Приказ Роснедвижимости от 29.06.2007 N П/0152

"Об утверждении технических рекомендаций по государственной кадастровой оценке земель населенных пунктов"
Редакция от 14.08.2008 — Документ не действует
Показать изменения

ФЕДЕРАЛЬНОЕ АГЕНТСТВО КАДАСТРА ОБЪЕКТОВ НЕДВИЖИМОСТИ

ПРИКАЗ
от 29 июня 2007 г. N П/0152

ОБ УТВЕРЖДЕНИИ ТЕХНИЧЕСКИХ РЕКОМЕНДАЦИЙ ПО ГОСУДАРСТВЕННОЙ КАДАСТРОВОЙ ОЦЕНКЕ ЗЕМЕЛЬ НАСЕЛЕННЫХ ПУНКТОВ

(в ред. Приказа Роснедвижимости от 14.08.2008 N П/0284)

В целях разъяснения положений Методических указаний по государственной кадастровой оценке земель населенных пунктов, утвержденных Приказом Минэкономразвития России от 15 февраля 2007 г. N 39 "Об утверждении Методических указаний по государственной кадастровой оценке земель населенных пунктов" (зарегистрирован в Министерстве юстиции Российской Федерации 2 мая 2007 г., рег. N 9370), приказываю:

Утвердить прилагаемые Технические рекомендации по государственной кадастровой оценке земель населенных пунктов.

И.о. руководителя
В.С.КИСЛОВ

УТВЕРЖДЕНЫ
Приказом Роснедвижимости
от 29.06.2007 N П/0152

ТЕХНИЧЕСКИЕ РЕКОМЕНДАЦИИ
ПО ГОСУДАРСТВЕННОЙ КАДАСТРОВОЙ ОЦЕНКЕ ЗЕМЕЛЬ НАСЕЛЕННЫХ ПУНКТОВ

(в ред. Приказа Роснедвижимости от 14.08.2008 N П/0284)

I. Общие положения

1.1. Технические рекомендации по государственной кадастровой оценке земель населенных пунктов (далее - Рекомендации) являются практическим руководством по реализации Методических указаний по государственной кадастровой оценке земель населенных пунктов, утвержденных Приказом Министерства экономического развития и торговли Российской Федерации от 15.02.2007 N 39 (зарегистрирован в Министерстве юстиции Российской Федерации 02.05.2007, рег. N 9370) (далее - Методические указания).

В Рекомендациях приведена технологическая схема выполнения работ по государственной кадастровой оценке земель населенных пунктов, даны разъяснения по всем этапам работ и методическим подходам, применяемым при государственной кадастровой оценке земель населенных пунктов (далее - ГКОЗ НП), а также указаны основные требования к оформлению отчетных материалов.

Рекомендации сопровождаются специальным программным обеспечением "Расчет кадастровой стоимости земельных участков в составе земель населенных пунктов" (далее - СПО). Требования к программному и техническому обеспечениям для работы СПО на отдельном персональном компьютере и с помощью удаленного доступа (с сервера) указаны в Приложении 1.

Методические указания, Рекомендации, СПО и руководство пользователя СПО составляют единое методическое обеспечение производства работ по определению кадастровой стоимости земельных участков в составе земель населенных пунктов.

1.2. Методические указания и Рекомендации позволяют определить кадастровую стоимость земельных участков в составе земель населенных пунктов в разрезе следующих видов разрешенного использования:

1.2.1. Земельные участки, предназначенные для размещения домов многоэтажной жилой застройки.

1.2.2. Земельные участки, предназначенные для размещения домов индивидуальной жилой застройки.

1.2.3. Земельные участки, предназначенные для размещения гаражей и автостоянок.

1.2.4. Земельные участки, находящиеся в составе дачных, садоводческих и огороднических объединений.

1.2.5. Земельные участки, предназначенные для размещения объектов торговли, общественного питания и бытового обслуживания.

1.2.6. Земельные участки, предназначенные для размещения гостиниц.

1.2.7. Земельные участки, предназначенные для размещения административных и офисных зданий, объектов образования, науки, здравоохранения и социального обеспечения, физической культуры и спорта, культуры, искусства, религии.

1.2.8. Земельные участки, предназначенные для размещения объектов рекреационного и лечебно-оздоровительного назначения.

1.2.9. Земельные участки, предназначенные для размещения производственных и административных зданий, строений, сооружений промышленности, коммунального хозяйства, материально-технического, продовольственного снабжения, сбыта и заготовок.

1.2.10. Земельные участки, предназначенные для размещения электростанций, обслуживающих их сооружений и объектов;

1.2.11. Земельные участки, предназначенные для размещения портов, водных, железнодорожных вокзалов, автодорожных вокзалов, аэропортов, аэродромов, аэровокзалов.

1.2.12. Земельные участки, занятые водными объектами, находящимися в обороте.

1.2.13. Земельные участки, предназначенные для разработки полезных ископаемых, размещения железнодорожных путей, автомобильных дорог, искусственно созданных внутренних водных путей, причалов, пристаней, полос отвода железных и автомобильных дорог, водных путей, трубопроводов, кабельных, радиорелейных и воздушных линий связи и линий радиофикации, воздушных линий электропередачи конструктивных элементов и сооружений, объектов, необходимых для эксплуатации, содержания, строительства, реконструкции, ремонта, развития наземных и подземных зданий, строений, сооружений, устройств транспорта, энергетики и связи; размещения наземных сооружений и инфраструктуры спутниковой связи, объектов космической деятельности, военных объектов.

1.2.14. Земельные участки, занятые особо охраняемыми территориями и объектами, городскими лесами, скверами, парками, городскими садами.

1.2.15. Земельные участки, предназначенные для сельскохозяйственного использования.

1.2.16. Земельные участки улиц, проспектов, площадей, шоссе, аллей, бульваров, застав, переулков, проездов, тупиков; земельные участки земель резерва; земельные участки, занятые водными объектами, изъятыми из оборота или ограниченными в обороте в соответствии с законодательством Российской Федерации; земельные участки под полосами отвода водоемов, каналов и коллекторов, набережные.

1.3. Кадастровая стоимость земельных участков в составе земель населенных пунктов определяется по состоянию на 1 января года проведения работ по ГКОЗ НП на территории субъекта Российской Федерации.

Определение кадастровой стоимости земельных участков в составе земель населенных пунктов осуществляется в следующем порядке:

- формирование Перечня земельных участков в составе земель населенных пунктов;

- расчет кадастровой стоимости земельных участков в составе земель населенных пунктов.

II. Формирование перечня земельных участков в составе земель населенных пунктов

Формирование перечня земельных участков в составе земель населенных пунктов выполняется в следующем порядке:

- формирование исходного перечня земельных участков;

- определение номера вида разрешенного использования земельных участков;

- присвоение земельным участкам кода классификатора адресов России (далее - код КЛАДР);

- формирование Перечней N 1, 2, 3;

- формирование перечня объектов оценки и перечня земельных участков, не вошедших в состав объектов оценки.

2.1. Формирование исходного перечня земельных участков

Исходный перечень земельных участков формируется на основе кадастровых планов территории (далее - КПТ) по форме Таблицы 1 Приложения 3 по состоянию на 1 января года проведения работ по ГКОЗ НП.

КПТ должен соответствовать Правилам оформления кадастрового плана территории для расчета кадастровой стоимости земельных участков, утвержденным Росземкадастром 23.04.2004.

Для формирования перечня земельных участков в составе земель населенных пунктов записи, содержащиеся в КПТ кадастрового района, объединяются в один файл в формате MS Excel (*.xls). В случае если количество земельных участков превышает количество строк MS Excel, то создается новый файл, в названии которого дополнительно указывается порядковый номер. В перечень земельных участков в составе земель населенных пунктов включаются:

- земельные участки, отнесенные к категории земли населенных пунктов (земли поселений);

- земельные участки, для которых сведения о категории земель отсутствуют или категория земель не установлена (в графе 13 "Примечание" делается отметка "Отсутствуют сведения в графе 5");

- земельные участки, у которых в графе 5 "Категория земель" указаны кроме категории земли населенных пунктов дополнительно другие категории (в графе 13 "Примечание" делается отметка "Противоречивые сведения в графе 5").

Из перечня исключаются строки, содержащие в графе 3 "Наименование земельного участка" запись "Единое землепользование".

В случае отсутствия сведений в графах 4 "Местоположение участка", 6 "Разрешенное использование", 8 "Площадь" делается отметка в графе 13 "Примечание" "Отсутствуют сведения в графе (далее приводится номер графы)".

2.2. Определение номера вида разрешенного использования земельных участков

Определение номера вида разрешенного использования земельных участков производится в соответствии с Типовым перечнем видов разрешенного использования (Таблица 1 Приложения 2). Номер вида разрешенного использования вносится в графу 10 "Номер вида разрешенного использования" исходного перечня земельных участков (Таблица 1 Приложения 3).

Для земельных участков с более чем одним видом разрешенного использования номера устанавливаются для всех видов разрешенного использования. Номера видов разрешенного использования заносятся через разделитель ";".

Если земельный участок нельзя отнести ни к одному из видов разрешенного использования, указанных в подпункте 1.2 Методических указаний, в графе 13 "Примечание" делается отметка "Данных недостаточно для заполнения графы 10".

Если требуется внести несколько отметок в графу 13 "Примечание", то они записываются через разделитель ";".

2.3. Присвоение земельным участкам кода КЛАДР

Для каждого земельного участка в независимости от способа описания его местоположения в Государственном реестре земель кадастрового района при проведении работ в обязательном порядке определяется код КЛАДР населенного пункта, на территории которого он расположен. Для земельных участков в составе земель городских населенных пунктов определяется код КЛАДР до уровня "Улица". Основанием для отнесения земельного участка к землям городского или сельского населенного пункта являются сведения нормативных правовых актов органов власти субъекта Российской Федерации. Перечень городских населенных пунктов приводится по форме Таблицы 1.

Таблица 1

Перечень городских населенных пунктов
____________________________________________
(наименование субъекта Российской Федерации)

N п/п Наименование муниципального образования Наименование населенного пункта Сокращенное наименование типа населенного пункта Документ - основание, дата, N
01 02 03 04 05
1.        
2.        
...        
n        

Сокращенное наименование типа населенного пункта заполняется в соответствии с Таблицей 2.

Таблица 2

Наименования типов населенных пунктов

Номер Сокращение Полное наименование
01 02 03
1 аал Аал
2 аул Аул
3 волость Волость
4 высел Выселки(ок)
5 г Город
6 городок Городок
7 д Деревня
8 дп Дачный поселок
9 кп Курортный поселок
10 м Местечко
11 мкр Микрорайон
12 нп Населенный пункт
13 остров Остров
14 п Поселок сельского типа
15 п/р Планировочный район
16 п/ст Поселок и(при) станция(и)
17 пгт Поселок городского типа
18 починок Починок
19 рзд Разъезд
20 рп Рабочий (заводской) поселок
21 с Село
22 сл Слобода
23 ст Станция
24 ст-ца Станица
25 тер Территория
26 у Улус
27 х Хутор

2.3.1. Земельным участкам в составе земель городских населенных пунктов код КЛАДР до уровня "Улица" проставляется в графу 12 "Код КЛАДР" в формате: СС РРР ГГГ ППП УУУУ, где:

СС - код субъекта Российской Федерации (региона);

РРР - код района;

ГГГ - код города;

ППП - код населенного пункта;

УУУУ - код улицы.

При этом часть кода СС РРР ГГГ указывается в графе 12.1 "Код КЛАДР, населенный пункт", а часть кода УУУУ указывается в графе 12.2 "Код КЛАДР, улица". Цифры кода записываются без пропусков между разрядами (пробелов).

В случае если в КПТ отсутствует наименование улицы в описании местоположения земельного участка, то код КЛАДР присваивается до уровня "Населенный пункт".

В случае если в КЛАДР отсутствует или определено неоднозначно наименование улицы в описании местоположения земельного участка, то таким земельным участкам код КЛАДР присваивается до уровня "Населенный пункт".

В случае если в КЛАДР отсутствует или определено неоднозначно наименование населенного пункта в описании местоположения земельного участка, то таким земельным участкам код КЛАДР присваивается до уровня "Район", а в графу 11 "Наименование населенного пункта" заносится наименование населенного пункта из данных КПТ с использованием сокращенного наименования типа населенного пункта, указанного в Таблице 2.

2.3.2. Земельным участкам в составе земель сельских населенных пунктов код КЛАДР населенного пункта указывается в графе 12.1 "Код КЛАДР, населенный пункт" в формате:

СС РРР ГГГ ППП, где:

СС - код субъекта Российской Федерации (региона);

РРР - код района;

ГГГ - код города;

ППП - код населенного пункта.

В графу 12.2 для земельных участков в составе сельских населенных пунктов проставляется "-" (прочерк).

В случае если в КЛАДР отсутствует или определено неоднозначно наименование населенного пункта, то таким земельным участкам код КЛАДР присваивается до уровня "Район". В графу 11 "Наименование населенного пункта" заносится наименование населенного пункта из данных КПТ с использованием сокращенного наименования типа населенного пункта, указанного в Таблице 2.

2.3.3. Присвоение земельным участкам в составе земель населенных пунктов кода КЛАДР, а также указание наименования населенного пункта являются обязательными.

В случае несоответствия наименований населенного пункта в КЛАДР и описании местоположения земельного участка в КПТ в графу 11 "Наименование населенного пункта" вносится наименование населенного пункта из КПТ, код КЛАДР таким земельным участкам присваивается до уровня "Район".

В случае если в КПТ отсутствует наименование населенного пункта в описании местоположения земельного участка, то в графу 13 "Примечание" вносится отметка "Требуется уточнение описания местоположения".

2.4. Формирование Перечней N 1, 2, 3

В Перечень N 1 включаются земельные участки с заполненными и непротиворечивыми графами 4 - 8 и проставленными номерами видов разрешенного использования, кодами КЛАДР (либо заполненной графой "Наименование населенного пункта"), все остальные земельные участки включаются в Перечень N 2. Форма Перечня N 1 приведена в Таблице 2 Приложения 3, форма Перечня N 2 в Таблице 3 Приложения 3.

В случае выявления земельных участков, для которых в графах 2 - 8 указаны одинаковые сведения, один из таких земельных участков заносится в Перечень N 3, другой в Перечень N 1 или Перечень N 2 (в зависимости от полноты и непротиворечивости сведений).

Перечень N 2 (графы 4 - 8) уточняется Управлением Роснедвижимости по субъекту Российской Федерации с обязательным заполнением графы 14 "Документ-основание", в которую заносятся наименование и реквизиты документов, подтверждающих внесение корректировок и дополнений.

2.5. Формирование перечня объектов оценки и перечней земельных участков, не вошедших в состав объектов оценки

После внесения Управлением Роснедвижимости по субъекту Российской Федерации уточнений в Перечень N 2 формируются доработанный Перечень N 1 (Перечень объектов оценки) и Перечень земельных участков, не вошедших в состав объектов оценки в соответствии с подпунктами 2.2 - 2.4 настоящих Рекомендаций.

Дополнительным требованием к внесению земельных участков в Перечень объектов оценки является наличие достоверных сведений в графе 14 "Документ-основание" Перечень объектов оценки составляется в формате MS Excel (*.xls) по форме Таблицы 4 Приложения 3.

Форма перечня земельных участков, не вошедших в состав объектов оценки, приведена в Таблице 5 Приложения 3.

Перечень объектов оценки и Перечень земельных участков, не вошедших в состав объектов оценки, согласовываются руководителем Управления Роснедвижимости по субъекту Российской Федерации.

Перечень объектов оценки загружается в СПО. В случае отсутствия возможности загрузить в СПО некоторые земельные участки в СПО формируется отчет в виде текстового файла с указанием имени исходного файла, кадастрового номера объекта оценки и причины ошибки загрузки перечня объектов оценки. По результатам загрузки составляется Протокол проверки перечня объектов оценки по форме Приложения 4 с приложением отчета, сформированного в СПО. Управление Роснедвижимости по субъекту Российской Федерации устраняет причины (за исключением технических) ошибки загрузки перечня объектов оценки в СПО и в случае внесения изменений и (или) дополнений в перечень объектов оценки согласовывает его повторно.

В случае если устранить причины ошибки загрузки перечня объектов оценки невозможно, Управление Роснедвижимости по субъекту Российской Федерации готовит соответствующее обоснование, и указанные земельные участки вносятся в Перечень земельных участков, не вошедших в состав объектов оценки (Таблица 5 Приложения 3).

Количество загруженных в СПО объектов оценки должно соответствовать количеству объектов оценки, содержащихся в Перечне объектов оценки, согласованном Управлением Роснедвижимости по субъекту Российской Федерации.

III. Расчет кадастровой стоимости земельных участков в составе земель населенных пунктов

Методические указания содержат пять методических подходов к определению кадастровой стоимости земельных участков в зависимости от видов разрешенного использования земель:

- построение статистических моделей расчета кадастровой стоимости земельных участков;

- определение кадастровой стоимости земельных участков на основе индивидуальной оценки их рыночной стоимости;

- определение кадастровой стоимости земельных участков на основании минимальных или средних удельных показателей кадастровой стоимости других категорий и видов разрешенного использования;

- установление величины кадастровой стоимости земельных участков в размере номинала;

- определение кадастровой стоимости земельных участков на основе соотношений между видами разрешенного использования земельных участков в составе населенных пунктов численностью от 20 до 50 тысяч жителей.

