Постановление Правительства РФ от 31.01.2009 N 80

"Об утверждении Правил предоставления в 2009 году субсидий из федерального бюджета бюджетам субъектов Российской Федерации на поддержку отдельных подотраслей растениеводства"
Редакция от 03.10.2009 — Не действует Перейти в действующую
Показать изменения

ПРАВИТЕЛЬСТВО РОССИЙСКОЙ ФЕДЕРАЦИИ

ПОСТАНОВЛЕНИЕ
от 31 января 2009 г. N 80

ОБ УТВЕРЖДЕНИИ ПРАВИЛ ПРЕДОСТАВЛЕНИЯ В 2009 ГОДУ СУБСИДИЙ ИЗ ФЕДЕРАЛЬНОГО БЮДЖЕТА БЮДЖЕТАМ СУБЪЕКТОВ РОССИЙСКОЙ ФЕДЕРАЦИИ НА ПОДДЕРЖКУ ОТДЕЛЬНЫХ ПОДОТРАСЛЕЙ РАСТЕНИЕВОДСТВА

(в ред. Постановлений Правительства РФ от 18.05.2009 N 419, от 03.10.2009 N 798)

Правительство Российской Федерации постановляет:

Утвердить прилагаемые Правила предоставления в 2009 году субсидий из федерального бюджета бюджетам субъектов Российской Федерации на поддержку отдельных подотраслей растениеводства. (в ред. Постановления Правительства РФ от 03.10.2009 N 798)

Председатель Правительства
Российской Федерации
В.ПУТИН

УТВЕРЖДЕНЫ
Постановлением Правительства
Российской Федерации
от 31 января 2009 г. N 80

ПРАВИЛА
ПРЕДОСТАВЛЕНИЯ В 2009 ГОДУ СУБСИДИЙ ИЗ ФЕДЕРАЛЬНОГО БЮДЖЕТА БЮДЖЕТАМ СУБЪЕКТОВ РОССИЙСКОЙ ФЕДЕРАЦИИ НА ПОДДЕРЖКУ ОТДЕЛЬНЫХ ПОДОТРАСЛЕЙ РАСТЕНИЕВОДСТВА

(в ред. Постановлений Правительства РФ от 18.05.2009 N 419, от 03.10.2009 N 798)

1. Настоящие Правила устанавливают порядок предоставления и распределения в 2009 году субсидий из федерального бюджета бюджетам субъектов Российской Федерации на поддержку отдельных подотраслей растениеводства (далее - субсидии). (в ред. Постановления Правительства РФ от 03.10.2009 N 798)

2. Субсидии предоставляются в целях оказания финансовой поддержки при исполнении расходных обязательств субъектов Российской Федерации, возникающих при выполнении органами государственной власти субъектов Российской Федерации полномочий по реализации региональных и (или) муниципальных программ, финансируемых за счет средств бюджетов субъектов Российской Федерации (местных бюджетов), предусматривающих поддержку отдельных подотраслей растениеводства, осуществляемую в форме предоставления субсидий сельскохозяйственным товаропроизводителям, за исключением граждан, ведущих личное подсобное хозяйство (далее - сельскохозяйственные товаропроизводители), по следующим направлениям:

а) поддержка элитного семеноводства;

б) поддержка производства льна и конопли;

в) завоз семян для выращивания кормовых культур в районах Крайнего Севера и приравненных к ним местностях, включая производство продукции растениеводства на низкопродуктивных пашнях;

г) закладка и уход за многолетними насаждениями;

д) компенсация части затрат на приобретение средств химической защиты растений.

3. Субсидии предоставляются при соблюдении следующих требований:

а) наличие у сельскохозяйственных товаропроизводителей на территории субъекта Российской Федерации посевных площадей под сельскохозяйственными культурами, перечень которых определяется Министерством сельского хозяйства Российской Федерации;

б) наличие у сельскохозяйственных товаропроизводителей на территории субъекта Российской Федерации посевных площадей льна-долгунца и конопли;

в) наличие у сельскохозяйственных товаропроизводителей на территории субъекта Российской Федерации, отнесенной к районам Крайнего Севера и приравненным к ним местностям, посевных площадей под кормовыми культурами;

г) наличие у сельскохозяйственных товаропроизводителей на территории субъекта Российской Федерации, отнесенной к районам Крайнего Севера и приравненным к ним местностям, низкопродуктивной пашни, составляющей не менее 11 процентов общей площади пашни;

д) наличие у сельскохозяйственных товаропроизводителей на территории субъекта Российской Федерации площадей многолетних насаждений;

е) наличие на территории субъекта Российской Федерации у сельскохозяйственных товаропроизводителей посевных площадей рапса.

