Зарегистрировано в Минюсте РФ 10 июля 2008 г. N 11963
МИНИСТЕРСТВО ИНОСТРАННЫХ ДЕЛ РОССИЙСКОЙ ФЕДЕРАЦИИ
ПРИКАЗ
от 10 июня 2008 г. N 7203
ОБ УТВЕРЖДЕНИИ АДМИНИСТРАТИВНОГО РЕГЛАМЕНТА ИСПОЛНЕНИЯ ГОСУДАРСТВЕННОЙ ФУНКЦИИ ПО ОФОРМЛЕНИЮ ПРИГЛАШЕНИЙ, А ТАКЖЕ ПРИНЯТИЮ РЕШЕНИЙ О ВЫДАЧЕ ВИЗ ИНОСТРАННЫМ ГРАЖДАНАМ И ЛИЦАМ БЕЗ ГРАЖДАНСТВА
(в ред. Приказов МИД РФ от 03.08.2009 N 12631, от 28.01.2010 N 1027, от 03.06.2010 N 8281)
В соответствии с Постановлением Правительства Российской Федерации от 11 ноября 2005 г. N 679 "О порядке разработки и утверждения административных регламентов исполнения государственных функций (предоставления государственных услуг)" (Собрание законодательства Российской Федерации, 2005, N 47, ст. 4933; 2007, N 50, ст. 6285; 2008, N 18, ст. 2063) приказываю:
1. Утвердить прилагаемый Административный регламент исполнения государственной функции по оформлению приглашений, а также принятию решений о выдаче виз иностранным гражданам и лицам без гражданства.
2. Признать утратившим силу Приказ Министерства иностранных дел Российской Федерации от 12 февраля 2004 г. N 1833 "Об утверждении Правил оформления приглашения на въезд в Российскую Федерацию иностранных граждан и лиц без гражданства" (зарегистрирован Минюстом России 24 марта 2004 г., регистрационный N 5687).
3. Контроль над исполнением настоящего Приказа возложить на первого заместителя Министра А.И. Денисова.
Министр
С.ЛАВРОВ
УТВЕРЖДЕН
Приказом
Министерства иностранных дел
Российской Федерации
от 10 июня 2008 г. N 7203
АДМИНИСТРАТИВНЫЙ РЕГЛАМЕНТ
ИСПОЛНЕНИЯ ГОСУДАРСТВЕННОЙ ФУНКЦИИ ПО ОФОРМЛЕНИЮ ПРИГЛАШЕНИЙ, А ТАКЖЕ ПРИНЯТИЮ РЕШЕНИЙ О ВЫДАЧЕ ВИЗ ИНОСТРАННЫМ ГРАЖДАНАМ И ЛИЦАМ БЕЗ ГРАЖДАНСТВА
(в ред. Приказов МИД РФ от 03.08.2009 N 12631, от 28.01.2010 N 1027, от 03.06.2010 N 8281)
I. Общие положения
1. Административный регламент исполнения государственной функции по оформлению приглашений, а также принятию решений о выдаче виз иностранным гражданам и лицам без гражданства (далее - Административный регламент) разработан в целях повышения качества исполнения и доступности результатов исполнения государственной функции по оформлению приглашений, а также принятию решений о выдаче виз иностранным гражданам и лицам без гражданства (далее - государственная функция), определяет сроки, последовательность действий (административных процедур) при осуществлении государственной функции, устанавливает порядок взаимодействия Министерства иностранных дел Российской Федерации (далее - МИД России), его территориальных органов - представительств МИД России на территории Российской Федерации (далее - представительства МИД России), дипломатических представительств и консульских учреждений Российской Федерации (далее - загранучреждения) по исполнению данной государственной функции.
2. Государственную функцию в части оформления приглашений на въезд в Российскую Федерацию иностранных граждан и лиц без гражданства (далее - приглашений) исполняют:
- МИД России;
- представительства МИД России.
2.1. Государственную функцию в части принятия решения о выдаче иностранному гражданину или лицу без гражданства визы (далее - решение о выдаче визы) исполняют:
- МИД России;
- представительство МИД России, находящееся в пределах приграничной территории, в том числе в пункте пропуска через Государственную границу Российской Федерации (по разрешению МИД России), по ходатайству находящегося за пределами Российской Федерации иностранного гражданина или лица без гражданства (далее - иностранный гражданин), поданному в связи с необходимостью въезда в Российскую Федерацию для экстренного лечения либо вследствие тяжелой болезни или смерти родственника;
- руководитель загранучреждения в оговоренных настоящим Административным регламентом случаях.
2.2. В случае принятия МИД России решения о выдаче визы Консульский департамент МИД России направляет указание о выдаче иностранному гражданину визы в соответствующее загранучреждение по электронным каналам связи МИД России.
3. Исполнение государственной функции осуществляется в соответствии с:
- Федеральным законом Российской Федерации от 25 июля 2002 г. N 115-ФЗ "О правовом положении иностранных граждан в Российской Федерации" (Собрание законодательства Российской Федерации, 2002, N 30, ст. 3032; 2003, N 27 (ч. I), ст. 2700; 2003, N 46 (ч. I), ст. 4437; 2004, N 35, ст. 3607, N 45, ст. 4377; 2006, N 30, ст. 3286, N 31 (ч. I), ст. 3420; 2007, N 1 (ч. I), ст. 21, N 49, ст. 6071, N 50, ст. 6241);
- Федеральным законом Российской Федерации от 15 августа 1996 г. N 114-ФЗ "О порядке выезда из Российской Федерации и въезда в Российскую Федерацию" (Собрание законодательства Российской Федерации, 1996, N 34, ст. 4029; 1998, N 4, ст. 531, N 30, ст. 3606; 1999, N 26, ст. 3175; 2003, N 2, ст. 159, N 27 (ч. I), ст. 2700; 2004, N 27, ст. 2711; 2006, N 27, ст. 2877, N 31 (ч. I), ст. 3420; "Российская газета", N 101, 14.05.2008; Собрание законодательства Российской Федерации, 2008, N 30 (ч. I), ст. 3583, N 30 (ч. II), ст. 3616, N 49, ст. 5735, N 49, ст. 5748; 2009, N 7, ст. 772); (в ред. Приказа МИД РФ от 03.08.2009 N 12631)
- Налоговым кодексом Российской Федерации (часть вторая) от 5 августа 2000 г. N 117-ФЗ (ред. от 04.12.2007, с изм. от 30.04.2008) (далее - Налоговый кодекс Российской Федерации) (Собрание законодательства Российской Федерации, 2000, N 32, ст. 3340);
Указом Президента Российской Федерации от 11 июля 2004 года N 865 (Собрание законодательства Российской Федерации, 2004, N 28, ст. 2880; 2005, N 19, ст. 1782; N 43, ст. 4371; 2007, N 38, ст. 4511; 2008, N 37, ст. 4181; N 43, ст. 4921; 2009, N 1, ст. 91, N 45, ст. 5323); (в ред. Приказа МИД РФ от 03.08.2009 N 12631, от 03.06.2010 N 8281)
- Постановлением Правительства Российской Федерации от 9 июня 2003 г. N 335 "Об утверждении Положения об установлении формы визы, порядка и условий ее оформления и выдачи, продления срока ее действия, восстановления ее в случае утраты, а также порядка аннулирования визы" (Собрание законодательства Российской Федерации, 2007, N 41, ст. 4903); (в ред. Приказа МИД РФ от 03.08.2009 N 12631)
- Постановлением Правительства Российской Федерации от 8 октября 2007 г. N 655 "Об утверждении Правил оформления приглашений на въезд в Российскую Федерацию иностранных граждан и лиц без гражданства" (Собрание законодательства Российской Федерации, 2007, N 42, ст. 5053); (в ред. Приказа МИД РФ от 03.08.2009 N 12631)
- Приказом МИД России от 12 декабря 2005 г. N 19640 "Об утверждении Тарифа сборов за услуги, оказываемые Министерством иностранных дел Российской Федерации и представительствами Министерства иностранных дел Российской Федерации на территории Российской Федерации" (зарегистрирован Минюстом России 17 февраля 2006 г., регистрационный N 7520, Бюллетень нормативных актов федеральных органов исполнительной власти, 2006, N 10). (в ред. Приказа МИД РФ от 03.08.2009 N 12631)
4. При исполнении государственной функции МИД России взаимодействует с Федеральной миграционной службой и Федеральной службой безопасности Российской Федерации (далее - ФСБ России) в порядке, определяемом указанными федеральными органами исполнительной власти на основании межведомственных нормативных актов.
