Приказ Росаэронавигации от 23.08.2007 N 85

"Об утверждении Административного регламента Федеральной аэронавигационной службы по исполнению государственной функции по обязательной сертификации объектов Единой системы организации воздушного движения"
Редакция от 23.08.2007 — Документ утратил силу, см. «Приказ Минтранса РФ от 06.05.2013 N 168»

Зарегистрировано в Минюсте РФ 28 ноября 2007 г. N 10572


ФЕДЕРАЛЬНАЯ АЭРОНАВИГАЦИОННАЯ СЛУЖБА

ПРИКАЗ
от 23 августа 2007 г. N 85

ОБ УТВЕРЖДЕНИИ АДМИНИСТРАТИВНОГО РЕГЛАМЕНТА ФЕДЕРАЛЬНОЙ АЭРОНАВИГАЦИОННОЙ СЛУЖБЫ ПО ИСПОЛНЕНИЮ ГОСУДАРСТВЕННОЙ ФУНКЦИИ ПО ОБЯЗАТЕЛЬНОЙ СЕРТИФИКАЦИИ ОБЪЕКТОВ ЕДИНОЙ СИСТЕМЫ ОРГАНИЗАЦИИ ВОЗДУШНОГО ДВИЖЕНИЯ

В соответствии с пунктом 7 Порядка разработки и утверждения административных регламентов исполнения государственных функций и административных регламентов предоставления государственных услуг, утвержденного Постановлением Правительства Российской Федерации от 11 ноября 2005 г. N 679 (Собрание законодательства Российской Федерации, 2005, N 47, ст. 4933), приказываю:

1. Утвердить прилагаемый Административный регламент Федеральной аэронавигационной службы по исполнению государственной функции по обязательной сертификации объектов Единой системы организации воздушного движения.

2. Признать утратившим силу Приказ Федеральной аэронавигационной службы от 14.12.2006 N 99 "Об утверждении Административного регламента Федеральной аэронавигационной службы по исполнению государственной функции по обязательной сертификации объектов Единой системы организации воздушного движения" (зарегистрирован Минюстом России 02.02.2007, регистрационный N 8878).

4. Контроль за исполнением настоящего Приказа возложить на заместителя руководителя Федеральной аэронавигационной службы Д.В. Савицкого.

В электронном документе нумерация пунктов соответствует официальному источнику.

Руководитель
А.В.НЕРАДЬКО

УТВЕРЖДЕН
Приказом Федеральной
аэронавигационной службы
от 23.08.2007 N 85

АДМИНИСТРАТИВНЫЙ РЕГЛАМЕНТ
ФЕДЕРАЛЬНОЙ АЭРОНАВИГАЦИОННОЙ СЛУЖБЫ ПО ИСПОЛНЕНИЮ ГОСУДАРСТВЕННОЙ ФУНКЦИИ ПО ОБЯЗАТЕЛЬНОЙ СЕРТИФИКАЦИИ ОБЪЕКТОВ ЕДИНОЙ СИСТЕМЫ ОРГАНИЗАЦИИ ВОЗДУШНОГО ДВИЖЕНИЯ

I. Общие положения

1. Административный регламент Федеральной аэронавигационной службы по исполнению государственной функции по обязательной сертификации объектов Единой системы организации воздушного движения (далее - Административный регламент) определяет сроки и последовательность действий (административных процедур) Федеральной аэронавигационной службы (далее - Росаэронавигация), ее структурных подразделений, порядок взаимодействия между структурными подразделениями и между должностными лицами, а также порядок взаимодействия Росаэронавигации, ее структурных подразделений с федеральными органами исполнительной власти при осуществлении полномочий, порядок взаимодействия с юридическими лицами, являющимися потребителями результатов исполнения государственной функции по обязательной сертификации объектов Единой системы организации воздушного движения (далее - государственная функция), при осуществлении Росаэронавигацией полномочий по обязательной сертификации (далее - сертификация) объектов Единой системы организации воздушного движения (далее - объекты ЕС ОрВД) и последующему инспекционному контролю за сертифицированными объектами ЕС ОрВД.

Федеральная аэронавигационная служба осуществляет государственную функцию по обязательной сертификации объектов ЕС ОрВД на основании подпункта 5.3.5.3 Положения о Федеральной аэронавигационной службе, утвержденного Постановлением Правительства Российской Федерации от 30 марта 2006 г. N 173 (Собрание законодательства Российской Федерации, 2006, N 15, ст. 1612; N 44, ст. 4593).

2. Исполнение государственной функции осуществляется в соответствии с:

Конституцией Российской Федерации;

Федеральным законом от 19 марта 1997 г. N 60-ФЗ "Воздушный кодекс Российской Федерации" (Собрание законодательства Российской Федерации, 1997, N 12, ст. 1383);

Указом Президента Российской Федерации от 5 сентября 2005 г. N 1049 "О Федеральной аэронавигационной службе" (Собрание законодательства Российской Федерации, 2005, N 37, ст. 3740);

Постановлением Правительства Российской Федерации от 30 марта 2006 г. N 173 "О Федеральной аэронавигационной службе" (Собрание законодательства Российской Федерации, 2006, N 15, ст. 1612; N 44, ст. 4593).

Постановлением Правительства Российской Федерации от 18 июня 1998 г. N 605 "О государственном регулировании и организации использования воздушного пространства Российской Федерации" (Собрание законодательства Российской Федерации, 1998, N 26, ст. 3077);

Постановлением Правительства Российской Федерации от 22 сентября 1999 г. N 1084 "Об утверждении Федеральных правил использования воздушного пространства Российской Федерации" (Собрание законодательства Российской Федерации, 1999, N 40, ст. 4861).

В связи с утратой силы Постановления Правительства Российской Федерации от 22.09.99 N 1084, следует руководствоваться принятым взамен Постановлением Правительства РФ от 11.03.2010 N 138.

3. Реализация государственной функции по осуществлению обязательной сертификации объектов ЕС ОрВД включает в себя:

исполнение государственной функции по обязательной сертификации объектов ЕС ОрВД, а также последующему инспекционному контролю за сертифицированными объектами ЕС ОрВД;

предоставление потребителям результатов исполнения государственной функции по обязательной сертификации объектов ЕС ОрВД.

4. Исполнение государственной функции по обязательной сертификации объектов ЕС ОрВД, а также последующему инспекционному контролю за сертифицированными объектами ЕС ОрВД включает в себя следующие административные процедуры:

проведение обязательной сертификации и предоставление заявителям результатов исполнения государственной функции по обязательной сертификации объектов ЕС ОрВД;

доведение информации о результатах сертификации до сведения участников сертификации;

проведение инспекционного контроля за сертифицированными объектами ЕС ОрВД;

анализ полученных в результате инспекционного контроля результатов и принятие соответствующего решения.

5. Предоставление заявителям результатов исполнения государственной функции по обязательной сертификации объектов ЕС ОрВД включает в себя следующие административные процедуры:

прием заявки на проведение сертификации;

рассмотрение заявки и принятие решения о проведении сертификации;

проведение оценки соответствия (предварительная оценка и инспекционная проверка) объекта ЕС ОрВД сертификационным требованиям;

анализ полученных результатов и принятие решения по результатам сертификации;

оформление, регистрация и выдача сертификата годности к эксплуатации (далее - сертификат).

6. Росаэронавигация обеспечивает выполнение функции по обязательной сертификации объектов ЕС ОрВД с привлечением подведомственной организации - Федерального государственного унитарного предприятия "Государственный научно-исследовательский институт аэронавигации" (далее - центр сертификации), осуществляющей оценку соответствия объектов ЕС ОрВД сертификационным требованиям.

Центр сертификации несет всю полноту ответственности за выполняемую работу перед Росаэронавигацией в соответствии с законодательством Российской Федерации.

7. Государственная функция по обязательной сертификации объектов ЕС ОрВД, а также последующему инспекционному контролю за сертифицированными объектами ЕС ОрВД исполняется Росаэронавигацией.

Предоставление заявителям результатов исполнения государственной функции по обязательной сертификации объектов ЕС ОрВД осуществляется Росаэронавигацией и центром сертификации.

8. Проведение обязательной сертификации объектов ЕС ОрВД осуществляется возмездно.

II. Требования к порядку исполнения государственной функции

Порядок информирования об исполнении государственной функции

9. Информация о порядке исполнения государственной функции предоставляется:

непосредственно Росаэронавигацией и центром сертификации, исполняющими государственную функцию;

с использованием средств телефонной связи, электронного информирования, вычислительной и электронной техники;

посредством размещения в информационно-телекоммуникационных сетях общего пользования (в том числе в сети Интернет), публикации в средствах массовой информации, издания информационных материалов (брошюр, буклетов и т.д.).

10. Сведения о местонахождении, контактных телефонах (телефонах для справок), Интернет-адресах, адресах электронной почты Росаэронавигации, центра сертификации, исполняющих государственную функцию, приводятся в приложении N 1 к настоящему Административному регламенту и размещаются:

на Интернет-сайтах Росаэронавигации и центра сертификации.

11. Сведения о графике (режиме) работы Росаэронавигации и центра сертификации (приложении N 2 к настоящему Административному регламенту) сообщаются по телефонам для справок (консультаций), а также размещаются:

на Интернет-сайтах Росаэронавигации и центра сертификации.

