Приказ ФСФР РФ от 10.02.2009 N 09-4/ПЗ-Н

"Об утверждении Административного регламента по исполнению Федеральной службой по финансовым рынкам государственной функции по лицензированию деятельности инвестиционных фондов, деятельности по управлению инвестиционными фондами, паевыми инвестиционными фондами и негосударственными пенсионными фондами, деятельности специализированных депозитариев инвестиционных фондов, паевых инвестиционных фондов и негосударственных пенсионных фондов, а также деятельности по пенсионному обеспечению и пенсионному страхованию"
Редакция от 10.02.2009 — Документ утратил силу, см. «Приказ ФСФР РФ от 20.11.2012 N 12-98/ПЗ-Н»

Зарегистрировано в Минюсте РФ 24 марта 2009 г. N 13582


ФЕДЕРАЛЬНАЯ СЛУЖБА ПО ФИНАНСОВЫМ РЫНКАМ

ПРИКАЗ
от 10 февраля 2009 г. N 09-4/пз-н

ОБ УТВЕРЖДЕНИИ АДМИНИСТРАТИВНОГО РЕГЛАМЕНТА ПО ИСПОЛНЕНИЮ ФЕДЕРАЛЬНОЙ СЛУЖБОЙ ПО ФИНАНСОВЫМ РЫНКАМ ГОСУДАРСТВЕННОЙ ФУНКЦИИ ПО ЛИЦЕНЗИРОВАНИЮ ДЕЯТЕЛЬНОСТИ ИНВЕСТИЦИОННЫХ ФОНДОВ, ДЕЯТЕЛЬНОСТИ ПО УПРАВЛЕНИЮ ИНВЕСТИЦИОННЫМИ ФОНДАМИ, ПАЕВЫМИ ИНВЕСТИЦИОННЫМИ ФОНДАМИ И НЕГОСУДАРСТВЕННЫМИ ПЕНСИОННЫМИ ФОНДАМИ, ДЕЯТЕЛЬНОСТИ СПЕЦИАЛИЗИРОВАННЫХ ДЕПОЗИТАРИЕВ ИНВЕСТИЦИОННЫХ ФОНДОВ, ПАЕВЫХ ИНВЕСТИЦИОННЫХ ФОНДОВ И НЕГОСУДАРСТВЕННЫХ ПЕНСИОННЫХ ФОНДОВ, А ТАКЖЕ ДЕЯТЕЛЬНОСТИ ПО ПЕНСИОННОМУ ОБЕСПЕЧЕНИЮ И ПЕНСИОННОМУ СТРАХОВАНИЮ

В соответствии со статьями 60.1 и 61.2 Федерального закона от 29 ноября 2001 г. N 156-ФЗ "Об инвестиционных фондах" (Собрание законодательства Российской Федерации, 2001, N 49, ст. 4562; 2004, N 27, ст. 2711; 2006, N 17 (ч. I), ст. 1780; 2007, N 50, ст. 6247; 2008, N 30 (ч. II), ст. 3616), статьями 7.1 и 7.2 Федерального закона от 7 мая 1998 г. N 75-ФЗ "О негосударственных пенсионных фондах" (Собрание законодательства Российской Федерации, 1998, N 19, ст. 2071; 2002, N 12, ст. 1093; 2003, N 2, ст. 166; 2004, N 49, ст. 4854; 2005, N 19, ст. 1755; 2006, N 43, ст. 4412; 2007, N 50, ст. 6247; 2008, N 18, ст. 1942; 2008, N 30 (ч. II), ст. 3616), пунктом 3 Порядка разработки и утверждения административных регламентов исполнения государственных функций (предоставления государственных услуг), утвержденного Постановлением Правительства Российской Федерации от 11 ноября 2005 г. N 679 (Собрание законодательства Российской Федерации, 2005, N 47, ст. 4933; 2007, N 50, ст. 6285; 2008, N 18, ст. 2063), приказываю:

1. Утвердить прилагаемый Административный регламент по исполнению Федеральной службой по финансовым рынкам государственной функции по лицензированию деятельности инвестиционных фондов, деятельности по управлению инвестиционными фондами, паевыми инвестиционными фондами и негосударственными пенсионными фондами, деятельности специализированных депозитариев инвестиционных фондов, паевых инвестиционных фондов и негосударственных пенсионных фондов, а также деятельности по пенсионному обеспечению и пенсионному страхованию.

2. Признать утратившими силу Приказ ФСФР России от 7 февраля 2008 г. N 08-4/пз-н "О лицензировании деятельности инвестиционных фондов, деятельности по управлению инвестиционными фондами, паевыми инвестиционными фондами и негосударственными пенсионными фондами, деятельности специализированных депозитариев инвестиционных фондов, паевых инвестиционных фондов и негосударственных пенсионных фондов, а также деятельности негосударственных пенсионных фондов по пенсионному обеспечению и пенсионному страхованию" <*> и Приказ ФСФР России от 27 мая 2008 г. N 08-21/пз-н "О внесении изменений в Приказ ФСФР России от 7 февраля 2008 г. N 08-4/пз-н "О лицензировании деятельности инвестиционных фондов, деятельности по управлению инвестиционными фондами, паевыми инвестиционными фондами и негосударственными пенсионными фондами, деятельности специализированных депозитариев инвестиционных фондов, паевых инвестиционных фондов и негосударственных пенсионных фондов, а также деятельности негосударственных пенсионных фондов по пенсионному обеспечению и пенсионному страхованию" <**>.

<*> Зарегистрирован в Минюсте России 5 марта 2008 г. N 11296.

<**> Зарегистрирован в Минюсте России 25 июня 2008 г. N 11878.

Руководитель
В.Д.МИЛОВИДОВ

УТВЕРЖДЕН
Приказом ФСФР России
от 10.02.2008 N 09-4/пз-н

АДМИНИСТРАТИВНЫЙ РЕГЛАМЕНТ
ПО ИСПОЛНЕНИЮ ФЕДЕРАЛЬНОЙ СЛУЖБОЙ ПО ФИНАНСОВЫМ РЫНКАМ ГОСУДАРСТВЕННОЙ ФУНКЦИИ ПО ЛИЦЕНЗИРОВАНИЮ ДЕЯТЕЛЬНОСТИ ИНВЕСТИЦИОННЫХ ФОНДОВ, ДЕЯТЕЛЬНОСТИ ПО УПРАВЛЕНИЮ ИНВЕСТИЦИОННЫМИ ФОНДАМИ, ПАЕВЫМИ ИНВЕСТИЦИОННЫМИ ФОНДАМИ И НЕГОСУДАРСТВЕННЫМИ ПЕНСИОННЫМИ ФОНДАМИ, ДЕЯТЕЛЬНОСТИ СПЕЦИАЛИЗИРОВАННЫХ ДЕПОЗИТАРИЕВ ИНВЕСТИЦИОННЫХ ФОНДОВ, ПАЕВЫХ ИНВЕСТИЦИОННЫХ ФОНДОВ И НЕГОСУДАРСТВЕННЫХ ПЕНСИОННЫХ ФОНДОВ, А ТАКЖЕ ДЕЯТЕЛЬНОСТИ ПО ПЕНСИОННОМУ ОБЕСПЕЧЕНИЮ И ПЕНСИОННОМУ СТРАХОВАНИЮ

I. Общие положения

Наименование государственной функции

1. Настоящий административный регламент по исполнению Федеральной службой по финансовым рынкам государственной функции по лицензированию деятельности инвестиционных фондов, деятельности по управлению инвестиционными фондами, паевыми инвестиционными фондами и негосударственными пенсионными фондами, деятельности специализированных депозитариев инвестиционных фондов, паевых инвестиционных фондов и негосударственных пенсионных фондов, а также деятельности по пенсионному обеспечению и пенсионному страхованию (далее - Административный регламент) устанавливает сроки и последовательность административных процедур и административных действий Федеральной службы по финансовым рынкам, порядок взаимодействия между ее структурными подразделениями и должностными лицами, а также взаимодействие ФСФР России с физическими или юридическими лицами, иными органами государственной власти и местного самоуправления, а также учреждениями и организациями при исполнении государственной функции по лицензированию деятельности инвестиционных фондов, деятельности по управлению инвестиционными фондами, паевыми инвестиционными фондами и негосударственными пенсионными фондами, деятельности специализированных депозитариев инвестиционных фондов, паевых инвестиционных фондов и негосударственных пенсионных фондов, а также деятельности по пенсионному обеспечению и пенсионному страхованию.

Наименование федерального органа исполнительной власти, непосредственно исполняющего государственную функцию

2. Исполнение государственной функции по лицензированию деятельности инвестиционных фондов, деятельности по управлению инвестиционными фондами, паевыми инвестиционными фондами и негосударственными пенсионными фондами, деятельности специализированных депозитариев инвестиционных фондов, паевых инвестиционных фондов и негосударственных пенсионных фондов, а также деятельности по пенсионному обеспечению и пенсионному страхованию осуществляет Федеральная служба по финансовым рынкам (далее - ФСФР России).

Административные процедуры по предоставлению лицензии на осуществление деятельности инвестиционных фондов, деятельности по управлению инвестиционными фондами, паевыми инвестиционными фондами и негосударственными пенсионными фондами, деятельности специализированных депозитариев инвестиционных фондов, паевых инвестиционных фондов и негосударственных пенсионных фондов, а также деятельности по пенсионному обеспечению и пенсионному страхованию (далее - лицензия, лицензии), переоформлению документа, подтверждающего наличие лицензии, предоставлению дубликата документа, подтверждающего наличие лицензии, аннулированию лицензии, предоставлению выписки из реестра лицензий исполняются центральным аппаратом ФСФР России.

Перечень нормативных правовых актов, непосредственно регулирующих исполнение государственной функции

3. Исполнение государственной функции по лицензированию деятельности инвестиционных фондов, деятельности по управлению инвестиционными фондами, паевыми инвестиционными фондами и негосударственными пенсионными фондами, деятельности специализированных депозитариев инвестиционных фондов, паевых инвестиционных фондов и негосударственных пенсионных фондов, а также деятельности по пенсионному обеспечению и пенсионному страхованию (далее - лицензирование деятельности инвестиционных фондов, управляющих компаний, специализированных депозитариев и негосударственных пенсионных фондов) осуществляется в соответствии со следующими нормативными правовыми актами:

3.1. Налоговым кодексом Российской Федерации (часть вторая) <*>.

<*> Собрание законодательства Российской Федерации, 2000, N 32, ст. 3340.

3.2. Федеральным законом от 29 ноября 2001 г. N 156-ФЗ "Об инвестиционных фондах" (далее - Закон об инвестиционных фондах) <*>.

<*> Собрание законодательства Российской Федерации, 2001, N 49, ст. 4562.

3.3. Федеральным законом от 7 мая 1998 г. N 75-ФЗ "О негосударственных пенсионных фондах" (далее - Закон о пенсионных фондах) <*>.

<*> Собрание законодательства Российской Федерации, 1998, N 19, ст. 2071.

3.4. Положением о Федеральной службе по финансовым рынкам, утвержденным Постановлением Правительства Российской Федерации от 30 июня 2004 г. N 317 <*>.

<*> Собрание законодательства Российской Федерации, 2004, N 27, ст. 2780.

3.5. Постановлением Правительства Российской Федерации от 6 октября 2008 г. N 744 "Об утверждении перечней документов, подтверждающих соблюдение лицензионных условий, представляемых соискателями лицензий для получения лицензий на осуществление видов деятельности, указанных в Федеральных законах "Об инвестиционных фондах" и "О негосударственных пенсионных фондах" <*>.

<*> Собрание законодательства Российской Федерации, 2008, N 41, ст. 4683.

Описание результатов исполнения государственной функции, а также указание на юридические факты, которыми заканчивается исполнение государственной функции

4. Направление уведомления о предоставлении лицензии и документа, подтверждающего наличие лицензии.

5. Направление уведомления о переоформлении документа, подтверждающего наличие лицензии, и документа, подтверждающего наличие лицензии после его переоформления.

6. Направление уведомления о выдаче дубликата документа, подтверждающего наличие лицензии, и дубликата документа, подтверждающего наличие лицензии.

7. Направление выписки из реестра лицензий.

8. Направление уведомления об аннулировании лицензии.

9. Направление уведомления об отказе в предоставлении лицензии.

10. Направление уведомления об отказе от аннулирования лицензии.

11. Направление согласованных ФСФР России правил внутреннего контроля управляющих компаний и негосударственных пенсионных фондов, разработанных в целях противодействия легализации доходов, полученных преступным путем, и финансированию терроризма, а также зарегистрированных ФСФР России правил организации и осуществления внутреннего контроля в управляющей компании, специализированном депозитарии и негосударственном пенсионном фонде, регламента специализированного депозитария инвестиционных фондов, паевых инвестиционных фондов и негосударственных пенсионных фондов, пенсионных и страховых правил негосударственных пенсионных фондов.

Указанные в пунктах 4 - 6 и 8 - 10 настоящего Административного регламента уведомления подписываются начальником Управления регулирования и контроля над коллективными инвестициями.

К уведомлениям, указанным в пунктах 8, 9 и 10 настоящего Административного регламента, прилагаются копии соответствующих приказов ФСФР России.

Описание заявителей, а также физических и юридических лиц, имеющих право в соответствии с законодательством Российской Федерации либо в силу наделения их заявителями в порядке, установленном законодательством Российской Федерации, полномочиями выступать от их имени при взаимодействии с соответствующими органами исполнительной власти при исполнении государственной функции

12. Заявителем может быть любое юридическое лицо, зарегистрированное в установленном порядке на территории Российской Федерации (далее - соискатель лицензии), а также юридическое лицо, которое уже осуществляет один из видов деятельности, лицензируемых в соответствии с законодательством Российской Федерации и настоящим Административным регламентом (далее - лицензиат), а также любые заинтересованные лица, обратившиеся за получением выписки из реестров лицензий.

II. Требования к порядку исполнения государственной функции

Порядок информирования о правилах исполнения государственной функции

13. Вся информация, касающаяся процедуры лицензирования деятельности инвестиционных фондов, управляющих компаний, специализированных депозитариев и негосударственных пенсионных фондов, размещается на официальном сайте ФСФР России в сети Интернет (www.fcsm.ru).

14. Информация о принятых руководителем ФСФР России решениях о предоставлении (об отказе в предоставлении) лицензии, переоформлении документа, подтверждающего наличие лицензии, аннулировании лицензии (об отказе от аннулирования лицензии), формы заявлений и документов, предоставляемых в ФСФР России для получения лицензии, переоформления документа, подтверждающего наличие лицензии, реестры лицензий размещаются на официальном сайте ФСФР России в сроки, установленные Составом сведений о деятельности ФСФР России, размещаемых на сайте ФСФР России в сети Интернет, утвержденным Приказом ФСФР России от 13 декабря 2007 г. N 07-247/пз (зарегистрирован в Минюсте России N 10916) <*>.

<*> "Российская газета", N 39, 22.02.2008.

15. В случае поступления от соискателя лицензии или лицензиата письменного запроса на получение форм заявлений и иных документов, необходимых для исполнения государственной функции, ФСФР России представляет эти формы и документы в срок, не превышающий 3-х рабочих дней с даты регистрации в Управлении делами и архива (далее - УД) соответствующего запроса.

15.1. В случае поступления от соискателя лицензии или лицензиата письменного запроса на получение разъяснений по порядку исполнения государственной функции ФСФР России представляет эти разъяснения в срок, не превышающий 30 дней с даты регистрации в УД соответствующего запроса.

16. Запросы на получение вышеуказанных документов или разъяснений надлежит направлять в центральный аппарат ФСФР России почтой или путем передачи в экспедицию центрального аппарата ФСФР России.

Центральный аппарат ФСФР России и его экспедиция расположены по адресу:

119991, ГСП-1, Москва, Ленинский пр., 9.

Телефон: 935-87-90;

Факс: 935-87-91.

Часы работы экспедиции:

Понедельник 09.00 - 17.00

Вторник 09.00 - 17.00

Среда 09.00 - 17.00

Четверг 09.00 - 17.00

Пятница 09.00 - 15.45

Суббота Выходной день

Воскресенье Выходной день.

17. Разъяснения по процедуре предоставления государственной услуги могут предоставляться:

по письменным обращениям;

по телефону.

18. При предоставлении разъяснений по процедуре исполнения государственной функции, исполнении обязанностей при ответе на телефонные звонки, устные и письменные обращения организаций и граждан, при взаимодействии должностных лиц ФСФР России с заявителями государственные гражданские служащие обязаны руководствоваться требованиями Федерального закона от 27.07.2004 N 79-ФЗ "О государственной гражданской службе Российской Федерации" <*> к служебному поведению гражданского служащего и Общими принципами служебного поведения государственных служащих, утвержденными Указом Президента Российской Федерации от 12.08.2002 N 885 <**>.

<*> Собрание законодательства Российской Федерации, 2004, N 31, ст. 3215.

<**> Собрание законодательства Российской Федерации, 2002, N 33, ст. 3196.

19. Ответы на письменные обращения направляются почтой в адрес соискателя лицензии или лицензиата в срок, не превышающий 30 дней с даты поступления в ФСФР России письменного обращения.

20. При предоставлении справочной информации по телефону должностные лица ФСФР России обязаны предоставлять информацию по следующим вопросам:

о входящих номерах, под которыми зарегистрированы в системе делопроизводства ФСФР России заявления по вопросам лицензирования;

о нормативных правовых актах по вопросам лицензирования (наименование, номер, дата принятия нормативного правового акта);

о перечне необходимых документов для получения лицензии, переоформления документа, подтверждающего наличие лицензии, выдачи дубликата лицензии, для отказа от лицензии и выдачи выписки из реестра лицензий;

о требованиях к оформлению документов, прилагаемых к заявлениям об исполнении государственной функции;

о месте размещения на официальном сайте ФСФР России информации из реестров лицензий, а также справочных материалов по вопросам лицензирования.

Иные вопросы рассматриваются ФСФР России только на основании соответствующего письменного обращения.

Требования к месту исполнения государственной функции

21. Места ожидания в очереди на предоставление или получение документов должны быть оборудованы стульями либо кресельными секциями, скамьями.

22. Количество мест ожидания определяется исходя из фактической нагрузки и возможностей для их размещения в здании, но не может составлять менее 5 мест.

23. Места для заполнения документов оборудуются стульями, столами (стойками) и обеспечиваются образцами заполнения документов, бланками заявлений и канцелярскими принадлежностями.

Сроки исполнения государственной функции

24. Предоставление лицензии - 2 месяца со дня регистрации документов в ФСФР России.

25. Переоформление документа, подтверждающего наличие лицензии, - 10 рабочих дней со дня регистрации документов в ФСФР России.

26. Выдача дубликата документа, подтверждающего наличие лицензии, - 10 рабочих дней со дня регистрации документов в ФСФР России.

27. Аннулирование лицензии в связи с поступлением от лицензиата заявления об отказе от лицензии - 30 рабочих дней со дня регистрации заявления в ФСФР России.

28. Аннулирование лицензии в связи с наличием оснований, установленных пунктом 1 статьи 61.2 Закона об инвестиционных фондах или пунктом 1 статьи 7.2 Закона о пенсионных фондах, а также основания, установленного пунктом 9 статьи 8 Федерального закона от 6 декабря 2007 г. N 334-ФЗ "О внесении изменений в Федеральный закон "Об инвестиционных фондах" и отдельные законодательные акты Российской Федерации" (далее - Закон N 334-ФЗ) <*> - 30 рабочих дней с даты поступления в ФСФР России всех документов, подтверждающих нарушения, являющиеся основанием для аннулирования лицензии.

<*> Собрание законодательства Российской Федерации, 2007, N 50, ст. 6247.

29. Предоставление любым заинтересованным лицам сведений о конкретном лицензиате в виде выписки из реестра лицензий - 5 рабочих дней с даты регистрации в ФСФР России заявления о выдаче выписки из реестра лицензий.

Перечень оснований для приостановления исполнения государственной функции

30. Течение срока, установленного пунктом 24 настоящего Административного регламента, может быть приостановлено до получения документов и (или) информации в случае запроса у соискателя лицензии дополнительных документов и (или) информации, подтверждающих его соответствие лицензионным условиям, установленным Законом об инвестиционных фондах или Законом о пенсионных фондах, в частности:

а) для подтверждения наличия собственных средств в размере не менее норматива, установленного нормативным правовым актом ФСФР России (платежные поручения, копии титульных листов отчетов об итогах выпуска эмиссионных ценных бумаг, копии отчетов оценщиков об оценке имущества и т.д.);

б) для подтверждения наличия отдельного структурного подразделения, осуществляющего деятельность специализированного депозитария, в случае совмещения указанной деятельности с иными видами деятельности (копию штатного расписания соискателя лицензии и т.д.).