5. Конечными результатами исполнения государственной функции являются:
- выдача приглашения;
- принятие решения о выдаче визы.
Оформление приглашений
6. Приглашение является основанием для выдачи иностранному гражданину визы либо для въезда в Российскую Федерацию в порядке, не требующем получения визы, в случаях, предусмотренных федеральным законом или международным договором Российской Федерации.
7. Приглашение оформляется на период предполагаемого пребывания иностранного гражданина в Российской Федерации.
8. Приглашения оформляются на бланках с использованием технических средств.
Форма бланка приглашения приведена в Приложении N 1 к настоящему Административному регламенту.
Форма бланка ходатайства о выдаче приглашения на въезд в Российскую Федерацию приведена в Приложении N 2 к настоящему Административному регламенту.
Форма бланка ходатайства о принятии решения на въезд в Российскую Федерацию приведена в Приложении N 3 к настоящему Административному регламенту. (в ред. Приказа МИД РФ от 28.01.2010 N 1027)
Форма бланка справки, подтверждающей прием документов, приведена в Приложении N 7 к настоящему Административному регламенту. (в ред. Приказа МИД РФ от 03.06.2010 N 8281)
9. Бланки приглашений изготавливаются ФГУП "Гознак" и являются документами строгой отчетности. Порядок учета, хранения и расходования бланков приглашений устанавливается МИД России.
Бланки приглашений относятся к защищенной полиграфической продукции, соответствующей уровню "Б" защиты от подделки. (в ред. Приказа МИД РФ от 28.01.2010 N 1027)
10. Внесение исправлений в оформленное приглашение допускается только путем оформления нового приглашения.
11. МИД России и представительства МИД России выдают приглашения по ходатайству (далее - заявителей):
а) федеральных органов государственной власти;
б) дипломатических представительств и консульских учреждений иностранных государств, находящихся в Российской Федерации;
в) международных организаций и их представительств в Российской Федерации, а также представительств иностранных государств при международных организациях, находящихся в Российской Федерации;
г) органов государственной власти субъектов Российской Федерации.
11.1. Организации, указанные в подпункте "в" пункта 11, для оформления приглашений регистрируются в МИД России в порядке, установленном Положением о регистрации в Министерстве иностранных дел Российской Федерации организаций в целях оказания им консульских услуг, утвержденным Постановлением Правительства Российской Федерации от 1 октября 1998 года N 1142 "О реализации отдельных норм Федерального закона "О порядке выезда из Российской Федерации и въезда в Российскую Федерацию" ("Российская газета", N 193 от 10.10.1998).
Принятие решения о выдаче визы
12. Решение о выдаче визы является основанием для выдачи иностранному гражданину визы.
13. МИД России принимает решения о выдаче дипломатических, служебных, а также обыкновенных виз в связи с необходимостью въезда в Российскую Федерацию иностранного гражданина для обучения в образовательном учреждении для участия в международных и внутригосударственных официальных, экономических, общественно-политических, научных, культурных, спортивных и религиозных мероприятиях, а также по ходатайству находящегося за пределами Российской Федерации иностранного гражданина, поданному в связи с необходимостью въезда в Российскую Федерацию для экстренного лечения либо вследствие тяжелой болезни или смерти близкого родственника. (в ред. Приказа МИД РФ от 03.08.2009 N 12631)
14. Вопросы принятия решений о выдаче виз входят в компетенцию Министра иностранных дел Российской Федерации, курирующего заместителя Министра иностранных дел Российской Федерации, директора Консульского департамента МИД России, курирующего заместителя директора Консульского департамента МИД России, начальника Отдела въезда иностранцев Консульского департамента МИД России, а в случае отсутствия (командировка, отпуск, болезнь) - замещающих лиц.
15. Руководитель загранучреждения принимает решение о выдаче обыкновенных гуманитарных и обыкновенных деловых виз в связи с необходимостью въезда в Российскую Федерацию иностранного гражданина для участия в международных и внутригосударственных официальных, экономических, общественно-политических, научных, культурных, спортивных и религиозных мероприятиях по заявлению иностранного гражданина в письменной форме, а также обыкновенных частных виз по ходатайству находящегося за пределами Российской Федерации иностранного гражданина, поданному в связи с необходимостью въезда в Российскую Федерацию для экстренного лечения либо вследствие тяжелой болезни или смерти близкого родственника. Использование Федеральной государственной информационной системы "Единый портал государственных и муниципальных услуг (функций)" (далее - Единый портал) для принятия решения о выдаче визы руководителем загранучреждения не предусматривается. (в ред. Приказа МИД РФ от 03.06.2010 N 8281)
16. В случае принятия решения о выдаче визы на заявлении иностранного гражданина ставится резолюция руководителя загранучреждения.
II. Требования к порядку исполнения государственной функции
17. Информация о порядке исполнения государственной функции предоставляется с использованием средств телефонной связи, электронного информирования, вычислительной и электронной техники на Едином портале, а также непосредственно в Консульском департаменте МИД России, расположенному по адресу: 119200, Москва, 1-й Неопалимовский пер., д. 12, зал N 3, и представительствах МИД России. (в ред. Приказа МИД РФ от 03.06.2010 N 8281)
18. Требования, предъявляемые к порядку заполнения необходимых документов, их форма, а также извлечения из законодательных и иных нормативных правовых актов, содержащих нормы, регулирующие деятельность по исполнению государственной функции, в том числе текст Административного регламента и другие справочные сведения, размещены на Едином портале, на информационных стендах зала N 3 Консульского департамента МИД России, а также на информационных стендах в представительствах МИД России. (в ред. Приказа МИД РФ от 03.06.2010 N 8281)
19. Информация об исполнении государственной функции в Консульском департаменте МИД России, в том числе о ходе ее исполнения и конечном результате, предоставляется при личном обращении или по справочному номеру телефона: 244-40-03.
19.1. Информация об исполнении государственной функции в представительствах МИД России, в том числе о ходе ее исполнения и конечном результате, предоставляется при личном обращении или по справочным номерам телефонов представительств МИД России.
20. Прием документов от заявителей в Консульском департаменте МИД России производится ежедневно с понедельника по пятницу в зале N 3, окно N 4, с 9.30 до 12.30 и с 14.30 до 17.00.
20.1. Часы приема документов от заявителей представительствами МИД России устанавливаются их руководителями.
20.2. Направление электронных документов от заявителей (его представителей) с использованием Единого портала производится круглосуточно. Должностное лицо, ответственное за прием документов, осуществляет проверку поступивших на Единый портал документов в установленные часы приема. (в ред. Приказа МИД РФ от 03.06.2010 N 8281)
21. Сведения о местонахождении, номерах телефонов, адресах электронной почты, интернет-сайтов загранучреждений, представительств МИД России и Консульского департамента МИД России, электронные бланки ходатайств и квитанций на оплату госпошлины размещены на Едином портале и на официальном сайте МИД России: www.mid.ru. (в ред. Приказа МИД РФ от 03.06.2010 N 8281)
22. Приглашение оформляется в срок, не превышающий 30 календарных дней со дня обращения.
23. Решение о выдаче визы принимается в срок, не превышающий 20 рабочих дней, если иное не предусмотрено международным договором Российской Федерации.
