Указание ЦБ РФ от 18.12.2002 N 1225-У

"О проведении единовременного обследования инвестиций уполномоченных банков и их клиентов резидентов (кроме кредитных организаций) в ценные бумаги, выпущенные нерезидентами, по состоянию на 1 января 2003 года"
Редакция от 18.12.2002 — Документ утратил силу, см. «Указание ЦБ РФ от 15.04.2010 N 2428-У»

ЦЕНТРАЛЬНЫЙ БАНК РОССИЙСКОЙ ФЕДЕРАЦИИ

УКАЗАНИЕ
от 18 декабря 2002 г. N 1225-У

О ПРОВЕДЕНИИ ЕДИНОВРЕМЕННОГО ОБСЛЕДОВАНИЯ ИНВЕСТИЦИЙ УПОЛНОМОЧЕННЫХ БАНКОВ И ИХ КЛИЕНТОВ - РЕЗИДЕНТОВ (КРОМЕ КРЕДИТНЫХ ОРГАНИЗАЦИЙ) В ЦЕННЫЕ БУМАГИ, ВЫПУЩЕННЫЕ НЕРЕЗИДЕНТАМИ, ПО СОСТОЯНИЮ НА 1 ЯНВАРЯ 2003 ГОДА

1. В целях проведения единовременного обследования инвестиций уполномоченные банки не позднее 25 февраля 2003 года представляют в территориальные учреждения Банка России форму единовременного обследования N 404 "Сведения об инвестициях уполномоченных банков и их клиентов - резидентов (кроме кредитных организаций) в ценные бумаги, выпущенные нерезидентами, по состоянию на 1 января 2003 года" в соответствии с порядком ее заполнения и представления, приведенным в Приложении к настоящему Указанию.

2. Территориальные учреждения Банка России обеспечивают проверку полноты и достоверности полученной информации и не позднее 15 марта 2003 года направляют отчеты уполномоченных банков по форме единовременного обследования N 404 в Центральный банк Российской Федерации.

3. Настоящее Указание вступает в силу по истечении 10 дней после дня его опубликования в "Вестнике Банка России".

Председатель Банка России
С.М.ИГНАТЬЕВ

Приложение
к Указанию Банка России
"О проведении единовременного
обследования инвестиций
уполномоченных банков и их
клиентов - резидентов (кроме
кредитных организаций) в ценные
бумаги, выпущенные нерезидентами,
по состоянию на 1 января 2003 года"
N 1225-У от 18 декабря 2002 года

Код территории по ОКАТО Код кредитной организации
  по ОКПО регистрационный номер БИК
         

СВЕДЕНИЯ ОБ ИНВЕСТИЦИЯХ УПОЛНОМОЧЕННОГО БАНКА И ЕГО КЛИЕНТОВ - РЕЗИДЕНТОВ (КРОМЕ КРЕДИТНЫХ ОРГАНИЗАЦИЙ) В ЦЕННЫЕ БУМАГИ, ВЫПУЩЕННЫЕ НЕРЕЗИДЕНТАМИ, ПО СОСТОЯНИЮ НА 1 ЯНВАРЯ 2003 ГОДА

Наименование кредитной организации: _________________________________

Почтовый адрес: __________________________________________________

Форма единовременного обследования N 404

Номер строки Идентификационный код ценной бумаги Код кодировочной системы Код типа ценной бумаги Наименование эмитента Наличие отношений прямого инвестирования Код клиента Код страны эмитента Количество ценных бумаг (штук) Код валюты ценной бумаги Цена одной ценной бумаги (в ед. оригинальной валюты) Общая стоимость пакета ценных бумаг (в ед. оригинальной валюты) Код использованного метода оценки рыночной стоимости ценных бумаг Код места хранения ценных бумаг Особые пометки
номинальная рыночная номинальная (гр. 9 x гр. 11) рыночная (гр. 9 x гр. 12)
1 2 3 4 5 6 7 8 9 10 11 12 13 14 15 16 17
Раздел 1. Ценные бумаги, выпущенные нерезидентами и принадлежащие уполномоченному банку на праве собственности
1.1           Х                    
1.2           Х                    
...           Х                    
Раздел 2. Ценные бумаги, выпущенные нерезидентами и принадлежащие резидентам, являющимся клиентами (депонентами) уполномоченного банка (кроме кредитных организаций)
2.1         Х                 Х Х Х
2.2         Х                 Х Х Х
...         Х                 Х Х Х

Отчет направляется в составе: раздела 1 __ строк и раздела 2 __ строк.

