Приказ Минэкономразвития РФ от 13.07.2009 N 270

"Об утверждении Административного регламента Федерального агентства по управлению государственным имуществом по исполнению государственной функции "Осуществление передачи имущества, находящегося в федеральной собственности, в государственную собственность субъектов Российской Федерации и в муниципальную собственность, принятие имущества из собственности субъекта Российской Федерации или муниципальной собственности в федеральную собственность"
Редакция от 13.07.2009 — Документ утратил силу, см. «Приказ Минэкономразвития РФ от 23.01.2025 N 25»

Зарегистрировано в Минюсте РФ 17 сентября 2009 г. N 14802


МИНИСТЕРСТВО ЭКОНОМИЧЕСКОГО РАЗВИТИЯ РОССИЙСКОЙ ФЕДЕРАЦИИ

ПРИКАЗ
от 13 июля 2009 г. N 270

ОБ УТВЕРЖДЕНИИ АДМИНИСТРАТИВНОГО РЕГЛАМЕНТА ФЕДЕРАЛЬНОГО АГЕНТСТВА ПО УПРАВЛЕНИЮ ГОСУДАРСТВЕННЫМ ИМУЩЕСТВОМ ПО ИСПОЛНЕНИЮ ГОСУДАРСТВЕННОЙ ФУНКЦИИ "ОСУЩЕСТВЛЕНИЕ ПЕРЕДАЧИ ИМУЩЕСТВА, НАХОДЯЩЕГОСЯ В ФЕДЕРАЛЬНОЙ СОБСТВЕННОСТИ, В ГОСУДАРСТВЕННУЮ СОБСТВЕННОСТЬ СУБЪЕКТОВ РОССИЙСКОЙ ФЕДЕРАЦИИ И В МУНИЦИПАЛЬНУЮ СОБСТВЕННОСТЬ, ПРИНЯТИЕ ИМУЩЕСТВА ИЗ СОБСТВЕННОСТИ СУБЪЕКТА РОССИЙСКОЙ ФЕДЕРАЦИИ ИЛИ МУНИЦИПАЛЬНОЙ СОБСТВЕННОСТИ В ФЕДЕРАЛЬНУЮ СОБСТВЕННОСТЬ"

В соответствии с пунктом 9 Порядка разработки и утверждения административных регламентов исполнения государственной функции (предоставления государственных услуг), утвержденного Постановлением Правительства Российской Федерации от 11 ноября 2005 г. N 679 (Собрание законодательства Российской Федерации, 2005, N 47, ст. 4933; 2007, N 50, ст. 6285; 2008, N 18, ст. 2063), приказываю:

1. Утвердить прилагаемый Административный регламент Федерального агентства по управлению государственным имуществом по исполнению государственной функции "Осуществление передачи имущества, находящегося в федеральной собственности, в государственную собственность субъектов Российской Федерации и в муниципальную собственность, принятие имущества из собственности субъекта Российской Федерации или муниципальной собственности в федеральную собственность".

2. Контроль за исполнением настоящего Приказа возложить на заместителя Министра Левицкую А.Ю.

Министр
Э.С.НАБИУЛЛИНА

УТВЕРЖДЕН
Приказом Минэкономразвития России
от 13 июля 2009 г. N 270

АДМИНИСТРАТИВНЫЙ РЕГЛАМЕНТ
ФЕДЕРАЛЬНОГО АГЕНТСТВА ПО УПРАВЛЕНИЮ ГОСУДАРСТВЕННЫМ ИМУЩЕСТВОМ ПО ИСПОЛНЕНИЮ ГОСУДАРСТВЕННОЙ ФУНКЦИИ "ОСУЩЕСТВЛЕНИЕ ПЕРЕДАЧИ ИМУЩЕСТВА, НАХОДЯЩЕГОСЯ В ФЕДЕРАЛЬНОЙ СОБСТВЕННОСТИ, В ГОСУДАРСТВЕННУЮ СОБСТВЕННОСТЬ СУБЪЕКТОВ РОССИЙСКОЙ ФЕДЕРАЦИИ И В МУНИЦИПАЛЬНУЮ СОБСТВЕННОСТЬ, ПРИНЯТИЕ ИМУЩЕСТВА ИЗ СОБСТВЕННОСТИ СУБЪЕКТА РОССИЙСКОЙ ФЕДЕРАЦИИ ИЛИ МУНИЦИПАЛЬНОЙ СОБСТВЕННОСТИ В ФЕДЕРАЛЬНУЮ СОБСТВЕННОСТЬ"

I. Общие положения

1.1. Административный регламент по исполнению государственной функции "Осуществление передачи имущества, находящегося в федеральной собственности, в государственную собственность субъектов Российской Федерации и в муниципальную собственность, принятие имущества из собственности субъекта Российской Федерации или муниципальной собственности в федеральную собственность" (далее - Регламент) разработан в целях повышения качества исполнения и доступности результатов исполнения Федеральным агентством по управлению государственным имуществом (Росимущество) и территориальными органами Росимущества данной государственной функции, создания комфортных условий для участников отношений, возникающих при управлении имуществом, и определяет сроки и последовательность действий (административных процедур).

1.2. Выполнение государственной функции осуществляется Федеральным агентством по управлению государственным имуществом и (или) его территориальными органами.

При исполнении государственной функции осуществляется взаимодействие с:

1) Министерством экономического развития Российской Федерации;

2) Федеральной службой государственной регистрации, кадастра и картографии;

3) иными федеральными органами исполнительной власти;

4) органами государственной власти субъектов Российской Федерации;

5) органами местного самоуправления;

6) федеральными государственными унитарными предприятиями, федеральными государственными учреждениями и иными заинтересованными физическими и юридическими лицами.

1.3. Исполнение государственной функции по осуществлению передачи имущества, находящегося в федеральной собственности, в государственную собственность субъектов Российской Федерации и в муниципальную собственность, принятию имущества из собственности субъекта Российской Федерации или муниципальной собственности в федеральную собственность осуществляется в соответствии с:

1) Гражданским кодексом Российской Федерации <*>;

<*> Собрание законодательства Российской Федерации, 1994, N 32, ст. 3301; "Российская газета", 1994, 8 декабря, N 238-239.

2) Федеральным законом от 22 августа 2004 г. N 122-ФЗ "О внесении изменений в законодательные акты Российской Федерации и признании утратившими силу некоторых законодательных актов Российской Федерации в связи с принятием Федеральных законов "О внесении изменений и дополнений в Федеральный закон "Об общих принципах организации законодательных (представительных) и исполнительных органов государственной власти субъектов Российской Федерации" и "Об общих принципах организации местного самоуправления в Российской Федерации" <*> (далее - Закон N 122-ФЗ);

<*> Собрание законодательства Российской Федерации, 2004, N 35, ст. 3607; 2005, N 1, ст. 25; N 40, ст. 3985; 2006, N 1, ст. 10; N 44, ст. 4537; 2007, N 1, ст. 21; 2007, N 43, ст. 5084.

3) Федеральным законом от 6 октября 1999 г. N 184-ФЗ "Об общих принципах организации законодательных (представительных) и исполнительных органов государственной власти субъектов Российской Федерации" <*>;

<*> Собрание законодательства Российской Федерации, 1999, N 42, ст. 5005.

4) Федеральным законом от 6 октября 2003 г. N 131-ФЗ "Об общих принципах организации местного самоуправления в Российской Федерации" <*>;

<*> Собрание законодательства Российской Федерации, 2003, N 40, ст. 3822.

