Приказ ФСТ РФ от 21.08.2007 N 166-Э/1

"Об утверждении Правил определения стоимости электрической энергии (мощности), поставляемой на розничном рынке по регулируемым ценам (тарифам), оплаты отклонений фактических объемов потребления от договорных, а также возмещения расходов в связи с изменением договорного объема потребления электрической энергии"
Редакция от 29.05.2009 — Документ не действует
Показать изменения

Зарегистрировано в Минюсте РФ 21 сентября 2007 г. N 10168


ФЕДЕРАЛЬНАЯ СЛУЖБА ПО ТАРИФАМ

ПРИКАЗ
от 21 августа 2007 г. N 166-э/1

ОБ УТВЕРЖДЕНИИ ПРАВИЛ ОПРЕДЕЛЕНИЯ СТОИМОСТИ ЭЛЕКТРИЧЕСКОЙ ЭНЕРГИИ (МОЩНОСТИ), ПОСТАВЛЯЕМОЙ НА РОЗНИЧНОМ РЫНКЕ ПО РЕГУЛИРУЕМЫМ ЦЕНАМ (ТАРИФАМ), ОПЛАТЫ ОТКЛОНЕНИЙ ФАКТИЧЕСКИХ ОБЪЕМОВ ПОТРЕБЛЕНИЯ ОТ ДОГОВОРНЫХ, А ТАКЖЕ ВОЗМЕЩЕНИЯ РАСХОДОВ В СВЯЗИ С ИЗМЕНЕНИЕМ ДОГОВОРНОГО ОБЪЕМА ПОТРЕБЛЕНИЯ ЭЛЕКТРИЧЕСКОЙ ЭНЕРГИИ

(в ред. Приказов ФСТ РФ от 03.07.2008 N 249-э, от 29.05.2009 N 103-э/1)

В соответствии с Положением о Федеральной службе по тарифам, утвержденным Постановлением Правительства Российской Федерации от 30 июня 2004 г. N 332 (Собрание законодательства Российской Федерации, 2004, N 29, ст. 3049; 2006, N 3, ст. 301; N 23, ст. 2522; N 48, ст. 5032, N 50, ст. 5354; 2007, N 16, ст. 1912, N 25, ст. 3039), Постановлением Правительства Российской Федерации от 31.08.2006 N 530 "Об утверждении Правил функционирования розничных рынков электрической энергии в переходный период реформирования электроэнергетики" (Собрание законодательства Российской Федерации, 2007, N 37, ст. 3876), а также на основании протокола заседания Правления ФСТ России от 21 августа 2007 года N 28-э приказываю:

1. Утвердить прилагаемые Правила определения стоимости электрической энергии (мощности), поставляемой на розничном рынке по регулируемым ценам (тарифам), оплаты отклонений фактических объемов потребления от договорных, а также возмещения расходов в связи с изменением договорного объема потребления электрической энергии.

2. Настоящий Приказ вступает в силу в установленном порядке.

Руководитель
Федеральной службы по тарифам
С.НОВИКОВ

Приложение
к Приказу
Федеральной службы по тарифам
от 21 августа 2007 г. N 166-э/1

ПРАВИЛА
ОПРЕДЕЛЕНИЯ СТОИМОСТИ ЭЛЕКТРИЧЕСКОЙ ЭНЕРГИИ (МОЩНОСТИ), ПОСТАВЛЯЕМОЙ НА РОЗНИЧНОМ РЫНКЕ ПО РЕГУЛИРУЕМЫМ ЦЕНАМ (ТАРИФАМ), ОПЛАТЫ ОТКЛОНЕНИЙ ФАКТИЧЕСКИХ ОБЪЕМОВ ПОТРЕБЛЕНИЯ ОТ ДОГОВОРНЫХ, А ТАКЖЕ ВОЗМЕЩЕНИЯ РАСХОДОВ В СВЯЗИ С ИЗМЕНЕНИЕМ ДОГОВОРНОГО ОБЪЕМА ПОТРЕБЛЕНИЯ ЭЛЕКТРИЧЕСКОЙ ЭНЕРГИИ

(в ред. Приказов ФСТ РФ от 03.07.2008 N 249-э, от 29.05.2009 N 103-э/1)

I. Общие положения

1. Настоящие Правила определения стоимости электрической энергии (мощности), поставляемой на розничном рынке по регулируемым ценам (тарифам), оплаты отклонений фактических объемов потребления от договорных, а также возмещения расходов в связи с изменением договорного объема потребления электрической энергии (далее - Правила) разработаны во исполнение Постановления Правительства Российской Федерации от 31 августа 2006 года N 530 "Об утверждении Правил функционирования розничных рынков электрической энергии в переходный период реформирования электроэнергетики" (Собрание законодательства Российской Федерации, 2006, N 37, ст. 3876; 2007, N 30, ст. 3940). (в ред. Приказа ФСТ РФ от 29.05.2009 N 103-э/1)

Понятия и термины, используемые в настоящих Правилах, соответствуют определениям, данным в Федеральном законе от 26 марта 2003 года N 35-ФЗ "Об электроэнергетике" (Собрание законодательства Российской Федерации, 2003, N 13, ст. 1177; 2004, N 35, ст. 3607; 2005, N 1 (часть I), ст. 37; 2006, N 52 (часть I) ст. 5498), Федеральном законе от 14 апреля 1995 года N 41-ФЗ "О государственном регулировании тарифов на электрическую и тепловую энергию в Российской Федерации" (Собрание законодательства Российской Федерации, 1995, N 16, ст. 1316; 1999, N 7, ст. 880; 2003, N 2, ст. 158, N 13, ст. 1180, N 28, ст. 2894; 2004, N 35, ст. 3607; 2005, N 1 (часть I), ст. 37, N 49, ст. 5125, N 52 (часть I), ст. 5597; 2006, N 1, ст. 10), Постановлении Правительства Российской Федерации от 26 февраля 2004 года N 109 "О ценообразовании в отношении электрической и тепловой энергии в Российской Федерации" (Собрание законодательства Российской Федерации, 2004, N 9, ст. 791; 2005, N 1 (часть II), ст. 130; N 43, ст. 4401; N 47, ст. 4930; N 51, ст. 5526; 2006, N 23, ст. 2522; N 36, ст. 3835; N 37, ст. 3876; 2007, N 1 (часть II), ст. 282, N 14, ст. 1687, N 16, ст. 1909) (далее - Основы ценообразования), Постановлении Правительства Российской Федерации от 24 октября 2003 года N 643 "О правилах оптового рынка электрической энергии (мощности) переходного периода" (далее - Правила оптового рынка) (Собрание законодательства Российской Федерации, 2003, N 44, ст. 4312; 2005, N 7, ст. 560, N 8, ст. 658, N 17, ст. 1554, N 43, ст. 4401, N 46, ст. 4677, N 47, ст. 4930; 2006, N 36, ст. 3835, 2007, N 1 (часть II), ст. 282, N 16, ст. 1909), Постановлении Правительства от 31 августа 2006 года N 529 "О совершенствовании порядка функционирования оптового рынка электрической энергии (мощности)" (Собрание законодательства Российской Федерации, 2006, N 36, ст. 3835), Постановлении Правительства Российской Федерации от 31 августа 2006 года N 530 "Об утверждении правил функционирования розничных рынков электрической энергии в переходный период реформирования электроэнергетики" (Собрание законодательства Российской Федерации, 11.09.2006, N 37, ст. 3876; N 30, ст. 3940) (далее - Правила розничных рынков).

2. Настоящие Правила применяются при осуществлении расчетов за поставляемую на розничном рынке электрическую энергию (мощность) между покупателями (производителями) электрической энергии (мощности) и гарантирующими поставщиками, являющимися субъектами оптового рынка (далее - ГП), гарантирующими поставщиками, не являющимися субъектами оптового рынка (далее - ГП второго уровня), энергоснабжающими организациями (далее - ЭСО), энергосбытовыми организациями (далее - ЭСК), к числу покупателей которых относятся граждане-потребители и (или) приравненные к ним в соответствии с нормативными правовыми актами в области государственного регулирования тарифов группы (категории) потребителей (покупателей) (далее - население), в границах субъектов Российской Федерации, территории которых включены в ценовые зоны оптового рынка электрической энергии (мощности). (в ред. Приказа ФСТ РФ от 03.07.2008 N 249-э)

3. Настоящими Правилами предусматривается:

3.1. Определение стоимости электрической энергии (мощности), поставляемой покупателям на розничном рынке по регулируемым ценам (тарифам);

3.2. Определение стоимости электрической энергии (мощности) при отклонении фактических объемов потребления от договорных, а также при изменении договорного объема потребления электрической энергии;

3.3. Определение стоимости электрической энергии (мощности), приобретаемой ГП у производителей электрической энергии (мощности) на розничном рынке, исходя из объема электрической энергии, приобретаемого по регулируемым ценам (тарифам).

