Приказ Минприроды РФ от 30.10.2008 N 277

"Об утверждении Административного регламента предоставления Федеральным агентством по недропользованию государственной услуги по рассмотрению и согласованию проектной и технической документации на разработку месторождений полезных ископаемых"
Редакция от 30.10.2008 — Документ утратил силу, см. «Приказ Минприроды РФ от 16.07.2010 N 268»

Зарегистрировано в Минюсте РФ 21 января 2009 г. N 13156


МИНИСТЕРСТВО ПРИРОДНЫХ РЕСУРСОВ И ЭКОЛОГИИ РОССИЙСКОЙ ФЕДЕРАЦИИ

ПРИКАЗ
от 30 октября 2008 г. N 277

ОБ УТВЕРЖДЕНИИ АДМИНИСТРАТИВНОГО РЕГЛАМЕНТА ПРЕДОСТАВЛЕНИЯ ФЕДЕРАЛЬНЫМ АГЕНТСТВОМ ПО НЕДРОПОЛЬЗОВАНИЮ ГОСУДАРСТВЕННОЙ УСЛУГИ ПО РАССМОТРЕНИЮ И СОГЛАСОВАНИЮ ПРОЕКТНОЙ И ТЕХНИЧЕСКОЙ ДОКУМЕНТАЦИИ НА РАЗРАБОТКУ МЕСТОРОЖДЕНИЙ ПОЛЕЗНЫХ ИСКОПАЕМЫХ

В соответствии с пунктом 9 Порядка разработки и утверждения административных регламентов исполнения государственных функций (предоставления государственных услуг), утвержденного Постановлением Правительства Российской Федерации от 11 ноября 2005 г. N 679 (Собрание законодательства Российской Федерации, 2005, N 47, ст. 4933; 2007, N 50, ст. 6285; 2008, N 18, ст. 2063), приказываю:

Утвердить прилагаемый Административный регламент предоставления Федеральным агентством по недропользованию государственной услуги по рассмотрению и согласованию проектной и технической документации на разработку месторождений полезных ископаемых.

Министр
Ю.П.ТРУТНЕВ

УТВЕРЖДЕНО
Приказом Минприроды России
от 30.10.2008 N 277

АДМИНИСТРАТИВНЫЙ РЕГЛАМЕНТ
ПРЕДОСТАВЛЕНИЯ ФЕДЕРАЛЬНЫМ АГЕНТСТВОМ ПО НЕДРОПОЛЬЗОВАНИЮ ГОСУДАРСТВЕННОЙ УСЛУГИ ПО РАССМОТРЕНИЮ И СОГЛАСОВАНИЮ ПРОЕКТНОЙ И ТЕХНИЧЕСКОЙ ДОКУМЕНТАЦИИ НА РАЗРАБОТКУ МЕСТОРОЖДЕНИЙ ПОЛЕЗНЫХ ИСКОПАЕМЫХ

I. ОБЩИЕ ПОЛОЖЕНИЯ

1. Настоящий Административный регламент предоставления Федеральным агентством по недропользованию государственной услуги по рассмотрению и согласованию проектной и технической документации на разработку месторождений полезных ископаемых (далее - Административный регламент) определяет сроки и последовательность действий (административных процедур) Федерального агентства по недропользованию при предоставлении государственной услуги по рассмотрению и согласованию проектной и технической документации на разработку месторождений полезных ископаемых (за исключением месторождений общераспространенных полезных ископаемых).

2. Предоставление государственной услуги по рассмотрению и согласованию проектной и технической документации на разработку месторождений полезных ископаемых (далее - государственная услуга) осуществляется в соответствии с:

Законом Российской Федерации от 21 февраля 1992 г. N 2395-1 "О недрах" (Ведомости Съезда народных депутатов Российской Федерации и Верховного Совета Российской Федерации, 1992, N 16, ст. 834; Собрание законодательства Российской Федерации, 1995, N 10, ст. 823; 1999, N 7, ст. 879; 2000, N 2, ст. 141; 2001, N 21, ст. 2061; 2001, N 33, ст. 3429; 2002, N 22, ст. 2026; 2003, N 23, ст. 2174; 2004, N 27, ст. 2711; 2004, N 35, ст. 3607; 2006, N 17 (ч. I), ст. 1778; 2006, N 44, ст. 4538; 2007, N 27, ст. 3213; 2007, N 49, ст. 6056; 2008, N 18, ст. 1941; 2008, N 29 (ч. I), ст. 3418; 2008, N 29 (ч. I), ст. 3420);

Федеральным законом от 2 мая 2006 г. N 59-ФЗ "О порядке рассмотрения обращений граждан Российской Федерации" (Собрание законодательства Российской Федерации, 2006, N 19, ст. 2060; 2007, N 40, ст. 4717);

Постановлением Правительства Российской Федерации от 29 мая 2008 г. N 404 "О Министерстве природных ресурсов и экологии Российской Федерации (Собрание законодательства Российской Федерации, 2008, N 22, ст. 2581);

Постановлением Правительства Российской Федерации от 17 июня 2004 г. N 293 "Об утверждении Положения о Федеральном агентстве по недропользованию" (Собрание законодательства Российской Федерации, 2004, N 26, ст. 2669; 2006, N 25, ст. 2723; 2008, N 22, ст. 2581);

Постановлением Правительства Российской Федерации от 19 января 2005 г. N 30 "О Типовом регламенте взаимодействия федеральных органов исполнительной власти" (Собрание законодательства Российской Федерации, 2005, N 4, ст. 305; 2005, N 47, ст. 4933; 2007, N 43, ст. 5202; 2008, N 9, ст. 852; 2008, N 14, ст. 1413);

Постановлением Правительства Российской Федерации от 28 июля 2005 г. N 452 "О Типовом регламенте внутренней организации федеральных органов исполнительной власти" (Собрание законодательства Российской Федерации, 2005, N 31, ст. 3233; 2007, N 43, ст. 5202; 2008, N 9, ст. 852; 2008, N 14, ст. 1413);

Постановлением Федерального горного и промышленного надзора России от 6 июня 2003 г. N 71 "Об утверждении Правил охраны недр" (зарегистрировано в Министерстве юстиции Российской Федерации 18 июня 2003 г. N 4718) (Российская газета, 2003, N 118),

а также настоящим Административным регламентом.