24. В приеме документов для исполнения государственной функции будет отказано, если:
- представлен неполный комплект требуемых Административным регламентом документов;
- на официальном документе отсутствует хотя бы один из реквизитов, наличие которого согласно законодательству Российской Федерации является обязательным;
- должностное лицо, подписавшее официальный документ, не обладает на то достаточными полномочиями.
24.1. В передаче заявителю конечного результата исполнения государственной функции будет отказано в случаях, если:
- это необходимо в целях обеспечения обороноспособности или безопасности государства, либо общественного порядка, либо защиты здоровья населения;
- в период своего предыдущего пребывания в Российской Федерации иностранный гражданин подвергался административному выдворению за пределы Российской Федерации, депортировался либо был передан Российской Федерацией иностранному государству в соответствии с международным договором Российской Федерации о реадмиссии, - в течение пяти лет со дня административного выдворения за пределы Российской Федерации, депортации либо передачи иностранному государству в соответствии с международным договором Российской Федерации о реадмиссии; (в ред. Приказа МИД РФ от 03.08.2009 N 12631)
- в отношении приглашаемого иностранного гражданина принято решение о нежелательности его пребывания (проживания) в Российской Федерации;
- в иных случаях, предусмотренных законодательством Российской Федерации.
25. В случае принятия решения об отказе в выдаче конечного результата исполнения государственной функции заявителю в течение 10 дней с даты принятия такого решения направляется письменное уведомление.
26. Места ожидания заявителей оборудуются:
- информационными стендами;
- стульями и столами для возможности оформления документов;
- местами с бланками ходатайств, заявлений и квитанций.
27. Места ожидания должны соответствовать комфортным условиям для заявителей и оптимальным условиям работы должностных лиц МИД России (далее - должностное лицо). Помещения для приема заявителей представляют собой помещения "зального" типа, при этом части помещения отделяются перегородками в виде окон (киосков). При отсутствии такой возможности помещение для непосредственного взаимодействия должностных лиц с заявителями может быть организовано в виде отдельных рабочих мест для каждого ведущего прием должностного лица.
28. Окна (кабинеты) приема заявителей должны быть оборудованы информационными табличками (вывесками) с указанием:
- номера окна (кабинета);
- фамилии, имени, отчества и должности должностного лица, осуществляющего исполнение государственной функции;
- времени перерыва на обед, технического перерыва.
29. Каждое рабочее место должностного лица должно быть оборудовано персональным компьютером с возможностью доступа к необходимым информационным базам данных, печатающим, сканирующим и другим устройствам.
30. При организации рабочих мест должна быть предусмотрена возможность свободного входа и выхода должностного лица из помещения в случае необходимости.
31. В случае обращения заявителей (его представителей), указанных в пункте 11 Административного регламента, в Консульский департамент МИД России или в представительство МИД России, для оформления приглашения представляются следующие документы: (в ред. Приказа МИД РФ от 03.06.2010 N 8281)
- ходатайство; (в ред. Приказа МИД РФ от 03.06.2010 N 8281)
- копия документа, удостоверяющего личность приглашаемого иностранного гражданина и признаваемого Российской Федерацией в этом качестве; (в ред. Приказа МИД РФ от 03.06.2010 N 8281)
- гарантийные письма приглашающей стороны о принятии на себя обязательств по материальному, медицинскому и жилищному обеспечению приглашаемого иностранного гражданина на период его пребывания в Российской Федерации; (в ред. Приказа МИД РФ от 03.06.2010 N 8281)
- квитанция об уплате государственной пошлины за выдачу приглашения. (в ред. Приказа МИД РФ от 03.06.2010 N 8281)
При приеме ходатайства, предусматривающего въезд иностранного гражданина на территорию, для въезда на которую требуется специальное разрешение, в том числе на территорию с регламентированным посещением для иностранных граждан, представляются также соответствующие разрешения на въезд либо наличие согласования с ФСБ России или территориальными органами безопасности. (в ред. Приказа МИД РФ от 03.06.2010 N 8281)
31.1. В случае обращения заявителей (его представителей), указанных в пункте 11 Административного регламента, для оформления приглашения с использованием Единого портала в электронной форме предоставляются следующие документы: (в ред. Приказа МИД РФ от 03.06.2010 N 8281)
- ходатайство; (в ред. Приказа МИД РФ от 03.06.2010 N 8281)
- копия документа, удостоверяющего личность приглашаемого иностранного гражданина и признаваемого Российской Федерацией в этом качестве; (в ред. Приказа МИД РФ от 03.06.2010 N 8281)
- копии гарантийных писем приглашающей стороны о принятии на себя обязательств по материальному, медицинскому и жилищному обеспечению приглашаемого иностранного гражданина на период его пребывания в Российской Федерации; (в ред. Приказа МИД РФ от 03.06.2010 N 8281)
- копия квитанции об уплате государственной пошлины за выдачу приглашения. (в ред. Приказа МИД РФ от 03.06.2010 N 8281)
При заполнении в электронной форме ходатайства, предусматривающего въезд иностранного гражданина на территорию, для въезда на которую требуется специальное разрешение, в том числе на территорию с регламентированным посещением для иностранных граждан, представляются также копии соответствующих разрешений на въезд либо копия согласования с ФСБ России или территориальными органами безопасности. (в ред. Приказа МИД РФ от 03.06.2010 N 8281)
32. Заполнение бланка ходатайства производится от руки (разборчиво) или с использованием технических средств (пишущая машинка, компьютер). При заполнении бланка ходатайства не допускаются исправления, использование сокращений и аббревиатур. Формы бланков приглашений, ходатайств, заявлений, справок, а также правила их заполнения устанавливаются МИД России.
33. В случае если органы государственной власти субъектов Российской Федерации находятся в месте, где нет представительств МИД России, соответствующее ходатайство направляется в МИД России управлением внешних связей администрации области (края, республики), в которой зарегистрировано данное ведомство.
34. В соответствии с подпунктом 17 пункта 1 статьи 333.28 Налогового кодекса Российской Федерации за выдачу приглашения взимается государственная пошлина в размере 500 рублей за каждого приглашенного. (в ред. Приказа МИД РФ от 03.06.2010 N 8281)
35. Пункт исключен. (в ред. Приказа МИД РФ от 03.06.2010 N 8281)
35. В соответствии с подпунктами 10 - 13 пункта 1 статьи 333.28 Налогового кодекса Российской Федерации за предоставление решения о выдаче обыкновенной однократной или двукратной визы взимается 400 рублей, за предоставление решения о выдаче обыкновенной многократной визы взимается 600 рублей, за внесение изменений в решение, а также за его переадресацию в загранучреждения взимается 200 рублей. (в ред. Приказа МИД РФ от 03.06.2010 N 8281)
36. В случае обращения министерства иностранных дел, дипломатического представительства или консульского учреждения иностранного государства либо представительства международной организации в Российской Федерации государственная функция в части принятия решения о выдаче визы, направляемого Консульским департаментом МИД России в загранучреждение, предоставляется на основании соответствующего обращения (вербальной ноты). (в ред. Приказа МИД РФ от 03.06.2010 N 8281)
III. Административные процедуры (в ред. Приказа МИД РФ от 03.06.2010 N 8281)
37. Основанием для начала исполнения государственной функции является поступление от заявителя (его представителя) в Консульский департамент МИД России или представительство МИД России ходатайства и документов, предусмотренных пунктом 31 Административного регламента при обращении заявителя (его представителя) в Консульский департамент МИД России или представительство МИД России либо документов, предусмотренных пунктом 31.1 Административного регламента, при обращении заявителя (его представителя) с использованием Единого портала.
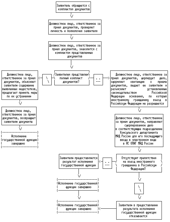
38. Должностное лицо, ответственное за прием документов, при обращении заявителя (его представителя) в Консульский департамент МИД России или представительство МИД России устанавливает личность заявителя или полномочия его представителя.