5) Федеральным законом от 21 июля 1997 г. N 122-ФЗ "О государственной регистрации прав на недвижимое имущество и сделок с ним" <*>;

<*> Собрание законодательства Российской Федерации, 1997, N 30, ст. 3594; 2001, N 11, ст. 997; 2001, N 16, ст. 1533; 2002, N 15, ст. 1377; 2003, N 24, ст. 2244; 2004, N 30, ст. 3081; 2004, N 27, ст. 2711; 2004, N 35, ст. 3607; 2004, N 45, ст. 4377; 2005, N 1 (ч. I), ст. 15, 22, 40, 43; 2005, N 50, ст. 5244; 2006, N 1, ст. 17; 2006, N 17 (ч. I), ст. 1782; 2006, N 23, ст. 2380; 2006, N 27, ст. 2881; 2006, N 30, ст. 3287; 2006, N 50, ст. 5279; 2006, N 52 (ч. I), ст. 5498.

6) Постановлением Правительства Российской Федерации от 5 июня 2004 г. N 432 "О Федеральном агентстве по управлению государственным имуществом" <*>;

<*> Собрание законодательства Российской Федерации, 2008, N 23, ст. 2721.

Официальный источник электронного документа содержит неточность: Постановление Правительства РФ N 432 принято 05.06.2008

7) Постановлением Правительства Российской Федерации от 13 июня 2006 г. N 374 "О перечнях документов, необходимых для принятия решения о передаче имущества из федеральной собственности в собственность субъекта Российской Федерации или муниципальную собственность, из собственности субъекта Российской Федерации в федеральную собственность или муниципальную собственность, из муниципальной собственности в федеральную собственность или собственность субъекта Российской Федерации" <*> (далее - Постановление Правительства Российской Федерации N 374).

<*> Собрание законодательства Российской Федерации, 2006, N 25, ст. 2734.

1.4. Описание результатов исполнения государственной функции

Результатами исполнения государственной функции являются:

- распоряжение Росимущества о передаче имущества на иной уровень собственности;

- письменное поручение территориальному органу Росимущества о принятии решения о передаче имущества;

- внесение соответствующих изменений в реестр федерального имущества;

- отказ в передаче имущества.

1.5. Описание заявителей

В правоотношениях с Росимуществом при исполнении им государственной функции (в части, относящейся к административной процедуре передачи имущества, находящегося в федеральной собственности, в государственную собственность субъектов Российской Федерации и в муниципальную собственность, принятие имущества из собственности субъекта Российской Федерации или муниципальной собственности в федеральную собственность) в соответствии с частью 11 статьи 154 Закона N 122-ФЗ заявителями могут выступать органы государственной власти субъекта Российской Федерации или органы местного самоуправления.

II. Требования к порядку исполнения государственной функции

2.1. Порядок информирования о правилах исполнения государственной функции

Место нахождения Федерального агентства по управлению государственным имуществом: г. Москва, Никольский пер., д. 9.

2.1.1. Справочные телефоны структурного подразделения Росимущества, непосредственно осуществляющего исполнение функции, указанной в пункте 1 раздела I настоящего Регламента, 698-42-72, 698-41-35.

2.1.2. Адрес официального сайта Росимущества в сети "Интернет" http://www.rosim.ru.

2.1.3. Справочная информация с адресами, телефонами, электронными адресами официальных сайтов территориальных органов Росимущества размещена на официальном сайте Росимущества, указанном в пункте 2.1.2 настоящего Регламента.

2.1.4. Информация по вопросам исполнения государственной функции предоставляется:

по письменному обращению - направляется письменный ответ;

по телефону - информация дается устно по телефону;

по электронной почте - направляется ответ по электронной почте.

Почтовый адрес для направления документов и обращений: 109012, г. Москва, Никольский пер., д. 9, Росимущество.

2.1.5. Исполнение государственной функции - передача имущества, находящегося в федеральной собственности, в государственную собственность субъектов Российской Федерации и в муниципальную собственность, принятие имущества из собственности субъекта Российской Федерации или муниципальной собственности в федеральную собственность является бесплатной для заявителей.

2.2. Сроки исполнения государственной функции

2.2.1. Сроки исполнения данной государственной функции исчисляются в календарных днях и определяются исходя из сроков, установленных законодательством Российской Федерации. Срок исполнения письменного обращения не может превышает тридцать дней со дня регистрации указанного обращения.

2.2.2. Сроки исполнения могут быть типовыми и индивидуальными.

Типовые сроки исполнения документов установлены Регламентом Правительства Российской Федерации, Регламентом Росимущества и иными нормативными правовыми актами Российской Федерации, решениями руководства Росимущества.

Индивидуальные сроки устанавливаются в календарных днях в тексте документов (поручений) и (или) резолюции.

2.2.3. Ответы на письменные обращения заявителей направляются почтой в адрес обратившегося лица, с направлением при необходимости поручения территориальному органу Росимущества о принятии соответствующего решения.

2.3. Имущество, которое может находиться в федеральной собственности

В соответствии с частью 11 статьи 154 Закона N 122-ФЗ в федеральной собственности может находиться:

- имущество, необходимое для обеспечения осуществления федеральными органами государственной власти полномочий в рамках их компетенции, установленной Конституцией Российской Федерации, а также нормативными правовыми актами Российской Федерации, определяющими статус этих органов, в том числе имущество федеральных государственных унитарных предприятий и федеральных государственных учреждений, отнесенных решениями Правительства Российской Федерации к предприятиям и учреждениям, подведомственным федеральным органам исполнительной власти;

- имущество, необходимое для обеспечения стратегических интересов Российской Федерации в области обороны и безопасности государства, защиты нравственности, здоровья, прав и законных интересов граждан Российской Федерации, в соответствии с перечнем, утверждаемым Президентом Российской Федерации по представлению Правительства Российской Федерации;

- имущество, необходимое для обеспечения деятельности федеральных органов государственной власти, государственных служащих Российской Федерации, работников федеральных государственных унитарных предприятий и федеральных государственных учреждений, включая нежилые помещения для размещения указанных органов, предприятий и учреждений.

2.4. Перечень документов, необходимых для принятия решения о передаче имущества на иной уровень собственности

2.4.1. Для принятия решения о передаче имущества из собственности субъекта Российской Федерации и муниципальной собственности в федеральную собственность необходимо представить следующие документы:

а) предложение органа государственной власти субъекта Российской Федерации или органа местного самоуправления о передаче имущества субъекта Российской Федерации или муниципального имущества в федеральную собственность, предложение органа местного самоуправления о передаче муниципального имущества в собственность субъекта Российской Федерации или предложение органа государственной власти субъекта Российской Федерации о передаче имущества субъекта Российской Федерации в муниципальную собственность;

б) выписка из реестра государственного (муниципального) имущества, содержащая сведения о предлагаемом к передаче имуществе;

в) выписка из Единого государственного реестра прав на недвижимое имущество и сделок с ним о зарегистрированных правах на предлагаемое к передаче недвижимое имущество (в том числе о зарегистрированных правах на земельные участки в случае, если они предлагаются к передаче как самостоятельные объекты), выданная не ранее чем за один месяц до ее направления в Федеральное агентство по управлению федеральным имуществом или уполномоченный исполнительный орган государственной власти субъекта Российской Федерации, осуществляющий полномочия собственника имущества;