3.4. Определение стоимости электрической энергии (мощности), приобретаемой сетевой организацией у ГП (ГП второго уровня, ЭСО, ЭСК) на розничном рынке в целях компенсации потерь электрической энергии в принадлежащих ей электрических сетях. (в ред. Приказа ФСТ РФ от 29.05.2009 N 103-э/1)

II. Определение стоимости электрической энергии (мощности), поставляемой покупателям на розничном рынке по регулируемым ценам (тарифам)

4. Стоимость электрической энергии (мощности), поставляемой покупателям на розничном рынке по регулируемым ценам (тарифам), определяется исходя из фактически поставленных объемов, рассчитываемых в соответствии с пунктами 5 - 18 настоящих Правил, и тарифов (для потребителей, рассчитывающихся по двухставочному тарифу - тарифных ставок) на электрическую энергию (мощность), установленных для соответствующей категории потребителей, по итогам расчетного периода (календарного месяца).

Под фактически поставленным объемом для целей настоящих Правил понимается определенное в порядке, установленном договором энергоснабжения (купли-продажи электрической энергии), количество электрической энергии, принятое и подлежащее оплате покупателем за соответствующий расчетный период по соответствующему договору.

5. Стоимость электрической энергии, поставляемой по регулируемым ценам населению, определяется как произведение тарифа для данной категории потребителей, установленного органом исполнительной власти субъекта Российской Федерации в области государственного регулирования тарифов, и объема всего фактического потребления населения.

6. Стоимость электрической энергии, поставляемой ГП (ГП второго уровня, ЭСО, ЭСК) по регулируемым ценам покупателям на розничных рынках, кроме населения, определяется как произведение тарифа, установленного органом исполнительной власти субъекта Российской Федерации в области государственного регулирования тарифов для соответствующей группы потребителей (для потребителей, рассчитывающихся по двухставочному тарифу, - тарифной ставки за электрическую энергию), и объема электрической энергии, определяемого с учетом коэффициента распределения электрической энергии, поставляемой ГП (ГП второго уровня, ЭСО, ЭСК) на розничном рынке по регулируемым ценам (бета). (в ред. Приказа ФСТ РФ от 29.05.2009 N 103-э/1)

Коэффициент бета определяется по окончании каждого расчетного периода по формуле:

(1);

(в ред. Приказа ФСТ РФ от 29.05.2009 N 103-э/1)

где:

V(ГП)_РД - объем электрической энергии, приобретенный ГП (ГП второго уровня, ЭСО, ЭСК) на оптовом рынке по регулируемым договорам, определяемый в соответствии с Правилами оптового рынка и договором о присоединении к торговой системе оптового рынка исходя из установленной Правительством Российской Федерации величины максимального объема продажи электрической энергии по регулируемым ценам (тарифам) (альфа), за вычетом: (в ред. Приказа ФСТ РФ от 29.05.2009 N 103-э/1)

- объема электрической энергии, необходимого для компенсации потерь электрической энергии в электрических сетях, учтенного при формировании объемов поставки электрической энергии по регулируемым договорам, определяемого в соответствии с пунктом 52 Правил оптового рынка и договором о присоединении к торговой системе оптового рынка (млн.кВт x ч);

- объемов, определяемых в соответствии с пунктом 7 настоящих Правил, Дельта V(рег)_j (млн.кВт x ч);

- объемов, определяемых в соответствии с пунктом 13 настоящих Правил, V(рег)_долг;

V(круп)_рег,g - объем электрической энергии, приобретенный ГП (ГП второго уровня, ЭСО, ЭСК) на розничном рынке у g-го производителя электрической энергии, установленная мощность генерирующего оборудования которого в совокупности равна или превышает 25 МВт (далее - крупный производитель), по регулируемым ценам (тарифам), определяемый в соответствии с формулой 16 пункта 22.1 настоящих Правил (млн. кВт x ч); (в ред. Приказа ФСТ РФ от 29.05.2009 N 103-э/1)

V(мелк)_рег,g - объем электрической энергии, приобретенный ГП (ГП второго уровня, ЭСО, ЭСК) на розничном рынке у g-го производителя электрической энергии, установленная мощность генерирующего оборудования которого в совокупности не превышает 25 МВт (далее - мелкий производитель), по регулируемым ценам (тарифам), определяемый в соответствии с пунктом 23 настоящих Правил (млн.кВт x ч). (в ред. Приказа ФСТ РФ от 29.05.2009 N 103-э/1)

Если ГП (ГП второго уровня, ЭСО, ЭСК) владеет на праве собственности или ином законном основании генерирующими объектами и обладает правом на продажу произведенной электрической энергии (мощности), но не осуществляет ее продажу на оптовом рынке, то объемы произведенной электроэнергии (мощности) учитываются при определении коэффициента бета и приравниваются к объемам покупки у соответствующего g-го производителя электрической энергии; (в ред. Приказа ФСТ РФ от 29.05.2009 N 103-э/1)

V_сбыт_s - объем электрической энергии, приобретенный ГП (ГП второго уровня, ЭСО, ЭСК) у s-й ЭСО, по регулируемым ценам (тарифам) на розничном рынке (млн.кВт x ч); (в ред. Приказа ФСТ РФ от 29.05.2009 N 103-э/1)

V_нас - объем поставки электрической энергии (мощности) населению ГП (ГП второго уровня, ЭСО, ЭСК) напрямую, а также через покупателей данного ГП (ГП второго уровня, ЭСО, ЭСК), определяемый с учетом положений пункта 14 настоящих Правил (млн. кВтч) (далее - фактический объем, не подтвержденный статистической отчетностью); (в ред. Приказа ФСТ РФ от 29.05.2009 N 103-э/1)

V(пост)_нас,j, V(пост)_нас,k, V(пост)_нас,r, V(пост)_нас,m - объем электрической энергии (мощности), фактически поставленный населению покупателями ГП (ГП второго уровня, ЭСО, ЭСК), указанными в пунктах 7 - 11 настоящих Правил, а также ГП второго уровня, определяемый с учетом положений пункта 14 настоящих Правил (млн. кВт x ч); (в ред. Приказа ФСТ РФ от 29.05.2009 N 103-э/1)

Абзац 15 - Исключен. (в ред. Приказа ФСТ РФ от 29.05.2009 N 103-э/1)

V(дог)_j - договорный объем поставки электрической энергии ГП (ГП второго уровня, ЭСО, ЭСК) j-му покупателю, который приобретает у ГП (ГП второго уровня, ЭСО, ЭСК) в точке (точках) поставки на розничном рынке только часть своего фактического потребления электрической энергии, а остальной объем приобретается им у иной энергосбытовой организации и (или) непосредственно на оптовом рынке (далее - покупатель оптового и розничного рынка), определенный на соответствующий расчетный период текущего года на согласованную сторонами договора дату начала осуществления поставки указанным ГП (ГП второго уровня, ЭСО, ЭСК) такому покупателю только части его фактического потребления электрической энергии (далее - первоначальный договорный объем), либо договорный объем, измененный в меньшую сторону по сравнению с первоначальным договорным объемом (млн. кВт x ч); (в ред. Приказа ФСТ РФ от 29.05.2009 N 103-э/1)

Абзац 17 - Исключен. (в ред. Приказа ФСТ РФ от 29.05.2009 N 103-э/1)

V(факт)_r - объем электрической энергии, фактически потребленный покупателями, обслуживавшимися r-тым ГП второго уровня (включая сетевые организации, приобретающие электроэнергию (мощность) в целях компенсации потерь у данного ГП второго уровня), ЭСО, ЭСК в соответствующем расчетном периоде, за вычетом объема покупки электрической энергии r-тым ГП второго уровня, ЭСО, ЭСК у розничных производителей в текущем расчетном периоде (млн. кВтч). (в ред. Приказа ФСТ РФ от 29.05.2009 N 103-э/1)

ГП второго уровня, ЭСО, ЭСК рассчитывают коэффициент бета для своих покупателей по формуле (1).