4. Субсидии предоставляются при соблюдении следующих условий:

а) наличие утвержденных региональной и (или) муниципальной программ, предусматривающих поддержку отдельных подотраслей растениеводства по направлениям, предусмотренным в пункте 2 настоящих Правил;

б) наличие в бюджете субъекта Российской Федерации на очередной финансовый год (местном бюджете) бюджетных ассигнований на финансирование мероприятий, связанных с поддержкой отдельных подотраслей растениеводства по направлениям, предусмотренным в пункте 2 настоящих Правил, одним из источников финансового обеспечения которых являются субсидии, предоставляемые с учетом установленного уровня софинансирования;

в) проведение в субъекте Российской Федерации агрохимических обследований земель сельскохозяйственного назначения в 2010 - 2011 годах;

г) наличие нормативного правового акта субъекта Российской Федерации, устанавливающего порядок предоставления средств на поддержку отдельных подотраслей растениеводства по направлениям, предусмотренным в пункте 2 настоящих Правил, источником финансового обеспечения которых являются субсидии, и перечней документов, необходимых для получения указанных средств.

5. Средства на поддержку отдельных подотраслей растениеводства, источником финансового обеспечения которых являются субсидии, предоставляются по ставкам, определяемым Министерством сельского хозяйства Российской Федерации:

а) в целях поддержки элитного семеноводства - сельскохозяйственным товаропроизводителям, в том числе льносеменоводческим станциям и льно(пенько) заводам, на приобретение элитных семян сельскохозяйственных культур по перечню, утверждаемому Министерством сельского хозяйства Российской Федерации, у российских производителей элитных семян, заводов по подготовке семян по ставке за 1 тонну семян;

б) в целях поддержки производства льна и конопли - сельскохозяйственным товаропроизводителям, в том числе льносеменоводческим станциям и льно(пенько) заводам, занимающимся выращиванием льна-долгунца и конопли и их переработкой, на производство льна-долгунца и конопли (производство соломки и тресты) по ставке за 1 тонну льна-долгунца и конопли (в переводе на волокно);

в) сельскохозяйственным товаропроизводителям - в целях завоза семян для выращивания кормовых культур в районах Крайнего Севера и приравненных к ним местностях, включая производство продукции растениеводства на низкопродуктивных пашнях, в том числе:

для выращивания кормовых культур по перечню, утверждаемому Министерством сельского хозяйства Российской Федерации, в районах Крайнего Севера и приравненных к ним местностях, в которых не производятся семена в связи с природно-климатическими условиями, перечень которых утверждается Министерством сельского хозяйства Российской Федерации, по ставке, рассчитанной в процентах затрат на приобретение семян с учетом доставки;

для подготовки низкопродуктивной пашни под урожай будущего года по ставке на 1 гектар пашни;

г) сельскохозяйственным товаропроизводителям - в целях осуществления закладки и ухода за плодовыми и ягодными кустарниковыми насаждениями, садами интенсивного типа (не менее 1500 деревьев на 1 гектар), виноградниками, хмельниками до начала периода их товарного плодоношения, а также закладки и ухода за плодовыми и ягодными питомниками, чайными плантациями по ставкам на 1 гектар. При этом сельскохозяйственные товаропроизводители должны иметь на начало текущего финансового года не менее 50 гектаров площади плодовых насаждений, не менее 2 гектаров площади садов интенсивного типа, не менее 10 гектаров площади ягодных кустарниковых насаждений, не менее 3 гектаров площади питомников, не менее 2 гектаров площади хмельников и (или) осуществлять закладку и уход за виноградниками площадью не менее 1 гектара; (в ред. Постановления Правительства РФ от 18.05.2009 N 419)

д) в целях компенсации сельскохозяйственным товаропроизводителям, занимающимся производством рапса, части затрат на приобретение средств химической защиты растений по ставке в расчете на 1 гектар посевных площадей рапса.