3. Предоставление государственной услуги осуществляется Федеральным агентством по недропользованию (далее - Роснедра) или его территориальными органами (список территориальных органов приведен в приложении 1 к настоящему Административному регламенту).

Разграничение полномочий между Роснедрами и его территориальными органами по вопросам рассмотрения и согласования проектной и технической документации на разработку месторождений полезных ископаемых (далее - Проектная документация) приведено в приложении 2 к настоящему Административному регламенту.

4. Конечным результатом предоставления государственной услуги является письменное сообщение пользователю недр о согласовании или об отказе в согласовании поступившей Проектной документации, подписанное руководителем (заместителем руководителя) Роснедр или его территориального органа и оформленное соответственно на официальном бланке Роснедр или его территориального органа.

5. Государственная услуга предоставляется пользователям недр, владеющим лицензией, дающей право на добычу полезных ископаемых (далее - пользователь недр).

II. ТРЕБОВАНИЯ К ПОРЯДКУ ПРЕДОСТАВЛЕНИЯ ГОСУДАРСТВЕННОЙ УСЛУГИ

Порядок информирования о правилах предоставления государственной услуги

6. Информация о порядке предоставления государственной услуги предоставляется:

непосредственно в Роснедрах и его территориальных органах;

путем использования средств телефонной связи или электронного информирования;

посредством размещения в информационно-телекоммуникационных сетях общего пользования (в том числе в сети Интернет), публикации в средствах массовой информации.

7. Сведения о местонахождении Роснедр и его территориальных органов, графике (режиме) работы Роснедр и его территориальных органов, контактных телефонах (телефонах для справок) размещаются на:

интернет-сайте Роснедр (www.rosnedra.com);

информационных стендах в Роснедра и его территориальных органах.

8. На информационных стендах и Интернет-сайте Роснедр размещается также следующая информация:

извлечения из законодательных и иных нормативных правовых актов, содержащих нормы, регламентирующие деятельность по предоставлению государственной услуги;

извлечения из текста Административного регламента с приложениями (полная версия на Интернет-сайте);

перечень заявочных документов, необходимых для получения государственной услуги;

порядок обжалования решений, действий или бездействия должностных лиц, предоставляющих государственную услугу.

9. Консультации по процедуре предоставления государственной услуги могут предоставляться по обращениям пользователей недр:

в письменной форме, в том числе с использованием средств электронной передачи данных;

с использованием средств телефонной связи.

10. При консультировании по письменным обращениям, в том числе по электронной почте, ответ направляется не позднее 15 календарных дней с момента получения такого обращения.

11. При консультировании по телефону уполномоченные должностные лица обязаны в соответствии с поступившим обращением предоставить информацию по следующим вопросам:

о входящих номерах, под которыми в соответствующем структурном подразделении делопроизводства зарегистрированы заявки на предоставление государственной услуги;

о ходе исполнения государственной услуги по конкретной заявке;

о нормативных правовых актах, регламентирующих вопросы предоставления государственной услуги.

При ответах на телефонные звонки уполномоченные должностные лица должны подробно и в вежливой (корректной) форме проинформировать обратившихся по интересующим вопросам.

Ответ на телефонный звонок должен начинаться с информации о наименовании органа, фамилии, имени, отчества и должности специалиста, принявшего телефонный звонок.

Время разговора не должно превышать 10 минут.

При невозможности уполномоченного должностного лица, принявшего звонок, самостоятельно ответить на поставленные вопросы телефонный звонок должен быть переадресован (переведен) на другое уполномоченное должностное лицо или должен быть сообщен телефонный номер, по которому можно получить необходимую информацию.

Требования к составу документов, необходимых для предоставления государственной услуги

12. Для получения государственной услуги пользователь недр должен представить в Роснедра или его территориальный орган согласно пункту 3 настоящего Административного регламента заявление на рассмотрение и согласование Проектной документации (приложение 3 к настоящему Административному регламенту).

В заявлении указываются полное и сокращенное наименование пользователя недр, организационно-правовая форма, юридический адрес и место его фактического нахождения, перечень прилагаемых документов.

При этом к заявлению должны прилагаться следующие документы:

проектная документация (2 экз. на бумажном носителе и 1 экз. в электронном виде);

протокол рассмотрения Проектной документации на геолого-техническом совете пользователя недр;

реферат на Проектную документацию в 5 экз.;

копия последнего протокола заседания Центральной комиссии по разработке месторождений полезных ископаемых по рассмотрению предыдущей Проектной документации (для документации, представляемой впервые, не требуется);

копия последнего экспертного заключения (протокола) государственной экспертизы запасов полезных ископаемых;

копия лицензии на пользование участком недр, в пределах которого находится месторождение полезного ископаемого, со всеми приложениями и дополнениями к ней.

По своему желанию пользователь недр может дополнительно представить иные документы, которые, по его мнению, имеют значение для получения государственной услуги.

Все копии документов должны быть заверены подписью и печатью пользователя недр.

13. Заявление на предоставление государственной услуги направляется в Роснедра или его территориальный орган почтовым отправлением либо предоставляется в соответствующее структурное подразделение, на которое в установленном порядке возложены функции ведения делопроизводства.

Срок предоставления государственной услуги

14. Срок предоставления Роснедрами и его территориальными органами государственной услуги не должен превышать 120 календарных дней.

Перечень оснований для отказа в предоставлении государственной услуги

15. Основанием для отказа в рассмотрении Проектной документации является представление документов с нарушением требований пункта 12 настоящего Административного регламента.