V(факт)_m - объем электрической энергии (мощности), фактически поставленный прочему, не указанному в пунктах 7, 11, 12 и 13 настоящих Правил m-му покупателю (млн. кВтч). (в ред. Приказа ФСТ РФ от 29.05.2009 N 103-э/1)

V(потери)_n - объем фактических потерь электрической энергии в n сетях n-й сетевой организации, приобретающей электрическую энергию у соответствующего ГП (ГП второго уровня, ЭСО, ЭСК), определяемый с использованием данных государственной статистической отчетности по форме 46-ээ (передача), утвержденной Федеральной службой государственной статистики. (в ред. Приказа ФСТ РФ от 29.05.2009 N 103-э/1)

В случае если коэффициент бета в результате расчета принимает значение больше 1, то для целей определения объема поставки электрической энергии (мощности) по регулируемым ценам (тарифам) его значение принимается равным 1. (в ред. Приказа ФСТ РФ от 29.05.2009 N 103-э/1)

Коэффициент бета рассчитывается ГП (ГП второго уровня, ЭСО, ЭСК) и публикуется на официальном сайте в сети Интернет в течение 15 дней с даты окончания расчетного периода. При публикации коэффициента бета ГП также публикует все составляющие, входящие в формулу 1 с выделением объемов населения по каждому ГП второго уровня (ЭСО, ЭСК). Органам исполнительной власти субъекта Российской Федерации в области государственного регулирования тарифов также рекомендуется публиковать на своих сайтах в сети Интернет величину коэффициент бета по каждому из ГП (ГП второго уровня, ЭСО, ЭСК), действующему на территории соответствующего субъекта Российской Федерации. (в ред. Приказа ФСТ РФ от 29.05.2009 N 103-э/1)

7. Стоимость электрической энергии, поставляемой ГП (ГП второго уровня, ЭСО, ЭСК) по регулируемым ценам (тарифам) j-му покупателю оптового и розничного рынка, определяется как произведение тарифной ставки на электрическую энергию двухставочного тарифа, установленного органом исполнительной власти субъекта Российской Федерации в области государственного регулирования тарифов, и объема электрической энергии (V(пост)_рег,j), определенного по формуле: (в ред. Приказа ФСТ РФ от 29.05.2009 N 103-э/1)

(млн. кВт·ч), (2)

где:

Дельта V(рег)_j - согласованное сторонами договора увеличение, по сравнению с V(дог)_j, объема поставки электрической энергии j-му покупателю оптового и розничного рынка по регулируемым ценам (тарифам) в объеме, не превышающем увеличение объема покупки ГП (ГП второго уровня, ЭСО, ЭСК) электрической энергии по регулируемым ценам (тарифам) на оптовом рынке в связи с увеличением объема поставки электрической энергии j-му покупателю оптового и розничного рынка по регулируемым ценам (тарифам) (млн. кВт·ч). (в ред. Приказа ФСТ РФ от 29.05.2009 N 103-э/1)

В случае, если рассчитанный по формуле (2) объем V(пост)_рег,j превышает объем электрической энергии (мощности), фактически поставленный j-му покупателю оптового и розничного рынка (V(пост)_j), V(пост)_рег,j принимается равным V(пост)_j.

8. Пункт исключен. (в ред. Приказа ФСТ РФ от 29.05.2009 N 103-э/1)

9. Стоимость электрической энергии, поставляемой ГП (ГП второго уровня, ЭСО, ЭСК) по регулируемым ценам (тарифам) прочему, не указанному в пунктах 7, 11, 12 и 13 настоящих Правил, m-му покупателю, определяется как произведение тарифа, установленного органом исполнительной власти соответствующего субъекта Российской Федерации в области государственного регулирования тарифов для соответствующей группы потребителей (для потребителей, рассчитывающихся по двухставочному тарифу, - тарифной ставки за электрическую энергию), и объема электрической энергии (V(пост)_рег,m), определенного по формуле: (в ред. Приказа ФСТ РФ от 29.05.2009 N 103-э/1)

(млн. кВт·ч), (4)

где:

V(факт)_m - объем электрической энергии (мощности), фактически поставленный прочему, не указанному в пунктах 7 - 8 настоящих Правил, m-му покупателю (млн. кВт·ч);

10. Стоимость электрической энергии, поставляемой ГП (ГП второго уровня, ЭСО, ЭСК) по регулируемым ценам (тарифам) j-му покупателю, весь фактический объем потребления электрической энергии которого ранее приобретался на оптовом рынке самим покупателем и/или иной организацией, и который был принят на обслуживание на розничном рынке ГП (ГП второго уровня, ЭСО, ЭСК) в текущем периоде регулирования, до окончания этого периода регулирования определяется как произведение тарифа, установленного органом исполнительной власти субъекта Российской Федерации в области государственного регулирования тарифов для данного потребителя, и объема электрической энергии, который был включен на соответствующий расчетный период в регулируемые договоры, заключенные на оптовом рынке в отношении энергопринимающих устройств данного покупателя (V(рег)_j). (в ред. Приказа ФСТ РФ от 29.05.2009 N 103-э/1)

При этом указанный тариф устанавливается уполномоченным органом исполнительной власти в области регулирования тарифов субъекта Российской Федерации в соответствии с пунктом 62 Основ ценообразования и не может быть ниже, чем тариф, установленный для группы "прочие", определяемой в соответствии с пунктом 27 Методических указаний по расчету регулируемых тарифов и цен на электрическую (тепловую) энергию на розничном (потребительском) рынке, утвержденных Приказом ФСТ России от 06.08.2004 N 20-э/2 (зарегистрирован Минюстом России от 20.10.2004 N 6076), с изменениями и дополнениями, внесенными Приказами ФСТ России от 23.11.2004 N 193-э/11 (зарегистрирован Минюстом России от 16.12.2004 N 6191), от 14.12.2004 N 289-э/15 (зарегистрирован Минюстом России от 21.12.2004 N 6213), от 28.11.2006 N 318-э/15 (зарегистрирован Минюстом России от 08.12.2006 N 8574), от 30.01.2007 N 14-э/14 (зарегистрирован Минюстом России от 06.03.2007 N 9041), от 31.07.2007 N 138-э/6 (зарегистрирован Минюстом России от 20.08.2007 N 10030) (далее - Методические указания).

11. Стоимость электрической энергии, отпускаемой ГП r-тому ГП второго уровня, ЭСО (ЭСК), определяется как произведение тарифа, установленного органом исполнительной власти субъекта Российской Федерации в области государственного регулирования тарифов в соответствии с Методическими указаниями и объема электрической энергии (V(пост)_рег, r), определенного по формуле:

(5)".

(в ред. Приказа ФСТ РФ от 29.05.2009 N 103-э/1)

12. Стоимость электрической энергии, поставляемой ГП (ГП второго уровня, ЭСО, ЭСК) по регулируемым ценам (тарифам) n-й сетевой организации, определяется по формуле: (в ред. Приказа ФСТ РФ от 29.05.2009 N 103-э/1)

(руб.), (6)

где:

T(ЭС)_n - тариф, установленный или рассчитанный органом исполнительной власти в области государственного регулирования тарифов субъекта Российской Федерации для приобретения электрической энергии (мощности) в целях компенсации потерь электрической энергии в электрических сетях n-й сетевой организации (руб./млн. кВт x ч), определяемый в соответствии с пунктом 50 Методических указаний. (в ред. Приказов ФСТ РФ от 03.07.2008 N 249-э, от 29.05.2009 N 103-э/1)

13. Стоимость электрической энергии (мощности), поставляемой ГП (ГП второго уровня, ЭСО, ЭСК) по регулируемым ценам потребителю, присоединенная мощность энергопринимающих устройств которого превышает 4 МВА, и в интересах которого ГП (ГП второго уровня, ЭСО, ЭСК) приобретает на оптовом рынке электрическую энергию (мощность) по долгосрочным регулируемым договорам, определяется как произведение объема электрической энергии (мощности), приобретаемого ГП (ГП второго уровня, ЭСО, ЭСК) по таким договорам (V(рег)_долг), и тарифа на электрическую энергию (мощность), определенного в соответствии с пунктом 62 Основ ценообразования. (в ред. Приказа ФСТ РФ от 29.05.2009 N 103-э/1)

14. В целях определения коэффициента бета и объемов электрической энергии, поставленных покупателям по регулируемым ценам (тарифам) в расчетном периоде, организации, осуществляющие поставку электрической энергии населению, не позднее 5-го числа месяца, следующего за расчетным, представляют ГП (ГП второго уровня, ЭСО, ЭСК), поставившему этим организациям электрическую энергию (мощность), оперативные данные о фактических объемах поставки электрической энергии населению (не подтвержденные статистической отчетностью).