Основания для исполнения государственной функции

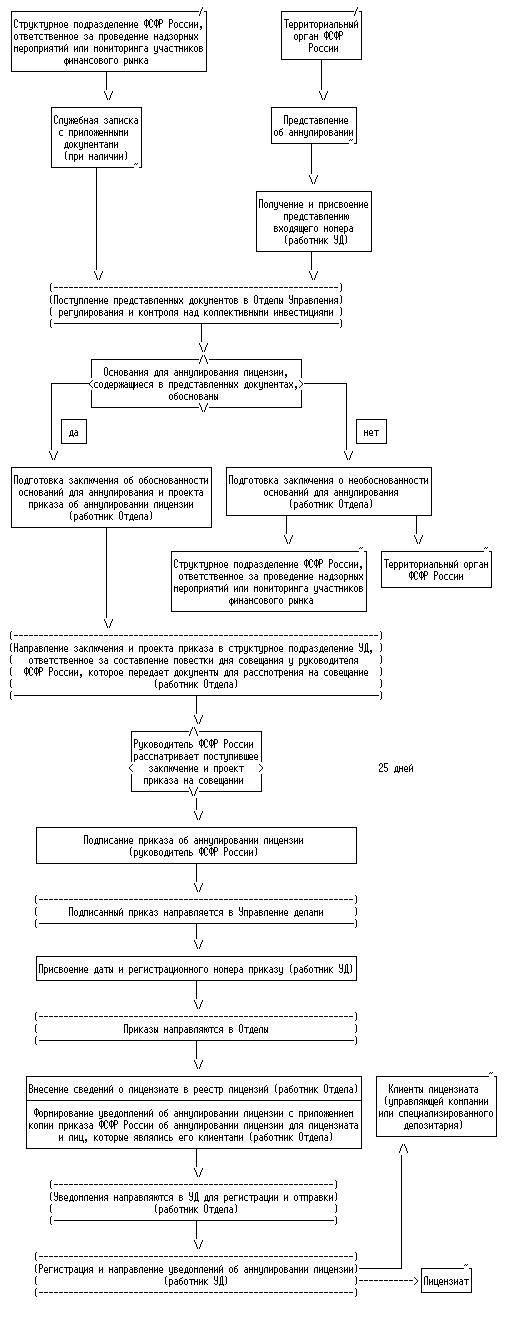
31. Основанием для рассмотрения и принятия решения по предоставлению лицензии, переоформлению документа, подтверждающего наличие лицензии, выдаче дубликата документа, подтверждающего наличие лицензии, аннулированию лицензии при отказе от нее, выдаче выписки из реестра лицензий является обращение соискателя лицензии или лицензиата (заинтересованного лица, обратившегося за получением выписки из реестра лицензий), в форме подачи соответствующего заявления для совершения одного их указанных действий с приложением комплекта документов, установленного нормативными правовыми актами, в центральный аппарат ФСФР России.

32. Наличие оснований для аннулирования лицензии, установленных пунктом 1 статьи 61.2 Закона об инвестиционных фондах или пунктом 1 статьи 7.2 Закона о пенсионных фондах, а также основания, установленного пунктом 9 статьи 8 Закона N 334-ФЗ, подтверждается следующими документами:

а) копии предписаний ФСФР России об устранении нарушений требований федеральных законов или принятых в соответствии с ними нормативных правовых актов Российской Федерации с приложением уведомлений о вручении почтовых отправлений;

б) письменные ответы, справки, разъяснения и иные документы организаций, направляемые в ФСФР России и свидетельствующие о неисполнении организациями предписаний об устранении нарушения требований федеральных законов или принятых в соответствии с ними нормативных правовых актов Российской Федерации;

в) отчеты, уведомления и иные документы организаций, направляемые в ФСФР России, содержащие факты наличия оснований для аннулирования лицензии;

г) иные документы, составленные в результате осуществления ФСФР России функций по контролю и надзору организаций, содержащие факты наличия оснований для аннулирования лицензии;

д) приказ ФСФР России об аннулировании у специализированного депозитария лицензии профессионального участника рынка ценных бумаг на осуществление депозитарной деятельности.

Требования к комплекту документов для получения лицензии

33. Для получения лицензии соискатели лицензии на осуществление деятельности инвестиционных фондов, или деятельности по управлению инвестиционными фондами, паевыми инвестиционными фондами и негосударственными пенсионными фондами, или деятельности специализированных депозитариев инвестиционных фондов, паевых инвестиционных фондов и негосударственных пенсионных фондов представляют следующие документы:

33.1. Заявление о предоставлении лицензии, составленное согласно Приложению 1 к настоящему Административному регламенту.

33.2. Нотариально удостоверенные копии учредительных документов соискателя лицензии.

33.3. Документ, подтверждающий факт внесения сведений о соискателе лицензии в единый государственный реестр юридических лиц, или его нотариально удостоверенную копию.

33.4. Нотариально удостоверенную копию документа, подтверждающего постановку соискателя лицензии на учет в налоговом органе.

33.5. Нотариально удостоверенные копии документов, подтверждающих избрание (назначение) лица, осуществляющего функции единоличного исполнительного органа, лиц, являющихся членами совета директоров (наблюдательного совета), и лиц, являющихся членами коллегиального исполнительного органа соискателя лицензии.

33.6. Документ, подтверждающий уплату государственной пошлины за рассмотрение заявления о предоставлении лицензии. Документ должен соответствовать форме, установленной Положением о безналичных расчетах в Российской Федерации от 3 октября 2002 г. N 2-П (зарегистрирован в Минюсте России 23 декабря 2002 г., N 4068).

33.7. Сведения о лице, осуществляющем функции единоличного исполнительного органа, членах совета директоров (наблюдательного совета), членах коллегиального исполнительного органа соискателя лицензии, составленные согласно приложению 2 к настоящему Административному регламенту, а также копии документов, подтверждающих соблюдение требований, предъявляемых к указанным лицам в соответствии с Законом об инвестиционных фондах.

33.7.1. Под копиями документов, подтверждающими соблюдение требований, предъявляемых к указанным лицам в соответствии с Законом об инвестиционных фондах, понимаются заверенные подписью единоличного исполнительного органа соискателя лицензии и оттиском печати соискателя лицензии копии:

а) квалификационного аттестата лица, осуществляющего функции единоличного исполнительного органа соискателя лицензии по специализации в области финансовых рынков: "управление инвестиционными фондами, паевыми инвестиционными фондами и негосударственными пенсионными фондами" (аттестат пятого типа) или иной аналогичной специализации, выданного ФКЦБ России (ФСФР России) или аккредитованными ФСФР России организациями, осуществляющими аттестацию граждан в сфере профессиональной деятельности на рынке ценных бумаг, в сфере деятельности акционерных инвестиционных фондов, управляющих компаний и специализированных депозитариев, либо, в случае утраты квалификационного аттестата, копию выписки из реестра аттестованных лиц, выданную региональным отделением ФСФР России;

б) трудовой книжки, записи в которой подтверждают наличие соответствующего профессионального опыта лица, осуществляющего функции единоличного исполнительного органа соискателя лицензии, или копии трудовых договоров, заключенных указанным лицом с организациями, осуществляющими деятельность на финансовом рынке;

в) трудовых книжек, записи в которых подтверждают, что члены совета директоров (наблюдательного совета), коллегиального исполнительного органа соискателя лицензии не осуществляли функций единоличного исполнительного органа и не входили в состав коллегиального исполнительного органа финансовых организаций в момент совершения этими организациями нарушений, за которые у них были аннулированы лицензии на осуществление соответствующих видов деятельности, если с даты такого аннулирования прошло менее трех лет, или копии трудовых договоров, заключенных указанными лицами с организациями, осуществляющими деятельность на финансовом рынке;

г) диплома о высшем образовании лица, осуществляющего функции единоличного исполнительного органа соискателя лицензии;

д) справок об отсутствии у лица, осуществляющего функции единоличного исполнительного органа, а также у лиц, входящих в состав совета директоров (наблюдательного совета) и коллегиального исполнительного органа соискателя лицензии, судимости за умышленные преступления, форма которых должна соответствовать приложению N 1 к Инструкции о порядке предоставления гражданам справок о наличии (отсутствии) у них судимости, утвержденной Приказом Министерства внутренних дел Российской Федерации от 1 ноября 2001 г. N 965 (зарегистрирован в Министерстве юстиции Российской Федерации, N 3153).

е) справок о проверке по реестру дисквалифицированных лиц, подтверждающих отсутствие у лица, осуществляющего функции единоличного исполнительного органа (руководителя структурного подразделения организации, осуществляющего деятельность специализированного депозитария), а также у лиц, входящих в состав совета директоров (наблюдательного совета) и коллегиального исполнительного органа соискателя лицензии административного наказания в виде дисквалификации, форма которых должна соответствовать приложению N 1 к Инструкции о порядке предоставления информации о дисквалифицированных лицах, являющейся приложением N 2 к Приказу Министерства внутренних дел Российской Федерации от 22 ноября 2006 г. N 957 (зарегистрирован в Министерстве юстиции Российской Федерации, N 8710).

33.7.2. Документы, предусмотренные подпунктами "а", "б", "г" - "е" пункта 33.7.1 настоящего Административного регламента, представляются соискателем лицензии на осуществление деятельности инвестиционного фонда при условии, что полномочия лица, осуществляющего функции единоличного исполнительного органа соискателя лицензии, в случае получения им соответствующей лицензии, не будут переданы управляющей компании.

33.8. Расчет размера собственных средств соискателя лицензии, произведенный в порядке, установленном нормативными правовыми актами федерального органа исполнительной власти по рынку ценных бумаг, составленный согласно приложению 3 к настоящему Административному регламенту.

34. Для получения лицензии управляющей компании или лицензии специализированного депозитария в центральный аппарат ФСФР России соискатели соответствующих лицензий дополнительно представляют:

34.1. Сведения о лицах, являющихся собственниками или доверительными управляющими 5 или более процентов обыкновенных акций (долей) соискателя лицензии, а также о лицах, являющихся основными и дочерними либо преобладающими и зависимыми по отношению друг к другу, которые совместно владеют (осуществляют доверительное управление) 5 или более процентами обыкновенных акций (долей) соискателя лицензии, составленные согласно приложению 4 к настоящему Административному регламенту.

34.2. Сведения о руководителе и сотрудниках службы внутреннего контроля (далее - контролер) соискателя лицензии, составленные согласно приложению 5 к настоящему Административному регламенту, а также заверенные подписью единоличного исполнительного органа соискателя лицензии и оттиском печати соискателя лицензии копии:

а) квалификационного аттестата контролера соискателя лицензии по специализации в области финансовых рынков: "управление инвестиционными фондами, паевыми инвестиционными фондами и негосударственными пенсионными фондами" (аттестат пятого типа) или "деятельность специализированного депозитария инвестиционных фондов, паевых инвестиционных фондов и негосударственных пенсионных фондов" (аттестат шестого типа) или иных аналогичных специализаций, выданного ФКЦБ России (ФСФР России) или аккредитованными ФСФР России организациями, осуществляющими аттестацию граждан в сфере профессиональной деятельности на рынке ценных бумаг, в сфере деятельности акционерных инвестиционных фондов, управляющих компаний и специализированных депозитариев, либо, в случае утраты квалификационного аттестата, копию выписки из реестра аттестованных лиц, выданную региональным отделением ФСФР России;

б) трудовой книжки, записи в которой подтверждают основное место работы контролера и то, что контролер не осуществлял функций единоличного исполнительного органа и не входил в состав коллегиального исполнительного органа финансовых организаций в момент совершения этими организациями нарушений, за которые у них были аннулированы лицензии на осуществление соответствующих видов деятельности, если с даты такого аннулирования прошло менее трех лет, или копии трудовых договоров, заключенных указанным лицом с организациями, осуществляющими деятельность на финансовом рынке;

в) справки об отсутствии у контролера соискателя лицензии судимости за умышленные преступления, форма которой должна соответствовать приложению N 1 к Инструкции о порядке предоставления гражданам справок о наличии (отсутствии) у них судимости, утвержденной Приказом Министерства внутренних дел Российской Федерации от 1 ноября 2001 г. N 965 (зарегистрирован в Министерстве юстиции Российской Федерации, N 3153);

е) справки о проверке по реестру дисквалифицированных лиц, подтверждающих отсутствие у контролера административного наказания в виде дисквалификации, форма которой должна соответствовать приложению N 1 к Инструкции о порядке предоставления информации о дисквалифицированных лицах, являющейся приложением N 2 к Приказу Министерства внутренних дел Российской Федерации от 22 ноября 2006 г. N 957 (зарегистрирован в Министерстве юстиции Российской Федерации, N 8710).

В электронном документе нумерация подпунктов соответствует официальному источнику.

34.3. Правила организации и осуществления внутреннего контроля, утвержденные в установленном законодательством Российской Федерации порядке.

34.4. Документ, подтверждающий уплату государственной пошлины за предоставление лицензии (платежное поручение с отметкой банка об исполнении соискателем лицензии обязанности по уплате государственной пошлины). Документ должен соответствовать форме, установленной Положением о безналичных расчетах в Российской Федерации от 3 октября 2002 г. N 2-П (зарегистрирован в Минюсте России 23 декабря 2002 г., N 4068).

35. Для получения лицензии управляющей компании в центральный аппарат ФСФР России соискатель соответствующей лицензии дополнительно представляет правила внутреннего контроля, разработанные в целях противодействия легализации (отмыванию) доходов, полученных преступным путем, и финансированию терроризма (в двух экземплярах) в соответствии с Федеральным законом от 7 августа 2001 года N 115-ФЗ "О противодействии легализации (отмыванию) доходов, полученных преступным путем, и финансированию терроризма".

36. Для получения лицензии специализированного депозитария в центральный аппарат ФСФР России соискатель лицензии дополнительно представляет:

36.1. Регламент специализированного депозитария, утвержденный уполномоченным органом соискателя лицензии (в двух экземплярах).

36.2. Копию внутреннего документа о структурном подразделении, осуществляющем деятельность специализированного депозитария, в случае, если соискатель лицензии совмещает деятельность специализированного депозитария с иными видами деятельности.

36.3. Сведения о руководителях структурного подразделения организации и (или) ее филиалов, которые намерены осуществлять деятельность специализированного депозитария, составленные согласно приложению 2 к настоящему Административному регламенту, а также копии документов, подтверждающих соблюдение требований, предъявляемых к указанным лицам в соответствии с Законом об инвестиционных фондах, в случае, если соискатель лицензии совмещает деятельность специализированного депозитария с иными видами деятельности.

36.3.1. Под копиями документов, подтверждающими соблюдение требований, предъявляемых к указанным лицам в соответствии с Законом об инвестиционных фондах, понимаются заверенные подписью единоличного исполнительного органа соискателя лицензии и оттиском печати соискателя лицензии копии:

а) квалификационного аттестата лица, осуществляющего функции единоличного исполнительного органа соискателя лицензии (руководителя структурного подразделения организации, осуществляющего деятельность специализированного депозитария) по специализации в области финансовых рынков: "деятельность специализированного депозитария инвестиционных фондов, паевых инвестиционных фондов и негосударственных пенсионных фондов" (аттестат шестого типа) или иной аналогичной специализации, выданного ФКЦБ России (ФСФР России) или аккредитованными ФСФР России организациями, осуществляющими аттестацию граждан в сфере профессиональной деятельности на рынке ценных бумаг, в сфере деятельности акционерных инвестиционных фондов, управляющих компаний и специализированных депозитариев, либо, в случае утраты квалификационного аттестата, копию выписки из реестра аттестованных лиц, выданную региональным отделением ФСФР России;

б) трудовой книжки, записи в которой подтверждают наличие соответствующего профессионального опыта лица, осуществляющего функции единоличного исполнительного органа соискателя лицензии (руководителя структурного подразделения организации, осуществляющего деятельность специализированного депозитария), или копии трудовых договоров, заключенных указанными лицами с организациями, осуществляющими деятельность на финансовом рынке;

в) трудовых книжек, записи в которых подтверждают, что члены совета директоров (наблюдательного совета), коллегиального исполнительного органа соискателя лицензии не осуществляли функций единоличного исполнительного органа и не входили в состав коллегиального исполнительного органа финансовых организаций в момент совершения этими организациями нарушений, за которые у них были аннулированы лицензии на осуществление соответствующих видов деятельности, если с даты такого аннулирования прошло менее трех лет, или копии трудовых договоров, заключенных указанными лицами с организациями, осуществляющими деятельность на финансовом рынке;

г) диплома о высшем образовании лица, осуществляющего функции единоличного исполнительного органа соискателя лицензии (руководителя структурного подразделения организации, осуществляющего деятельность специализированного депозитария);

д) справок об отсутствии у лица, осуществляющего функции единоличного исполнительного органа (руководителя структурного подразделения организации, осуществляющего деятельность специализированного депозитария), а также у лиц, входящих в состав совета директоров (наблюдательного совета) и коллегиального исполнительного органа соискателя лицензии, судимости за умышленные преступления, форма которых должна соответствовать приложению N 1 к Инструкции о порядке предоставления гражданам справок о наличии (отсутствии) у них судимости, утвержденной Приказом Министерства внутренних дел Российской Федерации от 1 ноября 2001 г. N 965 (зарегистрирован в Министерстве юстиции Российской Федерации, N 3153);

е) справок о проверке по реестру дисквалифицированных лиц, подтверждающих отсутствие у лица, осуществляющего функции единоличного исполнительного органа (руководителя структурного подразделения организации, осуществляющего деятельность специализированного депозитария), а также у лиц, входящих в состав совета директоров (наблюдательного совета) и коллегиального исполнительного органа соискателя лицензии, административного наказания в виде дисквалификации, форма которых должна соответствовать приложению N 1 к Инструкции о порядке предоставления информации о дисквалифицированных лицах, являющейся приложением N 2 к Приказу Министерства внутренних дел Российской Федерации от 22 ноября 2006 г. N 957 (зарегистрирован в Министерстве юстиции Российской Федерации, N 8710).

37. Для подтверждения соблюдения лицензионных условий при предоставлении лицензии на осуществление деятельности инвестиционного фонда, помимо документов, указанных в пункте 33 настоящего Административного регламента, соискатель соответствующей лицензии представляет заверенные подписью единоличного исполнительного органа соискателя лицензии и оттиском печати соискателя лицензии копии:

37.1. Решения общего собрания акционеров или совета директоров (наблюдательного совета) соискателя лицензии об утверждении инвестиционной декларации соискателя лицензии с приложением инвестиционной декларации соискателя лицензии.

37.2. Бухгалтерского баланса и отчета о прибылях и убытках соискателя лицензии на последнюю отчетную дату, содержащих отметку налогового органа (для соискателей лицензии, созданных до последней отчетной даты).

37.3. Аудиторского заключения по проверке годовой финансовой (бухгалтерской) отчетности (для соискателей лицензии, годовая финансовая (бухгалтерская) отчетность которых подлежала проверке по итогам отчетного года).

37.4. Документ, подтверждающий уплату государственной пошлины за предоставление лицензии (платежное поручение с отметкой банка об исполнении соискателем лицензии обязанности по уплате государственной пошлины). Документ должен соответствовать форме, установленной Положением о безналичных расчетах в Российской Федерации от 3 октября 2002 г. N 2-П (зарегистрирован в Министерстве юстиции Российской Федерации, N 4068).

38. Для подтверждения соблюдения лицензионных условий при предоставлении лицензии на осуществление деятельности по управлению инвестиционными фондами, паевыми инвестиционными фондами и негосударственными пенсионными фондами, деятельности специализированных депозитариев инвестиционных фондов, паевых инвестиционных фондов и негосударственных пенсионных фондов, помимо документов, установленных пунктами 33 - 36 настоящего Административного регламента, соискатель соответствующей лицензии представляет документы, указанные в пунктах 37.2 - 37.4 настоящего Административного регламента.

39. Пункты 37.2 и 37.3 настоящего Административного регламента не распространяются на соискателей лицензии на осуществление деятельности специализированных депозитариев инвестиционных фондов, паевых инвестиционных фондов и негосударственных пенсионных фондов - кредитные организации.

40. Соискатели лицензии на осуществление деятельности специализированных депозитариев инвестиционных фондов, паевых инвестиционных фондов и негосударственных пенсионных фондов также представляют копию документа, подтверждающего создание отдельного структурного подразделения для осуществления деятельности специализированного депозитария.