3.1. Исходная информация для расчета кадастровой стоимости земельных участков в составе земель населенных пунктов

Исходной информацией для расчета кадастровой стоимости земельных участков в составе земель населенных пунктов являются:

- перечень объектов оценки;

- КЛАДР;

- дежурные карты кадастрового деления кадастровых районов;

- СПО "Расчет кадастровой стоимости земельных участков в составе земель населенных пунктов", руководство пользователя СПО;

- перечень городских населенных пунктов.

3.1.1. Перечень объектов оценки (Таблица 4 Приложения 3) должен содержать сведения обо всех земельных участках, расположенных на оцениваемой территории, все учетные характеристики земельных участков; перечень объектов оценки не должен содержать противоречивые данные.

Перечень объектов оценки загружается в СПО. В случае отсутствия возможности загрузить в СПО некоторые земельные участки в СПО формируется отчет в виде текстового файла с указанием имени исходного файла, кадастрового номера объекта оценки и причины ошибки загрузки перечня объектов оценки. По результатам загрузки составляется Протокол проверки перечня объектов оценки по форме Приложения 4 с приложением отчета, сформированного в СПО. Управление Роснедвижимости по субъекту Российской Федерации устраняет причины ошибки загрузки перечня объектов оценки в СПО и повторно согласовывает корректный перечень объектов оценки.

В случае если устранить причины ошибки загрузки перечня объектов оценки невозможно, Управление Роснедвижимости по субъекту Российской Федерации готовит соответствующее обоснование, и указанные земельные участки не участвуют в работах по ГКОЗ НП и вносятся в Перечень земельных участков, не вошедших в состав объектов оценки (Таблица 5 Приложения 3).

Количество загруженных в СПО объектов оценки должно соответствовать количеству объектов оценки, содержащихся в Перечне объектов оценки, согласованном Управлением Роснедвижимости по субъекту Российской Федерации.

В целях эффективной организации работ по ГКОЗ НП и планирования использования ресурсов обобщается информация о количестве земельных участков, имеющих один вид разрешенного использования, и земельных участков с более чем одним видом разрешенного использования (Таблицы 1 и 2 Приложения 5).

3.1.2. Для расчета кадастровой стоимости земельных участков в составе земель населенных пунктов используется эталонная база КЛАДР, идентичная той, которая применялась при формировании перечня объектов оценки.

3.1.3. Дежурные карты кадастрового деления предоставляются по состоянию на 1 января года начала работ по ГКОЗ НП в электронном и (или) бумажном видах. Дежурные карты кадастрового деления используются в качестве основы для создания слоев цифровых тематических карт, содержащих информацию о факторах стоимости, кадастровых кварталах, объектах оценки, улицах и объектах-аналогах населенных пунктов.

Дежурная кадастровая карта должна содержать следующую информацию:

- границы кадастровых кварталов;

- номера кадастровых кварталов;

- границы населенных пунктов;

- название населенных пунктов.

3.1.4. В целях повышения эффективности выполнения работ межведомственная комиссия может принять решение об оценке сельских населенных пунктов по технологии, предусмотренной подпунктами 2.2 - 2.5 Методических указаний. В таком случае межведомственная комиссия утверждает перечень оцениваемых по данной технологии населенных пунктов (по форме Таблицы 1 Приложения 6). Для всех земельных участков в составе земель городских и сельских населенных пунктов, оцениваемых по указанной выше технологии, код КЛАДР должен быть присвоен до уровня "Улица" в соответствии с подпунктом 2.3.1 настоящих Рекомендаций.

3.2. Расчет кадастровой стоимости земельных участков видов разрешенного использования, указанных в подпунктах 1.2.1 - 1.2.10 Методических указаний

Работы по расчету кадастровой стоимости земельных участков видов разрешенного использования, указанных в подпунктах 1.2.1 - 1.2.10 Методических указаний, осуществляются с использованием СПО на основе построения статистических моделей расчета кадастровой стоимости земельных участков в следующем порядке:

- определение состава факторов стоимости земельных участков для каждого вида разрешенного использования земельных участков;

- сбор сведений о значениях факторов стоимости земельных участков каждого вида разрешенного использования;

- создание слоев цифровых тематических карт населенных пунктов;

- группировка земельных участков в составе земель населенных пунктов;

- сбор достаточной и достоверной рыночной информации о земельных участках для каждой сформированной группы;

- построение статистических моделей расчета кадастровой стоимости для каждой сформированной группы земельных участков;

- расчет кадастровой стоимости земельных участков видов разрешенного использования, указанных в подпунктах 1.2.1 - 1.2.10 Методических указаний.

3.2.1. Определение состава факторов стоимости земельных участков для каждого вида разрешенного использования земельных участков

Состав факторов стоимости определяется для каждого вида разрешенного использования по форме Таблицы 1 Приложения 7 на основании примерного перечня факторов стоимости земельных участков в составе земель населенных пунктов (Таблица 2 Приложения 7) и анализа рынка недвижимости того вида разрешенного использования, к которому относятся земельные участки.

В состав факторов стоимости включаются факторы, которые оказывают существенное влияние на стоимость земельных участков в составе земель населенных пунктов.

Состав факторов обосновывается и согласовывается на заседании межведомственной комиссии.

В целях сбора сведений о значениях факторов стоимости земельных участков проводится анализ источников информации на предмет содержания в них сведений о значениях факторов стоимости и об объектах, описывающих территорию в разрезе факторов стоимости. Далее может быть принято одно из следующих решений (должно быть обосновано):

1) Отказ от сбора значений некоторых факторов стоимости (по причине отсутствия возможности сбора информации о значении данных факторов стоимости).

2) Замена источников информации, содержащих сведения о значениях факторов стоимости (если в результате анализа факторов стоимости и источников информации были определены иные источники информации, которые отличаются от заявленных в перечне источников).

3) Включение в список факторов стоимости, оказывающих влияние на формирование стоимости земельных участков на территории конкретного населенного пункта (например, близость к морю).

В результате сбора сведений об источниках информации формируется отчет по форме Таблицы 2 Приложения 9.

3.2.2. Сбор сведений о значениях факторов стоимости земельных участков по каждому виду разрешенного использования

Сбор сведений о значениях факторов стоимости земельных участков в составе земель населенных пунктов осуществляется из следующих источников информации, содержащих достоверную информацию:

- государственный земельный кадастр;

- государственный фонд данных, полученных в результате проведения землеустройства;

- фонды данных и базы данных, имеющиеся в распоряжении организаций и учреждений субъекта Российской Федерации и муниципальных образований.

В тех случаях, когда факторами стоимости являются характеристики земельных участков, не содержащиеся в перечисленных выше источниках, используется достоверная информация, содержащаяся в иных источниках.

В целях получения информации о значениях факторов стоимости земельных участков готовится письменный запрос о предоставлении информации о значениях факторов стоимости земельных участков, групп земельных участков в составе земель населенных пунктов в соответствующие организации. Примерный перечень организаций и типовые формы запроса информации приведены в Приложении 8. Запрос может содержать следующие приложения: 1) перечень объектов оценки; 2) перечень факторов стоимости, запрашиваемых в организации; 3) форму сбора информации о значениях факторов стоимости; 4) электронные или бумажные слои кадастровых кварталов (улиц, земельных участков) населенного пункта, по которому собирается информация. Вместе с запросом целесообразно направлять в качестве подложки план-схему населенного пункта (с указанием границ) в целях более четкого понимания территории, которая должна быть описана в разрезе факторов стоимости и контроля целостности предоставляемой информации (всю ли территорию описывает предоставленная информация).

Перечень факторов стоимости с указанными источниками информации, содержащих сведения о значениях факторов стоимости, либо об объектах, описывающих территорию в разрезе факторов стоимости, согласовывается протоколом межведомственной комиссии.

В целях получения информации о значениях факторов стоимости земельных участков создаются слои цифровых тематических карт населенных пунктов, содержащих сведения о факторах стоимости, кадастровых кварталах и земельных участках (см. п. 3.2.3 настоящих Рекомендаций).

Значения факторов стоимости земельных участков или групп земельных участков могут определяться на основании сведений, содержащихся в открытом доступе (Internet, туристические карты и т.п.).

Сбор сведений о значениях факторов стоимости осуществляется для каждого земельного участка или групп земельных участков в составе земель населенных пунктов, если значения данного фактора стоимости для совокупности земельных участков в составе земель населенных пунктов схожи.

Значения каждого фактора стоимости должны быть указаны в единой размерности. Например, если фактор "Площадь" учитывается в квадратных метрах, то значения фактора "Площадь" для каждого земельного участка должно быть указано в квадратных метрах.

Проводится анализ полученной информации на полноту. По результатам анализа принимается решение о возвращении на предыдущие этапы сбора информации о значениях факторов стоимости либо о загрузке сведений о значениях факторов стоимости в СПО.

Для загрузки в СПО информация формируется в двух видах:

- слои цифровых тематических карт в формате MapInfo - для факторов стоимости и населенных пунктов, по которым принято решение рассчитывать значение факторов стоимости на основе графической информации;

- таблицы в формате MS Excel (*.xls) - для факторов стоимости и населенных пунктов, по которым информация о значениях фактов стоимости загружается в семантическом виде.

В СПО информация формируется в соответствии с Таблицей 1 Приложения 9.

3.2.3. Создание слоев цифровых тематических карт населенных пунктов

Цифровые тематические карты населенных пунктов формируются в целях определения значений факторов стоимости земельных участков и отображения результатов государственной кадастровой оценки земель населенных пунктов.

3.2.3.1. Требования к исходным материалам.

Информация, служащая основой для создания слоев цифровых тематических карт, может быть графической и семантической.

Семантическая информация может передаваться:

- в текстовых файлах, формат которых поддерживается MS Word (*.doc, *.txt, *.xml, *.rtf, *.html);

- в базах данных в формате MS Access (*.mdf), DBASE, Paradox, MS Excel (*.xls).

Исходные графические материалы в электронном виде могут быть представлены в двух видах - растровом или векторном.

Данные в растровом виде должны быть представлены в формате, поддерживаемом MapInfo, - TIFF, GIF, JPEG, PCX, BMP, MrSID, PSD, ECW, BIL (снимки SPOT) и GRID (GRA, GRD).

Векторные данные должны быть представлены в формате MapInfo или в обменном формате AutoCAD (DXF, DWG), Intergraph/MicroStation Design, ESRI Shape файл, ARC/INFO Export, конвертируемых в формат MapInfo.

Исходными графическими материалами в бумажном виде для формирования цифровых тематических карт являются дежурные карты кадастрового деления кадастровых районов и населенных пунктов.

При подготовке цифровых карт должно быть обращено внимание на актуальность и качественное состояние картографических материалов.

1) Требования к актуальности.

Отбираются топографические (ортофотопланы) и тематические карты, по своему содержанию наиболее соответствующие современному состоянию местности. Определяющими показателями при оценке пригодности материалов для создания цифровых карт являются масштаб карт и год соответствия местности (год съемки).

2) Требования к качеству бумажных картографических материалов.

При формировании цифровой картографической основы в первую очередь должны использоваться:

2.1) типографские оттиски (не светокопии (из-за искажения масштаба));

2.2) бумажные карты хорошей сохранности, отвечающие следующим требованиям:

- отсутствие затертостей, разрывов, склеек, препятствующих идентификации элементов карты, читаемости надписей;

- наличие информации о пространственной привязке и системе координат;

- на картах должны легко распознаваться элементы местности, необходимые для привязки тематических карт;

- отсутствие деформации карт на сгибах и искажения масштаба из-за "промочек";

- наличие информации о масштабе, сведений об организации-изготовителе, о дате изготовления;

- информация должна быть заверена печатью или подписью должностного лица, либо иметь официальный статус (в т.ч. данный источник должен быть отражен в протоколе межведомственной комиссии).

Семантическая информация должна удовлетворять следующим требованиям:

- источники информации должны содержать достоверные сведения;

- сведения должны быть однозначными и не допускать двойственности понимания;

- описание местоположения объекта, характеризующего территорию города в разрезе факторов стоимости, должно быть до уровня улицы (за исключением описаний местонахождения, привязанных к однозначно определенным объектам, например, к объектам гидрографии, железной дороге и пр.);

- если в качестве фактора стоимости используется расстояние от населенного пункта до районного (административного) центра и пр., и информация дана в описательном виде, то необходимо запросить графическую информацию в виде дежурной кадастровой карты района с нанесенными названиями населенных пунктов.

Для создания слоя улиц могут использоваться бумажные источники (карты, в т.ч. туристические; схемы улиц и проездов). Для этого необходимо, чтобы бумажный носитель содержал информацию об объектах гидрографии, границу населенного пункта, железную дорогу и информацию о прочих объектах, которые позволят однозначно привязать улицы с территорией населенного пункта, представленной в виде кадастрового деления.

Информация, содержащая графическое описание в электронном виде, должна удовлетворять следующим требованиям:

- таблица слоя кадастровых кварталов MapInfo должна содержать номера кадастровых кварталов в следующем формате: слой должен содержать обязательное поле NAME с кадастровым номером в формате: xx:xx:xxxxxxx (номер должен соответствовать формату кадастрового номера земельных участков). Номер должен быть уникальным.

- таблица слоя земельных участков MapInfo должна содержать полные кадастровые номера земельных участков в следующем формате: слой должен содержать обязательное поле NAME с кадастровыми номерами в формате: xx:xx:xxxxxxx:xxx. Номер должен быть уникальным;

- таблица слоя улиц должна содержать обязательное поле NAME с указанием названия улицы и префикса;

- таблицы тематических слоев MapInfo должны содержать записи о названиях отображенных объектов (номер школы, название кинотеатров и пр.).

- таблица объектов гидрографии должна содержать информацию о наименовании объектов;

- таблица слоя границ муниципальных образований должна содержать обязательное поле NAME, содержащее наименование района, и обязательное поле ОКТМО, содержащее код ОКТМО муниципального образования по Общероссийскому классификатору территорий муниципальных образований ОК 33-2005 (ОКТМО) - 8 символов без пробелов;

- таблица слоя населенных пунктов должна содержать обязательное поле NAME - наименование населенного пункта. Также слой может содержать необязательное поле KLADR, содержащее код КЛАДР населенного пункта - 11 символов без пробелов. В том случае если для некоторых населенных пунктов значение поля KLADR не указано, необходимо предусмотреть возможность ручной привязки объектов этого слоя к объектам справочника КЛАДР;

- слои, содержащие информацию о границе субъекта Российской Федерации или о границе муниципальных районов должен содержать информацию о граничащих субъектах или муниципальных районах (названия граничащих субъектов или муниципальных районов, направление смежных границ);

- слои, содержащие информацию об объектах инфраструктуры, должны иметь легенду с условными обозначениями, либо такие объекты должны быть отрисованы в соответствии с условными обозначениями, применяемыми для топографических планов, либо название файла должно давать однозначное понимание о виде отображенных на слое объектов;

- слои, отражающие характеристику территории в разрезе факторов стоимости, а также слои, необходимые для визуализации результатов ГКОЗ НП (крупные промышленные предприятия и пр.), должны в таблице MapInfo содержать информацию об объектах, описывающих данную территорию в разрезе факторов стоимости, либо об объектах, используемых в качестве вспомогательных для визуализации результатов оценки (например, названия градообразующих объектов).

Слой факторов стоимости с бумажного носителя переносится на электронный слой при использовании в качестве ориентиров для привязки объекты, которые позволят однозначно привязать эти факторы с территорией населенного пункта, представленной в виде кадастрового деления, либо при помощи привязки по координатам средствами MapInfo. Для этого бумажные носители должны быть переведены в электронный вид при помощи сканера (см. подпункт 3.2.3.3 настоящих Рекомендаций), либо нанесены на слой MapInfo вручную, используя средства отрисовки.

При формировании цифровой карты рекомендуется создавать следующие слои:

- слой границы субъекта Российской Федерации;

- слой границ муниципальных образований (муниципальных районов и городских округов);

- слой населенных пунктов (дискретные объекты);

- слой улиц в составе населенных пунктов;

- слой кадастровых кварталов в составе населенных пунктов;

- слой земельных участков в составе населенных пунктов;

- слои факторов стоимости в составе населенных пунктов, если принято решение определять значения факторов стоимости земельных участков с использованием графической информации;

- слои объектов-аналогов в составе населенных пунктов;

- слои предыдущих результатов государственной кадастровой оценки земель населенных пунктов.

Для наглядности и визуализации могут быть созданы другие дополнительные слои.

3.2.3.2. Растеризация (сканирование) бумажных карт.

Результатом сканирования является графическая информация в электронном виде, которую можно использовать в качестве подложки при создании тематических карт. Такая подложка может содержать следующую информацию:

- информация, непосредственно отображающая показатели факторов стоимости либо границы кадастровых кварталов и пр. Обработка такой информации заключается в оцифровке такой информации средствами MapInfo;

- информация, косвенно отражающая показатели факторов стоимости (например, расположение объектов, отрицательно влияющих на состояние окружающей среды, а не зону загрязнения). В таком случае картографический материал, переведенный в электронный вид, может быть использован как основа для отрисовки необходимой информации, требуемой при расчете значений факторов стоимости от графики.

Программно-технические средства для растеризации бумажных карт должны обеспечивать возможность сканирования данных на бумажной и твердой основе (картон, алюминий) в зависимости от видов исходных материалов.

Параметры сканирования цветных листов:

- разрешение 400 точек на дюйм;

- цветность - RGB.

Параметры сканирования черно-белых, серых листов:

- разрешение - 400 точек на дюйм;

- цветность - Grayscale или BW (1-битное изображение). При выборе серого изображения сохраняются оттенки серого на листе.

Растровое изображение - это компьютерное представление рисунка, фотографии или иного графического материала в виде набора точек растра. MapInfo позволяет читать и показывать растровые изображения, созданные программами сканирования.