Руководитель (Ф.И.О.)
Исполнитель (Ф.И.О.)
Телефон исполнителя  
Факс исполнителя  
E-mail исполнителя  

ПОРЯДОК
ЗАПОЛНЕНИЯ И ПРЕДСТАВЛЕНИЯ ФОРМЫ ЕДИНОВРЕМЕННОГО ОБСЛЕДОВАНИЯ "СВЕДЕНИЯ ОБ ИНВЕСТИЦИЯХ УПОЛНОМОЧЕННОГО БАНКА И ЕГО КЛИЕНТОВ - РЕЗИДЕНТОВ (КРОМЕ КРЕДИТНЫХ ОРГАНИЗАЦИЙ) В ЦЕННЫЕ БУМАГИ, ВЫПУЩЕННЫЕ НЕРЕЗИДЕНТАМИ, ПО СОСТОЯНИЮ НА 1 ЯНВАРЯ 2003 ГОДА"

I. Общие положения

I.1. Цель сбора информации

Собираемая информация будет использована при составлении платежного баланса и международной инвестиционной позиции России, а также при проведении международных сопоставлений под эгидой МВФ.

I.2. Раскрытие информации и публикация данных Банком России

Информация, полученная на основе данного обследования, будет использоваться в агрегированном виде для статистических целей.

Банк России гарантирует конфиденциальность полученной информации.

I.3. Порядок и сроки представления отчетов

Уполномоченные банки <*> представляют отчет по форме единовременного обследования N 404 в территориальные учреждения Банка России в электронном виде не позднее 25 февраля 2003 года.

<*> Далее по тексту - "Банк".

Форма обследования является сводной и должна включать данные филиалов отчитывающегося Банка, включая филиалы, находящиеся на территории других государств и не являющиеся самостоятельными юридическими лицами.

I.4. Единицы измерения и правила представления числовых показателей

Данные в графе 9 разделов 1 и 2 должны быть представлены с округлением до целого числа.

Данные в графах 11, 12, 13, 14 разделов 1 и 2 должны быть представлены в единицах оригинальной валюты с двумя знаками после запятой.

Если значение показателя равно нулю или явление, которое он отражает, отсутствует, то в форме по этому показателю проставляется значение "0".

I.5. Порядок представления отчетности с нулевыми данными

В случае если в каком-либо из разделов формы данные только нулевые, то отчитывающийся Банк имеет право не присылать этот раздел, указав в соответствующей строке формы, что данный раздел содержит "0" строк.

В случае если отчитывающийся Банк и его клиенты - резиденты не имеют инвестиций в ценные бумаги, эмитированные нерезидентами, то отчитывающийся Банк обязан прислать отчет с нулевыми данными.

I.6. Порядок внесения исправлений данных

Если после отправки отчета были обнаружены ошибки, то необходимо направить исправленный отчет соответствующему территориальному учреждению Банка России.

I.7. Вопросы к Банку России

В случае возникновения вопросов по порядку заполнения и представления отчета просьба обращаться по телефону: 928-45-86 (факс: (095) 923-29-30, адрес электронной почты: tai@cbr.ru).

I.8. Срок хранения отчитывающейся кредитной организацией оригинала отчета - 3 года.

I.9. Структура формы

Форма состоит из двух разделов:

В разделе 1 отражаются ценные бумаги, выпущенные нерезидентами, принадлежащие Банку на праве собственности.

В разделе 2 отражаются выпущенные нерезидентами ценные бумаги, принадлежащие резидентам, являющимся клиентами (депонентами) отчитывающегося Банка (кроме кредитных организаций), и находящиеся у него на хранении, учете, брокерском обслуживании, а также в доверительном управлении.

II. Определения и понятия, используемые в настоящем Порядке

II.1. Используемые в рамках данной формы отчетности определения резидентов России, нерезидентов России, депозитных сертификатов, долговых ценных бумаг, прямых инвестиций, участия в капитале, голосующего и не голосующего участия в капитале, срока погашения, платежных документов полностью совпадают с определениями, указанными в Порядке составления и представления отчетности по форме N 401 "Отчет уполномоченного банка об иностранных операциях".

II.2. Ценные бумаги, подлежащие отражению в данной форме, и их классификация

Приведенные ниже определения и классификации используются исключительно для данной формы обследования.

II.2.1. Ценные бумаги, подлежащие отражению в данной форме обследования

В форме отражаются ценные бумаги, выпущенные нерезидентами:

- принадлежащие Банку на праве собственности;

- по отношению к которым Банк зарегистрирован в реестре в качестве номинального держателя (исключая ценные бумаги, владельцами которых являются кредитные организации);

- по отношению к которым Банк выступает в качестве доверительного управляющего (исключая ценные бумаги, учредителями доверительного управления которыми являются кредитные организации);

- владельцами которых являются резиденты - клиенты (депоненты) отчитывающегося Банка (кроме кредитных организаций), в том числе по отношению к которым они выполняют функции номинальных держателей и доверительных управляющих;

- предоставленные Банком, а также резидентами, являющимися клиентами (депонентами) отчитывающегося Банка (кроме кредитных организаций), по договорам с обратной продажей, договорам займа ценных бумаг или переданные в залог.