41. Для получения лицензии соискатели лицензии на осуществление деятельности по пенсионному обеспечению и пенсионному страхованию представляют документы, указанные в пунктах 33.1 - 33.4, 33.6 и 34.3 настоящего Административного регламента, а также:

41.1. Нотариально удостоверенные копии документов, подтверждающих назначение лица, осуществляющего функции единоличного исполнительного органа, главного бухгалтера и контролера или руководителя и сотрудников службы внутреннего контроля, а также в случае создания коллегиального исполнительного органа соискателя лицензии лиц, являющихся членами такого органа.

41.2. Сведения о лице, осуществляющем функции единоличного исполнительного органа, членах коллегиального исполнительного органа (в случае его создания), главном бухгалтере и контролере или руководителе и сотрудниках службы внутреннего контроля соискателя лицензии, составленные согласно приложению 2 к настоящему Административному регламенту, а также копии документов, подтверждающих соблюдение требований, предъявляемых к указанным лицам в соответствии с Законом о пенсионных фондах.

41.2.1. Под копиями документов, подтверждающих соблюдение требований, предъявляемых к указанным лицам в соответствии с Законом о пенсионных фондах, понимаются заверенные подписью единоличного исполнительного органа соискателя лицензии и оттиском печати соискателя лицензии копии:

а) трудовой книжки, записи в которой подтверждают наличие соответствующего профессионального опыта лица, осуществляющего функции единоличного исполнительного органа соискателя лицензии, а также главного бухгалтера соискателя лицензии или копии трудовых договоров, заключенных указанными лицами с организациями, осуществляющими деятельность на финансовом рынке;

б) трудовых книжек, записи в которых подтверждают, что члены коллегиального исполнительного органа, контролер (руководитель службы внутреннего контроля) соискателя лицензии не осуществляли функций единоличного исполнительного органа и не входили в состав коллегиального исполнительного органа финансовых организаций в момент совершения этими организациями нарушений, за которые у них были аннулированы лицензии на осуществление соответствующих видов деятельности, если с даты такого аннулирования прошло менее трех лет, или копии трудовых договоров, заключенных указанными лицами с организациями, осуществляющими деятельность на финансовом рынке;

в) диплома о высшем образовании лица, осуществляющего функции единоличного исполнительного органа, главного бухгалтера, а также контролера (руководителя службы внутреннего контроля) соискателя лицензии;

г) справок об отсутствии у лица, осуществляющего функции единоличного исполнительного органа, главного бухгалтера, а также у лиц, входящих в состав коллегиального исполнительного органа, контролера (руководителя службы внутреннего контроля) соискателя лицензии судимости за умышленные преступления, которые должны соответствовать приложению N 1 к Инструкции о порядке предоставления гражданам справок о наличии (отсутствии) у них судимости, утвержденной Приказом Министерства внутренних дел Российской Федерации от 1 ноября 2001 г. N 965 (зарегистрирован в Министерстве юстиции Российской Федерации, N 3153);

д) справок о проверке по реестру дисквалифицированных лиц, подтверждающих отсутствие у лица, осуществляющего функции единоличного исполнительного органа, главного бухгалтера, а также у лиц, входящих в состав коллегиального исполнительного органа, контролера (руководителя службы внутреннего контроля) соискателя лицензии административного наказания в виде дисквалификации, которые должны соответствовать приложению N 1 к Инструкции о порядке предоставления информации о дисквалифицированных лицах, являющейся приложением N 2 к Приказу Министерства внутренних дел Российской Федерации от 22 ноября 2006 г. N 957 (зарегистрирован в Министерстве юстиции Российской Федерации, N 8710).

41.3. Расчет величины денежной оценки имущества для обеспечения уставной деятельности соискателя лицензии по форме, установленной нормативным правовым актом уполномоченного органа исполнительной власти по рынку ценных бумаг, а также копии документов, подтверждающих наличие у соискателя лицензии имущества, включенного в указанный расчет (соответствующих договоров и дополнительных соглашений к ним, справок или платежных поручений банка, оценочных документов и т.п.), заверенные лицом, осуществляющим функции единоличного исполнительного органа соискателя лицензии и оттиском печати соискателя лицензии.

41.4. Пенсионные правила соискателя лицензии, утвержденные советом соискателя лицензии.

41.5. Страховые правила соискателя лицензии, утвержденные советом соискателя лицензии - в случае, если соискатель лицензии предполагает осуществлять деятельность по обязательному пенсионному страхованию.

41.6. Правила внутреннего контроля, разработанные в целях противодействия легализации (отмыванию) доходов, полученных преступным путем, и финансированию терроризма (в двух экземплярах), в соответствии с Федеральным законом от 7 августа 2001 года N 115-ФЗ "О противодействии легализации (отмыванию) доходов, полученных преступным путем, и финансированию терроризма".

41.7. Копию протокола совета негосударственного пенсионного фонда об утверждении пенсионных правил, а также, если фонд предполагает осуществлять деятельность по обязательному пенсионному страхованию, страховых правил.

41.8. Копию протокола совета негосударственного пенсионного фонда о назначении контролера или руководителя и сотрудников службы внутреннего контроля соискателя лицензии.

41.9. Копии форм договоров негосударственного пенсионного обеспечения по каждой пенсионной схеме, предусмотренной пенсионными правилами, и утвержденных в установленном негосударственным пенсионным фондом порядке.

41.10. Документ, подтверждающий уплату государственной пошлины за предоставление лицензии (платежное поручение с отметкой банка об исполнении соискателем лицензии обязанности по уплате государственной пошлины). Документ должен соответствовать форме, установленной Положением о безналичных расчетах в Российской Федерации от 3 октября 2002 г. N 2-П (зарегистрирован в Министерстве юстиции Российской Федерации, N 4068).

42. Сведения, предусмотренные пунктами 33.7, 33.8, 34.1, 34.2, 36.3 и 41.2 настоящего Административного регламента, представляются на дату, совпадающую с датой исходящего заявления о предоставлении лицензии, но не ранее чем за 15 дней до даты представления документов для получения лицензии. Указанные сведения представляются на русском языке, если иное не предусмотрено Приложениями к настоящему Административному регламенту.

43. Сведения, предусмотренные пунктами 33.7, 33.8, 34.1, 34.2, 36.3 и 41.2 настоящего Административного регламента, представляются в виде отдельных документов, содержащих сведения о каждом лице, о котором должны быть представлены соответствующие сведения, подписанных лицом, осуществляющим санкции единоличного исполнительного органа соискателя лицензии, и скрепленных печатью соискателя лицензии.

44. Титульный лист каждого из документов, указанных в пунктах 34.3, 35, 36.1, 36.2, 41.4 - 41.6 настоящего Административного регламента, должен содержать дату и номер решения уполномоченного органа соискателя лицензии, утвердившего указанные документы в соответствии с федеральными законами и нормативными правовыми актами.

45. Все документы, насчитывающие более одного листа, должны быть прошиты, пронумерованы и скреплены на прошивке подписью лица, осуществляющего функции руководителя исполнительного органа соискателя лицензии и печатью соискателя лицензии.

Требования к комплекту документов для переоформления документа, подтверждающего наличие лицензии

46. Для переоформления документа, подтверждающего наличие лицензии, лицензиаты или их правопреемники представляют следующие документы:

46.1. Заявление о переоформлении документа, подтверждающего наличие лицензии, оформленное согласно приложению 6 к настоящему Административному регламенту.

46.2. Нотариально удостоверенные копии документов, подтверждающих внесение в единый государственный реестр юридических лиц записи об изменении фирменного наименования и (или) места нахождения лицензиата, либо записи о создании юридического лица в результате преобразования лицензиата (управляющей компании или специализированного депозитария).

46.3. Документ, подтверждающий уплату государственной пошлины за переоформление документа, подтверждающего наличие лицензии. Документ должен соответствовать форме, установленной Положением о безналичных расчетах в Российской Федерации от 3 октября 2002 г. N 2-П (зарегистрирован в Министерстве юстиции Российской Федерации, N 4068).

46.4. Документ, подтверждающий наличие лицензии (по желанию лицензиата).

Требования к комплекту документов для выдачи дубликата документа, подтверждающего наличие лицензии

47. Для получения дубликата документа, подтверждающего наличие лицензии, лицензиат представляет заявление о выдаче дубликата документа, подтверждающего наличие лицензии, оформленного согласно приложению 7 к настоящему Административному регламенту.

Требования к комплекту документов для аннулирования лицензии в связи с поступлением от лицензиата заявления об отказе от лицензии

48. Для аннулирования лицензии по собственной инициативе лицензиат представляет следующие документы:

48.1. Заявление об отказе от лицензии, оформленное согласно приложению 8 к настоящему Административному регламенту.

48.2. Документ, подтверждающий наличие лицензии.

48.3. К заявлению об отказе от лицензии на осуществление деятельности по управлению инвестиционными фондами, паевыми инвестиционными фондами и негосударственными пенсионными фондами прилагаются следующие документы:

а) документ, содержащий сведения о договорах, которые лицензиат заключал при осуществлении деятельности по управлению (доверительному управлению) активами, предусмотренными федеральными законами и иными нормативными правовыми актами Российской Федерации, с указанием полного наименования лиц, с которыми были заключены указанные договоры;

б) документ (документы) об отсутствии у лицензиата обязательств по договорам, указанным в подпункте "а" настоящего пункта.

48.4. К заявлению об отказе от лицензии на осуществление деятельности специализированного депозитария инвестиционных фондов, паевых инвестиционных фондов и негосударственных пенсионных фондов прилагаются следующие документы:

а) документ, содержащий сведения о договорах, которые были заключены лицензиатом при осуществлении деятельности специализированного депозитария инвестиционных фондов, паевых инвестиционных фондов и негосударственных пенсионных фондов, с указанием полного наименования лиц, с которыми были заключены указанные договоры;

б) документ (документы) об отсутствии у лицензиата обязательств по договорам, указанным в подпункте "а" настоящего пункта.

48.5. К заявлению об отказе от лицензии на осуществление деятельности по пенсионному обеспечению и пенсионному страхованию прилагаются следующие документы:

а) документ, содержащий сведения о пенсионных договорах, договорах об обязательном пенсионном страховании и договорах о создании обязательных профессиональных пенсионных систем, которые были заключены лицензиатом, с указанием полного наименования лиц, с которыми были заключены указанные договоры;

б) документ (документы) об отсутствии у лицензиата обязательств по договорам, указанным в подпункте "а" настоящего пункта;

в) бухгалтерский баланс лицензиата, составленный лицензиатом по состоянию на дату подачи заявления об отказе от лицензии.

49. Документы, предусмотренные пунктами 48.3 - 48.4 настоящего Административного регламента, представляются с подписью лица, осуществляющего функции единоличного исполнительного органа лицензиата, и скрепляются печатью лицензиата.

50. Документ (документы), предусмотренный(-ые) подпунктом "б" пункта 48.3 настоящего Административного регламента, представляется с подписями руководителей организаций, с которыми были заключены договоры при осуществлении деятельности по управлению (доверительному управлению) активами, предусмотренными федеральными законами и иными нормативными правовыми актами Российской Федерации, или уполномоченных ими лицами.

51. Документ (документы), предусмотренный(-ые) подпунктом "б" пункта 48.3 настоящего Административного регламента, представляется с подписями руководителей организаций, с которыми были заключены договоры при осуществлении деятельности специализированного депозитария инвестиционных фондов, паевых инвестиционных фондов и негосударственных пенсионных фондов, или уполномоченными ими лицами, а также руководителей специализированных депозитариев, которым были переданы документы, связанные с деятельностью лицензиата.

52. Документ (документы), предусмотренный(-ые) подпунктом "б" пункта 48.5 настоящего Перечня, представляется с подписями:

а) об отсутствии обязательств по пенсионным договорам - вкладчиков и, если лицензиат осуществлял выплату негосударственных пенсий, - участников по указанным договорам;

б) об отсутствии обязательств по договорам об обязательном пенсионном страховании - уполномоченного лица Пенсионного фонда Российской Федерации или негосударственного пенсионного фонда, в который были переданы средства пенсионных накоплений, сформированные в пользу застрахованных лиц;

в) об отсутствии обязательств по договорам о создании профессиональных пенсионных систем - лиц, с которыми были заключены указанные договоры.

Требования к комплекту документов для выдачи выписки из реестра лицензий

53. Для получения выписки из реестра лицензий лицензиат представляет заявление о предоставлении выписки из реестра лицензий, оформленное согласно приложению 9 к настоящему Административному регламенту.

Перечень оснований для отказа в предоставлении лицензии

54. Основаниями для отказа в предоставлении лицензии являются:

а) наличие в документах, представленных для получения лицензии, неполной или недостоверной информации;

б) несоответствие соискателя лицензии лицензионным условиям;

в) несоответствие документов, представленных для получения лицензии, требованиям статьи 60.1 Закона об инвестиционных фондах или требованиям Закона о пенсионных фондах и принятыми в соответствии с ними нормативными правовыми актами Российской Федерации.

Требования к платности (бесплатности) исполнения государственной функции

55. В соответствии с подпунктом 71 пункта 1 статьи 333.33 Налогового кодекса Российской Федерации:

а) за рассмотрение заявления о предоставлении лицензии уплачивается государственная пошлина - 300 рублей;

б) за предоставление лицензии на осуществление деятельности инвестиционного фонда или лицензии на осуществление деятельности по пенсионному обеспечению и пенсионному страхованию уплачивается государственная пошлина - 1000 рублей;

в) за переоформление документа, подтверждающего наличие лицензии, - 100 рублей.

56. В соответствии с подпунктом 49 пункта 1 статьи 333.33 Налогового кодекса Российской Федерации:

за предоставление лицензии на осуществление деятельности по управлению инвестиционными фондами, паевыми инвестиционными фондами и негосударственными пенсионными фондами или лицензии на осуществление деятельности специализированного депозитария инвестиционных фондов, паевых инвестиционных фондов и негосударственных пенсионных фондов уплачивается государственная пошлина - 10000 рублей.

57. Размеры платы за предоставление информации, содержащейся в реестре лицензий, в виде выписки о конкретном лицензиате, а также за выдачу дубликата лицензии не установлены.

58. Согласно подпункту 6 пункта 1 статьи 333.18 Налогового кодекса Российской Федерации плательщики уплачивают государственную пошлину, при обращении за совершением иных юридически значимых действий, за исключением юридически значимых действий, указанных в подпунктах 1 - 5.1 пункта 6, - до подачи заявлений и (или) иных документов на совершение таких действий либо до подачи соответствующих документов.

59. Информация о порядке уплаты государственной пошлины и порядке заполнения платежных документов содержится на официальном сайте ФСФР России в сети Интернет по адресу: http://www.fcsm.ru в разделе Главная/О ФСФР России/Реквизиты ФСФР России и РО ФСФР России/Информация по оформлению и заполнению расчетных (платежных) документов, реквизиты ФСФР России и РО ФСФР России и образцы платежных поручений с реквизитами ФСФР России и РО ФСФР России.

Порядок и формы контроля за исполнением государственной функции

60. Контроль за исполнением административных процедур и принятием решений осуществляется должностными лицами ФСФР России, ответственными за организацию работы по исполнению государственной функции.

Другие положения, характеризующие исполнение государственной функции

61. При наличии у лицензиата лицензии с ограниченным сроком действия (сроком действия 5 лет) заявление о предоставлении лицензии с приложением всех необходимых документов, установленных настоящим Административным регламентом, представляется им в ФСФР России не ранее чем за шесть месяцев до истечения срока действия лицензии с ограниченным сроком.

62. В случае направления в адрес соискателя лицензии уведомления о приостановлении течения срока рассмотрения документов при предоставлении лицензии и о необходимости предоставления дополнительных сведений и документов ФСФР России ожидает предоставления соответствующих документов, а в срок не позднее 3-х рабочих дней после их получения направляет в адрес соискателя лицензии уведомление о возобновлении течения срока рассмотрения документов.

63. ФСФР России вправе принять решение о предоставлении лицензии или об отказе в предоставлении лицензии соискателю лицензии в течение одного месяца с даты получения всех необходимых документов, в случае направления одновременно с заявлением о предоставлении лицензии и комплектом документов ходатайства саморегулируемой организации управляющих компаний или негосударственных пенсионных фондов о выдаче лицензии.

64. При переоформлении документа, подтверждающего наличие лицензии, номер и срок действия ранее выданной лицензии сохраняются.

III. Административные процедуры

Предоставление лицензии

65. Заявитель, являющийся соискателем лицензии, представляет в ФСФР России заявление о предоставлении лицензии с приложением комплекта документов, определенных для каждого лицензируемого вида деятельности Законом об инвестиционных фондах, Законом о пенсионных фондах, принятых в соответствии с ними нормативными правовыми актами и настоящим Административным регламентом. Указанные документы направляются соискателем лицензии на адрес центрального аппарата ФСФР России или передаются в экспедицию центрального аппарата ФСФР России.

66. При осуществлении административной процедуры в центральном аппарате ФСФР России:

66.1. Структурными подразделениями, ответственными за предоставление лицензий, переоформление документов, подтверждающих наличие лицензий, предоставление информации, содержащейся в реестре лицензий, за выдачу дубликатов документов, подтверждающих наличие лицензии, а также за аннулирование лицензий, являются отдел лицензирования акционерных инвестиционных фондов, управляющих компаний, специализированных депозитариев и отдел лицензирования негосударственных пенсионных фондов в составе Управления регулирования и контроля над коллективными инвестициями (далее - Управление, Отдел, Отделы).

66.2. Структурным подразделением, ответственным за прием, регистрацию (присвоение входящего регистрационного номера) и отправку документов (присвоение исходящего регистрационного номера), связанных с осуществлением административной процедуры, является Управление делами и архива (далее - УД).

67. Документы, которым присвоен входящий регистрационный номер УД, поступают в соответствующий Отдел на рассмотрение, в котором начальником Отдела назначается должностное лицо, ответственное за рассмотрение комплекта документов и подготовку решения о предоставлении или об отказе в предоставлении лицензии (далее - ответственный исполнитель Отдела).

68. Ответственный исполнитель Отдела, в срок не позднее 7 рабочих дней с даты присвоения документам входящего регистрационного номера, осуществляет проверку соблюдения соискателем лицензии требований к комплектности и оформлению документов.

69. После проведения вышеуказанной проверки, в срок, установленный пунктом 68 настоящего Административного регламента, ответственный исполнитель Отдела, в случае соответствия документов установленным требованиям к комплектности и оформлению, составляет уведомление о приеме к рассмотрению документов, полученных ФСФР России на предоставление лицензии, с приложением описи документов, и передает его в УД для направления в адрес соискателя лицензии, указанный в заявлении о предоставлении лицензии.

70. После проведения вышеуказанной проверки, в срок, установленный пунктом 68 настоящего Административного регламента, ответственный исполнитель Отдела, в случае несоответствия документов установленным требованиям к комплектности и оформлению, составляет уведомление о возврате документов и с указанием конкретного(-ых) несоответствия документов, полученных ФСФР России на предоставление лицензии, с приложением описи документов, и передает его в УД для направления в адрес соискателя лицензии, указанный в заявлении о предоставлении лицензии.

71. В случае необходимости подтверждения соответствия соискателя лицензии лицензионным условиям ответственный исполнитель Отдела в срок не более 20 рабочих дней с даты присвоения документам входящего регистрационного номера составляет уведомление о необходимости предоставления дополнительных документов, подтверждающих соответствие соискателя лицензии лицензионным условиям, по основаниям, перечисленным в пункте 30 настоящего Административного регламента, с указанием на факт приостановления течения срока рассмотрения ранее представленных документов, до даты представления дополнительных документов, и передает его в УД для направления в адрес соискателя лицензии, указанный в заявлении о предоставлении лицензии.

72. После получения запрашиваемых документов и проверки соответствия их оформления установленным требованиям ответственный исполнитель Отдела в срок не более 5 рабочих дней с даты присвоения им входящего регистрационного номера составляет уведомление о возобновлении течения срока рассмотрения документов и передает его в УД для направления в адрес соискателя лицензии, указанный в заявлении о предоставлении лицензии.

73. При наличии всех документов, необходимых для осуществления административной процедуры, ответственный исполнитель Отдела осуществляет их рассмотрение на предмет соответствия законодательству Российской Федерации в сфере инвестиционных или негосударственных пенсионных фондов.