Регистрация растрового изображения необходима для правильного отображения векторных данных поверх растра, а также позволяет производить над растром географические вычисления, такие как вычисление расстояния и площади.

Регистрация проводится в диалоговом окне "Регистрация изображения". Здесь определяются координаты точек привязки, а также тип проекции растрового изображения. Предполагается следующая последовательность действий:

1) открыть программный комплекс MapInfo. В меню MapInfo выбрать "Файл"_"Открыть Таблицу", в появившемся диалоговом окне в меню "Типы файлов" необходимо выбрать "Растр". Затем в списке файлов выбирать растровый файл, который необходимо открыть;

2) в меню "Таблица" выбрать "Растр"_"Регистрация изображения". В открывшемся диалоговом окне "Регистрация изображения", позволяющего ввести контрольные точки, в нижней половине будет отображен предварительный вид растрового изображения. Необходимо выбрать тип проекции и единицы измерения;

3) далее необходимо указать контрольные точки на растре и в открывшемся окне указать их координаты на карте. Число необходимых контрольных точек должно быть не менее четырех.

В дальнейшем информация о регистрации растра будет храниться в файле таблицы. Таким образом, регистрировать растровое изображение нужно только один раз.

Для отдельных видов бумажных и цифровых растровых картографических материалов информация о пространственной привязке может отсутствовать. В этом случае необходима их привязка через контрольные точки.

После регистрации изображения создается новый слой MapInfo, производится оцифровка (создаются тематические слои).

3.2.3.3. Создание слоев MapInfo на основании семантического описания.

При выполнении работ по государственной кадастровой оценке земель населенных пунктов значения некоторых факторов стоимости можно определить с помощью графической информации. То есть, имея семантическую информацию об объекте, описывающем территорию в разрезе фактора стоимости, можно определить значение фактора стоимости от графики. К таким факторам можно отнести следующие: расстояние от объекта оценки до центра населенного пункта, наличие вблизи объектов рекреации (парк, водоем, стадион), расстояние от объекта до ближайшей остановки общественного транспорта, расстояние от объекта до ближайшего ж/д вокзала, расстояние от объекта до ближайшего объекта здравоохранения, общественно-культурного назначения, спортивно-оздоровительных комплексов, расстояние от объекта до крупных промышленных объектов, расстояние от объекта до крупных торговых центров, площадок и др.

Если объект, описывающий территорию в разрезе фактора стоимости, относится к точечным, для его описания возможно использовать адресное обозначение, указание пересечения улиц, иной ориентир, относительно которого расположен объект.

Если объект, описывающий территорию в разрезе фактора стоимости, относится к площадным, для его описания возможно использование следующих сведений: расположение между какими-либо объектами, расположение относительно буферных зон каких-либо объектов (например: 100 м от реки), расположение относительно границы населенного пункта.

В целях создания корректных слоев цифровых тематических карт проводится контроль качества информации, который включает контроль полноты, качества, топологической корректности пространственных данных.

Для определения значений факторов стоимости земельных участков слои цифровых тематических карт загружаются и обрабатываются в СПО.

3.2.4. Группировка земельных участков в составе земель населенных пунктов

На основании анализа информации о рынке недвижимости, состава факторов стоимости и сведений о значениях факторов стоимости земельных участков для каждого вида разрешенного использования земель проводится группировка земельных участков.

Для проведения группировки земельных участков в составе земель населенных пунктов определяется перечень факторов стоимости, на основе которых будет проведена группировка, а также значения и (или) диапазон значений данных показателей для отнесения земельных участков в составе земель населенных пунктов к соответствующей группе.

Производится кодировка информации о значениях качественных факторов стоимости объектов оценки путем присвоения качественным значениям факторов числовых значений.

Если качественные значения факторов стоимости могут быть упорядочены по силе их влияния на кадастровую стоимость объектов оценки, то упорядочение по величине приписываемых числовых значений должно совпадать с упорядочением по силе влияния значений факторов на кадастровую стоимость. Результаты кодировки качественных факторов стоимости для каждой сформированной группы отображаются по форме Таблицы 3 Приложения 9.

Всем сформированным группам присваивается порядковый номер. Описание сформированных групп отображается в форме Таблицы 4 Приложения 9. Значения (диапазоны значений) факторов стоимости, заданные для проведения группировки, должны быть обоснованы.

Группы земельных участков должны быть непересекающимися (каждый земельный участок может быть отнесен только к одной группе), должны быть однородными с точки зрения значений или диапазонов значений факторов стоимости земельных участков, входящих в группу, и полностью покрывать данный вид разрешенного использования земель (каждый земельный участок должен быть отнесен к какой-либо группе).

В случае если группировка земельных участков в составе земель населенных пунктов в рамках какого-либо вида разрешенного использования земель не может быть произведена, все земельные участки данного вида разрешенного использования земель рассматриваются как одна группа.

3.2.5. Сбор достаточной и достоверной рыночной информации о земельных участках для каждой сформированной группы

Для каждой сформированной группы земельных участков в составе земель населенных пунктов осуществляется сбор достаточной и достоверной рыночной информации о земельных участках в разрезе факторов стоимости.

Сбор рыночной информации включает в себя следующие этапы:

- определение и выбор источников рыночной информации и проверка их достоверности;

- сбор информации о рыночных ценах и (или) величине рыночной арендной платы за объекты недвижимости;

- статистический анализ рыночных данных.

3.2.5.1. Определение и выбор источников сбора рыночной информации и проверка их достоверности.

Первым этапом сбора информации о рынке недвижимости является формирование перечня источников информации, содержащих необходимые сведения. В качестве источников информации могут быть определены:

- официальные реестры, содержащие сведения о сделках с объектами недвижимости, находящиеся в ведении органов государственной власти и местного самоуправления;

- средства массовой информации, в том числе официальные сайты предприятий, организаций, размещающих объявления о рынке недвижимости;

- отчеты об оценке рыночной стоимости земельных участков.

В целях выбора источников сбора рыночной информации определяется периодичность публикации (обновления) информации, регулярность обновления, наличие в источниках рыночной информации сведений о выбранных факторах стоимости.

При сборе информации по объектам недвижимости наиболее полную информацию могут предоставить следующие источники:

- учреждения по регистрации прав на недвижимое имущество и сделок с ним;

- комитеты по управлению имуществом;

- отделения Российского фонда федерального имущества;

- организации арбитражных управляющих;

- организации оценщиков;

- риэлторские организации;

- электронные СМИ (сайты различных агентств недвижимости, интернет-версии печатных изданий, интернет-доски объявлений);

- печатные СМИ (федерального, регионального и местного уровней).

При этом каждый источник информации характеризуется рядом параметров, таких как:

- наименование источника информации;

- формат предоставления информации (бумажный/электронный);

- периодичность (Ежедневный/ Еженедельный/ Ежемесячный/ Ежеквартальный/ Ежегодный/ Нерегулярный);

Каждый из источников информации обладает той или иной степенью надежности информации, ее информативности, адекватности и релевантности. Таким образом, каждый из источников информации в зависимости от его качественных характеристик может быть расположен в определенной последовательности, позволяющей решить вопрос бессистемного сбора информации. Сбор информации следует проводить, прежде всего, с использованием наиболее информативных, достоверных, адекватных источников, с наибольшей релевантностью содержащихся в нем сведений.

Наиболее достоверной информацией о рынке недвижимости являются сведения учреждений по регистрации прав на недвижимое имущество и сделок с ним об ипотечных сделках, продажах имущества организаций-банкротов, а также сведения о сделках, совершенных с муниципальным, региональным или федеральным имуществом, содержащиеся в органах по управлению имуществом. Помимо этого, ежегодно для целей продажи, установления арендной платы и т.д. органы муниципальной, региональной и федеральной власти проводят оценку рыночной стоимости объектов недвижимости, формируя соответствующий информационный ресурс о рынке недвижимости. Данный ресурс также содержит достаточно подробное описание оцениваемых объектов, информацию по обзорам рынка недвижимости того или иного сегмента. Подобной информацией также обладают оценочные организации, выполняющие работы по оценке рыночной стоимости объектов недвижимости в том или ином регионе. Еще одним важным источником, содержащим достаточно полную информацию о рынке недвижимости, являются базы данных риэлторских и рекламных организаций, специализирующихся на рынке недвижимости. В подобных источниках информации может содержаться до 50% всего объема предложения по продаже/аренде в пределах конкретного региона. Преимущество источников такого рода заключается в том, что сведения об объектах недвижимости содержатся в структурированном виде, что значительно упрощает поиск объявлений по тем или иным критериям. Из общего списка риэлторских организаций, работающих в данном регионе, рекомендуется выделить две-три организации по каждому сегменту рынка по критерию наибольшего объема рекламы и срока работы на рынке недвижимости.

Следующим видом источников информации, позволяющим собрать сведения о рынке недвижимости, являются электронные доски объявлений. Одним из рисков использования такой информации является низкая достоверность сведений и слабая структурированность данных об объекте недвижимости, содержащихся в объявлении. Одним из возможных источников информации могут быть печатные средства массовой информации. Именно анализ информации, содержащейся в местных периодических печатных изданиях, может помочь при сборе данных по конкретному населенному пункту или административному району. Сведения об используемых источниках информации предоставляются по форме Таблицы 1 Приложения 10.

3.2.5.2. Сбор информации о рыночных ценах и (или) величине рыночной арендной платы за объекты недвижимости.

В качестве рыночной информации используются:

- цены сделок (купля-продажа, аренда, ипотека);

- цены предложения (купля-продажа, аренда);

- цены спроса (купля-продажа, аренда);

- информация о рыночной стоимости объектов недвижимости в составе земель населенных пунктов, установленной в отчетах об оценке;

- коэффициенты и индексы, используемые для определения рыночной стоимости объектов недвижимости;

- иные показатели, используемые для определения рыночной стоимости объектов недвижимости.

Собранная информация о рыночных ценах и (или) величине арендной платы за объекты недвижимости по каждой из полученных групп должна быть достаточна и репрезентативна (см. п. 3.2.5.3 настоящих Рекомендаций).

Сбор рыночной информации об объектах недвижимости проводится в следующем порядке:

- осуществляется сбор рыночной информации о ценах сделок, спроса и предложений купли-продажи и ипотеки (далее - рыночные цены) на незастроенные земельные участки;

- при недостаточности или отсутствии в группе информации о рыночной цене на незастроенные земельные участки осуществляется сбор дополнительной информации об арендной плате за незастроенные земельные участки, достаточной для построения модели;

- при недостаточности или отсутствии в группе информации о рыночных ценах и (или) арендной плате за незастроенные земельные участки осуществляется сбор дополнительной информации, достаточной для построения модели, о рыночных ценах за единые объекты недвижимости, включающих в себя земельные участки;

- при недостаточности или отсутствии в группе информации о рыночных ценах, и (или) арендной плате за земельные участки, и (или) рыночных ценах за единые объекты недвижимости, включающие в себя земельные участки, осуществляется сбор дополнительной информации, достаточной для построения модели, об арендной плате за единые объекты недвижимости, включающие в себя земельные участки;

В случае недостаточности или отсутствии в группе информации о рыночных ценах и (или) арендной плате за земельные участки и (или) единые объекты недвижимости, включающие в себя земельные участки группы, с целью обеспечения достаточности рыночной информации для построения модели, должны осуществляться или перегруппировка земельных участков по видам разрешенного использования, или уточнение состава факторов стоимости, или оценка рыночной стоимости земельных участков в составе земель населенных пунктов в составе групп.

Результаты сбора рыночной информации вносятся в столбцы 01 - n Таблицы 3 Приложения 10.

Для сбора и последующего анализа информации о рынке недвижимости информация о рынке недвижимости вносится в СПО в едином формате. Для целей сбора рыночной информации обязательно наличие в объявлении стоимости единого объекта недвижимости или стоимости единицы сравнения, а также площади объекта недвижимости. В случае если эти факторы не описаны в объявлении, это объявление не вносится в базу данных.

При занесении информации об объекте недвижимости в базу данных необходимо вносить все данные об объекте, указанные в объявлении. Помимо этого, в случае, если в объявлении объект описан не полностью (не все факторы стоимости указаны в тексте объявления), то необходимо производить уточнение значений этих факторов стоимости путем телефонных переговоров с лицами, подавшими данное объявление, либо с использованием других источников информации (картографических материалов, справочников и т.д.).

При анализе информации необходимо осуществить проверку информации по следующим критериям:

- правильность собранной рыночной информации;

- достоверность собранной рыночной информации;

- полнота собранной рыночной информации.

Проверка правильности собранной рыночной информации:

- проверка собранной рыночной информации на грамматические или фактологические ошибки.

Проверка достоверности собранной рыночной информации:

- проверка существования указанных источников информации;

- проверка на достоверность информации о местоположении объекта относительно основных магистралей, указанных в данных об объекте;

- проверка на непротиворечивость данных об объекте (одинаковая размерность, правильность соотношений между факторами стоимости (например, этаж и этажность));

- проверка даты объявления на актуальность.

Проверка полноты рыночной информации:

- проверка на наличие значений всех факторов стоимости у всех объектов-аналогов.

В случае положительного результата проверки рыночная информация загружается в базу данных СПО.

В целях обеспечения сопоставимости рыночной информации и приведения значений факторов стоимости к единому эквиваленту вносятся необходимые поправки:

- на отличие даты оценки и даты совершения сделки или публикации сведений;

- на уторгование (при использовании информации о ценах предложения и спроса);

- на наличие особых условий сделки и другие параметры. Все внесенные поправки должны быть обоснованы.

Описание используемых поправок для каждой группы производится в Таблице 2 Приложения 10.

По результатам внесения поправок заполняются соответствующие графы Таблицы 3 Приложения 10.

Для групп, по которым, в том числе, используется информация об арендной плате за земельные участки, осуществляется расчет рыночной стоимости земельных участков методом капитализации земельной ренты в соответствии с п. 4 главы IV Методических рекомендаций по определению рыночной стоимости земельных участков, утвержденных распоряжением Министерства имущественных отношений Российской Федерации 06.03.2002 N 568-р:

РСз = АП , (1)
Кк

где:

РСз - рыночная стоимость земельного участка, руб.;

АП - арендная плата за земельный участок за вычетом потерь от недоиспользования и операционных расходов арендодателя, руб.;

Кк - коэффициент капитализации арендной платы.

Порядок расчета потерь от недоиспользования, операционных расходов и коэффициента капитализации арендной платы представляется в отчетных материалах по ГКОЗ НП.

Результаты расчета рыночной стоимости земельного участка и 1 кв. м земельного участка на основе рыночной информации об арендной плате за земельные участки отображается по форме Таблицы 1 Приложения 11.

Для групп, по которым, в том числе, используется информация о рыночной цене единых объектов недвижимости, включающих земельные участки, в соответствии с Методическими рекомендациями по определению рыночной стоимости земельных участков, утвержденными распоряжением Министерства имущественных отношений Российской Федерации 06.03.2002 N 568-р, осуществляется расчет рыночной стоимости земельных участков следующими методами:

1. Методом выделения:

РСз = РЦеон - ОС, (2)

где:

РСз - рыночная стоимость земельного участка, руб.;

РЦеон - рыночная цена единого объекта недвижимости, руб.;

ОС - стоимость воспроизводства или замещения улучшений (зданий, строений, сооружений), руб.

Результаты расчета рыночной стоимости земельных участков методом выделения с использованием информации о рыночной цене единых объектов недвижимости отображаются по форме Таблицы 2 Приложения 11.

2. Методом распределения:

РСз = РЦеон x Дз, (3)

где:

РСз - рыночная стоимость земельного участка, руб.;

РЦеон - рыночная цена единого объекта недвижимости, руб.;

Дз - доля стоимости земельного участка в рыночной стоимости единого объекта недвижимости.

Результаты расчета рыночной стоимости земельных участков методом распределения с использованием информации о рыночной цене единых объектов недвижимости вносятся в Таблицу 3 Приложения 11.

Расчет стоимости улучшений и расчет доли стоимости земельного участка в рыночной стоимости единого объекта недвижимости представляются в отчетных материалах по ГКОЗ НП.

Для групп, по которым в том числе используется информация об арендной плате за единые объекты недвижимости, включающие земельные участки, осуществляется расчет рыночной стоимости земельных участков, входящих в состав единого объекта недвижимости, методом остатка в соответствии с п. 5 главы IV Методических рекомендаций по определению рыночной стоимости земельных участков, утвержденных распоряжением Министерства имущественных отношений Российской Федерации 06.03.2002 N 568-р. Расчет рыночной стоимости земельных участков приводится в отчете. По результатам расчета рыночной стоимости земельных участков на основе арендной платы за единые объекты недвижимости заполняется Таблица 4 Приложения 11.

Для групп, по которым недостаточно рыночной информации, с целью обеспечения достаточности используемой информации для построения модели оценка рыночной стоимости земельных участков осуществляется в соответствии с Методическими рекомендациями по определению рыночной стоимости земельных участков, утвержденными распоряжением Министерства имущественных отношений Российской Федерации 06.03.2002 N 568-р. Количество и состав земельных участков, по которым производится оценка рыночной стоимости, определяется на основе требований к достаточности и репрезентативности рыночной информации. Расчет рыночной стоимости земельных участков приводится в отчете. Результаты расчета рыночной стоимости земельных участков для групп вносятся в Таблицу 5 Приложения 11.

Для построения статистической модели производится кодировка рыночной информации. Кодировка рыночной информации о значениях качественных факторов стоимости земельных участков производится аналогично кодировке качественных факторов стоимости объектов оценки (подпункт 3.2.4 настоящих Рекомендаций). Если значение какого-либо качественного фактора стоимости для объекта-аналога не может быть описано кодами, использованными при кодировке информации о значениях качественных факторов стоимости объектов оценки, то данное значение описывается наиболее близким (по смыслу, значению) кодом, использованным при кодировке информации о значениях качественных факторов стоимости объектов оценки.