г) копии правоустанавливающих документов, подтверждающих, что предлагаемое к передаче имущество принадлежит на праве хозяйственного ведения или оперативного управления государственному (муниципальному) унитарному предприятию, государственному (муниципальному) учреждению соответственно (представляются в случае отсутствия сведений о зарегистрированных правах в Едином государственном реестре прав на недвижимое имущество и сделок с ним);

д) документы, подтверждающие право собственности субъекта Российской Федерации, муниципального образования на предлагаемые к передаче земельные участки как самостоятельные объекты (представляются в случае отсутствия сведений о зарегистрированных правах в Едином государственном реестре прав на недвижимое имущество и сделок с ним);

е) справка организации, осуществляющей государственный технический учет и (или) техническую инвентаризацию объектов градостроительной деятельности, о технических характеристиках и адресах предлагаемых к передаче объектов - в случае передачи отдельных помещений в зданиях в целях индивидуализации предлагаемого к передаче имущества;

ж) кадастровая карта (план) земельного участка как самостоятельного объекта, предлагаемого к передаче, в целях его индивидуализации;

з) согласие (письмо) государственного (муниципального) предприятия, государственного (муниципального) учреждения на передачу имущества, принадлежащего им на праве хозяйственного ведения или оперативного управления соответственно, с подтверждением полномочий лица, давшего такое согласие (подписавшего такое письмо);

и) заверенная в установленном порядке копия устава государственного (муниципального) предприятия, государственного (муниципального) учреждения, предлагаемых к передаче, либо имущество которых, принадлежащее им на праве хозяйственного ведения или оперативного управления соответственно, предлагается к передаче;

к) выписка из Единого государственного реестра юридических лиц в отношении государственного (муниципального) предприятия, государственного (муниципального) учреждения, предлагаемых к передаче, либо имущество которых, принадлежащее им на праве хозяйственного ведения или оперативного управления соответственно, предлагается к передаче;

л) бухгалтерский баланс государственного (муниципального) предприятия, государственного (муниципального) учреждения - в случае их передачи как имущественных комплексов;

м) документы, подтверждающие фактическое использование предлагаемого к передаче имущества, - в случае, если указанное имущество необходимо для обеспечения деятельности федеральных органов государственной власти, федеральных государственных служащих, работников федеральных государственных унитарных предприятий и федеральных государственных учреждений, включая нежилые помещения для размещения указанных органов, предприятий и учреждений;

н) предложение федерального органа исполнительной власти о передаче в федеральную собственность имущества с обоснованием необходимости осуществления передачи такого имущества и с указанием организации, за которой предлагается осуществить закрепление имущества (на праве хозяйственного ведения или оперативного управления), либо предложение органа государственной власти субъекта Российской Федерации о передаче в собственность субъекта Российской Федерации имущества с обоснованием необходимости осуществления передачи такого имущества и с указанием организации, за которой предлагается закрепление имущества;

о) обращение федерального государственного предприятия, федерального государственного учреждения или государственного предприятия, государственного учреждения субъекта Российской Федерации о принятии имущества в федеральную собственность, собственность субъекта Российской Федерации соответственно в случае, если федеральным органом исполнительной власти, органом государственной власти субъекта Российской Федерации, в ведении которого находится такая организация, предлагается закрепление имущества за ней;

п) заверенная в установленном порядке копия устава организации, за которой предлагается закрепление имущества;

р) выписка из Единого государственного реестра юридических лиц в отношении организации, за которой предлагается закрепление имущества.

2.4.2. Для принятия решения о передаче имущества из федеральной собственности в собственность субъекта Российской Федерации или муниципальную собственность необходимо представить следующие документы:

а) выписка из реестра федерального имущества, содержащая сведения о предлагаемом к передаче имуществе;

б) выписка из Единого государственного реестра прав на недвижимое имущество и сделок с ним о зарегистрированных правах на предлагаемое к передаче недвижимое имущество (в том числе о зарегистрированных правах на земельные участки в случае, если они предлагаются к передаче как самостоятельные объекты), выданная не ранее чем за один месяц до ее направления в Федеральное агентство по управлению федеральным имуществом:

в) копии правоустанавливающих документов, подтверждающих, что предлагаемое к передаче имущество принадлежит на праве хозяйственного ведения или оперативного управления федеральному государственному унитарному предприятию, федеральному государственному учреждению соответственно (представляются в случае отсутствия сведений о зарегистрированных правах в Едином государственном реестре прав на недвижимое имущество и сделок с ним);

г) документы, подтверждающие право собственности Российской Федерации на предлагаемые к передаче земельные участки, если они предлагаются к передаче как самостоятельные объекты (представляются в случае отсутствия сведений о зарегистрированных правах в Едином государственном реестре прав на недвижимое имущество и сделок с ним);

д) согласие (письмо) федерального государственного унитарного предприятия, федерального государственного учреждения на передачу имущества, принадлежащего им на праве хозяйственного ведения или оперативного управления соответственно, с подтверждением полномочий лица, давшего такое согласие (подписавшего такое письмо);

е) заверенная в установленном порядке копия устава федерального государственного унитарного предприятия, федерального государственного учреждения, предлагаемых к передаче, либо имущество которых, принадлежащее им на праве хозяйственного ведения или оперативного управления соответственно, предлагается к передаче;

ж) выписка из Единого государственного реестра юридических лиц в отношении федерального государственного унитарного предприятия, федерального государственного учреждения, предлагаемых к передаче, либо имущество которых, принадлежащее им на праве хозяйственного ведения или оперативного управления соответственно, предлагается к передаче;

3) справка организации, осуществляющей государственный технический учет и (или) техническую инвентаризацию объектов градостроительной деятельности, о технических характеристиках и адресах предлагаемых к передаче объектов - в случае передачи отдельных помещений в зданиях в целях индивидуализации предлагаемого к передаче имущества;

и) кадастровая карта (план) земельного участка как самостоятельного объекта, предлагаемого к передаче, в целях его индивидуализации;

к) документы, подтверждающие наименование муниципального образования, в собственность которого предлагается осуществить передачу имущества;

л) документы, подтверждающие фактическое использование предлагаемого к передаче имущества, - в случае, если указанное имущество используется органами государственной власти субъекта Российской Федерации, органами местного самоуправления, государственными и муниципальными унитарными предприятиями, государственными и муниципальными учреждениями в целях, необходимых для осуществления их полномочий и обеспечения их деятельности согласно соответствующим федеральным законам;

м) согласие (письмо) федерального органа исполнительной власти, к ведению которого отнесено федеральное государственное унитарное предприятие, федеральное государственное учреждение, предлагаемые к передаче, либо имущество которых, принадлежащее им на праве хозяйственного ведения или оперативного управления соответственно, предлагается к передаче, на передачу имущества.

К предложению о передаче имущества наряду с документами, предусмотренными пунктами 2.4.1 и 2.4.2 настоящего Регламента, прилагается перечень имущества, предлагаемого к передаче из федеральной собственности в собственность субъекта Российской Федерации или муниципальную собственность, из собственности субъекта Российской Федерации и муниципальной собственности в федеральную собственность, из собственности субъекта Российской Федерации в муниципальную собственность и из муниципальной собственности в собственность субъекта Российской Федерации.

Указанные перечни представляются в 2 экземплярах, в том числе один экземпляр представляется на магнитном носителе.

Формы перечней утверждены Постановлением Правительства Российской Федерации N 374 (приложения N 1 и N 2 к указанному Постановлению).