При этом при расчете ГП коэффициента бета значение величины V_нас принимается на уровне величины объема электрической энергии для целей поставки населению, учтенной в Сводном прогнозном балансе на соответствующий расчетный период текущего года для данного ГП (V(ГП)_нас, i). При расчете ГП второго уровня, ЭСО, ЭСК коэффициента бета значение величины V_нас принимается равным величине фактического объема электрической энергии, потребленного обслуживавшимся ими населением, определенной по оперативным данным (не подтвержденным статистической отчетностью) (V(ГП)_нас, i).

Если данные о величинах объемов поставки электрической энергии населению за расчетный период не представлены ГП в сроки, определенные настоящим пунктом, то для осуществления своевременного расчета коэффициента бета ГП самостоятельно прогнозирует величину объема поставки электрической энергии (мощности) ГП второго уровня, ЭСО, ЭСК населению напрямую, а также через их покупателей, для использования при расчете формулы (1).

В этом случае ГП второго уровня, ЭСО, ЭСК в формуле для расчета величины коэффициента бета должны, соответственно, использовать спрогнозированные ГП величины объемов поставки электрической энергии (мощности) ГП второго уровня, ЭСО, ЭСК населению напрямую, а также через их покупателей.

После получения от организаций, осуществляющих поставку электрической энергии населению, заверенных копий соответствующих форм государственной статистической отчетности, утвержденных Федеральной службой государственной статистики, отражающих данные о фактических поставках электрической энергии (мощности) по категориям (группам) потребителей, в том числе о фактических величинах объемов поставки электрической энергии населению (V(пост)_нас, j, V(пост)_нас, m, V(пост)_нас, r), за расчетный период, ГП (ГП второго уровня, ЭСО, ЭСК) рассчитывает величину отклонения (Дельта V(ГП)_нас, i) фактической величины поставленного населению объема электрической энергии в расчетном периоде (V(ГП)_факт, i) от величины V(ГП)_нас, i, использованной при определении коэффициента бета для расчетного периода, по формуле:

(млн. кВтч) (7)

Величина указанного отклонения включается в фактический объем, не подтвержденный статистической отчетностью, формируемый ГП (ГП второго уровня, ЭСО, ЭСК) по итогам следующего расчетного периода и учитываемый в формуле расчета коэффициента бета для следующего расчетного периода (V_нас, i+1), по формуле:

(млн. кВтч), (8)

где:

V(ГП)_нас, i+1 - величина объема электрической энергии для целей поставки населению, учтенная в Сводном прогнозном балансе на следующий расчетный период текущего года для ГП (в случае расчета коэффициента бета ГП), или величина фактического объема электрической энергии, потребленного обслуживавшимся ГП второго уровня, ЭСО, ЭСК населением в следующем расчетном периоде, определенная по оперативным данным (не подтвержденным статистической отчетностью) (в случае расчета коэффициента бета ГП второго уровня, ЭСО, ЭСК) (млн. кВтч). (в ред. Приказа ФСТ РФ от 29.05.2009 N 103-э/1)

15. Стоимость электрической энергии, поставляемой ГП (ГП второго уровня, ЭСО, ЭСК) по регулируемым ценам (тарифам) в час t расчетного периода, приобретающему электрическую энергию (мощность) только на розничном рынке i-му покупателю из числа указанных в пунктах 9, 10 настоящих Правил, для которого в договоре энергоснабжения (купли-продажи электрической энергии) предусмотрено планирование почасового объема потребления, определяется как произведение тарифа, установленного органом исполнительной власти субъекта Российской Федерации в области государственного регулирования тарифов для соответствующей группы потребителей (для потребителей, рассчитывающихся по двухставочному тарифу, - тарифной ставки за электрическую энергию), и объема электрической энергии (V(пост)_рег,i,t), определяемого по формуле: (в ред. Приказа ФСТ РФ от 29.05.2009 N 103-э/1)

(млн. кВт·ч), (8)

где:

V(факт)_i,t - объем электрической энергии, фактически поставленный приобретающему электрическую энергию (мощность) только на розничном рынке i-му покупателю из числа указанных в пунктах 8 - 10 настоящих Правил, в час t расчетного периода (млн. кВт·ч);

V(факт)_i - объем электрической энергии, фактически поставленный приобретающему электрическую энергию (мощность) только на розничном рынке i-му покупателю из числа указанных в пунктах 8 - 10 настоящих Правил, за расчетный период (млн. кВт·ч);

V(пост)_рег,i - объем электрической энергии (мощности), поставляемый ГП (ГП второго уровня, ЭСО, ЭСК) приобретающему электрическую энергию (мощность) только на розничном рынке i-му покупателю из числа указанных в пунктах 8 - 10 настоящих Правил, в соответствующем расчетном периоде по регулируемым ценам (тарифам) (V(пост)_рег,k, V(пост)_рег,m, V(рег)_i - в соответствующих случаях), определяемый в соответствии с пунктами 8 - 10 настоящих Правил (млн. кВт·ч). (в ред. Приказа ФСТ РФ от 29.05.2009 N 103-э/1)

16. Стоимость электрической энергии, поставляемой ГП (ГП второго уровня, ЭСО, ЭСК) по регулируемым ценам (тарифам) в часы, соответствующие зоне суток z (V(пост)_рег,i,z), приобретающему электрическую энергию (мощность) только на розничном рынке i-му покупателю, рассчитывающемуся по зонным тарифам, определяется как произведение тарифа, установленного органом исполнительной власти субъекта Российской Федерации в области государственного регулирования тарифов для соответствующей группы потребителей (для потребителей, рассчитывающихся по двухставочному тарифу, - тарифной ставки за электрическую энергию), и объема электрической энергии, определяемого по формуле: (в ред. Приказа ФСТ РФ от 29.05.2009 N 103-э/1)

(млн. кВт·ч), (9)

здесь:

V(факт)_i,z - объем электрической энергии, фактически поставленный приобретающему электрическую энергию (мощность) только на розничном рынке i-му покупателю в часы расчетного периода, соответствующие зоне суток z (млн. кВт·ч).

17. Стоимость электрической энергии, поставляемой ГП (ГП второго уровня, ЭСО, ЭСК) по регулируемым ценам (тарифам) в час t расчетного периода (V(пост)_рег,j,t) j-му покупателю оптового и розничного рынка, определяется как произведение тарифной ставки на электрическую энергию тарифа, установленного органом исполнительной власти субъекта Российской Федерации в области государственного регулирования тарифов для соответствующей группы потребителей, и объема электрической энергии, определяемого по формуле: (в ред. Приказа ФСТ РФ от 29.05.2009 N 103-э/1)

(млн. кВт·ч), (10)

V(пост)_j,t - объем электрической энергии, фактически поставленный ГП (ГП второго уровня, ЭСО, ЭСК) j-му покупателю оптового и розничного рынка на розничном рынке в час t расчетного периода (млн. кВт·ч); (в ред. Приказа ФСТ РФ от 29.05.2009 N 103-э/1)

V(пост)_рег,t - объем электрической энергии, поставляемый ГП (ГП второго уровня, ЭСО, ЭСК) j-му покупателю оптового и розничного рынка по регулируемым ценам (тарифам) в соответствующем расчетном периоде, определяемый в соответствии с пунктом 7 настоящих Правил (млн. кВт·ч). (в ред. Приказа ФСТ РФ от 29.05.2009 N 103-э/1)

18. Стоимость электрической энергии (мощности), поставляемой по регулируемым тарифам (ценам) d-м покупателям, рассчитывающимся по двухставочным тарифам (ценам), состоит из составляющей стоимости электрической энергии (мощности) в части ставки за электрическую энергию, определяемой в соответствии с пунктами 7 - 16 настоящих Правил, и составляющей стоимости электрической энергии (мощности) в части ставки за мощность S(мощн)_рег, d, определяемой в соответствии с формулами: (в ред. Приказа ФСТ РФ от 29.05.2009 N 103-э/1)

(руб.), (11)
(МВт) (12)

(в ред. Приказа ФСТ РФ от 29.05.2009 N 103-э/1)

(МВт) (13)";

(в ред. Приказа ФСТ РФ от 29.05.2009 N 103-э/1)

где:

N(рег)_d - объем мощности, подлежащий оплате d-м покупателем по регулируемым ценам (тарифам) в расчетном периоде (МВт);