16. Отказ в согласовании Проектной документации следует в случае отсутствия обоснований и технических решений по:

оптимальному варианту размещения наземных и подземных сооружений и объектов, охране недр и окружающей среды, способам вскрытия и систем разработки месторождений полезных ископаемых, применению средств механизации и автоматизации производственных процессов, обеспечивающих наиболее полное, комплексное и экономически целесообразное извлечение полезных ископаемых, а также сохранению в недрах или складированию забалансовых запасов полезных ископаемых для последующего их промышленного освоения;

достижению уровня извлечения полезных ископаемых из недр, обеспечивающему соблюдение установленных нормативов потерь полезных ископаемых, коэффициентов извлечения углеводородов;

порядку ввода эксплуатационных объектов (скважин, выемочных единиц, залежей) в разработку;

рациональному использованию вскрышных и вмещающих пород, а также отходов горнодобывающих и перерабатывающих производств;

раздельному складированию и сохранению попутно добываемых, временно не используемых полезных ископаемых, а также отходов производства, содержащих полезные ископаемые и компоненты, условиям и срокам сохранения и вовлечения в использование полезных ископаемых и отходов производства, мероприятиям по предотвращению потерь полезных ископаемых, их порчи при хранении на складах;

маркшейдерскому и геологическому обеспечению по использованию лицензионных участков недр;

составу производственной, геологической и маркшейдерской документации, в том числе по учету добычи и потерь полезных ископаемых;

техническим средствам, обеспечивающим достоверный учет количества и качества добываемого минерального сырья;

выбору технологии добычи и первичной переработки минерального сырья с минимальными выбросами в окружающую среду;

мероприятиям по повышению эффективности реализуемых систем разработки;

объемам и видам работ по доразведке месторождения;

опытно-промышленным испытаниям новых технологий и технических решений.

Для месторождений углеводородного сырья отказ в согласовании Проектной документации также следует в случае отсутствия обоснований и технических решений в части:

выделения эксплуатационных объектов и порядка их ввода в разработку;

выбора способов и агентов воздействия на пласт;

системы размещения и плотности сеток добывающих и нагнетательных скважин;

уровней, темпов и динамике добычи углеводородов и жидкости из пластов, закачки в них вытесняющих агентов;

применения методов повышения степени извлечения и интенсификации добычи углеводородов, предупреждения и борьбы с осложнениями при эксплуатации скважин, контроля и регулирования процессов разработки месторождений;

способов и режимов эксплуатации скважин;

коэффициентов извлечения углеводородов, эксплуатации и использования фонда скважин;

требований к системе сбора и промысловой подготовки продукции скважин, поддержания пластового давления, качества используемых агентов, конструкции скважин и производства буровых работ, методов вскрытия пластов и освоения скважин;

комплекса геофизических и гидродинамических исследований скважин.

III. АДМИНИСТРАТИВНЫЕ ПРОЦЕДУРЫ

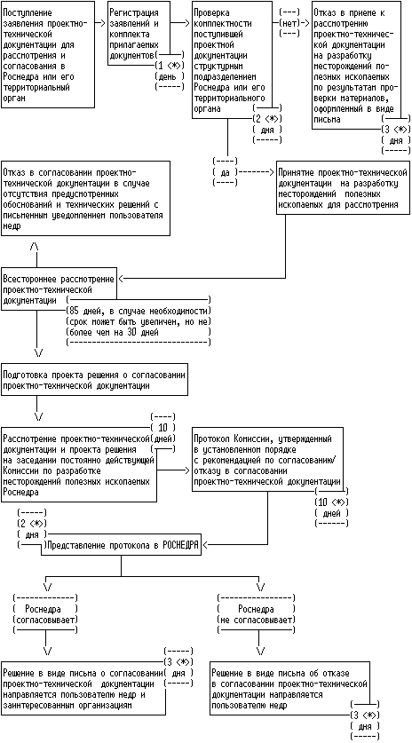
17. Основанием для начала предоставления государственной услуги является регистрация заявления пользователя недр на рассмотрение и согласование Проектной документации.

Блок-схема последовательности действий при предоставлении государственной услуги приводится в приложении 4 к настоящему Административному регламенту.

18. Прием и регистрация заявления пользователя недр осуществляется уполномоченным должностным лицом структурного подразделения Роснедр или его территориального органа, ответственного за ведение делопроизводства, не позднее одного рабочего дня, следующего за днем получения такого заявления почтовым отправлением, либо в день его предоставления лично представителем пользователя недр.

Уполномоченное должностное лицо, ответственное за прием документов, в течение одного рабочего дня с даты регистрации поступившего заявления направляет его для исполнения в структурное подразделение Роснедр или его территориального органа, ответственное за рассмотрение и согласование Проектной документации.

19. Уполномоченное должностное лицо структурного подразделения Роснедр или его территориального органа, ответственного за рассмотрение и согласование Проектной документации (далее - должностное лицо), в течение 2 рабочих дней с даты поступления к нему заявления осуществляет проверку его соответствия требованиям пункта 12 настоящего Административного регламента.

В случае некомплектности представленных материалов пользователю недр в течение 3 рабочих дней с даты поступления заявления направляется письменный отказ в рассмотрении Проектной документации, подписанный руководителем (заместителем руководителя) Роснедр или его территориального органа, с указанием причин отказа.

20. В случае соответствия поступившего заявления требованиям пункта 12 настоящего Административного регламента должностное лицо в течение 85 календарных дней со дня поступления такого заявления осуществляет всестороннее рассмотрение поступившей Проектной документации.

21. В случае наличия оснований для отказа в согласовании Проектной документации, предусмотренных пунктом 16 настоящего Административного регламента, должностное лицо направляет пользователю недр письменный отказ в согласовании Проектной документации, подписанный руководителем (заместителем руководителя) Роснедр или его территориального органа, с указанием причин отказа.