12. Информация о процедуре исполнения государственной функции сообщается по номерам телефонов для справок (консультаций), а также размещается в информационно-телекоммуникационных сетях общего пользования (в том числе в сети Интернет), публикуется в средствах массовой информации, на информационных стендах Росаэронавигации и центра сертификации, в раздаточных информационных материалах (например, брошюрах, буклетах и т.п.).

13. На информационных стендах в помещении, предназначенном для приема документов на осуществление сертификации, Интернет-сайтах Росаэронавигации и центра сертификации размещается следующая информация:

извлечения из законодательных и иных нормативных правовых актов, содержащих нормы, регулирующие деятельность по исполнению государственной функции;

текст Административного регламента с приложениями (полная версия на Интернет-сайте и извлечения, включая образцы заявлений об осуществлении сертификации, на информационных стендах);

блок-схемы (приложение N 3 к настоящему Административному регламенту) и краткое описание порядка исполнения государственной функции;

перечни документов, необходимых для осуществления сертификации, и требования, предъявляемые к этим документам;

образцы оформления документов, необходимых для исполнения государственной функции, и требования к ним;

схема размещения специалистов и режим приема ими граждан;

таблица сроков исполнения государственной функции в целом и максимальных сроков выполнения отдельных административных процедур, времени приема документов и т.д.;

основания отказа в предоставлении заявителям результатов исполнения государственной функции;

порядок информирования о ходе исполнения государственной функции;

порядок получения консультаций;

порядок обжалования решений, действий или бездействия должностных лиц, исполняющих государственную функцию.

14. При ответах на телефонные звонки и устные обращения специалисты подробно и в вежливой (корректной) форме информируют обратившихся по интересующим их вопросам. Ответ на телефонный звонок должен начинаться с информации о наименовании органа, в который позвонил гражданин, фамилии, имени, отчестве и должности специалиста, принявшего телефонный звонок.

Время разговора не должно превышать 10 минут.

При невозможности специалиста, принявшего звонок, самостоятельно ответить на поставленные вопросы телефонный звонок должен быть переадресован (переведен) на другое должностное лицо, или же обратившемуся гражданину должен быть сообщен телефонный номер, по которому можно получить необходимую информацию.

15. Информирование о ходе исполнения государственной функции осуществляется специалистами при личном контакте с заявителями, с использованием средств Интернет, почтовой, телефонной связи, посредством электронной почты.

16. Заявители, представившие в Росаэронавигацию и центр сертификации документы для осуществления сертификации, в обязательном порядке информируются специалистами:

об отказе в предоставлении заявителям результатов исполнения государственной функции;

о сроке завершения оформления документов и возможности их получения.

Информация об отказе в предоставлении заявителям результатов исполнения государственной функции направляется заявителю заказным письмом и дублируется по телефону или электронной почте, указанным в заявлении о проведении сертификации (при наличии соответствующих данных в заявлении).

Информация о сроке завершения оформления документов и возможности их получения заявителю сообщается при подаче документов, а в случае сокращения срока - по указанному в заявлении о проведении сертификации телефону и/или электронной почте.

17. В любое время с момента приема документов на проведение сертификации заявитель имеет право на получение сведений о прохождении процедуры сертификации при помощи телефона, средств Интернета, электронной почты или посредством личного посещения Росаэронавигации и центра сертификации.

18. Для получения сведений о прохождении процедуры сертификации заявителем указываются (называются) дата и входящий номер в полученной при подаче документов расписке. Заявителю предоставляются сведения о том, на каком этапе (в процессе выполнения какой административной процедуры) процедуры осуществления сертификации находится представленный им пакет документов.

Порядок получения консультаций (справок) об исполнении государственной функции

19. Консультации (справки) по вопросам исполнения государственной функции предоставляются специалистами, исполняющими государственную функцию, в том числе специалистами, специально выделенными для предоставления консультаций.

20. Консультации предоставляются по следующим вопросам:

перечня документов, необходимых для осуществления процедуры сертификации, комплектности (достаточности) представленных документов;

размера оплаты за осуществление процедуры сертификации;

источника получения документов, необходимых для осуществления процедуры сертификации (орган, организация и их местонахождение);

времени приема и выдачи документов;

сроков предоставления заявителям результатов исполнения государственной функции;

порядка обжалования действий (бездействия) и решений, осуществляемых и принимаемых в ходе исполнения государственной функции.

21. Консультации предоставляются при личном обращении, посредством Интернет-сайта, телефона или электронной почты.

При консультировании по письменным обращениям ответ на обращение направляется почтой в адрес заявителя в срок, не превышающий 30 дней с момента поступления письменного обращения.

При осуществлении консультирования по телефону должностные лица Росаэронавигации и центра сертификации обязаны, в соответствии с поступившим запросом, предоставлять информацию по следующим вопросам:

информацию о входящих номерах, под которыми зарегистрированы в системе делопроизводства Росаэронавигации и центра сертификации заявления по вопросам сертификации;

информацию о принятии решения по конкретному заявлению по вопросам сертификации;

сведения о нормативных актах по вопросам сертификации и предоставления заявителям результатов исполнения государственной функции (наименование, номер, дата принятия нормативного правового акта);

перечень необходимых документов для получения сертификата;

требования к заверению документов, прилагаемых к заявлению;

место размещения на официальном сайте Росаэронавигации и центра сертификации информации о выданных сертификатах, а также справочных материалов по вопросам сертификации.

Иные вопросы рассматриваются Росаэронавигацией и центром сертификации только на основании соответствующего письменного обращения.

При консультировании по электронной почте ответ на обращение направляется на электронный адрес заявителя в срок, не превышающий 2 рабочих дней с момента поступления обращения, при ответах на вопросы, перечень которых установлен в настоящем пункте для осуществления консультирования по телефону.

В иных случаях ответ на обращение направляется по электронной почте на электронный адрес заявителя в срок, не превышающий 10 дней с момента поступления обращения.

22. Консультации общего характера (о местонахождении, графике работы, требуемых документах) могут предоставляться с использованием средств автоинформирования. При автоинформировании обеспечивается круглосуточное предоставление справочной информации.

Результат исполнения государственной функции

23. Конечными результатами исполнения государственной функции могут являться:

проведение процедуры сертификации;

выдача сертификата на объект ЕС ОрВД;

отказ в проведении процедуры сертификации;

отказ в выдаче сертификата;

аннулирование ранее выданного сертификата;

выдача информации о выданных сертификатах на объекты ЕС ОрВД.

24. Процедура исполнения государственной функции завершается путем получения заявителем:

сертификата на объект ЕС ОрВД;

сообщения об отказе проведении процедуры сертификации;

извещения об отказе в выдаче сертификата;

выписок из реестра о выданных сертификатах на объекты ЕС ОрВД.

Требования к составу документов, необходимых для исполнения государственной функции

25. Для проведения процедуры сертификации заявителем предоставляются документы в соответствии с перечнем документов для осуществления процедуры обязательной сертификации объектов ЕС ОрВД согласно пункту 27 настоящего Административного регламента.

26. По своему желанию заявитель дополнительно может представить иные документы, которые, по его мнению, имеют значение для осуществления процедуры обязательной сертификации объектов ЕС ОрВД.

Перечень документов, предоставляемых заявителями

27. Для осуществления процедуры обязательной сертификации объектов ЕС ОрВД заявителями представляются в Росаэронавигацию на имя руководителя структурного подразделения Росаэронавигации, уполномоченного на проведение работ по сертификации:

заявка на проведение сертификации (приложение N 4 к настоящему Административному регламенту);

комплект документации, представляемой для оценки соответствия объекта ЕС ОрВД, согласно перечню, приведенному в приложении 4, лист 2, к настоящему Административному регламенту (далее - доказательная документация).

Не допускается истребование у заявителя дополнительных документов, за исключением указанных в настоящем пункте и в случаях, предусмотренных настоящим Административным регламентом, если иное не установлено законодательством Российской Федерации.

Требования к документам, предоставляемым заявителями

28. Заявка на проведение сертификации должна быть заполнена машинным способом, распечатана посредством электронных печатающих устройств.

Заявка на проведение сертификации формируется в единственном экземпляре-подлиннике и подписывается заявителем.

29. Результаты исполнения государственной функции предоставляются заявителям на основании письменной заявки, подаваемой в Росаэронавигацию.

Письменное заявление может быть направлено по почте или доставлено заявителем непосредственно в экспедицию Росаэронавигации.

30. Необходимые для проведения сертификации документы представляются не менее чем в двух экземплярах-подлинниках, один из которых после проведения процедуры сертификации должен быть возвращен заявителю с отметкой о регистрации, второй - помещается в дело, сопровождающее реестр выданных сертификатов.

Иные необходимые для проведения сертификации документы (за исключением актов органов государственной власти и актов органов местного самоуправления, а также актов судов) представляются не менее чем в двух экземплярах, один из которых - подлинник после проведения сертификации должен быть возвращен заявителю.

31. Тексты документов, представляемых для проведения процедуры сертификации, должны быть написаны разборчиво, наименования юридических лиц - без сокращения, с указанием их мест нахождения. Фамилии, имена и отчества физических лиц, адреса их мест жительства должны быть написаны полностью.