II.2.2. Ценные бумаги, выпущенные нерезидентами, не подлежащие отражению в данной форме

В форме не отражаются следующие выпущенные нерезидентами ценные бумаги:

- принадлежащие кредитным организациям, являющимся клиентами (депонентами) Банка;

- принадлежащие нерезидентам, являющимся клиентами (депонентами) Банка;

- депозитарные расписки на ценные бумаги эмитентов - резидентов;

- полученные по договорам займа ценных бумаг, по договорам с обратной продажей, а также в залог;

- производные финансовые инструменты.

II.2.3. Классификация ценных бумаг, выпущенных нерезидентами

Ценные бумаги, выпущенные нерезидентами и подлежащие отражению в данной форме, классифицируются по следующим группам:

- ценные бумаги, обеспечивающие участие в капитале, - обыкновенные и привилегированные акции, депозитарные расписки, удостоверяющие право собственности на акции нерезидентов, являющиеся базисным активом для расписок. Кроме того, исключительно для целей данной формы отчетности к этой группе следует также относить такие инструменты, как паи, доли в имуществе, сертификаты участия, удостоверяющие долю и условия участия в капитале;

- долгосрочные долговые ценные бумаги - облигации, различные долговые обязательства, дающие их владельцу безусловное право на получение некоторого денежного дохода. Срок погашения данных ценных бумаг составляет более одного года от даты их размещения. К этой группе ценных бумаг, например, относятся: казначейские облигации; облигации с нулевым купоном, дисконтом, с различными видами купонных платежей, с плавающей процентной ставкой; бессрочные и конвертируемые облигации; индексированные облигации; ценные бумаги, обеспеченные активами, такие, как облигации, обеспеченные недвижимостью, долговые инструменты, обеспеченные пулом ипотек; "не участвующие" привилегированные акции; свободно обращающиеся депозитные сертификаты, выпущенные банками со сроком погашения свыше одного года; депозитарные расписки на предъявителя, удостоверяющие право собственности на облигации нерезидентов, являющиеся базисным активом для расписок; долгосрочные вексельные обязательства; другие долгосрочные ценные бумаги. Ценные бумаги с нерегулярными сроками погашения, самый поздний из которых наступает более чем через год, а также ценные бумаги с неопределенными сроками погашения следует классифицировать как долгосрочные долговые ценные бумаги;

- краткосрочные долговые ценные бумаги - ценные бумаги денежного рынка, дающие их владельцу безусловное право на получение в установленный срок оговоренной фиксированной суммы денег. Такие инструменты обычно продаются и покупаются на организованных рынках по цене ниже цены погашения. Срок погашения краткосрочных долговых ценных бумаг составляет один год или менее года от даты их размещения. К этой группе ценных бумаг относятся, например, казначейские векселя и среднесрочные казначейские облигации (сроком на год и менее года); краткосрочные коммерческие и финансовые бумаги; банковские акцептованные переводные векселя; банковские депозитные сертификаты со сроком обращения год и менее года; краткосрочные долговые обязательства, выпускаемые в рамках эмиссионных программ с банковской поддержкой (данные ценные бумаги считаются краткосрочными даже в том случае, когда лежащие в их основе инструменты являются долгосрочными), и т.п. К краткосрочным долговым ценным бумагам относятся также векселя до востребования.

При группировке долговых ценных бумаг по срокам погашения (на долгосрочные и краткосрочные) необходимо исходить из первоначального, а не остаточного срока погашения. Под первоначальным сроком погашения ценных бумаг понимается срок от даты их размещения до даты погашения, но не срок от даты их приобретения отчитывающимся Банком (или его клиентом) до даты погашения.

II.2.4. Депозитарные расписки и порядок отражения депозитарных расписок на ценные бумаги, выпущенные нерезидентами

Депозитарные расписки - это ценные бумаги, выпущенные депозитарными банками в форме сертификатов, удостоверяющих право собственности на долю в портфеле акций или облигаций иностранных эмитентов. Депозитарная расписка может представлять одну ценную бумагу, несколько ценных бумаг одного класса или часть ценной бумаги.

В данной форме отчетности отражаются только депозитарные расписки, выпущенные на ценные бумаги эмитентов - нерезидентов.

Депозитарные расписки следует отражать в графе 8 формы по стране эмитента ценной бумаги (акции, облигации), являющейся базисным активом для депозитарной расписки, а не по стране банка, выпустившего соответствующую расписку. Такой же подход следует использовать для определения наличия отношений прямого инвестирования (графа 6 раздела 1 формы).

Все другие показатели отчета должны соответствовать характеристикам депозитарных расписок, а не акций (облигаций), лежащих в их основе.

II.2.5. Доверительное управление ценными булками и порядок отражения ценных бумаг, находящихся или переданных в доверительное управление

Определения учредитель управления, доверительный управляющий, используемые в данной отчетности, соответствуют определениям, изложенным в главе 53 ГК Российской Федерации, а также в пп. 2.1 и 2.2 Инструкции Банка России от 2 июля 1997 г. N 63 "О Порядке осуществления операций доверительного управления и бухгалтерском учете этих операций кредитными организациями Российской Федерации".

