегистрации в связи с приостановлением статуса адвоката Реквизиты распоряжения территориального органа Росрегистрации о внесении в региональный реестр сведений о возобновлении статуса адвоката Дата возврата удостоверения адвокату в связи с возобновлением статуса и подпись адвоката о получении удостоверения Реквизиты распоряжения территориального органа Росрегистрации о внесении в региональный реестр сведений о превращении статуса адвоката или исключении сведений о нем из регионального реестра Дата сдачи удостоверения в территориальный орган Росрегистрации в связи с прекращением статуса адвоката или исключением сведений о нем из регионального реестра Дата выдачи справки, подтверждающей статус адвоката, и подпись адвоката о получении справки
1 2 3 4 5 6 7 8 9 10 11 12

Приложение N 5
к Административному регламенту

СВЕДЕНИЯ О МЕСТОНАХОЖДЕНИИ, КОНТАКТНЫХ ТЕЛЕФОНАХ, ИНТЕРНЕТ-АДРЕСАХ, АДРЕСАХ ЭЛЕКТРОННОЙ ПОЧТЫ РОСРЕГИСТРАЦИИ И ТЕРРИТОРИАЛЬНЫХ ОРГАНОВ РОСРЕГИСТРАЦИИ, ИСПОЛНЯЮЩИХ ГОСУДАРСТВЕННУЮ ФУНКЦИЮ

Федеральная регистрационная служба

Адрес: ул. Воронцово поле, д. 4а, Москва, 109028

Телефон: (8-495) 606-96-27, 917-48-52

Адрес сайта: www.rosregistr.ru

Управление Федеральной регистрационной службы по Республике Адыгея

Адрес: ул. Жуковского, д. 32, г. Майкоп, 385000

Телефон: (8-877-2) 52-36-22, 57-08-78

Адрес электронной почты: 01_upr@rosregistr.ru

Адрес сайта: www.ufrs-ra.ru

Управление Федеральной регистрационной службы по Республике Алтай

Адрес: ул. Чаптынова, д. 20, г. Горно-Алтайск, 649000

Телефон: (8-388-22) 2-26-36, 4-24-52, ф. 9-51-93

Адрес электронной почты: 02_upr@rosregistr.ru

Адрес сайта: http://rosreg.altai-republic.ru

Управление Федеральной регистрационной службы по Республике Башкортостан

Адрес: ул. Ленина, д. 70, г. Уфа, 450077

Телефон: (8-347-2) 73-09-76, ф. 72-72-18

Адрес электронной почты: 03_upr@rosregistr.ru

Адрес сайта: http://frsrb.on.ufanet.ru

Управление Федеральной регистрационной службы по Республике Бурятия

Адрес: ул. Борсоева, д. 13е, г. Улан-Удэ, 670000

Телефон: (8-301-2) 29-74-66, ф. 21-38-97

Адрес электронной почты: 04_upr@rosregistr.ru

Адрес сайта: http://ufrs.e-baikal.ru

Управление Федеральной регистрационной службы по Республике Дагестан

Адрес: просп. Гамидова, д. 9а, г. Махачкала, 367013

Телефон: (8-872-2) 67-21-43, ф. 68-28-91

Адрес электронной почты: 05_upr@rosregistr.ru

Управление Федеральной регистрационной службы по Республике Ингушетия

Адрес: просп. И. Базоркина, д. 16а, г. Назрань, 386101

Телефон: (8-873-2) 28-28-48, ф. 22-84-35

Адрес электронной почты: 06_upr@rosregistr.ru

Управление Федеральной регистрационной службы по Кабардино-Балкарской Республике

Адрес: ул. Пушкина, д. 101, г. Нальчик, 360000

Телефон: т/ф. (8-866-2) 77-08-93

Адрес электронной почты: 07_upr@rosregistr.ru

Управление Федеральной регистрационной службы по Республике Калмыкия

Адрес: ул. Ю. Клыкова, д. 1, г. Элиста, 358000

Телефон: (8-847-22) 5-04-33, ф. 5-41-88

Адрес электронной почты: 08_upr@rosregistr.ru

Управление Федеральной регистрационной службы по Карачаево-Черкесской Республике

Адрес: ул. Комсомольская, д. 23, г. Черкесск, 369000

Телефон: (8-878-22) 5-37-83, ф. 5-67-56

Адрес электронной почты: 09_upr@rosregistr.ru

Управление Федеральной регистрационной службы по Республике Карелия

Адрес: ул. Красная, д. 33, г. Петрозаводск, 185910

Телефон: (8-814-2) 76-95-06, ф. 76-22-00

Адрес электронной почты: 10_upr@rosregistr.ru

Адрес сайта: http://rosreg.karelia.ru

Управление Федеральной регистрационной службы по Республике Коми

Адрес: ул. Сысольское шоссе, д. 1/4, г. Сыктывкар, 167981

Телефон: (8-821-2) 20-12-42, 29-19-35, ф. 29-11-15

Адрес электронной почты: 11_upr@rosregistr.ru

Адрес сайта: www.frs11.ru

Управление Федеральной регистрационной службы по Республике Марий Эл

Адрес: ул. Чехова, д. 73а, г. Йошкар-Ола, 424031

Телефон: (8-836-2) 68-88-08, 45-89-59, ф. 41-06-46

Адрес электронной почты: 12_upr@rosregistr.ru

Адрес сайта: www.gosreg.mari.ru

Управление Федеральной регистрационной службы по Республике Мордовия

Адрес: ул. Л. Толстого, д. 21, г. Саранск, 430000

Телефон: (8-834-2) 24-18-70, ф. 47-23-71

Адрес электронной почты: 13_upr@rosregistr.ru

Управление Федеральной регистрационной службы по Республике Саха (Якутия)