2.5. Перечень оснований для отказа в исполнении государственной функции

Перечень оснований для отказа в передаче имущества на иной уровень собственности, если:

- такая передача не относится к правоотношениям, урегулированным частью 11 статьи 154 Закона N 122-ФЗ;

- имущество не может находиться в собственности того публичного образования, к передаче которому оно предложено;

- перечень представленных заявителем документов не соответствует перечню, указанному в пунктах 2.4.1 или 2.4.2.

Функция осуществляется непрерывно, основания для приостановления отсутствуют.

2.6. Требования к месту исполнения государственной функции

В помещении отдела документооборота, контроля и работы с обращениями граждан Росимущества оборудованы места для ожидания, столы для организации принятия документов.

Заявители могут сдать документы в экспедицию Росимущества, расположенную по адресу: Москва, Никольский пер., д. 9 (время работы ежедневно с 9.00 до 16.00, перерыв на обед с 13.00 до 14.00).

Заявители вправе получить по справочным телефонам: 698-75-62, 698-42-72, 698-41-35 информацию о фамилии, имени, отчестве и должности государственного гражданского служащего Росимущества, являющегося ответственным исполнителем обращения.

III. Административные процедуры

3. Передача имущества, находящегося в федеральной собственности, в собственность субъекта Российской Федерации или муниципальную собственность

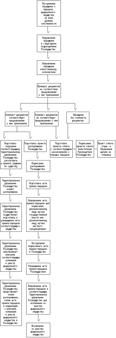
3.1. При поступлении в Росимущество письменного обращения органа государственной власти субъекта Российской Федерации или органа местного самоуправления о передаче имущества, находящегося в федеральной собственности, в собственность субъекта Российской Федерации или муниципальную собственность ответственный исполнитель осуществляет проверку поступивших документов на соответствие перечню документов, указанному в пункте 2.4.2 настоящего Регламента.

Срок рассмотрения обращения составляет 30 дней.

3.2. По результатам рассмотрения поступившего обращения и прилагаемых к нему документов Росимуществом принимается одно из следующих решений:

- письменное поручение соответствующему территориальному органу Росимущества рассмотреть и принять решение по существу;

- распоряжение Росимущества о передаче имущества, находящегося в федеральной собственности, в собственность субъекта Российской Федерации или муниципальную собственность;

- письмо заявителю об отказе в передаче имущества, находящегося в федеральной собственности, в собственность субъекта Российской Федерации или муниципальную собственность.

3.3. Если поступившее обращение заявителя и прилагаемые к нему документы соответствуют предъявляемым требованиям и имеются основания для передачи, Росимущество (или по его поручению территориальный орган Росимущества) осуществляет подготовку соответствующего проекта распоряжения.

3.4. В случае поручения Росимущества территориальному органу Росимущества принять решение о передаче имущества, находящегося в федеральной собственности, в собственность субъекта Российской Федерации или муниципальную собственность, территориальный орган Росимущества в месячный срок со дня поступления документов издает распоряжение, осуществляет подготовку и утверждение акта приема-передачи соответствующего имущества, обеспечивает внесение соответствующих изменений в реестр федерального имущества и представляет копию распоряжения и информацию о внесении изменений в реестр федерального имущества в Росимущество.

3.5. В случае, если решение о передаче имущества, находящегося в федеральной собственности, в собственность субъекта Российской Федерации или муниципальную собственность принимается Росимуществом:

3.5.1. Ответственный исполнитель в установленном порядке осуществляет подготовку проекта распоряжения Росимущества о передаче имущества.

Срок подготовки проекта распоряжения о передаче имущества - 15 дней.

3.5.2. После подготовки проекта распоряжения ответственный исполнитель визирует проект распоряжения у начальника отдела.

Начальник отдела визирует либо возвращает на доработку представленный ответственным исполнителем проект распоряжения в 3-дневный срок:

3.5.3. После того как проект распоряжения завизирован начальником отдела, ответственный исполнитель визирует проект распоряжения у начальника Управления.

Начальник Управления визирует либо возвращает на доработку представленный ответственным исполнителем проект распоряжения в 3-дневный срок.

3.5.4. После того как проект распоряжения завизирован начальником отдела и начальником Управления, ответственный исполнитель визирует проект распоряжения у корректора.

Корректор визирует либо возвращает на доработку представленный ответственным исполнителем проект распоряжения в 2-дневный срок.

3.5.5. После того как проект распоряжения завизирован начальником отдела, начальником Управления и корректором, ответственный исполнитель представляет проект распоряжения на согласование в Правовое управление.

Согласование (возврат с замечаниями) проекта распоряжения осуществляется Правовым управлением в срок не более 10 дней со дня регистрации проекта распоряжения в Правовом управлении.

3.5.6. После согласования проекта распоряжения Правовым управлением ответственный исполнитель представляет проект распоряжения на подпись заместителю Руководителя Росимущества, осуществляющему координацию и контроль деятельности структурного подразделения, уполномоченного осуществлять подготовку предложений по передаче имущества, находящегося в федеральной собственности, в собственность субъекта Российской Федерации или муниципальную собственность.

Заместитель Руководителя Росимущества подписывает либо возвращает на доработку представленный ответственным исполнителем проект распоряжения в 3-дневный срок.

3.5.7. В случае возврата ответственному исполнителю на доработку проекта распоряжения ответственный исполнитель дорабатывает проект распоряжения в 2-дневный срок.

3.6. После подписания распоряжения ответственный исполнитель в срок, не превышающий десять дней, готовит акт приема-передачи и сопроводительным письмом направляет для подписания в уполномоченный орган государственной власти или орган местного самоуправления.

3.7. Передаточный акт в 3-недельный срок <*> подписывается уполномоченным лицом органа государственной власти, осуществляющего принятие имущества, или уполномоченным лицом органа местного самоуправления, осуществляющего принятие имущества, и представляется на утверждение в Росимущество, если утверждение акта приема-передачи не поручено территориальному органу Росимущества.

<*> Указанный срок предусмотрен частью 11 статьи 154 Закона N 122-ФЗ.

3.8. После поступления в Росимущество подписанного уполномоченным органом государственной власти передаточного акта ответственный исполнитель в 3-дневный срок обеспечивает в установленном порядке его утверждение.

3.9. Утвержденный акт приема-передачи имущества направляется Росимуществом в уполномоченный орган государственной власти или орган местного самоуправления, осуществляющий принятие имущества, для исключения передаваемого имущества из реестра федерального имущества, который в недельный срок <*> с даты утверждения Росимуществом передаточного акта обеспечивает мероприятия по исключению имущества из реестра федерального имущества.

<*> Указанный срок предусмотрен частью 11 статьи 154 Закона N 122-ФЗ.

3.10. В случае, если комплект документов не соответствует перечню документов, указанному в пункте 2.4.2 настоящего Регламента, ответственный исполнитель в месячный срок со дня поступления обращения в Росимущество готовит письменный отказ заявителю, представившему пакет документов, с указанием основания отказа в передаче имущества.

В случае, если имущество в соответствии с законодательством Российской Федерации не может быть передано в собственность субъекта Российской Федерации или муниципальную собственность, ответственный исполнитель в месячный срок со дня поступления обращения в Росимущество готовит проект письма заявителю с обоснованием отказа в передаче имущества.

4. Передача имущества, находящегося в собственности субъектов Российской Федерации или муниципальной собственности, в собственность Российской Федерации

4.1. При поступлении в Росимущество письменного обращения органа государственной власти субъекта Российской Федерации или органа местного самоуправления о передаче имущества, находящегося в собственности субъекта Российской Федерации или муниципальной собственности, в федеральную собственность ответственный исполнитель осуществляет проверку поступивших документов на соответствие перечню документов, указанному в пункте 2.4.1 настоящего Регламента.