T(мощ)_потр - тарифная ставка на мощность двухставочного тарифа, установленного органом исполнительной власти субъекта Российской Федерации в области государственного регулирования тарифов для соответствующей категории потребителей (руб./МВт);

N(факт)_d - объем фактического потребления мощности d-тым покупателем в расчетном периоде (МВт); (в ред. Приказа ФСТ РФ от 29.05.2009 N 103-э/1)

N(нас)_d - мощность, соответствующая объему электрической энергии, поставленной на розничном рынке населению d-м покупателем за соответствующий расчетный период текущего года (МВт);

альфа - предусмотренная Правилами оптового рынка электрической энергии (мощности) переходного периода доля, используемая для определения предельного максимального объема мощности, покупка (продажа) которого осуществляется по регулируемым ценам (тарифам) на оптовом рынке в том периоде времени, к которому относится расчетный период;

N(ГП)_исх,баланс - объем мощности (сальдо-переток мощности с оптового и розничного рынка), определенный в отношении ГП (ГП второго уровня, ЭСО, ЭСК) в прогнозном балансе на соответствующий месяц 2008 года (МВт); (в ред. Приказа ФСТ РФ от 29.05.2009 N 103-э/1)

N(ГП)_исх,факт - фактический собственный максимум потребления электрической энергии ГП (ГП второго уровня, ЭСО, ЭСК) на оптовом и розничном рынке в соответствующем месяце 2008 года (МВт), с учетом обслуживаемых данным ГП (ГП второго уровня, ЭСО, ЭСК) покупателей оптового и розничного рынка, в устанавливаемые системным оператором плановые часы пиковой нагрузки, определенный в соответствии с Правилами оптового рынка и Договором о присоединении к торговой системе оптового рынка; (в ред. Приказа ФСТ РФ от 29.05.2009 N 103-э/1)

V(факт)_d - объем электрической энергии, фактически поставленный d-му покупателю (млн. кВт x ч);

V(пост)_нас,d - объем электрической энергии (мощности), фактически поставленный населению d-м покупателем, определяемый с учетом положений пункта 14 настоящих Правил (млн. кВт x ч).

Для ГП (ГП второго уровня, ЭСО, ЭСК), не являющихся участниками оптового рынка, величина (альфа x N(ГП)_исх,баланс) / N(ГП)_исх,факт принимается равной такому соотношению, определенному для ГП, у которого осуществляется покупка электрической энергии (мощности) на розничном рынке. (в ред. Приказа ФСТ РФ от 29.05.2009 N 103-э/1)

Объем фактического потребления мощности в расчетном периоде для d-го розничного покупателя, осуществляющего учет почасовых объемов потребления электрической мощности по приборам учета, определяется по формуле: (в ред. Приказа ФСТ РФ от 29.05.2009 N 103-э/1)

(МВт), (13.1)

(в ред. Приказа ФСТ РФ от 29.05.2009 N 103-э/1)

где:

W_d, h, t - максимальный почасовой объем потребления электрической мощности розничным потребителем d в устанавливаемые системным оператором плановые часы пиковой нагрузки в рабочий день t; (в ред. Приказа ФСТ РФ от 29.05.2009 N 103-э/1)

D_m - количество рабочих дней t месяца m. (в ред. Приказа ФСТ РФ от 29.05.2009 N 103-э/1)

В случае если у d-го розничного покупателя приборы учета не установлены, фактическое почасовое потребление электрической мощности этим покупателем определяется путем разбивки суммарного объема потребления электрической энергии покупателем за расчетный период пропорционально почасовым значениям суммарного профиля потребления электрической энергии ГП (ГП второго уровня, ЭСО, ЭСК) с оптового и розничного рынков, определенного по итогам расчетного периода. (в ред. Приказа ФСТ РФ от 29.05.2009 N 103-э/1)

В случае выявления у d-го розничного покупателя неисправности или утраты приборов учета фактическое почасовое потребление электрической мощности этим покупателем за время отсутствия приборного учета определяется путем разбивки суммарного объема потребления электрической энергии покупателем за расчетный период пропорционально почасовым значениям суммарного профиля потребления электрической энергии ГП (ГП второго уровня, ЭСО, ЭСК) с оптового и розничного рынков, определенного по итогам расчетного периода. (в ред. Приказа ФСТ РФ от 29.05.2009 N 103-э/1)

Данные о почасовых значениях суммарного профиля потребления электрической энергии ГП (ГП второго уровня, ЭСО, ЭСК) с оптового и розничного рынков, определенные по итогам расчетного периода, подлежат публикации в срок до 5-го числа месяца, следующего за расчетным, на официальных сайтах в сети Интернет ГП (ГП второго уровня, ЭСО, ЭСК) и органа исполнительной власти субъекта Российской Федерации в области государственного регулирования тарифов. (в ред. Приказа ФСТ РФ от 29.05.2009 N 103-э/1)

Объем фактического потребления мощности на розничном рынке в расчетном периоде покупателем, приобретающим электрическую энергию одновременно на оптовом и розничном рынках, определяется в соответствии с договором энергоснабжения (купли-продажи) (поставки). (в ред. Приказа ФСТ РФ от 29.05.2009 N 103-э/1)

19-21. Пункты исключены. (в ред. Приказа ФСТ РФ от 03.07.2008 N 249-э)

III. Определение стоимости электрической энергии (мощности), приобретаемой ГП у производителей электрической энергии (мощности) на розничном рынке

19. Стоимость электрической энергии (мощности), приобретаемой ГП у g-го крупного производителя электрической энергии (мощности) (потребителя с блок-станцией, для которого это требование применяется к размеру превышения производимой мощности над потребляемой в какой-либо час), (S(круп)_g) определяется по формуле:

(руб.), (14)

(в ред. Приказа ФСТ РФ от 29.05.2009 N 103-э/1)

где:

S(1)_g,t - стоимость электрической энергии (мощности), приобретаемой ГП у g-го крупного производителя электрической энергии по регулируемым ценам (тарифам) в час t расчетного периода, определяемая в соответствии с пунктом 22.1 настоящих Правил (руб.); (в ред. Приказа ФСТ РФ от 29.05.2009 N 103-э/1)

S(2)_g,t - стоимость электрической энергии (мощности), приобретаемой ГП у g-го крупного производителя электрической энергии по цене, рассчитанной на основе равновесной цены, определенной в результате конкурентного отбора заявок на сутки вперед в час t расчетного периода, определяемая в соответствии с пунктом 22.2 настоящих Правил (руб.). До регистрации группы точек поставки на оптовом рынке за ГП в отношении генерирующего оборудования g-го крупного производителя стоимость электрической энергии (мощности), приобретаемой ГП у g-го крупного производителя электрической энергии по цене, рассчитанной на основе равновесной цены, определенной в результате конкурентного отбора заявок на сутки вперед в час t расчетного периода, определяется в соответствии с пунктом 22.3 настоящих Правил; (в ред. Приказа ФСТ РФ от 29.05.2009 N 103-э/1)

S(3)_g - изменение стоимости электрической энергии (мощности) в случае отклонения фактически поставленного g-м крупным производителем объема от договорного, определяемое как размер обязательств/требований по оплате электрической энергии в объеме отклонений на оптовом рынке, в отношении группы точек поставки, зарегистрированной за ГП в отношении генерирующего оборудования g-го крупного производителя. До регистрации группы точек поставки на оптовом рынке за ГП в отношении генерирующего оборудования g-го крупного производителя изменение стоимости электрической энергии (мощности) в случае отклонения фактически поставленного g-м крупным производителем объема от договорного объема поставки, определяется в соответствии с пунктом 22.4 настоящих Правил (руб.);

S(4)_g - уменьшение стоимости электрической энергии (мощности) на величину расходов, понесенных ГП от участия в оптовом рынке в отношении группы точек поставки, зарегистрированной в отношении генерирующего оборудования g-го крупного производителя, включая оплату услуги по организации функционирования торговой системы оптового рынка электрической энергии (мощности), а также оплату комплексной услуги по расчету требований и обязательств участников оптового рынка (руб.). (в ред. Приказа ФСТ РФ от 03.07.2008 N 249-э)

P_g - стоимость мощности, приобретаемой ГП по нерегулируемым ценам у g-производителя электрической энергии (мощности), определяемая в порядке, установленном договором, исходя из цен на мощность на оптовом рынке электроэнергии и мощности и (или) тарифа производителя на мощность (руб.). (в ред. Приказа ФСТ РФ от 29.05.2009 N 103-э/1)

19.1. Стоимость электрической энергии (мощности), приобретаемой ГП у g-го крупного производителя электрической энергии по регулируемым ценам (тарифам) в час t расчетного периода, определяется по формуле:

(руб.), (15)

(в ред. Приказа ФСТ РФ от 29.05.2009 N 103-э/1)

где:

V(пост)_рег,g,t - объем электрической энергии, приобретаемый ГП у g-го крупного производителя электрической энергии по регулируемым ценам (тарифам) в час t расчетного периода, определяемый по формуле 30 пункта 24. При этом для g-го крупного производителя электрической энергии (мощности) (потребителя с блок-станцией) при расчете V(пост)_рег,g,t величина V(пост)_рег,g принимается равной величине V(круп)_рег,g, которая определяется по формуле:

(млн. кВт·ч), (16)

где:

V(бал)_g - объем производства электрической энергии, учтенный в сводном балансе на соответствующий расчетный период 2007 года, по соответствующему субъекту Российской Федерации в отношении g-го крупного производителя электрической энергии, генерирующие объекты которого расположены в границах зоны деятельности данного ГП (млн. кВт·ч).