Адрес: просп. Ленина, д. 30, г. Якутск, 677011

Телефон: (8-411-2) 42-95-32, ф. 42-27-89

Адрес электронной почты: 14_upr@rosregistr.ru

Адрес сайта: http://rosreg.sakha.ru

Управление Федеральной регистрационной службы по Республике Северная Осетия - Алания

Адрес: ул. М. Горького, д. 28, г. Владикавказ, 362040

Телефон: (8-867-2) 54-97-01, 45-16-08

Адрес электронной почты: 15_upr@rosregistr.ru

Адрес сайта: http://ufrsalania.ru

Управление Федеральной регистрационной службы по Республике Татарстан

Адрес: ул. Авангардная, д. 74, г. Казань, 420054

Телефон: (8-843-2) 278-88-04, ф. 278-88-06

Адрес электронной почты: 16_upr@rosregistr.ru

Адрес сайта: www.gufrs-rt.ru

Управление Федеральной регистрационной службы по Республике Тыва

Адрес: ул. Щетинкина-Кравченко, д. 37а, г. Кызыл, 667000

Телефон: (8-394-22) 1-38-61, ф. 1-38-60

Адрес электронной почты: 17_upr@rosregistr.ru

Адрес сайта: http://rosreg-tuva.ru

Управление Федеральной регистрационной службы по Удмуртской Республике

Адрес: ул. М. Горького, д. 56, г. Ижевск, 426051

Телефон: (8-341-2) 78-37-10, ф. 78-72-06

Адрес электронной почты: 18_upr@rosregistr.ru

Адрес сайта: http://rosreg.udm.ru

Управление Федеральной регистрационной службы по Республике Хакасия

Адрес: ул. Вяткина, д. 12, г. Абакан, а/я 241, 665017

Телефон: (8-390-2) 22-10-50

Адрес электронной почты: 19_urp@rosregistr.ru

Адрес сайта: http://ufrs.khakassia.ru

Управление Федеральной регистрационной службы по Чеченской Республике

Адрес: ул. Гаражная, д. 10а, Старопромысловский р-он, г. Грозный, 364000

Телефон: (8-871-2) 22-28-02, 22-22-89

Адрес электронной почты: 20_upr@rosregistr.ru

Управление Федеральной регистрационной службы по Чувашской Республике

Адрес: ул. К. Маркса, д. 56, г. Чебоксары, 428000

Телефон: (8-835-2) 62-17-53, ф. 62-61-62

Адрес электронной почты: 21_upr@rosregistr.ru

Адрес сайта: http://rosreg21.ru

Управление Федеральной регистрационной службы по Алтайскому краю

Адрес: ул. Молодежная, д. 68а, г. Барнаул, 656031

Телефон: т/ф. (8-385-2) 62-81-31

Адрес электронной почты: 22_upr@rosregistr.ru

Адрес сайта: http://altreg.ru/

Управление Федеральной регистрационной службы по Забайкальскому краю

Адрес: ул. Анохина, д. 63, г. Чита, 672000

Телефон: (8-302-2) 32-52-42, ф. 35-52-05, ф. 35-22-11

Адрес электронной почты: 75_upr@rosregistr.ru

Адрес сайта: www.frs.chita.ru

Управление Федеральной регистрационной службы по Камчатскому краю

Адрес: пер. Ботанический, д. 4, г. Петропавловск-Камчатский, а/я 10, 683017

Телефон: т/ф. (8-415-2) 46-70-54

Адрес электронной почты: 41_upr@rosregistr.ru

Адрес сайта: www.realty.kamchatka.ru

Управление Федеральной регистрационной службы по Краснодарскому краю

Адрес: ул. Ленина, д. 28, г. Краснодар, 350063

Телефон: (8-861) 279-18-00, ф. 279-18-26

Адрес электронной почты: 23_upr@rosregistr.ru

Адрес сайта: www.frskuban.ru

Управление Федеральной регистрационной службы по Красноярскому краю

Адрес: ул. Дубровинского, д. 114, г. Красноярск, 660021

Телефон: (8-391-2) 58-06-01, 58-06-10

Адрес электронной почты: 24_upr@rosregistr.ru

Адрес сайта: http://www.krp.ru

Управление Федеральной регистрационной службы по Пермскому краю

Адрес: ул. Газеты "Звезда", д. 5, г. Пермь, 614990

Телефон: т/ф. (8-342) 210-36-80

Адрес электронной почты: 59_upr@rosregistr.ru

Адрес сайта: www.frs.perm.ru

Управление Федеральной регистрационной службы по Приморскому краю

Адрес: ул. Посьетская, д. 48, г. Владивосток, 690091

Телефон: (8-423-2) 41-34-13, ф. 41-34-04

Адрес электронной почты: 25_upr@rosregistr.ru

Адрес сайта: www.prim-regprav.ru

Управление Федеральной регистрационной службы по Ставропольскому краю

Адрес: ул. Комсомольская, д. 58, г. Ставрополь, 355012

Телефон: (8-865-2) 26-74-67, ф. 94-17-20

Адрес электронной почты: 26_upr@rosregistr.ru

Адрес сайта: www.stavreg.ru

Управление Федеральной регистрационной службы по Хабаровскому краю и Еврейской автономной области