22. В случае отсутствия оснований для отказа в согласовании Проектной документации, предусмотренных пунктом 16 настоящего Административного регламента, должностное лицо в пределах срока, установленного в пункте 20 настоящего Административного регламента, подготавливает проект решения о согласовании Проектной документации.

23. В целях обеспечения объективного, качественного и комплексного анализа Проектной документации в соответствии с приказом Роснедр (его территориального органа) образуется постоянно действующий совещательный орган - комиссия по вопросам разработки месторождений полезных ископаемых (далее - Комиссия).

Комиссия формируется из специалистов Роснедр и его территориальных органов, представителей Российской академии наук, научно-исследовательских и проектных организаций, высших учебных заведений и других организаций, в зависимости от видов полезных ископаемых, специализирующихся в области разработки, геологического изучения и экономической оценки месторождений полезных ископаемых.

Комиссия состоит из председателя, заместителя председателя, секретаря и других членов комиссии. Количество членов Комиссии должно составлять:

при рассмотрении проектной документации по нефти не менее 25 и не более 71 человек;

при рассмотрении проектной документации по газу не менее 25 и не более 51 человек;

при рассмотрении проектной документации по твердым полезным ископаемым не менее 11 и не более 35 человек;

при рассмотрении проектной документации по подземным водам не менее 5 и не более 17 человек.

Заседание Комиссии правомочно, если на нем присутствует не менее трети численного состава членов Комиссии.

24. Комиссия в срок не позднее 10 календарных дней со дня подготовки проекта решения о согласовании Проектной документации осуществляет рассмотрение и обсуждение на заседании Проектной документации и указанного проекта решения.

25. По итогам заседания Комиссия рекомендует согласовать Проектную документацию в соответствии с проектом решения, подготовленным должностным лицом, либо отказать в согласовании Проектной документации в случае наличия оснований для отказа, предусмотренных пунктом 16 настоящего Административного регламента.

26. Решения Комиссии принимаются открытым голосованием простым большинством присутствующих членов комиссии.

В случае равенства голосов решающим является голос председательствующего на заседании Комиссии.

27. Решение Комиссии в течение 10 рабочих дней со дня заседания Комиссии оформляется протоколом заседания Комиссии, который подписывается ее секретарем и утверждается председателем Комиссии.

28. Протокол заседания Комиссии представляется должностному лицу секретарем Комиссии в течение 2 рабочих дней со дня его утверждения.

29. Должностное лицо оформляет в соответствии с пунктом 4 настоящего Административного регламента решение о согласовании или отказе в согласовании Проектной документации и направляет его пользователю недр в течение 3 рабочих дней со дня получения утвержденного протокола заседания Комиссии.

IV. ПОРЯДОК И ФОРМЫ КОНТРОЛЯ ЗА ПРЕДОСТАВЛЕНИЕМ ГОСУДАРСТВЕННОЙ УСЛУГИ

30. Текущий контроль за соблюдением последовательности действий, определенных административными процедурами по исполнению государственной услуги, осуществляется должностными лицами, ответственными за организацию работы по предоставлению государственной услуги.

31. Ответственность за предоставление государственной услуги возлагается на руководителя Роснедр (территориального органа) или его заместителей, которые принимают решение о рассмотрении и согласовании проектной и технической документации на разработку месторождений полезных ископаемых.

32. Уполномоченные должностные лица, ответственные за регистрацию заявления пользователя недр на рассмотрение и согласование Проектной документации, несут персональную ответственность за соблюдение сроков и порядка регистрации документов, правильность внесения записи в систему документооборота.

33. Уполномоченные должностные лица, ответственные за рассмотрение, согласование Проектной документации и информирование пользователей недр о принятых решениях, несут персональную ответственность за соблюдение требований настоящего Административного регламента.

34. Персональная ответственность должностных лиц Роснедр (территориального органа) закрепляется в их должностных регламентах в соответствии с требованиями законодательства Российской Федерации.

35. Перечень должностных лиц, осуществляющих текущий контроль, устанавливается индивидуальными правовыми актами (приказами) Роснедр (территориального органа).

36. Текущий контроль осуществляется путем проведения должностным лицом, ответственным за организацию работы по предоставлению государственной услуги, проверок соблюдения и исполнения должностными лицами положений настоящего Административного регламента, иных нормативных правовых актов Российской Федерации.

Периодичность осуществления текущего контроля устанавливается руководителем Роснедр (территориального органа) в порядке, установленном законодательством Российской Федерации.

37. Роснедра организует и осуществляет контроль за предоставлением государственной услуги территориальными органами Роснедр.

Контроль за полнотой и качеством предоставления государственной услуги включает в себя проведение проверок, выявление и устранение нарушений прав граждан и юридических лиц, рассмотрение, принятие решений и подготовку ответов на обращения заявителей, содержащих жалобы на решения, действия (бездействие) должностных лиц Роснедр (его территориальных органов).

38. По результатам проведенных проверок, в случае выявления нарушений прав граждан и юридических лиц, к виновным лицам осуществляется применение мер ответственности в порядке, установленном законодательством Российской Федерации.

39. Для проведения проверки полноты и качества предоставления государственной услуги на основании приказа Роснедр формируется комиссия, в состав которой включаются государственные гражданские служащие Роснедр.

Деятельность комиссии осуществляется в соответствии с индивидуальными правовыми актами (приказами) Роснедр.

Результаты деятельности комиссии оформляются в виде справки (акта, отчета), в которой отмечаются выявленные недостатки и предложения по их устранению.

Справка (акт, отчет) подписывается всеми членами комиссии. Члены комиссии, не согласные с выводами комиссии, могут приложить к справке (акту, отчету) особое мнение о результатах проведенной проверки.

Руководитель проверяемого территориального органа Роснедр должен быть ознакомлен с итогами проведенной проверки под роспись.