Максимальный срок выполнения данного действия - 1 минута.
39. Должностное лицо, ответственное за прием документов:
- при обращении заявителя (его представителя) в Консульский департамент МИД России или представительство МИД России проверяет документы на предмет:
а) соответствия их законодательству Российской Федерации;
б) наличия оттисков печатей и надлежащих подписей уполномоченных должностных лиц;
в) отсутствия в документах подчисток, приписок, зачеркнутых слов и иных исправлений;
г) отсутствия в документах повреждений, наличие которых не позволяет однозначно толковать их содержание.
Факт такой проверки, а также подлинность подписи заявителя (его представителя) заверяются подписью должностного лица.
Максимальный срок выполнения данного действия - 5 минут (на одно приглашаемое лицо).
- при обращении заявителя (его представителя) с использованием Единого портала проверяет правильность заполнения ходатайства в электронной форме, а также проверяет документы на предмет их соответствия законодательству Российской Федерации.
Максимальный срок выполнения данного действия - 5 минут.
40. В случае отсутствия необходимых документов, несоответствия их установленным требованиям должностное лицо уведомляет об этом заявителя (его представителя), объясняет суть выявленных недостатков и предлагает принять меры по их устранению. При обращении заявителя (его представителя) с использованием Единого портала должностное лицо сообщает данную информацию заявителю (его представителю) путем направления уведомления в электронной форме.
Максимальный срок выполнения данного действия - 2 минуты.
41. На основании принятых документов должностное лицо, ответственное за их прием:
- при обращении заявителя (его представителя) в Консульский департамент МИД России или представительство МИД России - формирует дело, которому присваивается регистрационный номер, оформляет и подписывает справку о приеме документов с указанием наименования структурного подразделения МИД России или представительства МИД России, номера дела, даты приема документов, даты готовности приглашения либо даты направления в загранучреждение электронного указания о выдаче иностранному гражданину визы, кратности визы, количества ходатайств в одном деле, адреса структурного подразделения МИД России или представительства МИД России, выдает ее заявителю (его представителю) и разъясняет установленные законодательством Российской Федерации основания, по которым иностранному гражданину въезд в Российскую Федерацию не разрешается.
Максимальный срок выполнения данного действия - 3 минуты.
- при обращении заявителя (его представителя) с использованием Единого портала - формирует дело, которому присваивается регистрационный номер, направляет заявителю (его представителю) справку в электронной форме о приеме документов с указанием наименования структурного подразделения МИД России или представительства МИД России, номера дела, даты приема документов, даты готовности приглашения либо даты направления в загранучреждение электронного указания о выдаче иностранному гражданину визы, кратности визы, количества ходатайств в одном деле, адреса структурного подразделения МИД России или представительства МИД России, и информирует заявителя (его представителя) об установленных законодательством Российской Федерации основаниях, по которым иностранному гражданину въезд в Российскую Федерацию не разрешается. Датой принятия документов в электронной форме считается день присвоения делу регистрационного номера.
Максимальный срок выполнения данного действия - один рабочий день.
42. Должностное лицо, ответственное за прием документов, направляет сформированное дело в соответствующее подразделение Консульского департамента МИД России для его последующего ввода в электронной форме в АС ОПИГ МИД России.
43. Данные иностранного гражданина обрабатываются в АС ОПИГ МИД России с целью проверки обстоятельств, которые в соответствии с законодательством Российской Федерации могут препятствовать въезду иностранного гражданина в Российскую Федерацию.
44. В случае отсутствия препятствий для въезда иностранного гражданина в Российскую Федерацию принимается решение о выдаче визы, которое по информационно-телекоммуникационным сетям МИД России направляется в загранучреждение либо заявителю (его представителю) выдается оформленное приглашение по предъявлении им документа, удостоверяющего личность и признаваемого Российской Федерацией в этом качестве, и справки о приеме документов, оформленной в соответствии с пунктом 41 Административного регламента.
В случае первичного обращения заявителя (его представителя) с использованием Единого портала заявитель также подает должностному лицу, ответственному за прием документов, оригиналы следующих документов, направленных ранее на Единый портал:
- ходатайства;
- гарантийных писем приглашающей стороны о принятии на себя обязательств по материальному, медицинскому и жилищному обеспечению приглашаемого иностранного гражданина на период его пребывания в Российской Федерации;
- квитанции об уплате государственной пошлины за выдачу приглашения.
В случае, если предусматривается въезд иностранного гражданина на территорию, для въезда на которую требуется специальное разрешение, в том числе на территорию с регламентированным посещением для иностранных граждан, представляются также соответствующие разрешения на въезд либо согласования с ФСБ России или территориальными органами безопасности, ранее предоставленные в электронном виде.";
45. Фиксация передачи конечного результата государственной функции производится в электронной форме с сохранением в архиве АС ОПИГ МИД России.
46. Общее время пребывания заявителя (его представителя) в очереди на сдачу документов или получение конечного результата исполнения государственной функции составляет не более 30 минут.
IV. Порядок и формы контроля исполнения государственной функции
47. Текущий контроль соблюдения последовательности действий, определенных административными процедурами исполнения государственной функции, принятием решений должностными лицами Консульского департамента МИД России, представительств МИД России и загранучреждений, осуществляется ответственными должностными лицами МИД России, ответственными за организацию работы по исполнению государственной функции, директором Департамента, руководителями представительств МИД России и загранучреждений. (в ред. Приказа МИД РФ от 03.06.2010 N 8281)
48. Текущий контроль исполнения государственной функции осуществляется путем проведения проверок качества соблюдения и исполнения должностными лицами положений настоящего Административного регламента. (в ред. Приказа МИД РФ от 03.06.2010 N 8281)
49. Проверки могут быть плановыми и неплановыми. Порядок и периодичность осуществления плановых проверок качества исполнения государственной функции устанавливаются планом работы Консульского департамента МИД России, представительств МИД России, загранучреждений и утверждаются руководством МИД России, представительства МИД России и загранучреждения. Проверка также может проводиться по конкретному обращению заявителя. (в ред. Приказа МИД РФ от 03.06.2010 N 8281)
50. Проверки осуществляются на основании индивидуальных правовых актов (приказов) МИД России, представительств МИД России и загранучреждений. (в ред. Приказа МИД РФ от 03.06.2010 N 8281)
51. Для проведения проверки формируется комиссия, в состав которой включаются государственные служащие МИД России, представительств МИД России и загранучреждений. (в ред. Приказа МИД РФ от 03.06.2010 N 8281)
51.1. Результаты деятельности комиссии оформляются в виде акта, в котором отмечаются выявленные недостатки и предложения по их устранению. (в ред. Приказа МИД РФ от 03.06.2010 N 8281)
52. По результатам проведенных проверок, в случае выявления нарушений соблюдения положений Административного регламента, виновные должностные лица несут ответственность в порядке, установленном законодательством Российской Федерации. (в ред. Приказа МИД РФ от 03.06.2010 N 8281)
V. Порядок обжалования действий (бездействия) должностного лица, а также принимаемого им решения при исполнении государственной функции
53. Заявитель (его представитель) вправе обратиться с жалобой на действия (бездействие) и решения, принятые в ходе исполнения государственной функции, в МИД России или судебные органы. (в ред. Приказа МИД РФ от 03.06.2010 N 8281)
54. Заявитель вправе обратиться с жалобой в устной или письменной форме (далее - обращение). (в ред. Приказа МИД РФ от 03.06.2010 N 8281)
55. Заявитель вправе обжаловать действия (бездействие): (в ред. Приказа МИД РФ от 03.06.2010 N 8281)
- должностных лиц загранучреждений - в Консульский департамент МИД России;
- должностных лиц представительств МИД России - в Консульский департамент МИД России;
- должностных лиц Консульского департамента - директору Консульского департамента, руководству МИД России.