Т(постав) - одноставочный тариф, установленный органом исполнительной власти субъекта Российской Федерации в области государственного регулирования тарифов для данного производителя (руб./млн. кВт·ч).

Стоимость электрической энергии (мощности), приобретаемой ГП по регулируемым ценам (тарифам) у g-го крупного производителя электрической энергии, для которого органом исполнительной власти субъекта Российской Федерации в области государственного регулирования тарифов установлен только двухставочный тариф, определяется по формуле:

(руб.), (17)

где:

Т(постав)_э/э - тарифная ставка на электрическую энергию двухставочного тарифа, установленного органом исполнительной власти субъекта Российской Федерации в области государственного регулирования тарифов для данного производителя (руб./млн. кВт·ч);

Т(постав)_мощн - тарифная ставка на мощность двухставочного тарифа, установленного органом исполнительной власти субъекта Российской Федерации в области государственного регулирования тарифов для данного производителя (руб./МВт.мес.);

V(бал) - объем электрической энергии, учтенный в Сводном прогнозном балансе на период регулирования, по соответствующему субъекту Российской Федерации для данного производителя (млн. кВт·ч);

N(бал) - объем мощности, учтенный в Сводном прогнозном балансе на период регулирования, по соответствующему субъекту Российской Федерации для данного производителя (МВт.мес.).

19.2. Стоимость электрической энергии (мощности), приобретаемой ГП у g-го крупного производителя электрической энергии по цене, рассчитанной на основе равновесной цены, определенной в результате конкурентного отбора заявок на сутки вперед, определяется по формуле:

(руб.), (18)

(в ред. Приказа ФСТ РФ от 29.05.2009 N 103-э/1)

где:

V(план)_g,t - объем электрической энергии, включенный в плановое почасовое производство в результате конкурентного отбора ценовых заявок на сутки вперед для часа t расчетного периода для группы точек поставки на оптовом рынке, зарегистрированной за ГП, в отношении генерирующего оборудования g-го крупного производителя (млн. кВт·ч); (в ред. Приказа ФСТ РФ от 29.05.2009 N 103-э/1)

Ц(РСВ_пост.ПР) - цена, рассчитанная на основе равновесной цены, определенной в результате конкурентного отбора ценовых заявок на сутки вперед для часа t расчетного периода для группы точек поставки, зарегистрированной за ГП в отношении генерирующего оборудования g-го крупного производителя, с учетом корректировки финансовых обязательств в отношении данной группы точек поставки в случае, если на оптовом рынке финансовые обязательства покупателей превышают (оказываются менее) финансовые требования поставщиков (руб./млн. кВт·ч). (в ред. Приказа ФСТ РФ от 03.07.2008 N 249-э)

19.3. До регистрации группы точек поставки на оптовом рынке за ГП в отношении генерирующего оборудования g-го крупного производителя стоимость электрической энергии (мощности), приобретаемой ГП у g-го крупного производителя электрической энергии по цене, рассчитанной на основе цены, определенной в результате конкурентного отбора заявок на сутки вперед, определяется по формуле:

(руб.), (19)

(в ред. Приказа ФСТ РФ от 29.05.2009 N 103-э/1)

где:

V(Z)_g,t - запланированный объем поставки электрической энергии на час t расчетного периода, заявленный производителем ГП в срок не позднее 2-х суток до начала фактической поставки (если договором не установлен иной срок уведомления) (млн. кВт·ч); (в ред. Приказа ФСТ РФ от 29.05.2009 N 103-э/1)

Ц(РСВ_постГП)_1 - цена, рассчитанная на основе равновесной цены, определенной в результате конкурентного отбора ценовых заявок на сутки вперед для часа t расчетного периода для группы точек поставки ГП на оптовом рынке, с учетом корректировки финансовых обязательств в отношении данной группы точек поставки в случае, если на оптовом рынке финансовые обязательства покупателей превышают (оказываются менее) финансовые требования поставщиков (руб./млн. кВт·ч). (в ред. Приказа ФСТ РФ от 03.07.2008 N 249-э)

19.4. До регистрации группы точек поставки на оптовом рынке за ГП в отношении генерирующего оборудования g-го крупного производителя изменение стоимости электрической энергии в случае отклонения фактически поставленного g-м крупным производителем объема электрической энергии от договорного объема для g-го крупного производителя электрической энергии, определяется следующим образом:

(руб.) (20)

(в ред. Приказа ФСТ РФ от 03.07.2008 N 249-э)

где:

S(откл)_g,t - изменение стоимости электрической энергии в случае отклонения фактически поставленного g-м крупным производителем объема электрической энергии в час t расчетного периода от договорного объема, определенное следующим образом: (в ред. Приказа ФСТ РФ от 29.05.2009 N 103-э/1)

в случае превышения фактически поставленного g-м крупным производителем в час t расчетного периода объема электрической энергии над запланированным почасовым производством:

(руб.), (21)

(в ред. Приказа ФСТ РФ от 29.05.2009 N 103-э/1)

в случае снижения фактически поставленного g-м крупным производителем в час t расчетного периода объема электрической энергии по сравнению запланированным почасовым производством:

(руб.), (22)

(в ред. Приказа ФСТ РФ от 29.05.2009 N 103-э/1)

где:

V(факт)_g,t - фактический объем поставки электрической энергии в час t расчетного периода (млн. кВт·ч);

Ц(БР_вверх)_t - цена электрической энергии, рассчитанная на основе цены, определяемой в результате конкурентного отбора ценовых заявок для балансирования системы при увеличении объемов для часа t расчетного периода в группе точек поставки ГП на оптовом рынке, с учетом корректировки финансовых обязательств в отношении данной группы точек поставки в случае, если на оптовом рынке финансовые обязательства покупателей превышают (оказываются менее) финансовые требования поставщиков (руб./млн. кВт·ч); (в ред. Приказа ФСТ РФ от 29.05.2009 N 103-э/1)

Ц(БР_вниз)_t - цена электрической энергии, рассчитанная на основе цены, определяемой в результате конкурентного отбора ценовых заявок для балансирования системы при уменьшении объемов для часа t расчетного периода в группе точек поставки ГП на оптовом рынке, с учетом корректировки финансовых обязательств в отношении данной группы точек поставки в случае, если на оптовом рынке финансовые обязательства покупателей превышают (оказываются менее) финансовые требования поставщиков(руб./млн. кВт·ч). (в ред. Приказов ФСТ РФ от 03.07.2008 N 249-э, от 29.05.2009 N 103-э/1)

20. Стоимость электрической энергии (мощности), приобретаемой ГП у g-го мелкого производителя электрической энергии (потребителя с блок-станцией, для которого это требование применяется к размеру превышения производимой мощности над потребляемой в какой-либо час), (S(мелк)_g) определяется по формуле:

(руб.), (23)

где:

S(1)_g - стоимость электрической энергии (мощности), приобретаемой ГП у g-го мелкого производителя электрической энергии по регулируемым ценам (тарифам) за расчетный период (руб.), определяемая как произведение приобретаемого объема электроэнергии и одноставочного тарифа, установленного органом исполнительной власти субъекта Российской Федерации в области государственного регулирования тарифов для данного производителя (Т(постав)).