Адрес: ул. Дзержинского, д. 43, г. Хабаровск, 680000

Телефон: (8-421-2) 31-43-05, ф. 42-31-91

Адрес электронной почты: 27_gupr@rosregistr.ru

Управление Федеральной регистрационной службы по Амурской области

Адрес: ул. Ленина, д. 192, Амурская область, г. Благовещенск, 675000

Телефон: (8-416-2) 20-03-51, ф. 28-67-01

Адрес электронной почты: 28_upr@rosregistr.ru

Управление Федеральной регистрационной службы по Архангельской области и Ненецкому автономному округу

Адрес: ул. Садовая, д. 5, к. 1, г. Архангельск, 163069

Телефон: (8-818-2) 28-67-02, 65-65-01, ф. 28-67-01

Адрес электронной почты: 29_upr@rosregistr.ru

Адрес сайта: www.29frs.ru

Управление Федеральной регистрационной службы по Астраханской области

Адрес: ул. Р. Люксембург, д. 9, г. Астрахань, 414000

Телефон: (8-851-2) 25-02-04, 25-14-07, ф. 25-75-68

Адрес электронной почты: 30_upr@rosregistr.ru

Адрес сайта: www.justice.astranet.ru

Управление Федеральной регистрационной службы по Белгородской области

Адрес: просп. Б. Хмельницкого, д. 162, г. Белгород, 308010

Телефон: (8-472-2) 35-83-63, ф. 35-82-70

Адрес электронной почты: 31_upr@rosregistr.ru

Адрес сайта: www.belscli.ru

Управление Федеральной регистрационной службы по Брянской области

Адрес: ул. 3 июля, д. 27, г. Брянск, 241050

Телефон: т/ф. (8-483-2) т/ф. 64-31-71

Адрес электронной почты: 32_upr@rosregistr.ru

Адрес сайта: www.debryansk.ru/~komreg

Управление Федеральной регистрационной службы по Владимирской области

Адрес: ул. Офицерская, д. 33а, г. Владимир, 600033

Телефон: (8-492-2) 32-16-61, 36-67-50

Адрес электронной почты: 33_upr@rosregistr.ru

Адрес сайта: www.vladrosreg.ru

Управление Федеральной регистрационной службы по Волгоградской области

Адрес: ул. Калинина, д. 4, г. Волгоград, 400001

Телефон: т/ф. (8-844-2) 93-13-21

Адрес электронной почты: 34_gupr@rosregistr.ru

Адрес сайта: www.voru.ru

Управление Федеральной регистрационной службы по Вологодской области

Адрес: ул. Пушкинская, д. 25, г. Вологда, 160000

Телефон: т/ф. (8-817-2) 72-48-90

Адрес электронной почты: 35_upr@rosregistr.ru

Адрес сайта: www.vologda-oblast.ru/sub/ufrs

Управление Федеральной регистрационной службы по Воронежской области

Адрес: ул. Донбасская, д. 2, г. Воронеж, 394026

Телефон: (8-473-2) 72-00-00, ф. 72-00-11

Адрес электронной почты: 36_upr@rosregistr.ru

Адрес сайта: http://frs.rn.ru

Управление Федеральной регистрационной службы по Ивановской области

Адрес: ул. Кавалерийская, д. 5, г. Иваново, 153000

Телефон: (8-493-2) 35-34-33, ф. 53-50-31

Адрес электронной почты: 37_upr@rosregistr.ru

Адрес сайта: http://ufrs37.ru

Управление Федеральной регистрационной службы по Иркутской области

Адрес: ул. Жулябова, д. 6, г. Иркутск, 664011

Телефон: (8-395-2) 28-08-05, ф. 33-23-17

Адрес электронной почты: 38_upr@rosregistr.ru

Адрес сайта: http://just38.ru

Управление Федеральной регистрационной службы по Калининградской области

Адрес: ул. Соммера, д. 27, г. Калининград, 236040

Телефон: (8-401-2) 59-67-67, ф. 53-69-87

Адрес электронной почты: 39_upr@rosregistr.ru

Адрес сайта: www.rosregistr39.ru

Управление Федеральной регистрационной службы по Калужской области

Адрес: ул. Ф. Энгельса, д. 25, г. Калуга, 248023

Телефон: (8-484-2) 54-64-25, ф. 54-51-97

Адрес электронной почты: 40_upr@rosregistr.ru

Адрес сайта: http://ufrs-kaluga.ru

Управление Федеральной регистрационной службы по Кемеровской области

Адрес: просп. Советский, д. 63, г. Кемерово, 650099

Телефон: т/ф. (8-384-2) 36-35-80

Адрес электронной почты: 42_upr@rosregistr.ru

Адрес сайта: www.42rosreg.ru

Управление Федеральной регистрационной службы по Кировской области

Адрес: ул. Ленина, д. 108, г. Киров, 610002

Телефон: (8-833-2) 67-06-48, ф. 67-84-77

Адрес электронной почты: 43_upr@rosregistr.ru

Адрес сайта: www.rosreg.kirov.ru

Управление Федеральной регистрационной службы по Костромской области

Адрес: ул. Сенная, д. 17, г. Кострома, 156013

Телефон: т/ф. (8-494-2) 31-45-41

Адрес электронной почты: 44_upr@rosregistr.ru

Адрес сайта: www.kostroma-rosreg.ru

Управление Федеральной регистрационной службы по Курганской области

Адрес: ул. Гоголя, д. 103, г. Курган, 640000

Телефон: т/ф. (8-352-2) 46-02-52

Адрес электронной почты: 45_upr@rosregistr.ru

Адрес сайта: www.rpalata.kurgan.ru

Управление Федеральной регистрационной службы по Курской области

Адрес: ул. 50 лет Октября, д. 4/6, г. Курск, 305016

Телефон: т/ф. (8-471-2) 51-17-01

Адрес электронной почты: 46_upr@rosregistr.ru

Адрес сайта: http://reg.kurskcity.ru

Управление Федеральной регистрационной службы по Липецкой области

Адрес: пл. Победы, д. 8, г. Липецк, 398001

Телефон: (8-474-2) 22-59-06, ф. 22-35-17

Адрес электронной почты: 48_upr@rosregistr.ru

Адрес сайта: www.nedvig.1cpi.ru

Управление Федеральной регистрационной службы по Магаданской области и Чукотскому автономному округу