Не подлежат приему для проведения процедуры сертификации документы, имеющие подчистки либо приписки, зачеркнутые слова и иные, не оговоренные в них исправления, документы, исполненные карандашом, а также документы с серьезными повреждениями, не позволяющими однозначно истолковать их содержание.

Общий срок исполнения государственной функции

32. Общий срок исполнения государственной функции и предоставления заявителям результатов исполнения государственной функции определяется настоящим Административным регламентом.

33. Срок исправления технических ошибок, допущенных при оформлении сертификата, не должен превышать 3 дней с момента обнаружения ошибки или получения от любого заинтересованного лица в письменной форме заявления об ошибке в записях.

III. Административные процедуры

Последовательность административных действий (процедур)

34. Исполнение государственной функции включает в себя следующие административные процедуры:

прием заявки на проведение сертификации;

рассмотрение заявки и принятие решения о проведении сертификации;

проведение оценки соответствия (предварительная оценка и инспекционная проверка) объекта ЕС ОрВД сертификационным требованиям;

анализ полученных результатов и принятие решения по результатам сертификации;

оформление, регистрация и выдача сертификата годности к эксплуатации (далее - сертификат);

доведение информации о результатах сертификации до сведения участников сертификации;

проведение инспекционного контроля за сертифицированными объектами ЕС ОрВД;

анализ полученных в результате инспекционного контроля результатов и принятие соответствующего решения;

выдача информации о результатах сертификации.

Последовательность действий при предоставлении заявителям результатов исполнения государственной функции по обязательной сертификации

Прием заявки на проведение сертификации

35. Основанием для начала исполнения государственной функции является обращение заявителя (его законного представителя) в Росаэронавигацию с комплектом документов, необходимых для проведения процедуры сертификации.

Заявка с комплектом доказательной документации принимается не позднее чем за четыре месяца до планируемого срока начала проведения сертификации.

36. Специалист, ответственный за прием документов, устанавливает личность заявителя, в том числе проверяет документ, удостоверяющий личность.

Максимальный срок выполнения действия составляет 5 минут на каждого заявителя.

Специалист, ответственный за прием документов, проверяет полномочия заявителя, в том числе полномочия представителя действовать от его имени, полномочия представителя юридического лица действовать от имени юридического лица.

Максимальный срок выполнения действия составляет 5 минут на каждого заявителя.

37. Специалист, ответственный за прием документов, проверяет соответствие представленных документов требованиям, установленным законодательством и настоящим Административным регламентом, удостоверяясь, что:

документы скреплены печатями, имеют надлежащие подписи сторон или определенных законодательством должностных лиц;

тексты документов написаны разборчиво, наименования юридических лиц - без сокращения, с указанием их мест нахождения;

фамилии, имена и отчества физических лиц, адреса их мест жительства написаны полностью;

в документах нет подчисток, приписок, зачеркнутых слов и иных неоговоренных исправлений;

документы не исполнены карандашом;

документы не имеют серьезных повреждений, наличие которых не позволяет однозначно истолковать их содержание.

Максимальный срок выполнения действия составляет 10 минут на документ, состоящий не более чем из 6 страниц. При большем количестве страниц срок увеличивается на 10 минут для каждых 6 страниц представляемых документов.

38. Специалист, ответственный за прием документов, сличает представленные экземпляры оригиналов и копий документов, выполняет на них надпись об их соответствии подлинным экземплярам, заверяет своей подписью с указанием фамилии и инициалов и предлагает заявителю заверить надпись своей подписью.

Максимальный срок выполнения действия составляет 3 минуты на каждую пару документ-копия, состоящую не более чем из 12 страниц. При большем количестве страниц срок увеличивается на 1 минуту для каждых 6 страниц представляемых документов.

39. При установлении фактов отсутствия необходимых документов, несоответствия представленных документов требованиям, указанным в пунктах 27, 35 и 37 настоящего Административного регламента, специалист, ответственный за прием документов, уведомляет заявителя о наличии препятствий для предоставления заявителям результатов исполнения государственной функции, объясняет заявителю содержание выявленных недостатков в представленных документах и предлагает принять меры по их устранению.

При желании заявителя устранить препятствия, прервав подачу документов для получения заявителем результатов исполнения государственной функции, специалист, ответственный за прием документов, формирует перечень выявленных препятствий для получения заявителем результатов исполнения государственной функции в 2-х экземплярах и передает его заявителю для подписания. Первый экземпляр перечня выявленных препятствий для получения заявителем результатов исполнения государственной функции вместе с представленными документами передается заявителю, второй остается у специалиста.

При желании заявителя устранить препятствия позднее (после подачи документов на получение заявителем результатов исполнения государственной функции) путем представления дополнительных или исправленных документов специалист, ответственный за прием документов, обращает его внимание на наличие препятствий для проведения процедуры сертификации и предлагает заявителю письменно подтвердить факт уведомления.

Максимальный срок выполнения действия составляет 5 минут.

40. При отсутствии у заявителя заполненной заявки или неправильном ее заполнении специалист, ответственный за прием документов, заполняет самостоятельно в программно-техническом комплексе (с последующим представлением на подпись заявителю) или помогает заявителю собственноручно заполнить заявку.

Максимальный срок выполнения действия составляет 6 минут.

41. Специалист, ответственный за прием документов, вносит в книгу учета входящих документов запись о приеме документов в соответствии с Правилами ведения книг учета документов:

порядковый номер записи;

дату и время приема с точностью до минуты;

общее количество документов и общее число листов в документах;

данные о заявителе;

сведения об объекте прав;

цель обращения заявителя (проведение сертификации и т.д.);

свои фамилию и инициалы.

Максимальный срок выполнения действия составляет 5 минут.

42. Специалист, ответственный за прием документов, оформляет расписку о приеме документов по установленной форме в 2-х экземплярах. В расписке в том числе указываются:

дата представления документов;

перечень документов с указанием их наименования, реквизитов;

количество экземпляров каждого из представленных документов (подлинных экземпляров и их копий);

количество листов в каждом экземпляре документа;

номер книги учета входящих документов и порядковый номер записи в книге учета входящих документов;

отметка о соответствии или несоответствии представленных документов установленным требованиям, в том числе отметка об отсутствии всех необходимых для начала процедуры сертификации;

фамилия и инициалы специалиста, принявшего документы и сделавшего соответствующую запись в книге учета входящих документов, а также его подпись;

телефон, фамилия и инициалы специалиста, у которого заявитель в течение срока проведения процедуры сертификации может узнать о стадии рассмотрения документов и времени, оставшемся до ее завершения.

Максимальный срок выполнения действия составляет 5 минут.

43. Специалист, ответственный за прием документов, передает заявителю первый экземпляр расписки, а второй экземпляр помещает в дело правоустанавливающих документов.

Максимальный срок выполнения действия составляет 1 минуту.

44. Специалист формирует результат административной процедуры по приему документов и передает его в порядке делопроизводства для рассмотрения заявки.

Максимальный срок выполнения действия составляет 1 минуту.

45. Общий максимальный срок приема документов от физических лиц и их представителей не может превышать 30 минут.

Общий максимальный срок приема документов от юридических лиц не может превышать 45 минут.

46. Регистрация полученной по почте заявки осуществляется специалистом структурного подразделения Росаэронавигации, ответственного за делопроизводство, не позднее дня, следующего за днем получения.

Рассмотрение заявки и принятие решения о проведении сертификации

47. Должностное лицо структурного подразделения, уполномоченного для рассмотрения заявки, рассматривает ее и выносит решение о начале процедуры рассмотрения заявки и доказательной документации.

48. Специалист структурного подразделения, уполномоченного для рассмотрения заявки, в процессе ее рассмотрения и анализа обязан установить:

заявителем представлены документы, подтверждающие его юридический статус;

состав и качество представленной доказательной документации позволяет провести предварительную оценку заявленного к сертификации объекта ЕС ОрВД.

49. При оценке заявки специалист обязан:

получить полную информацию об объекте ЕС ОрВД, необходимую для назначения или вынесения решения об отказе в назначении проведения процедур сертификации;

разъяснить заявителю, какие ограничения могут быть установлены при выдаче сертификата;

направить заявителю письменное уведомление с перечнем недостатков (если они имеются), которые были обнаружены в ходе рассмотрения заявки, и рекомендации по их устранению. В случае неустранения заявителем в назначенные сроки указанных недостатков заявка на проведение сертификации отклоняется, о чем в письменном виде сообщается заявителю.

50. Специалист, установив соответствие (или несоответствие) заявки и доказательной документации установленным требованиям для проведения процедуры сертификации, готовит проект решения и передает его должностному лицу структурного подразделения, уполномоченному для рассмотрения заявки.

В случае одновременного поступления от заявителя нескольких заявок допускается оформление одного решения по нескольким поступившим заявкам.

Максимальный срок рассмотрения заявки составляет 10 дней со дня ее представления.

51. В случае принятия решения о проведении сертификации (приложение N 5 к настоящему Административному регламенту) оно направляется заявителю и в центр сертификации.

Отказ в проведении процедуры сертификации направляется заявителю.

Проведение оценки соответствия объекта ЕС ОрВД сертификационным требованиям

Предварительная оценка

52. Предварительная оценка объекта ЕС ОрВД сертификационным требованиям проводится центром сертификации посредством экспертизы представленной доказательной документации.