6. Предоставление субсидии осуществляется на основании соглашения о порядке предоставления субсидии, заключенного между Министерством сельского хозяйства Российской Федерации и органом, уполномоченным высшим исполнительным органом государственной власти субъекта Российской Федерации на его реализацию (далее соответственно - соглашение, уполномоченный орган), по форме, утверждаемой Министерством сельского хозяйства Российской Федерации, включающего следующие сведения:

а) размер субсидии;

б) размер средств, предусмотренных в бюджете субъекта Российской Федерации (местном бюджете) на поддержку отдельных подотраслей растениеводства по направлениям, указанным в пункте 2 настоящих Правил, с учетом установленного уровня софинансирования;

в) целевое назначение субсидии;

г) обязательство уполномоченного органа заключить соглашения с органами местного самоуправления в случае предоставления субсидии из бюджета субъекта Российской Федерации местным бюджетам на софинансирование муниципальных программ по направлениям, указанным в пункте 2 настоящих Правил;

д) значения целевых показателей эффективности использования субсидии, определяемые на основании соглашения между Министерством сельского хозяйства Российской Федерации и органом, уполномоченным высшим исполнительным органом государственной власти субъекта Российской Федерации на реализацию Государственной программы развития сельского хозяйства и регулирования рынков сельскохозяйственной продукции, сырья и продовольствия на 2008 - 2012 годы, утвержденной Постановлением Правительства Российской Федерации от 14 июля 2007 г. N 446 (далее - соглашение о реализации Государственной программы);

е) сроки представления документов и отчетов об исполнении уполномоченным органом обязательств, вытекающих из соглашения, в том числе:

выписки из закона субъекта Российской Федерации о бюджете субъекта Российской Федерации, подтверждающей включение в бюджет субъекта Российской Федерации средств на софинансирование мероприятий по направлениям, указанным в пункте 2 настоящих Правил, и выписки из нормативного правового акта представительного органа муниципального образования о размере средств местного бюджета, предусмотренных на финансирование указанных мероприятий, в случае предоставления субсидии из бюджета субъекта Российской Федерации местному бюджету на софинансирование целевой муниципальной программы, предусматривающей реализацию указанных мероприятий;

отчета о расходах бюджета субъекта Российской Федерации (местного бюджета), источником финансового обеспечения которых является субсидия, по форме, устанавливаемой Министерством сельского хозяйства Российской Федерации;

отчета о достижении значений целевых показателей эффективности использования субсидии по форме, устанавливаемой Министерством сельского хозяйства Российской Федерации;

отчета о финансово-экономическом состоянии сельскохозяйственных товаропроизводителей по формам, устанавливаемым Министерством сельского хозяйства Российской Федерации;

ж) порядок осуществления контроля за выполнением условий соглашения;

з) ответственность сторон за нарушение условий соглашения;

и) иные условия, регулирующие порядок предоставления субсидии.

7. Распределение субсидий между бюджетами субъектов Российской Федерации осуществляется Министерством сельского хозяйства Российской Федерации в пределах бюджетных ассигнований, предусмотренных на эти цели федеральным законом о федеральном бюджете на очередной финансовый год, в соответствии с требованиями, предусмотренными пунктом 3 настоящих Правил.

8. Общий размер субсидии бюджету i-го субъекта Российской Федерации (W_i) определяется по формуле:

W   = W   + W   +W   +W   +W   ,
i 1i 2i 3i 4i 5i

где:

W_1i - размер субсидии бюджету i-го субъекта Российской Федерации на поддержку элитного семеноводства;

W_2i - размер субсидии бюджету i-го субъекта Российской Федерации на закладку и уход за многолетними насаждениями;

W_3i - размер субсидии бюджету i-го субъекта Российской Федерации на поддержку производства льна и конопли;

W_4i - размер субсидии бюджету i-го субъекта Российской Федерации на завоз семян для выращивания кормовых культур в районах Крайнего Севера и приравненных к ним местностях, включая производство продукции растениеводства на низкопродуктивных пашнях;

W_5i - размер субсидии бюджету i-го субъекта Российской Федерации на компенсацию части затрат на приобретение средств химической защиты растений.