Адрес: ул. Якутская, д. 51, г. Магадан, 685000

Телефон: (8-413-2) 67-90-89, ф. 65-02-22

Адрес электронной почты: 49_upr@rosregistr.ru

Адрес сайта: ufrsmo.maglan.ru

Управление Федеральной регистрационной службы по Московской области

Адрес: ул. Поклонная, д. 13, г. Москва, 121170

Телефон: т/ф. (8-495) 148-86-56

Адрес электронной почты: 50_upr@rosregistr.ru

Адрес сайта: www.mosoblreg.ru

Управление Федеральной регистрационной службы по Мурманской области

Адрес: ул. Карла Либкнехта, д. 46, корп. 2, г. Мурманск, 183012

Телефон: т/ф. (8-815-2) 42-82-39

Адрес электронной почты: 51_upr@rosregistr.ru

Адрес сайта: www.ufrs51.ru

Управление Федеральной регистрационной службы по Нижегородской области

Адрес: ул. 1-я Оранжерейная, д. 46, ГСП-888, г. Нижний Новгород, 603950

Телефон: т/ф. (8-831) 439-73-38

Адрес электронной почты: 52_upr@rosregistr.ru

Адрес сайта: www.reis.nnov.ru

Управление Федеральной регистрационной службы по Новгородской области

Адрес: ул. Стратилатовская, д. 19, г. Великий Новгород, 173001

Телефон: (8-816-2) 78-65-51, ф. 77-37-93

Адрес электронной почты: 53_upr@rosregistr.ru

Адрес сайта: http://ufrs.nov.ru

Управление Федеральной регистрационной службы по Новосибирской области

Адрес: ул. Державина, д. 28, г. Новосибирск, 630091

Телефон: т/ф. (8-383) 227-10-87

Адрес электронной почты: 54_upr@rosregistr.ru

Адрес сайта: http://just.siberia.net

Управление Федеральной регистрационной службы по Омской области

Адрес: ул. Красный Путь, д. 5, г. Омск, 644002

Телефон: т/ф. (8-381-2) 24-32-10

Адрес электронной почты: 55_upr@rosregistr.ru

Адрес сайта: www.omskregistr.ru

Управление Федеральной регистрационной службы по Оренбургской области

Адрес: ул. Пушкинская, д. 10, г. Оренбург, 460000

Телефон: (8-353-2) 77-70-71, ф. 77-00-52

Адрес электронной почты: 56_upr@rosregistr.ru

Адрес сайта: www.yust.orb.ru

Управление Федеральной регистрационной службы по Орловской области

Адрес: ул. Октябрьская, д. 47, г. Орел, 302028

Телефон: (8-486-2) 43-55-61, ф. 45-64-34

Адрес электронной почты: 57_upr@rosregistr.ru

Адрес сайта: www.reg.orel.ru

Управление Федеральной регистрационной службы по Пензенской области

Адрес: ул. Суворова, д. 39а, г. Пенза, 440600

Телефон: т/ф. (8-841-2) 55-22-79

Адрес электронной почты: 58_upr@rosregistr.ru

Адрес сайта: http://ufrs.pnz.ru

Управление Федеральной регистрационной службы по Псковской области

Адрес: ул. Текстильная, д. 3, г. Псков, 180019

Телефон: (8-811-2) 72-14-09, 53-55-84

Адрес электронной почты: 60_upr@rosregistr.ru

Адрес сайта: www.rppskov.ru

Управление Федеральной регистрационной службы по Ростовской области

Адрес: Соборный переулок, д. 2а, г. Ростов-на-Дону, 344002

Телефон: (8-863) 200-63-30, т/ф. 200-63-40

Адрес электронной почты: 61_upr@rosregistr.ru

Адрес сайта: www.donjust.ru

Управление Федеральной регистрационной службы по Рязанской области

Адрес: ул. Право-Лыбедская, д. 35, г. Рязань, 390000

Телефон: (8-491-2) 21-93-99, 21-61-50, 21-11-43, ф. 25-61-59

Адрес электронной почты: 62_upr@rosregistr.ru

Адрес сайта: www.rosreg62.ru

Управление Федеральной регистрационной службы по Самарской области

Адрес: ул. Некрасовская, д. 3, г. Самара, 443099

Телефон: т/ф. (8-846) 333-54-25

Адрес электронной почты: 63_gupr@rosregistr.ru

Адрес сайта: www.samregistr.ru

Управление Федеральной регистрационной службы по Саратовской области

Адрес: Театральная площадь, д. 11, г. Саратов, 410012

Телефон: (8-845-2) 26-32-20, ф. 27-20-75

Адрес электронной почты: 64_upr@rosregistr.ru

Адрес сайта: http://saratov.gov.ru/government/departments/minust

Управление Федеральной регистрационной службы по Сахалинской области

Адрес: ул. Ленина, д. 250, г. Южно-Сахалинск, 693013

Телефон: (8-424-2) 74-48-11, ф. 74-26-48

Адрес электронной почты: 65_upr@rosregistr.ru

Адрес сайта: www.sakhrosreg.ru

Управление Федеральной регистрационной службы по Свердловской области

Адрес: ул. Генеральская, д. 6а, г. Екатеринбург, 620062

Телефон: (8-343) 375-39-00, ф. 375-39-11

Адрес электронной почты: 66_upr@frs66.ru

Адрес сайта: www.frs66.ru