Основанием для проведения предварительной оценки объекта ЕС ОрВД сертификационным требованиям является решение о проведении сертификации, предусмотренное пунктом 51 настоящего Административного регламента.

53. В процессе предварительной оценки объекта ЕС ОрВД сертификационным требованиям должно быть установлено наличие или отсутствие (недостаточное наличие) того, что:

представленные в доказательной документации материалы позволяют провести оценку соответствия объекта ЕС ОрВД сертификационным требованиям;

заявитель располагает всем необходимым (специалистами, оборудованием, зданиями, сооружениями, документацией и т.п.) для обеспечения функционирования сертифицируемого объекта в соответствии с сертификационными требованиями;

руководители и специалисты заявителя прошли повышение квалификации;

заявитель в состоянии обеспечить объем работ, определяемый заявляемой сферой деятельности, в соответствии с сертификационными требованиями.

Максимальный срок проведения предварительной оценки составляет 20 дней с момента получения решения о проведении сертификации.

54. По результатам предварительной оценки объекта ЕС ОрВД сертификационным требованиям центром сертификации составляется заключение по предварительной оценке объекта ЕС ОрВД сертификационным требованиям (приложение N 6 к настоящему Административному регламенту), направляемое заявителю.

55. Заявитель в течение 30 дней с момента (даты) получения заключения по предварительной оценке объекта ЕС ОрВД сертификационным требованиям должен представить доклад об устранении замечаний, отмеченных в заключении.

Доклад об устранении замечаний и внесении, при необходимости, изменений в доказательную документацию заявитель направляет в центр сертификации.

56. В случае непредставления заявителем в установленный срок доклада об устранении замечаний или письменного уведомления об увеличении сроков устранения замечаний (но не более чем на 15 дней) работы по предварительной оценке приостанавливаются, о чем письменно сообщается в структурное подразделение Росаэронавигации, уполномоченное для рассмотрения заявки, для принятия решения о прекращении работ и уведомления об этом заявителя.

Инспекционная проверка

57. Основанием для проведения центром сертификации инспекционной проверки объекта ЕС ОрВД является решение о проведении инспекционной проверки с назначением комиссии экспертов (приложение N 7 к настоящему Административному регламенту), утверждаемое должностным лицом (руководителем) структурного подразделения Росаэронавигации, уполномоченного для рассмотрения заявки, после доклада заявителя об устранении замечаний, отмеченных в заключении по предварительной оценке объекта ЕС ОрВД сертификационным требованиям.

58. Объем инспекционной проверки устанавливается Программой инспекционной проверки (приложение N 8 к настоящему Административному регламенту).

59. Комиссия экспертов приступает к проведению инспекционной проверки объекта ЕС ОрВД.

При проведении инспекционной проверки объекта ЕС ОрВД должно быть установлено (наличие или отсутствие), что:

устранены замечания, отмеченные в заключении по предварительной оценке объекта ЕС ОрВД сертификационным требованиям;

сфера деятельности объекта ЕС ОрВД в полном объеме соответствует заявленной;

обеспечено соответствие характеристик объекта ЕС ОрВД сертификационным требованиям.

Максимальный срок проведения инспекционной проверки составляет 10 дней.

60. По результатам проведенной инспекционной проверки комиссия экспертов составляет акт инспекционной проверки (приложение N 9 к настоящему Административному регламенту).

Акт инспекционной проверки представляется на утверждение должностному лицу (руководителю) структурного подразделения Росаэронавигации, уполномоченного для рассмотрения заявки.

Максимальный срок выполнения действия составляет 10 дней.

61. Утвержденный акт инспекционной проверки объекта ЕС ОрВД направляется заявителю, копии акта инспекционной проверки объекта ЕС ОрВД хранятся в структурном подразделении Росаэронавигации, уполномоченном для рассмотрения заявки, и в центре сертификации, проводившем работы, до окончания срока действия сертификата и в течение 60-ти дней при отрицательных результатах сертификации.

62. Заявитель в течение 30 дней с момента (даты) получения утвержденного акта инспекционной проверки должен представить доклад об устранении замечаний в центр сертификации.

В случае непредставления заявителем в установленный срок доклада об устранении замечаний или письменного уведомления об увеличении сроков устранения замечаний (но не более чем на 15 дней) результаты сертификации признаются отрицательными.

Анализ полученных результатов и принятие решения по результатам сертификации

63. По итогам оценки соответствия объекта ЕС ОрВД сертификационным требованиям и доклада заявителя об устранении замечаний (при их наличии) центром сертификации разрабатывается комплексное заключение по результатам сертификации (приложение N 10 к настоящему Административному регламенту).

64. Руководитель центра сертификации предоставляет в структурное подразделение Росаэронавигации, уполномоченное для рассмотрения заявки, комплексное заключение по результатам предыдущих этапов работ.

Максимальный срок выполнения действия составляет 10 дней с момента поступления доклада об устранении замечаний (при их наличии).

65. Должностное лицо (руководитель) структурного подразделения Росаэронавигации, уполномоченного для рассмотрения заявки, на основании комплексного заключения по результатам сертификации принимает одно из следующих решений:

о выдаче (переоформлении, продлении срока действия) сертификата;

о мотивированном отказе в выдаче (переоформлении, продлении срока действия) сертификата.

66. Основанием для выдачи сертификата или мотивированном отказе в его выдаче является решение по результатам сертификации (приложение N 11 к настоящему Административному регламенту), выносимое должностным лицом (руководителем) структурного подразделения Росаэронавигации, уполномоченного для рассмотрения заявки, на основании комплексного заключения по результатам сертификации (пункт 64 настоящего Административного регламента).

Решение о выдаче сертификата принимается при соответствии объекта ЕС ОрВД сертификационным требованиям.

Мотивированный отказ в выдаче сертификата оформляется при несоответствии объекта ЕС ОрВД сертификационным требованиям.

Оформление, регистрация и выдача сертификата

67. Сертификат на объект ЕС ОрВД оформляется специалистом структурного подразделения Росаэронавигации, уполномоченного для рассмотрения заявки, и подписывается его должностным лицом (руководителем).

Сертификат регистрируется и заверяется печатью Росаэронавигации.

68. Выдача сертификата заявителю производится структурным подразделением Росаэронавигации, уполномоченным для рассмотрения заявки.

Выдача сертификата проводится после уплаты заявителем в соответствии с пунктом 78 части 1 статьи 333.33 Налогового кодекса Российской Федерации государственной пошлины в размере 100 рублей и представлении соответствующего документа об уплате.

Уплата государственной пошлины осуществляется заявителем по следующим реквизитам:

УФК по г. Москве (Федеральная аэронавигационная служба, л/с 03179001790)

ИНН 7714651949

КПП 771401001

Отделение N 1 Московского ГТУ Банка России г. Москвы

БИК 044583001

Р/С N 40101810800000010041

КБК 17910807200010001110

ОКАТО 45277598000.

Сертификат вступает в силу с момента его регистрации правовым подразделением Росаэронавигации.

69. В сертификате указываются дата выдачи и срок действия, сведения о продлении действия сертификата, в приложении к сертификату - сфера деятельности объекта ЕС ОрВД.

Образец бланка сертификата приведен в приложении N 12 к настоящему Административному регламенту.

Последовательность административных действий при исполнении государственной функции по обязательной сертификации объектов ЕС ОрВД, а также последующему инспекционному контролю за сертифицированными объектами ЕС ОрВД

Доведение информации о результатах сертификации до сведения участников сертификации

70. Структурное подразделение Росаэронавигации, уполномоченное для рассмотрения заявки, доводит информацию об отказе в выдаче сертификата до участников сертификации, а о приостановлении действия или об аннулировании (отмене) сертификата - до держателей сертификата в течение 10 дней, считая первым день подписания решения об отказе в выдаче, приостановлении действия или аннулировании (отмене) сертификата.

71. При внесении изменений, которые могут повлиять на соответствие сертифицированного объекта ЕС ОрВД сертификационным требованиям, держатель сертификата извещает об этом структурное подразделение Росаэронавигации, уполномоченное для рассмотрения заявки. Должностное лицо (руководитель) структурного подразделения Росаэронавигации, уполномоченного для рассмотрения заявки, принимает решение о необходимости проведения повторной инспекционной проверки или инспекционного контроля, которые проводятся в порядке, предусмотренном пунктами 57 - 62 настоящего Административного регламента.

72. В случае реорганизации, изменения организационно-правовой формы, места нахождения или наименования держателя сертификата по заявлению держателя сертификата структурным подразделением Росаэронавигации, уполномоченным для рассмотрения заявки, производится выдача (замена) сертификата в порядке, установленном настоящим Административным регламентом.

В указанном случае ранее выданный сертификат, если срок действия его не истек, считается действующим до момента (даты) вступления в силу вновь выданного сертификата.

73. Если изменения, указанные в пункте 72 настоящего Административного регламента, не повлекли за собой изменений структуры, сферы деятельности, технических характеристик сертифицированного объекта ЕС ОрВД, допускается по заявлению держателя сертификата проводить выдачу сертификата взамен ранее выданного после проведения инспекционного контроля.

Инспекционный контроль за сертифицированными объектами ЕС ОрВД

74. Инспекционный контроль за сертифицированными объектами ЕС ОрВД организует и проводит структурное подразделение Росаэронавигации, уполномоченное для проведения работ по сертификации, с привлечением центра сертификации.