Результаты кодировки качественных факторов стоимости объектов-аналогов заносятся в Таблицу 6 Приложения 11.

По результатам кодировки значений факторов стоимости объектов-аналогов, расчета стоимости земельных участков объектов-аналогов, сбора информации об объектах-аналогах - незастроенных земельных участках для каждой сформированной группы земельных участков формируется Таблица 1 Приложения 12.

3.2.5.3. Статистический анализ рыночной информации

Статистический анализ рыночной информации проводится с целью:

- определения и устранения земельных участков с резкими отклонениями в значениях рыночной стоимости и (или) в значениях тех или иных факторов стоимости;

- обеспечения непротиворечивости и объяснимости рыночной информации, используемой для построения статистической модели расчета кадастровой стоимости, для каждой группы земельных участков;

- обеспечения достаточности и репрезентативности исходной рыночной информации.

Математический алгоритм удаления выбросов приведен в Приложении 13.

Результаты статистического анализа рыночной информации оформляются отчетом по форме Таблицы 7 Приложения 11.

Непротиворечивость и объяснимость рыночной информации означает, что:

- земельные участки группы с аналогичными характеристиками должны иметь близкую рыночную цену;

- земельные участки группы с лучшими (худшими) характеристиками должны иметь большую (меньшую) рыночную цену.

Анализ на непротиворечивость и объяснимость рыночной информации может проводиться следующими методами:

- визуальный анализ вариации рыночных цен на карте;

- сравнение рыночных цен и (или) значений факторов стоимости земельных участков группы с похожими характеристиками.

Проверка достаточности и репрезентативности собранной рыночной информации о земельных участках группы.

Рыночная информация считается достаточной, если объем выборки составляет не менее 6(m+1), где m - количество факторов стоимости, отобранных для построения моделей расчета.

Собранная рыночная информация должна отвечать требованию репрезентативности. Рыночная информация считается репрезентативной, если в выборке присутствуют объекты-аналоги, факторы стоимости которых принимают значения, характерные для объектов оценки данной группы. Требования к составу объектов рыночной информации различаются для количественных и качественных факторов. Для качественных факторов каждое значение качественного фактора, присутствующее в исходной выборке объектов оценки данной группы, должно присутствовать хотя бы один раз в выборке рыночных объектов данной группе, при этом для улучшения качества в выборке рыночных объектов оценки желательно присутствие каждого значения качественного фактора данной группы не менее шести раз. Для количественных факторов: диапазон значений фактора в выборке рыночных объектов данной группы должен совпадать с диапазоном значений фактора исходной выборки данной группы (допускается сужение интервала рыночной выборки не более чем на 10%). При этом структура наличия значений фактора на данном интервале не должна сильно отличаться у исходной и рыночной выборки. Выполнение данных обязательных условий является необходимым, но не достаточным условием репрезентативности выборки рыночных объектов.

При недостаточности и (или) нерепрезентативности рыночной информации производится дополнительный сбор рыночной информации и ее соответствующая обработка.

Дополнительный сбор рыночной информации может проводиться в следующих направлениях:

- использование близких по характеристикам земельных участков из других групп (подгрупп);

- исследование уже отобранных источников информации;

- включение в выборку данных по земельным участкам, которые были ранее исключены, например, из-за отсутствия информации по ряду факторов стоимости или наличия особых условий совершения сделок;

- поиск дополнительных источников информации;

- использование имеющихся результатов оценки рыночной стоимости земельных участков группы.

В случае отсутствия возможности сбора дополнительной рыночной информации проводится объединение групп земельных участков, близких по значениям факторов стоимости и уровню цен, и (или) уменьшение количества факторов стоимости, включаемых в модель, и (или) оценка рыночной стоимости земельных участков, имеющих характеристики, сходные с характеристиками объектов оценки данной группы.

В результате анализа рыночной информации формируется статистический отчет о группах земельных участков в составе субъекта Российской Федерации по форме Таблицы 1 Приложения 14.

3.2.6. Построение статистических моделей расчета кадастровой стоимости для каждой группы земельных участков

Построение статистических моделей расчета кадастровой стоимости земельных участков осуществляется в следующей последовательности:

- выбор факторов стоимости для построения моделей;

- построение моделей расчета кадастровой стоимости земельных участков каждой сформированной группы;

- анализ качества статистических моделей расчета кадастровой стоимости земельных участков в составе земель населенных пунктов.

3.2.6.1. Выбор факторов стоимости для построения моделей.

Для каждой группы на основании анализа сформированной выборки определяются факторы стоимости, в наибольшей степени влияющие на стоимость земельных участков в данной группе.

Выбор факторов стоимости для построения моделей может осуществляться двумя методами: экспертным и (или) корреляционно-регрессионным.

Экспертный метод предполагает выбор факторов стоимости земельных участков группы на основе экспертного мнения. Выбор каждого фактора стоимости должен быть обоснован.

Корреляционно-регрессионный метод предполагает выбор в качестве факторов стоимости для построения моделей тех факторов, которые в основном формируют стоимость земельных участков группы. С этой целью производится:

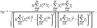
- расчет коэффициентов корреляции факторов стоимости с рыночными стоимостями по формуле:

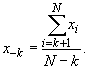
(4)

где r_kY - коэффициент корреляции k-го фактора стоимости X(k) с рыночной стоимостью Y земельного участка, N - количество объектов в обучающей выборке;

- расчет коэффициентов значимости R_k фактора X(k) по формуле

    r     (5)
R   = kY , k = 1, ..., m,
k r  
      max  

где r_max - максимальный из найденных коэффициентов корреляции,

а m - количество факторов стоимости;

- выбор из всех коэффициентов значимости тех коэффициентов, значения которых не менее 0.2 - 0.3. Соответствующие этим коэффициентам значимости факторы стоимости являются теми факторами, которые в основном формируют стоимость земельных участков группы.

Результат выбора факторов стоимости для построения моделей по каждой сформированной группе отображается по форме Таблицы 2 Приложения 14.

3.2.6.2. Построение моделей расчета кадастровой стоимости земельных участков каждой сформированной группы.

Цель построения моделей расчета кадастровой стоимости земельных участков каждой группы (далее - модель расчета) состоит в получении статистически значимой и качественной модели расчета для каждой группы земельных участков.

Под моделью расчета понимается математическая формула, отображающая связь между зависимой переменной и значениями соответствующих факторов стоимости. В качестве зависимой переменной может выступать удельный показатель кадастровой стоимости (далее - УПКС) земельных участков или кадастровая стоимость земельных участков.

Для определения кадастровой стоимости или УПКС земельных участков каждой сформированной группы могут использоваться следующие регрессионные модели:

1. Линейная (аддитивная):

Y = a_0 + a_1 X_1 + ... + a_n X_n, (6)

где Y - зависимая переменная (рыночная стоимость 1 кв. м земли или стоимость земельных участков), X_1, ..., X_n - факторы стоимости земельных участков, a_0, a_1 ... a_n - коэффициенты модели;

2. Мультипликативная с фиктивными переменными:

(7)

Здесь X_k+1, ..., X_n - двоичные факторы со значениями 0,1;

3. Мультипликативная степенная (без выделения двоичных факторов):

(8)

Во избежание сложностей, связанных с логарифмированием значений двоичных факторов при построении мультипликативной степенной модели, ко всем значениям двоичных факторов прибавляется некоторое постоянное число (например, 1 или 2);

4. Экспоненциальная модель:

(9)

При наличии дополнительных сведений о возможном характере связи между зависимой переменной и факторами стоимости и доступностью соответствующего математического обеспечения возможно использование других типов моделей.

Из совокупной выборки формируются обучающая выборка, на которой строятся модели, и контрольная выборка, на которой проверяется качество построенных моделей (Таблицы 2, 3 Приложения 12).

Формирование обучающей и контрольной выборок производится следующим образом:

- объекты исходной выборки упорядочиваются по возрастанию их зависимой переменной;

- из упорядоченной подобным образом выборки объекты поочередно относятся к обучающей и к контрольной выборкам.

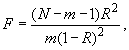
Осуществляется проверка статистической значимости моделей. Статистическая значимость модели определяется на обучающей выборке с использованием следующей формулы (критерия Фишера):

(10)

где N - количество объектов в обучающей выборке, m - количество факторов стоимости, используемых в построенной модели,

R(2) - коэффициент детерминации построенной модели, вычисляемый по формуле:

(11)

где Y_i - модельная оценка величины Y_i, a Y_ср - средняя рыночная стоимость земельных участков второй группы из обучающей выборки.

Модель считается статистически значимой, если найденное значение F-критерия (Fрасч) превышает пороговое значение F_кр альфа;m,N-m-i (Fтабл) при заданном уровне значимости альфа = 0,05.

Пороговые значения F-критерия для заданных параметров альфа, m, N приводятся в специальной статистической таблице.

Статистически незначимая модель удаляется из последующего рассмотрения.

Результат проверки статистической значимости моделей для каждой группы на обучающей выборке представляется по форме Таблицы 3 Приложения 14.

В случае если все используемые модели оказались статистически незначимыми для данной группы земельных участков, проводится сбор дополнительной рыночной информации, и (или) перегруппировка земельных участков на основании близости значений факторов стоимости и уровня цен, и (или) оценка рыночной стоимости земельных участков рассматриваемой группы. Количество земельных участков, для которых проводится оценка их рыночной стоимости, определяется возможностью построения статистически устойчивой (статистически значимой) модели расчета кадастровой стоимости земельных участков группы.

3.2.6.3. Анализ качества статистических моделей расчета кадастровой стоимости земельных участков в составе земель населенных пунктов.

Анализ качества проводится только для статистически значимых моделей.

Строится график невязок на обучающей и контрольной выборке, т.е. разностей между рыночными стоимостями 1 кв. м земли и их модельными оценками. График невязок дает возможность визуально определить, не обладает ли та или иная модель устойчивой тенденцией к недооценке или переоценке объектов на обучающей и контрольной выборке. При наличии явного факта недооценки или переоценки объектов соответствующая модель удаляется из последующего рассмотрения.

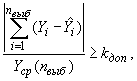
Считается, что для данной модели имеет место факт переоценки (недооценки), если отношение модуля суммарной величины невязки на рассматриваемой выборке (обучающей или контрольной) к среднему значению рыночной стоимости на этой выборке превышает заданный порог, т.е. если справедливо:

(12)

где n_выб - число объектов в рассматриваемой выборке (обучающей или контрольной), Y_ср (n_выб) - среднее значение рыночной стоимости на этой выборке, k_доп - заданный допустимый порог.

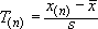
Определяется средняя относительная погрешность оценки по формуле:

(13)

где Y_i - рыночная цена 1 кв. м i-го земельного участка второй группы,

^

Y_i - модельная стоимость 1 кв. м i-го земельного участка второй группы,

n_выб - количество объектов в рассматриваемой выборке.

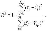
Определяется коэффициент детерминации R(2) на обучающей и контрольной выборках:

(14)

где N_с - число земельных участков второй группы в обучающей/контрольной выборке;

^

Y_i - модельная оценка величины Y_i, на обучающей/контрольной выборке;

Y_ср - средняя рыночная стоимость земельных участков второй группы из обучающей/контрольной выборки.

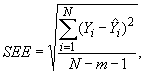
Определяется среднеквадратичная ошибка оценки (стандартное отклонение), характеризующая разброс модельные оценок относительно соответствующих значений рыночных цен 1 кв. м, по формуле:

(15)

По результатам расчета параметров качества статистически значимых моделей для каждой сформированной группы для обучающей и контрольной выборок заполняются Таблицы 4 и 5 Приложения 14.

Осуществляется отбор моделей, обладающих приемлемым качеством. Модель обладает приемлемым качеством, если ее показатели качества находятся в пределах, указанных в Таблице 3.

Таблица 3

Критерии отбора качественных моделей расчета

N п/п Критерии качества Обучающая выборка Контрольная выборка
01 02 03 04
1. Средняя относительная погрешность <= 40% Увеличение в 1,5 раза, но не более 50%
2. Коэффициент детерминации >= 0,65 >= 0,6
3. Среднеквадратичная ошибка <= 25% <= 30%

При несоответствии модели какому-либо критерию качества она удаляется из последующего рассмотрения.

Результат отбора моделей для каждой сформированной группы оформляется по форме Таблицы 6 Приложения 14.

В случае если в результате отбора моделей по критериям качества была отобрана более чем одна модель, то среди отобранных моделей находят модель с наименьшим значением средней относительной погрешности оценки дельта_ср и модели с показателем дельта_ср, отличающимся от минимального не более чем на 15%. Результат выбора наиболее качественной модели по критерию "средняя относительная погрешность оценки" оформляется в виде Таблицы 7 Приложения 14.

В случае если была отобрана более чем одна модель, отбирают модель с наибольшим коэффициентом детерминации R(2), а также модели, показатель R(2) которых отличается от наибольшего не более чем на 15%.

Результат выбора наиболее качественной модели по критерию "коэффициент детерминации" оформляется по форме Таблицы 8 Приложения 14.

В случае если была отобрана более чем одна модель, отбирается модель с меньшим значением среднеквадратичной ошибки оценки SEE. Результат выбора наиболее качественной модели по критерию "среднеквадратичная ошибка" оформляется по форме Таблицы 9 Приложения 14.

Результат выбора моделей для расчета кадастровой стоимости по каждой группе оформляется по форме Таблицы 10 Приложения 14.

В случае отсутствия качественных моделей оценки для данной группы земельных участков проводится сбор дополнительной рыночной информации, и (или) перегруппировка земельных участков, и (или) оценка рыночной стоимости земельных участков рассматриваемой группы. Количество земельных участков, для которых проводится оценка их рыночной стоимости, определяется возможностью построения качественной модели расчета кадастровой стоимости земельных участков.

Модель считается пригодной для последующего расчета кадастровой стоимости земельных участков, если параметры качества модели находятся в допустимых пределах и близки по значению на обучающей и контрольной выборках.

Из всех полученных моделей для каждой группы выбирается статистически значимая модель, обладающая наилучшим качеством. Построенная модель расчета должна отвечать требованиям предметной интерпретации (объяснимости), а также удовлетворять допустимым уровням показателей качества статистических моделей данного вида.

3.2.7. Расчет кадастровой стоимости земельных участков каждой группы

Построенная статистическая модель должна выражать зависимость кадастровой стоимости или удельного показателя кадастровой стоимости от значений факторов стоимости.

Если построенная статистическая модель выражает зависимость кадастровой стоимости земельного участка от значений факторов стоимости, то расчет кадастровой стоимости земельных участков в составе земель населенных пунктов осуществляется подстановкой значений факторов стоимости земельных участков в составе земель населенных пунктов в статистическую модель расчета кадастровой стоимости земельных участков в составе земель населенных пунктов.

Если построенная статистическая модель выражает зависимость удельного показателя кадастровой стоимости земельного участка от значений факторов стоимости, кадастровая стоимость земельного участка определяется следующим образом:

- определяется удельный показатель кадастровой стоимости земельного участка путем подстановки значений факторов стоимости земельного участка в статистическую модель расчета удельного показателя кадастровой стоимости земельных участков в составе земель населенных пунктов;

- определяется кадастровая стоимость земельного участка путем умножения удельного показателя кадастровой стоимости земельного участка на площадь земельного участка.

Результаты расчета кадастровой стоимости земельных участков отображаются для каждой сформированной группы и (или) для каждого населенного пункта по форме Таблицы 1 Приложения 15. В случае невозможности построения статистически значимой модели, обладающей приемлемыми параметрами качества, невозможности осуществления сбора дополнительной рыночной информации и (или) проведения группировки земельных участков кадастровая стоимость земельных участков в составе видов разрешенного использования, указанных в подпунктах 1.2.1 - 1.2.10 Методических указаний, может определяться путем индивидуальной оценки их рыночной стоимости. При этом рыночная стоимость земельных участков определяется в соответствии с законодательством Российской Федерации об оценочной деятельности.

Кадастровая стоимость земельных участков, рассчитанная в результате индивидуальной оценки их рыночной стоимости, отображается по форме Таблицы 2 Приложения 15.

3.3. Расчет кадастровой стоимости земельных участков видов разрешенного использования, указанных в подпунктах 1.2.11 - 1.2.12 Методических указаний

Работы по расчету кадастровой стоимости земельных участков видов разрешенного использования, указанных в подпунктах 1.2.11 - 1.2.12 Методических указаний, осуществляются с использованием СПО.

Кадастровая стоимость земельных участков видов разрешенного использования, указанных в подпунктах 1.2.11 - 1.2.12 Методических указаний, определяется путем индивидуальной оценки их рыночной стоимости. Рыночная стоимость указанных земельных участков определяется в соответствии с законодательством Российской Федерации об оценочной деятельности.

В результате определения рыночной стоимости каждого земельного участка составляется отчет об оценке рыночной стоимости земельного участка (см. подпункт 4.2 настоящих Рекомендаций).

Установленные значения рыночной стоимости земельных участков отображаются по форме Таблицы 3 Приложения 15. Сводный отчет об оценке рыночной стоимости объектов оценки составляется по форме Таблицы 4 Приложения 15.

3.4. Расчет кадастровой стоимости земельных участков видов разрешенного использования, указанных в подпунктах 1.2.13 - 1.2.15 Методических указаний

Расчет кадастровой стоимости земельных участков видов разрешенного использования, указанных в подпунктах 1.2.13 - 1.2.15 Методических указаний, осуществляется с использованием СПО.