Управление Федеральной регистрационной службы по Смоленской области

Адрес: ул. Полтавская, д. 8, г. Смоленск, 214025

Телефон: (8-481-2) 35-12-37, ф. 35-12-51

Адрес электронной почты: 67_upr@rosregistr.ru

Адрес сайта: http://admin.smolensk.ru/~ufrs/

Управление Федеральной регистрационной службы по Тамбовской области

Адрес: ул. К. Маркса, д. 142, г. Тамбов, 392036

Телефон: (8-475-2) 47-14-08, 47-26-38, ф. 47-10-60

Адрес электронной почты: 68_upr@rosregistr.ru

Адрес сайта: www.frs.tmb.ru

Управление Федеральной регистрационной службы по Тверской области

Адрес: Свободный пер., д. 2, г. Тверь, 170100

Телефон: (8-482-2) 509-510, ф. 32-08-61

Адрес электронной почты: 69_upr@rosregistr.ru

Адрес сайта: www.tufrs.ru/department20.html

Управление Федеральной регистрационной службы по Томской области

Адрес: ул. Пушкина, д. 34/1, г. Томск, 634003

Телефон: (8-382-2) 27-91-92, ф. 65-66-59

Адрес электронной почты: 70_upr@rosregistr.ru

Адрес сайта: www.rosreg.tomsk.ru

Управление Федеральной регистрационной службы по Тульской области

Адрес: ул. Сойфера, д. 20А, г. Тула, 300041

Телефон: (8-487-2) 30-10-11, ф. 31-53-65

Адрес электронной почты: 71_upr@rosregistr.ru

Управление Федеральной регистрационной службы по Тюменской области, Ханты-Мансийскому и Ямало-Ненецкому автономным округам

Адрес: ул. М. Горького, д. 74, г. Тюмень, 625048

Телефон: (8-345-2) 42-23-00, ф. 43-43-18

Адрес электронной почты: 72_upr@rosregistr.ru

Адрес сайта: www.frs.72rus.ru

Управление Федеральной регистрационной службы по Ульяновской области

Адрес: ул. Карла Маркса, д. 29, г. Ульяновск, 432071

Телефон: т/ф. (8-842-2) 42-24-27

Адрес электронной почты: 73_upr@rosregistr.ru

Адрес сайта: www.ufrs.mv.ru

Управление Федеральной регистрационной службы по Челябинской области

Адрес: ул. Елькина, д. 85, г. Челябинск, 454048

Телефон: (8-351) 237-67-45, ф. 237-99-11

Адрес электронной почты: 74_upr@rosregistr.ru

Управление Федеральной регистрационной службы по Ярославской области

Адрес: просп. Толбухина, д. 64-а, г. Ярославль, 150014

Телефон: (8-485-2) 72-20-51, ф. 30-17-52

Адрес электронной почты: 76_upr@rosregistr.ru

Адрес сайта: www.adm.yar.ru/yarufrs

Управление Федеральной регистрационной службы по Москве

Адрес: ул. Большая Тульская, д. 15, г. Москва, 115191

Телефон: 957-69-01, ф. 954-28-65

Адрес электронной почты: 77_upr@rosregistr.ru

Адрес сайта: www.mkr.mos.ru

Управление Федеральной регистрационной службы по Санкт-Петербургу и Ленинградской области

Адрес: Галерный проезд, д. 3, г. Санкт-Петербург, 199226

Телефон: (8-812) 324-59-10, ф. 324-59-02

Адрес электронной почты: 78_gupr@rosregistr.ru

Адрес сайта: www.gbr.ru

Приложение N 6
к Административному регламенту

БЛОК-СХЕМЫ
ПОСЛЕДОВАТЕЛЬНОСТИ ДЕЙСТВИЙ ПРИ ИСПОЛНЕНИИ ТЕРРИТОРИАЛЬНЫМИ ОРГАНАМИ ФЕДЕРАЛЬНОЙ РЕГИСТРАЦИОННОЙ СЛУЖБЫ ГОСУДАРСТВЕННОЙ ФУНКЦИИ ПО ВЕДЕНИЮ РЕЕСТРА АДВОКАТОВ СУБЪЕКТА РОССИЙСКОЙ ФЕДЕРАЦИИ И ВЫДАЧЕ АДВОКАТАМ УДОСТОВЕРЕНИЙ

Условные обозначения

Используемые сокращения:

Закон - Федеральный закон от 31 мая 2002 г. N 63-ФЗ "Об адвокатской деятельности и адвокатуре в Российской Федерации";

Административный регламент - Административный регламент исполнения территориальными органами Федеральной регистрационной службы государственной функции по ведению реестра адвокатов субъекта Российской Федерации и выдаче адвокатам удостоверений;

территориальный орган - территориальный орган Федеральной регистрационной службы;

распоряжение - распоряжение территориального органа Федеральной регистрационной службы;

специалист - федеральный государственный гражданский служащий территориального органа Федеральной регистрационной службы, ответственный за ведение реестра адвокатов субъекта Российской Федерации;

руководитель - руководитель территориального органа Федеральной регистрационной службы (лицо, исполняющее его обязанности);

региональный реестр - реестр адвокатов субъекта Российской Федерации;

удостоверение - удостоверение, выдаваемое территориальным органом Федеральной регистрационной службы адвокату;

адвокатская палата - адвокатская палата субъекта Российской Федерации.