75. Инспекционный контроль может быть плановым и внеплановым.

76. Основанием для проведения планового инспекционного контроля является решение по результатам сертификации и разрабатываемый структурным подразделением Росаэронавигации, уполномоченным для проведения работ по сертификации, ежегодный план инспекционного контроля.

Периодичность проведения планового инспекционного контроля конкретного объекта ЕС ОрВД устанавливается в решении по результатам сертификации.

77. Основанием для проведения внепланового инспекционного контроля является снижение безопасности полетов воздушных судов вследствие отступления характеристик объектов ЕС ОрВД от сертификационных требований.

О проведении внепланового инспекционного контроля держатель сертификата уведомляется не позднее чем за один месяц до начала проведения работ.

78. Инспекционный контроль сертифицированного объекта ЕС ОрВД осуществляется в соответствии с решением о проведении инспекционного контроля, принимаемым должностным лицом (руководителем) структурного подразделения Росаэронавигации, уполномоченного для проведения работ по сертификации (приложение N 13 к Административному регламенту).

79. По результатам инспекционного контроля сертифицированного объекта ЕС ОрВД составляется акт инспекционного контроля (приложение N 14 к настоящему Административному регламенту).

Акт инспекционного контроля предоставляется на утверждение должностному лицу (руководителю) структурного подразделения Росаэронавигации, уполномоченного для проведения работ по сертификации.

Максимальный срок выполнения действий составляет 5 дней.

80. На основании полученного акта инспекционного контроля должностное лицо (руководитель) структурного подразделения Росаэронавигации, уполномоченного для проведения работ по сертификации, принимает решение по результатам инспекционного контроля (приложение N 15 к настоящему Административному регламенту).

Утвержденный акт инспекционного контроля сертифицированного объекта ЕС ОрВД и решение по результатам инспекционного контроля направляются держателю сертификата.

Копии акта инспекционного контроля объекта ЕС ОрВД и решения по результатам инспекционного контроля хранятся в структурном подразделении Росаэронавигации, уполномоченном для проведения работ по сертификации, и в центре сертификации.

Анализ полученных в результате инспекционного контроля результатов и принятие соответствующего решения

81. Результаты инспекционного контроля сертифицированного объекта ЕС ОрВД являются основанием для принятия должностным лицом (руководителем) структурного подразделения Росаэронавигации, уполномоченного для проведения работ по сертификации, следующих решений:

сохранение действия сертификата;

введение ограничений в сферу деятельности;

приостановление действия сертификата;

аннулирование (отмена) сертификата.

82. Основанием для сохранения действия сертификата является Акт инспекционного контроля, в котором подтверждается соответствие характеристик объекта ЕС ОрВД значениям, установленным при инспекционной проверке.

83. Основанием введения ограничений в сферу деятельности является изменение состава средств объекта ЕС ОрВД, исключающее возможность выполнения одной из составляющих сферы деятельности.

84. Решение об аннулировании сертификата может быть принято в случае:

предоставления держателем сертификата соответствующего заявления;

изменения сферы деятельности, указанной в сертификате;

неоднократного нарушения держателем сертификата сертификационных требований, а также требований иных нормативных документов, регламентирующих функционирование объекта ЕС ОрВД;

невыполнения держателем сертификата предписаний или распоряжений Росаэронавигации;

прекращение деятельности организации - держателя сертификата;

отрицательного результата инспекционного контроля сертифицированного объекта ЕС ОрВД;

непредставления держателем сертификата возможности проведения инспекционного контроля;

аннулирования (отмены) или приостановления действия разрешения на право эксплуатации средств (средства) сертифицированного объекта ЕС ОрВД;

аннулирования или приостановления действия сертификата типа оборудования;

несоответствия характеристик сертифицированного объекта ЕС ОрВД требованиям нормативных документов;

изменения места установки (позиции) сертифицированного объекта ЕС ОрВД;

замены объектообразующего средства сертифицированного объекта ЕС ОрВД;

модернизации сертифицированного объекта ЕС ОрВД с изменением технических характеристик;

списания объектообразующего средства (средств) сертифицированного объекта ЕС ОрВД.

Ведение реестра сертификатов на объекты ЕС ОрВД

85. Включение объекта ЕС ОрВД в реестр осуществляется на основании решения по результатам сертификации.

Исключение объекта ЕС ОрВД из реестра осуществляется на основании решения об аннулировании (отмене) сертификата.

86. Ведение реестра сертификатов на объекты ЕС ОрВД осуществляется в специальной книге (и/или специальной компьютерной программе) и включает в себя ведение баз данных, формируемых по признакам юридического статуса объектов ЕС ОрВД, организационно-правовой формы объектов и организаций-владельцев, территориальной и административной принадлежности, формы собственности и данных о состоянии сертификации.

87. Реестр сертификатов на объекты ЕС ОрВД состоит из разделов, содержащих сведения, предусмотренные порядком ведения данного реестра.

Выдача информации о сертификатах из реестра сертификатов на объекты ЕС ОрВД

88. Основанием для начала процедуры выдачи информации, содержащейся в реестре, является обращение заявителя с документом, удостоверяющим личность, и заполненным заявлением о выдаче информации или изготовлении копий соответствующих документов, содержащихся в реестре, или поступление официального запроса от органов государственной власти или органов местного самоуправления.

89. Специалист, ответственный за выдачу информации, проверяет личность заявителя, правомочность предоставления ему информации из реестра или проверяет правильность оформления запроса, поступившего из органа государственной власти (органа местного самоуправления), регистрирует поступивший запрос или заявление в книге учета выданной информации о зарегистрированных правах.

Максимальный срок выполнения действия составляет 4 минуты.

90. Специалист, ответственный за выдачу информации, осуществляет поиск требуемой информации в реестре.

Максимальный срок выполнения действия по поиску информации о сертификатах на объекты ЕС ОрВД составляет 10 минут при использовании системы ведения реестра в электронном виде и 20 минут при ведении реестра на бумажных носителях для каждого запроса по 1 сертификату, поступившего от 1 заявителя.

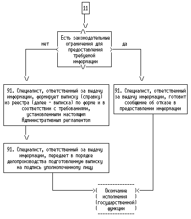
91. Специалист, ответственный за выдачу информации, формирует выписку (справку) из реестра (далее - выписка) по форме и в соответствии с требованиями, установленными настоящим Административным регламентом.

В установленных законодательством случаях специалист готовит сообщение об отказе в предоставлении информации.

Специалист, ответственный за выдачу информации, передает в порядке делопроизводства подготовленную выписку на подпись уполномоченному лицу.

Максимальный срок выполнения действия составляет 5 минут.

Порядок обжалования действий (бездействия) и решений, осуществляемых (принятых) в ходе исполнения государственной функции

92. В случае аннулирования, приостановления или отказа в выдаче сертификата при отрицательной оценке соответствия объекта ЕС ОрВД сертификационным требованиям, участники сертификации могут обратиться в структурное подразделение Росаэронавигации, уполномоченное для рассмотрения заявки, об обжаловании результатов сертификации.

Рассмотрение претензий проводится в течение 30 дней со дня получения. Решение по результатам рассмотрения доводится участникам сертификации в десятидневный срок. Контроль деятельности центра сертификации осуществляет Росаэронавигация.

93. Заявители могут обжаловать действия или бездействие должностных лиц:

центра сертификации - в Федеральную аэронавигационную службу;

Федеральной аэронавигационной службы - руководителю Федеральной аэронавигационной службы.

94. Заявители имеют право обратиться с жалобой лично или направить письменное обращение, жалобу (претензию).

95. Должностные лица Росаэронавигации проводят личный прием заявителей в установленном порядке.

96. При обращении заявителей в письменной форме срок рассмотрения жалобы не должен превышать 30 дней с момента регистрации такого обращения.

В исключительных случаях (в том числе при принятии решения о проведении проверки, направлении Росаэронавигацией запроса в центр сертификации о представлении дополнительных документов и материалов), а также в случае направления запроса другим государственным органам, органам местного самоуправления и иным должностным лицам для получения необходимых для рассмотрения обращения документов и материалов руководитель Росаэронавигации, иное уполномоченное на то должностное лицо вправе продлить срок рассмотрения обращения не более чем на 30 дней, уведомив о продлении срока его рассмотрения заявителя.

97. Заявитель в своем письменном обращении (жалобе) в обязательном порядке указывает либо наименование органа, в которое направляет письменное обращение, либо фамилию, имя, отчество соответствующего должностного лица, либо должность соответствующего лица, а также свои фамилию, имя, отчество (последнее - при наличии), полное наименование для юридического лица, почтовый адрес, по которому должны быть направлены ответ, уведомление о переадресации обращения, излагает суть предложения, заявления или жалобы, ставит личную подпись и дату.

Дополнительно могут быть указаны:

наименование органа, должности, фамилия, имя и отчество специалиста (при наличии информации), решение, действие (бездействие) которого обжалуется;

обстоятельства, на основании которых заявитель считает, что нарушены его права, свободы и законные интересы, созданы препятствия к их реализации либо незаконно возложена какая-либо обязанность;

иные сведения, которые заявитель считает необходимым сообщить.