9. Размер субсидии бюджету i-го субъекта Российской Федерации на поддержку элитного семеноводства определяется по формуле:

где:

С_1 - размер субсидии, предусмотренный в федеральном бюджете на поддержку элитного семеноводства на очередной финансовый год;

n - количество субъектов Российской Федерации, отвечающих требованию подпункта "а" пункта 3 настоящих Правил;

m - количество сельскохозяйственных культур, включенных в перечень, утверждаемый Министерством сельского хозяйства Российской Федерации, для приобретения элитных семян;

j - конкретная сельскохозяйственная культура;

k - коэффициент, устанавливаемый Министерством сельского хозяйства Российской Федерации для определения доли субсидии на приобретение элитных семян по конкретной сельскохозяйственной культуре;

РБО_i - уровень расчетной бюджетной обеспеченности i-го субъекта Российской Федерации на очередной финансовый год, рассчитанный в соответствии с методикой распределения дотаций на выравнивание бюджетной обеспеченности субъектов Российской Федерации, утвержденной Постановлением Правительства Российской Федерации от 22 ноября 2004 г. N 670 "О распределении дотаций на выравнивание бюджетной обеспеченности субъектов Российской Федерации";

U_1 - доля субсидии, распределяемой исходя из объема приобретенных элитных семян в i-м субъекте Российской Федерации, в общем размере субсидии на приобретение элитных семян по конкретной сельскохозяйственной культуре, определяемая Министерством сельского хозяйства Российской Федерации;

M_ij - доля приобретенных элитных семян по конкретной сельскохозяйственной культуре в i-м субъекте Российской Федерации в объеме приобретенных элитных семян по конкретной сельскохозяйственной культуре в субъектах Российской Федерации, отвечающих требованию подпункта "а" пункта 3 настоящих Правил, за 4 года, предшествующих текущему финансовому году, определяемая на основании информации о предоставлении субсидии, представленной уполномоченным органом по установленной Министерством сельского хозяйства Российской Федерации форме, по формуле:

    V   + V   + V   + V    
M   = 1i 2i 3i 4i ,
ij A   + A   + A   + A  
      1 2 3 4  

где:

V_1i , V_2i, V_3i, V_4i - объем приобретенных сельскохозяйственными товаропроизводителями элитных семян по конкретной сельскохозяйственной культуре в i-м субъекте Российской Федерации за 4 года;

A_1, A_2, A_3, A_4 - объем приобретенных сельскохозяйственными товаропроизводителями элитных семян по конкретной сельскохозяйственной культуре в субъектах Российской Федерации, отвечающих требованию подпункта "а" пункта 3 настоящих Правил, за 4 года;

U_2 - доля субсидии, распределяемой исходя из посевной площади под конкретной сельскохозяйственной культурой в i-м субъекте Российской Федерации, в общем размере субсидии по конкретной сельскохозяйственной культуре, определяемая Министерством сельского хозяйства Российской Федерации;

U   + U   = 1;
1 2

S_ij - доля посевной площади под конкретной сельскохозяйственной культурой в i-м субъекте Российской Федерации в общей посевной площади в субъектах Российской Федерации, отвечающих требованию подпункта "а" пункта 3 настоящих Правил, под конкретной сельскохозяйственной культурой за год, предшествующий текущему финансовому году, определяемая на основе данных Федеральной службы государственной статистики о посевных площадях по формуле:

    S    
S   = i ,
ij S

где:

S_i - посевные площади, занятые конкретной сельскохозяйственной культурой у сельскохозяйственных товаропроизводителей в i-м субъекте Российской Федерации;

S - посевные площади, занятые конкретной сельскохозяйственной культурой у сельскохозяйственных товаропроизводителей в субъектах Российской Федерации, отвечающих требованию подпункта "а" пункта 3 настоящих Правил.

10. Размер субсидии бюджету i-го субъекта Российской Федерации на закладку и уход за многолетними насаждениями определяется по формуле:

где:

n - количество субъектов Российской Федерации, отвечающих требованию подпункта "д" пункта 3 настоящих Правил;

С_2с - размер субсидии, предусмотренный в федеральном бюджете на закладку и уход за многолетними насаждениями на очередной финансовый год;

k_1 - коэффициент, устанавливаемый Министерством сельского хозяйства Российской Федерации для определения доли субсидии на закладку многолетних насаждений (за исключением садов интенсивного типа, виноградников и виноградных питомников);