3.4.1. Работы по расчету кадастровой стоимости земельных участков видов разрешенного использования, указанных в подпункте 1.2.13 Методических указаний, начинаются после завершения работ по расчету кадастровой стоимости земельных участков видов разрешенного использования, указанных в подпункте 1.2.9 Методических указаний.

Кадастровая стоимость земельных участков видов разрешенного использования, указанных в подпункте 1.2.13 Методических указаний, определяется путем умножения минимального для данного населенного пункта значения удельного показателя кадастровой стоимости земельных участков видов разрешенного использования, указанных в подпункте 1.2.9 Методических указаний, на площадь земельных участков.

В случае отсутствия в данном населенном пункте земельных участков видов разрешенного использования, указанного в подпункте 1.2.9 Методических указаний, кадастровая стоимость земельных участков видов разрешенного использования, указанных в подпункте 1.2.13 Методических указаний, определяется путем умножения минимального для муниципального образования (в составе которого находится населенный пункт) удельного показателя кадастровой стоимости земельных участков видов разрешенного использования, указанных в подпункте 1.2.9 Методических указаний, на площадь земельных участков.

В случае отсутствия в муниципальном образовании земельных участков видов разрешенного использования, указанных в подпункте 1.2.9 Методических указаний, кадастровая стоимость земельных участков видов разрешенного использования, указанных в подпункте 1.2.13 Методических указаний, определяется путем умножения минимального для субъекта Российской Федерации удельного показателя кадастровой стоимости земельных участков видов разрешенного использования, указанных в подпункте 1.2.9 Методических указаний, на площадь земельных участков.

Результаты расчета кадастровой стоимости земельных участков видов разрешенного использования, указанных в подпункте 1.2.13 Методических указаний, оформляются по форме Таблицы 5 Приложения 15.

3.4.2. Кадастровая стоимость земельных участков вида разрешенного использования, указанного в подпункте 1.2.14 Методических указаний, устанавливается равной произведению среднего для субъекта Российской Федерации (для г. Москвы и г. Санкт-Петербурга - Московской и Ленинградской областей соответственно) значения удельного показателя кадастровой стоимости земельных участков в составе земель лесного фонда на площадь земельных участков.

Результаты расчета кадастровой стоимости земельных участков видов разрешенного использования, указанных в подпункте 1.2.14 Методических указаний, оформляются по форме Таблицы 6 Приложения 15.

3.4.3. Кадастровая стоимость земельных участков вида разрешенного использования, указанного в подпункте 1.2.15 Методических указаний, устанавливается равной произведению среднего значения удельного показателя кадастровой стоимости земельных участков первой группы сельскохозяйственного назначения в пределах того же муниципального района (городского округа) на площадь земельных участков.

В случае если населенный пункт граничит с несколькими муниципальными районами (городскими округами), то кадастровая стоимость земельных участков вида разрешенного использования, указанного в подпункте 1.2.15 Методических указаний, устанавливается равной произведению среднего значения удельного показателя кадастровой стоимости земельных участков первой группы земель сельскохозяйственного назначения в пределах территорий граничащих муниципальных районов (городских округов) на площадь земельных участков.

В случае если населенный пункт входит в состав муниципального района (городского округа), в котором отсутствуют земельные участки первой группы земель сельскохозяйственного назначения, кадастровая стоимость земельных участков вида разрешенного использования, указанного в подпункте 1.2.15 Методических указаний, устанавливается равной произведению среднего значения удельного показателя кадастровой стоимости земельных участков первой группы сельскохозяйственного назначения в пределах соседних муниципальных районов (городских округов) (далее - в пределах субъекта Российской Федерации) на площадь земельных участков.

Результаты расчета кадастровой стоимости земельных участков вида разрешенного использования, указанного в подпункте 1.2.15 Методических указаний, оформляются по форме Таблицы 7 Приложения 15.

3.5. Особенность расчета кадастровой стоимости земельных участков в составе земель сельских населенных пунктов

Расчет кадастровой стоимости земельных участков в составе земель сельских населенных пунктов допускается осуществлять на основании следующих положений.

3.5.1. Расчет кадастровой стоимости земельных участков в составе земель сельских населенных пунктов вида разрешенного использования, указанного в подпункте 1.2.2 Методических указаний, осуществляется в соответствии с порядком, предусмотренным в подпункте 3.2 настоящих Рекомендаций.

3.5.2. Расчет кадастровой стоимости земельных участков в составе сельских населенных пунктов видов разрешенного использования, указанных в подпунктах 1.2.11 - 1.2.12 Методических указаний, осуществляется в соответствии с подпунктом 3.3 настоящих Рекомендаций.

3.5.3. Расчет кадастровой стоимости земельных участков в составе сельских населенных пунктов видов разрешенного использования, указанных в подпунктах 1.2.1, 1.2.3 - 1.2.10, 1.2.13 - 1.2.15 Методических указаний, осуществляется с использованием СПО и предполагает следующую последовательность действий.

Работы по расчету кадастровой стоимости земельных участков в составе сельских населенных пунктов видов разрешенного использования, указанных в подпунктах 1.2.1, 1.2.3 - 1.2.10, 1.2.13 - 1.2.15 Методических указаний, начинаются после завершения работ, указанных в подпунктах 3.2 - 3.4 настоящих Рекомендаций.

Определение соотношений между средним (медианным) значением удельных показателей кадастровой стоимости земельных участков видов разрешенного использования, указанных в подпунктах 1.2.1, 1.2.3 - 1.2.10, 1.2.13 - 1.2.15 Методических указаний, в составе земель населенных пунктов с численностью от 20 до 50 тыс. жителей для муниципального района (городского округа) и медианным значением удельных показателей кадастровой стоимости земельных участков, указанных в подпункте 1.2.2 Методических указаний, в составе населенных пунктов с численностью от 20 до 50 тыс. жителей в муниципальном районе (городском округе).

В случае отсутствия одного из указанных видов разрешенного использования в составе населенных пунктов с численностью от 20 до 50 тыс. жителей в муниципальном районе (городском округе) расчет соотношений осуществляется между медианными значениями удельных показателей кадастровой стоимости земельных участков видов разрешенного использования, указанных в подпунктах 1.2.1, 1.2.3 - 1.2.10, 1.2.13 - 1.2.15 Методических указаний, в составе земель населенных пунктов с численностью от 20 до 50 тыс. жителей для субъекта Российской Федерации и медианным значением удельных показателей кадастровой стоимости земельных участков вида разрешенного использования, указанного в подпункте 1.2.2 Методических указаний, в составе населенных пунктов с численностью от 20 до 50 тыс. жителей для субъекта Российской Федерации.

Результаты расчета соотношений заносятся в Таблицу 8 Приложения 15.

Определение удельных показателей кадастровой стоимости земельных участков видов разрешенного использования, указанных в подпунктах 1.2.1, 1.2.3 - 1.2.10, 1.2.13 - 1.2.15 Методических указаний, в составе сельских населенных пунктов осуществляется путем умножения медианных значений удельных показателей кадастровой стоимости, указанных в подпункте 1.2.2 Методических указаний, в составе сельских населенных пунктов на значения соответствующих соотношений.

Расчет кадастровой стоимости земельных участков в составе сельских населенных пунктов видов разрешенного использования, указанных в подпунктах 1.2.1, 1.2.3 - 1.2.10, 1.2.13 - 1.2.15 Методических указаний, осуществляется путем умножения удельных показателей кадастровой стоимости земельных участков в составе данных видов разрешенного использования на площадь земельных участков.

В результате выполнения работ формируется перечень земельных участков, относящихся к сельским населенным пунктам, по видам разрешенного использования, указанным в подпунктах 1.2.1, 1.2.3 - 1.2.10, 1.2.13 - 1.2.15 Методических указаний, с определенной кадастровой стоимостью по форме Таблицы 9 Приложения 15.

3.6. Расчет кадастровой стоимости земельных участков видов разрешенного использования, указанных в подпункте 1.2.16 Методических указаний

Расчет кадастровой стоимости земельных участков видов разрешенного использования, указанных в подпункте 1.2.16 Методических указаний, осуществляется с использованием СПО.

В результате выполнения работ формируется перечень земельных участков видов разрешенного использования, указанных в подпункте 1.2.16 Методических указаний, с определенной кадастровой стоимостью, равной 1 руб. за земельный участок (Таблица 10 Приложения 15).

3.7. Расчет кадастровой стоимости земельных участков в составе земель населенных пунктов с более чем одним видом разрешенного использования

Расчет кадастровой стоимости земельных участков в составе земель населенных пунктов с более чем одним видом разрешенного использования осуществляется с использованием СПО.

Расчет кадастровой стоимости земельных участков с более чем одним видом разрешенного использования, указанным в графе 10 "Номер вида разрешенного использования" Таблицы 5 Приложения 3, осуществляется в следующей последовательности:

- расчет кадастровой стоимости земельных участков каждого из видов разрешенного использования;

- выбор максимального значения кадастровой стоимости земельного участка.

Земельный участок с более чем одним видом разрешенного использования включается в несколько перечней объектов оценки в соответствии с установленными видами разрешенного использования земельного участка.

Исключение составляют земельные участки в составе земель населенных пунктов, одним из видов разрешенного использования которых является жилая застройка. Указанные земельные участки относятся к перечню объектов оценки в составе вида разрешенного использования, указанного в подпункте 1.2.1 Методических указаний, или к перечню объектов оценки в составе вида разрешенного использования, указанного в подпункте 1.2.2 Методических указаний.

Расчет кадастровой стоимости для каждого из видов разрешенного использования, установленных для земельных участков, осуществляется в соответствии с подпунктами 3.2 - 3.6 настоящих Рекомендаций. Результат расчета отображается по форме Таблицы 1 Приложения 16.

По результатам расчетов устанавливается кадастровая стоимость земельных участков того вида разрешенного использования земельного участка, для которого указанное значение наибольшее.

Каждый земельный участок с более чем одним видом разрешенного использования с рассчитанной кадастровой стоимостью отображается в результатах оценки того населенного пункта, в состав которого он входит.

3.8. Расчет средних значений удельных показателей кадастровой стоимости земельных участков видов разрешенного использования, указанных в подпунктах 1.2.1 - 1.2.15 Методических указаний

Расчет средних (взвешенных по площади) значений удельных показателей кадастровой стоимости земельных участков видов разрешенного использования, указанных в подпунктах 1.2.1 - 1.2.15 Методических указаний, осуществляется на основании определенных значений удельных показателей кадастровой стоимости земельных участков соответствующих видов разрешенного использования в целях реализации:

- пункта 2 Статьи 66 Земельного кодекса Российской Федерации. Результаты расчета средних значений УПКС земель представляются по форме Таблицы 1 Приложения 17; (в ред. Приказа Роснедвижимости от 14.08.2008 N П/0284)

- Приказа Минэкономразвития России от 12.08.2006 N 222 "Об утверждении методических указаний по определению кадастровой стоимости вновь образуемых земельных участков и существующих земельных участков в случаях изменения категории земель, вида разрешенного использования или уточнения площади земельного участка". Результаты расчета средних значений УПКС земель представляются по форме Таблицы 2 Приложения 17. (в ред. Приказа Роснедвижимости от 14.08.2008 N П/0284)

В случае если в населенном пункте отсутствуют земельные участки одного из видов разрешенного использования, для такого вида разрешенного использования в этом населенном пункте ставится прочерк (для данных Таблицы 1 Приложения 17).

В случае если в кадастровом квартале отсутствуют земельные участки одного из видов разрешенного использования, для такого кадастрового квартала рассчитывается среднее (взвешенное по площади) значение УПКС земельных участков этого вида разрешенного использования по населенному пункту (далее - по муниципальному району (городскому округу), далее - по субъекту Российской Федерации) (для данных Таблицы 2 Приложения 17).

В целях отображения и анализа результатов расчета кадастровой стоимости земельных участков на территории субъекта Российской Федерации формируются Таблицы 1 и 2 Приложения 18. Все таблицы упорядочиваются последовательно: по наименованию муниципального района (городского округа), по наименованию населенного пункта, по кадастровому номеру земельного участка. Если в таблице отсутствует один из столбцов, то упорядочение осуществляется в том же порядке, за исключением отсутствующего столбца.

IV. Оформление материалов государственной кадастровой оценки земель населенных пунктов

4.1. В результате проведения работ по государственной кадастровой оценке земельных участков в составе земель населенных пунктов субъекта Российской Федерации формируются отчетные материалы по форме, установленной Роснедвижимостью (далее - Отчетные материалы).

Отчетные материалы должны быть сформированы в бумажном и электронном видах в соответствии с настоящими Рекомендациями и типовой формой отчетных материалов, разработанной Роснедвижимостью. В бумажном виде отчет должен содержать описание организации проведения ГКОЗ НП, порядок расчета кадастровой стоимости земельных участков в составе земель населенных пунктов и результаты ГКОЗ НП. В бумажном виде отчета также приводятся ссылки на исходные и промежуточные данные, используемые для определения кадастровой стоимости земельных участков в составе земель населенных пунктов, обобщенные результаты работ, графические слои, отражающие результаты ГКОЗ НП, представленные в электронной части отчета.

В электронном виде отчет должен содержать копию бумажного вида отчета в формате документа MS Word (*.doc), приложения, содержащие исходные и промежуточные данные, результаты расчета кадастровой стоимости каждого земельного участка, слои цифровых тематических карт, а также заполненную базу данных специального программного обеспечения "Расчет кадастровой стоимости земельных участков в составе земель населенных пунктов". Электронная часть отчета представляется на диске(-ах) CD-R, DVD-R.

Отчетные материалы в обязательном порядке должны содержать:

- сведения о значениях факторов, использованных при определении кадастровой стоимости земельных участков и оказывающих влияние на кадастровую стоимость, в отношении каждого объекта оценки;

- сведения о рынке недвижимости;

- базу данных СПО, слои цифровых тематических карт и файлы формата "*.xml" (в электронном виде);

- отчеты об оценке рыночной стоимости;

- описание применения методов, моделей и алгоритмов определения кадастровой стоимости в объеме, достаточном для расчета их кадастровой стоимости без привлечения исполнителя работ;

- сведения о кадастровой стоимости земельных участков;

- иные сведения, которые необходимы для полного и недвусмысленного толкования результатов определения кадастровой стоимости, с указанием источников и способов их получения.

4.2. Отчет об оценке рыночной стоимости земельных участков составляется в рамках работ по ГКОЗ НП. Отчет об оценке рыночной стоимости не должен допускать неоднозначного толкования или вводить в заблуждение. В отчете об оценке рыночной стоимости указываются цели и задачи проведения оценки объекта оценки, а также приводятся иные сведения, которые необходимы для полного и недвусмысленного толкования результатов проведения оценки объекта оценки, отраженных в отчете.

В отчете об оценке рыночной стоимости должны быть указаны:

- установленная рыночная стоимость земельного участка;

- дата составления и порядковый номер отчета;

- дата определения стоимости объекта оценки;

- основание для проведения оценщиком оценки объекта оценки;

- юридический и фактический адрес оценщика и сведения о членстве оценщика в саморегулируемой организации оценщиков, контактная информация для связи с оценщиком (номер телефона, e_mail и т.п.);

- точное описание объекта оценки, а в отношении объекта оценки, принадлежащего юридическому лицу, - реквизиты юридического лица и балансовая стоимость данного объекта оценки;

- стандарты оценки для определения соответствующего вида стоимости объекта оценки, обоснование их использования;

- перечень использованных данных при проведении оценки объекта оценки с указанием источников их получения, а также принятые оценщиком допущения;

- последовательность определения стоимости объекта оценки и ее итоговая величина, а также ограничения и пределы применения полученного результата;

- перечень документов, используемых оценщиком и устанавливающих количественные и качественные характеристики объекта оценки.

Отчет об оценке рыночной стоимости может также содержать иные сведения, являющиеся, по мнению оценщика, существенно важными для полноты отражения примененного им метода расчета стоимости конкретного объекта оценки.

Отчет об оценке рыночной Стоимости должен быть пронумерован постранично, прошит, подписан оценщиком или оценщиками, которые провели оценку, а также скреплен личной печатью оценщика или печатью юридического лица, с которым оценщик или оценщики заключили трудовой договор.

Приложение 1

ТРЕБОВАНИЯ
К ПРОГРАММНОМУ И ТЕХНИЧЕСКОМУ ОБЕСПЕЧЕНИЯМ ДЛЯ РАБОТЫ С СПО НА ОТДЕЛЬНОМ ПЕРСОНАЛЬНОМ КОМПЬЮТЕРЕ И С ПОМОЩЬЮ УДАЛЕННОГО ДОСТУПА

СПО "Расчет кадастровой стоимости земельных участков в составе земель населенных пунктов" предусматривает два варианта установки: локальный, с размещением всех составляющих системы на локальной рабочей станции, и вариант клиент-сервер, когда база данных устанавливается на сервер, а программные модули - на рабочие станции.

СПО "Расчет кадастровой стоимости земельных участков в составе земель населенных пунктов" функционирует в среде операционных систем Windows NT/2000/XP.

Для обеспечения работы СПО "Расчет кадастровой стоимости земельных участков в составе земель населенных пунктов" на сервере должны быть установлены следующие программные средства:

- Операционная система Windows NT/2000 Server

- Система управления базами данных (СУБД) FireBird Server

На рабочей станции должны быть установлены следующие программные средства:

- Операционная система Windows NT/2000/XP

- Система управления базами данных (СУБД) FireBird Client

- MS Office

В локальном варианте установки на рабочей станции должны быть установлены:

- Операционная система Windows NT/2000/XP

- Система управления базами данных (СУБД) FireBird Server

- MS Office

Для эффективной работы программных модулей СПО "Расчет кадастровой стоимости земельных участков в составе земель населенных пунктов" необходимо обеспечение требований к архитектуре, составу и параметрам рабочих станций, обеспечивающих функционирование модулей, указанных в Таблице 1.