В случае необходимости в подтверждение своих доводов заявитель прилагает к письменному обращению документы и материалы либо их копии.

98. По результатам рассмотрения жалобы должностным лицом Росаэронавигации принимается решение об удовлетворении требований заявителя либо об отказе в удовлетворении жалобы.

Письменный ответ, содержащий результаты рассмотрения обращения, направляется заявителю.

99. Если в письменном обращении не указаны фамилия заявителя, направившего обращение, и почтовый адрес, по которому должен быть направлен ответ, ответ на обращение не дается.

Росаэронавигация при получении письменного обращения, в котором содержатся нецензурные либо оскорбительные выражения, угрозы жизни, здоровью и имуществу должностного лица, а также членов его семьи, вправе оставить обращение без ответа по существу поставленных в нем вопросов и сообщить заявителю, направившему обращение, о недопустимости злоупотребления правом.

Если текст письменного обращения не поддается прочтению, ответ на обращение не дается, о чем сообщается заявителю, направившему обращение, если его фамилия и почтовый адрес поддаются прочтению.

Если в письменном обращении заявителя содержится вопрос, на который заявителю многократно давались письменные ответы по существу в связи с ранее направляемыми обращениями, и при этом в обращении не приводятся новые доводы или обстоятельства, руководитель Росаэронавигации, иное уполномоченное на то должностное лицо вправе принять решение о безосновательности очередного обращения и прекращении переписки с заявителем по данному вопросу при условии, что указанное обращение и ранее направляемые обращения направлялись в Росаэронавигацию или одному и тому же должностному лицу. О данном решении уведомляется заявитель, направивший обращение.

Если ответ по существу поставленного в обращении вопроса не может быть дан без разглашения сведений, составляющих государственную или иную охраняемую федеральным законом тайну, заявителю, направившему обращение, сообщается о невозможности дать ответ по существу поставленного в нем вопроса в связи с недопустимостью разглашения указанных сведений.

Если причины, по которым ответ по существу поставленных в обращении вопросов не мог быть дан, в последующем были устранены, заявитель вправе вновь направить обращение в Росаэронавигацию или к соответствующему должностному лицу Росаэронавигации.

100. Заявители могут сообщить о нарушении своих прав и законных интересов, противоправных решениях, действиях или бездействии должностных лиц Росаэронавигации, нарушении положений Административного регламента, некорректном поведении или нарушении служебной этики:

по номерам телефонов, содержащихся в приложении N 2 к настоящему Административному регламенту;

на Интернет-сайт и по электронной почте органов, исполняющих государственную функцию.

Сообщение заявителя должно содержать следующую информацию:

фамилию, имя, отчество гражданина (наименование юридического лица), которым подается сообщение, его место жительства или пребывания;

наименование органа, должность, фамилию, имя и отчество специалиста (при наличии информации), решение, действие (бездействие) которого нарушает права и законные интересы заявителя;

суть нарушенных прав и законных интересов, противоправного решения, действия (бездействия);

сведения о способе информирования заявителя о принятых мерах по результатам рассмотрения его сообщения.

Приложение N 1
к Административному регламенту
Федеральной аэронавигационной
службы по исполнению
государственной функции
по обязательной сертификации
объектов Единой системы
организации воздушного движения

СВЕДЕНИЯ О МЕСТОНАХОЖДЕНИИ, КОНТАКТНЫХ ТЕЛЕФОНАХ (ТЕЛЕФОНАХ ДЛЯ СПРАВОК), ИНТЕРНЕТ-АДРЕСАХ, АДРЕСАХ ЭЛЕКТРОННОЙ ПОЧТЫ РОСАЭРОНАВИГАЦИИ И ЦЕНТРА СЕРТИФИКАЦИИ

Почтовый адрес Росаэронавигации для направления заявок: Ленинградский проспект, 37, Москва, А-167, ГСП-3, 125993.

Телефон: (495) 155-69-21.

Факс:(495) 151-62-61.

Интернет-сайт: www.fana.ru.

Место нахождения экспедиции Росаэронавигации: Ленинградский проспект, 37, корп. 2, Москва, 125993.

Телефон экспедиции: (495) 155-52-90.

Приемная заместителя Руководителя Росаэронавигации:

Телефон: (495) 155-69-30.

Факс:(495) 151-33-35.

Электронная почта: Savitskiy_DV@fana.ru

Почтовый адрес Федерального государственного унитарного предприятия "ГосНИИ "Аэронавигация": Волоколамское шоссе, 26, Москва, 123182.

Телефон: (495) 190-35-76.

Факс: (495) 190-47-25.

Интернет-сайт: www.atminst.ru.

Электронная почта: info@atminst.ru.

Приложение N 2
к Административному регламенту
Федеральной аэронавигационной
службы по исполнению
государственной функции
по обязательной сертификации
объектов Единой системы
организации воздушного движения

СВЕДЕНИЯ О ГРАФИКЕ (РЕЖИМЕ) РАБОТЫ РОСАЭРОНАВИГАЦИИ И ЦЕНТРА СЕРТИФИКАЦИИ

График работы экспедиции Росаэронавигации:

с понедельника по пятницу с 9-00 до 17-00, перерыв с 12-00 до 13-00.

График работы канцелярии Федерального государственного унитарного предприятия "ГосНИИ "Аэронавигация":

с понедельника по пятницу с 9-00 до 17-30, перерыв с 12-00 до 12-30.

Приложение N 3
к Административному регламенту
Федеральной аэронавигационной
службы по исполнению
государственной функции
по обязательной сертификации
объектов Единой системы
организации воздушного движения

ПОСЛЕДОВАТЕЛЬНОСТЬ ДЕЙСТВИЙ ПРИ ПРЕДОСТАВЛЕНИИ ЗАЯВИТЕЛЯМ РЕЗУЛЬТАТОВ ИСПОЛНЕНИЯ ГОСУДАРСТВЕННОЙ ФУНКЦИИ ПО ОБЯЗАТЕЛЬНОЙ СЕРТИФИКАЦИИ

Прием заявки на проведение сертификации

Рассмотрение заявки и принятие решения о проведении сертификации

Проведение оценки соответствия объекта ЕС ОрВД сертификационным требованиям

Предварительная оценка

Инспекционная проверка

Анализ полученных результатов и принятие решения по результатам сертификации

Оформление, регистрация и выдача сертификата

Последовательность административных действий при исполнении государственной функции по обязательной сертификации объектов ЕС ОРВД, а также последующему инспекционному контролю за сертифицированными объектами ЕС ОрВД

Инспекционный контроль за сертифицированными объектами ЕС ОрВД

Плановый инспекционный контроль

Внеплановый инспекционный контроль

Анализ полученных в результате инспекционного контроля результатов и принятие соответствующего решения

Выдача информации о сертификатах, иной информации, содержащейся в реестре сертификатов на объекты ЕС ОрВД

Приложение N 4
к Административному регламенту
Федеральной аэронавигационной
службы по исполнению
государственной функции
по обязательной сертификации
объектов Единой системы
организации воздушного движения

ОБРАЗЕЦ
 
                              ЗАЯВКА
                    на проведение сертификации
 
    1. ___________________________________________________________
                         (наименование заявителя)
Место нахождения: ________________________________________________
Телефон, факс: ___________________________________________________
Расчетный счет: __________________________________________________
в лице ___________________________________________________________
                     (Ф.И.О. руководителя заявителя)
просит провести сертификацию _____________________________________
                                (наименование объекта ЕС ОрВД)
на соответствие сертификационным требованиям.
    2. Заявленная сфера деятельности _____________________________
    3. Дополнительные сведения ___________________________________
    4. Приложения ________________________________________________
 
Руководитель заявителя ___________________________________________
                                   (Ф.И.О., подпись)
 
М.П.
"__" ___________ 200_ г.
 
 
 

Приложение N 4 (лист 2)
к Административному регламенту
Федеральной аэронавигационной
службы по исполнению
государственной функции
по обязательной сертификации
объектов Единой системы
организации воздушного движения

ОБРАЗЕЦ

ПЕРЕЧЕНЬ
ДОКАЗАТЕЛЬНОЙ ДОКУМЕНТАЦИИ, ПРЕДСТАВЛЯЕМОЙ ЗАЯВИТЕЛЕМ В РОСАЭРОНАВИГАЦИЮ ДЛЯ ОЦЕНКИ СООТВЕТСТВИЯ ОБЪЕКТА ЕС ОРВД

1. Копия паспорта объекта.

2. Справка об укомплектованности объекта персоналом (согласно штатному расписанию) с представлением следующих сведений:

фамилия, имя, отчество, занимаемая должность;

образование (учебное заведение, квалификация по диплому);

документ (свидетельство) об окончании курсов повышения квалификации (дата, учебное заведение, наименование программы повышения квалификации);

свидетельство об окончании руководителем объекта курсов по обеспечению безопасности полетов;

прохождение периодической аттестации (результат аттестации).

3. Копии следующих документов:

акт разграничения ответственности за эксплуатацию электроустановок между службой ЭРТОС и энергоснабжающей организацией;

инструкция(и) по резервированию оборудования, электроснабжения, линий связи и управления;

таблица нормативного времени переключения (перехода) на резерв;

план-график технического обслуживания и ремонта объекта.