74. Ответственный исполнитель Отдела в срок не позднее 50 дней с даты присвоения заявлению о предоставлении лицензии УД входящего регистрационного номера, за исключением случаев, когда срок рассмотрения документов был приостановлен, в случае соответствия представленных документов заявителя лицензионным требованиям и условиям по каждому конкретному виду лицензируемой деятельности осуществляет подготовку:

заключения о предоставлении лицензии;

списка соискателей лицензии с указанием сведений, приведенных в их заявлениях о предоставлении лицензии, учредительных документах и в бухгалтерской отчетности;

проекта приказа ФСФР России о предоставлении лицензии.

75. Ответственный исполнитель Отдела в срок не позднее 50 дней с даты присвоения заявлению о предоставлении лицензии УД входящего регистрационного номера, за исключением случаев, когда срок рассмотрения документов был приостановлен, в случае несоответствия представленных документов заявителя лицензионным требованиям и условиям по каждому конкретному виду лицензируемой деятельности осуществляет подготовку:

заключения об отказе в предоставлении лицензии;

проекта приказа ФСФР России об отказе в предоставлении лицензии.

76. Заключения и проекты приказов оформляются ответственным исполнителем Отдела и передаются им в установленном порядке в структурное подразделение УД по организации совещаний у руководителя ФСФР России для рассмотрения руководителем ФСФР России. Заключения подписывает начальник Управления, а проекты приказов визируются до их рассмотрения на совещании у руководителя ответственным исполнителем Отдела, начальником Отдела, начальником управления, начальником Правового управления, начальником УД.

Руководитель ФСФР России принимает решение по представленным ему заключениям и проектам приказов в соответствии с Регламентом ФСФР России.

77. Приказ ФСФР России о предоставлении лицензии является документом, свидетельствующим о соответствии соискателя лицензии и его документов, представленных в ФСФР России для предоставления лицензии, требованиям законодательства Российской Федерации в сфере инвестиционных или негосударственных пенсионных фондов, и одновременно документом, свидетельствующим о регистрации (согласовании) ФСФР России таких внутренних документов соискателя лицензии, как:

- правила организации и осуществления внутреннего контроля - при лицензировании всех видов деятельности, за исключением деятельности инвестиционных фондов;

- правила внутреннего контроля управляющих компаний, разработанные в целях противодействия легализации доходов, полученных преступным путем, и финансированию терроризма, - при лицензировании деятельности по управлению инвестиционными фондами, паевыми инвестиционными фондами и негосударственными пенсионными фондами и деятельности негосударственных пенсионных фондов по пенсионному обеспечению и пенсионному страхованию;

- регламенты специализированных депозитариев инвестиционных фондов, паевых инвестиционных фондов и негосударственных пенсионных фондов - при лицензировании деятельности специализированных депозитариев инвестиционных фондов, паевых инвестиционных фондов и негосударственных пенсионных фондов;

- пенсионные и страховые правила негосударственных пенсионных фондов - при лицензировании деятельности негосударственных пенсионных фондов по пенсионному обеспечению и пенсионному страхованию.

78. Приказ ФСФР России об отказе в предоставлении лицензии может быть обжалован соискателем лицензии в порядке, установленном законодательством Российской Федерации, а также настоящим Административным регламентом.

79. Ответственный исполнитель Отдела в течение 3 рабочих дней с даты присвоения в УД регистрационного номера приказу ФСФР России о предоставлении лицензии:

а) вносит сведения о лицензиате в реестры соответствующих лицензий;

б) оформляет документ, подтверждающий наличие лицензии (далее - бланк лицензии), по установленной форме и представляет на подпись руководителю ФСФР России;

в) подготавливает в соответствии с приложением N 17 к настоящему Административному регламенту уведомления о предоставлении лицензии с приложением бланка лицензии, которые направляются в УД для регистрации и отправки (вручения) лицензиату;

г) оформляет путем проставления штампов установленной формы, подписания у заместителя руководителя ФСФР России и заверения печатью с изображением Государственного герба Российской Федерации в УД:

правила организации и осуществления внутреннего контроля (на двух экземплярах проставляется штамп "ЗАРЕГИСТРИРОВАНО", указывается дата принятия решения о регистрации и регистрационный номер с указанием на присвоенный номер лицензии и первую редакцию, например: 21-000-1-00001/1ВК);

правила внутреннего контроля управляющих компаний или негосударственных пенсионных фондов, разработанных в целях противодействия легализации доходов, полученных преступным путем, и финансированию терроризма (на двух экземплярах проставляется штамп "СОГЛАСОВАНО" и указывается дата принятия решения о согласовании);

регламенты специализированных депозитариев инвестиционных фондов, паевых инвестиционных фондов и негосударственных пенсионных фондов (на двух экземплярах проставляется штамп "ЗАРЕГИСТРИРОВАНО", указывается дата принятия решения о регистрации и регистрационный номер с указанием на присвоенный номер лицензии и первую редакцию, например: 22-000-1-00001/1);

пенсионные и страховые правила негосударственных пенсионных фондов (на двух экземплярах проставляется штамп "ЗАРЕГИСТРИРОВАНО", указывается дата принятия решения о регистрации и регистрационный номер с указанием на присвоенный номер лицензии и первую редакцию, например: 187 и 187-Ст соответственно);

д) формирует лицензионные дела с документами, представленными на предоставление лицензии, копией бланка лицензии с печатью УД, заключениями и копиями приказов ФСФР России о предоставлении, а впоследствии дополняет эти дела документами, относящимися к лицензиату;

е) осуществляет подготовку уведомлений с приложением первых экземпляров указанных в подпункте "г" настоящего пункта документов в адрес лицензиатов, а вторые экземпляры направляют в сформированное лицензионное дело организации, и обеспечивает их хранение на срок, установленный номенклатурой дел Управления.

80. Ответственный исполнитель Отдела в течение 3 рабочих дней с даты присвоения в УД регистрационного номера приказу ФСФР России об отказе в предоставлении лицензии:

а) подготавливает в соответствии с приложением N 18 к настоящему Административному регламенту уведомления об отказе в предоставлении лицензии с приложением заверенной оттиском печати УД копии приказа ФСФР России об отказе в предоставлении лицензии, которые направляются в УД для регистрации и отправки (вручения) лицензиату;

б) обеспечивает хранение поступивших в ФСФР России документов, по которым принято решение об отказе в предоставлении лицензии, на срок, установленный номенклатурой дел Управления.

81. УД осуществляет снятие с контроля заявления о предоставлении лицензии на основании уведомлений, направленных в адрес соискателя лицензии (уведомления о возврате документов) или в адрес заявителя (уведомления о предоставлении/об отказе в предоставлении лицензии).

82. Алгоритм проводимых ФСФР России мероприятий, связанных с исполнением государственной функции по предоставлению лицензии, представлен блок-схемой N 1 "Предоставление лицензии", содержащейся в приложении 10 к настоящему Административному регламенту.

Переоформление документа, подтверждающего наличие лицензии

83. Заявитель, являющийся лицензиатом, в случае изменения фирменного наименования и (или) места нахождения, а также в случае преобразования управляющей компании или специализированного депозитария при условии, что организационно-правовая форма вновь созданного юридического лица соответствует требованиям Закона об инвестиционных фондах, представляет в ФСФР России заявление о переоформлении документа, подтверждающего наличие лицензии, с приложением комплекта документов, определенных Законом об инвестиционных фондах, Законом о пенсионных фондах, принятых в соответствии с ними нормативными правовыми актами и настоящим Административным регламентом. Указанные документы направляются лицензиатом на адрес центрального аппарата ФСФР России или передаются в экспедицию центрального аппарата ФСФР России.

84. Для осуществления административной процедуры в центральном аппарате ФСФР России:

84.1. Структурными подразделениями, ответственными за переоформление документа, подтверждающего наличие лицензии, являются Отделы в составе Управления.

84.2. Структурным подразделением, ответственным за прием, регистрацию (присвоение входящего регистрационного номера) и отправку документов (присвоение исходящего регистрационного номера), связанных с осуществлением административной процедуры, является УД.

85. Документы, которым присвоен входящий регистрационный номер УД, поступают в соответствующий Отдел на рассмотрение, в котором начальником Отдела назначается ответственный исполнитель Отдела.

86. Ответственный исполнитель Отдела, в срок не позднее 3 рабочих дней с даты присвоения УД входящего регистрационного номера заявлению о переоформлении документа, подтверждающего наличие лицензии, осуществляет проверку соблюдения лицензиатом требований к оформлению заявления и к оформлению документов, прилагаемых к заявлению.

87. Ответственный исполнитель Отдела в срок не позднее 7 рабочих дней с даты присвоения УД входящего регистрационного номера, в случае соответствия представленных документов установленным требованиям, при наличии оснований, предусмотренных пунктом 83 настоящего Административного регламента, осуществляет подготовку:

заключения о переоформлении документа, подтверждающего наличие лицензии;

списка заявителей с указанием сведений, приведенных в их заявлениях, и причин для переоформления документа, подтверждающего наличие лицензии;

проекта приказа ФСФР России о переоформлении документа, подтверждающего наличие лицензии.

88. Ответственный исполнитель Отдела в срок не позднее 3 рабочих дней с даты присвоения УД входящего регистрационного номера, в случае отсутствия оснований, предусмотренных пунктом 83 настоящего Административного регламента, а также в случае представления неполных или недостоверных сведений осуществляет подготовку уведомления о возврате документов, представленных лицензиатом для переоформления документа, подтверждающего наличие лицензии, с указанием на основания недопустимости осуществления административной процедуры или на представление неполных или недостоверных сведений.

89. Заключения и проекты приказов оформляются ответственным исполнителем Отдела и передаются им в установленном порядке в структурное подразделение УД по организации совещаний у руководителя ФСФР России для рассмотрения руководителем ФСФР России. Заключения подписывает начальник Управления, а проекты приказов визируются до их рассмотрения на совещании у руководителя ответственным исполнителем Отдела, начальником Отдела, начальником управления, начальником Правового управления, начальником УД.

Руководитель ФСФР России принимает решение по представленным ему проектам приказов в соответствии с Регламентом ФСФР России.

90. Ответственный исполнитель Отдела в течение 2 рабочих дней с даты присвоения в УД регистрационного номера приказу ФСФР России о переоформлении документа, подтверждающего наличие лицензии:

а) вносит соответствующие изменения сведений о лицензиате в реестры соответствующих лицензий;

б) оформляет бланк лицензии по установленной форме и представляет его на подпись руководителю ФСФР России, при представлении документа, указанного в пункте 46.4 настоящего Административного регламента, осуществляет его аннулирование путем проставления на нем штампа установленной формы "Лицензия утратила силу", а также обеспечивает его хранение на срок, установленный номенклатурой дел Управления;

в) подготавливает в соответствии с приложением N 19 к настоящему Административному регламенту уведомление о переоформлении документа, подтверждающего наличие лицензии, с приложением бланка лицензии, которые направляются в УД для регистрации и отправки (вручения) лицензиату, а также снятия копии и заверения копии печатью УД;

г) направляет все документы, поступившие и составленные при осуществлении административной процедуры, в лицензионные дела лицензиатов и обеспечивает их хранение на срок, установленный номенклатурой дел Управления.

91. УД осуществляет снятие с контроля заявлений о переоформлении лицензии на основании уведомлений, указанных в пунктах 88 и 90 настоящего Административного регламента.

92. Алгоритм проводимых ФСФР России мероприятий, связанных с исполнением государственной функции по переоформлению документа, подтверждающего наличие лицензии, представлен блок-схемой N 2 "Переоформление лицензии", содержащейся в приложении 11 к настоящему Административному регламенту.

Выдача дубликата лицензии

93. Заявитель, являющийся лицензиатом, в случае утраты документа, подтверждающего наличие лицензии, представляет в ФСФР России заявление о выдаче дубликата лицензии. Указанное заявление направляется лицензиатом на адрес центрального аппарата ФСФР России или передается в экспедицию центрального аппарата ФСФР России.

94. Для осуществления административной процедуры в центральном аппарате ФСФР России:

94.1. Структурными подразделениями, ответственными за выдачу дубликата лицензии, являются Отделы в составе Управления.

94.2. Структурным подразделением, ответственным за прием, регистрацию (присвоение входящего регистрационного номера) и отправку документов (присвоение исходящего регистрационного номера), связанных с осуществлением административной процедуры, является УД.

95. Ответственный исполнитель Отдела в срок не позднее 5 рабочих дней с даты присвоения УД входящего регистрационного номера заявлению на выдачу дубликата лицензии осуществляет подготовку:

заключения о выдаче дубликата лицензии;

проекта приказа ФСФР России о выдаче дубликата лицензии.

96. Заключения и проекты приказов оформляются ответственным исполнителем Отдела и передаются им в установленном порядке в структурное подразделение УД по организации совещаний у руководителя ФСФР России для рассмотрения руководителем ФСФР России. Заключения подписывает начальник Управления, а проекты приказов визируются до их рассмотрения на совещании у руководителя ответственным исполнителем Отдела, начальником Отдела, начальником управления, начальником Правового управления, начальником УД.

Руководитель ФСФР России принимает решение по представленным ему проектам приказов в соответствии с Регламентом ФСФР России.

97. Ответственный исполнитель Отдела в течение 2 рабочих дней с даты присвоения в УД регистрационного номера приказу ФСФР России о переоформлении документа, подтверждающего наличие лицензии:

а) оформляет бланк лицензии по установленной форме и представляет его на подпись руководителю ФСФР России, при этом проставляет отметку "ДУБЛИКАТ" на лицевой стороне бланка лицензии;

б) подготавливает в соответствии с приложением N 20 к настоящему Административному регламенту уведомления о выдаче дубликата лицензии с приложением бланка лицензии, которые направляются в УД для регистрации и отправки (вручения) лицензиату;

в) направляет все документы, поступившие и составленные при осуществлении административной процедуры, в лицензионные дела лицензиатов и обеспечивает их хранение на срок, установленный номенклатурой дел Управления.

98. УД осуществляет снятие с контроля заявления о выдаче дубликата лицензии на основании уведомления о выдаче дубликата лицензии.

99. Алгоритм проводимых ФСФР России мероприятий, связанных с исполнением государственной функции по выдаче дубликата лицензии, представлен блок-схемой N 3 "Выдача дубликата лицензии", содержащейся в приложении 12 к настоящему Административному регламенту.

Аннулирование лицензии в связи с поступлением от лицензиата заявления об отказе от лицензии

100. Заявитель, являющийся лицензиатом, в случае возникновения намерения прекратить осуществление лицензируемого вида деятельности представляет в ФСФР России заявление об отказе от лицензии с приложением комплекта документов, определенных настоящим Административным регламентом. Указанные документы направляются лицензиатом на адрес центрального аппарата ФСФР России или передаются в экспедицию центрального аппарата ФСФР России.

101. Для осуществления административной процедуры в центральном аппарате ФСФР России:

101.1. Структурными подразделениями, ответственными за аннулирование лицензии в связи с поступлением заявления об отказе от лицензии, являются Отделы в составе Управления.

101.2. Структурным подразделением, ответственным за прием, регистрацию (присвоение входящего регистрационного номера) и отправку документов (присвоение исходящего регистрационного номера), связанных с осуществлением административной процедуры, является УД.

102. Документы, которым присвоен входящий регистрационный номер УД, поступают в соответствующий Отдел на рассмотрение, в котором начальником Отдела назначается ответственный исполнитель Отдела.

103. Ответственный исполнитель Отдела в срок не позднее 3 рабочих дней с даты присвоения УД входящего регистрационного номера заявлению об отказе от лицензии осуществляет проверку соблюдения лицензиатом требований к оформлению заявления и к оформлению документов, прилагаемых к заявлению, а также проверку отсутствия у лицензиата (управляющей компании, специализированного депозитария и негосударственного пенсионного фонда) обязательств по договорам, заключенным при осуществлении деятельности на основании соответствующей лицензии. Указанная проверка осуществляется путем направления по почте и по факсу запроса лицензиату, а также лицам, с которыми у него имелись (имеются) договорные отношения. При этом течение срока, указанного в пункте 27 настоящего Административного регламента, не приостанавливается.

104. Ответственный исполнитель Отдела в срок не позднее 25 рабочих дней с даты присвоения УД входящего регистрационного номера заявлению об отказе от лицензии, в случае соответствия представленных документов установленным требованиям, осуществляет подготовку:

заключения об аннулировании лицензии, с указанием сведений, приведенных в заявлении лицензиата об отказе от лицензии, и с указанием на отсутствие обязательств по договорам, заключенным при осуществлении деятельности на основании лицензии (только в отношении управляющей компании, специализированного депозитария и негосударственного пенсионного фонда);

проекта приказа ФСФР России об аннулировании лицензии в связи с поступлением заявления об отказе от лицензии.

105. Заключения и проекты приказов оформляются ответственным исполнителем Отдела и передаются им в установленном порядке в структурное подразделение УД по организации совещаний у руководителя ФСФР России для рассмотрения руководителем ФСФР России. Заключения подписывает начальник Управления, а проекты приказов визируются до их рассмотрения на совещании у руководителя ответственным исполнителем Отдела, начальником Отдела, начальником управления, начальником Правового управления, начальником УД.

Руководитель ФСФР России принимает решение по представленным ему проектам приказов в соответствии с Регламентом ФСФР России.

106. Ответственный исполнитель Отдела в течение следующего дня с даты присвоения в УД регистрационного номера приказу ФСФР России об аннулировании лицензии в связи с поступлением заявления об отказе от лицензии:

а) вносит соответствующие изменения в сведения о лицензиате в реестры соответствующих лицензий;

б) при представлении документа, указанного в пункте 48.2 настоящего Административного регламента, осуществляет его аннулирование путем проставления на нем штампа установленной формы "Лицензия утратила силу", а также обеспечивает его хранение на срок, установленный номенклатурой дел Управления;

в) подготавливает в соответствии с приложением N 21 к настоящему Административному регламенту уведомление об аннулировании лицензии, с приложением копии соответствующего приказа ФСФР России, заверенной оттиском печати УД, которые направляются в УД для регистрации и отправки (вручения) лицензиату посредством фельдъегерской связи (заказного почтового отправления с уведомлением о вручении) и посредством факсимильной связи (электронного сообщения);

г) подготавливает уведомления об аннулировании лицензии управляющей компании или специализированного депозитария с приложением копии соответствующего приказа ФСФР России, заверенной оттиском печати УД, которые направляются в УД для регистрации и отправки (вручения) лицам, доверительное управление имуществом которых осуществляет указанная управляющая компания, за исключением владельцев инвестиционных паев паевых инвестиционных фондов, или лицам, с которыми у специализированного депозитария заключены договоры на основании лицензии специализированного депозитария;

д) направляет все документы, поступившие и составленные при осуществлении административной процедуры, в лицензионные дела лицензиатов и обеспечивает их хранение на срок, установленный номенклатурой дел Управления.

107. Ответственный исполнитель Отдела в течение 3 рабочих дней с даты присвоения в УД регистрационного номера приказу ФСФР России об отказе от аннулирования лицензии:

а) подготавливает в соответствии с приложением N 22 к настоящему Административному регламенту уведомление об отказе от аннулирования лицензии с приложением заверенной оттиском печати УД копии приказа ФСФР России об отказе от аннулирования лицензии, которые направляются в УД для регистрации и отправки (вручения) лицензиату;

б) обеспечивает хранение поступивших в ФСФР России документов, по которым принято решение об отказе от лицензии, на срок, установленный номенклатурой дел Управления.

108. УД осуществляет снятие с контроля заявления об отказе от лицензии на основании уведомления об аннулировании лицензии/уведомления об отказе от аннулирования лицензии, направленного лицензиату.

108.1. Алгоритм проводимых ФСФР России мероприятий, связанных с исполнением государственной функции по аннулированию лицензии в связи с поступлением заявления об отказе от лицензии, представлен блок-схемой N 4 "Аннулирование лицензии в связи с отказом лицензиата", содержащейся в приложении 13 к настоящему Административному регламенту.

Аннулирование лицензии в связи с наличием оснований, установленных законодательством Российской Федерации

109. Подготовка решения об аннулировании лицензии в связи с наличием оснований, установленных пунктом 1 статьи 61.2 Закона об инвестиционных фондах или пунктом 1 статьи 7.2 Закона о пенсионных фондах, а также основания, установленного пунктом 9 статьи 8 Закона N 334-ФЗ, осуществляется ответственными исполнителями Отделов в составе Управления на основании документов, подтверждающих наличие основания для аннулирования лицензии, а также в случае представления в Управление служебной записки структурных подразделений ФСФР России, осуществляющих надзорные мероприятия или мониторинг финансовой отчетности лицензиатов, или представления территориального органа ФСФР России об аннулировании лицензии с приложением необходимых документов.