В зависимости от статуса отчитывающегося Банка (учредитель управления или доверительный управляющий) ценные бумаги, выпущенные нерезидентами, отражаются:

в разделе 1 - если Банк является их собственником и выступает в качестве учредителя доверительного управления ценными бумагами;

в разделе 2 - если Банк выступает в качестве доверительного управляющего ценными бумагами, принадлежащими резидентам - учредителям управления (кроме кредитных организаций).

II.2.6. Понятие номинального держателя и порядок отражения ценных бумаг, находящихся у номинального держателя

Понятие номинального держателя ценных бумаг, используемое в данной форме отчетности, соответствует определению, приведенному в п. 2 ст. 8 Федерального закона от 22 апреля 1996 г. N 39-ФЗ "О рынке ценных бумаг".

В зависимости от статуса отчитывающегося Банка (собственник или номинальный держатель) ценные бумаги, выпущенные нерезидентами, отражаются:

в разделе 1 - если Банк, являясь собственником указанных ценных бумаг, передал их в номинальное держание;

в разделе 2 - если Банк зарегистрирован в реестре в качестве номинального держателя ценных бумаг, принадлежащих резидентам (кроме кредитных организаций).

В случае если отчитывающийся банк обладает информацией о том, что его клиент - резидент, по ценным бумагам которого он выступает номинальным держателем, также является номинальным держателем, а конечным владельцем этих бумаг является нерезидент, то вышеуказанные ценные бумаги не должны отражаться в данной форме.

II.2.7. Порядок отражения ценных бумаг по договорам с обратной продажей, займа, а также принятых / переданных в залог

Исключительно для целей данной формы отчетности ценные бумаги нерезидентов, принадлежащие Банку и предоставленные им взаймы или по договору с обратной продажей, а также переданные в залог, должны отражаться в отчете. Несмотря на различные правовые особенности этих операций предоставление ценных бумаг взаймы, по договору об обратной продаже, а также передача их в залог рассматривается в рамках этой формы как временный обмен ценных бумаг на денежные средства или другое обеспечение.

В форме не отражаются ценные бумаги нерезидентов, полученные по договорам займа ценных бумаг, по договорам с обратной продажей, а также принятые в залог.

II.2.8. Производные финансовые инструменты и порядок отражения ценных бумаг, имеющих встроенный производный инструмент

Производные финансовые инструменты - финансовые инструменты, которые привязаны к другим конкретным инструментам, показателям или товарам и с помощью которых на финансовых рынках может осуществляться торговля конкретными финансовыми рисками, независимо от основного инструмента. К числу производных финансовых инструментов относятся опционы, фьючерсы, свопы, варранты и др.

Производные финансовые инструменты не отражаются в форме, так как для целей данной формы обследования они не рассматриваются в качестве ценных бумаг.

Ценные бумаги, лежащие в основе инструментов, производных от базисных активов, в данной форме обследования указываются без учета стоимости инструментов, имеющих к ним отношение.

Исключением являются долговые ценные бумаги, содержащие неотделимый встроенный производный инструмент (например, долговая ценная бумага со встроенным опционом на конвертацию). Для целей данной формы обследования указанные долговые ценные бумаги оцениваются с учетом стоимости встроенного инструмента, даже если стоимость таких ценных бумаг будет отличаться от аналогичных ценных бумаг именно из-за стоимости такого инструмента.

II.2.9. Ценные бумаги с досрочным выкупом и порядок их отражения

Если часть основного долга по ценным бумагам была выкуплена (погашена) досрочно, то в форме отражаются номинальная и рыночная стоимости оставшейся в обращении невыплаченной части основного долга по состоянию на 1 января 2003 года.

II.2.10. Отношения прямого инвестирования

При определении наличия между отчитывающимся Банком и нерезидентом отношений прямого инвестирования следует использовать понятие прямых инвестиций, приведенное в п. IV.2 Порядка составления и представления отчетности по форме N 401 "Отчет уполномоченного банка об иностранных операциях".

II.2.11. Ценные бумаги нерезидентов - дочерних компаний российских резидентов

В отчет необходимо включать ценные бумаги, выпущенные нерезидентами, которые являются дочерними компаниями резидентов Российской Федерации.

II.2.12. Охват долговых ценных бумаг по месту хранения и / или учета

Ценные бумаги нерезидентов, принадлежащие Банку, а также депонентам - резидентам (кроме кредитных организаций) и находящиеся на хранении и / или учете в депозитарии Банка, подлежат отражению в форме независимо от места их хранения и / или учета (в собственном хранилище Банка, у других резидентов, в том числе в депозитариях кредитных организаций, у нерезидентов).

Если ценные бумаги одного эмитента - нерезидента, принадлежащие Банку, находятся на хранении и / или учете в различных местах, то в форме указанные ценные бумаги отражаются отдельно по каждому месту хранения и / или учета.

В качестве собственного хранилища в рамках данного обследования рассматриваются также хранилища филиалов и арендованные хранилища.