S_1i - доля площади закладки многолетних насаждений (кроме садов интенсивного типа, виноградников и виноградных питомников) в i-м субъекте Российской Федерации в общей площади закладки многолетних насаждений (кроме садов интенсивного типа, виноградников и виноградных питомников) в субъектах Российской Федерации, отвечающих требованию подпункта "д" пункта 3 настоящих Правил, определяемая в соответствии с соглашением о реализации Государственной программы по формуле:

    C    
S   = 1i ,
1i C    
      1  

где:

C_1i - площади закладки сельскохозяйственными товаропроизводителями многолетних насаждений (кроме садов интенсивного типа, виноградников и виноградных питомников) на очередной финансовый год в i-м субъекте Российской Федерации;

C_1 - площади закладки сельскохозяйственными товаропроизводителями многолетних насаждений (кроме садов интенсивного типа, виноградников и виноградных питомников) на очередной финансовый год в субъектах Российской Федерации, отвечающих требованию подпункта "д" пункта 3 настоящих Правил;

k_2 - коэффициент, устанавливаемый Министерством сельского хозяйства Российской Федерации для определения доли субсидии на закладку садов интенсивного типа;

S_2i - доля площади закладки садов интенсивного типа в i-м субъекте Российской Федерации в общей площади закладки садов интенсивного типа в субъектах Российской Федерации, отвечающих требованию подпункта "д" пункта 3 настоящих Правил, определяемая на основании информации, представленной уполномоченным органом по форме, установленной Министерством сельского хозяйства Российской Федерации, за отчетный финансовый год с учетом коэффициента - дефлятора роста по отдельным отраслям растениеводства, по формуле:

    C    
S   = 2i ,
2i C    
      2  

где:

C_2i - площади закладки сельскохозяйственными товаропроизводителями садов интенсивного типа на очередной финансовый год в i-м субъекте Российской Федерации;

C_2 - площади закладки сельскохозяйственными товаропроизводителями садов интенсивного типа на очередной финансовый год в субъектах Российской Федерации, отвечающих требованию подпункта "д" пункта 3 настоящих Правил;

k_3 - коэффициент, устанавливаемый Министерством сельского хозяйства Российской Федерации для определения доли субсидии на работы по уходу за многолетними насаждениями (кроме виноградников и виноградных питомников);

S_3i - доля площади работ по уходу за многолетними насаждениями (кроме виноградников и виноградных питомников) в i-м субъекте Российской Федерации в общей площади работ по уходу за многолетними насаждениями (кроме виноградников и виноградных питомников) в субъектах Российской Федерации, отвечающих требованию подпункта "д" пункта 3 настоящих Правил, определяемая на основе данных Федеральной службы государственной статистики о многолетних насаждениях на начало отчетного финансового года по формуле:

    C    
S   = 3i ,
3i C    
      3  

где:

C_3i - площади, на которых проводится работа по уходу за многолетними насаждениями (за исключением виноградников и виноградных питомников) сельскохозяйственными товаропроизводителями в i-м субъекте Российской Федерации на очередной финансовый год;

C_3 - площади, на которых проводится работа по уходу за многолетними насаждениями (кроме виноградников и виноградных питомников) сельскохозяйственными товаропроизводителями в субъектах Российской Федерации, отвечающих требованию подпункта "д" пункта 3 настоящих Правил, на очередной финансовый год;

S_4i - доля площади закладки виноградников и виноградных питомников в i-м субъекте Российской Федерации в общей площади закладки виноградников и виноградных питомников в субъектах Российской Федерации, отвечающих требованию подпункта "д" пункта 3 настоящих Правил, определяемая в соответствии с соглашением о реализации Государственной программы по формуле:

    C    
S   = 4i ,
4i C    
      4  

где:

C_4i - площади закладки сельскохозяйственными товаропроизводителями виноградников и виноградных питомников на очередной финансовый год в i-м субъекте Российской Федерации;

C_4 - площади закладки сельскохозяйственными товаропроизводителями виноградников и виноградных питомников на очередной финансовый год в субъектах Российской Федерации, отвечающих требованию подпункта "д" пункта 3 настоящих Правил;

k_4 - коэффициент, устанавливаемый Министерством сельского хозяйства Российской Федерации для определения доли субсидии на закладку виноградников и виноградных питомников;