56. Заявитель может сообщить о нарушении своих прав и законных интересов, действиях (бездействии) должностных лиц Консульского департамента МИД России, представительств МИД России, загранучреждений, несоблюдения положений Административного регламента, некорректном поведении или нарушении служебной этики на официальном Интернет-сайте МИД России (www.mid.ru) либо по электронной почте МИД России (ministry@mid.ru). (в ред. Приказа МИД РФ от 03.06.2010 N 8281)
57. Заявитель в своем обращении в обязательном порядке указывает: (в ред. Приказа МИД РФ от 03.06.2010 N 8281)
- наименование государственного органа, в который направляет письменное обращение, либо фамилию, имя, отчество соответствующего должностного лица, либо должность соответствующего лица;
- фамилию, имя и отчество (последнее - при наличии) заявителя, полное наименование для юридического лица, почтовый адрес, по которому должны быть направлены ответ, уведомление о переадресации обращения;
- суть нарушения прав и законных интересов, противоправного решения, действия (бездействия);
- сведения о способе информирования заявителя;
- ставит личную подпись и дату.
57.1. Дополнительно в обращении могут быть указаны: (в ред. Приказа МИД РФ от 03.06.2010 N 8281)
- наименование органа, должность, фамилия, имя и отчество специалиста (при наличии информации), решение, действие (бездействие) которого обжалуется;
- обстоятельства, на основании которых заявитель считает, что нарушены его права, свободы и законные интересы, созданы препятствия для их реализации либо незаконно возложена какая-либо обязанность;
- другие сведения, которые заявитель считает необходимым сообщить.
57.2. В случае необходимости в подтверждение своих доводов заявитель прилагает к обращению документы и материалы (их копии). (в ред. Приказа МИД РФ от 03.06.2010 N 8281)
58. Обращение заявителя подлежит обязательной регистрации в течение трех дней с момента поступления в МИД России. Срок рассмотрения обращения не должен превышать 30 дней с момента регистрации. (в ред. Приказа МИД РФ от 03.06.2010 N 8281)
59. В исключительных случаях (в том числе при принятии решения о проведении проверки, направлении Консульским департаментом запроса в представительство МИД России или загранучреждение о представлении дополнительных документов и материалов), а также в случае запроса другого государственного органа, органа местного самоуправления или иного должностного лица для получения необходимых для рассмотрения обращения документов и материалов срок рассмотрения обращения может быть продлен, но не более чем на 30 календарных дней. (в ред. Приказа МИД РФ от 03.06.2010 N 8281)
60. По результатам рассмотрения обращения должностным лицом принимается решение об удовлетворении требований заявителя либо об отказе в удовлетворении обращения. (в ред. Приказа МИД РФ от 03.06.2010 N 8281)
61. Заявитель вправе обжаловать решения, принятые в ходе исполнения государственной функции, действия (бездействие) должностного лица в суд общей юрисдикции в порядке гражданского судопроизводства в течение трех месяцев со дня, когда заявителю стало известно о нарушении его законных прав и интересов. (в ред. Приказа МИД РФ от 03.06.2010 N 8281)
62. Заявителю будет отказано в рассмотрении жалобы либо ее рассмотрение будет приостановлено в случаях, если: (в ред. Приказа МИД РФ от 03.06.2010 N 8281)
- в обращении содержатся нецензурные либо оскорбительные выражения, угрозы жизни, здоровью и имуществу должностного лица, а также членов его семьи;
- текст обращения не поддается прочтению, ответ на обращение не дается, о чем сообщается заявителю, направившему обращение, если его фамилия и почтовый адрес поддаются прочтению;
- в обращении содержится вопрос, на который заявителю многократно давались письменные ответы по существу в связи с ранее направляемыми обращениями, и при этом в обращении не приводятся новые доводы или обстоятельства при условии, что указанное обращение и ранее направляемые обращения направлялись в одно и то же подразделение МИД России или одно и то же представительство МИД России или одному и тому же должностному лицу. О данном решении уведомляется заявитель, направивший обращение;
- ответ по существу поставленного в обращении вопроса не может быть дан без разглашения сведений, составляющих государственную или иную охраняемую федеральным законом тайну, заявителю, направившему обращение, сообщается о невозможности дать ответ по существу поставленного в нем вопроса в связи с недопустимостью разглашения указанных сведений.
63. Письменное обращение, содержащее вопросы, решение которых не входит в компетенцию МИД России или его представительства, направляется в течение семи дней со дня регистрации в соответствующий орган или соответствующему должностному лицу, в компетенцию которых входит решение поставленных в обращении вопросов, с уведомлением гражданина, направившего обращение, о переадресации обращения. (в ред. Приказа МИД РФ от 03.06.2010 N 8281)
(в ред. Приказа МИД РФ от 28.01.2010 N 1027)
Исходящий N _____________ от _____________ ХОДАТАЙСТВО О ВЫДАЧЕ ПРИГЛАШЕНИЯ НА ВЪЕЗД В РОССИЙСКУЮ ФЕДЕРАЦИЮ КОНСУЛЬСКИЙ ДЕПАРТАМЕНТ МИД РОССИИ (КД МИД России)
(в ред. Приказа МИД РФ от 28.01.2010 N 1027) Регистрационный N организации Идентификационный номер в МИД России __________________ налогоплательщика (ИНН) _________ Название приглашающей организации _________________________________________ Сведения о приглашаемом лице Фамилия Фамилия (рус) ________________________ (лат) ________________________ Имена Имена (рус) ________________________ (лат) ________________________ Гражданство (подданство) ________ Государство проживания _________ Дата рождения (день, месяц, год) ____ Место рождения ____ Пол ____ Номер документа, удостоверяющего личность ________________________ Действителен до (день, месяц, год) _______________________________ Место работы за рубежом (полное название организации) ____________ Должность ________________ Адрес места работы, тел, факс _________ Дети до 16 лет, следующие с приглашаемым лицом и вписанные в его (ее) паспорт (указать имя и год рождения) __________________________________________________________________ __________________________________________________________________ Сведения о поездке Цель поездки _____________________________________________________ Въезд в Россию с Пребывание в России по На срок (день, месяц, год) ______ (день, месяц, год) ______ (дней) ____ Кратность визы v - однократная v - двукратная v - многократная Категория визы _________ Вид визы ___________ Пункты (города) посещения в России _______________________________ ------------------------------------------------------------------ Место получения визы (страна, город, в котором есть консульское учреждение Российской Федерации) ________________ Дополнительные сведения __________________________________________ ------------------------------------------------------------------ ОБЯЗАТЕЛЬСТВА ПРИНИМАЮЩЕЙ ОРГАНИЗАЦИИ Принимающая организация обязуется обеспечить соблюдение приглашенным лицом правил пребывания иностранных граждан на территории Российской Федерации (с ними можно ознакомиться в учреждениях ФМС России) и нести при необходимости расходы, связанные с его проживанием, передвижением и выездом в установленные сроки за пределы Российской Федерации. ИНСТРУКЦИЯ ПО ЗАПОЛНЕНИЮ ХОДАТАЙСТВА
1. ХОДАТАЙСТВО заполняется на пишущей машинке или принтере
заглавными вами четким шрифтом (размер 12 пт).
2. Фамилию и имена приглашаемого лица необходимо указать на русском языке и в латинской транскрипции согласно написанию в национальном паспорте приглашаемого лица.
3. Правильность заполнения ходатайства проверяется
ответственным лицом приглашающей организации, которое несет
полную ответственность за изложенные данные. В ходатайстве
указывается Ф.И.О., телефон ответственного лица, ставится
его подпись, которая скрепляется печатью организации.
ВНИМАНИЕ! Консульский департамент МИД России в целях
предотвращения ошибок при подготовке визовых документов для
иностранных граждан оставляет за собой право не принимать
ходатайства, в которых содержатся подчистки, приписки, зачеркнутые
слова и иные исправления.