4. Выписки за последние шесть месяцев из журналов замечаний летного и диспетчерского состава (относящиеся к данному объекту радиотехнического обеспечения и связи).

5. Перечень инструкций по охране труда и пожарной безопасности.

6. Справка об отказах объекта за последние пять лет (с указанием причины и времени неработоспособного состояния).

Приложение N 5
к Административному регламенту
Федеральной аэронавигационной
службы по исполнению
государственной функции
по обязательной сертификации
объектов Единой системы
организации воздушного движения

ОБРАЗЕЦ
 
                         Руководителю ____________________________
                                        (наименование заявителя,
                                                Ф.И.О.)
                         Руководителю ____________________________
                                          (наименование центра
                                          сертификации, Ф.И.О.)
 
                             РЕШЕНИЕ
                    о проведении сертификации
 
    Рассмотрев заявку __________________________ от ______________
                       (наименование заявителя)         (дата)
на проведение сертификации _______________________________________
                                (наименование объекта ЕС ОрВД)
_______________________________ принимает решение:
   (наименование Управления)
    1. Заявка __________________________ рассмотрена и принимается
               (наименование заявителя)
для проведения сертификационных работ.
    2. ________________________________________________ поручается
              (наименование центра сертификации)
проведение оценки соответствия ___________________________________
                                  (наименование объекта ЕС ОрВД)
сертификационным требованиям.
    3. Руководителю ______________________ в течение 20 дней после
                     (наименование центра
                     сертификации, Ф.И.О.)
получения настоящего Решения представить в _______________________
                                                (наименование
                                                 Управления)
заключение по предварительной оценке _____________________________
                                         (наименование объекта
                                               ЕС ОрВД)
сертификационным требованиям.
 
Начальник _______________________________ ________________________
             (наименование Управления)        (Ф.И.О., подпись)
 
"__" _____________ 200_ г.
 
 
 

Приложение N 6
к Административному регламенту
Федеральной аэронавигационной
службы по исполнению
государственной функции
по обязательной сертификации
объектов Единой системы
организации воздушного движения

ОБРАЗЕЦ
 
                        Руководителю _____________________________
                                        (наименование заявителя,
                                                Ф.И.О.)
 
                            ЗАКЛЮЧЕНИЕ
       по предварительной оценке _________________________
                                   (наименование объекта
                                         ЕС ОрВД)
                   сертификационным требованиям
 
    Рассмотрев предоставленную ___________________________________
                                    (наименование заявителя)
доказательную документацию к заявке от _____________ на проведение
                                          (дата)
сертификации ________________________________ центром сертификации
              (наименование объекта ЕС ОрВД)
_____________________________________ установлено следующее:
 (наименование центра сертификации)
__________________________________________________________________
__________________________________________________________________
__________________________________________________________________
 
    Замечания:
__________________________________________________________________
__________________________________________________________________
__________________________________________________________________
 
    Выводы и заключение:
__________________________________________________________________
__________________________________________________________________
__________________________________________________________________
 
Руководитель _______________________  ____________________________
              (наименование центра         (Ф.И.О., подпись)
                  сертификации)
 
"__" _____________ 200_ г.
 
 
 

Приложение N 7
к Административному регламенту
Федеральной аэронавигационной
службы по исполнению
государственной функции
по обязательной сертификации
объектов Единой системы
организации воздушного движения

ОБРАЗЕЦ
 
                                           Утверждаю
                               Начальник _________________________
                                         (наименование Управления)
                                         _________________________
                                             (Ф.И.О., подпись)
                                    "__" ____________ 200_ г.
 
                             РЕШЕНИЕ
               о проведении инспекционной проверки
 
           ___________________________________________
                  (наименование объекта ЕС ОрВД)
           ___________________________________________
                     (наименование заявителя)
 
    1. В соответствии с заявкой __________________________________
                                     (наименование заявителя)
от _____________________ и положительными результатами проведенной
_______________________ предварительной оценки ___________________
 (наименование центра                             (наименование
     сертификации)                               объекта ЕС ОрВД)
согласно Заключению от __________ принимается решение о проведении
инспекционной проверки ___________________________________________
                             (наименование объекта ЕС ОрВД)
__________________________________________________________________
                     (наименование заявителя)
комиссией в составе:
 
Председатель комиссии         ____________________________________
                                      (Ф.И.О., должность)
 
    Члены комиссии:       ________________________________________
                          ________________________________________
                                     (Ф.И.О., должности)
 
    2.  Председателю  комиссии обеспечить проведение инспекционной
проверки _________________________________________________________
                      (наименование объекта ЕС ОрВД)
в срок до ________________________
                  (дата)
 
Руководитель _________________________  _____________________
               (наименование центра       (Ф.И.О., подпись)
                   сертификации)
 
"__" _____________ 200_ г.
 
 
 

Приложение N 8
к Административному регламенту
Федеральной аэронавигационной
службы по исполнению
государственной функции
по обязательной сертификации
объектов Единой системы
организации воздушного движения

ОБРАЗЕЦ
 
                                           Утверждаю
                            Руководитель _________________________
                                           (наименование центра
                                               сертификации)
                                         _________________________
                                             (Ф.И.О., подпись)
                                         "__" ____________ 200_ г.
 
                            ПРОГРАММА
 
инспекционной(го) проверки (контроля) ____________________________
                                         (наименование объекта
                                                ЕС ОрВД)
 
1. Основание для проведения инспекционной(го) проверки
(контроля) _______________________________________________________
                       (наименование объекта ЕС ОрВД)
 
2. Цель проведения инспекционной(го) проверки
(контроля) _______________________________________________________
                       (наименование объекта ЕС ОрВД)
 
3. Сроки для проведения инспекционной(го) проверки
(контроля) _______________________________________________________
                       (наименование объекта ЕС ОрВД)
 
4. Результаты инспекционной(го) проверки
(контроля) _______________________________________________________
                       (наименование объекта ЕС ОрВД)
 
     Перечень    
характеристик
объекта ЕС ОрВД,
подлежащих
проверке
   Нормативные    
документы, на
соответствие
которым проводится
проверка
   Ф.И.О.   
эксперта,
проводившего
проверку
Результаты 
проверки
         1 
         2 
      3 
     4 
 
5. Заключение
__________________________________________________________________
__________________________________________________________________
__________________________________________________________________
 
6. Подписи экспертов:
                         _________________________________________
                                    (Ф.И.О., должность)
 
 
 

Приложение N 9
к Административному регламенту
Федеральной аэронавигационной
службы по исполнению
государственной функции
по обязательной сертификации
объектов Единой системы
организации воздушного движения

ОБРАЗЕЦ
 
                                            Утверждаю
                               Начальник _________________________
                                         (наименование Управления)
                                         _________________________
                                             (Ф.И.О., подпись)
                                         "__" ____________ 200_ г.
 
                               АКТ
                      инспекционной проверки
 
    На основании заявки __________________________ от ____________
                         (наименование заявителя)       (дата)
комиссия, назначенная решением ___________________ от ____________
                                  (наименование          (дата)
                                   Управления)
в составе:
 
    Председатель комиссии ________________________________________
                                    (Ф.И.О., должность)
 
    Члены комиссии:       ________________________________________
                          ________________________________________
                                    (Ф.И.О., должности)
 
с ____ по ______ провела инспекционную проверку __________________
__________________________________________________________________
         (наименование и принадлежность объекта ЕС ОрВД)
на соответствие характеристик сертификационным требованиям.
 
    В результате инспекционной проверки установлено:
__________________________________________________________________
__________________________________________________________________
 
    Замечания:
__________________________________________________________________
__________________________________________________________________
 
    Выводы и заключение:
__________________________________________________________________
__________________________________________________________________
 
    Акт инспекционной проверки составлен "__" ____________ 200_ г.
 
    Председатель комиссии ________________________________________
                                     (подпись, Ф.И.О.)
 
    Члены комиссии:       ________________________________________
                          ________________________________________
                                     (подписи, Ф.И.О.)
 
    С актом инспекционной проверки ознакомлен:
 
Руководитель __________________________  _________________________
              (наименование заявителя)       (Ф.И.О., подпись)
 
"__" ____________ 200_ г.
 
 
 

Приложение N 10
к Административному регламенту
Федеральной аэронавигационной
службы по исполнению
государственной функции
по обязательной сертификации
объектов Единой системы
организации воздушного движения

ОБРАЗЕЦ
 
                     КОМПЛЕКСНОЕ ЗАКЛЮЧЕНИЕ
                   по результатам сертификации
 
    На основании заявки __________________________ от ____________
                         (наименование заявителя)        (дата)
на проведение сертификации ________________________ в соответствии
                            (наименование объекта
                                  ЕС ОрВД)
с решением ______________________________ от _____________ центром
             (наименование Управления)          (дата)
сертификации ___________________________ проведена предварительная
                (наименование центра
                    сертификации)
оценка ___________________ и его инспекционная проверка комиссией,
          (наименование
         объекта ЕС ОрВД)
назначенной решением ___________________________ от _____________.
                      (наименование Управления)        (дата)
    По результатам предварительной оценки ________________________
                                           (наименование объекта
                                                 ЕС ОрВД)
(заключение от ________), инспекционной проверки (акт от ________)
                (дата)                                    (дата)
и доклада заявителя от __________________ об устранении замечаний,
                            (дата)
выявленных   в   ходе  инспекционной    проверки, комиссия считает
возможным сертифицировать ________________________________________
                              (наименование объекта ЕС ОрВД)
__________________________________________________________________
         (наименование заявителя (принадлежность объекта))
с выдачей сертификата сроком действия до _________________________
                                                 (дата)
по следующей сфере деятельности:
__________________________________________________________________
__________________________________________________________________
__________________________________________________________________
 
Руководитель ______________________  _____________________________
              (наименование центра         (Ф.И.О., подпись)
                  сертификации)
 
"__" ____________ 200_ г.
 