S_5i - доля площади работ по уходу за виноградниками и виноградными питомниками в i-м субъекте Российской Федерации в общей площади работ по уходу за виноградниками и виноградными питомниками на очередной финансовый год в субъектах Российской Федерации, отвечающих требованию подпункта "д" пункта 3 настоящих Правил, определяемая на основе данных Федеральной службы государственной статистики о насаждениях на начало отчетного финансового года по формуле:

    C    
S   = 5i ,
5i C    
      5  

где:

C_5i - площади, на которых проводится работа по уходу за виноградниками и виноградными питомниками сельскохозяйственными товаропроизводителями, на очередной финансовый год в i-м субъекте Российской Федерации;

C_5 - площади, на которых проводится работа по уходу за виноградниками и виноградными питомниками сельскохозяйственными товаропроизводителями, на очередной финансовый год в субъектах Российской Федерации, отвечающих требованию подпункта "д" пункта 3 настоящих Правил;

k_5 - коэффициент, устанавливаемый Министерством сельского хозяйства Российской Федерации для определения доли субсидии на работы по уходу за виноградниками и виноградными питомниками.

11. Размер субсидии бюджету i-го субъекта Российской Федерации на поддержку производства льна и конопли определяется по формуле:

где:

С_3 - размер субсидии, предусмотренный в федеральном бюджете на поддержку производства льна и конопли на очередной финансовый год;

n - количество субъектов Российской Федерации, отвечающих требованию подпункта "б" пункта 3 настоящих Правил;

P_i - доля объема производства льна и конопли (в переводе на волокно) в i-м субъекте Российской Федерации в общем объеме производства льна и конопли (в переводе на волокно) в субъектах Российской Федерации, отвечающих требованию подпункта "б" пункта 3 настоящих Правил, на очередной финансовый год, определяемая в отношении льна в соответствии с соглашением о реализации Государственной программы и конопли на основании данных, представленных уполномоченными органами, по формуле:

    N    
P   = i ,
i N

где:

N_i - объем производства льна и конопли (в переводе на волокно) в i-м субъекте Российской Федерации на очередной финансовый год;

N - объем производства льна и конопли (в переводе на волокно) в субъектах Российской Федерации, отвечающих требованию подпункта "б" пункта 3 настоящих Правил, на очередной финансовый год.

12. Размер субсидии бюджету i-го субъекта Российской Федерации на завоз семян для выращивания кормовых культур в районах Крайнего Севера и приравненных к ним местностях, включая производство продукции растениеводства на низкопродуктивных пашнях, определяется по формуле:

где:

С_4 - размер субсидии, предусмотренный в федеральном бюджете на завоз семян для выращивания кормовых культур в районах Крайнего Севера и приравненных к ним местностях, включая производство продукции растениеводства на низкопродуктивных пашнях, на очередной финансовый год;

n - количество субъектов Российской Федерации, отвечающих требованию подпункта "в" пункта 3 настоящих Правил;

r - количество субъектов Российской Федерации, отвечающих требованию подпункта "г" пункта 3 настоящих Правил;

k_1 - коэффициент, устанавливаемый Министерством сельского хозяйства Российской Федерации для определения доли субсидии на завоз семян для выращивания кормовых культур в районах Крайнего Севера и приравненных к ним местностях;

D_i - доля посевной площади под кормовыми культурами (без площади многолетних трав посева прошлых лет) в i-м субъекте Российской Федерации в общей посевной площади под кормовыми культурами (без площади многолетних трав посева прошлых лет) в субъектах Российской Федерации, отвечающих требованию подпункта "в" пункта 3 настоящих Правил, определяемая на основе данных Федеральной службы государственной статистики за отчетный финансовый год по формуле:

    C    
D   = i ,
i C

где:

C_i - площади под кормовыми культурами (без площади многолетних трав посева прошлых лет) в i-м субъекте Российской Федерации, отвечающем требованию подпункта "в" пункта 3 настоящих Правил;

C - площади под кормовыми культурами (без площади многолетних трав посева прошлых лет) в субъектах Российской Федерации, отвечающих требованию подпункта "в" пункта 3 настоящих Правил;

k_2 - коэффициент, устанавливаемый Министерством сельского хозяйства Российской Федерации для определения доли субсидии на подготовку низкопродуктивной пашни под урожай будущего года в районах Крайнего Севера и приравненных к ним местностях;