110. В течение 5 рабочих дней с даты получения Управлением документов, указанных в пункте 109 настоящего Административного регламента, ответственный исполнитель Отдела направляет заключение об обоснованности (необоснованности) фактов и сведений, содержащихся в этих документах, подписанное заместителем руководителя ФСФР России, курирующим Управление, в соответствующее структурное подразделение ФСФР России (территориальный орган).

111. Наличие оснований для аннулирования лицензии организации подтверждается следующими документами:

а) актами проверок деятельности лицензиатов;

б) предписаниями ФСФР России об устранении нарушений требований федеральных законов или принятых в соответствии с ними нормативных правовых актов Российской Федерации с приложением уведомлений о вручении почтовых отправлений;

в) отчетами, уведомлениями и иными документами, направленными (составленными) в ФСФР России;

г) приказом ФСФР России об аннулировании у специализированного депозитария лицензии профессионального участника рынка ценных бумаг на осуществление депозитарной деятельности.

112. Ответственный исполнитель Отдела в течение не более 25 дней с даты направления в соответствующее структурное подразделение ФСФР России или в территориальный орган ФСФР России заключения об обоснованности (необоснованности) фактов и сведений, содержащихся в представленных в Управление документах, осуществляет подготовку:

заключения об аннулировании лицензии с указанием оснований для аннулирования лицензии;

проекта приказа ФСФР России с указанием оснований для аннулирования лицензии.

113. Заключения и проекты приказов оформляются ответственным исполнителем Отдела и передаются им в установленном порядке в структурное подразделение УД по организации совещаний у руководителя ФСФР России для рассмотрения руководителем ФСФР России. Заключения подписывает начальник Управления, а проекты приказов визируются до их рассмотрения на совещании у руководителя ответственным исполнителем Отдела, начальником Отдела, начальником управления, начальником Правового управления, начальником УД.

Руководитель ФСФР России принимает решение по представленным ему заключениям и проектам приказов в соответствии с Регламентом ФСФР России.

114. В случае принятия руководителем ФСФР России решения об аннулировании лицензии ответственный исполнитель Отдела осуществляет мероприятия, предусмотренные подпунктами "а", "в" - "д" пункта 106 настоящего Административного регламента.

В случаях, установленных законодательством Российской Федерации, Управление подготавливает проект приказа ФСФР России о введении в организацию, у которой аннулирована лицензия, временной администрации.

115. Ответственный исполнитель Отдела вправе подготовить запрос в адрес лицензиата за подписью заместителя руководителя ФСФР России, курирующего Управление, с требованием предоставить в центральный аппарат ФСФР России документ, подтверждающий наличие лицензии, для проставления на нем штампа установленной формы "Лицензия недействительна".

116. УД осуществляет снятие с контроля документов, перечисленных в пункте 109 настоящего Административного регламента, на основании уведомления об аннулировании лицензии, направленного лицензиату.

117. Алгоритм проводимых ФСФР России мероприятий, связанных с исполнением государственной функции по переоформлению документа, подтверждающего наличие лицензии, представлен блок-схемой N 5 "Аннулирование лицензии в связи с выявлением нарушения", содержащейся в приложении 14 к настоящему Административному регламенту.

Порядок ведения реестра лицензий. Выдача выписок из реестра лицензий

118. Ответственные исполнители Отделов ведут реестры выданных лицензий на осуществление деятельности инвестиционных фондов, деятельности управляющих компаний, деятельности специализированных депозитариев и деятельности негосударственных пенсионных фондов по пенсионному обеспечению и пенсионному страхованию с использованием электронных баз данных.

119. Включение сведений в реестр лицензий, изменение сведений, включенных в реестр лицензий, и исключение сведений из реестра лицензий осуществляются на основании решений ФСФР России о предоставлении лицензии, о переоформлении документа, подтверждающего наличие лицензии, об аннулировании лицензии, а также на основании уведомлений лицензиатов об изменении соответствующих сведений.

120. Лицензиаты обязаны уведомлять ФСФР России об изменении сведений, включенных в реестр лицензий, с приложением документов, подтверждающих изменения (или их копий), в течение 3 рабочих дней с даты получения или составления таких документов.

121. В реестр лицензий включаются следующие сведения:

полное и (если имеется) сокращенное наименование лицензиата на русском языке;

номер лицензии;

дата принятия решения о предоставлении лицензии;

срок действия лицензии;

лицензируемый вид деятельности;

место нахождения лицензиата;

основной государственный регистрационный номер, дата внесения в Единый государственный реестр юридических лиц записи о создании юридического лица, серия и номер документа, подтверждающего факт внесения такой записи, наименование регистрирующего органа, регистрационный номер (для юридических лиц, зарегистрированных до 1 июля 2002 года), дата регистрации, наименование органа, зарегистрировавшего юридическое лицо;

идентификационный номер налогоплательщика, код причины и дата постановки на учет в налоговом органе;

адрес (адреса) мест осуществления лицензируемого вида деятельности;

адрес для направления почтовой корреспонденции;

номера контактных телефонов, факсов;

адрес сайта лицензиата в сети Интернет, а также адреса электронной почты (при наличии);

сведения о лице, имеющем право действовать от имени лицензиата без доверенности (фамилия, имя, отчество в соответствии с документом, удостоверяющим личность, а также, если указанный документ составлен на иностранном языке, на русском языке, дата и место рождения, гражданство (подданство) либо указание на его отсутствие, пол, наименование документа, удостоверяющего личность, дата его выдачи, наименование органа, выдавшего указанный документ, и (если имеется) дата истечения срока действия документа, а также наименование должности);

дата и номер решения ФСФР России о предоставлении лицензии, о переоформлении документа, подтверждающего наличие лицензии, об аннулировании лицензии, а также основания для переоформления документа, подтверждающего наличие лицензии, или аннулирования лицензии, указанные в решении ФСФР России.

122. В реестр лицензий на осуществление деятельности негосударственных пенсионных фондов по пенсионному обеспечению и пенсионному страхованию, помимо сведений, предусмотренных пунктом 121 настоящего Административного регламента, включаются сведения о главном бухгалтере лицензиата (фамилия, имя, отчество, дата и место рождения, наименование документа, удостоверяющего личность, дата его выдачи, наименование органа, выдавшего указанный документ).

123. Сведения, включаемые в реестры лицензий, должны быть размещены в сети Интернет на официальном сайте ФСФР России.

124. Выписки из соответствующего реестра лицензий при поступлении в ФСФР России заявления о выдаче выписки из реестра лицензий выдаются в следующем порядке:

а) ответственные исполнители Отделов в срок не позднее 2 рабочих дней с даты присвоения УД входящего регистрационного номера заявлению о выдаче выписки из реестра лицензий осуществляет проверку соблюдения лицензиатом требований к оформлению заявления;

б) ответственные исполнители Отделов в срок не позднее 2 рабочих дней с даты присвоения УД входящего регистрационного номера в случае представления неполных или недостоверных сведений осуществляет подготовку уведомления о возврате документов, представленных лицензиатом для выдачи выписки из реестра лицензий, с указанием на основания недопустимости осуществления административной процедуры или на представление неполных или недостоверных сведений;

в) ответственные исполнители Отделов не позднее 3 рабочих дней с даты присвоения УД входящего регистрационного номера заявлению о выдаче выписки из реестра лицензий осуществляют подготовку выписки о конкретном лицензиате, согласно приложению 15 к настоящему Административному регламенту, заверяют ее печатью с изображением Государственного герба Российской Федерации в УД.

125. УД осуществляет отправку выписки заявителю с уведомлением о вручении почтового отправления в течение одного рабочего дня и снимает документ с контроля.

126. Алгоритм проводимых ФСФР России мероприятий, связанных с выдачей выписки из реестра лицензий, представлен блок-схемой N 6 "Выдача выписки из реестра лицензий", содержащейся в приложении 16 к настоящему Административному регламенту.

IV. Порядок и формы контроля за исполнением государственной функции

127. Текущий контроль за соблюдением последовательности действий, определенных административными процедурами по исполнению государственной функции, и принятием решений ответственными исполнителями Отделов, начальниками Отделов, начальниками Управлений осуществляется заместителем руководителя, курирующим Управление в соответствии с распределением обязанностей, ответственным за организацию работы по исполнению государственной функции.

128. По результатам контроля осуществляется привлечение виновных лиц к ответственности в соответствии с законодательством Российской Федерации.

129. Периодичность осуществления текущего контроля устанавливается руководителем ФСФР России.

130. Проверки полноты и качества осуществления государственной функции организуются на основании приказов ФСФР России.

131. Периодичность проведения проверок может носить плановый характер (осуществляться на основании полугодовых или годовых планов работы) и внеплановый характер (по конкретному обращению заявителя).

132. Для проведения проверки полноты и качества исполнения государственной функции формируется комиссия, в состав которой включаются должностные лица ФСФР России.

133. Деятельность комиссии осуществляется в соответствии с приказами ФСФР России.

134. Результаты деятельности комиссии оформляются в виде акта, в котором отмечаются выявленные недостатки и предложения по их устранению.

135. Персональная ответственность должностных лиц ФСФР России закрепляется в их должностных регламентах в соответствии с требованиями законодательства Российской Федерации.

V. Порядок обжалования действий (бездействия) и решений, осуществляемых (принимаемых) в ходе исполнения государственной функции

136. В случае если соискатель лицензии или лицензиат (далее - заявитель) не согласен с результатами исполнения государственной функции, после получения уведомления о принятом решении он имеет право обратиться с жалобой лично или направить письменное обращение, жалобу (претензию) руководителю ФСФР России.

137. Обращения (жалобы) могут направляться на имя заместителя руководителя ФСФР России, курирующего Управление.

138. Письменное обращение (жалоба) заявителя в обязательном порядке должно содержать:

наименование органа, исполняющего государственную функцию, решение, действие (бездействие) которого обжалуется;

полное наименование юридического лица с указанием его организационно-правовой формы;

почтовый адрес, по которому должны быть направлены ответ или уведомление о переадресации обращения, о продлении срока рассмотрения;

суть (обстоятельства) обжалуемых действий (бездействия), решений, основания, по которым заявитель считает, что нарушены его права и законные интересы, созданы препятствия к их реализации либо незаконно возложена какая-либо обязанность;

подпись руководителя юридического лица, заверенную гербовой печатью юридического лица.

139. Если в письменном обращении заявителя содержатся вопросы, на которые ему ранее давались письменные ответы, и при этом в обращении не приводятся новые доводы или обстоятельства, руководитель ФСФР России либо уполномоченное на то должностное лицо вправе принять решение об оставлении обращения без рассмотрения, о чем заявитель уведомляется.

140. К обращению (жалобе) могут быть приложены копии документов, подтверждающих изложенные в нем обстоятельства. В таком случае в обращении (жалобе) приводится перечень прилагаемых к ней документов.

141. Если документы, имеющие существенное значение для рассмотрения обращения (жалобы), отсутствуют или не приложены к обращению, заявитель в пятидневный срок уведомляется (письменно, с использованием средств телефонной или факсимильной связи либо по электронной почте) о том, что рассмотрение обращения (жалобы) и принятие решения будут осуществляться без учета доводов, в подтверждение которых документы не представлены.

142. Ответ на обращение заявителя не дается, если в письменном обращении отсутствует наименование юридического лица, почтовый адрес, по которому ему должен быть направлен ответ.

143. Обращение, в котором обжалуется судебное решение, возвращается заявителю, направившему обращение, с разъяснением порядка обжалования данного судебного решения.

144. ФСФР России при получении письменного обращения, в котором содержатся нецензурные либо оскорбительные выражения, угрозы жизни, здоровью и имуществу должностных лиц ФСФР России, а также членов их семей, вправе оставить обращение без ответа по существу поставленных в нем вопросов и сообщить заявителю, направившему обращение, о недопустимости злоупотребления правом.

145. В случае если текст письменного обращения не поддается прочтению, ответ на обращение не дается.

147. Начальник Управления определяет ответственное должностное лицо для рассмотрения обращения (жалобы).

В электронном документе нумерация пунктов соответствует официальному источнику.

В случае если обращение (жалоба) направлена на действия (бездействие) должностного лица, участвовавшего в подготовке документов для принятия решения руководителем ФСФР России либо на совершение административного действия должностного лица, то такое должностное лицо не может быть назначено ответственным за рассмотрение обращения (жалобы).

148. По результатам рассмотрения обращения (жалобы) ответственное должностное лицо, определенное в соответствии с пунктом 147, проводит подготовку заключения. Заключение в обязательном порядке должно содержать вывод о соответствии обжалуемого решения законодательству Российской Федерации и перечень нормативных правовых актов, на основании которых сделан указанный вывод.

149. Руководителем ФСФР России для подготовки заключения может быть принято решение о создании экспертной комиссии из должностных лиц ФСФР России. Решение экспертной комиссии оформляется протоколом.

150. Руководитель ФСФР России на основании заключения принимает решение об изменении первоначального решения или об отказе в его изменении.

Уведомление о принятом решении может быть изложено заявителю:

при личном обращении;

по почте письмом, подписанным заместителем руководителя, курирующим Управление;

или по почте письмом, подписанным руководителем ФСФР России, с приложением копии протокола заседания экспертной комиссии.

151. Заявление об обжаловании действий (бездействия) и решений, осуществляемых (принимаемых) в ходе исполнения государственной функции, рассматривается ФСФР России в течение 30 дней с момента его получения.

152. В случае если по обращению требуется провести экспертизы, служебные проверки или расследования, срок рассмотрения жалобы может быть продлен, но не более чем на 30 дней, по решению руководителя ФСФР России или уполномоченного им лица. О продлении срока рассмотрения жалобы заявитель уведомляется письменно с указанием причин продления.

153. Заявитель имеет право на любой стадии рассмотрения спорных вопросов обратиться в суд. В случае несогласия с результатами обжалования заявитель может обратиться в установленном действующим законодательством порядке в суд.

154. При принятии руководителем ФСФР России решения об аннулировании лицензии в связи с выявленными нарушениями законодательства Российской Федерации об инвестиционных или о пенсионных фондах заявитель вправе обжаловать это решение в установленном действующим законодательством порядке в суд.

Приложение 1
к Административному регламенту
по исполнению Федеральной службой
по финансовым рынкам государственной
функции по лицензированию деятельности
инвестиционных фондов, деятельности
по управлению инвестиционными фондами,
паевыми инвестиционными фондами
и негосударственными пенсионными
фондами, деятельности специализированных
депозитариев инвестиционных фондов,
паевых инвестиционных фондов
и негосударственных пенсионных фондов,
а также деятельности по пенсионному
обеспечению и пенсионному страхованию

ФОРМА
ЗАЯВЛЕНИЯ О ПРЕДОСТАВЛЕНИИ ЛИЦЕНЗИИ
     
                                                Федеральная служба
                                              по финансовым рынкам
 
Исх. N _______________
от "__" ______________
 
                           ЗАЯВЛЕНИЕ
     о предоставлении лицензии на осуществление деятельности
 
__________________________________________________________________
    (полное наименование соискателя лицензии на русском языке)
__________________________________________________________________
 (сокращенное наименование соискателя лицензии на русском языке,
                           если имеется)
__________________________________________________________________
      (организационно-правовая форма соискателя лицензии)
__________________________________________________________________
           (место нахождения соискателя лицензии)
__________________________________________________________________
 (основной   государственный   регистрационный   номер  соискателя
лицензии,дата внесения в Единый государственный реестр юридических
лиц  записи о создании юридического лица, серия и номер документа,
подтверждающего   факт   внесения   такой   записи,   наименование
регистрирующего  органа,  регистрационный  номер  (для юридических
лиц,  зарегистрированных  до  1 июля 2002 года), дата регистрации,
    наименование органа, зарегистрировавшего юридическое лицо)
__________________________________________________________________
(идентификационный  номер  налогоплательщика  соискателя лицензии,
    код причины и дата постановки на учет в налоговом органе)
__________________________________________________________________
 (сведения  о  лице, имеющем право действовать от имени соискателя
лицензии без доверенности (фамилия, имя, отчество в соответствии с
документом,  удостоверяющим  личность,  а  также,  если  указанный
документ  составлен на иностранном языке, на русском языке, дата и
место  рождения,  гражданство(подданство)  либо  указание  на  его
отсутствие, пол, наименование документа, удостоверяющего личность,
дата   его   выдачи,   наименование   органа,  выдавшего указанный
документ,   и   (если   имеется)   дата   истечения срока действия
          документа, а также наименование должности);
__________________________________________________________________
(сведения  о главном бухгалтере соискателя лицензии (фамилия, имя,
отчество,   дата   и   место   рождения,   наименование документа,
удостоверяющего  личность,  дата  его выдачи, наименование органа,
выдавшего  указанный документ)) - заполняется соискателем лицензии
на осуществление деятельности негосударственного пенсионного фонда
      по пенсионному обеспечению и пенсионному страхованию)
__________________________________________________________________
 (адреса  мест  осуществления  лицензируемого вида  деятельности,
         который намерен осуществлять соискатель лицензии)
__________________________________________________________________
(адрес для направления почтовой корреспонденции, контактные номера
телефона  и  факсов  соискателя  лицензии,  адрес сайта соискателя
лицензии  в  сети  Интернет, а также адреса электронной почты (при
                               наличии))
 
просит предоставить лицензию на осуществление деятельности:
__________________________________________________________________
 (указывается  наименование  вида  деятельности,  который  намерен
                осуществлять соискатель лицензии)
 
Приложение:
 
N документа 
Наименование 
документа
Количество 
листов
документа
Количество экземпляров 
1 
2 
3 
4 
 
 
 
 
 
Наименование  должности
лица,   осуществляющего
функции    единоличного
исполнительного органа,
или       председателя
коллегиального
исполнительного  органа
соискателя лицензии          Личная подпись    Расшифровка подписи
 
М.П.
 