II.2.13. Определение страны эмитента ценной бумаги

При заполнении формы особое внимание следует обратить на правильное определение страны принадлежности эмитента - нерезидента ценной бумаги. Этот показатель является одним из основополагающих для проведения международных агрегированных сопоставлений. Ценные бумаги, выпущенные международными организациями - нерезидентами, не следует относить к странам, где расположены эти организации, поскольку указанные ценные бумаги не являются обязательствами этих стран. В рамках данной формы международным организациям присвоен отдельный код "XX".

Страновую принадлежность организации - нерезидента, предоставляющей международные финансовые услуги, следует определять на основании местонахождения ее штаб - квартиры. Например, компании SWIFT и Euroclear являются резидентами Бельгии.

В соответствии с п. II.2.4 данного Порядка депозитарные расписки, выпущенные на ценные бумаги компаний - нерезидентов, следует относить к стране резидентства эмитента ценной бумаги, лежащей в основе расписки, а не банка, выпустившего соответствующие расписки.

Не следует:

- определять страну принадлежности эмитента на основе валюты, в которой номинированы ценные бумаги;

- указывать в качестве страны эмитента ценных бумаг страну, предоставившую гарантии (если только страна выпуска ценных бумаг не совпадает со страной предоставления гарантии);

- указывать в качестве страны эмитента ценных бумаг страну нерезидента, у которого были приобретены соответствующие ценные бумаги (если только страна продавца ценных бумаг не совпадает со страной эмитента).

II.2.14. Рыночная стоимость и порядок проведения оценки ценных бумаг для данной формы обследования

В стоимость ценных бумаг включается накопленный процентный (купонный) доход, уплаченный при приобретении, но не включается стоимость затрат по оплате финансовых услуг (комиссионные, вознаграждения и т.п.), связанных с их приобретением.

Рыночная стоимость ценных бумаг, котируемых на биржевом рынке, для целей настоящей формы обследования рассчитывается на основе рыночной цены, определяемой в соответствии с п. 1.2.14 Положения Банка России от 29 сентября 1999 года N 89-П "О порядке расчета кредитными организациями размера рыночных рисков" (с учетом изменений и дополнений). Для целей данного обследования рыночная стоимость котируемых на биржевом рынке ценных бумаг, предоставленных по договорам займа и по договорам с обратной продажей ценных бумаг, а также в залог, определяется аналогичным образом. Потоки денежных средств, связанных со сделками по договорам займа, с обратной продажей ценных бумаг, а также с залогом в рыночную стоимость ценных бумаг, участвующих в указанных сделках, не включаются.

Оценочная рыночная стоимость некотируемых на биржевом рынке ценных бумаг, обеспечивающих участие в капитале, определяется на основе следующих методов:

- по стоимости чистых активов компании - эмитента. Стоимость чистых активов равна стоимости активов (включая нематериальные активы) за вычетом стоимости обязательств и оплаченного капитала в виде акций, не дающих владельцам права голоса. Стоимость активов и обязательств используется в текущих ценах, а не в ценах их приобретения (первоначальных ценах);

- по стоимости, установленной советом директоров компании - эмитента;

- по цене последней сделки с данными ценными бумагами, при условии, что с момента ее проведения и до отчетной даты не произошло существенных изменений экономических условий.

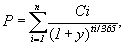
Для расчета рыночной стоимости некотируемых на биржевом рынке долгосрочных и краткосрочных ценных бумаг может быть использована расчетная текущая стоимость ценной бумаги:

где:

n - количество предстоящих платежей процентов и основного долга;

Сi - размер (одного) платежа;

ti - количество дней, начиная с отчетной даты и до погашения;

y - эффективная доходность к погашению в долях.

III. Раздел 1 "Ценные бумаги, выпущенные нерезидентами и принадлежащие уполномоченному банку на праве собственности"

III.1. Общая характеристика раздела 1

В разделе 1 отражаются выпущенные нерезидентами ценные бумаги, по отношению к которым отчитывающийся Банк выступает в качестве прямого владельца, собственника и которые учитываются им на соответствующих балансовых, внебалансовых счетах и счетах депо по состоянию на 1 января 2003 года.

В разделе 1 отражаются также ценные бумаги нерезидентов, принадлежащие отчитывающемуся Банку, находящиеся по состоянию на 1 января 2003 года в пути, на проверке, под арестом, на переоформлении, а также обремененные обязательствами (блокированные, заложенные, предназначенные к поставке, выставленные на торги).

III.2. Графа 1 "Номер строки"

Номер строки состоит из двух частей, разделенных точкой. Первая часть соответствует номеру раздела формы, а вторая - порядковому номеру строки. Номер последней строки каждого раздела должен соответствовать количеству строк, указываемому в соответствующем поле в конце формы отчета.