40. Минприроды России в соответствии с законодательством Российской Федерации, Положением о Министерстве в целях координации и контроля находящихся в его ведении федеральных органов исполнительной власти проводит плановые проверки деятельности Роснедр или его территориальных органов, а также проверки по жалобам граждан и организаций на действия (бездействие) и решения указанных органов, организаций и их должностных лиц.

Плановые проверки проводятся в соответствии с годовым, квартальным и месячным планами, утвержденными приказами Министерства.

41. Проверки по жалобам граждан и организаций на действия (бездействие) и решения находящегося в ведении Министерства Роснедр, а также их должностных лиц проводятся по решению (на основании поручения) Министра (заместителя Министра). Предложения о проведении таких проверок с обоснованием необходимости их проведения готовит департамент Министерства, ответственный за рассмотрение соответствующей жалобы.

В случае необходимости для проведения отдельных проверок по решению Министра (заместителя Министра) могут создаваться комиссии. При этом состав таких комиссий, сроки проведения ими проверок и техническое задание на проведение каждой отдельной проверки утверждаются приказом Министерства. В состав комиссий могут включаться работники подведомственных Министерству федеральной службы и федеральных агентств (их территориальных органов), а также подведомственных им организаций. Работники, входящие в состав таких комиссий, в ходе проверки освещают вопросы, относящиеся к компетенции соответствующих департаментов Министерства, федеральных органов исполнительной власти или организаций, представителями которых они являются. Включение в состав комиссии работника департамента Министерства, выступившего инициатором проведения проверки, является обязательным.

Организационное обеспечение проведения проверок осуществляется соответствующими департаментами Минприроды России.

V. ПОРЯДОК ОБЖАЛОВАНИЯ ДЕЙСТВИЙ (БЕЗДЕЙСТВИЯ) ДОЛЖНОСТНОГО ЛИЦА, А ТАКЖЕ ПРИНИМАЕМОГО ИМ РЕШЕНИЯ ПРИ ПРЕДОСТАВЛЕНИИ ГОСУДАРСТВЕННОЙ УСЛУГИ

42. Действия и решения Роснедр или его территориальных органов, принятые в рамках предоставления государственной услуги, могут быть обжалованы в порядке, предусмотренном законодательством Российской Федерации.

43. Заявитель вправе обжаловать (в письменном виде и в ходе личного обращения) действия (бездействия) и решения:

территориальных органов Роснедр - в Роснедра;

Роснедр - руководителю Роснедр, в Минприроды России;

руководителя Роснедр, в том числе в связи с непринятием основанных на законодательстве Российской Федерации мер в отношении действий (бездействии) и решений должностных лиц Роснедр и его территориальных органов, - в Минприроды России.

44. Гражданин в своем письменном обращении в обязательном порядке указывает либо наименование государственного органа, в которое направляет письменное обращение, либо фамилию, имя, отчество соответствующего должностного лица, либо должность соответствующего лица, а также свои фамилию, имя, отчество (последнее - при наличии), почтовый адрес, по которому должны быть направлены ответ, уведомление о переадресации обращения, излагает суть предложения, заявления или жалобы, ставит личную подпись и дату.

В случае необходимости в подтверждение своих доводов гражданин прилагает к письменному обращению документы и материалы либо их копии.

Обращение, поступившее в государственный орган или должностному лицу по информационным системам общего пользования, подлежит рассмотрению в порядке, установленном действующим законодательством.

45. Письменное обращение, поступившее в государственный орган или должностному лицу в соответствии с их компетенцией, рассматривается в течение 30 дней со дня регистрации письменного обращения.

В исключительных случаях, а также в случае направления запроса в государственный орган, орган местного самоуправления или должностному лицу руководитель государственного органа или должностное лицо либо уполномоченное на то лицо вправе продлить срок рассмотрения обращения не более чем на 30 дней, уведомив о продлении срока его рассмотрения гражданина, направившего обращение.

46. По результатам рассмотрения обращения должностным лицом Роснедр принимается решение об удовлетворении требований заявителя либо об отказе в удовлетворении обращения.

Письменный ответ, содержащий результаты рассмотрения обращения, направляется заявителю в течение 3 дней после принятия решения.

47. В случае, если в письменном обращении не указаны фамилия гражданина, направившего обращение, и почтовый адрес, по которому должен быть направлен ответ, ответ на обращение не дается. Если в указанном обращении содержатся сведения о подготавливаемом, совершаемом или совершенном противоправном деянии, а также о лице, его подготавливающем, совершающем или совершившем, обращение подлежит направлению в государственный орган в соответствии с его компетенцией.

Государственный орган или должностное лицо при получении письменного обращения, в котором содержатся нецензурные либо оскорбительные выражения, угрозы жизни, здоровью и имуществу должностного лица, а также членов его семьи, вправе оставить обращение без ответа по существу поставленных в нем вопросов и сообщить гражданину, направившему обращение, о недопустимости злоупотребления правом.

В случае, если текст письменного обращения не поддается прочтению, ответ на обращение не дается и оно не подлежит направлению на рассмотрение в государственный орган, орган местного самоуправления или должностному лицу в соответствии с их компетенцией, о чем сообщается гражданину, направившему обращение, если его фамилия и почтовый адрес поддаются прочтению.

Если в письменном обращении гражданина содержится вопрос, на который ему многократно давались письменные ответы по существу в связи с ранее направляемыми обращениями, и при этом в обращении не приводятся новые доводы или обстоятельства, руководитель государственного органа, должностное лицо либо иное уполномоченное на то лицо вправе принять решение о безосновательности очередного обращения и прекращении переписки с гражданином по данному вопросу при условии, что указанное обращение и ранее направляемые обращения направлялись в один и тот же государственный орган или одному и тому же должностному лицу. О данном решении уведомляется гражданин, направивший обращение.