 

Приложение 2
к Административному регламенту
по исполнению Федеральной службой
по финансовым рынкам государственной
функции по лицензированию деятельности
инвестиционных фондов, деятельности
по управлению инвестиционными фондами,
паевыми инвестиционными фондами
и негосударственными пенсионными
фондами, деятельности специализированных
депозитариев инвестиционных фондов,
паевых инвестиционных фондов
и негосударственных пенсионных фондов,
а также деятельности по пенсионному
обеспечению и пенсионному страхованию

СВЕДЕНИЯ
О ЛИЦЕ, ОСУЩЕСТВЛЯЮЩЕМ ФУНКЦИИ ЕДИНОЛИЧНОГО ИСПОЛНИТЕЛЬНОГО ОРГАНА (РУКОВОДИТЕЛЕ ОТДЕЛЬНОГО СТРУКТУРНОГО ПОДРАЗДЕЛЕНИЯ, ОСУЩЕСТВЛЯЮЩЕГО ДЕЯТЕЛЬНОСТЬ СПЕЦИАЛИЗИРОВАННОГО ДЕПОЗИТАРИЯ), ЧЛЕНАХ СОВЕТА ДИРЕКТОРОВ (НАБЛЮДАТЕЛЬНОГО СОВЕТА), ЧЛЕНАХ КОЛЛЕГИАЛЬНОГО ИСПОЛНИТЕЛЬНОГО ОРГАНА СОИСКАТЕЛЯ ЛИЦЕНЗИИ НА ОСУЩЕСТВЛЕНИЕ ДЕЯТЕЛЬНОСТИ ИНВЕСТИЦИОННЫХ ФОНДОВ, ДЕЯТЕЛЬНОСТИ ПО УПРАВЛЕНИЮ ИНВЕСТИЦИОННЫМИ ФОНДАМИ, ПАЕВЫМИ ИНВЕСТИЦИОННЫМИ ФОНДАМИ И НЕГОСУДАРСТВЕННЫМИ ПЕНСИОННЫМИ ФОНДАМИ ИЛИ НА ОСУЩЕСТВЛЕНИЕ ДЕЯТЕЛЬНОСТИ СПЕЦИАЛИЗИРОВАННОГО ДЕПОЗИТАРИЯ ИНВЕСТИЦИОННЫХ ФОНДОВ, ПАЕВЫХ ИНВЕСТИЦИОННЫХ ФОНДОВ И НЕГОСУДАРСТВЕННЫХ ПЕНСИОННЫХ ФОНДОВ

"__" _____________

(дата составления)

(полное наименование соискателя лицензии)

1. Фамилия, имя и (если имеется) отчество (указываются в соответствии с документом, удостоверяющим личность, а также, если указанный документ составлен на иностранном языке, на русском языке)
2. Дата и место рождения  
3. Пол  
4. Гражданство (подданство) либо указание на его отсутствие  
5. Наименование и реквизиты документа, удостоверяющего личность (указываются наименование документа, дата его выдачи, наименование органа, выдавшего документ, и (если имеется) дата истечения срока действия документа)
6. Адрес постоянного места жительства или преимущественного пребывания  
7. Сведения о всех управляющих компаниях, специализированных депозитариях, акционерных инвестиционных фондах, профессиональных участниках рынка ценных бумаг, кредитных организациях, страховых организациях, негосударственных пенсионных фондах (далее - финансовая организация), в которых физическое лицо осуществляет функции единоличного исполнительного органа или является членом коллегиального исполнительного органа по состоянию на дату представления настоящих Сведений либо осуществляло указанные функции или являлось членом указанного органа в течение последних 5 лет, предшествующих дате составления настоящих Сведений (указываются полное наименование, организационно-правовая форма, место нахождения, сведения о лицензии на осуществление деятельности финансовой организации (наименование лицензируемого вида деятельности, номер и дата предоставления (выдачи) лицензии, наименование органа, выдавшего лицензию, дата окончания срока действия лицензии или указание на бессрочный характер лицензии), наименование должности, которую занимает или занимало физическое лицо, срок ее занятия)
8. Сведения о фактах аннулирования за последние 3 года, предшествующие дате составления настоящих Сведений, лицензии у финансовых организаций, в которых лицо осуществляет (осуществляло) функции единоличного исполнительного органа или является (являлось) членом коллегиального исполнительного органа (указываются сведения, предусмотренные пунктом 7 настоящих Сведений, о финансовой организации, у которой была аннулирована лицензия, а также дата аннулирования лицензии, основание ее аннулирования, дата совершения нарушения, за которое аннулирована лицензия; в случае отсутствия фактов аннулирования лицензии указывается на это обстоятельство)
9. Сведения об истечении срока, в течение которого физическое лицо считается подвергнутым административному наказанию в виде дисквалификации (в случае если на дату составления настоящих Сведений не истек срок, в течение которого физическое лицо считается подвергнутым административному наказанию в виде дисквалификации, указываются: должность, фамилия, имя, отчество судьи, назначившего административное наказание в виде дисквалификации, дата и место рассмотрения дела об административном правонарушении, статья Кодекса Российской Федерации об административных правонарушениях или закона субъекта Российской Федерации, предусматривающая административную ответственность за совершение административного правонарушения, срок, на который установлена дисквалификация; в противном случае указывается на то, что физическое лицо не является подвергнутым административному наказанию в виде дисквалификации)
10. Сведения о судимости за умышленные преступления (указываются дата и место постановления приговора, содержащего решение о признании лица виновным в совершении умышленного преступления, наименование суда, постановившего приговор, пункт, часть и статья Уголовного кодекса Российской Федерации, предусматривающие ответственность за умышленное преступление, в совершении которого лицо признано виновным; в случае отсутствия судимости указывается на это обстоятельство)
11. Сведения о высшем профессиональном образовании (указываются наименование высшего учебного заведения, год окончания высшего учебного заведения, специальность и квалификация в соответствии с документом, подтверждающим окончание высшего учебного заведения)
12. Сведения о соответствии установленным федеральным органом исполнительной власти по рынку ценных бумаг требованиям к квалификации (указываются дата и номер решения о присвоении квалификации и выдаче квалификационного аттестата и название органа (организации), принявшего такое решение, наименование специализации в области финансового рынка, серия и номер бланка квалификационного аттестата)
13. Сведения о соответствии лица, осуществляющего функции единоличного исполнительного органа, установленным федеральным органом исполнительной власти по рынку ценных бумаг требованиям к профессиональному опыту (указывается срок работы в должности руководителя отдела или иного структурного подразделения организации, осуществляющей деятельность на финансовом рынке, саморегулируемой организации, объединяющей организации, осуществляющие деятельность на рынке ценных бумаг и коллективных инвестиций, Федеральной комиссии по рынку ценных бумаг, Федеральной службы по финансовым рынкам, их территориальных органов, Министерства финансов Российской Федерации, финансовых органов субъектов Российской Федерации, Центрального банка Российской Федерации, в должностные обязанности которого входило принятие (подготовка) решений по вопросам, непосредственно связанным со специализацией в области финансового рынка)

Полноту и достоверность представленных сведений подтверждаю.

Наименование должности лица, осуществляющего функции единоличного исполнительного органа соискателя лицензии      
  Личная подпись   Расшифровка подписи
М.П.      
       

СВЕДЕНИЯ
О ЛИЦЕ, ОСУЩЕСТВЛЯЮЩЕМ ФУНКЦИИ ЕДИНОЛИЧНОГО ИСПОЛНИТЕЛЬНОГО ОРГАНА, ЧЛЕНАХ КОЛЛЕГИАЛЬНОГО ИСПОЛНИТЕЛЬНОГО ОРГАНА (В СЛУЧАЕ ЕГО СОЗДАНИЯ), ГЛАВНОМ БУХГАЛТЕРЕ, КОНТРОЛЕРЕ ИЛИ РУКОВОДИТЕЛЕ И СОТРУДНИКАХ СЛУЖБЫ ВНУТРЕННЕГО КОНТРОЛЯ СОИСКАТЕЛЯ ЛИЦЕНЗИИ НА ОСУЩЕСТВЛЕНИЕ ДЕЯТЕЛЬНОСТИ НЕГОСУДАРСТВЕННЫХ ПЕНСИОННЫХ ФОНДОВ ПО ПЕНСИОННОМУ ОБЕСПЕЧЕНИЮ И ПЕНСИОННОМУ СТРАХОВАНИЮ

"__" _____________

(дата составления)

(полное наименование соискателя лицензии)
1. Фамилия, имя и (если имеется) отчество (указываются в соответствии с документом, удостоверяющим личность, а также, если указанный документ составлен на иностранном языке, на русском языке)
2. Дата и место рождения  
3. Пол  
4. Гражданство (подданство) либо указание на его отсутствие  
5. Наименование и реквизиты документа, удостоверяющего личность (указываются наименование документа, дата его выдачи, наименование органа, выдавшего документ, и (если имеется) дата истечения срока действия документа)
6. Адрес постоянного места жительства или преимущественного пребывания  
7. Сведения о всех управляющих компаниях, специализированных депозитариях, акционерных инвестиционных фондах, профессиональных участниках рынка ценных бумаг, кредитных организациях, страховых организациях, негосударственных пенсионных фондах (далее - финансовая организация), в которых физическое лицо осуществляет функции единоличного исполнительного органа или является членом коллегиального исполнительного органа по состоянию на дату представления настоящих Сведений либо осуществляло указанные функции или являлось членом указанного органа в течение последних 5 лет, предшествующих дате составления настоящих Сведений (указываются полное наименование, организационно-правовая форма, место нахождения, сведения о лицензии на осуществление деятельности финансовой организации (наименование лицензируемого вида деятельности, номер и дата предоставления (выдачи) лицензии, наименование органа, выдавшего лицензию, дата окончания срока действия лицензии или указание на бессрочный характер лицензии), наименование должности, которую занимает или занимало физическое лицо, срок ее занятия)
8. Сведения о фактах аннулирования за последние 3 года, предшествующие дате составления настоящих Сведений, лицензии у финансовых организаций, в которых лицо осуществляет (осуществляло) функции единоличного исполнительного органа или является (являлось) членом коллегиального исполнительного органа (указываются сведения, предусмотренные пунктом 7 настоящих Сведений, о финансовой организации, у которой была аннулирована лицензия, а также дата аннулирования лицензии, основание ее аннулирования, дата совершения нарушения, за которое аннулирована лицензия; в случае отсутствия фактов аннулирования лицензии указывается на это обстоятельство)
9. Сведения об истечении срока, в течение которого физическое лицо считается подвергнутым административному наказанию в виде дисквалификации (в случае если на дату составления настоящих Сведений не истек срок, в течение которого физическое лицо считается подвергнутым административному наказанию в виде дисквалификации, указываются: должность, фамилия, имя, отчество судьи, назначившего административное наказание в виде дисквалификации, дата и место рассмотрения дела об административном правонарушении, статья Кодекса Российской Федерации об административных правонарушениях или закона субъекта Российской Федерации, предусматривающая административную ответственность за совершение административного правонарушения, срок, на который установлена дисквалификация; в противном случае указывается на то, что физическое лицо не является подвергнутым административному наказанию в виде дисквалификации)
10. Сведения о судимости за умышленные преступления (указываются дата и место постановления приговора, содержащего решение о признании лица виновным в совершении умышленного преступления, наименование суда, постановившего приговор, пункт, часть и статья Уголовного кодекса Российской Федерации, предусматривающие ответственность за умышленное преступление, в совершении которого лицо признано виновным; в случае отсутствия судимости указывается на это обстоятельство)
11. Сведения о высшем профессиональном образовании (заполняется в отношении лица, осуществляющего функции единоличного исполнительного органа, главного бухгалтера, контролера или руководителя службы внутреннего контроля соискателя лицензии) (указываются наименование высшего учебного заведения, год окончания высшего учебного заведения, специальность и квалификация в соответствии с документом, подтверждающим наличие высшего профессионального образования)
12. Сведения о специальной профессиональной подготовке (заполняется в отношении лица, осуществляющего функции единоличного исполнительного органа, не имеющего высшего юридического или финансовоэкономического образования) (указываются наименование организации, проводившей специальную профессиональную подготовку, дата выдачи и номер документа, подтверждающего прохождение специальной профессиональной подготовки)
13. Сведения об опыте работы (заполняется в отношении лица, осуществляющего функции единоличного исполнительного органа, и главного бухгалтера соискателя лицензии) (указываются наименования организаций, вид осуществляемой ими деятельности, наименования должностей, период занятия указанных должностей)

Полноту и достоверность представленных сведений подтверждаю.

Наименование должности лица, осуществляющего функции единоличного исполнительного органа соискателя лицензии      
  Личная подпись   Расшифровка подписи
М.П.      
       

Приложение 3
к Административному регламенту
по исполнению Федеральной службой
по финансовым рынкам государственной
функции по лицензированию деятельности
инвестиционных фондов, деятельности
по управлению инвестиционными фондами,
паевыми инвестиционными фондами
и негосударственными пенсионными
фондами, деятельности специализированных
депозитариев инвестиционных фондов,
паевых инвестиционных фондов
и негосударственных пенсионных фондов

РАСЧЕТ
РАЗМЕРА СОБСТВЕННЫХ СРЕДСТВ
НА __. __. ____ г.
_____________________________________________________
(полное фирменное наименование юридического лица)

СТОИМОСТЬ АКТИВОВ
Наименование показателя Код строки Стоимость (руб.) Коэффициент Стоимость, с учетом коэффициента (руб.)
1 2 3 4 5
Внеоборотные активы
Основные средства 010   1  
Незавершенное строительство 020   0,5  
Доходные вложения в материальные ценности 030   0,5  
Итого по строкам 010 - 030 040   X  
Программные средства (за вычетом амортизации)
Исключительные права на программы ЭВМ и базы данных (за вычетом амортизации) 050   0,2  
Программы ЭВМ и базы данных, на которые организация не имеет исключительных прав 060   0,2  
Итого по строкам 050 - 060 070   X  
Отложенные налоговые активы и налог на добавленную стоимость
Налог на добавленную стоимость по приобретенным ценностям, за исключением налога на добавленную стоимость по приобретенным ценностям по операциям с имуществом, составляющим закрытый инвестиционный фонд, под управлением организации 080   1  
Отложенные налоговые активы 090   1  
Итого по строкам 080 - 090 100      
Финансовые вложения
Ценные бумаги, включенные в котировальные списки российских фондовых бирж 110   1  
Ценные бумаги, допущенные к торгам российского организатора торговли на рынке ценных бумаг без прохождения процедуры листинга, за исключением ценных бумаг, предусмотренных в строке 140 120   1  
Ценные бумаги, не допущенные к торгам российского организатора торговли на рынке ценных бумаг, за исключением ценных бумаг, предусмотренных в строке 140 130   0,5  
Ценные бумаги аффилированных лиц, за исключением ценных бумаг, включенных в котировальные списки российских фондовых бирж и акций инфраструктурных организаций 140   0,1  
Доли организации в уставных (складочных) капиталах инфраструктурных организаций 150   0,5  
Займы, предоставленные организацией для приобретения ценных бумаг при их размещении, если организация оказывает эмитенту указанных ценных бумаг услуги по их размещению и (или) по организации их размещения 160   1  
Займы, предоставленные для приобретения ценных бумаг у лица, которому организация оказывает услуги по их продаже 170   1  
Займы, предоставленные по маржинальным сделкам 180   1  
Иные займы, предоставленные организацией 190   0,1  
Банковские вклады, за исключением банковских вкладов в кредитных организациях, аффилированных с организацией 200   1  
Банковские вклады в кредитных организациях, аффилированных с организацией 210   0,5  
Иностранные финансовые инструменты, квалифицированные в соответствии с законодательством Российской Федерации в качестве ценных бумаг, указанные в пункте 3.14 Положения 220   1  
Итого по строкам 110 - 220 230   X  
Дебиторская задолженность
Права (требования) по сделкам, совершенным за счет клиентов организации 240   1  
Задолженность контрагентов по поставке ценных бумаг, включенных в котировальные списки российской фондовой биржи, за исключением задолженности, предусмотренной в строке 240 250   1  
Задолженность контрагентов по поставке ценных бумаг, допущенных к торгам российского организатора торговли на рынке ценных бумаг без прохождения процедуры листинга, за исключением задолженности, предусмотренной в строках 240 и 280 260   1  
Задолженность контрагентов по поставке ценных бумаг, не допущенных к торгам российского организатора торговли на рынке ценных бумаг, за исключением задолженности, предусмотренной в строках 240 и 280 270   0,5  
Задолженность контрагентов по поставке ценных бумаг, выпущенных (выданных) лицом, аффилированным с организацией, за исключением задолженности, предусмотренной в строках 240 и 250 280   0,1  
Задолженность контрагентов по поставке иностранных финансовых инструментов, квалифицированных в соответствии с законодательством Российской Федерации в качестве ценных бумаг, за исключением задолженности, предусмотренной в строке 240 290   1  
Задолженность контрагентов по оплате ценных бумаг, переданных организацией по сделке с ценными бумагами, а также по перечислению денежных средств в счет сделки с иными финансовыми инструментами, за исключением задолженности, предусмотренной в строке 240 300   1  
Денежные средства, переданные брокерам по договорам на брокерское обслуживание 310   1  
Денежные средства организации, находящиеся в доверительном управлении 320   1  
Дебиторская задолженность по возврату клиринговыми организациями средств, переданных им в качестве обеспечения исполнения заключенных организацией сделок 330   1  
Дебиторская задолженность по возврату средств, переданных в качестве взносов в фонды, созданные клиринговой организацией, при условии, что возврат таких взносов предусмотрен документами клиринговой организации 340   1  
Займы, предоставленные по маржинальным сделкам 350   1  
Начисленное, но не удержанное вознаграждение по договору доверительного управления 360   1  
Задолженность, возникшая в результате использования организацией собственных денежных средств для выплаты денежной компенсации владельцам инвестиционных паев 370   1  
Начисленные, но не удержанные средства по возмещению необходимых расходов по договору доверительного управления 380   1  
Задолженность клиентов организации по депозитарным договорам, договорам по оплате услуг специализированного депозитария, по договорам на ведение реестра ипотечного покрытия 390   1  
Дебиторская задолженность по договорам на ведение реестра именных ценных бумаг, реестра владельцев инвестиционных паев, реестра владельцев ипотечных сертификатов участия 400   1  
Дебиторская задолженность по выплате вознаграждения организации по договору о брокерском обслуживании 410   1  
Задолженность клиентов организации по оплате ее услуг, связанных с организацией торговли, распространением информации о результатах торгов и обеспечением допуска к участию в торгах 420   1  
Задолженность клиентов организации по оплате ее услуг, связанных с осуществлением клиринговой деятельности 430   1  
Прочая дебиторская задолженность 440   0,1  
Итого по строкам 240 - 440 450   X  
Денежные средства
Денежные средства на счетах организации 460   1  
Суммарная стоимость активов (с учетом коэффициентов) (040 + 070 + 100 + 230 + 450 + 460)  
Стоимость активов с учетом требований пунктов 4.1 - 4.2 Положения  
СУММА ПАССИВОВ
Целевое финансирование, если условия договора целевого финансирования не исполнены организацией (для коммерческих организаций) 470   X  
Долгосрочные обязательства банкам и иным юридическим и физическим лицам 480   X  
Краткосрочные кредиты банков и займы юридических и физических лиц 490   X  
Кредиторская задолженность 500   X  
Доходы будущих периодов, за исключением средств, полученных организацией безвозмездно 510   X  
Резервы предстоящих расходов и платежей, а также резервы по сомнительным долгам 520   X  
Сумма поручительств, выданных организациям, за исключением выданных брокером поручительств, обеспечивающих исполнение обязательств по сделкам, совершенным на торгах организатора торговли на рынке ценных бумаг 530   X  
Сумма отложенных налоговых обязательств 540   X  
Сумма задолженности перед участниками (учредителями) по выплате доходов 550   X  
Прочие обязательства 560   X  
Итого по строкам: 470 - 560  
РАЗМЕР СОБСТВЕННЫХ СРЕДСТВ
Собственные средства  
/ Наименование должности лица, ответственного за ведение бухгалтерского учета организации     / Подпись /   / Расшифровка подписи /
  /
                     
/ Наименование должности руководителя организации /   / Подпись /   / Расшифровка подписи /
                     
  М.П.                  

Приложение 4
к Административному регламенту
по исполнению Федеральной службой
по финансовым рынкам государственной
функции по лицензированию деятельности
инвестиционных фондов, деятельности
по управлению инвестиционными фондами,
паевыми инвестиционными фондами
и негосударственными пенсионными
фондами, деятельности специализированных
депозитариев инвестиционных фондов,
паевых инвестиционных фондов
и негосударственных пенсионных фондов,
а также деятельности по пенсионному
обеспечению и пенсионному страхованию

СВЕДЕНИЯ
О ЮРИДИЧЕСКОМ ЛИЦЕ, СОЗДАННОМ В СООТВЕТСТВИИ С ЗАКОНОДАТЕЛЬСТВОМ РОССИЙСКОЙ ФЕДЕРАЦИИ И ЯВЛЯЮЩЕМСЯ, В ТОМ ЧИСЛЕ СОВМЕСТНО СО СВОИМИ ОСНОВНЫМИ И ДОЧЕРНИМИ ЛИБО ПРЕОБЛАДАЮЩИМИ И ЗАВИСИМЫМИ ЮРИДИЧЕСКИМИ ЛИЦАМИ, СОБСТВЕННИКОМ ИЛИ ДОВЕРИТЕЛЬНЫМ УПРАВЛЯЮЩИМ 5 И БОЛЕЕ ПРОЦЕНТОВ ОБЫКНОВЕННЫХ АКЦИЙ (ДОЛЕЙ) СОИСКАТЕЛЯ ЛИЦЕНЗИИ

"__" _____________

(дата составления)

(полное наименование соискателя лицензии)
1. Полное наименование (указывается в соответствии с учредительными документами)
2. Организационно-правовая форма  
3. Место нахождения  
4. Сведения о государственной регистрации (указываются основной государственный регистрационный номер, дата внесения в Единый государственный реестр юридических лиц записи о создании юридического лица, серия и номер документа, подтверждающего факт внесения такой записи, наименование регистрирующего органа, регистрационный номер (для юридических лиц, зарегистрированных до 1 июля 2002 года), дата регистрации, наименование органа, зарегистрировавшего юридическое лицо)
5. Сведения о постановке на учет в налоговом органе (указываются идентификационный номер налогоплательщика, код причины и дата постановки на учет в налоговом органе)
6. Сведения о лице, имеющем право действовать от имени юридического лица без доверенности (указываются фамилия, имя, отчество в соответствии с документом, удостоверяющим личность, а также, если указанный документ составлен на иностранном языке, на русском языке, дата и место рождения, гражданство (подданство) либо указание на его отсутствие, пол, наименование документа, удостоверяющего личность, дата его выдачи, наименование органа, выдавшего указанный документ, и (если имеется) дата истечения срока действия документа, а также наименование должности)
7. Сведения о каждом основном (дочернем) или преобладающем (зависимом) обществе, совместно с которыми юридическое лицо является собственником или доверительным управляющим 5 и более процентов обыкновенных акций (долей) соискателя лицензии (указываются полное наименование, доля обыкновенных акций (долей) соискателя лицензии (в процентах с точностью не менее чем до 2 знаков после запятой), находящихся в собственности или доверительном управлении, а также указывается, находятся ли обыкновенные акции (доли) в собственности или доверительном управлении)
8. Доля обыкновенных акций (долей) соискателя лицензии, которыми владеет (осуществляет доверительное управление) юридическое лицо единолично и совместно со своими основными (дочерними) и преобладающими (зависимыми) обществами (указывается доля обыкновенных акций (долей) соискателя лицензии (в процентах с точностью не менее чем до 2 знаков после запятой), а также указывается, находятся ли обыкновенные акции (доли) в собственности или доверительном управлении; в случае если обыкновенные акции (доли) находятся в доверительном управлении, указываются наименование и реквизиты документа, на основании которого осуществляется доверительное управление, срок осуществления доверительного управления)
9. Сведения о фактах аннулирования у юридического лица или его основного (преобладающего) общества лицензии на осуществление деятельности управляющей компании, специализированного депозитария, акционерного инвестиционного фонда, профессионального участника рынка ценных бумаг, кредитной организации, страховой организации, негосударственного пенсионного фонда (далее - финансовая организация) за совершение нарушения (указываются вид деятельности финансовой организации, лицензия на осуществление которого была аннулирована, дата аннулирования лицензии, нарушение, за совершение которого аннулирована лицензия, и дата его совершения, а также, если лицензия аннулирована у основного (преобладающего) общества, полное наименование такого общества; в случае отсутствия фактов аннулирования лицензии указывается на это обстоятельство)

Полноту и достоверность представленных сведений подтверждаю.