Блок-схема общей структуры последовательности действий при исполнении территориальным органом государственной функции по внесению в региональный реестр сведений об адвокате в связи с присвоением статуса адвоката и выдаче удостоверения адвоката

Блок-схема последовательности действий при изучении документов, представленных в территориальный орган квалификационной комиссией адвокатской палаты для внесения в региональный реестр сведений об адвокате в связи с присвоением статуса адвоката, внесении или отказе во внесении в региональный реестр сведений об адвокате в связи с присвоением статуса адвоката и выдаче удостоверения адвоката

Блок-схема общей структуры последовательности действий при исполнении государственной функции по внесению территориальным органом в региональный реестр сведений об адвокате в связи с изменением членства в адвокатской палате одного субъекта Российской Федерации на членство в адвокатской палате другого субъекта Российской Федерации и выдаче удостоверения адвоката

Блок-схема последовательности действий при изучении документов, представленных советом адвокатской палаты, для внесения в региональный реестр сведений об адвокате в связи с изменением адвокатом членства в адвокатской палате одного субъекта Российской Федерации на членство в адвокатской палате другого субъекта Российской Федерации, внесении или отказе во внесении сведений об адвокате в региональный реестр и выдаче удостоверения адвоката

Блок-схема общей структуры последовательности действий при исполнении территориальным органом государственной функции по внесению в региональный реестр сведений о приостановлении статуса адвоката

Блок-схема последовательности действий при изучении документов, представленных в территориальный орган советом адвокатской палаты для внесения в региональный реестр сведений о приостановлении статуса адвоката, внесении или отказе во внесении в региональный реестр сведений о приостановлении статуса адвоката

Блок-схема общей структуры последовательности действий при исполнении территориальным органом государственной функции по внесению в региональный реестр сведений о возобновлении статуса адвоката и выдаче удостоверения адвоката

Блок-схема последовательности действий при изучении документов, представленных в территориальный орган советом адвокатской палаты для внесения в региональный реестр сведений о возобновлении статуса адвоката, внесении или отказе во внесении в региональный реестр сведений о возобновлении статуса адвоката и выдаче удостоверения адвоката

Блок-схема общей структуры последовательности действий при исполнении территориальным органом государственной функции по внесению в региональный реестр сведений о прекращении статуса адвоката

Блок-схема последовательности действий при изучении документов, представленных в территориальный орган советом адвокатской палаты для внесения в региональный реестр сведений о прекращении статуса адвоката, внесении или отказе во внесении в региональный реестр сведений о прекращении статуса адвоката

Блок-схема общей структуры последовательности действий при исполнении территориальным органом государственной функции по исключению из регионального реестра сведений об адвокате в связи с изменением членства в адвокатской палате одного субъекта Российской Федерации на членство в адвокатской палате другого субъекта Российской Федерации

Блок-схема последовательности действий при изучении документов, представленных в территориальный орган советом адвокатской палаты для исключения из регионального реестра сведений об адвокате в связи с изменением адвокатом членства в адвокатской палате одного субъекта Российской Федерации на членство в адвокатской палате другого субъекта Российской Федерации, исключении или отказе в исключении из регионального реестра сведений об адвокате

Блок-схема общей структуры последовательности действий при исполнении территориальным органом государственной функции по внесению в региональный реестр сведений об изменении фамилии, имени и (или) отчества адвоката и выдаче удостоверения адвоката

Блок-схема последовательности действий при изучении документов, представленных в территориальный орган для внесения в региональный реестр сведений об изменении фамилии, имени и (или) отчества адвоката, внесении или отказе во внесении в региональный реестр сведений об изменении фамилии, имени и (или) отчества адвоката и выдаче удостоверения адвоката

Блок-схема общей структуры последовательности действий при исполнении территориальным органом государственной функции по выдаче адвокату нового удостоверения взамен утраченного или испорченного

Блок-схема последовательности действий при изучении заявления и документов, представленных в территориальный орган адвокатом для выдачи нового удостоверения взамен утраченного или испорченного, выдаче нового удостоверения или отказе в выдаче нового удостоверения

Приложение N 7
к Административному регламенту

                         _________________________________________
                           (наименование территориального органа
                         _________________________________________
                            Федеральной регистрационной службы)
 
                            Уведомление
 
    Квалификационная       комиссия       адвокатской       палаты
__________________________________________________________________
           (наименование субъекта Российской Федерации)
на   основании   пункта   1   статьи   15  Федерального закона "Об
адвокатской  деятельности  и  адвокатуре  в  Российской Федерации"
сообщает, что в соответствии с решением, принятым квалификационной
комиссией на заседании __________________________________________,
                                   (дата заседания)
статус адвоката присвоен претенденту
_________________________________________________________________.
 (полностью фамилия, имя, отчество претендента, успешно сдавшего
                   квалификационный экзамен)
    Претендент,    успешно    сдавший    квалификационный экзамен:
проживает по адресу _____________________________________________,
                        (адрес постоянного места жительства 
                          или преимущественного пребывания)
контактный телефон <*> ____________________________________, адрес
электронной почты <*> ____________________________________.
 
    Приложение: на ___ л.
 
Председатель квалификационной
комиссии адвокатской палаты
________________________   ____________  _________________________
 (наименование субъекта     (подпись) М.П.  (фамилия, инициалы)
  Российской Федерации)
 

    <*> Указываются при наличии сведений.
 