В случае, если ответ по существу поставленного в обращении вопроса не может быть дан без разглашения сведений, составляющих государственную или иную охраняемую федеральным законом тайну, гражданину, направившему обращение, сообщается о невозможности дать ответ по существу поставленного в нем вопроса в связи с недопустимостью разглашения указанных сведений.

В случае, если причины, по которым ответ по существу поставленных в обращении вопросов не мог быть дан, в последующем были устранены, гражданин вправе вновь направить обращение в соответствующий государственный орган, орган местного самоуправления или соответствующему должностному лицу.

48. При личном обращении заявителя на действия (бездействия) и решения Роснедр и его территориальных органов прием граждан проводится руководителями или уполномоченными на то лицами Роснедра или его территориальных органов. Информация о месте приема, а также об установленных для приема днях и часах доводится до сведения граждан на информационных стендах в Роснедрах и его территориальных органах.

При личном приеме гражданин предъявляет документ, удостоверяющий его личность.

Содержание устного обращения заносится в карточку личного приема гражданина. В случае, если изложенные в устном обращении факты и обстоятельства являются очевидными и не требуют дополнительной проверки, ответ на обращение с согласия гражданина может быть дан устно в ходе личного приема, о чем делается запись в карточке личного приема гражданина. В остальных случаях дается письменный ответ по существу поставленных в обращении вопросов.

49. Заявители вправе обжаловать решения, принятые в ходе предоставления государственной услуги, действия или бездействие должностных лиц государственных органов в судебном порядке.

Приложение 1
к Административному регламенту
предоставления Федеральным
агентством по недропользованию
государственной услуги
по рассмотрению
и согласованию проектной
и технической документации
на разработку месторождений
полезных ископаемых

СПИСОК
ТЕРРИТОРИАЛЬНЫХ ОРГАНОВ ФЕДЕРАЛЬНОГО АГЕНТСТВА ПО НЕДРОПОЛЬЗОВАНИЮ

N п/п Наименование территориального органа Расположение
1. Региональное агентство по недропользованию по Центральному федеральному округу г. Москва
  Отдел по Белгородской области г. Белгород
  Отдел по Брянской области г. Брянск
  Отдел по Владимирской области г. Владимир
  Отдел по Воронежской области г. Воронеж
  Отдел по Ивановской области г. Иваново
  Отдел по Калужской области г. Калуга
  Отдел по Костромской области г. Кострома
  Отдел по Курской области г. Курск
  Отдел по Липецкой области г. Липецк
  Отдел по Москве и Московской области г. Москва
  Отдел по Орловской области г. Орел
  Отдел по Рязанской области г. Рязань
  Отдел по Смоленской области г. Смоленск
  Отдел по Тамбовской области г. Тамбов
  Отдел по Тверской области г. Тверь
  Отдел по Тульской области г. Тула
  Отдел по Ярославской области г. Ярославль
2. Региональное агентство по недропользованию на континентальном шельфе и Мировом океане г. Москва
3. Региональное агентство по недропользованию по Северо-Западному федеральному округу г. Санкт-Петербург
  Отдел по Санкт-Петербургу и Ленинградской области г. Санкт-Петербург
  Отдел по Вологодской области г. Вологда
  Отдел по Новгородской области г. Великий Новгород
  Отдел по Псковской области г. Псков
4. Территориальное агентство по недропользованию по Республике Карелия г. Петрозаводск
5. Территориальное агентство по недропользованию по Республике Коми г. Сыктывкар
6. Территориальное агентство по недропользованию по Архангельской области г. Архангельск
7. Территориальное агентство по недропользованию по Калининградской области г. Калининград
8. Территориальное агентство по недропользованию по Мурманской области г. Мурманск
9. Территориальное агентство по недропользованию по Ненецкому автономному округу г. Нарьян-Мар
10. Региональное агентство по недропользованию по Южному федеральному округу г. Ростов-на-Дону
  Отдел по Ростовской области г. Ростов-на-Дону
11. Территориальное агентство по недропользованию по Республике Адыгее г. Майкоп
12. Территориальное агентство по недропользованию по Республике Дагестан г. Махачкала
13. Территориальное агентство по недропользованию по Республике Ингушетия г. Карабулак
14. Территориальное агентство по недропользованию по Кабардино-Балкарской Республике г. Нальчик
15. Территориальное агентство по недропользованию по Республике Калмыкия г. Элиста
16. Территориальное агентство по недропользованию по Карачаево-Черкесской Республике г. Черкесск
17. Территориальное агентство по недропользованию по Республике Северная Осетия - Алания г. Владикавказ
18. Территориальное агентство по недропользованию по Чеченской Республике г. Гудермес
19. Территориальное агентство по недропользованию по Краснодарскому краю г. Краснодар
20. Территориальное агентство по недропользованию по Ставропольскому краю г. Ставрополь
21. Территориальное агентство по недропользованию по Астраханской области г. Астрахань
22. Территориальное агентство по недропользованию по Волгоградской области г. Волгоград
23. Региональное агентство по недропользованию по Приволжскому федеральному округу г. Нижний Новгород
  Отдел по Нижегородской области г. Нижний Новгород
  Отдел по Республике Марий Эл г. Йошкар-Ола
  Отдел по Республике Мордовия г. Саранск
  Отдел по Чувашской Республике г. Чебоксары
  Отдел по Кировской области г. Киров
  Отдел по Пензенской области г. Пенза
  Отдел по Оренбургской области г. Оренбург
24. Территориальное агентство по недропользованию по Республике Башкортостан г. Уфа
25. Территориальное агентство по недропользованию по Республике Татарстан г. Казань
26. Территориальное агентство по недропользованию по Удмуртской Республике г. Ижевск
27. Территориальное агентство по недропользованию по Пермской области г. Пермь
  Отдел по Коми-Пермяцкому АО г. Кудымкар
28. Территориальное агентство по недропользованию по Самарской области г. Самара
29. Территориальное агентство по недропользованию по Саратовской области г. Саратов
30. Территориальное агентство по недропользованию по Ульяновской области г. Ульяновск
31. Региональное агентство по недропользованию по Уральскому федеральному округу г. Екатеринбург
  Отдел по Свердловской области г. Екатеринбург
  Отдел по Курганской области г. Курган
32. Территориальное агентство по недропользованию по Тюменской области г. Тюмень
33. Территориальное агентство по недропользованию по Челябинской области г. Челябинск
34. Территориальное агентство по недропользованию по Ханты-Мансийскому автономному округу - Югре г. Ханты-Мансийск
35. Территориальное агентство по недропользованию по Ямало-Ненецкому автономному округу г. Салехард
36. Региональное агентство по недропользованию по Сибирскому федеральному округу г. Новосибирск
  Отдел по Новосибирской области г. Новосибирск
37. Территориальное агентство по недропользованию по Республике Алтай г. Горно-Алтайск
38. Территориальное агентство по недропользованию по Республике Бурятия г. Улан-Удэ
39. Территориальное агентство по недропользованию по Республике Тыва г. Кызыл
40. Территориальное агентство по недропользованию по Республике Хакасия г. Абакан
41. Территориальное агентство по недропользованию по Алтайскому краю г. Барнаул
42. Территориальное агентство по недропользованию по Красноярскому краю г. Красноярск
43. Территориальное агентство по недропользованию по Иркутской области г. Иркутск
  Отдел по Усть-Ордынскому Бурятскому автономному округу г. Новосибирск
44. Территориальное агентство но недропользованию по Кемеровской области г. Кемерово
45. Территориальное агентство по недропользованию по Омской области г. Омск
46. Территориальное агентство по недропользованию по Томской области г. Томск
47. Территориальное агентство по недропользованию по Читинской области г. Чита
  Отдел по Агинскому Бурятскому АО г. Чита
48. Региональное агентство по недропользованию по Дальневосточному федеральному округу г. Хабаровск
  Отдел по Хабаровскому краю г. Хабаровск
49. Территориальное агентство по недропользованию по Республике Саха (Якутия) г. Якутск
50. Территориальное агентство по недропользованию по Приморскому краю г. Владивосток
51. Территориальное агентство по недропользованию по Амурской области г. Благовещенск
52. Территориальное агентство по недропользованию по Камчатской области и Корякскому автономному округу г. Петропавловск-Камчатский
53. Территориальное агентство по недропользованию по Магаданской области г. Магадан
54. Территориальное агентство по недропользованию по Сахалинской области г. Южно-Сахалинск
55. Территориальное агентство по недропользованию по Чукотскому автономному округу г. Анадырь
56. Территориальное агентство по недропользованию по Еврейской автономной области г. Биробиджан