Максимальный срок рассмотрения обращения составляет 30 дней.

4.2. По результатам рассмотрения поступившего обращения и прилагаемых к нему документов Росимуществом принимается одно из решений:

- письменное поручение территориальному органу Росимущества рассмотреть и принять решение по существу;

- распоряжение Росимущества о передаче имущества, находящегося в собственности субъекта Российской Федерации или муниципальной собственности, в федеральную собственность;

- письмо заявителю об отказе в передаче имущества, находящегося в собственности субъекта Российской Федерации или муниципальной собственности, в федеральную собственность.

4.3. В случае выявления несоответствия представленных документов перечню документов, указанному в пункте 2.4.1 настоящего Регламента, ответственный исполнитель в месячный срок со дня поступления обращения в Росимущество направляет представленный пакет документов в территориальный орган Росимущества с поручением обеспечить его формирование и принять решение по существу.

4.4. Если поступившее обращение заявителя и прилагаемые к нему документы соответствуют предъявляемым требованиям, Росимущество (или по его поручению территориальный орган Росимущества) осуществляет подготовку соответствующего проекта распоряжения.

4.5. В случае поручения Росимущества территориальному органу Росимущества принять решение о передаче имущества, находящегося в собственности субъекта Российской Федерации или муниципальной собственности, в федеральную собственность территориальный орган Росимущества издает распоряжение, осуществляет подготовку и утверждение акта приема-передачи соответствующего имущества, обеспечивает внесение соответствующих изменений в реестр федерального имущества и представляет копию распоряжения и информацию о внесении изменений в реестр федерального имущества в Росимущество в месячный срок. Территориальный орган Росимущества обеспечивает оформление права собственности Российской Федерации на приобретенное имущество, в том числе государственную регистрацию права собственности на недвижимое имущество в соответствии с законодательными и иными нормативными правовыми актами Российской Федерации.

4.6. В случае, если решение о передаче имущества, находящегося в собственности субъекта Российской Федерации или муниципальной собственности, в федеральную собственность, принимается Росимуществом:

4.6.1. Ответственный исполнитель в установленном порядке осуществляет подготовку проекта распоряжения Росимущества о передаче имущества.

Срок подготовки проекта распоряжения о передаче имущества - 15 дней.

Распоряжение Росимущества о передаче имущества должно содержать поручение территориальному органу Росимущества по месту нахождения объекта о подписании передаточного акта имущества и внесении соответствующих изменений в реестр федерального имущества.

4.6.2. После подготовки проекта распоряжения ответственный исполнитель визирует проект распоряжения у начальника отдела.

Начальник отдела визирует либо возвращает на доработку представленный ответственным исполнителем проект распоряжения в 3-дневный срок.

4.6.3. После того как проект распоряжения завизирован начальником отдела, ответственный исполнитель визирует проект распоряжения у начальника Управления.

Начальник Управления визирует либо возвращает на доработку представленный ответственным исполнителем проект распоряжения в 3-дневный срок.

4.6.4. После того как проект распоряжения завизирован начальником отдела и начальником Управления, ответственный исполнитель визирует проект распоряжения у корректора.

Корректор визирует либо возвращает на доработку представленный ответственным исполнителем проект распоряжения в 2-дневный срок.

4.6.5. После того как проект распоряжения завизирован начальником отдела, начальником Управления и корректором, ответственный исполнитель представляет проект распоряжения на согласование в Правовое управление.

Согласование (возврат с замечаниями) проекта распоряжения осуществляется Правовым управлением в срок не более 10 дней со дня регистрации проекта распоряжения в Правовом управлении.

4.6.6. После согласования проекта распоряжения Правовым управлением ответственный исполнитель представляет проект распоряжения на подпись заместителю Руководителя Росимущества, осуществляющему координацию и контроль деятельности структурного подразделения, уполномоченного осуществлять подготовку предложений по передаче имущества, находящегося в собственности субъекта Российской Федерации или муниципальной собственности, в федеральную собственность.

Заместитель Руководителя Росимущества подписывает либо возвращает на доработку представленный ответственным исполнителем проект распоряжения в 3-дневный срок.

4.6.7. В случае возврата ответственному исполнителю на доработку проекта распоряжения ответственный исполнитель дорабатывает проект распоряжения в 2-дневный срок.

4.7. После подписания распоряжения ответственный исполнитель в сроки, установленные соответствующим распоряжением, готовит акт приема-передачи и сопроводительным письмом направляет для подписания в уполномоченный орган государственной власти или орган местного самоуправления.

4.8. Передаточный акт в срок, указанный в законодательстве Российской Федерации, должен быть подписан уполномоченным лицом органа государственной власти или органа местного самоуправления, осуществляющего принятие имущества, и представлен на утверждение в Росимущество.

4.9. После поступления в Росимущество подписанного уполномоченным органом государственной власти или органом местного самоуправления передаточного акта ответственный исполнитель в 3-дневный срок обеспечивает в установленном порядке его утверждение.

4.10. Утвержденный акт приема-передачи имущества направляется Росимуществом в территориальный орган Росимущества по месту нахождения объекта для внесения передаваемого имущества в реестр федерального имущества, а также для обеспечения оформления права собственности Российской Федерации на приобретенное имущество, в том числе государственной регистрации прав на недвижимое имущество в порядке, установленном законодательными и иными нормативными актами Российской Федерации.

4.11. Если имущество, находящееся в собственности субъекта Российской Федерации или муниципальной собственности, в соответствии с законодательством Российской Федерации не может быть передано в федеральную собственность, ответственный исполнитель в месячный срок со дня поступления обращения в Росимущество готовит проект письма заявителю с обоснованием отказа в передаче имущества.

4.12. В случае принятия Росимуществом решения о передаче имущества в федеральную собственность Росимущество (территориальный орган Росимущества) осуществляет мероприятия по оформлению права оперативного управления (или хозяйственного ведения) федеральных организаций, для целей деятельности которых была осуществлена указанная передача.

IV. Порядок и формы контроля за исполнением государственной функции

5.1. Текущий контроль за соблюдением последовательности действий, определенных административными процедурами по исполнению государственной функции, и принятием решений сотрудниками Росимущества осуществляется начальником Управления структурного подразделения Росимущества, ответственными за организацию работы по исполнению государственной функции, и Минэкономразвития России.

5.2. По результатам контроля осуществляется привлечение виновных лиц к ответственности в соответствии с законодательством Российской Федерации.

5.3. Периодичность осуществления текущего контроля устанавливается Руководителем Росимущества.

5.4. Проверка полноты и качества осуществления государственной функции организуется на основании приказов Росимущества.

5.5. Периодичность проведения проверок может носить плановый характер (осуществляться на основании полугодовых или годовых планов работы) и внеплановый характер (по конкретному обращению заявителя).

5.6. Персональная ответственность должностных лиц Росимущества закрепляется в их должностных регламентах в соответствии с требованиями законодательства Российской Федерации.

V. Порядок обжалования действия (бездействия) должностного лица, а также принимаемого им решения при исполнении государственной функции

6.1. Заявители могут обратиться с жалобой на действия (бездействие) и решения, осуществляемые (принятые) в ходе исполнения государственной функции должностными лицами Росимущества лично либо с письменным обращением (или по электронной почте), в том числе в Минэкономразвития России.