Объем электрической энергии, приобретаемый ГП по регулируемым ценам (тарифам) у g-го мелкого производителя электрической энергии, (V(мелк)_рег,g) (млн. кВт·ч), принимается равным минимальному из значений V(бал)_g или V(пост)_дог,g, где:

V(бал)_g - объем производства электрической энергии, учтенный в Сводном прогнозном балансе на соответствующий расчетный период текущего года, по соответствующему субъекту Российской Федерации в отношении g-го мелкого производителя электрической энергии (мощности), у которого с данным ГП заключен договор поставки электрической энергии (мощности) (млн. кВт·ч);

V(пост)_дог, g - договорный объем поставки электрической энергии (мощности) (млн. кВт·ч).

Стоимость электрической энергии (мощности), приобретаемой ГП по регулируемым ценам (тарифам) у g-го мелкого производителя электрической энергии, для которого органом исполнительной власти субъекта Российской Федерации в области государственного регулирования тарифов установлен только двухставочный тариф, определяется по формуле:

(24)

S(2)_g - стоимость электрической энергии в объеме превышения договорного объема поставки электрической энергии над объемом, поставляемым по регулируемым ценам (тарифам), оплачиваемая по цене, определенной соглашением сторон (руб.);

S(откл)_g - определяемое в соответствии с пунктом 23.1 или 23.2 настоящих Правил изменение стоимости электрической энергии в случае отклонения фактически поставленного g-м мелким производителем объема электрической энергии от договорного объема поставки (руб.). (в ред. Приказа ФСТ РФ от 03.07.2008 N 249-э)

20.1. Изменение стоимости электрической энергии в случае отклонения фактически поставленного g-м мелким производителем объема электрической энергии от договорного объема для g-го мелкого производителя электрической энергии (потребителя с блок-станцией), установленная мощность генерирующих объектов которого составляет более 5 МВт (в отношении потребителя с блок-станцией - размер превышения производимой мощности над потребляемой в какой-либо час), определяется следующим образом:

(руб.), (25)

где:

S(откл)_g,t - изменение стоимости электрической энергии в случае отклонения фактически поставленного g-м мелким производителем объема электрической энергии в час t расчетного периода от договорного объема, определенное следующим образом:

в случае превышения фактически поставленного g-м мелким производителем в час t расчетного периода объема электрической энергии над запланированным почасовым производством:

(руб.), (26)

в случае снижения фактически поставленного g-м мелким производителем в час t расчетного периода объема электрической энергии по сравнению запланированным почасовым производством:

(руб.), (27)

где:

Ц(БР_вверх)_t - цена электрической энергии, рассчитанная на основе цены, определяемой в результате конкурентного отбора ценовых заявок для балансирования системы при увеличении объемов для часа t расчетного периода в группе точек поставки ГП на оптовом рынке, с учетом корректировки финансовых обязательств в отношении данной группы точек поставки в случае, если на оптовом рынке финансовые обязательства покупателей превышают (оказываются менее) финансовые требования поставщиков (руб./млн. кВт·ч);

Ц(БР_вниз)_t - цена электрической энергии, рассчитанная на основе цены, определяемой в результате конкурентного отбора ценовых заявок для балансирования системы при уменьшении объемов для часа t расчетного периода в группе точек поставки ГП на оптовом рынке, с учетом корректировки финансовых обязательств в отношении данной группы точек поставки в случае, если на оптовом рынке финансовые обязательства покупателей превышают (оказываются менее) финансовые требования поставщиков (руб./млн. кВт·ч); (в ред. Приказа ФСТ РФ от 03.07.2008 N 249-э)

20.2. Для g-го мелкого производителя электрической энергии (потребителя с блок-станций), установленная мощность генерирующих объектов которого составляет менее 5 МВт (в отношении потребителей с блок-станцией - размер превышения производимой мощности над потребляемой в какой-либо час), изменение стоимости электрической энергии в случае отклонения фактически поставленного g-м мелким производителем объема электрической энергии, от договорного объема поставки определяется следующим образом:

в случае превышения объема электрической энергии, фактически поставленной g-м мелким производителем за расчетный период, над объемом, предусмотренным договором купли-продажи:

(руб.), (28)

в случае снижения объема электрической энергии, фактически поставленного g-м мелким производителем за расчетный период, по сравнению с объемом, предусмотренным договором купли-продажи:

(руб.), (29)

где:

V(факт)_g - фактический объем поставки электрической энергии (млн. кВт·ч);

Т(постав)_min - минимальная ставка за электрическую энергию (мощность), определяемая как наименьшая величина из тарифа, установленного органом исполнительной власти субъекта Российской Федерации в области государственного регулирования тарифов для g-го поставщика, и нерегулируемой цены, публикуемой администратором торговой системы в целях определения предельного уровня нерегулируемых цен для потребителей, осуществляющих расчеты на розничном рынке по одноставочному тарифу, присоединенная мощность энергопринимающих устройств которых не превышает 750 кВА (руб./млн. кВт·ч);

Ц(нерег) - нерегулируемая цена, публикуемая администратором торговой системы в целях определения предельного уровня нерегулируемых цен для потребителей, осуществляющих расчеты на розничном рынке по одноставочному тарифу, присоединенная мощность энергопринимающих устройств которых не превышает 750 кВА (руб./млн. кВт·ч). (в ред. Приказа ФСТ РФ от 03.07.2008 N 249-э)

21. При определении стоимости электрической энергии, приобретаемой ГП в час t расчетного периода по регулируемым ценам (тарифам) у g-го производителя, из числа указанных в пунктах 22, 23 настоящих Правил, мощность генерирующих установок которого превышает 5 МВт, объем электрической энергии приобретаемой ГП (ЭСЭ, ЭСК) в час t расчетного периода по регулируемым ценам (тарифам) определяется по формуле:

(млн. кВт·ч), (30)

здесь:

V(пост)_дог,g,t - договорный объем поставки электрической энергии в час t расчетного периода (млн. кВт·ч);

V(пост)_рег,g - объем поставки электрической энергии по регулируемым ценам (тарифам), определяемый в соответствии с пунктом 22.1, 23 настоящих Правил (млн. кВт·ч). (в ред. Приказа ФСТ РФ от 03.07.2008 N 249-э)

IV. Определение стоимости электрической энергии при отклонении фактического объема потребления покупателя от договорного, а также при изменении договорного объема

22. В случае отклонения фактически поставленного объема электрической энергии от договорного изменение стоимости электрической энергии для покупателей, приобретающих весь объем фактического потребления электрической энергии (мощности) на розничном рынке, определяется в соответствии с пунктами 26, 28, 30 настоящих Правил.

Стоимость электрической энергии в случае отклонения фактически поставленного объема электрической энергии от договорного объема поставки, а также в случае отклонения в меньшую сторону фактического объема потребления от фактически поставленного объема для покупателя оптового и розничного рынка определяется в соответствии с Правилами оптового рынка и договором о присоединении к торговой системе оптового рынка с учетом положений пункта 31 настоящих Правил.

При увеличении покупателем оптового и розничного рынка договорного объема покупки на розничном рынке стоимость электрической энергии (мощности) определяется с учетом положений пункта 27 настоящих Правил. (в ред. Приказа ФСТ РФ от 03.07.2008 N 249-э)

23. Изменение стоимости электрической энергии в случае отклонения фактически поставленного объема электрической энергии от договорного за расчетный период (S(откл)_i), для i-го покупателя, для которого в договоре энергоснабжения (купли-продажи электрической энергии) содержится условие о почасовом планировании потребления электрической энергии (мощности) (далее - покупатель с почасовым учетом), а также ГП и ЭСО (ЭСК), осуществляющая покупку электрической энергии (мощности) по границам балансовой принадлежности сетевых организаций, определяется как сумма соответствующих величин за каждый час расчетного периода: (в ред. Приказа ФСТ РФ от 03.07.2008 N 249-э)

(руб.), (31)

где:

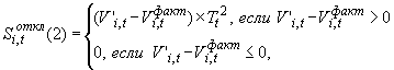
S(откл)_i,t - изменение стоимости электрической энергии при отклонении фактически поставленного покупателю с почасовым учетом объема электрической энергии от запланированного для часа t расчетного периода, которое определяется по формуле:

(руб.), (32)
(33)
   
(34)

где:

V'_i,t - запланированный объем поставки электрической энергии на час t расчетного периода, заявленный покупателем с почасовым учетом ГП (ГП второго уровня, ЭСО, ЭСК) в срок не позднее 2-х суток до начала фактической поставки (если договором не установлен иной срок уведомления) (млн. кВт·ч);