Примечание: полная информация о почтовых адресах, телефонах территориальных органов Роснедра находится на сайте www.rosnedra.com.

Приложение 2
к Административному регламенту
предоставления Федеральным
агентством по недропользованию
государственной услуги
по рассмотрению
и согласованию проектной
и технической документации
на разработку месторождений
полезных ископаемых

РАСПРЕДЕЛЕНИЕ ПОЛНОМОЧИЙ ПО СОГЛАСОВАНИЮ ПРОЕКТНОЙ И ТЕХНИЧЕСКОЙ ДОКУМЕНТАЦИИ НА РАЗРАБОТКУ МЕСТОРОЖДЕНИЙ ПОЛЕЗНЫХ ИСКОПАЕМЫХ МЕЖДУ ФЕДЕРАЛЬНЫМ АГЕНТСТВОМ ПО НЕДРОПОЛЬЗОВАНИЮ И ЕГО ТЕРРИТОРИАЛЬНЫМИ ОРГАНАМИ

N N п/п Наименование полезных ископаемых Полномочия по согласованию проектной и технической документации на разработку месторождений полезных ископаемых, при проектной производительности по добыче полезного ископаемого
Роснедра территориальные органы Роснедр
1 2 3 4
1. Топливно-энергетическое сырье
1. Нефть без ограничения -
2. Природный газ без ограничения -
3. Конденсат без ограничения -
4. Уран без ограничения -
5. Уголь (коксующийся, бурый, энергетический): для открытого способа добычи более 5 млн. тонн до 5 млн. тонн
6. для подземного способа добычи более 1 млн. тонн до 1 млн. тонн
2. Черные металлы
7. Железные руды более 10 млн. тонн до 10 млн. тонн
8. Марганцевые руды без ограничения -
9. Хромовые руды более 100 тыс. тонн до 100 тыс. тонн
3. Цветные и редкие металлы
10. Бокситы более 1 млн. тонн до 1 млн. тонн
11. Вольфрам: коренной более 100 тыс. тонн до 100 тыс. тонн
россыпной - без ограничения
12. Медь более 1 млн. тонн до 1 млн. тонн
13. Молибден более 1 млн. тонн до 1 млн. тонн
14. Нефелиновые руды - без ограничения
15. Никель более 1 млн. тонн до 1 млн. тонн
16. Ниобий более 100 тыс. тонн до 100 тыс. тонн
17. Олово: коренное более 100 тыс. тонн до 100 тыс. тонн
россыпное - без ограничения
18. Свинец более 100 тыс. тонн до 100 тыс. тонн
19. Сурьма - без ограничения
20. Титан без ограничения -
4. Благородные металлы и алмазы
21. Золото: коренное без ограничения -
  россыпное - без ограничения
22. Платина (россыпи) более 100 тыс. куб. м до 100 тыс. куб. м
23. Серебро более 100 тыс. тонн до 100 тыс. тонн
24. Алмазы: коренные без ограничения -
россыпные без ограничения -
5. Горно-химическое сырье
25. Апатитовые руды более 5 млн. тонн до 5 млн. тонн
26. Борные руды более 500 тыс. тонн до 500 тыс. тонн
27. Минеральные краски - без ограничения
28. Карбонатное сырье для химической промышленности - без ограничения
29. Поваренная соль - без ограничения
30. Соли калийные более 5 млн. тонн до 5 млн.тонн
31. Соли магниевые более 100 тыс. тонн до 100 тыс. тонн
32. Сульфат натрия - без ограничения
33. Фосфоритовые руды - без ограничения
6. Горнорудное сырье и нерудное сырье для металлургии
34. Абразивы - без ограничения
35. Асбест для специзделий - без ограничения
36. Антофиллит-асбест - без ограничения
37. Барит - без ограничения
38. Брусит и магнезит более 1 млн. тонн до 1 млн. тонн
39. Вермикулит - без ограничения
40. Гипс - без ограничения
41. Глины бентонитовые - без ограничения
42. Глины для буровых растворов - без ограничения
43. Глины огнеупорные и тугоплавкие - без ограничения
44. Графит - без ограничения
45. Известняки (для металлургической, химической, стекольной, пищевой промышленности) - без ограничения
46. Каолин - без ограничения
47. Мел - без ограничения
48. Мусковит листовой - без ограничения
49. Мусковит мелкоразмерный - без ограничения
50. Плавиковый шпат - без ограничения
51. Полевошпатовое сырье - без ограничения
52. Тальк и тальковый камень - без ограничения
53. Флогопит более 5 тыс. тонн до 5 тыс. тонн
54. Флюсовые известняки - без ограничения
55. Формовочные материалы - без ограничения
56. Цеолиты - без ограничения
7. Камнесамоцветное, кварцевое и пьезооптическое сырье
57. Кварц и кварциты без ограничения -
58. Пьезооптическое сырье без ограничения -
59. Цветные камни без ограничения -