S_i - доля площади низкопродуктивной пашни в i-м субъекте Российской Федерации в общей площади низкопродуктивной пашни в субъектах Российской Федерации, отвечающих требованию подпункта "г" пункта 3 настоящих Правил, определяемая на основе данных Федеральной службы государственной статистики на начало отчетного финансового года по формуле:

    V    
S   = i ,
i V

где:

V_i - площади низкопродуктивной пашни в i-м субъекте Российской Федерации, отвечающем требованию подпункта "г" пункта 3 настоящих Правил;

V - площади низкопродуктивной пашни в субъектах Российской Федерации, отвечающих требованию подпункта "г" пункта 3 настоящих Правил.

При этом доля площади низкопродуктивной пашни в площади пашни в субъекте Российской Федерации, отвечающем требованию подпункта "г" пункта 3 настоящих Правил, составляет не менее 11 процентов на начало отчетного финансового года и определяется по формуле:

  V    
U = i ,
P

где P - площадь пашни в i-м субъекте Российской Федерации, отвечающем требованию подпункта "г" пункта 3 настоящих Правил, определяемая на основе данных Федеральной службы государственной статистики на начало отчетного финансового года.

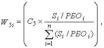
13. Размер субсидии бюджету i-го субъекта Российской Федерации на компенсацию части затрат на приобретение средств химической защиты растений определяется по формуле:

где:

С_5 - размер субсидии, предусмотренный в федеральном бюджете на компенсацию части затрат на приобретение средств химической защиты растений на очередной финансовый год;

n - количество субъектов Российской Федерации, отвечающих требованию подпункта "е" пункта 3 настоящих Правил;

S_i - доля посевной площади рапса в i-м субъекте Российской Федерации в общей посевной площади рапса в субъектах Российской Федерации, отвечающих требованию подпункта "е" пункта 3 настоящих Правил, определяемая на основе данных Федеральной службы государственной статистики за отчетный финансовый год по формуле:

    C    
S   = i ,
i C

где:

C_i - посевная площадь рапса в i-м субъекте Российской Федерации, отвечающем требованию подпункта "е" пункта 3 настоящих Правил;

C - посевная площадь рапса в субъектах Российской Федерации, отвечающих требованию подпункта "е" пункта 3 настоящих Правил.

14. Для каждого субъекта Российской Федерации, получающего субсидии, Министерство сельского хозяйства Российской Федерации рассчитывает уровень софинансирования расходных обязательств субъекта Российской Федерации (далее - уровень софинансирования) по направлениям, указанным в пункте 2 настоящих Правил.

Уровень софинансирования определяется по формуле:

У   = 0,57 / РБО   ,
i i

где:

У_i - уровень софинансирования i-го субъекта Российской Федерации;

0,57 - средний уровень софинансирования.

Уровень софинансирования не может быть установлен выше 95 процентов и ниже 5 процентов расходного обязательства.

В 2009 году уровень софинансирования для субъекта Российской Федерации, уровень расчетной бюджетной обеспеченности которого после распределения дотаций на 2009 год в соответствии с постановлением Правительства Российской Федерации от 22 ноября 2004 г. N 670 "О распределении дотаций на выравнивание бюджетной обеспеченности субъектов Российской Федерации" составляет менее 3-кратного превышения среднего по Российской Федерации уровня расчетной бюджетной обеспеченности субъектов Российской Федерации, не может быть установлен выше 95 процентов и ниже 40 процентов расходного обязательства. (в ред. Постановления Правительства РФ от 18.05.2009 N 419)

15. Распределение субсидий между субъектами Российской Федерации с указанием уровня софинансирования по субъектам Российской Федерации утверждается Министерством сельского хозяйства Российской Федерации на очередной финансовый год.

16. Перечисление субсидий в бюджеты субъектов Российской Федерации осуществляется в установленном порядке в пределах лимитов бюджетных обязательств, предусмотренных Министерству сельского хозяйства Российской Федерации, на счета территориальных органов Федерального казначейства, открытые для учета поступлений и их распределения между бюджетами бюджетной системы Российской Федерации для последующего перечисления в установленном порядке в бюджеты субъектов Российской Федерации в соответствии с заявками, представляемыми уполномоченными органами по форме и в срок, устанавливаемые Министерством сельского хозяйства Российской Федерации.