Таблица 1

Требования для рабочих станций

Параметры Требования
Процессор Intel P 223 минимум
  Intel P III 600 или более рекомендуется
Оперативная память (ОЗУ) 64 MB минимум
  128 MB или более рекомендуется
Дисковое пространство 120 MB минимум
  170 MB или более рекомендуется
Требования к видеосистеме Разрешение дисплея - не менее 800 x 600, глубина цвета - не менее 256 цветов, монитор - не менее 15";

В Таблице 2 приводятся сведения о технических средствах, необходимых для размещения серверной части.

Таблица 2

Требования для размещения серверной части

Параметры Windows 2000 Windows NT
Версия ОС Server, NT Server 4.0;
  Advanced Server, NT Workstation 4.0;
  Datacenter NT Enterprise
Процессор Intel Pentium Intel Pentium, Alpha
SMP поддержка Требуется Требуется
RAM 128 MB минимум 48 MB минимум
  (256 MB или более рекомендуется) 96 MB или более рекомендуется
Дисковое пространство 2 GB 750 MB минимум
  (и минимум 1 GB свободного пространства) 1 GB или более рекомендуется
Своп-файл 128 MB 64 MB
Обеспечение создания страховочных копий Высокоскоростное устройство записи/чтения архива (стример, магнитооптический дисковод и т.д.), обеспечивающее единовременную запись всего объема базы данных
ОЗУ 64 + 4 x Мб, n - число одновременно обслуживаемых компьютеров 64 + 4 x n Мб, n - число одновременно обслуживаемых компьютеров

Для объединения рабочих станций и серверов в локальную вычислительную сеть должно использоваться сетевое оборудование, обеспечивающее передачу данных со скоростью не менее 10 Мбит/сек., рекомендовано 100 Мбит/сек.

Для вывода информации в виде твердой копии в составе периферийных устройств локальной вычислительной сети должен быть, по крайней мере, один принтер. Принтер должен допускать вывод информации в графической форме на листы формата A4.

Приложение 2

Таблица 1

ТИПОВОЙ ПЕРЕЧЕНЬ ВИДОВ РАЗРЕШЕННОГО ИСПОЛЬЗОВАНИЯ

(в ред. Приказа Роснедвижимости от 14.08.2008 N П/0284)

N п/п Наименование вида разрешенного использования Состав вида разрешенного использования
1. Земельные участки, предназначенные для размещения домов многоэтажной жилой застройки Земельные участки, предназначенные для размещения среднеэтажных жилых домов;
 
  Земельные участки, предназначенные для размещения многоэтажных жилых домов;
    Земельные участки общежитий;
(в ред. Приказа Роснедвижимости от 14.08.2008 N П/0284)
2. Земельные участки, предназначенные для размещения домов индивидуальной жилой застройки Земельные участки для размещения объектов индивидуального жилищного строительства;
  Земельные участки для ведения личного подсобного хозяйства (приусадебные участки);
3. Земельные участки, предназначенные для размещения гаражей и автостоянок Земельные участки гаражей (индивидуальных и кооперативных) для хранения индивидуального автотранспорта;
  Земельные участки, предназначенные для хранения автотранспортных средств для личных, семейных, домашних и иных нужд, не связанных с осуществлением предпринимательской деятельности;
4. Земельные участки, находящиеся в составе дачных, садоводческих и огороднических объединений Садовые, огородные и дачные земельные участки;
5. Земельные участки, предназначенные для размещения объектов торговли, общественного питания и бытового обслуживания Земельные участки для размещения объектов оптовой и розничной торговли;
  Земельные участки ресторанов, кафе, баров;
  Земельные участки столовых при предприятиях и учреждениях и предприятий поставки продукции общественного питания;
  Земельные участки рынков;
    Земельные участки ремонтных мастерских и мастерских технического обслуживания;
    Земельные участки химчисток, прачечных;
    Земельные участки для размещения объектов технического обслуживания и ремонта транспортных средств, машин и оборудования;
    Земельные участки фотоателье, фотолабораторий;
    Земельные участки бань;
    Земельные участки парикмахерских;
    Земельные участки предприятий по прокату;
    Земельные участки объектов по оказанию обрядовых услуг (свадеб и юбилеев);
    Земельные участки игровых залов, игровых автоматов, игорных домов (казино), тотализаторов, организации лотерей (включая продажу лотерейных билетов);
6. Земельные участки, предназначенные для размещения Земельные участки гостиниц;
  Земельные участки прочих мест для временного
7. Земельные участки, предназначенные для размещения административных и офисных зданий, объектов образования, науки, здравоохранения и социального обеспечения, физической культуры и спорта, культуры, искусства, религии Земельные участки образовательных учреждений (дошкольные, общеобразовательные, начального, среднего, высшего профессионального и послевузовского образования, дополнительного образования взрослых);
  Земельные участки научных организаций (научно-исследовательские организации, научные организации образовательных учреждений высшего профессионального образования, опытно-конструкторские, проектно-конструкторские, проектно-технологические и иные организации, осуществляющие научную и (или) научно-техническую деятельность);
    Земельные участки государственных академий наук (Российская академия сельскохозяйственных наук, Российская академия медицинских наук, Российская академия образования, Российская академия архитектуры и строительных наук, Российская академия художеств);
    Земельные участки объектов здравоохранения (лечебно-профилактические и научно-исследовательские учреждения, образовательные учреждения, фармацевтические предприятия и организации, аптечные учреждения, санитарно-профилактические учреждения, территориальные органы, созданные в установленном порядке для осуществления санитарно-эпидемиологического надзора, учреждения судебно-медицинской экспертизы);
    Земельные участки ветеринарных лечебниц;
    Земельные участки органов государственного управления общего и социально-экономического характера;
    Земельные участки органов по реализации внешней политики, обеспечению законности, прав и свобод граждан, охране собственности и общественного порядка, борьбе с преступностью;
    Земельные участки организаций обязательного социального обеспечения и объектов предоставления социальных услуг;
    Земельные участки спортивных клубов, коллективов физической культуры, действующих на самодеятельной и профессиональной основах в образовательных учреждениях;
    Земельные участки детско-юношеских спортивных школ, клубов физической подготовки, спортивно-технических школ;
    Земельные участки образовательных учреждений и научных организаций в области физической культуры и спорта;
    Земельные участки общероссийских физкультурно-спортивных объединений (физкультурно-спортивные организации, общероссийские федерации (союзы, ассоциации) по различным видам спорта, общественно-государственные физкультурно-спортивные общества);
    Земельные участки учреждений кино и кинопроката;
    Земельные участки театрально-зрелищных предприятий, концертных организаций и коллективов филармонии;
    Земельные участки выставок, музеев;
    Земельные участки музыкальных, художественных и хореографических школ, клубных учреждений и библиотек;
    Земельные участки религиозных групп и организаций;
    Земельные участки гидрометеорологической службы;
    Земельные участки организаций, занимающихся банковской и страховой деятельностью;
8. Земельные участки, предназначенные для размещения объектов рекреационного и лечебно-оздоровительного назначения Земельные участки домов отдыха, пансионатов, кемпингов, туристических баз, стационарных и палаточных туристско-оздоровительных лагерей;
  Земельные участки домов рыболовов и охотников;
  Земельные участки детских туристических станций, туристских парков, учебно-туристических троп, трасс, детских и спортивных лагерей;
    Земельные участки природных лечебных ресурсов, лечебно-оздоровительных местностей и курортов;
    Земельные участки парков (культуры и отдыха);
9. Земельные участки, предназначенные для размещения производственных и административных зданий, строений, сооружений промышленности, коммунального хозяйства, материально-технического, продовольственного снабжения, сбыта и заготовок Земельные участки фабрик, заводов и комбинатов;
  Земельные участки производственных объединений, концернов, промышленно-производственных фирм, трестов;
  Земельные участки типографий;
  Земельные участки других промышленных предприятий;
    Земельные участки ДЭЗов (РЭУ, ЖЭК);
    Земельные участки объектов коммунального хозяйства (за исключением земельных участков, указанных в п. 13 настоящего перечня);
    Земельные участки объектов переработки, уничтожения, утилизации и захоронения отходов;
    Земельные участки мусороперерабатывающих (мусоросжигающих) предприятий;
    Земельные участки кладбищ, крематориев;
    Земельные участки баз и складов;
    Земельные участки прочих предприятий материально-технического, продовольственного снабжения, сбыта и заготовок;
10. Земельные участки, предназначенные для размещения электростанций, обслуживающих их сооружений и объектов Земельные участки тепловых электростанций, гидроэлектростанций, атомных электростанций и иных видов электростанций;
  Земельные участки обслуживающих электростанции вооружений и объектов;
11. Земельные участки, предназначенные для размещения портов, водных, железнодорожных вокзалов, автодорожных вокзалов, аэропортов, аэродромов, аэровокзалов Земельные участки для размещения речных портов;
  Земельные участки для размещения морских торговых портов, морских рыбных портов, морских специализированных портов;
  Земельные участки для размещения железнодорожных вокзалов и железнодорожных станций;
    Земельные участки для размещения автодорожных вокзалов и автостанций;
    Земельные участки для размещения аэропортов, аэродромов и аэровокзалов;
12. Земельные участки, занятые водными объектами, находящимися в обороте Земельные участки для размещения водных объектов (за исключением земельных участков, указанных в п. 16 настоящего перечня);
13. Земельные участки, предназначенные для разработки полезных ископаемых, размещения железнодорожных путей, автомобильных дорог, искусственно созданных внутренних водных путей, причалов, пристаней, полос отвода железных и автомобильных дорог, водных путей, трубопроводов, кабельных, радиорелейных и воздушных линий связи и линий радиофикации, воздушных линий электропередачи конструктивных элементов и сооружений, объектов, необходимых для эксплуатации, содержания, строительства, реконструкции, ремонта, развития наземных и подземных зданий, строений, сооружений, устройств транспорта, энергетики и связи; размещения наземных сооружений и инфраструктуры спутниковой связи, объектов космической деятельности, обороны, безопасности Земельные участки, предназначенные для разработки полезных ископаемых;
  Земельные участки для размещения железнодорожных путей и установления полос отвода и охранных зон железных дорог;
  Земельные участки для размещения, эксплуатации, расширения и реконструкции строений, зданий, сооружений, в том числе устройств и других объектов, необходимых для эксплуатации, содержания, строительства, реконструкции, ремонта, развития наземных и подземных зданий, строений, сооружений, устройств и других объектов железнодорожного транспорта;
  Земельные участки автомобильных дорог (за исключением земельных участков, указанных в п. 16 настоящего перечня), их конструктивных элементов и дорожных сооружений, а также полос отвода автомобильных дорог;
  Земельные участки для размещения объектов автомобильного транспорта и объектов дорожного хозяйства, необходимых для эксплуатации, содержания, строительства, реконструкции, ремонта, развития наземных и подземных зданий, строений, сооружений, устройств;
  Земельные участки для размещения искусственно созданных внутренних водных путей;
    Земельные участки для размещения причалов, пристаней, гидротехнических сооружений, других объектов, необходимых для эксплуатации, содержания, строительства, реконструкции, ремонта, развития наземных и подземных зданий, строений, сооружений, устройств и других объектов морского, внутреннего водного транспорта;
    Земельные участки гидротехнических и иных сооружений;
    Земельные участки депо, открытых линий метро и наземных линий иного общественного транспорта;
    Земельные участки для размещения нефтепроводов, газопроводов, иных трубопроводов;
    Земельные участки для размещения объектов, необходимых для эксплуатации, содержания, строительства, реконструкции, ремонта, развития наземных и подземных зданий, строений, сооружений, устройств и других объектов трубопроводного транспорта;
    Земельные участки эксплуатационных предприятий связи, на балансе которых находятся радиорелейные, воздушные, кабельные линии связи и соответствующие полосы отчуждения;
    Земельные участки кабельных, радиорелейных и воздушных линий связи и линий радиофикации на трассах кабельных и воздушных линий связи и радиофикации, необслуживаемых усилительных пунктов на линии связи и соответствующих охранных зон;
    Земельные участки наземных сооружений и инфраструктуры спутниковой связи;
    Земельные участки иных конструктивных элементов и сооружений, объектов, необходимых для эксплуатации, содержания, строительства, реконструкции, ремонта, развития наземных и подземных зданий, строений, сооружений, устройств транспорта, энергетики и связи, объектов космической деятельности;
    Земельные участки объектов военной безопасности и прочих объектов обороны;
14. Земельные участки, занятые особо охраняемыми территориями и объектами, в том числе городскими лесами, скверами, парками, городскими садами Земельные участки, имеющие особое природоохранное значение (земли государственных природных заповедников, памятников природы, национальных парков, природных парков, дендрологических парков, ботанических садов, территорий традиционного природопользования коренных малочисленных народов Севера, Сибири и Дальнего Востока Российской Федерации;
  земельные участки запретных и нерестоохранных полос);
  Земельные участки, имеющие научное, эстетическое и иное особо ценное значение (типичные или редкие ландшафты, культурные ландшафты, сообщества растительных, животных организмов, редкие геологические образования);
15. Земельные участки, предназначенные для сельскохозяйственного использования Земельные участки сельскохозяйственных угодий (пашни, сенокосы, пастбища, залежи, земли, занятые многолетними насаждениями);
  Земельные участки, занятые объектами сельскохозяйственного назначения и предназначенные для ведения сельского хозяйства, объектов сельскохозяйственного назначения;
16. Земельные участки улиц, проспектов, площадей, шоссе, аллей, бульваров, застав, переулков, проездов, тупиков; земельные участки земель резерва; земельные участки, занятые водными объектами, изъятыми из оборота или ограниченными в обороте в соответствии с законодательством Российской Федерации; земельные участки под полосами отвода водоемов, каналов и коллекторов, набережные Земельные участки общего пользования, занятые площадями, шоссе, аллеями, заставами, переулками, тупиками, улицами, проездами, набережными, скверами, бульварами, водными объектами, пляжами и другими объектами, которые могут включаться в состав различных территориальных зон и не подлежат приватизации;
  Земельные участки земель резерва;
  Земельные участки, находящиеся в государственной или муниципальной собственности, в пределах которых расположены водные объекты, находящиеся в государственной или муниципальной собственности;
    Земельные участки под полосами отвода водоемов, каналов и коллекторов.

Приложение 3

Таблица 1

Перечень земельных участков в составе земель населенных пунктов
______________ кадастрового района ______________
(наименование муниципальных районов или субъекта Российской Федерации)

N п/п Кадастровый номер участка Наименование участка Местоположение участка Категория земель Разрешенное использование Фактическое использование Площадь, кв. м
1 2 3 4 5 6 7 8
1              
2              
               
n              
Сведения о правах Номер вида разрешенного использования Наименование населенного пункта Код КЛАДР/ населенный пункт Код КЛАДР/ улица Примечание Документ - основание
9 10 11 12.1 12.2 13 14
             
             
             
             

Таблица 2

Перечень
земельных участков, для которых определен номер вида разрешенного использования и код КЛАДР населенного пункта (Перечень 1) ______________________ кадастрового района _________________
(наименование муниципальных районов или субъекта Российской Федерации)

N п/п Кадастровый номер участка Наименование участка Местоположение участка Категория земель Разрешенное использование Фактическое использование Площадь, кв. м
1 2 3 4 5 6 7 8
2              
3              
               
n              
Площадь, кв. м Сведения о правах Номер вида разрешенного использования Наименование населенного пункта Код КЛАДР/ населенный пункт Код КЛАДР/ улица Примечание Документ - основание
8 9 10 11 12.1 12.2 13 14
               
               
               
               

Таблица 3

Перечень
земельных участков, для которых отсутствует возможность присвоения номера вида разрешенного использования и/или присвоения кода КЛАДР населенного пункта (Перечень 2) ________________ кадастрового района ____________________
(наименование муниципальных районов или субъекта Российской Федерации)

N п/п Кадастровый номер участка Наименование участка Местоположение участка Категория земель Разрешенное использование Фактическое использование Площадь, кв. м
1 2 3 4 5 6 7 8
2              
3              
               
n              
Площадь, кв. м Сведения о правах Номер вида разрешенного использования Наименование населенного пункта Код КЛАДР/ населенный пункт Код КЛАДР/ улица Примечание Документ - основание
8 9 10 11 12.1 12.2 13 14
               
               
               
               

Таблица 4

Перечень
объектов оценки ____________ кадастрового района ________________
(наименование муниципальных районов или субъекта Российской Федерации)

N п/п Кадастровый номер участка Наименование участка Местоположение участка Категория земель Разрешенное использование Фактическое использование
01 02 03 04 05 06 07
1            
2            
             
n            
Фактическое использование Площадь, кв. м Сведения о правах Номер вида разрешенного использования Наименование населенного пункта Код КЛАДР/ населенный пункт Код КЛАДР/ улица
07 08 09 10 11 12.1 12.2
             
             
             
             

Таблица 5

Перечень
земельных участков, не вошедших в состав объектов оценки,
_______________ кадастрового района _____________________
(наименование муниципальных районов или субъекта Российской Федерации)

N записи Кадастровый номер участка Наименование участка Местоположение участка Категория земель Разрешенное использование Фактическое использование Площадь, кв. м Сведения о правах
01 02 03 04 05 06 07 08 09
2                
3                
                 
n                

Приложение 4

            Протокол проверки перечня объектов оценки
 
          _____________________________________________
             (наименование муниципальных образований
                или субъекта Российской Федерации)
 
_________________________________________   _______________________
 (наименование организации Исполнителя)         (дата проверки)
 