 
 

Приложение N 11
к Административному регламенту
Федеральной аэронавигационной
службы по исполнению
государственной функции
по обязательной сертификации
объектов Единой системы
организации воздушного движения

ОБРАЗЕЦ
 
                                           Утверждаю
                               Начальник _________________________
                                         (наименование Управления)
                                         _________________________
                                             (Ф.И.О., подпись)
                                         "__" ____________ 200_ г.
 
                             РЕШЕНИЕ
                   по результатам сертификации
 
    На основании заявки ___________________________ от ___________
                         (наименование заявителя)        (дата)
на проведение сертификации _______________________________________
                                (наименование объекта ЕС ОрВД)
и комплексного заключения по результатам сертификации от _________
                                                          (дата)
___________________________ принимает решение:
 (наименование Управления)
 
    1. Сертифицировать _______________________ ___________________
                        (наименование объекта     (наименование
                               ЕС ОрВД)
__________________________________________________________________
               заявителя (принадлежность объекта))
с выдачей сертификата сроком действия до _________________________
                                                 (дата)
по следующей сфере деятельности:
__________________________________________________________________
__________________________________________________________________
__________________________________________________________________
 
    2. Установить периодичность инспекционного контроля __________
 
Начальник ________________________  ______________________________
           (наименование отдела)           (Ф.И.О., подпись)
 
"__" ____________ 200_ г.
 
 
 

Приложение N 12
к Административному регламенту
Федеральной аэронавигационной
службы по исполнению
государственной функции
по обязательной сертификации
объектов Единой системы
организации воздушного движения

ОБРАЗЕЦ
 
                                                                
ФЕДЕРАЛЬНАЯ АЭРОНАВИГАЦИОННАЯ СЛУЖБА

СЕРТИФИКАТ

________________________________________________________

N ______________

Настоящим удостоверяется, что __________________________________
(наименование сертифицированного
________________________________________________________________
юридического лица и его адрес или наименование
________________________________________________________________
сертифицированного объекта, его местонахождение
________________________________________________________________
и принадлежность)
соответствует требованиям, предписанным нормативными
документами, относящимся к сфере деятельности, приведенной
в приложении к настоящему сертификату.

Сертификат выдан Федеральной аэронавигационной службой

Сертификат зарегистрирован в реестре Федеральной
аэронавигационной службы за N _____________________

Срок действия сертификата установлен до ____ года.

Начальник Управления ___________________________________________

М.П.

Дата выдачи __ ____________ года _________ __________________
(подпись) (инициалы,
фамилия)

                                                          0000001
 
 
 

Приложение N 12 (лист 2)
к Административному регламенту
Федеральной аэронавигационной
службы по исполнению
государственной функции
по обязательной сертификации
объектов Единой системы
организации воздушного движения

 


 
 
                                                              
Продление срока действия сертификата

1. Срок действия сертификата продлен до ____ года
Федеральной аэронавигационной службой

М.П.

Дата __ ____________ года _____________ ___________________
(подпись) (инициалы, фамилия)

2. Срок действия сертификата продлен до __ __________ года
Федеральной аэронавигационной службой

М.П.

Дата __ ____________ года ____________ ____________________
(подпись) (инициалы, фамилия)

 
 
 


 
 
 
 

Приложение N 12 (лист 3)
к Административному регламенту
Федеральной аэронавигационной
службы по исполнению
государственной функции
по обязательной сертификации
объектов Единой системы
организации воздушного движения

                                                            
Приложение к сертификату
N ______________________
от _____________________

СФЕРА ДЕЯТЕЛЬНОСТИ

___________________________________________________________
(наименование сертифицированного юридического лица или
сертифицированного объекта, его местонахождение)

 
 
    Наименование 
работ (услуг)
  Нормативно-техническая документация, 
на соответствие которой проведена
сертификация
 
 
 
 
 
 
 
 
 
 
 
Начальник Управления _______________________________________
____________________________________________________________

М.П.

Дата выдачи __ ___________ г. _____________ _______________
(подпись) (инициалы,
фамилия)

000001
 
 
 
 

Приложение N 13
к Административному регламенту
Федеральной аэронавигационной
службы по исполнению
государственной функции
по обязательной сертификации
объектов Единой системы
организации воздушного движения

ОБРАЗЕЦ
 
                            Руководителю _________________________
                                          (наименование держателя
                                           сертификата, Ф.И.О.)
                            Руководителю _________________________
                                           (наименование центра
                                           сертификации, Ф.И.О.)
 
                             РЕШЕНИЕ
               о проведении инспекционного контроля
 
        __________________________________________________
                  (наименование объекта ЕС ОрВД)
        __________________________________________________
               (наименование держателя сертификата)
 
    В соответствии с графиком проведения инспекционного  контроля,
утвержденным ________, начальник _______________________ принимает
              (дата)                 (наименование
                                       Управления)
решение о проведении инспекционного контроля _____________________
                                                 (наименование
                                              объекта(ов) ЕС ОрВД)
__________________________________________ инспекционной комиссией
   (наименование держателя сертификата)
(группой) в составе:
 
    Председатель комиссии
    (руководитель группы)        _________________________________
                                         (Ф.И.О., должность)
 
    Члены комиссии (группы):     _________________________________
                                 _________________________________
                                         (Ф.И.О., должности)
 
    2. Председателю комиссии (руководителю группы) _______________
                                                     (инициалы,
                                                      фамилия)
обеспечить проведение инспекционного контроля ____________________
                                                 (наименование
__________________________________________________________________
                       объекта(ов) ЕС ОрВД)
в срок до _________.
           (дата)
 
    Акт  по  результатам  инспекционного  контроля  представить на
утверждение в течение пяти дней после завершения работ.
 
Начальник ___________________________  ___________________________
           (наименование Управления)        (Ф.И.О., подпись)
 
"__" ________________ 200_ г.
 
 
 

Приложение N 14
к Административному регламенту
Федеральной аэронавигационной
службы по исполнению
государственной функции
по обязательной сертификации
объектов Единой системы
организации воздушного движения

ОБРАЗЕЦ
 
                                             Утверждаю
                               Начальник _________________________
                                         (наименование Управления)
                                         _________________________
                                             (Ф.И.О., подпись)
                                         "__" ____________ 200_ г.
 
                               АКТ
                     инспекционного контроля
 
    В соответствии с решением _____________________ по результатам
                                  (наименование
                                    Управления)
сертификации от _________________ инспекционная комиссия (группа),
                     (дата)
назначенная решением ___________________ от ___________ в составе:
                        (наименование         (дата)
                         Управления)
 
    Председатель комиссии (руководитель группы) __________________
                                                     (Ф.И.О.,
                                                    должность)
 
    Члены комиссии (группы):                    __________________
                                                __________________
                                                     (Ф.И.О.,
                                                    должности)
 
с ________________ по _____________ провела инспекционный контроль
       (дата)
_______________________________ __________________________________
(наименование объекта ЕС ОрВД)       (наименование держателя
                                           сертификата)
 
    В результате инспекционного контроля установлено:
__________________________________________________________________
__________________________________________________________________
 
    Выводы и заключение:
__________________________________________________________________
__________________________________________________________________
 
    Акт инспекционного контроля ________________ составлен _______
                                 (наименование             (дата)
                                объекта ЕС ОрВД)
 
    Председатель комиссии (руководитель группы) __________________
                                                    (подпись,
                                                     Ф.И.О.)
 
    Члены комиссии (группы):                    __________________
                                                __________________
                                                    (подписи,
                                                      Ф.И.О.)
 
    С актом инспекционного контроля ознакомлен:
 
Руководитель ______________________________________  _____________
              (наименование держателя сертификата)      (Ф.И.О.,
                                                        подпись)
 
"__" _______________ 200_ г.
 
 
 

Приложение N 15
к Административному регламенту
Федеральной аэронавигационной
службы по исполнению
государственной функции
по обязательной сертификации
объектов Единой системы
организации воздушного движения

ОБРАЗЕЦ
 
                             РЕШЕНИЕ
              по результатам инспекционного контроля
 
    На основании акта инспекционного контроля ____________________
                                                 (наименование
                                                объекта ЕС ОрВД)
_____________________________________________ от _________________
    (наименование держателя сертификата)             (дата)
_______________________________ принимает решение:
   (наименование Управления)
 
    1. ___________________________________________________________
       ___________________________________________________________
       ___________________________________________________________
 
    2. ___________________________________________________________
       ___________________________________________________________
       ___________________________________________________________
 
    3. ___________________________________________________________
       ___________________________________________________________
       ___________________________________________________________
 
Начальник ___________________________  ___________________________
           (наименование Управления)        (Ф.И.О., подпись)
 
"__" _______________ 200_ г.