 
 

Приложение N 8
к Административному регламенту

                         _________________________________________
                           (наименование территориального органа
                         _________________________________________
                            Федеральной регистрационной службы)
 
                            Уведомление
 
    Совет адвокатской палаты _____________________________________
                                     (наименование субъекта 
                                      Российской Федерации)
сообщает о приеме адвоката _______________________________________
                                  (полностью фамилия, имя, 
                                     отчество адвоката)
в члены адвокатской палаты _______________________________________
                                   (наименование субъекта 
                                    Российской Федерации)
в связи с изменением им членства в адвокатской палате ____________
_________________________________________________________________.
           (наименование субъекта Российской Федерации)
    Адвокат: проживает по адресу _________________________________
                               (адрес постоянного места жительства
_________________________________, контактный телефон <*> _______,
или преимущественного пребывания)
адрес электронной почты <*> ________________________________.
 
    Приложение: на ___ л.
 
Президент адвокатской палаты
_______________________  _____________  __________________________
(наименование субъекта     (подпись)  М.П.  (фамилия, инициалы)
 Российской Федерации)
 

    <*> Указываются при наличии сведений.
 
 
 

Приложение N 9
к Административному регламенту

                         _________________________________________
                           (наименование территориального органа
                         _________________________________________
                            Федеральной регистрационной службы)
 
                            Уведомление
 
    Совет адвокатской палаты _____________________________________
                                     (наименование субъекта 
                                      Российской Федерации)
сообщает       о       приостановлении       статуса      адвоката
_________________________________________________________________,
            (полностью фамилия, имя, отчество адвоката)
регистрационный номер в реестре _____________________ на основании
решения совета адвокатской палаты от ___________________ в связи с
__________________________________________________________________
           (основания приостановления статуса адвоката)
    Адвокат: проживает по адресу _________________________________
                              (адрес постоянного места жительства
__________________________________, контактный телефон <*> ______,
или преимущественного пребывания)
адрес электронной почты <*> _____________________________________.
 
    Приложение: на ___ л.
 
Президент адвокатской палаты
_______________________   ______________   _______________________
(наименование субъекта      (подпись)  М.П.  (фамилия, инициалы)
 Российской Федерации)
 

    <*> Указываются при наличии сведений.
 
 
 

Приложение N 10
к Административному регламенту

                         _________________________________________
                           (наименование территориального органа
                         _________________________________________
                            Федеральной регистрационной службы)
 
                            Уведомление
 
    Совет адвокатской палаты _____________________________________
                                     (наименование субъекта 
                                      Российской Федерации)
сообщает        о        возобновлении        статуса     адвоката
_________________________________________________________________,
            (полностью фамилия, имя, отчество адвоката)
регистрационный номер в реестре _____________ на основании решения
совета адвокатской палаты от ____________________________________.
    Адвокат: проживает по адресу _________________________________
                               (адрес постоянного места жительства
_________________________________, контактный телефон <*> _______,
или преимущественного пребывания)
адрес электронной почты <*> ___________________________________.
 
    Приложение: на ___ л.
 
Президент адвокатской палаты
______________________   ______________  _________________________
(наименование субъекта     (подпись)  М.П.  (фамилия, инициалы)
 Российской Федерации)
 

    <*> Указываются при наличии сведений.
 
 
 

Приложение N 11
к Административному регламенту

                         _________________________________________
                           (наименование территориального органа
                         _________________________________________
                            Федеральной регистрационной службы)
 
                            Уведомление
 
    Совет адвокатской палаты _____________________________________
                                    (наименование субъекта 
                                     Российской Федерации)
сообщает        о        прекращении        статуса       адвоката
_________________________________________________________________,
            (полностью фамилия, имя, отчество адвоката)
регистрационный номер в реестре _____________ на основании решения
совета адвокатской палаты от _____________________________.
    Лицо,  в  отношении  которого  принято  решение  о прекращении
статуса адвоката: проживает по адресу ____________________________
                                        (адрес постоянного места 
__________________________________________, контактный телефон <*>
жительства или преимущественного пребывания)
_________________, адрес электронной почты <*> __________________.
 
    Приложение: на ___ л.
 
Президент адвокатской палаты
_______________________   ______________  ________________________
(наименование субъекта       (подпись)  М.П.  (фамилия, инициалы)
 Российской Федерации)
 

    <*> Указываются при наличии сведений.
 
 
 

Приложение N 12
к Административному регламенту

                         _________________________________________
                           (наименование территориального органа
                         _________________________________________
                            Федеральной регистрационной службы)
 
                            Уведомление
 
    Совет адвокатской палаты _____________________________________
                                     (наименование субъекта 
                                      Российской Федерации)
сообщает       о       поступлении       уведомления      адвоката
__________________________________________________________________
                (полностью фамилия, имя, отчество адвоката)
об изменении им членства в адвокатской палате ____________________
                                            (наименование субъекта
__________________________________________________________________
     Российской Федерации, в совет адвокатской палаты которого 
            поступило уведомление об изменении членства)
на членство в адвокатской палате _________________________________
                                 (наименование субъекта Российской
_________________________________________________________________.
          Федерации, членом адвокатской палаты которого 
                      адвокат намерен стать)
    Адвокат: проживает по адресу _________________________________
                               (адрес постоянного места жительства
_________________________________, контактный телефон <*> _______,
или преимущественного пребывания)
адрес электронной почты <*> _______________________________.
 
    Приложение: на ___ л.
 
Президент адвокатской палаты
_______________________   ______________  ________________________
(наименование субъекта      (подпись)  М.П.  (фамилия, инициалы)
 Российской Федерации)
 

    <*> Указываются при наличии сведений.
 