М.П.
приглашающей
организации ______________/________ Контактный телефон __________
Ф.И.О. подпись
ответственного лица
Дата приема "__" _______ 20 г. Подпись уполномоченного
сотрудника
КД МИД России ___________
Приложение N 3
Исходящий N ____________ от ____________ ХОДАТАЙСТВО О ПРИНЯТИИ РЕШЕНИЯ НА ВЪЕЗД В РОССИЙСКУЮ ФЕДЕРАЦИЮ КОНСУЛЬСКИЙ ДЕПАРТАМЕНТ МИД РОССИИ (КД МИД России)
(в ред. Приказа МИД РФ от 28.01.2010 N 1027) Регистрационный N организации Идентификационный номер в МИД России _________________ налогоплательщика (ИНН) __________ Название приглашающей организации _________________________________________ Сведения о приглашаемом лице Фамилия Фамилия (рус) _____________________________ (лат) ___________________ Имена Имена (рус) _____________________________ (лат) ___________________ Гражданство (подданство) _____________ Государство проживания ____ Дата рождения (день, месяц, год) ____ Место рождения ____ Пол ____ Номер документа, удостоверяющего личность ________________________ Действителен до (день, месяц, год) _______________________________ Место работы за рубежом (полное название организации) ____________ Должность ________________ Адрес места работы, тел, факс _________ Дети до 16 лет, следующие с приглашаемым лицом и вписанные в его (ее) паспорт (указать имя и год рождения) __________________________________________________________________ __________________________________________________________________ Сведения о поездке Цель поездки _____________________________________________________ Въезд в Россию с Пребывание в России по На срок (день, месяц, год) _____ (день, месяц, год) ______ (дней) ____ Кратность визы v - однократная v - двукратная v - многократная Категория визы ________ Вид визы ___________ Пункты (города) посещения в России _______________________________ ------------------------------------------------------------------ Место получения визы (страна, город, в котором есть консульское учреждение Российской Федерации) ________________ Дополнительные сведения __________________________________________ ------------------------------------------------------------------ ОБЯЗАТЕЛЬСТВА ПРИНИМАЮЩЕЙ ОРГАНИЗАЦИИ Принимающая организация обязуется обеспечить соблюдение приглашенным лицом правил пребывания иностранных граждан на территории Российской Федерации (с ними можно ознакомиться в учреждениях ФМС России) и нести при необходимости расходы, связанные с его проживанием, передвижением и выездом в установленные сроки за пределы Российской Федерации. ИНСТРУКЦИЯ ПО ЗАПОЛНЕНИЮ ХОДАТАЙСТВА
1. ХОДАТАЙСТВО заполняется на пишущей машинке или принтере
заглавными буквами четким шрифтом (размер 12 пт).
2. Фамилию и имена приглашаемого лица необходимо указать на русском языке и в латинской транскрипции согласно написанию в национальном паспорте приглашаемого лица.
3. Правильность заполнения ходатайства проверяется
ответственным лицом приглашающей организации, которое несет
полную ответственность за изложенные данные. В ходатайстве
указывается Ф.И.О., телефон ответственного лица, ставится
его подпись, которая скрепляется печатью организации.
ВНИМАНИЕ! Консульский департамент МИД России в целях
предотвращения ошибок при подготовке визовых документов для
иностранных граждан оставляет за собой право не принимать
ходатайства, в которых содержатся подчистки, приписки, зачеркнутые
слова и иные исправления.
М.П.
приглашающей
организации _______________/__________ Контактный телефон _______
Ф.И.О. подпись
ответственного лица
Дата приема "__" _______ 20 г. Подпись уполномоченного
сотрудника
КД МИД России ___________
Приложение N 4
СПИСОК
ГЕНЕРАЛЬНЫХ КОНСУЛЬСТВ, КОНСУЛЬСТВ И КОНСУЛЬСКИХ ОТДЕЛОВ ПОСОЛЬСТВ РОССИИ ЗА РУБЕЖОМ
(в ред. Приказа МИД РФ от 28.01.2010 N 1027)
| СТРАНА | КОНСУЛЬСКОЕ УЧРЕЖДЕНИЕ | КОД СТРАНЫ | НОМЕР ТЕЛЕФОНА | НОМЕР ФАКСА | НОМЕР ТЕЛЕКСА/E-MAIL |
| Австралия (+7) | КОП в Канберре | 8-10-612 | 629-59-474 | 629-51-001 | 7161365 |
| rusconsul@lightningpl.net.au | |||||
| 8-10-61-419-232-930 (моб.) | |||||
| ГК в Сиднее | 8-10-612 | 932-61-702 | 9327-50-65 | RUSCON AA | |
| 932-61-866 | 7173606 | ||||
| 936-35-391 | ruscon@bigpond.ru | ||||
| 932-61-702 | sydneyrussianconsulate.com | ||||
| (614) 00-33-02-90-340-777 | |||||
| Австрия (-2) | КОП в Вене | 8-10-431 | 712-32-33 | 8-10-43 | 47136278 |
| 713-97-70 | 6643589660-- | ruscons@chello.at | |||
| 714-76-12 | |||||
| ГК в Зальцбурге | 8-10-43662 | 624-184 | 62-17-43 | 47632655 | |
| 623-470 | rusgenkons@salzburg.telecom.at | ||||
| Азербайджан (+1) | КОП в Баку | 8-10-99-412 | 498-60-83 | 498-84-56 | 784142201 RK AI |
| 8-10-994-50-495-40-57 | 495-45-25 | embrus@azdata.net | |||
| (моб.) | 495-53-00 | ||||
| Албания (-2) | КОП в Тиране | 8-10-355-4 | 25-60-40 | 23-22-53 | 6042121 |
| 23-05-44 | AMBRUS | ||||
| 23-42-18 | rusemb@icc.al.eu.org | ||||
| Алжир (-2) | КОП в Алжире | 8-10-213-21 | 92-15-12 | 92-29-82 | 40861561 |
| 8-10-21370-92-45-25 | 92-28-82 | CG SUA DZ | |||
| (моб.) | Algeria@dks.ru | ||||
| ambrussie@yandex.ru | |||||
| ГК в Аннабе | 8-10-213-38 | 86-85-07 | 86-42-61 | 40881750 CG SUA DZ | |
| 82-78-10 | Conculat@rambler.ru | ||||
| 86-42-61 | |||||
| Ангола (-2) | КОП в Луанде | 8-10-244-222 | 44-50-38 | 44-60-58 | 9912549 |
| 44-50-28 | russemb@netagola.com | ||||