6.2. Письменное обращение, содержащее обжалование действий (бездействия) конкретных должностных лиц Росимущества, поступившее в Росимущество, не может направляться этим должностным лицам на рассмотрение и направляется соответствующим структурным подразделениям для рассмотрения и подготовки ответа в срок до одного месяца со дня поступления (регистрации) в Росимущество.

6.3. Порядок рассмотрения обращений граждан, содержащих обжалование решений, действий (бездействий) конкретных должностных лиц, содержится в разделе Регламента Росимущества, утвержденного Приказом Минэкономразвития России.

6.4. В случае несогласия с результатами обжалования заявитель вправе обратиться в установленном законодательством Российской Федерации порядке в соответствии с подведомственностью дел, установленной процессуальным законодательством, в суд, арбитражный суд или третейский суд.

Приложение N 1

БЛОК-СХЕМЫ ИСПОЛНЕНИЯ ГОСУДАРСТВЕННОЙ ФУНКЦИИ "ОСУЩЕСТВЛЕНИЕ ПЕРЕДАЧИ ИМУЩЕСТВА, НАХОДЯЩЕГОСЯ В ФЕДЕРАЛЬНОЙ СОБСТВЕННОСТИ, В ГОСУДАРСТВЕННУЮ СОБСТВЕННОСТЬ СУБЪЕКТОВ РОССИЙСКОЙ ФЕДЕРАЦИИ И В МУНИЦИПАЛЬНУЮ СОБСТВЕННОСТЬ, ПРИНЯТИЕ ИМУЩЕСТВА ИЗ СОБСТВЕННОСТИ СУБЪЕКТА РОССИЙСКОЙ ФЕДЕРАЦИИ ИЛИ МУНИЦИПАЛЬНОЙ СОБСТВЕННОСТИ В ФЕДЕРАЛЬНУЮ СОБСТВЕННОСТЬ"

АДМИНИСТРАТИВНАЯ ПРОЦЕДУРА "ОСУЩЕСТВЛЕНИЕ ПЕРЕДАЧИ ИМУЩЕСТВА, НАХОДЯЩЕГОСЯ В ФЕДЕРАЛЬНОЙ СОБСТВЕННОСТИ, В ГОСУДАРСТВЕННУЮ СОБСТВЕННОСТЬ СУБЪЕКТОВ РОССИЙСКОЙ ФЕДЕРАЦИИ И В МУНИЦИПАЛЬНУЮ СОБСТВЕННОСТЬ, ПРИНЯТИЕ ИМУЩЕСТВА ИЗ СОБСТВЕННОСТИ СУБЪЕКТА РОССИЙСКОЙ ФЕДЕРАЦИИ ИЛИ МУНИЦИПАЛЬНОЙ СОБСТВЕННОСТИ В ФЕДЕРАЛЬНУЮ СОБСТВЕННОСТЬ"

АДМИНИСТРАТИВНАЯ ПРОЦЕДУРА "ОСУЩЕСТВЛЕНИЕ ПЕРЕДАЧИ ИМУЩЕСТВА, НАХОДЯЩЕГОСЯ В ФЕДЕРАЛЬНОЙ СОБСТВЕННОСТИ, В ГОСУДАРСТВЕННУЮ СОБСТВЕННОСТЬ СУБЪЕКТОВ РОССИЙСКОЙ ФЕДЕРАЦИИ И В МУНИЦИПАЛЬНУЮ СОБСТВЕННОСТЬ, ПРИНЯТИЕ ИМУЩЕСТВА ИЗ СОБСТВЕННОСТИ СУБЪЕКТА РОССИЙСКОЙ ФЕДЕРАЦИИ ИЛИ МУНИЦИПАЛЬНОЙ СОБСТВЕННОСТИ ИЗ ФЕДЕРАЛЬНОЙ СОБСТВЕННОСТИ"

Приложение N 2

ФЕДЕРАЛЬНОЕ АГЕНТСТВО ПО УПРАВЛЕНИЮ ГОСУДАРСТВЕННЫМ ИМУЩЕСТВОМ

Схема (не приводится)

Почтовый адрес: 109012, Москва, Никольский пер., д. 9
Телефон: (495) 698-7562
Факс: (495) 606-1119
Справочная: (495) 698-7583
Адрес интернет-сайта www.rosim.ru
E-mail: mgi0@ftcenter.ru