    В   результате  проверки  выявлено  (не  выявлено)  отсутствие
характеристик  земельных  участков  в  составе  земель  населенных
пунктов  ___________  (наименование  муниципальных образований или
субъекта Российской федерации).
    Перечень  земельных участков с отсутствующими характеристиками
представлен в электронном виде на диске CD-R (Прилагается).
    Проверку перечня земельных участков осуществляли:
 
__________________   _____________/______________   ______________
    должность            подпись    расшифровка        телефон
 
__________________   _____________/______________   ______________
    должность            подпись    расшифровка        телефон
 
 
 

Приложение 5

Таблица 1

Количество земельных участков с одним видом разрешенного использования

N п/п Наименование муниципального района (городского округа) Наименование населенного пункта Количество земельных участков Количество земельных участков по видам разрешенного использования
1 2 3 4 5 6 7 8 9 10 11 12 13 14 15 16
01 02 03 04 05 06 07 08 09 10 11 12 13 14 15 16 17 18 19 20
1.                                      
2.                                      
... Итого по муниципальному району, городскому округу                                  
n Итого по субъекту Российской Федерации                                  

Таблица 2

Количество земельных участков с более чем одним видом разрешенного использования

N п/п Наименование муниципального района (городского округа) Наименование населенного пункта Количество земельных участков Количество земельных участков по видам разрешенного использования
1 2 3 4 5 6 7 8 9 10 11 12 13 14 15 16
01 02 03 04 05 06 07 08 09 10 11 12 13 14 15 16 17 18 19 20
1.                                      
2.                                      
... Итого по муниципальному району, городскому округу                                  
n Итого по субъекту Российской Федерации                                  

Приложение 6

Таблица 1

Перечень
населенных пунктов, оцениваемых по технологии, указанной в подпунктах 2.2 - 2.5 Методических указаний
_____________________________
(субъект РФ)

N п/п Наименование муниципального образования Наименование населенного пункта Сокращенное наименование типа населенного пункта Документ - основание, N, дата
01 02 03 04 05
1.        
2.        
...        
n        

Приложение 7

Таблица 1

Состав факторов стоимости земельных участков

N п/п Вид разрешенного использования ЗУ N п/п Наименование фактора стоимости
01 02 03 04
1. Земельные участки, предназначенные для размещения домов многоэтажной жилой застройки 1  
2  
...  
2.1 Земельные участки, предназначенные для размещения домов индивидуальной жилой застройки в составе городских населенных пунктов 1  
2  
...  
2.2 Земельные участки, предназначенные для размещения домов индивидуальной жилой застройки в составе сельских населенных пунктов 1  
2  
...  
3. Земельные участки, предназначенные для размещения гаражей и автостоянок 1  
2  
...  
3. Земельные участки, находящиеся в составе дачных, садоводческих и огороднических объединений 1  
2  
...  
5. Земельные участки, предназначенные для размещения объектов торговли, общественного питания и бытового обслуживания 1  
2  
...  
6. Земельные участки, предназначенные для размещения гостиниц 1  
2  
...  
7. Земельные участки, предназначенные для размещения административных и офисных зданий, объектов образования, науки, здравоохранения и социального обеспечения, физической культуры и спорта, культуры, искусства, религии 1  
2  
...  
8. Земельные участки, предназначенные для размещения объектов рекреационного и лечебно-оздоровительного назначения 1  
2  
...  
9. Земельные участки, предназначенные для размещения производственных и административных зданий, строений, сооружений промышленности, коммунального хозяйства, материально-технического, продовольственного снабжения, сбыта и заготовок 1  
2  
...  
10. Земельные участки, предназначенные для размещения электростанций, обслуживающих их сооружений и объектов 1  
2  
...  

Нумерация пунктов в таблице приведена в соответствии с официальным текстом документа.

Таблица 2

Примерный перечень факторов стоимости земельных участков

Факторы стоимости Земельные участки, предназначенные для размещения домов многоэтажной жилой застройки Земельные участки, предназначенные для размещения домов индивидуальной жилой застройки Земельные участки, предназначенные для размещения гаражей и автостоянок Земельные участки, находящиеся в составе дачных, садоводческих и огороднических объединений Земельные участки, предназначенные для размещения объектов торговли, общественного питания и бытового обслуживания Земельные участки, предназначенные для размещения гостиниц Земельные участки, предназначенные для размещения административных и офисных зданий, объектов образования, науки, здравоохранения и социального обеспечения, физической культуры и спорта, культуры, искусства, религии Земельные участки, предназначенные для размещения объектов рекреационного и лечебно-оздоровительного назначения Земельные участки, предназначенные для размещения производственных и административных зданий, строений, сооружений промышленности, коммунального хозяйства, материально-технического, продовольственного снабжения, сбыта и заготовок Земельные участки, предназначенные для размещения электростанций, обслуживающих их сооружений и объектов
01 02 03 04 05 06 07 08 09 10 11
1. Физические характеристики земельного участка/объекта
Вид разрешенного использования земельного участка (по документам) + + + + + + + + + +
Площадь земельного участка + + + + + + + + + +
Количество мест           +   +    
Кол-во звезд           +        
Стоимость 1 чел./день           +   +    
Мощность                   +
Тип                   +
2. Характеристики местоположения
Муниципальный район (или городской округ) + + + + + + + + + +
Населенный пункт + + + + + + + + + +
Улица                    
Расстояние от населенного пункта до центра субъекта + + + + + + + + + +
Расстояние от населенного пункта до центра муниципального района (или городского округа) + + + + + + + + + +
Расстояние объекта до центра населенного пункта (для городских населенных пунктов) + + + + + + + + + +
3. Характеристики окружения
Близость к зонам рекреации:                    
лес + +   +   +   +    
парк + +   +   +   +    
сквер + +   +   +   +    
зеленая зона + +   +   +   +    
бульвар + +   +   +   +    
пляж + +   +   +   +    
Близость к водным объектам:                    
Река + +   +   +   +    
Озеро + +   +   +   +    
Пруд + +   +   +   +    
Расстояние до остановок общественного транспорта:                    
автобусные остановки + + + + + + + + + +
трамвайные остановки + + + + + + + + + +
троллейбусные остановки + + + + + + + + + +
станции метрополитена + + + + + + + + + +
стоянки такси + + + + + + + + + +
Расстояние до ближайших ж/д вокзала, станции + +   + + +     + +
Расстояние до ближайшей транспортной магистрали ведущих городских направлений + + + + + + + + + +
Расстояние до ближайшего автовокзала, автостанции + + + + + + + + + +
Расстояние до ближайшей пристани + + + + + + + + + +
4. Характеристики территории населенного пункта
4.1. Социальная инфраструктура
Учреждения образования
Количество дневных общеобразовательных школ (для сельских н.п.) + +                
Расстояние до ближайшей общеобразовательной школы (для городских н.п.) + +                
Количество детских садов + +                
Расстояние до ближайшего детского сада (для городских н.п.) + +                
Количество средних специальных учебных учреждений + +                
Количество ВУЗов (для городских н.п.) + +                
Учреждения здравоохранения
Количество больниц + +   +            
Количество поликлиник + +   +            
Расстояние до ближайшей поликлиники (для городских н.п.) + +   +            
Количество аптек (для сельских н.п.) + +   +            
Расстояние до ближайшей аптеки (для городских н.п.) + +   +            
Индустрия отдыха и развлечений
Количество объектов индустрии отдыха и развлечений городского значения (казино, концертный зал и т.п.) + +   +   +        
Расстояние до объектов индустрии отдыха и развлечений городского значения (казино, концертный зал и т.п.) + +   +   +   +    
Предприятия торговли
Количество объектов торговли:                    
Универмаги + +                
Торговые комплексы + +                
Торговые центры + +                
Магазины "Промтовары" + +                
Магазины "Продукты" + +                
Рынки + +                
Мини-рынки + +                
Расстояние до магазина с минимально необходимым набором продуктов + +   +            
Предприятия бытового обслуживания
Количество предприятий городского хозяйства и сферы обслуживания + +                
Учреждения культуры
Количество объектов культуры + +                
Малопривлекательные социальные объекты
Количество малопривлекательных социальных объектов + +                
4.2. Коммунальная инфраструктура
Наличие коммуникаций                    
Теплоснабжение + + + + + + + + + +
Газоснабжение + + + + + + + + + +
Электроснабжение + + + + + + + + + +
Канализация + + + + + + + + + +
Водоснабжение + + + + + + + + + +
Тип коммуникаций + + + + + + + + + +
Телефонизация (для сельских н.п.) + + + + + + + + + +
4.3. Состояние окружающей среды
Уровень загрязнения воды + + + + + + + + +  
Уровень загрязнения воздуха + + + + + + + + +  
Уровень загрязнения почв + +   +       +    
Наличие источников, представляющих собой действующую и потенциальную экологическую опасность, очаги возможных катастроф (АЭС, склады токсичных и/или взрывоопасных веществ, заводы цветной металлургии, химические и др. предприятия с опасным циклом производства) подтопление, карстовость др. + + + + + + + + +  
4.4. Градостроительная информация (для городских н.п.)
Этажность застройки по градостроительным кварталам (зонам) + +     +   +      
Плотность застройки градостроительных кварталов (типичная, предельная) + +     + + + + +  
4.5. Социально-экономические показатели
Численность населения в населенных пунктах + + + + + + + + + +

Приложение 8

ПРИМЕРНЫЙ ПЕРЕЧЕНЬ
ОРГАНИЗАЦИЙ ДЛЯ НАПРАВЛЕНИЯ ЗАПРОСОВ О ПРЕДОСТАВЛЕНИИ СВЕДЕНИЙ О ЗНАЧЕНИЯХ ФАКТОРОВ СТОИМОСТИ ЗЕМЕЛЬНЫХ УЧАСТКОВ

1. Органы управления городского хозяйства

2. Органы по управлению имуществом

3. Управление по экономике, инвестициям и предпринимательству

4. Управление по сельскому хозяйству

5. Органы статистики

6. Управление Федеральной налоговой службы Российской Федерации

7. Органы по строительству (предпринимательству)

8. Управление архитектуры и градостроительства

9. Управление природных ресурсов

10. Управление образования

11. Управление здравоохранения

12. Управление культуры

13. Управление по охране окружающей природной среды и (или) СЭС

14. Управление транспорта

15. Управление торговли

16. Управление ЖКХ

Примерные формы предоставления сведений о значениях факторов стоимости земельных участков

Форма 1

(заполняется организацией, направляющей запрос)

Наименование субъекта Российской Федерации, муниципального района (городского округа), населенного пункта
 
Наименование организации, в которую направляется запрос  

N п/п Наименование фактора стоимости или объектов, образующих фактор стоимости Рекомендации по предоставлению сведений
01 02 03
1.    
2.    
...    
n    
Подпись   МП

Форма 2

(заполняется организацией, отвечающей на запрос)

N п/п Наименование фактора стоимости или объектов, образующих фактор стоимости Адрес или местоположение на карте Площадь или расстояние, кв. м или км Профиль объекта Кол-во работающих, вместимость и т.п. (или другие качественные характеристики "мощности" объекта)
01 02 03 04 05 06
1.          
2.          
...          

Подпись   МП

Форма 3

(заполняется организацией, отвечающей на запрос)

N п/п Наименование фактора стоимости или объектов, образующих фактор стоимости Адрес или местоположение на карте Площадь, кв. м
01 02 03 04
1.      
2.      
...      
Подпись   МП

Приложение 9

Таблица 1

Перечень
объектов оценки в составе вида разрешенного использования ___________ (указывается один из подпунктов 1.2.1 - 1.2.10 Методических указаний) в составе земель ________ (городских, сельских) населенных пунктов

N п/п Наименование муниципального района (городского округа) Наименование населенного пункта Кадастровый номер земельного участка Фактор стоимости 1 Источник информации для фактора 1 Фактор стоимости 2 Источник информации для фактора 2 ... Фактор стоимости n Источник информации для фактора n
01 02 03 04 05 06 07 08 ... k k + 1
1.                    
2.                    
...                    
m                    

Таблица 2

Источники информации о значениях факторов стоимости

N п/п Наименование муниципального района (городского округа) Наименование населенного пункта Номер вида разрешенного использования Наименование фактора стоимости Наименование источника информации о значениях ФС <1> Дата направления запроса о предоставлении исходной информации о значениях ФС Место хранения запроса о предоставлении исходной информации о значениях ФС (адрес с точностью до номера комнаты) Дата получения исходной информации о значениях ФС Ответственный за предоставление исходной информации (ФИО, должность) Номер телефона ответственного с указанием кода города Место хранения представленного документа (бумажного, CD, DVD диска), содержащего исходную информацию о значениях ФС (адрес с точностью до номера комнаты) Вид информации о значениях ФС, загружаемый в СПО (семантика, графика, семантика + графика)
01 02 03 04 05 06 07 08 09 10 11 12 13
1.     1                  
                 
2                  
                 
...                  
                 
10                  
                 
2.     1                  
                 
2                  
                 
...                  
                 
10                  
                 
...                        
                   
                   
n     1                  
                 
2                  
                 
...                  
                 
10                  
                 

Таблица 3

Результаты кодировки качественных факторов стоимости, группа N ___

N п/п Наименование фактора стоимости Единица измерения Значение фактора стоимости Закодированное значение фактора стоимости
01 02 03 04 05
1.        
   
   
2.        
   
   
...        
n        

Таблица 4

Описание групп вида разрешенного использования ___ <2> в составе ______ (городских/сельских) населенных пунктов

Номер группы Наименование фактора стоимости, по которому производится группировка Единица измерения Значение или диапазон значений фактора стоимости Закодированное значение или диапазон значений фактора стоимости
01 02 03 04 05
1.        
   
       
   
2.        
   
       
   
...        
   
       
   
n        
   
       
   

<1> Источники информации доказательственного значения - органы местного самоуправления, федеральные органы исполнительной власти, прочие организации, источники информации, находящиеся в открытом доступе, и т.п.

<2> Один из видов разрешенного использования, указанных в пп. 1.2.1 - 1.2.10 Методических указаний.

Приложение 10

Таблица 1

Сведения об используемых источниках информации, группа N ___

N п/п Наименование источника информации Тип источника информации <1> Периодичность Формат предоставления информации <2>
01 02 03 04 05
1.        
2.        
...        
n        

Таблица 2

Описание поправок Группа N ___

N п/п Наименование поправки Единица измерения Последовательность внесения поправки <3> Знак внесения поправки (+/-) Вид поправки (процентный, денежный) База внесения поправки <4>
01 02 03 04 05 06 07
1.            

Таблица 3

Исходная рыночная информация с внесенными поправками по виду разрешенного использования _________________
Группа N ___

N п/п Наименование муниципального района (городского округа) Наименование населенного пункта Описание объекта аналога (текст объявления) Тип цены <5> Статус цены <6> Единица измерения цены <7> Цена объекта аналога Площадь ЗУ, кв. м Значения факторов стоимости Поправки Скорректированная стоимость Источник рыночной информации Дата
1 2 ... 1 1 2 ... m
01 02 03 04 05 06 07 08 09 10 11 ... n n+1 n+2 ... p p+1 p+1 p+2
1.                                      
2.                                      
...                                      
k                                      

<1> Газета, журнал и т.п.

<2> Один из следующих форматов (текстовый, электронный)

<3> Порядковый номер внесения поправки.

<4> Наименование величины, к которой применяется поправка (цена объекта аналога или скорректированная цена, с указанием поправок, по которым она корректировалась).

<5> Тип цены: указывается СД - цена сделки, П - цена предложения, СП - цена спроса.

<6> Статус цены: ЦЗУ - цена земельного участка, АП за ЗУ - арендная плата за земельный участок, ЕОН - цена за единый объект недвижимости, АП за ЕОН - арендная плата за единый объект недвижимости.

<7> Единица измерения <7> цены: руб./кв. м или руб.

Приложение 11

Таблица 1

Рыночная стоимость земельных участков, полученная на основе информации об арендной плате за земельные участки

Вид разрешенного использования _______ Группа N ___

N п/п Описание объекта аналога (текст объявления) Арендная плата (АП) Площадь ЗУ, кв. м Значения факторов стоимости Операционные расходы, руб. Потери от недоиспользования, руб. Значение коэффициента капитализации, % Рыночная стоимость ЗУ, руб. Исполнитель
1 2 ... m всего за 1 кв. м наименование организации номер отчета дата отчета
01 02 03 04 05 06 ... n n+1 n+2 n+3 n+4 n+5 n+6 n+7 n+8
1.                              
2.                              
...                              
k                              

Таблица 2

Рыночная стоимость земельных участков, полученная методом выделения

Вид разрешенного использования ______ Группа N __

N п/п Описание объекта аналога (текст объявления) Стоимость единого объекта недвижимости Площадь ЗУ, кв. м Значения факторов стоимости Стоимость воспроизводства или замещения, руб. Рыночная стоимость ЗУ, руб. Исполнитель
1 2 ... m всего за кв. м наименование организации номер отчета дата отчета
01 02 03 04 05 06 ... n n+1 n+2 n+3 n+4 n+5 n+6
1.                          
2.                          
...                          
m                          

Таблица 3

Рыночная стоимость земельных участков, полученная методом распределения

Вид разрешенного использования ______ Группа N ___

N п/п Описание объекта аналога (текст объявления) Стоимость единого объекта недвижимости, руб. Площадь ЗУ, кв. м Значения факторов стоимости Доля стоимости ЗУ, % Рыночная стоимость земельного участка, руб. Исполнитель
1 2 ... m всего за кв. м наименование организации номер отчета дата отчета
01 02 03 04 05 06 ... n n+1 n+2 n+4 n+5 n+6 n+7
1.                          
2.                          
...                          
k                          

Таблица 4

Рыночная стоимость земельных участков, полученная на основе арендной платы за единые объекты недвижимости

Вид разрешенного использования ______ Группа N ___

N п/п Описание объекта аналога (текст объявления) Арендная плата за единый объект недвижимости, руб./год Площадь ЗУ, кв. м Значения факторов стоимости Рыночная стоимость земельного участка, руб. Исполнитель
1 2 ... m всего за кв. м наименование организации номер отчета дата отчета
01 02 03 04 05 06 ... n n+1 n+2 n+3 n+4 n+5
1.                        
2.                        
...                        
k                        

Таблица 5

Рыночная стоимость земельных участков, определенная в результате индивидуальной оценки рыночной стоимости земельных участков вида разрешенного использования __________________ Группа N ___

N п/п Наименование организации Номер отчета Дата составления отчета Кадастровый номер земельного участка Значения факторов стоимости Площадь ЗУ, кв. м Рыночная стоимость ЗУ, руб./ кв. м Рыночная стоимость ЗУ, руб.
1 2 ... m
01 02 03 04 05 06 07 ... n n+1 n+2 n+3
1.                      
2.                      
...                      
k                      

Таблица 6

Результаты кодировки качественных факторов стоимости объектов-аналогов, группа N ___

N п/п Наименование фактора стоимости Единица измерения Значение фактора стоимости Закодированное значение фактора стоимости
01 02 03 04 05
1.        
   