III.3. Графа 2 "Идентификационный код ценной бумаги"

Для эмиссионных ценных бумаг указывается международный идентификационный код ISIN ценной бумаги либо иной код, присваиваемый национальным регистрационным агентством или другой заменяющей ее в этом качестве организацией. Не допускается использование для эмиссионных бумаг внутренних кодов отчитывающегося Банка, а также кодов, присвоенных другими организациями, не являющимися регистрационными.

Для неэмиссионных ценных бумаг допускается использование кодов (номеров), присвоенных им организациями, не являющимися регистрационными, а также присвоенных Банком для их учета.

III.4. Графа 3 "Код используемой кодированной системы"

Для эмиссионных ценных бумаг указывается двузначный код идентификационной кодовой системы, которая использовалась при кодировании ценных бумаг, выпущенных нерезидентами, в соответствии с прилагаемым "Перечнем основных идентификационных кодовых систем по ценным бумагам и национальных регистрационных организаций". Если используемая кодировочная система не указана в списке, то в данной графе указывается код "88".

Если для учета неэмиссионных ценных бумаг используются коды (номера), присвоенные другими организациями, не являющимися регистрационными, то в данной графе указывается код "99", если же используются внутренние коды (номера) Банка, то указывается код "00".

III.5. Графа 4 "Код типа цепной бумаги"

В данной графе указываются следующие коды:

для ценных бумаг, обеспечивающих участие в капитале:

УАО - обыкновенные акции;

УАП - привилегированные акции с участием;

УДР - депозитарные расписки, удостоверяющие права на акции, выпущенные нерезидентами;

УПД - доли, паи;

УПР - прочие ценные бумаги, обеспечивающие участие в капитале нерезидентов;

для долгосрочных долговых ценных бумаг:

ДАН - не участвующие привилегированные акции;

ДОК - конвертируемые облигации и облигации с правом выбора сроков погашения, последний из которых наступает через срок, превышающий год после выпуска ценных бумаг;

ДДР - депозитарные расписки, удостоверяющие права на облигации, выпущенные нерезидентами;

ДБД - свободно обращающиеся банковские депозитные сертификаты с первоначальным сроком погашения более одного года;

ДОД - двухвалютные облигации;

ДОН - облигации с нулевым купоном и облигации с дисконтом;

ДОП - облигации с плавающей процентной ставкой;

ДОФ - облигации с фиксированной процентной ставкой;

ДОИ - индексированные облигации;

ДОО - ценные бумаги, обеспеченные активами, и привилегированные сертификаты;

ДВО - долгосрочные вексельные обязательства;

ДПР - прочие долгосрочные ценные бумаги;

для краткосрочных долговых ценных бумаг:

ККВ - казначейские векселя и облигации с первоначальным сроком погашения год и менее года;

КПВ - векселя;

КБА - банковские акцепты;

КБД - свободно обращающиеся банковские депозитные сертификаты с первоначальным сроком погашения год и менее одного года;

КЭП - краткосрочные долговые ценные бумаги, выпускаемые в рамках эмиссионных программ с банковской поддержкой;

КПР - прочие краткосрочные ценные бумаги.

В случае если ценная бумага имеет характеристики, относящиеся к разным кодам (например, двухвалютные облигации с плавающей процентной ставкой), то отчитывающийся Банк указывает любой из возможных кодов по своему усмотрению (в данном примере или ДОД, или ДОП).

III.6. Графа 5 "Наименование эмитента"

В данной графе указывается краткое наименование эмитента на английском языке или языке оригинала.

По депозитарным распискам указывается наименование нерезидента - эмитента акций (облигаций), лежащих в основе расписок (см. п. II.2.4).

III.7. Графа 6 "Наличие отношений прямого инвестирования"

Если между отчитывающимся Банком и нерезидентом, эмитентом ценных бумаг существуют отношения прямого инвестирования (см. п. II.2.10), то в данной графе указывается "Да".

Если между отчитывающимся Банком и нерезидентом, эмитентом данных ценных бумаг отсутствуют отношения прямого инвестирования (см. п. II.2.10), - "нет".

III.8. Графа 7 "Код клиента"

Для раздела 1 данная графа не заполняется.

III.9. Графа 8 "Код страны эмитента"

В этой графе указывается двузначный буквенный код страны, резидентом которой является эмитент, в соответствии с Общероссийским классификатором стран мира OK (MK (ИСО 3166) 004-97) 025-2001, принятым и введенным в действие Постановлением Госстандарта России от 14 декабря 2001 года N 529-ст (с изменениями и дополнениями). Если эмитентом является международная организация, то в графе указывается код "XX" (см. п. II.2.13).

III.10. Графа 9 "Количество ценных бумаг, штук"

Указывается количество ценных бумаг в штуках. Количество акций или эквивалентных ценных бумаг, обеспечивающих участие в капитале, указывается с округлением до целого числа.

III.11. Графа 10 "Код валюты ценной бумаги"

Указывается цифровой код валюты, в которой выражен номинал ценной бумаги, согласно Общероссийскому классификатору валют OK (MK (ИСО 4217) 003-97) 014-2000, принятому и введенному Постановлением Госстандарта России от 25 декабря 2000 г. N 405-ст (с изменениями и дополнениями).