Приложение N 3

ТЕРРИТОРИАЛЬНЫЕ УПРАВЛЕНИЯ ФЕДЕРАЛЬНОГО АГЕНТСТВА ПО УПРАВЛЕНИЮ ГОСУДАРСТВЕННЫМ ИМУЩЕСТВОМ

Наименование территориального управления в Телефон\факс Адрес с указанием почтового индекса Адрес электронной почты
Территориальное управление Росимущества в Республике Адыгея (8772) 57-15-57,
т/ф. 57-16-57
385000, Республика Адыгея, г. Майкоп, ул. Краснооктябрьская, д. 12 minimra@maykop.ru
Территориальное управление Росимущества в Республике Алтай (388-22) 2-10-13,
2-11-49
649000, Республика Алтай, г. Горно-Алтайск, ул. Набережная, д. 1 tumiorf@mail.gorny.ru
Территориальное управление Росимущества в Республике Башкортостан (3472) 51-18-19 450008, РБ, г. Уфа, ул. Цюрупы, 13 miorf_rb@ufanet.ru
Территориальное управление Росимущества в Республике Бурятия (3012) 21-84-18,
21-84-19
670031, г. Улан-Удэ, ул. Коммунистическая, д. 50 tu_mio_rb@mail.ru
Территориальное управление Росимущества в Республике Дагестан (8722) 67-84-59,
90-18-46
367012, г. Махачкала, ул. Пушкина, 4 npavlova@mahachkala.voz.ru
Территориальное управление Росимущества в Республике Ингушетия (8732) 22-79-84 386102, г. Назрань, ул. Победы, 3 tumiori@southnet.ru
Территориальное управление Росимущества в Кабардино-Балкарской Республике (8662) 42-65-04,
48-51-26,
42-66-21,
ф. 42-21-18
360028, КБР, г. Нальчик, ул. Горького, 4 tumiokbr@mail.ru
Территориальное управление Росимущества в Республике Калмыкия (84722) 2-54-13 358000, Республика Калмыкия, г. Элиста, ул. Лермонтова, 4 mgi@infotecset.ru
Территориальное управление Росимущества в Карачаево-Черкесской Республике (87822) 5-16-07 369000, КЧР, г. Черкесск, ул. Кавказская, 19 miokchr@mail.ru
Территориальное управление Росимущества в Республике Карелия (8142) 76-39-87,
ф. 76-82-12
185035, г. Петрозаводск, ул. Андропова, д. 2/24 rosim10@sampo.ru
Территориальное управление Росимущества в Республике Коми (8212) 24-47-21 167010, Республика Коми, ул. Интернациональная, 108 Termiork@kominet.ru
Территориальное управление Росимущества в Республике Марий Эл (8362) 45-49-75 424003, Республика Марий Эл, г. Йошкар-Ола, ул. Панфилова, 39 mgirme@mari-el.ru,
mgi@mari-el.ru
Территориальное управление Росимущества в Республике Мордовия (834-2) 24-41-31 430000, г. Саранск, ул. Коммунистическая, 50 turf@moris.ru.
Территориальное управление Росимущества в Республике Саха - Якутия (4112) 42-11-99 677000, г. Якутск, ул. Аммосова, 8, каб. 418 tu@mio.sakha.ru
Территориальное управление Росимущества в Республике Северная Осетия - Алания (8672) 53-77-26,
ф. 50-58-63
362040, РСО-Алания, г. Владикавказ, пр. Мира, 25 turso@globalalania.ru
Территориальное управление Росимущества в Республике Татарстан (8432) 64-24-60 420043, г. Казань, ул. Вишневского, 26 mifrt@telebit.tu
Территориальное управление Росимущества в Республике Тыва (394-22) 1-12-09,
1-11-84,
ф. 1-12-09
667003, Республика Тыва, г. Кызыл, ул. Улуг-Хемская, д. 14 gki@tuva.ru
Территориальное управление Росимущества в Удмуртской Республике (3412) 63-28-00 426007, г. Ижевск, ул. Пушкинская, 148 tumio@udm.ru
Территориальное управление Росимущества в Республике Хакасия (39022) 2-08-61 655019, г. Абакан, ул. Вяткина, 12 faufirx@mail.ru
Территориальное управление Росимущества в Чеченской Республике (8712) 22-26-50,
ф.(095) 923-14-88
364051, ЧР, г. Грозный, пр. Победы, д. 8 tumio_grozn@mail.ru
Территориальное управление Росимущества в Чувашской Республике (8352) 42-10-77 428018, Чувашская Республика, г. Чебоксары, Московский пр., 2 tumio_chr@cbx.ru
tumio_chr@cap.ru
Территориальное управление Росимущества в Алтайском крае (3852) 24-36-45 656035, Алтайский край, г. Барнаул, ул. Молодежная, д. 3 Altumi@ttb.ru
Территориальное управление Росимущества в Краснодарском крае (8612) 68-26-96,
ф. 68-58-81
350000, г. Краснодар, ул. Гимназическая, д. 36 priem@tfu.ru
Территориальное управление Росимущества в Красноярском крае (3912) 21-52-27,
21-56-74
660009, г. Красноярск, ул. Ленина, 123А kugi@krsn.ru
Территориальное управление Росимущества в Приморском крае (4232) 43-27-12 690091, г. Владивосток, ул. Пологая, 21, 2 этаж primfaufi@primorsky.ru
Территориальное управление Росимущества в Ставропольском крае 8(865-2) 37-28-14,
ф. 95-50-17
355003, г. Ставрополь, ул. Л. Толстого, д. 39 tumio@statel.stavropol.ru
Территориальное управление Росимущества в Хабаровском крае (4212) 32-44-67 680000, г. Хабаровск, ул. Запарина, 76 kans@mtu.kht.ru
Территориальное управление Росимущества в Амурской области (4162) 35-62-93 675000, Амурская область, г. Благовещенск, ул. Калинина, 126 mio@tsl.ru
Территориальное управление Росимущества в Архангельской области (8182) 65-25-53,
65-71-95
163000, г. Архангельск, ул. Карла Либкнехта, д. 2 tofiarh@atknet.ru
Территориальное управление Росимущества в Астраханской области (8512) 33-56-11,
ф. 50-01-76
414024, г. Астрахань, ул. Б. Хмельницкого, 11, к. 5 comim@astranet.ru
Территориальное управление Росимущества в Белгородской области (072-2) 32-74-77 308009, г. Белгород, ул. Попова, 20 belkugi@bel.ru
Территориальное управление Росимущества в Брянской области (0832) 66-49-75,
ф. 74-37-00
241050, г. Брянск, ул. Карла Маркса, 2 tumiobr@online.de
bryansk.ru
Территориальное управление Росимущества во Владимирской области (0922) 32-75-24 600000, г. Владимир, ул. Большая Московская, 68 vlkugi@vtsnet.ru
Территориальное управление Росимущества в Волгоградской области (8442) 38-53-49,
ф. 38-50-00
400131, г. Волгоград, пр. Ленина, 15 comim@sprintnet.ru
Территориальное управление Росимущества в Вологодской области (817-2) 72-92-02 160035, Вологодская область, г. Вологда, ул. Пушкинская, 25 tumio@votel.ru
Территориальное управление Росимущества в Воронежской области (0732) 51-23-81 Почтовый адрес: 394000, г. Воронеж, Главпочтамт, а/я 540 Фактический адрес: г. Воронеж, ул. 9 Января, д. 36 Tumgi0vrn@sovintel.ru
Территориальное управление Росимущества в Ивановской области (0932) 30-63-55,
ф. 47-14-96
153012, г. Иваново, ул. Арсения, 24 Tuivan@mail.ru
Территориальное управление Росимущества в Иркутской области (3952) 201-373,
ф. 201-445
664025, г. Иркутск, ул. Российская, 17 а/я 174 mio-irk@isea.ru
Территориальное управление Росимущества в Калининградской области (0112) 53-66-06 236040, г. Калининград, ул. Генерала Соммера, 27 postmaster@komim.koenig.ru
Территориальное управление Росимущества в Калужской области (0842) 56-55-15 248000, г. Калуга, ул. Баженова, д. 2 tumio@adm.kaluga.ru
Территориальное управление Росимущества в Камчатской области 8(4152) 11-20-38,
12-02-47,
ф. 12-00-44
683000, г. Петропавловск-Камчатский, ул. Красинцев, 19 tumioko@mail.kamchatka.ru
Территориальное управление Росимущества в Кемеровской области (384-2) 36-53-30,
58-46-26,
ф. 36-54-70
650000, г. Кемерово, пр. Советский, 58 property@kuzbass.net
Территориальное управление Росимущества в Кировской области (8332) 35-42-20 610000, г. Киров, ул. Ленина, 80-а fgi@fgi.kirov.ru
Территориальное управление Росимущества в Костромской области (0942) 35-77-11 156961, г. Кострома, ул. Красноармейская, 8 tumiokos@kosnet.ru
Территориальное управление Росимущества в Курганской области (3522) 46-71-14,
42-67-61,
ф. 46-48-46,
канц. 41-79-52
640000, г. Курган, пл. им. В.И. Ленина tumio@zaural.ru