   
2.        
   
   
...        
n        

Таблица 7

Отчет о статистическом анализе рыночной информации, группа N ___

N п/п Наименование объекта-аналога Цена за объект аналог Цена за 1 кв. м Выброс (да/нет)
01 02 03 04 05
1.        
2.        
...        
n        

Приложение 12

Таблица 1

Информация о совокупной выборке

Вид разрешенного использования _________ Группа N ___

N п/п Описание объекта-аналога Площадь ЗУ, кв. м Значения факторов стоимости Рыночная стоимость ЗУ, руб.
1 2 ... m за кв. м всего
01 02 03 04 05 ... n n+1 n+2
1.                
2.                
...                
k                
Итого, объектов              

Таблица 2

Информация об объектах обучающей выборки

Вид разрешенного использования _________ Группа N ____

N п/п Описание объекта-аналога Площадь ЗУ, кв. м Значения факторов стоимости Рыночная стоимость ЗУ, руб.
1 2 ... m за кв. м всего
01 02 03 04 05 ... n n+1 n+2
1.                
2.                
...                
k                
Итого, объектов              

Таблица 3

Информация об объектах контрольной выборки

Вид разрешенного использования ___________ Группа N ___

N п/п Описание объекта-аналога Площадь ЗУ, кв. м Значения факторов стоимости Рыночная стоимость ЗУ, руб.
1 2 ... m за кв. м всего
01 02 03 04 05 ... n n+1 n+2
1.                
2.                
...                
k                
Итого, объектов              

Приложение 13

УДАЛЕНИЕ ВЫБРОСОВ

Удаление выбросов производится с использованием стандартных процедур математической статистики. В частности, для удаления выбросов может быть использована процедура, базирующаяся на критерии Смирнова-Граббса. Значения рыночных цен x_i (или значения некоторого фактора стоимости) упорядочиваются по возрастанию, образуя вариационный ряд. Критерий Смирнова-Граббса основан на вычислении максимального относительного отклонения (, где x_i - крайний (минимальный x(1) или максимальный x(n)) элемент вариационного ряда, - среднее по выборке, - выборочное среднеквадратическое отклонение (СКО). Для малых выборок в вычисляемые значения относительных отклонений вводится уточняющий множитель , в результате чего формулы для вычисления относительных отклонений принимают вид:

- для минимального и - для максимального значений вариационного ряда; - дисперсия эмпирического распределения.

Значения T_(1) и T_(n) сравниваются с критическим значением C_альфа метода Смирнова-Граббса. Выборка не содержит грубых погрешностей, если T_(i) <= C_альфа, i = 1; n, где - выбранный уровень значимости. Табличные значения C_альфа для разных уровней значимости содержатся в специальных статистических таблицах.

Критерий Смирнова-Граббса рассчитан на определение единичных выбросов, этот критерий может дать "сбой" при наличии нескольких близких выбросов на том или ином конце вариационного ряда. Для определения таких групп выбросов используется критерий Титьена-Мура, который состоит в следующем.

Для k максимальных значений исследуемой характеристики x из исходной выборки проверяется статистика:

где , а - среднее значение характеристики x на всей выборке.

Для k минимальных значений исследуемой характеристики x из исходной выборки проверяется статистика:

где

Если значения статистик _k или L_-k окажутся меньше критического значения L_альфа, для заданного уровня значимости альфа, то соответствующие "хвосты" характеристики x относят к грубым выбросам. Критические значения L_альфа также содержатся в специальных статистических таблицах.

Приложение 14

Таблица 1

Статистический отчет о рыночной информации в сформированных группах

Наименование вида разрешенного использования Номер группы Количество ЗУ Количество объектов аналогов без учета выбросов Количество объектов аналогов с учетом выбросов Комментарий
01 02 03 04 05 06
           
         
         
Итого по виду разрешенного использования          

Таблица 2

Факторы стоимости, выбранные для построения моделей, группа N ___

N п/п Фактор стоимости Коэффициент корреляции, r Коэффициент значимости, R Использование фактора для построения модели (да/нет)
01 02 03 04 05
1.        
2.        
...        
n        

Таблица 3

Проверка статистической значимости моделей на обучающей выборке для группы N ___ для ___ объектов

N п/п Модель Количество факторов стоимости, m Коэффициент детерминации, R(2) Критерий Фишера, F_расч F табл Статистическая значимость модели (да/нет)
01 02 03 04 05 06 07
1.            
2.            
...            
n            

Таблица 4

Анализ качества статистически значимых моделей на обучающей выборке группы N ___ для ___ объектов и Y_ср = ___

N п/п Статистически значимая модель Сумма невязок Сумма невязок/ Y_ср Средняя относительная погрешность оценки, дельта_ср Коэффициент детерминации, R(2) Среднеквадратичная ошибка оценки, SEE
01 02 03 04 05 06 07
1.            
2.            
...            
n            

Таблица 5

Анализ качества статистически значимых моделей на контрольной выборке группы N ___ для ___ объектов Y_ср = ___

N п/п Статистически значимая модель Сумма невязок Сумма невязок/ Y_ср Средняя относительная погрешность оценки, дельта_ср Коэффициент детерминации, R(2) Среднеквадратичная ошибка оценки, SEE
01 02 03 04 05 06 07
1.            
2.            
...            
n            

Таблица 6

Результат отбора _____ модели для группы N ____

N п/п Критерий качества модели Значение критерия для обучающей выборки Допустимый диапазон для обучающей выборки Значение критерия для контрольной выборки Допустимый диапазон для контрольной выборки Соответствие модели качеству по критерию (да/нет)
01 02 03 04 05 06 07
1. Средняя относительная погрешность   <= 40%   Увеличение в 1,5 раза, но не более 0,3  
2. Коэффициент детерминации   >= 0,65   >= 0,5  
3. Среднеквадратичная ошибка   <= 25%   <= 0,3  
4. Вывод о качестве модели  

Таблица 7

Выбор наиболее качественной модели для группы N ___ по критерию "средняя относительная погрешность оценки"

N п/п Модель Средняя относительная погрешность оценки, дельта_ср Отличие значения от минимального, % Вывод о наиболее качественных моделях
01 02 03 04 05
1.        
2.        
...        
n        

Таблица 8

Выбор наиболее качественной модели для группы N ___ по критерию "коэффициент детерминации"

N п/п Модель Коэффициент детерминации, R(2) Отличие значения от максимального, % Вывод о наиболее качественных моделях
01 02 03 04 05
1.        
2.        
...        
n        

Таблица 9

Выбор наиболее качественной модели для группы N ___ по критерию "среднеквадратичная ошибка"

N п/п Модель Среднеквадратичная ошибка, SEE Отличие значения от минимального, % Вывод о наиболее качественных моделях
01 02 03 04 05
1.        
2.        
...        
n        

Таблица 10

Перечень моделей, отобранных для расчета кадастровой стоимости земельных участков видов разрешенного использования _________________________

N п/п Номер группы Факторы стоимости для построения моделей Модель
01 02 03 04
1.      
 
 
2.      
 
 
...      
n      

Приложение 15

Таблица 1

Результаты расчета кадастровой стоимости земельных участков (построение статистических моделей), группа N ____, вида разрешенного использования, указанного в п. ________ (указывается один из пп. 1.2.1 - 1.2.10) Методических указаний в составе земель ________ (сельских/городских) населенных пунктов

N п/п Наименование муниципального района, городского округа Наименование населенного пункта Кадастровый номер земельного участка Значения факторов стоимости ЗУ Площадь, кв. м УПКС, руб./кв. м Кадастровая стоимость, руб.
1 2 ... n
01 02 03 04 05 06 ... k k+1 k+2 k+3
1.                    
2.                    
...                    
m                    

Таблица 2

Результаты расчета кадастровой стоимости земельных участков (определение рыночной стоимости)
Вид разрешенного использования ___________ Группа N ___

N п/п Наименование муниципального района, городского округа Наименование населенного пункта Кадастровый номер земельного участка Вид разрешенного использования Номер вида разрешенного использования Площадь, кв. м Рыночная стоимость, руб. Номер отчета Дата отчета (дд.мм.гггг) Ф.И.О. оценщика
01 02 03 04 05 06 07 08 09 10 11
1.                    
2.                    
...                    
n                    

Таблица 3

Результаты расчета кадастровой стоимости земельных участков вида разрешенного использования, указанного в п. __________ (указывается один из пп. 1.2.11, 1.2.12) Методических указаний

N п/п Наименование муниципального района, городского округа Наименование населенного пункта Кадастровый номер земельного участка Вид разрешенного использования Номер вида разрешенного использования Площадь, кв. м Рыночная стоимость, руб. Номер отчета Дата отчета (дд.мм.гггг) Ф.И.О. оценщика
01 02 03 04 05 06 07 08 09 10 11
1.                    
2.                    
...                    
n                    

Таблица 4

Отчет о рыночной оценке земельных участков

Номер вида разрешенного использования Количество земельных участков Количество объектов с определенной рыночной стоимостью Количество отчетов о рыночной стоимости
01 02 03 04
1.2.11      
1.2.12      

Таблица 5

Результаты расчета кадастровой стоимости земельных участков видов разрешенного использования, указанных в п. 1.2.13 Методических указаний, в составе земель ________ (сельских/городских) населенных пунктов

N п/п Наименование муниципального района, городского округа Наименование населенного пункта Кадастровый номер земельного участка Наименование муниципального района (городского округа), субъекта РФ, для которого взято минимальное значение УПКСЗ вида разрешенного использования, указанного в п. 1.2.9 Методических указаний <1> Площадь, кв. м УПКС, руб./кв. м Кадастровая стоимость, руб.
01 02 03 04 05 06 07 08
1.              
2.              
...              
n              

<1> Столбец заполняется в случае, если минимальное значение УПКСЗ вида разрешенного использования, указанного в п. 1.2.9 Методических указаний взято не по населенному пункту, указанному в столбце "03".

Таблица 6

Результаты расчета кадастровой стоимости земельных участков видов разрешенного использования, указанных в п. 1.2.14 Методических указаний, в составе земель _______ (сельских/городских) населенных пунктов

N п/п Наименование муниципального района, городского округа Наименование населенного пункта Кадастровый номер земельного участка Площадь, кв. м УПКС <1>, руб./кв. м Кадастровая стоимость, руб.
01 02 03 04 05 06 07
1.            
2.            
...            
n            

<1> В отчете указывается источник информации, на основании которого получено среднее по субъекту РФ значение УПКС земель лесного фонда.

Таблица 7

Результаты расчета кадастровой стоимости земельных участков видов разрешенного использования, указанных в п. 1.2.15 Методических указаний, в составе земель ________ (сельских/городских) населенных пунктов

N п/п Наименование муниципального района, городского округа Наименование населенного пункта Кадастровый номер земельного участка Среднее значение УПКСЗ первой группы сельскохозяйственного назначения Площадь, кв. м УПКС, руб./кв. м Кадастровая стоимость, руб.
наименование муниципального района, субъекта РФ <1> УПКСЗ, руб./кв. м
01 02 03 04 05 06 07 08 09
1.                
   
   
2.                
   
   
...                
n                

<1> Указывается наименование муниципального района, наименования соседних муниципальных районов или наименование субъекта РФ, по которым взято среднее значение УПКСЗ первой группы сельскохозяйственного назначения.

Таблица 8

Результат расчета соотношений между видами разрешенного использования

N п/п Наименование муниципального района, городского округа, субъекта РФ Виды разрешенного использования, указанные в пп. 1.2.1 - 1.2.16 Методических указаний
медианные значения УПКС земель населенных пунктов с численностью от 20 до 50 тысяч жителей соотношения
1 2 ... 10 13 14 15 1 3 ... 10 13 14 15
01 02 03 04 ... 12 13 14 15 16 17 ... 24 25 26 27
1.                              
2.                              
...                              
n                              

Таблица 9

Результаты расчета кадастровой стоимости земельных участков видов разрешенного использования, указанных в п. __________ (указывается один из пп. 1.2.1, 1.2.3 - 1.2.10, 1.2.13 - 1.2.15) Методических указаний в составе сельских населенных пунктов

N п/п Наименование муниципального района, городского округа Наименование населенного пункта Кадастровый номер земельного участка Наименование территории для расчета среднего УПКСЗ и соотношения (муниципальный район, городской округ, субъект РФ) Средний УПКСЗ, руб./кв. м Соотношения Площадь, кв. м УПКС, руб./кв. м Кадастровая стоимость, руб.
01 02 03 04 05 06 07 08 09 10
1.                  
2.                  
...                  
n                  

Таблица 10

Результаты расчета кадастровой стоимости земельных участков в составе видов разрешенного использования, указанных в п. 1.2.16 Методических указаний

N п/п Наименование муниципального района, городского округа Наименование населенного пункта Кадастровый номер земельного участка Площадь, кв. м Кадастровая стоимость, руб.
01 02 03 04 05 06
1.          
2.          
...          
n          

Приложение 16

Таблица 1

Результаты расчета кадастровой стоимости земельных участков с более чем одним видом разрешенного использования в составе земель _________ (городских/сельских) населенных пунктов

N п/п Наименование муниципального района, городского округа Наименование населенного пункта Кадастровый номер земельного участка Площадь, кв. м Кадастровая стоимость земельных участков по видам разрешенного использования, руб. Номер выбранного вида разрешенного использования Кадастровая стоимость, руб.
1.2.3 1.2.4 ... 1.2.15
01 02 03 04 05 06 06.1   06.m 07 08
1.                    
2.                    
...                    
n                    

Приложение 17

Таблица 1

Средние значения УПКСЗ, руб./кв. м ___________
(наименование муниципального района, городского округа)

N п/п Наименование населенного пункта Количество земельных участков Среднее для населенного пункта Номера видов разрешенного использования
1 2 3 4 5 6 7 8 9 10 11 12 13 14 15
01 02 03 04 05 06 07 08 09 10 11 12 13 14 15 16 17 18 19
1.                                    
2.                                    
...                                    
n Итого по муниципальному району/городскому округу                                  

Таблица 2

Средние значения УПКС земель, руб./кв. м _______
(наименование муниципального района, городского округа)

N п/п Номер кадастрового квартала (с указанием кодов субъекта и кадастрового района) Среднее <1> значение для кадастрового квартала населенного пункта Номера видов разрешенного использования
1 2 3 4 5 6 7 8 9 10 11 12 13 14 15
01 02 03 04 05 06 07 08 09 10 11 12 13 14 15 16 17 18
1.                                  
2.                                  
...                                  
n Среднее по муниципальному району/городскому округу                                

<1> Среднее (взвешенное по площади) значение считается на основе УПКСЗ каждого земельного участка в составе видов разрешенного использования с 1 по 15.

Приложение 18

Таблица 1

Результаты государственной кадастровой оценки земель населенных пунктов _____________
(наименование муниципального района, городского округа)

N п/п Наименование населенного пункта Местоположение ЗУ Кадастровый номер ЗУ Наименование вида разрешенного использования Номер вида разрешенного использования Площадь ЗУ, кв. м УПКС ЗУ, руб./ кв. м КС ЗУ, руб.
01 02 03 04 05 06 07 08 09
2.                
... Итого по населенному пункту - - - -   -  
n Итого по муниципальному району, городскому округу - - - -   -  

Таблица 2

Обобщенные показатели результатов расчета кадастровой стоимости земельных участков в составе _____________
(наименование муниципальных образований или субъекта Российской Федерации)

N п/п Наименование муниципального района, городского округа Наименование населенного пункта Количество ЗУ Показатель УПКСЗ <1> по видам разрешенного использования
1 2 3 4 5 6 7 8 9 10 11 12 13 14 15
1.       Минимальное значение                              
Среднее <2> значение                              
Максимальное значение                              
2.       Минимальное значение                              
Среднее значение                              
Максимальное значение                              
...       Минимальное значение                              
Среднее значение                              
Максимальное значение                              
... Итого по муниципальному району, городскому округу -   Минимальное значение                              
Среднее значение                              
Максимальное значение                              
n Итого по субъекту РФ -   Минимальное значение                              
Среднее значение                              
Максимальное значение                              

<1> Значения показателей определяются на основе УПКС земель каждого земельного участка.

<2> Выводится одно из средних: среднее взвешенное по площади, среднее арифметическое, среднее медианное.