| Аргентина (-6) | КОП в Буэнос-Айресе | 8-10-54-11 | 58-13-15-52 | 48-12-17-94 | 3322147 |
| 48-12-17-94 | consulruso@sinectis.com.ar | ||||
| Армения (+1) | КОП в Ереване | 8-10-37-41 | 058-98-43 | 58-24-63 | ruscon@rusembassy.am |
| 52-85-41 | 56-71-97 | ruscon@arminco.com | |||
| ГК в Гюмри | 8-10-37-43-12 | 37-261 (542) | 34-542 | gconru@shirak.am | |
| 34-533 | 37-261 | ||||
| 8-10-3749-121-71-13 (моб.) | |||||
| 8-10-3749-427-331 (моб.) | |||||
| Афганистан (+1,5) | КОП в Кабуле | 8-10-9320-230-05-00 | 8-10-873 | 7922383 | |
| 8-10-937-934-50-17 | 762-743-497- | rusembafg@neda.af | |||
| (ton)- | cne@cereteches.com | ||||
| 334-49-59 | |||||
| ГК в Мазари-Шарифе | 8-10-99-876 | 22-55-220 | 552-20 | 7924383 | |
| 8-10-937-991-41-646 | 22-73-814 | m-sharif@yandex.ru | |||
| (моб.) | (Хайратон) | ||||
| 738-14 | |||||
| 552-20 | |||||
| 597-12 | |||||
| 594-69 | |||||
| Бангладеш (+3) | КОП в Дакке | 8-10-880-2 | 882-81-47 | 882-37-35 | 780632310 |
| 8-10-880-011-805-730 | 882-81-42 | rusemb@citech-bd.com | |||
| (моб.) | info@rusdhaka.org | ||||
| ГК в Читтагонге | 8-10-880-31 | 65-41-54 | 65-41-57 | chitcon@mail.ru | |
| 65-41-57 | |||||
| Бахрейн | КОП в Манаме | 8-10-973 | 72-52-22 | 72-59-21 | rusemb@batelco.com.bh |
| Белоруссия (-1) | КОП в Минске | 8-10-375-17-2 | 22-49-79/75 | 22-49-80 | 681300328 |
| 8-10-375-29-729-37-15 | 22-49-81 | ruscon@minsk.gin.ru | |||
| (моб.) | 22-49-85 | ||||
| ГК в Бресте | 8-10-375-16-2 | 23-44-05 | 21-04-73 | brestcons@brest.by | |
| 8-10-275-29-729-770-07-62 | 23-78-42 | ||||
| (моб.) | 23-89-13 | ||||
| Бельгия (-2) | КОП в Брюсселе | 8-10-322 | 375-91-21 | 375-94-15 | 4665272 |
| 8-10-32-475-42-98-09 | 374-35-69 | ||||
| (моб.) | |||||
| ГК в Антверпене | 8-10-323 | 829-16-11 | 829-05-89 | 4635779 | |
| 8-10-323-00-32-47 | 827-04-64 | russian.consulate@telenet.be | |||
| 542-23-58 (моб.) | |||||
| Бенин (-2) | КОП в Котону | 8-10-229 | 21-31-68-13 | 21-31-28-35 | 9725008 |
| 8-10-229-90-93-61-04 | 21-31-28-34 | consrus@intnet.bj | |||
| (моб.) | |||||
| Болгария (-1) | КОП в Софии | 8-10-35-92 | 963-40-21 | 963-41-16 | 6724952 |
| 963-13-14 | info@rusembul.org | ||||
| 963-17-93 | consul_sofia@rusembul.org | ||||
| ГК в Варне | 8-10-359-52 | 60-27-34 | 60-27-22 | 6777364 | |
| 8-10-359-887-796-382 | 60-27-18 | consul.russia@nat.bg | |||
| (моб.) | 60-27-19 | ||||
| 60-27-21 | |||||
| ГК в Русе | 8-10-359-82 | 82-22-92 | 82-22-50 | consul.ruse@rusembul.org | |
| 82-22-49 | consul@genconru.russe.bg | ||||
| 82-22-48 | |||||
| Боливия (-7) | КОП в Ла-Пасе | 8-10-59-12 | 278-64-70 | 278-65-31 | embrusia@acelerate.bo |
| 278-64-19 | |||||
| Босния и Герцеговина (-2) | КОП в Сараево | 8-10-387-33 | 678-643 | 668-147 | korusemb@isinter.net |
| 678-147 | 668-148 | ||||
| 214-863 | |||||
| Ботсвана (-1) | КОП в Габороне | 8-10-267 | 395-37-39 | 395-29-30 | 9622595 |
| 721-079-028 (моб.) | Embrus@info.bw | ||||
| Бразилия (-6) | КОП в Бразилиа | 8-10-55-61 | 32-23-50-94 | 32-23-50-94 | 611273 |
| 32-23-30-94 | 32-26-73-19 | consulrus@mail.ru | |||
| consrus@tbacom.br | |||||
| ГК в Рио-де-Жанейро | 8-10-55-21 | 2274-00-97 | 2294-49-45 | consulado.russia@radnet.com.br | |
| ГК в Сан-Паулу | 8-10-55-11 | 3814-41-00 | 3814-12-46 | consrus_sp@mail.ru | |
| 3814-12-46 | |||||
| Бурунди (-1) | КОП в Бужумбуре | 8-10-257 | 22-60-98 | 24-32-44 | 9035164 |
| 229-84 | 22-42-37 | ustas@cbinf.com | |||
| Великобритания (-3) | КОП в Лондоне | 8-10-44-207 | 229-80-27 | 229-32-15 | 51261420 |
| 8-10-44- | 792-84-73 | info@rusemblon.org | |||
| 7793252142 (моб.) | |||||
| ГК в Эдинбурге | 8-10-44-131 | 225-71-21 | 225-95-87 | visa@edconsul.co.uk | |
| 225-70-98 | |||||
| Венгрия (-2) | КОП в Будапеште | 8-10-361 | 331-89-85 | 354-14-92 | 61224942 |
| 269-08-24 | 252-50-77 | ruskons@euroweb.hu | |||
| 269-08-23 | |||||
| 269-01-52 | |||||
| 332-47-48 | |||||
| 8-10-36-30-371-52-35 (моб.) | |||||
| ГК в Дебрецене | 8-10-36-52 | 356-926 | 356-928 | rusgkdeb@axelero.hu | |
| 356-927 | |||||
| 8-10-36-30-436-87-33 (моб.) | |||||
| Венесуэла (-7) | КОП в Каракасе | 8-10-582-12 | 993-97-02 | 993-65-26 | 3127795 |
| 993-43-95 | rusconsec@infoline.wtfe.com | ||||
| rusemb@cantv.net | |||||
| Вьетнам (+4) | КОП в Ханое | 8-10-844 | 833-69-96 (91) | 833-69-96 | 805411441 |
| 833-65-75 (67) | kons_hanoi@hn.vnn.vn | ||||
| 8-10-090-342-50-25 (моб.) | |||||
| ГК в Дананге | 8-10-194-84-511 | 82-23-80 | 81-85-27 | consdanang@dng.vnn.vn | |
| 81-85-28 | |||||
| 8-10-091-344-11-20 (моб.) | |||||
| ГК в Хошимине | 8-10-194-848 | 930-39-36 | 930-39-37 | 805811238 | |
| 930-39-37 | cgrushcm@fmail.vnn.vn | ||||
| 829-29-37 | |||||
| 829-29-36 | |||||
| 8-10-090-391-96-51 (моб.) | |||||
| 8-10-090-303-00-29 (моб.) | |||||
| Габон (-2) | КОП в Либревиле | 8-10-241 | 72-48-68 | 72-48-70 | 9735797 |
| 72-48-69 | ambrusga@inet.ga | ||||
| 31-28-34 (35) | |||||
| 31-09-12 | |||||
| Гайана (-6) | КОП в Джорджтауне | 8-10-592 | 226-97-73 | 227-29-75 | reing@networksgy.com |
| Гана (-3) | КОП в Аккре | 8-10-233-21 | 77-56-11 | 94-24-70 | russia@ghana.com |
| 77-26-99 | |||||
| Гватемала (-9) | Посольство РФ в Коста-Рике (Представительство в Гватемале) | 8-10-502 | 236-809-79 | 367-27-66 | embrusa@gua.gbnet.cc |
| 236-272-65 | |||||
| 368-09-79 | |||||
| 367-27-65 | |||||
| 368-14-12 | |||||
| Гвинея (-3) | КОП в Конакри | 8-10-224 | 134-05-221 | 412-777 | 99522232 |