III.12. Графа 11 "Цена одной ценной бумаги, номинальная"

В данной графе указывается номинальная цена одной ценной бумаги в единицах оригинальной валюты с двумя знаками после запятой.

III.13. Графа 12 "Цена одной ценной бумаги, рыночная"

В данной графе указывается рыночная цена одной ценной бумаги в единицах оригинальной валюты с двумя знаками после запятой.

III.14. Графа 15 "Код использованного метода оценки рыночной стоимости ценных бумаг"

В данной графе указывается один из следующих кодов:

РЦ - на основе рыночных котировок;

СА - по стоимости чистых активов нерезидента - эмитента;

СД - по стоимости, установленной советом директоров компании - эмитента;

ПЦ - по цене последней сделки с данной ценной бумагой (при условии, что с момента ее проведения и до отчетной даты не произошло существенных изменений экономических условий);

ТС - расчетная текущая стоимость;

ДР - другие методы оценки.

III.15. Графа 16 "Код места хранения ценных бумаг"

В данной графе указывается один из следующих кодов, соответствующий месту хранения ценных бумаг:

С - "у себя" или в собственном депозитарии;

Б - в депозитариях кредитных организаций;

Р - у других резидентов, кроме кредитных организаций;

Н - у нерезидентов.

III.16. Графа 17 "Особые пометки"

В данной графе указывается один из кодов, характеризующих состояние ценных бумаг, принадлежащих Банку, а именно:

ЗБ - ценные бумаги, переданные по договорам займа и договорам с обратной продажей, а также ценные бумаги в залоге;

ДУ - ценные бумаги, переданные в доверительное управление;

НД - ценные бумаги, зарегистрированные в реестре через номинального держателя;

ОБ - ценные бумаги, обремененные обязательствами, а также находящиеся в пути, под арестом, на проверке, переоформлении.

IV. Раздел 2 "Ценные бумаги, выпущенные нерезидентами и принадлежащие резидентам, являющимся клиентами (депонентами) уполномоченного Банка (кроме кредитных организаций)"

IV.1. Общая характеристика раздела 2

В разделе 2 отражаются выпущенные нерезидентами ценные бумаги, принадлежащие резидентам, являющимся клиентами (депонентами) отчитывающегося Банка (кроме кредитных организаций), и находящиеся у него на хранении, учете, брокерском обслуживании, а также в доверительном управлении.

IV.2. Графы с 1 по 5

Порядок заполнения указанных граф аналогичен порядку их заполнения в разделе 1.

IV.3. Графа 6 "Наличие отношений прямого инвестирования"

Для раздела 2 данная графа не заполняется.

IV.4. Графа 7 "Код клиента"

В данной графе указывается один из следующих кодов:

ГУ - государственные ведомства, учреждения, региональные и местные органы власти - резиденты;

ПУ - профессиональные участники рынка ценных бумаг - юридические лица (кроме кредитных организаций);

ФЛ - физические лица - резиденты;

ПР - прочие юридические лица - резиденты (кроме кредитных организаций).

IV.5. Графы с 8 по 14

Порядок заполнения указанных граф аналогичен порядку их заполнения в разделе 1.

IV.6. Графы 15, 16, 17

Для раздела 2 указанные графы не заполняются.

V. Вариант заполнения формы

Код территории по ОКАТО Код кредитной организации
  по ОКПО регистрационный номер БИК
         

СВЕДЕНИЯ ОБ ИНВЕСТИЦИЯХ УПОЛНОМОЧЕННОГО БАНКА И ЕГО КЛИЕНТОВ - РЕЗИДЕНТОВ (КРОМЕ КРЕДИТНЫХ ОРГАНИЗАЦИЙ) В ЦЕННЫЕ БУМАГИ, ВЫПУЩЕННЫЕ НЕРЕЗИДЕНТАМИ, ПО СОСТОЯНИЮ НА 1 ЯНВАРЯ 2003 ГОДА