Наименование должности лица, осуществляющего функции единоличного исполнительного органа соискателя лицензии      
  Личная подпись   Расшифровка подписи
М.П.      
       

СВЕДЕНИЯ
О ЮРИДИЧЕСКОМ ЛИЦЕ, СОЗДАННОМ В СООТВЕТСТВИИ С ИНОСТРАННЫМ ЗАКОНОДАТЕЛЬСТВОМ И ЯВЛЯЮЩЕМСЯ, В ТОМ ЧИСЛЕ СОВМЕСТНО СО СВОИМИ ОСНОВНЫМИ И ДОЧЕРНИМИ ЛИБО ПРЕОБЛАДАЮЩИМИ И ЗАВИСИМЫМИ ЮРИДИЧЕСКИМИ ЛИЦАМИ, СОБСТВЕННИКОМ ИЛИ ДОВЕРИТЕЛЬНЫМ УПРАВЛЯЮЩИМ 5 И БОЛЕЕ ПРОЦЕНТОВ ОБЫКНОВЕННЫХ АКЦИЙ (ДОЛЕЙ) СОИСКАТЕЛЯ ЛИЦЕНЗИИ

"__" _____________

(дата составления)

(полное наименование соискателя лицензии)
1. Полное наименование (указывается в соответствии с учредительными документами, а также на русском языке)
2. Страна регистрации (инкорпорации)  
3. Сведения о государственной регистрации (указываются регистрационный номер, дата регистрации и наименование регистрирующего органа)
4. Адрес (место нахождения) в стране регистрации (инкорпорации)  
5. Сведения о лице (лицах), имеющих право действовать от имени юридического лица без доверенности (указываются фамилия, имя, отчество в соответствии с документом, удостоверяющим личность, а также, если указанный документ составлен на иностранном языке, на русском языке, дата и место рождения, гражданство (подданство) либо указание на его отсутствие, пол, наименование документа, удостоверяющего личность, дата его выдачи, наименование органа, выдавшего указанный документ, и (если имеется) дата истечения срока действия документа, а также наименование должности)
6. Сведения о каждом основном (дочернем) либо преобладающем (зависимом) обществе, совместно с которыми данное юридическое лицо является собственником или доверительным управляющим 5 и более процентов обыкновенных акций (долей) соискателя лицензии (указывается полное наименование, доля обыкновенных акций (долей) соискателя лицензии (в процентах с точностью не менее чем до 2 знаков после запятой), находящихся в собственности или доверительном управлении, а также указывается, находятся ли обыкновенные акции (доли) в собственности или доверительном управлении)
7. Доля обыкновенных акций (долей) соискателя лицензии, которыми владеет (осуществляет доверительное управление) юридическое лицо единолично и совместно со своими основными (дочерними) и преобладающими (зависимыми) обществами (указывается доля обыкновенных акций (долей) соискателя лицензии (в процентах с точностью не менее чем до 2 знаков после запятой), а также указывается, находятся ли обыкновенные акции (доли) в собственности или доверительном управлении юридического лица; в случае если обыкновенные акции (доли) находятся в доверительном управлении, указываются наименование и реквизиты документа, на основании которого осуществляется доверительное управление, срок осуществления доверительного управления)
8. Сведения о фактах аннулирования у юридического лица или его основного (преобладающего) общества лицензии на осуществление деятельности управляющей компании, специализированного депозитария, акционерного инвестиционного фонда, профессионального участника рынка ценных бумаг, кредитной организации, страховой организации, негосударственного пенсионного фонда (далее - финансовая организация) за совершение нарушения (указываются вид деятельности финансовой организации, лицензия на осуществление которого была аннулирована, дата аннулирования лицензии, нарушение, за совершение которого аннулирована лицензия, и дата его совершения нарушения, а также, если лицензия аннулирована у основного (преобладающего) общества, полное наименование такого общества; в случае отсутствия фактов аннулирования лицензии указывается на это обстоятельство)

Полноту и достоверность представленных сведений подтверждаю.

Наименование должности лица, осуществляющего функции единоличного исполнительного органа соискателя лицензии      
  Личная подпись   Расшифровка подписи
М.П.      
       

СВЕДЕНИЯ
О ФИЗИЧЕСКОМ ЛИЦЕ, ЯВЛЯЮЩЕМСЯ СОБСТВЕННИКОМ ИЛИ ДОВЕРИТЕЛЬНЫМ УПРАВЛЯЮЩИМ 5 И БОЛЕЕ ПРОЦЕНТОВ ОБЫКНОВЕННЫХ АКЦИЙ (ДОЛЕЙ) СОИСКАТЕЛЯ ЛИЦЕНЗИИ

"__" _____________

(дата составления)

(полное наименование соискателя лицензии)
1. Фамилия, имя и (если имеется) отчество (указываются фамилия, имя, отчество в соответствии с документом, удостоверяющим личность, а также если указанный документ составлен на иностранном языке, на русском языке)
2. Дата и место рождения  
3. Пол  
4. Гражданство (подданство) либо указание на его отсутствие  
5. Наименование и реквизиты документа, удостоверяющего личность (указываются наименование документа, дата его выдачи, наименование органа, выдавшего документ, и (если имеется) дата истечения срока действия документа)
6. Адрес постоянного места жительства или преимущественного пребывания  
7. Доля обыкновенных акций (долей) соискателя лицензии, которыми владеет (осуществляет доверительное управление) физическое лицо (указывается доля обыкновенных акций (долей) соискателя лицензии (в процентах с точностью не менее чем до 2 знаков после запятой), а также указывается, находятся ли обыкновенные акции (доли) в собственности или доверительном управлении; в случае если обыкновенные акции (доли) находятся в доверительном управлении, указываются наименование и реквизиты документа, на основании которого осуществляется доверительное управление, срок осуществления доверительного управления)
8. Сведения о всех управляющих компаниях, специализированных депозитариях, акционерных инвестиционных фондах, профессиональных участниках рынка ценных бумаг, кредитных организациях, страховых организациях, негосударственных пенсионных фондах (далее - финансовая организация), в которых физическое лицо осуществляет функции единоличного исполнительного органа, или является членом коллегиального исполнительного органа по состоянию на дату представления настоящих Сведений, либо осуществляло указанные функции, или являлось членом указанного органа в течение последних 5 лет, предшествующих дате составления настоящих Сведений (указываются полное наименование, организационно-правовая форма, место нахождения, сведения о лицензии на осуществление деятельности финансовой организации (наименование лицензируемого вида деятельности, номер и дата предоставления (выдачи) лицензии, наименование органа, выдавшего лицензию, дата окончания срока действия лицензии или указание на бессрочный характер лицензии), наименование должности, которую занимает или занимало физическое лицо, срок ее занятия)
9. Сведения о фактах аннулирования за последние 3 года, предшествующие дате составления настоящих Сведений, лицензии у финансовых организаций, в которых лицо осуществляет (осуществляло) функции единоличного исполнительного органа или является (являлось) членом коллегиального исполнительного органа (указываются сведения, предусмотренные пунктом 7 настоящих Сведений, о финансовой организации, у которой была аннулирована лицензия, а также дата аннулирования лицензии, основание ее аннулирования, дата совершения нарушения, за которое аннулирована лицензия; в случае отсутствия фактов аннулирования лицензии указывается на это обстоятельство)
10. Сведения об истечении срока, в течение которого физическое лицо считается подвергнутым административному наказанию в виде дисквалификации (в случае если на дату составления настоящих Сведений не истек срок, в течение которого физическое лицо считается подвергнутым административному наказанию в виде дисквалификации, указываются: должность, фамилия, имя, отчество судьи, назначившего административное наказание в виде дисквалификации, дата и место рассмотрения дела об административном правонарушении, статья Кодекса Российской Федерации об административных правонарушениях или закона субъекта Российской Федерации, предусматривающая административную ответственность за совершение административного правонарушения, срок, на который установлена дисквалификация; в противном случае указывается на то, что физическое лицо не является подвергнутым административному наказанию в виде дисквалификации)
11. Сведения о судимости за умышленные преступления (указываются дата и место постановления приговора, содержащего решение о признании лица виновным в совершении умышленного преступления, наименование суда, постановившего приговор, пункт, часть и статья Уголовного кодекса Российской Федерации, предусматривающие ответственность за умышленное преступление, в совершении которого лицо признано виновным; в случае отсутствия судимости указывается на это обстоятельство)

Полноту и достоверность представленных сведений подтверждаю.

Наименование должности лица, осуществляющего функции единоличного исполнительного органа соискателя лицензии      
  Личная подпись   Расшифровка подписи
М.П.      
       

Приложение 5
к Административному регламенту
по исполнению Федеральной службой
по финансовым рынкам государственной
функции по лицензированию деятельности
инвестиционных фондов, деятельности
по управлению инвестиционными фондами,
паевыми инвестиционными фондами
и негосударственными пенсионными
фондами, деятельности специализированных
депозитариев инвестиционных фондов,
паевых инвестиционных фондов
и негосударственных пенсионных фондов,
а также деятельности по пенсионному
обеспечению и пенсионному страхованию

СВЕДЕНИЯ
О КОНТРОЛЕРЕ (РУКОВОДИТЕЛЕ И СОТРУДНИКАХ СЛУЖБЫ ВНУТРЕННЕГО КОНТРОЛЯ) СОИСКАТЕЛЯ ЛИЦЕНЗИИ НА ОСУЩЕСТВЛЕНИЕ ДЕЯТЕЛЬНОСТИ ПО УПРАВЛЕНИЮ ИНВЕСТИЦИОННЫМИ ФОНДАМИ, ПАЕВЫМИ ИНВЕСТИЦИОННЫМИ ФОНДАМИ И НЕГОСУДАРСТВЕННЫМИ ПЕНСИОННЫМИ ФОНДАМИ ИЛИ НА ОСУЩЕСТВЛЕНИЕ ДЕЯТЕЛЬНОСТИ СПЕЦИАЛИЗИРОВАННОГО ДЕПОЗИТАРИЯ ИНВЕСТИЦИОННЫХ ФОНДОВ, ПАЕВЫХ ИНВЕСТИЦИОННЫХ ФОНДОВ И НЕГОСУДАРСТВЕННЫХ ПЕНСИОННЫХ ФОНДОВ

"__" _____________

(дата составления)

(полное наименование соискателя лицензии)
1. Фамилия, имя и (если имеется) отчество (указываются в соответствии с документом, удостоверяющим личность, а также если указанный документ составлен на иностранном языке, на русском языке)
2. Дата и место рождения  
3. Пол  
4. Гражданство (подданство) либо указание на его отсутствие  
5. Наименование и реквизиты документа, удостоверяющего личность (указываются наименование документа, дата его выдачи, наименование органа, выдавшего документ, и (если имеется) дата истечения срока действия документа)
6. Адрес постоянного места жительства или преимущественного пребывания  
7. Сведения о всех управляющих компаниях, специализированных депозитариях, акционерных инвестиционных фондах, профессиональных участниках рынка ценных бумаг, кредитных организациях, страховых организациях, негосударственных пенсионных фондах (далее - финансовая организация), в которых физическое лицо осуществляет функции единоличного исполнительного органа, или является членом коллегиального исполнительного органа по состоянию на дату представления настоящих Сведений, либо осуществляло указанные функции, или являлось членом указанного органа в течение последних 5 лет, предшествующих дате составления настоящих Сведений (указываются полное наименование, организационно-правовая форма, место нахождения, сведения о лицензии на осуществление деятельности финансовой организации (наименование лицензируемого вида деятельности, номер и дата предоставления (выдачи) лицензии, наименование органа, выдавшего лицензию, дата окончания срока действия лицензии или указание на бессрочный характер лицензии), наименование должности, которую занимает или занимало физическое лицо, срок ее занятия)
8. Сведения о фактах аннулирования за последние 3 года, предшествующие дате составления настоящих Сведений, лицензии у финансовых организаций, в которых лицо осуществляет (осуществляло) функции единоличного исполнительного органа или является (являлось) членом коллегиального исполнительного органа (указываются сведения, предусмотренные пунктом 7 настоящих Сведений, о финансовой организации, у которой была аннулирована лицензия, а также дата аннулирования лицензии, основание ее аннулирования, дата совершения нарушения, за которое аннулирована лицензия; в случае отсутствия фактов аннулирования лицензии указывается на это обстоятельство)
9. Сведения об истечении срока, в течение которого физическое лицо считается подвергнутым административному наказанию в виде дисквалификации (в случае если на дату составления настоящих Сведений не истек срок, в течение которого физическое лицо считается подвергнутым административному наказанию в виде дисквалификации, указываются: должность, фамилия, имя, отчество судьи, назначившего административное наказание в виде дисквалификации, дата и место рассмотрения дела об административном правонарушении, статья Кодекса Российской Федерации об административных правонарушениях или закона субъекта Российской Федерации, предусматривающая административную ответственность за совершение административного правонарушения, срок, на который установлена дисквалификация; в противном случае указывается на то, что физическое лицо не является подвергнутым административному наказанию в виде дисквалификации)
10. Сведения о судимости за умышленные преступления (указываются дата и место постановления приговора, содержащего решение о признании лица виновным в совершении умышленного преступления, наименование суда, постановившего приговор, пункт, часть и статья Уголовного кодекса Российской Федерации, предусматривающие ответственность за умышленное преступление, в совершении которого лицо признано виновным; в случае отсутствия судимости указывается на это обстоятельство)
11. Сведения о высшем профессиональном образовании (указываются наименование высшего учебного заведения, год окончания высшего учебного заведения, специальность и квалификация в соответствии с документом, подтверждающим окончание высшего учебного заведения)
12. Сведения о соответствии установленным федеральным органом исполнительной власти по рынку ценных бумаг требованиям к квалификации (указываются дата и номер решения о присвоении квалификации и выдаче квалификационного аттестата и название органа (организации), принявшего такое решение, наименование специализации в области финансового рынка, серия и номер бланка квалификационного аттестата)
13. Сведения о соответствии лица, осуществляющего функции единоличного исполнительного органа, установленным федеральным органом исполнительной власти по рынку ценных бумаг требованиям к профессиональному опыту (указывается срок работы в должности руководителя отдела или иного структурного подразделения организации, осуществляющей деятельность на финансовом рынке, саморегулируемой организации, объединяющей организации, осуществляющие деятельность на рынке ценных бумаг и коллективных инвестиций, Федеральной комиссии по рынку ценных бумаг, Федеральной службы по финансовым рынкам, их территориальных органов, Министерства финансов Российской Федерации, финансовых органов субъектов Российской Федерации, Центрального банка Российской Федерации, в должностные обязанности которого входило принятие (подготовка) решений по вопросам, непосредственно связанным со специализацией в области финансового рынка)

Полноту и достоверность представленных сведений подтверждаю.

Наименование должности лица, осуществляющего функции единоличного исполнительного органа соискателя лицензии      
  Личная подпись   Расшифровка подписи
М.П.      
       

Приложение 6
к Административному регламенту
по исполнению Федеральной службой
по финансовым рынкам государственной
функции по лицензированию деятельности
инвестиционных фондов, деятельности
по управлению инвестиционными фондами,
паевыми инвестиционными фондами
и негосударственными пенсионными
фондами, деятельности специализированных
депозитариев инвестиционных фондов,
паевых инвестиционных фондов
и негосударственных пенсионных фондов,
а также деятельности по пенсионному
обеспечению и пенсионному страхованию

ФОРМА
ЗАЯВЛЕНИЯ О ПЕРЕОФОРМЛЕНИИ ДОКУМЕНТА,
ПОДТВЕРЖДАЮЩЕГО НАЛИЧИЕ ЛИЦЕНЗИИ
 
                                              Федеральная служба
                                              по финансовым рынкам
 
Исх. N ________________
от "__" _______________
 
                            ЗАЯВЛЕНИЕ
       о переоформлении документа, подтверждающего наличие
              лицензии на осуществление деятельности
 
__________________________________________________________________
 (указывается   наименование   конкретного   лицензируемого   вида
__________________________________________________________________
                         деятельности)
__________________________________________________________________
 (новое полное и сокращенное фирменное наименование лицензиата - в
__________________________________________________________________
               случае изменения наименования)
__________________________________________________________________
  (старое полное и сокращенное фирменное наименование лицензиата)
__________________________________________________________________
 (сведения  о  правопреемнике  лицензиата (фирменное наименование,
__________________________________________________________________
место  нахождения  и адреса мест осуществления лицензируемого вида
__________________________________________________________________
       деятельности) - в случае преобразования лицензиата)
__________________________________________________________________
 (новое  место  нахождения  лицензиата  - в случае изменения места
                           нахождения)
__________________________________________________________________
              (старое место нахождения лицензиата)
__________________________________________________________________
 (адрес   лицензиата   для   направления почтовой корреспонденции,
__________________________________________________________________
                   контактный номер телефона)
__________________________________________________________________
    (данные документа, подтверждающего факт внесения изменений
__________________________________________________________________
     в сведения о лицензиате в единый государственный реестр
__________________________________________________________________
                        юридических лиц)
__________________________________________________________________
(идентификационный  номер  налогоплательщика  и данные документа о
__________________________________________________________________
        постановке лицензиата на учет в налоговом органе)
просит  переоформить  документ, подтверждающий наличие лицензии на
осуществление деятельности
__________________________________________________________________
     (указывается наименование конкретного вида деятельности)
_________________________________________________________________.
 
Приложение:
 
N документа 
Наименование документа 
Количество 
листов
документа
 Количество 
экземпляров
1 
2 
3 
4 
 
 
 
 
 
Наименование  должности
лица,   осуществляющего
функции    единоличного
исполнительного органа,
или        председателя
коллегиального
исполнительного  органа
лицензиата                  Личная подпись     Расшифровка подписи
 
  М.П.
 
 
 

Приложение 7
к Административному регламенту
по исполнению Федеральной службой
по финансовым рынкам государственной
функции по лицензированию деятельности
инвестиционных фондов, деятельности
по управлению инвестиционными фондами,
паевыми инвестиционными фондами
и негосударственными пенсионными
фондами, деятельности специализированных
депозитариев инвестиционных фондов,
паевых инвестиционных фондов
и негосударственных пенсионных фондов,
а также деятельности по пенсионному
обеспечению и пенсионному страхованию

ФОРМА
ЗАЯВЛЕНИЯ О ВЫДАЧЕ ДУБЛИКАТА ДОКУМЕНТА,
ПОДТВЕРЖДАЮЩЕГО НАЛИЧИЕ ЛИЦЕНЗИИ
     
                                              Федеральная служба
                                              по финансовым рынкам
 
Исх. N ________________
от "__" _______________
 
                            ЗАЯВЛЕНИЕ
      о выдаче дубликата документа, подтверждающего наличие
              лицензии на осуществление деятельности
 
__________________________________________________________________
 (указывается   наименование   конкретного   лицензируемого   вида
                              деятельности)
__________________________________________________________________
                (полное наименование лицензиата)
__________________________________________________________________
                 (место нахождения лицензиата)
__________________________________________________________________
 (адрес   лицензиата   для   направления почтовой корреспонденции,
__________________________________________________________________
                   контактный номер телефона)
просит выдать дубликат документа, подтверждающего наличие лицензии
на осуществление деятельности
__________________________________________________________________
    (указывается наименование конкретного вида деятельности)
 
Приложение:
 
N документа 
Наименование 
документа
Количество 
листов
документа
Количество экземпляров 
1 
2 
3 
4 
 
 
 
 
 
Наименование  должности
лица,   осуществляющего
функции    единоличного
исполнительного органа,
или        председателя
коллегиального
исполнительного  органа
лицензиата                 Личная подпись      Расшифровка подписи
 
  М.П.
 