8. Сырье для строительной промышленности
60. Доломиты - без ограничения
61. Камни облицовочные без ограничения -
62. Камни пильные - без ограничения
63. Стекольное сырье - без ограничения
64. Цементное сырье без ограничения -
9. Гидроминеральное сырье
65. Бром - без ограничения
66. Йод - без ограничения
10. Подземные воды и лечебные грязи
67. Подземные питьевые воды  
  - для хозяйственно-питьевого водоснабжения более 30 тыс. м3/сут. до 30 тыс. м3/сут.
  - для промышленного розлива более 200 тыс. м3/сут до 200 тыс. м3/сут.
68. Подземные технические воды (в т.ч. для орошения земель) более 50 тыс. м3/сут. до 50 тыс. м3/сут.
69. Подземные теплоэнергетические воды (для теплоснабжения отдельных зданий, объектов районного значения и теплиц) более 5 тыс. м3/сут. до 5 тыс. м3/сут.
70. Подземные минеральные воды <*>  
  - питьевые лечебно-столовые и лечебные, включая промышленный розлив более 50 м3/сут. до 50 м3/сут.
  - бальнеологические более 150 м3/сут. до 150 м3/сут.
71. Лечебные грязи - по согласованию

<*> Кроме курортов федерального значения и особо охраняемого эколого-курортного региона Кавказские Минеральные Воды.

Примечание: 1. По видам полезных ископаемых, не вошедшим в настоящий перечень и подлежащим государственному учету, разграничение полномочий между Роснедрами и его территориальными органами определяется решением Роснедр.

2. В случае изменения распределения полномочий оповещение об этом размещается на сайте www.rosnedra.com.

Приложение 3
к Административному регламенту
предоставления Федеральным
агентством по недропользованию
государственной услуги
по рассмотрению
и согласованию проектной
и технической документации
на разработку месторождений
полезных ископаемых

ОБРАЗЕЦ ЗАЯВЛЕНИЯ
НА ПРЕДОСТАВЛЕНИЕ ГОСУДАРСТВЕННОЙ УСЛУГИ ПО РАССМОТРЕНИЮ
И СОГЛАСОВАНИЮ ПРОЕКТНОЙ И ТЕХНИЧЕСКОЙ ДОКУМЕНТАЦИИ
НА РАЗРАБОТКУ МЕСТОРОЖДЕНИЙ ПОЛЕЗНЫХ ИСКОПАЕМЫХ
 
                              Руководителю  Федерального агентства
                              по    недропользованию     или   его
                              территориального органа ____________
                              от ________________________________,
                                  (руководителя Пользователя недр)
                              владеющего лицензией _______________
                              на право пользования _______________
                              участком недр
 
                            Заявление
 
    Прошу    рассмотреть    и    согласовать  проектно-техническую
документацию на разработку _______________________________________
                            (название и вид полезного ископаемого)
месторождения, расположенного ____________________________________
                             (район, субъект Российской Федерации)
    Перечень прилагаемых документов:
1. _______________________________________________________________
2. _______________________________________________________________
3. _______________________________________________________________
4. _______________________________________________________________
5. _______________________________________________________________
            (указать весь перечень прилагаемых документов)
 
Руководитель                            __________________________
                                             (Фамилия, И., О.)
 
                   (Подпись, печать, дата)
 
 

Приложение 4
к Административному регламенту
предоставления Федеральным
агентством по недропользованию
государственной услуги
по рассмотрению
и согласованию проектной
и технической документации
на разработку месторождений
полезных ископаемых

БЛОК-СХЕМА
ПОСЛЕДОВАТЕЛЬНОСТИ ДЕЙСТВИЙ ПРИ ПРЕДОСТАВЛЕНИИ ГОСУДАРСТВЕННОЙ УСЛУГИ ПО РАССМОТРЕНИЮ И СОГЛАСОВАНИЮ ПРОЕКТНОЙ И ТЕХНИЧЕСКОЙ ДОКУМЕНТАЦИИ НА РАЗРАБОТКУ МЕСТОРОЖДЕНИЙ ПОЛЕЗНЫХ ИСКОПАЕМЫХ

<*> Рабочие дни.