Наименование кредитной организации: _________________________________

Почтовый адрес: __________________________________________________

Форма единовременного обследования N 404

Номер строки Идентификационный код ценной бумаги Код кодировочной системы Код типа ценной бумаги Наименование эмитента Наличие отношений прямого инвестирования Код клиента Код страны эмитента Количество ценных бумаг (штук) Код валюты ценной бумаги Цена одной ценной бумаги (в ед. оригинальной валюты) Общая стоимость пакета ценных бумаг (в ед. оригинальной валюты) Код использованного метода оценки рыночной стоимости ценной бумаги Код места хранения ценных бумаг Особые пометки
номинальная рыночная номинальная (гр. 9 x гр. 11) рыночная (гр. 9 x гр. 12)
1 2 3 4 5 6 7 8 9 10 11 12 13 14 15 16 17
Раздел 1. Ценные бумаги, выпущенные нерезидентами и принадлежащие уполномоченному банку на праве собственности
1.1 UA13005UMFS9 33 ДОФ Правительство Украины НЕТ X UA 11000 980 1000,00 300,25 11000000,00 3302750,00 РЦ С  
1.2 UA13005UMFS9 33 ДОФ Правительство Украины НЕТ X UA 1000 980 1000,00 300,25 1000000,00 300250,00 РЦ Б ЗБ
1.3 UA13005UMFS9 33 ДОФ Правительство Украины НЕТ X UA 1000 980 1000,00 300,25 1000000,00 300250,00 РЦ Р ДУ
1.4 835_04Z0YJZIB 99 КАВ Правительство Молдовы НЕТ X MD 100 980 100,00 89,90 10000,00 8990,00 ТС Б ЗБ
1.5 DE0002489655 14 ДОФ Bayerische Landsbank НЕТ X DE 100000 276 100,00 98,77 10000000,00 9877000,00 РЦ Н НД
Раздел 2. Ценные бумаги, выпущенные нерезидентами и принадлежащие резидентам, являющимся клиентами (депонентам) уполномоченного банка (кроме кредитных организаций)
2.1 US4592001014 01 УАО International business machines corp X ПР US 50000 840 0 88,15 0 4407500,00 X X X
2.2 US4592001014 01 УАО International business machines corp X ПУ US 7515 840 0 88,15 0 662447,25 X X X
2.3 UA13005UMFS7 33 ДОФ Правительство Украины X ПУ UA 2000 980 1000,00 278,76 2000000,00 557520,00 X X X
2.4 DE0002489655 14 ДОФ Bayerische Landsbank X ПР DE 50000 276 100,00 98,72 5000000,00 4936000,00 X X X

ПЕРЕЧЕНЬ
ОСНОВНЫХ ИДЕНТИФИКАЦИОННЫХ КОДОВЫХ СИСТЕМ ПО ЦЕННЫМ БУМАГАМ И НАЦИОНАЛЬНЫХ РЕГИСТРАЦИОННЫХ ОРГАНИЗАЦИЙ

Код системы Страна / Агентство Название кодировочной системы или национальной регистрационной организации
01 Association of National Numbering Agencies (ANNA) ISIN (International Security Identification Number)
02 Cedel Cedel Code
03 Euroclear Euroclear Code
04 Euroclear / Cedel Common Code
05 Австрия WPK Nummer (Wertpapierkenn - Nummer)
06 Аргентина Caja de Valjre S.A.
07 Бельгия SVM Code (Secretariat des Valeurs Mobilieres)
08 Болгария Bulgarian National Bank
09 Бразилия National Stock Exchange Association (Comissao Nacional de Bolsas de Valores)
10 Бразилия Rio de Janeiro Stock Exchange
11 Бразилия Sao Paulo Stock Exchange
12 Великобритания SEDOL (Stock Exchange Daily Official List)
13 Венгрия Central Clearing House and Depository (Budapest) Ltd.
14 Германия WKN (Wertpapierkenn - Nummer)
15 Гонконг Stock Exchange of Hong Kong Code
16 Израиль The Tel Aviv Stock Exchange
17 Индия Securities and Exchange Board of India
18 Иран Tehran Stock Exchange Services Company
19 Испания CNMV Code (Comision Nacional del Mercado de Valores)
20 Италия UIC (Ufficio Italiano dei Cambi)
21 Италия ABI Code (Codice Associazione Bancaria Italiana)
22 Латвия Latvian Central Depository
23 Мексика Mexican Stock Exchange Code (Clave de pizarra de la Bolsa Mexicana de Valores)
24 Нидерланды Clearingcode (Amsterdam Stock Exchange)
25 Норвегия Modified ISIN (Verdipapirsentralen) (VPS)
26 Польша National Depository for Securities
27 Румыния The National Securities Clearing Settlement Depository
28 Словакия Stredisko Cennych Papierov, A.S.
29 Словения Central Securities Clearing Corporation
30 США CUSIP Number (for North American Securities)
31 США CINS (CUSIP International Number System: for Non - North American Securities)
32 Турция Takasbank
33 Украина National Depository of Ukraine
34 Финляндия Finnish Central Securities Depository Ltd.
35 Франция SICOVAM (Societe Interprofessionnelle pour la Compensation des Valeurs Mobilieres)
36 Чешская Республика Securities Commission
37 Швеция VPC Number
38 Швейцария VALOR (Valorennummer)
39 Эстония Estonian Central Depository For Securities
40 Южно - Африканская Республика (ЮАР) Clearing House Code (Johannesburg Stock Exchange)
41 Югославия The Federal Commission for Securities and Financial Market
42 Япония SICC Code (Securities Identification Code Conference)
43 Япония TSE Code (Tokyo Stock Exchange Code) (Toushou Code)
88   Прочие регистрационные организации
99   Другие организации, не являющиеся регистрационными
00   Внутренние коды Банка