Территориальное управление Росимущества в Курской области (0712) 51-37-86, т/ф. 51-38-19 305002, г. Курск, ул. Марата, 9 kugi@kursknet.ru
Территориальное управление Росимущества в г. Санкт-Петербурге (812) 315-49-69 191186, СПб, ул. Гороховая, д. 2/6, лит. А faugi.spb@gmail.com
Территориальное управление Росимущества в Ленинградской области (812) 315-49-69 191186, СПб, ул. Гороховая, д. 2, к. 6, литер А TUMIOLO@LOKUGI.MGI.RU
Территориальное управление Росимущества в Липецкой области (0742) 22-12-74,
ф. 22-13-23
398019, г. Липецк, ул. Скороходова, 2 kugizs@lipetsk.ru
Территориальное управление Росимущества в Магаданской области (41322) 2-05-11 685000, г. Магадан, ул. Пролетарская, 14 tumag@km.ru
Территориальное управление Росимущества в г. Москве (495) 777-29-05,
ф. 607-64-75
ф. 208-20-34
107139, г. Москва, Орликов пер., д. 3, кор. Б TU@msk.rosim.ru и
TU1@msk.rosim.ru
Территориальное управление Росимущества в Московской области 736-93-01,
184-33-86,
736-93-02
129346, Москва, ул. Коминтерна, 38 mio46@ftcenter.ru
Территориальное управление Росимущества в Мурманской области (815-2) 45-65-33,
45-46-88
183006, г. Мурманск, ул. Пушкинская, 12 rosim51@polarnet.ru
Территориальное управление Росимущества в Нижегородской области (8312) 34-17-80 603022, г. Нижний Новгород, ул. Пл. Горького, 6 tumiorf@sinn.ru
Территориальное управление Росимущества в Новгородской области (8162) 732-328 173005, г. В. Новгород, Софийская пл., 1 tu@niac.ru
Территориальное управление Росимущества в Новосибирской области (3832) 18-82-05 630011, г. Новосибирск, Красный пр., 18 miosfo@sibmail.ru
Территориальное управление Росимущества в Омской области (3812) 24-51-09 644043, г. Омск, ул. Тарская, 11 tumiooo@mail.ru
Территориальное управление Росимущества в Оренбурской области (3532) 78-60-92 460015, г. Оренбург, Дом Советов Office27@gov.orb.ru
Территориальное управление Росимущества в Орловской области (0862) 544-677 302030, г. Орел, наб. Дубровинского, 70 tumio.orel@rekom.ru
Территориальное управление Росимущества в Пензенской области (8412) 52-08-98,
ф. 52-55-13
440000, г. Пенза, ул. Урицкого, 127 tupenza@sura.ru
Территориальное управление Росимущества в Пермской области (3422) 90-59-51 614006, г. Пермь, ул. Куйбышева, 6 dio@permregion.ru
Территориальное управление Росимущества в Псковской области (8112) 72-39-20 180001, г. Псков, ул. Некрасова, 23 tumio@obladmin.pskov.ru
Территориальное управление Росимущества в Ростовской области (8632) 40-52-99 344050, г. Ростов-на-Дону, ул. Социалистическая, 112 kugi@rostov.mgi.ru
Территориальное управление Росимущества в Рязанской области (0912) 24-61-06 390006, г. Рязань, ул. Есенина, 9 tumio@mail.ryazan.ru
Территориальное управление Росимущества в Самарской области (8462) 33-35-15 443010, г. Самара, ул. Красноармейская, 21 tufaufi@samtel.ru
Территориальное управление Росимущества в Саратовской области (8452) 73-49-50 410012, г. Саратов, ул. Советская, 60 comimm@overta.ru
Территориальное управление Росимущества в Сахалинской области (4242) 42-27-97 693010, г. Южно-Сахалинск, Коммунистический пр., 27-а fafi@sakhalin.ru
Территориальное управление Росимущества в Свердловской области (343) 379-40-77,
ф. 379-40-83
620219, г. Екатеринбург, ул. Восточная, 52 faufi@sovintel.ru
Территориальное управление Росимущества в Смоленской области (0812) 38-64-03,
38-62-32
214008, г. Смоленск, пл. Ленина, 1 smolkugi@sci.smolensk.ru
Территориальное управление Росимущества в Тамбовской области (0752) 71-15-57,
72-16-56
392000, г. Тамбов, ул. Московская, 65 tumio@regadm.tambov.ru
Территориальное управление Росимущества в Тверской области (0822) 32-03-33,
ф. 34-76-51
170000, г. Тверь, ул. Советская, д. 33 Property@tvcom.ru
Территориальное управление Росимущества в Томской области (382-2) 55-75-95 634041, г. Томск, пр. Кирова, 51 tumio@tomsk.net
Территориальное управление Росимущества в Тульской области (0872) 33-14-36,
36-01-34
300600, г. Тула, ул. Староникитская, 1 tumio@region.tula.ru
Территориальное управление Росимущества в Тюменской области (3452) 24-56-96 625000, г. Тюмень, ул. Володарского, 48 ritmn@t5.ru
Территориальное управление Росимущества в Ульяновской области (8422) 42-26-40 432063, г. Ульяновск, ул. Островского, 5 federal@mail.uln.ru
Территориальное управление Росимущества в Челябинской области (3512) 63-77-22,
ф. 65-16-81
454091, г. Челябинск, пр. Ленина, 59 kugi@shei.surnet.ru
Территориальное управление Росимущества в Читинской области (3022) 32-45-19,
32-55-98
672002, г. Чита, ул. Амурская, 68 rool@tumio.chita.ru
Территориальное управление Росимущества в Ярославской области (0852) 31-42-62,
31-42-60
150000, г. Ярославль, ул. Андропова, 9/9 dugfed@adm.yar.ru
Территориальное управление Росимущества в Еврейской автономной области (42622) 6-16-70 679000, ЕАО, г. Биробиджан, ул. Ленина, 15 tueao@on-line.jar.ru
Территориальное управление Росимущества в Агинском Бурятском автономном округе (302-39) 3-50-33 687000, Читинская область, п. Агинское, ул. Базара-Ринчино, 92 tu80@agatel.ru
Территориальное управление Росимущества в Коми-Пермяцком автономном округе (34260) 4-65-22 619000, Коми-Пермяцкий автономный округ, г. Кудымкар, ул. М. Горького, 57 Komiokrug@permonline.ru
Территориальное управление Росимущества б Корякском автономном округе (41543) 32-7-96 688000, Корякский АО, Тигильский район, пгт Палана, ул. Поротова, 24, к. 304 tumikao@palana.ru
Территориальное управление Росимущества в Ненецком автономном округе (81853) 4-02-26 166000, Ненецкий автономный округ, г. Нарьян-Мар, ул. Первомайская, 3-а ymionao@atnet.ru
Территориальное управление Росимущества в Таймырском автономном округе (39111) 2-85-40,
2-85-45
647000, г. Дудинка, ул. Советская, 35 kqi@atao.taimyr.ru
Территориальное управление Росимущества в Усть-Ордынском Бурятском автономном округе (395-41) 5-05-84 669001, Усть-Ордынский Бурятский автономный округ, Эхирит-Булагатский район, п. Усть-Ордынский, ул. Ленина, 18а r-uorda@irmail.ru
Территориальное управление Росимущества в Ханты-Мансийском автономном округе - Югре (34671) 5-65-38,
ф. 5-65-37
628012, Ханты-Мансийский автономный округ, г. Ханты-Мансийск, ул. Коминтерна, 15 tufaufi@xmao.ru
Территориальное управление Росимущества в Эвенкийском автономном округе (3912) 4-43-58 648000, Красноярский край, пгт Тура, ул. Красноярская, д. 15 PolishukLN@tura.evenkya.ru
Территориальное управление Росимущества в Ямало-Ненецком автономном округе (34922) 3-00-90,
2-43-58
629001, г. Салехард, ул. Республики, 92 tumio@kugi.ru

Приложение N 4

ГРАФИК ПРИЕМА ОБРАЩЕНИЙ ГРАЖДАН И ПРЕДОСТАВЛЕНИЯ КОНСУЛЬТАЦИЙ О ПОРЯДКЕ ПРЕДОСТАВЛЕНИЯ ГОСУДАРСТВЕННОЙ УСЛУГИ

График приема обращений граждан и предоставления консультаций о порядке предоставления государственной услуги

Понедельник Вторник Среда Четверг Пятница
с 9-00 до 12-00 с 9-00 до 12-00 с 9-00 до 12-00

Консультации общего характера (о местонахождении, графике работы, требуемых документах) могут предоставляться с использованием средств автоинформирования. При автоинформировании обеспечивается круглосуточное предоставление справочной информации.

График выдачи результатов услуги

Понедельник Вторник Среда Четверг Пятница
с 14-00 до 17-00 с 14-00 до 17-00 с 14-00 до 16-30