 

Приложение 8
к Административному регламенту
по исполнению Федеральной службой
по финансовым рынкам государственной
функции по лицензированию деятельности
инвестиционных фондов, деятельности
по управлению инвестиционными фондами,
паевыми инвестиционными фондами
и негосударственными пенсионными
фондами, деятельности специализированных
депозитариев инвестиционных фондов,
паевых инвестиционных фондов
и негосударственных пенсионных фондов,
а также деятельности по пенсионному
обеспечению и пенсионному страхованию

ФОРМА
ЗАЯВЛЕНИЯ ОБ ОТКАЗЕ ОТ ЛИЦЕНЗИИ
 
                                              Федеральная служба
                                              по финансовым рынкам
 
Исх. N ________________
от "__" _______________
 
                           ЗАЯВЛЕНИЕ
      об отказе от лицензии на осуществление деятельности
 
__________________________________________________________________
 (указывается   наименование   конкретного   лицензируемого   вида
                           деятельности)
__________________________________________________________________
 (полное   фирменное   и   сокращенное  наименование лицензиата на
                          русском языке)
__________________________________________________________________
                 (место нахождения лицензиата)
__________________________________________________________________
 (адрес   лицензиата   для   направления почтовой корреспонденции,
__________________________________________________________________
                  контактный номер телефона)
__________________________________________________________________
(идентификационный  номер  налогоплательщика  и данные документа о
__________________________________________________________________
         постановке лицензиата на учет в налоговом органе)
просит аннулировать лицензию на осуществление деятельности
__________________________________________________________________
   (указывается наименование конкретного вида деятельности)
 
Приложение:
 
N документа 
Наименование 
документа
Количество 
листов
документа
Количество экземпляров 
1 
2 
3 
4 
 
 
 
 
 
Наименование  должности
лица,   осуществляющего
функции    единоличного
исполнительного органа,
или        председателя
коллегиального
исполнительного  органа
лицензиата                 Личная подпись      Расшифровка подписи
 
    М.П.
 
 
 

Приложение 9
к Административному регламенту
по исполнению Федеральной службой
по финансовым рынкам государственной
функции по лицензированию деятельности
инвестиционных фондов, деятельности
по управлению инвестиционными фондами,
паевыми инвестиционными фондами
и негосударственными пенсионными
фондами, деятельности специализированных
депозитариев инвестиционных фондов,
паевых инвестиционных фондов
и негосударственных пенсионных фондов,
а также деятельности по пенсионному
обеспечению и пенсионному страхованию

ФОРМА
ЗАЯВЛЕНИЯ О ВЫДАЧЕ ВЫПИСКИ ИЗ РЕЕСТРА ЛИЦЕНЗИЙ
 
                                              Федеральная служба
                                              по финансовым рынкам
 
Исх. N ________________
от "__" _______________
 
                             ЗАЯВЛЕНИЕ
               о выдаче выписки из реестра лицензий
                   на осуществление деятельности
 
__________________________________________________________________
 (указывается   наименование   конкретного   лицензируемого   вида
                          деятельности)
__________________________________________________________________
               (полное наименование лицензиата)
__________________________________________________________________
                 (место нахождения лицензиата)
__________________________________________________________________
 (адрес   лицензиата   для   направления почтовой корреспонденции,
__________________________________________________________________
                 контактный номер телефона)
просит   выдать   выписку   из   реестра лицензий на осуществление
деятельности
__________________________________________________________________
    (указывается наименование конкретного вида деятельности)
 
Наименование  должности
лица, осуществляющего
функции единоличного
исполнительного органа,
или председателя
коллегиального
исполнительного органа
лицензиата                 Личная подпись      Расшифровка подписи
 
М.П.
 
 
 

Приложение 10
к Административному регламенту
по исполнению Федеральной службой
по финансовым рынкам государственной
функции по лицензированию деятельности
инвестиционных фондов, деятельности
по управлению инвестиционными фондами,
паевыми инвестиционными фондами
и негосударственными пенсионными
фондами, деятельности специализированных
депозитариев инвестиционных фондов,
паевых инвестиционных фондов
и негосударственных пенсионных фондов,
а также деятельности по пенсионному
обеспечению и пенсионному страхованию

БЛОК-СХЕМА N 1
"ПРЕДОСТАВЛЕНИЕ ЛИЦЕНЗИИ"

Приложение 11
к Административному регламенту
по исполнению Федеральной службой
по финансовым рынкам государственной
функции по лицензированию деятельности
инвестиционных фондов, деятельности
по управлению инвестиционными фондами,
паевыми инвестиционными фондами
и негосударственными пенсионными
фондами, деятельности специализированных
депозитариев инвестиционных фондов,
паевых инвестиционных фондов
и негосударственных пенсионных фондов,
а также деятельности по пенсионному
обеспечению и пенсионному страхованию

БЛОК-СХЕМА N 2
"ПЕРЕОФОРМЛЕНИЕ ЛИЦЕНЗИИ"

Приложение 12
к Административному регламенту
по исполнению Федеральной службой
по финансовым рынкам государственной
функции по лицензированию деятельности
инвестиционных фондов, деятельности
по управлению инвестиционными фондами,
паевыми инвестиционными фондами
и негосударственными пенсионными
фондами, деятельности специализированных
депозитариев инвестиционных фондов,
паевых инвестиционных фондов
и негосударственных пенсионных фондов,
а также деятельности по пенсионному
обеспечению и пенсионному страхованию

БЛОК-СХЕМА N 3
"ВЫДАЧА ДУБЛИКАТА ЛИЦЕНЗИИ"

Приложение 13
к Административному регламенту
по исполнению Федеральной службой
по финансовым рынкам государственной
функции по лицензированию деятельности
инвестиционных фондов, деятельности
по управлению инвестиционными фондами,
паевыми инвестиционными фондами
и негосударственными пенсионными
фондами, деятельности специализированных
депозитариев инвестиционных фондов,
паевых инвестиционных фондов
и негосударственных пенсионных фондов,
а также деятельности по пенсионному
обеспечению и пенсионному страхованию

БЛОК-СХЕМА N 4
"АННУЛИРОВАНИЕ ЛИЦЕНЗИИ В СВЯЗИ С ОТКАЗОМ ЛИЦЕНЗИАТА"

Приложение 14
к Административному регламенту
по исполнению Федеральной службой
по финансовым рынкам государственной
функции по лицензированию деятельности
инвестиционных фондов, деятельности
по управлению инвестиционными фондами,
паевыми инвестиционными фондами
и негосударственными пенсионными
фондами, деятельности специализированных
депозитариев инвестиционных фондов,
паевых инвестиционных фондов
и негосударственных пенсионных фондов,
а также деятельности по пенсионному
обеспечению и пенсионному страхованию

БЛОК-СХЕМА N 5
"АННУЛИРОВАНИЕ ЛИЦЕНЗИИ В СВЯЗИ С ВЫЯВЛЕНИЕМ НАРУШЕНИЯ"

Приложение 15
к Административному регламенту
по исполнению Федеральной службой
по финансовым рынкам государственной
функции по лицензированию деятельности
инвестиционных фондов, деятельности
по управлению инвестиционными фондами,
паевыми инвестиционными фондами
и негосударственными пенсионными
фондами, деятельности специализированных
депозитариев инвестиционных фондов,
паевых инвестиционных фондов
и негосударственных пенсионных фондов,
а также деятельности по пенсионному
обеспечению и пенсионному страхованию

ФОРМА

ВЫПИСКИ ИЗ РЕЕСТРА ЛИЦЕНЗИЙ

ВЫПИСКА
ИЗ РЕЕСТРА ЛИЦЕНЗИЙ НА ОСУЩЕСТВЛЕНИЕ ДЕЯТЕЛЬНОСТИ
___________________________________________________________________________
(лицензируемый вид деятельности)

"__" ________________________

(дата составления выписки)

(полное наименование соискателя лицензии)

1. Номер лицензии  
2. Дата и номер решения ФСФР России о предоставлении лицензии  
3. Срок действия лицензии  
4. Действие лицензии (лицензия действует, действие лицензии приостановлено, лицензия аннулирована или действие лицензии прекращено по иным основаниям)  
5. Номер и дата решения ФСФР России о приостановлении действия лицензии (заполняется, если действие лицензии приостановлено)  
6. Номер и дата решения ФСФР России об аннулировании лицензии (заполняется, если лицензия аннулирована)  
7. Номер и дата решения ФСФР России о переоформлении документа, подтверждающего наличие лицензии, и основание его переоформления (заполняется, если документ, подтверждающий наличие лицензии, был переоформлен)  
8. Место нахождения лицензиата  
9. Основной государственный регистрационный номер лицензиата, дата внесения в Единый государственный реестр юридических лиц записи о создании юридического лица, серия и номер документа, подтверждающего факт внесения такой записи, наименование регистрирующего органа, регистрационный номер (для юридических лиц, зарегистрированных до 1 июля 2002 года), дата регистрации, наименование органа, зарегистрировавшего юридическое лицо  
10. Идентификационный номер налогоплательщика, код причины и дата постановки на учет в налоговом органе  
11. Адрес (адреса) мест осуществления лицензируемого вида деятельности  
12. Номера контактных телефонов, факсов  
13. Адрес сайта лицензиата в сети Интернет, а также адреса электронной почты (при наличии)  
14. Сведения о лице, имеющем право действовать от имени лицензиата без доверенности  
15. Сведения о главном бухгалтере (заполняется при предоставлении выписки из реестра лицензий на осуществление деятельности негосударственного пенсионного фонда по пенсионному обеспечению и пенсионному страхованию)  
Наименование должности уполномоченного лица      
  Личная подпись   Расшифровка подписи
М.П.      

Приложение 16
к Административному регламенту
по исполнению Федеральной службой
по финансовым рынкам государственной
функции по лицензированию деятельности
инвестиционных фондов, деятельности
по управлению инвестиционными фондами,
паевыми инвестиционными фондами
и негосударственными пенсионными
фондами, деятельности специализированных
депозитариев инвестиционных фондов,
паевых инвестиционных фондов
и негосударственных пенсионных фондов,
а также деятельности по пенсионному
обеспечению и пенсионному страхованию

БЛОК-СХЕМА N 6
"ВЫДАЧА ВЫПИСКИ ИЗ РЕЕСТРА ЛИЦЕНЗИЙ"

Приложение 17
к Административному регламенту
по исполнению Федеральной службой
по финансовым рынкам государственной
функции по лицензированию деятельности
инвестиционных фондов, деятельности
по управлению инвестиционными фондами,
паевыми инвестиционными фондами
и негосударственными пенсионными
фондами, деятельности специализированных
депозитариев инвестиционных фондов,
паевых инвестиционных фондов
и негосударственных пенсионных фондов,
а также деятельности по пенсионному
обеспечению и пенсионному страхованию

ФОРМА
УВЕДОМЛЕНИЯ О ПРЕДОСТАВЛЕНИИ ЛИЦЕНЗИИ
 
                         _________________________________________
                         (полное наименование соискателя лицензии)
                         _________________________________________
                         _________________________________________
                                        (почтовый адрес)
                         _________________________________________
 
Уведомление    о   предоставлении
_________________________________
 (полное наименование соискателя
           лицензии)
лицензии     на     осуществление
_________________________________
 (указывается лицензируемый вид
          деятельности)
 
    Уведомляем,   что   Приказом   ФСФР   России   от __.__.____ N
__________       принято       решение       о      предоставлении
__________________________________________________________________
             (полное наименование соискателя лицензии)
лицензии на осуществление _______________________________________.
                           (указывается      лицензируемый     вид
                                           деятельности)
 
Приложение:  документ, подтверждающий наличие лицензии на 1 л. в 1
экз.
 
Начальник Управления
регулирования и контроля
над коллективными инвестициями _______________  __________________
                               (личная подпись)    (расшифровка
                                                      подписи)
 
 
 

Приложение 18
к Административному регламенту
по исполнению Федеральной службой
по финансовым рынкам государственной
функции по лицензированию деятельности
инвестиционных фондов, деятельности
по управлению инвестиционными фондами,
паевыми инвестиционными фондами
и негосударственными пенсионными
фондами, деятельности специализированных
депозитариев инвестиционных фондов,
паевых инвестиционных фондов
и негосударственных пенсионных фондов,
а также деятельности по пенсионному
обеспечению и пенсионному страхованию

ФОРМА
УВЕДОМЛЕНИЯ ОБ ОТКАЗЕ В ПРЕДОСТАВЛЕНИИ ЛИЦЕНЗИИ
 
                         _________________________________________
                         (полное наименование соискателя лицензии)
                         _________________________________________
                         _________________________________________
                                        (почтовый адрес)
                         _________________________________________
 
Уведомление     об    отказе    в
предоставлении     лицензии    на
осуществление
_________________________________
 (указывается лицензируемый вид
          деятельности)
_________________________________
 (полное наименование соискателя
            лицензии)
 
    Уведомляем,   что   Приказом   ФСФР   России   от __.__.____ N
__________  принято решение об отказе в предоставлении лицензии на
осуществление ____________________________________________________
              (указывается лицензируемый вид деятельности и полное
                         наименование соискателя лицензии)
в связи __________________________________________________________
         (указываются   основания   для   отказа  в предоставлении
                                      лицензии)
 
Приложение: копия Приказа ФСФР России от __.__.____ N ___ на __ л.
в 1 экз.
 
Начальник Управления
регулирования и контроля
над коллективными инвестициями ___________________  ______________
                                (личная подпись)     (расшифровка 
                                                        подписи)
 
 
 

Приложение 19
к Административному регламенту
по исполнению Федеральной службой
по финансовым рынкам государственной
функции по лицензированию деятельности
инвестиционных фондов, деятельности
по управлению инвестиционными фондами,
паевыми инвестиционными фондами
и негосударственными пенсионными
фондами, деятельности специализированных
депозитариев инвестиционных фондов,
паевых инвестиционных фондов
и негосударственных пенсионных фондов,
а также деятельности по пенсионному
обеспечению и пенсионному страхованию

ФОРМА
УВЕДОМЛЕНИЯ О ПЕРЕОФОРМЛЕНИИ ДОКУМЕНТА, ПОДТВЕРЖДАЮЩЕГО
НАЛИЧИЕ ЛИЦЕНЗИИ
 
                                __________________________________
                                 (полное наименование лицензиата)
                                __________________________________
                                __________________________________
                                         (почтовый адрес)
                                __________________________________
 
Уведомление    о   переоформлении
документа,        подтверждающего
наличие                  лицензии
_________________________________
 (полное наименование лицензиата)
на осуществление
_________________________________
 (указывается лицензируемый вид
          деятельности)
 
    Уведомляем,   что   Приказом   ФСФР   России   от __.__.____ N
__________    принято    решение    о    переоформлении документа,
подтверждающего      наличие      лицензии      на   осуществление
__________________________________________________________________
       (указывается лицензируемый вид деятельности;   полное 
__________________________________________________________________
  наименование лицензиата, основания для переоформления лицензии)
__________________________________________________________________
 
Приложение:  документ, подтверждающий наличие лицензии на 1 л. в 1
экз.
 
Начальник Управления
регулирования и контроля
над коллективными инвестициями ___________________  ______________
                                 (личная подпись)    (расшифровка 
                                                        подписи)
 
 
 

Приложение 20
к Административному регламенту
по исполнению Федеральной службой
по финансовым рынкам государственной
функции по лицензированию деятельности
инвестиционных фондов, деятельности
по управлению инвестиционными фондами,
паевыми инвестиционными фондами
и негосударственными пенсионными
фондами, деятельности специализированных
депозитариев инвестиционных фондов,
паевых инвестиционных фондов
и негосударственных пенсионных фондов,
а также деятельности по пенсионному
обеспечению и пенсионному страхованию

ФОРМА
УВЕДОМЛЕНИЯ О ВЫДАЧЕ ДУБЛИКАТА ДОКУМЕНТА, ПОДТВЕРЖДАЮЩЕГО
НАЛИЧИЕ ЛИЦЕНЗИИ
 
                                __________________________________
                                 (полное наименование лицензиата)
                                __________________________________
                                __________________________________
                                          (почтовый адрес)
                                __________________________________
 
Уведомление  о  выдаче  дубликата
документа,        подтверждающего
наличие лицензии на осуществление
_________________________________
  (указывается лицензируемый вид
          деятельности)
_________________________________
 (полное наименование лицензиата)
 
    Уведомляем,   что   Приказом   ФСФР   России   от __.__.____ N
__________         принято         решение         о        выдаче
__________________________________________________________________
                   (полное наименование лицензиата)
дубликата   документа,   подтверждающего   наличие   лицензии   на
осуществление ___________________________________________________.
                 (указывается лицензируемый вид деятельности)
 
Приложение:  дубликат  документа, подтверждающего наличие лицензии
на 1 л. в 1 экз.
 
Начальник Управления
регулирования и контроля
над коллективными инвестициями ___________________  ______________
                                 (личная подпись)    (расшифровка 
                                                        подписи)
 
 
 

Приложение 21
к Административному регламенту
по исполнению Федеральной службой
по финансовым рынкам государственной
функции по лицензированию деятельности
инвестиционных фондов, деятельности
по управлению инвестиционными фондами,
паевыми инвестиционными фондами
и негосударственными пенсионными
фондами, деятельности специализированных
депозитариев инвестиционных фондов,
паевых инвестиционных фондов
и негосударственных пенсионных фондов,
а также деятельности по пенсионному
обеспечению и пенсионному страхованию

ФОРМА
УВЕДОМЛЕНИЯ ОБ АННУЛИРОВАНИИ ЛИЦЕНЗИИ
 
                                __________________________________
                                 (полное наименование лицензиата)
                                __________________________________
                                __________________________________
                                         (почтовый адрес)
                                __________________________________
 
Уведомление   об    аннулировании
лицензии     на     осуществление
_________________________________
  (указывается лицензируемый вид
          деятельности)
_________________________________
 (полное наименование лицензиата)
 
    Уведомляем,   что   Приказом   ФСФР   России   от __.__.____ N
__________   принято   решение   об   аннулировании   лицензии  на
осуществление ____________________________________________________
              (указывается лицензируемый вид деятельности и полное
                             наименование лицензиата)
в связи __________________________________________________________
            (указываются основания для аннулирования лицензии)
 
Приложение: копия Приказа ФСФР России от __.__.____ N ___ на __ л.
в 1 экз.
 
Начальник Управления
регулирования и контроля
над коллективными инвестициями ___________________  ______________
                                 (личная подпись)    (расшифровка 
                                                       подписи)
 
 
 

Приложение 22
к Административному регламенту
по исполнению Федеральной службой
по финансовым рынкам государственной
функции по лицензированию деятельности
инвестиционных фондов, деятельности
по управлению инвестиционными фондами,
паевыми инвестиционными фондами
и негосударственными пенсионными
фондами, деятельности специализированных
депозитариев инвестиционных фондов,
паевых инвестиционных фондов
и негосударственных пенсионных фондов,
а также деятельности по пенсионному
обеспечению и пенсионному страхованию

ФОРМА
УВЕДОМЛЕНИЯ ОБ ОТКАЗЕ ОТ АННУЛИРОВАНИЯ ЛИЦЕНЗИИ
 
                                __________________________________
                                  (полное наименование соискателя
                                             лицензии)
                                __________________________________
                                __________________________________
                                        (почтовый адрес)
                                __________________________________
 
Уведомление   об    отказе     от
аннулирования            лицензии
на                  осуществление
_________________________________
  (указывается лицензируемый вид
          деятельности)
_________________________________
 (полное наименование лицензиата)
 
    Уведомляем,   что   Приказом   ФСФР   России   от __.__.____ N
__________  принято решение об отказе от аннулирования лицензии на
осуществление ____________________________________________________
              (указывается лицензируемый вид деятельности и полное
                       наименование соискателя лицензии)
в связи __________________________________________________________
        (указываются   основания   для   отказа   от аннулирования
                                   лицензии)
 
Приложение: копия Приказа ФСФР России от __.__.____ N ___ на __ л.
в 1 экз.
 
Начальник Управления
регулирования и контроля
над коллективными инвестициями ___________________  ______________
                                (личная подпись)     (расшифровка 
                                                        подписи)