Расходы бюджета субъекта Российской Федерации на мероприятия по направлениям, указанным в пункте 2 настоящих Правил, источником финансового обеспечения которых является субсидия, осуществляются в порядке, установленном бюджетным законодательством Российской Федерации для исполнения бюджета субъекта Российской Федерации, а при перечислении субсидий в местный бюджет - в порядке, установленном бюджетным законодательством Российской Федерации для исполнения бюджетов муниципальных образований.

17. В случае если размер средств, предусмотренных в бюджете субъекта Российской Федерации на финансирование мероприятий по направлениям, указанным в пункте 2 настоящих Правил, не соответствует установленному для субъекта Российской Федерации уровню софинансирования из федерального бюджета, размер субсидии подлежит сокращению до соответствующего уровня софинансирования, а высвобождающиеся средства перераспределяются Министерством сельского хозяйства Российской Федерации между бюджетами других субъектов Российской Федерации, имеющих право на получение субсидии в соответствии с настоящими Правилами.

18. В случае отсутствия у субъекта Российской Федерации в текущем финансовом году потребности в субсидии на основании письменного обращения уполномоченного органа Министерство сельского хозяйства Российской Федерации вправе перераспределить неиспользованные субсидии между бюджетами других субъектов Российской Федерации, имеющих право на получение субсидии в соответствии с настоящими Правилами.

19. Эффективность использования субсидии оценивается ежегодно Министерством сельского хозяйства Российской Федерации на основании следующих целевых показателей:

а) удельный вес площади, засеваемой элитными семенами, в общей площади посевов на территории субъекта Российской Федерации;

б) площадь закладки многолетних насаждений, в том числе виноградников, на территории субъекта Российской Федерации;

в) объем производства льна-долгунца и конопли (в переводе на волокно) на территории субъекта Российской Федерации;

г) количество семян, завозимых в районы Крайнего Севера и приравненные к ним местности;

д) площадь посева кормовых культур в районах Крайнего Севера и приравненных к ним местностях;

е) посевная площадь рапса озимого и ярового на территории субъекта Российской Федерации;

ж) валовый сбор семян рапса озимого и ярового на территории субъекта Российской Федерации;

з) урожайность рапса озимого и ярового на территории субъекта Российской Федерации.

20. В случае если в отчетном финансовом году субъектом Российской Федерации не достигнуты установленные соглашением значения целевых показателей использования субсидий, указанных в пункте 19 настоящих Правил, и их отклонение составляет более 50 процентов среднероссийского уровня, Министерство сельского хозяйства Российской Федерации вправе принимать решение о сокращении размера предоставляемых субсидий на год, следующий за отчетным финансовым годом, из расчета 1 процент размера субсидии за каждый процентный пункт снижения значения целевого показателя использования субсидий и перераспределении высвобождающихся субсидий между бюджетами других субъектов Российской Федерации, имеющих право на получение субсидии в соответствии с настоящими Правилами.

В случае если установленные соглашением значения целевых показателей использования субсидий не достигнуты в силу объективных обстоятельств, решение о сокращении размера субсидий не принимается.

21. При наличии потребности в не использованном в текущем финансовом году остатке субсидий указанный остаток в соответствии с решением Министерства сельского хозяйства Российской Федерации может быть использован субъектом Российской Федерации в очередном финансовом году на те же цели в порядке, установленном бюджетным законодательством Российской Федерации для осуществления расходов бюджета субъекта Российской Федерации, источником финансового обеспечения которых являются субсидии. (в ред. Постановления Правительства РФ от 03.10.2009 N 798)

22. В случае если неиспользованный остаток субсидий не перечислен в доход федерального бюджета, указанные средства подлежат взысканию в доход федерального бюджета в порядке, установленном Министерством финансов Российской Федерации. (в ред. Постановления Правительства РФ от 03.10.2009 N 798)

23. Ответственность за достоверность представляемых в Министерство сельского хозяйства Российской Федерации сведений и целевое использование субсидий возлагается на уполномоченные органы.

24. Субсидии в случае их нецелевого использования подлежат взысканию в доход федерального бюджета в соответствии с бюджетным законодательством Российской Федерации.

25. Контроль за соблюдением уполномоченным органом условий предоставления субсидий осуществляется Министерством сельского хозяйства Российской Федерации и Федеральной службой финансово-бюджетного надзора.