Т(1)_t - цена, применяемая в случае, если запланированный объем потребления оказался ниже объема, подлежащего поставке по регулируемым ценам (определенного в соответствии с формулой 8 пункта 15 Правил), определяемая администратором торговой системы в соответствии с Правилами оптового рынка электрической энергии (мощности) переходного периода, а также договором о присоединении к торговой системе оптового рынка и публикуемая на официальном сайте в сети Интернет (руб./млн. кВт·ч);

Т(2)_t - цена, применяемая в случае отклонения фактического почасового потребления электрической энергии ниже запланированного объема, определяемая администратором торговой системы в соответствии с Правилами оптового рынка электрической энергии (мощности) переходного периода, а также договором о присоединении к торговой системе оптового рынка и публикуемая на официальном сайте в сети Интернет (руб./млн. кВт·ч). (в ред. Приказа ФСТ РФ от 03.07.2008 N 249-э)

24. Увеличение стоимости электрической энергии (мощности) для j-го покупателя оптового и розничного рынка, увеличившего договорный объем поставки на розничном рынке, определяется по формуле:

(руб.), (35)
     
(руб.), (36)
     
(руб.) (37)

(в ред. Приказа ФСТ РФ от 03.07.2008 N 249-э)

где:

Дельта V(рег)_j,t - согласованное сторонами договора увеличение договорного объема поставки электрической энергии j-му покупателю оптового и розничного рынка по регулируемым ценам (тарифам) в час t расчетного периода в объеме, не превышающем соответствующее увеличение объема покупки электрической энергии у ГП (ЭСО, ЭСК по регулируемым ценам (тарифам) на оптовом рынке)(млн. кВт·ч);

Дельта N(ЧУ)_j - согласованное сторонами договора увеличение договорного объема мощности j-го покупателя оптового и розничного рынка за расчетный период (МВт.мес); (в ред. Приказа ФСТ РФ от 03.07.2008 N 249-э)

Т(РД,част,э/э)_j,t - средневзвешенная цена электрической энергии по регулируемым договорам, которые были заключены j-м покупателем оптового и розничного рынка на оптовом рынке, на час t расчетного периода (руб./млн. кВт·ч);

Т(РД,част,мощн)_j - средневзвешенная цена мощности по регулируемым договорам, которые были заключены j-м покупателем оптового и розничного рынка на оптовом рынке, в расчетном периоде (руб./МВт.мес.);

k(резерв) - плановый коэффициент резервирования мощности, учтенный при осуществлении привязки контрагентов по регулируемым договорам для ГП (ГП второго уровня, ЭСО, ЭСК) для данного месяца; (в ред. Приказа ФСТ РФ от 29.05.2009 N 103-э/1)

k(мощн) - доля резервной мощности, используемая ФСТ России при формировании Сводного прогнозного баланса на соответствующий период регулирования;

Т_э/э - индикативная цена на электрическую энергию, приобретаемую на оптовом рынке, установленная Федеральной службой по тарифам для соответствующего субъекта Российской Федерации (руб./млн. кВт·ч);

Т_мощн - индикативная цена на мощность, приобретаемую на оптовом рынке, установленная Федеральной службой по тарифам для соответствующего субъекта Российской Федерации (руб./МВт.мес.);

S(э/э)_комп - разница между стоимостью электрической энергии по регулируемым договорам, которые были заключены j-м покупателем оптового и розничного рынка на оптовом рынке, и стоимостью соответствующего объема электрической энергии, рассчитанной исходя из индикативной цены на электрическую энергию (руб.);

S(мощн)_комп - разница между стоимостью мощности по регулируемым договорам, которые были заключены j-м покупателем оптового и розничного рынка на оптовом рынке, и стоимостью соответствующего объема мощности, рассчитанной исходя из индикативной цены на мощность (руб.). (в ред. Приказа ФСТ РФ от 03.07.2008 N 249-э)

25. В случае введения системным оператором в установленном порядке графиков аварийного ограничения, а также в случае срабатывания противоаварийной автоматики величина отклонения фактически поставленного объема электрической энергии от договорного делится на две составляющие:

отклонение, произошедшее по собственной инициативе потребителя (отклонение по собственной инициативе), которое влечет изменение стоимости электрической энергии, определяемое в соответствии с пунктом 26 данного раздела;

отклонение, произошедшее вследствие введения системным оператором в установленном порядке графиков аварийного ограничения, а также в случае срабатывания противоаварийной автоматики (отклонение по внешней инициативе), которое влечет изменение стоимости электрической энергии, определяемое в соответствии с пунктом 29 настоящих Правил.

Итоговое изменение стоимости электрической энергии при отклонениях фактического объема потребления покупателя от договорного объема в таком случае складывается из сумм, определяемых в соответствии с указанными пунктами. (в ред. Приказа ФСТ РФ от 03.07.2008 N 249-э)

26. Изменение стоимости электрической энергии в случае отклонения по внешней инициативе определяется ГП (ГП второго уровня, ЭСО, ЭСК) для v-го покупателя в час t расчетного периода в соответствии с формулой:

(руб.), (38)

где:

V_ав.гр,t - величина отклонения покупателя по внешней инициативе, которая относится к группе точек поставки ГП (ГП второго уровня, ЭСО, ЭСК) в час t расчетного периода, определенная в соответствии с условиями договора энергоснабжения (купли-продажи) и учитываемая в соответствии с договором о присоединении к торговой системе оптового рынка при определении величины отклонения ГП (ГП второго уровня, ЭСО, ЭСК) по внешней инициативе (млн. кВт·ч); (в ред. Приказа ФСТ РФ от 29.05.2009 N 103-э/1)

SUM V_ав.гр,t - суммарная величина отклонений покупателей по внешней инициативе, которые относятся к группе точек поставки ГП (ГП второго уровня, ЭСО, ЭСК) в час t расчетного периода, учитываемая в соответствии с договором о присоединении к торговой системе оптового рынка при определении величины отклонения ГП (ГП второго уровня, ЭСО, ЭСК) по внешней инициативе (млн. кВт·ч); (в ред. Приказа ФСТ РФ от 29.05.2009 N 103-э/1)

S(t)_ИВ,ГП - стоимость электрической энергии при отклонении ГП (ГП второго уровня, ЭСО, ЭСК) по внешней инициативе в час t расчетного периода по соответствующей группе точек поставке, определенная в порядке, установленном Правилами оптового рынка и договором о присоединении к торговой системе оптового рынка (руб.). (в ред. Приказов ФСТ РФ от 03.07.2008 N 249-э, от 29.05.2009 N 103-э/1)

27. Изменение стоимости электрической энергии (мощности) на величину расходов ГП (ГП второго уровня, ЭСО, ЭСК), возникающих в связи с изменением договорного объема потребления потребителей, владеющих на праве собственности или ином законном основании генерирующими объектами, в интересах которых ГП (ГП второго уровня, ЭСО, ЭСК) выступает на оптовом рынке как участник с регулируемым потреблением, а также стоимости электрической энергии в случае отклонения фактически поставленного объема от договорного таких потребителей определяется в соответствии договором энергоснабжения (купли-продажи электрической энергии). (в ред. Приказов ФСТ РФ от 03.07.2008 N 249-э, от 29.05.2009 N 103-э/1)

28. Стоимость электрической энергии в случае отклонения фактически поставленного объема электрической энергии от договорного объема покупателю оптового и розничного рынка, а также в случае отклонения в меньшую сторону фактического объема потребления от фактически поставленного объема частичного покупателя определяется исходя из следующих принципов:

сбытовая надбавка ГП оплачивается исходя из договорного объема поставки;

плата за услуги по организации функционирования и развитию Единой энергетической системы России оплачивается исходя из фактически поставленного объема;

услуги по передаче электрической энергии (в случае договора энергоснабжения) оплачиваются исходя из минимума из фактически поставленного объема и фактического объема потребления покупателя оптового и розничного рынка;

услуги по организации функционирования торговой системы оптового рынка электрической энергии (мощности), а также комплексная услуга по расчету требований и обязательств участников оптового рынка оплачиваются исходя из минимума из фактически поставленного объема и фактического объема потребления покупателя оптового и розничного рынка;

стоимость электрической энергии при отклонении в меньшую сторону фактически поставленного объема электрической энергии от договорного объема поставки должна учитывать разницу средневзвешенной цены на электрическую энергию, приобретаемую ГП (ГП второго уровня, ЭСО, ЭСК) по регулируемым договорам, и цены, определенной в результате конкурентного отбора ценовых заявок на сутки вперед. (в ред. Приказов ФСТ РФ от 03.07.2008 N 249-э, от 29.05.2009 N 103-э/1)