 
 

Приложение N 13
к Административному регламенту

                                СПРАВКА <*>
 
       (в ред. Приказа Минюста РФ от 30.07.2008 N 157)
 
    Настоящим подтверждается, что ________________________________
                                 (полностью фамилия, имя, отчество
_________________________ имеет статус адвоката.
        адвоката)
    В  соответствии  с пунктом 5 статьи 15 Федерального закона "Об
адвокатской  деятельности  и  адвокатуре  в  Российской Федерации"
сведения об адвокате _____________________________________________
_________________________________________________________________,
                    (фамилия, инициалы адвоката)
____________________________________, внесенные в реестр адвокатов
          (дата внесения сведений)
_________________________________________________________________,
         (наименование субъекта Российской Федерации)
исключены из реестра адвокатов ___________________________________
                                     (наименование субъекта
                                      Российской Федерации)
_______________________________.
  (дата исключения сведений)
    Настоящая справка подлежит замене на удостоверение адвоката.
 
Руководитель _______________________
                  (наименование
____________________________________
      территориального органа
____________________________________
        Министерства юстиции
        Российской Федерации)
 
                            ______________  ______________________
                           (подпись) М.П.     (фамилия, инициалы)
 

<*> Справка печатается на бланке территориального органа Министерства юстиции Российской Федерации.      

Приложение N 14
к Административному регламенту

                         _________________________________________
                           (наименование территориального органа
                         _________________________________________
                            Федеральной регистрационной службы)
 
                             Заявление
 
    Я, __________________________________________________________,
              (полностью фамилия, имя, отчество адвоката)
_________________________________, проживающий(ая) по адресу _____
(регистрационный номер в реестре)
_________________________________________________________________,
контактный телефон <*> ______________, адрес электронной почты <*>
_____________, прошу внести изменения в реестр адвокатов _________
__________________________________________________________________
           (наименование субъекта Российской Федерации)
в   связи   с   изменением   фамилии, имени, отчества (необходимое
изменение подчеркнуть) на ________________________________________
                               (указать измененные сведения)
и выдать мне новое удостоверение.
 
    Приложение: на ___ л., в том числе фотография.
 
Дата                                                       Подпись
 

    <*> Указываются при наличии.
 
 
 

Приложение N 15
к Административному регламенту

                         _________________________________________
                           (наименование территориального органа
                         _________________________________________
                            Федеральной регистрационной службы)
 
                             Заявление
 
    Я, __________________________________________________________,
              (полностью фамилия, имя, отчество адвоката)
_________________________________, проживающий(ая) по адресу _____
(регистрационный номер в реестре)
_________________________________________________________________,
контактный телефон <*> ______________, адрес электронной почты <*>
___________________________, прошу выдать мне удостоверение взамен
удостоверения ___________________________________________________,
                            (дата выдачи и номер)
утраченного/испорченного   (нужное   подчеркнуть)   при  следующих
обстоятельствах <**>:
__________________________________________________________________
__________________________________________________________________
__________________________________________________________________
__________________________________________________________________
 
    Приложение: на ___ л., в том числе фотография.
 
Дата                                                       Подпись
 

    <*> Указываются при наличии.
    <**>   Если   удостоверение   испорчено,  указывается характер
(признаки) повреждений.
 
 
 

Приложение N 16
к Административному регламенту

НОМЕРА СУБЪЕКТОВ РОССИЙСКОЙ ФЕДЕРАЦИИ, ПРОСТАВЛЯЕМЫЕ В РЕГИСТРАЦИОННОМ НОМЕРЕ АДВОКАТА В РЕЕСТРЕ АДВОКАТОВ СУБЪЕКТА РОССИЙСКОЙ ФЕДЕРАЦИИ

Субъект Российской Федерации Номер
1 2
Республика Адыгея (Адыгея) 01
Республика Алтай 02
Республика Башкортостан 03
Республика Бурятия 04
Республика Дагестан 05
Республика Ингушетия 06
Кабардино-Балкарская Республика 07
Республика Калмыкия 08
Карачаево-Черкесская Республика 09
Республика Карелия 10
Республика Коми 11
Республика Марий Эл 12
Республика Мордовия 13
Республика Саха (Якутия) 14
Республика Северная Осетия - Алания 15
Республика Татарстан (Татарстан) 16
Республика Тыва 17
Удмуртская Республика 18
Республика Хакасия 19
Чеченская Республика 20
Чувашская Республика 21
Алтайский край 22
Забайкальский край 75
Камчатский край 41
Краснодарский край 23
Красноярский край 24
Пермский край 59
Приморский край 25
Ставропольский край 26
Хабаровский край 27
Амурская область 28
Архангельская область 29
Астраханская область 30
Белгородская область 31
Брянская область 32
Владимирская область 33
Волгоградская область 34
Вологодская область 35
Воронежская область 36
Ивановская область 37
Иркутская область 38
Калининградская область 39
Калужская область 40
Кемеровская область 42
Кировская область 43
Костромская область 44
Курганская область 45
Курская область 46
Ленинградская область 47
Липецкая область 48
Магаданская область 49
Московская область 50
Мурманская область 51
Нижегородская область 52
Новгородская область 53
Новосибирская область 54
Омская область 55
Оренбургская область 56
Орловская область 57
Пензенская область 58
Псковская область 60
Ростовская область 61
Рязанская область 62
Самарская область 63
Саратовская область 64
Сахалинская область 65
Свердловская область 66
Смоленская область 67
Тамбовская область 68
Тверская область 69
Томская область 70
Тульская область 71
Тюменская область 72
Ульяновская область 73
Челябинская область 74
Ярославская область 76
Москва 77
Санкт-Петербург 78
Еврейская автономная область 79
Ненецкий автономный округ 83
Ханты-Мансийский автономный округ - Югра 86
Чукотский автономный округ 87
Ямало-Ненецкий автономный округ 89