| 134-05-222 | 465-781 | consrus@mirinet.net.gn | |||
| 134-05-221 (моб.) | |||||
| Гвинея-Бисау (-3) | КОП в Бисау | 8-10-245 | 25-10-50 | 25-10-28 | 969104 |
| 25-10-36 | russagb@mail.gtebcom.gw | ||||
| 25-10-28 | russiagb@eguitel.com | ||||
| Греция (-1) | КОП в Афинах | 8-10-30-210 | 672-91-57 | 672-91-57 | consul@hol.gr |
| 674-29-49 | consulrf@hol.gr | ||||
| 672-88-49 | |||||
| ГК в Салониках | 8-10-302-310 | 25-72-01 | 25-22-02 | thecons@hol.gr | |
| 8-10-30-697-475-05-83 | 25-76-66 | 25-72-02 | |||
| (моб.) | |||||
| Грузия (0) | КОП в Тбилиси | 8-10-99-532 | 91-23-10 | 91-30-85 | konsrus@iberiapac.ge |
| 8-10-995-99-25-51-91м | 91-27-82 | ||||
| гл | |||||
| Дания (-2) | КОП в Копенгагене | 8-10-45 | 35-266-781 | 35-420-287 | 5516943 |
| 8-10-45-26-396-077 | 35-382-378 | conskucp@get2net.dk | |||
| (моб.) | 35-38-23-70 | ||||
| Джибути | КОП в Джибути | 8-10-253 | 35-20-51 | 35-59-90 | 9795906 |
| 35-59-90 | russiaemb@intnet.dj | ||||
| 35-07-40 | |||||
| Египет (-1) | КОП в Каире | 8-10-20-2 | 761-45-11 (12) | 761-45-12 | 9123312 |
| 748-93-53 | maximl@access.com.eg | ||||
| 748-93-54 | |||||
| 748-97-44 | |||||
| ГК в Александрии | 8-10-20-3 | 583-35-34 | 583-28-11 | 9155521 | |
| 8-10-2012-224-86-15 | consalex@access.com.eg | ||||
| (моб.) | |||||
| Замбия (-1) | КОП в Лусаке | 8-10-260-1 | 25-21-20 | 25-35-82 | 90240314 |
| 25-21-68 | embrus@mweb.co.zw | ||||
| 25-21-28 | embrus@cooppernet.zm | ||||
| 25-21-83 | |||||
| Зимбабве (-1) | КОП в Хараре | 8-10-263-4 | 701-958 (957) | 700-534 | 90722616 |
| 72-03-58 | embrus@zamnet.zm | ||||
| 72-03-49 (348) | rusconc@mweb.co.zw | ||||
| Израиль (-1) | ГК в Хайфе | 8-10-97-24 | 866-75-51 (2,6) | 866-75-53 | consru@netvision.net.il |
| 8-10-972-506-67-00-90 | 566-700-90 | ||||
| (моб.) | 569-808-30 | ||||
| КОП в Тель-Авиве | 8-10-972-3 | 7-324-018 | 510-10-93 | 606371562 | |
| 8-10-972-513-240-18 | 516-40-19 | consru@mail.netvision.net.il | |||
| (моб.) | 516-15-25 | ||||
| 8-10-972-545-39-22-78 | |||||
| (моб.) | |||||
| 8-10-972-502-206-757 | |||||
| (моб.) | |||||
| Индия (+2,5) | КОП в Дели | 8-10-91-11 | 261-10-560 | 261-10-560 | 813182016 |
| 268-73-800 | 268-76-823 | indconru@del2.vsnl.net.in | |||
| 2611-0640-44 | |||||
| 246-78-564/03 | |||||
| 8-10-981-824-36-74 (моб.) | |||||
| 8-10-981-039-98-05 (моб.) | |||||
| ГК в Мумбае (Бомбей) | 8-10-91-22 | 236-33-628 | 236-30-403 | 811174562 | |
| 236-33-627 | russcon@bom5.vsnl.net.in | ||||
| 611-06-41 (42) | |||||
| 8-10-982-193-28-03 (моб.) | |||||
| 8-10-9122-2363-14-93 (моб.) | |||||
| 8-10-982-193-28-03 (моб.) | |||||
| ГК в Ченнае (Мадрас) | 8-10-91-44 | 249-82-320 | 2-498-23-36 | 81416355 | |
| 249-82-330 | cgrch@vsnl.com | ||||
| 8-10-984-006-01-12 (моб.) | |||||
| ГК в Калькутте | 8-10-91-33 | 2-479-79-82 | 2-479-88-89 | 81218024 | |
| 2-479-99-73 | consulru@cal3.vsnl.net.in | ||||
| 2-479-70-06 | conskolk@vsnl.net | ||||
| 2-479-70-06 | |||||
| 983-004-81-14 (моб.) | |||||
| Индонезия (+4) | КОП в Джакарте | 8-10-62-21 | 522-29-12 | 522-29-15 | 7369180 |
| 522-51-95 | consuljkt@front.ru | ||||
| 8-10-62-816-80-77-85 (моб.) | |||||
| Иордания (-1) | КОП в Аммане | 8-10-962-6 | 568-2509 | 568-25-10 | 49324381 |
| 8-10-962-777-426-618 | 464-11-58 | konsr@nets.com.jo | |||
| (моб.) | 777-21-0001 | konsru@nol.com.jo | |||
| Ирак | КОП в Багдаде | 8-10-964-790-1-105-473 | 541-47-49 | 776-97-94 | 491212409 |
| 8-10-9641 | 541-89-13 | 541-89-13 | rusiraq@mail.ru | ||
| 8-10-9641-19-14-360-54-40 | 541-47-54 | sspolipov@mail.ru | |||
| (моб.) | |||||
| 8-10-9647-901-933-768 | |||||
| (моб.) | |||||
| Иран (+0,5) | КОП в Тегеране | 8-10-9821 | 6670-11-61 | 6670-16-52 | 88213457 |
| 8-10-9891-221-029-47 | 6670-16-76 | rusconsiran@parsonline.net | |||
| (моб.) | russembassy@apadana.com | ||||
| ГК в Исфагане | 8-10-983-11 | 222-20-60 | 22-08-04 | 50033622 | |
| 220-08-04 | ruscons-est@chavoosh.com | ||||
| Ирландия (-3) | КОП в Дублине | 8-10-353-1 | 492-34-92 | 492-69-38 | duconsul@indigo.ie |
| 492-20-48 | |||||
| Исландия (-3) | КОП в Рейкьявике | 8-10-354-1 | 561-08-51 | 561-08-51 | 5012200 SOVEMD IS |
| 561-08-51 | russcons@isl.is | ||||
| 551-51-56 | russcons@internet.is | ||||
| 863-83-07 (моб.) | |||||
| Испания (-2) | КОП в Мадриде | 8-10-34-91 | 564-20-49 | 562-78-30 | 5247677 |
| 8-10-34-627416978 | 411-29-57 | 562-97-12 | consmd@arrakis.es | ||
| (моб.) | |||||
| ГК в Барселоне | 8-10-34-93 | 280-54-32 | 280-55-41 | 5297713 | |
| 280-02-20 | 204-02-46 | ||||
| Италия (-2) | КОП в Риме | 8-10-39-06 | 44-23-56-25 | 44-23-40-31 | 43622310 |
| 8-10-39-335-783-00-81 | 44-23-40-31 | ||||
| (моб.) | 494-16-80 | ||||
| 494-16-81 | |||||
| ГК в Милане | 8-10-39-02 | 487-059-12 | 400-907-41 | 43326571 | |
| 400-921-13 | info@conolatorussomilano.org | ||||
| 487-060-41 | |||||
| 487-073-01 | |||||
| ГК в Палермо | 8-10-39-091 | 611-39-70 | 32-93-79 | info@conolatogeneralrussopa.it | |
| ГК в Генуе | 8-10-39010 | 372-60-47 | 374 13 61 | 43272899 SOVKON | |
| 329-93-92 | consulatoru@tin.it | ||||
| Йемен | КОП в Сане | 8-10-9671 | 278-719 | 283-142 | 8952952 |
| 8-10-967-733-217-131 | 232-972 | remb@y.net.ye | |||
| (моб.) | dod@y.net.ye | ||||
| ГК в Адене | 8-10-967-2 | 23-27-92 | 232-036 | ura@y.net.ey | |
| 23-27-92 | |||||
| Кабо-Верде (-4) | КОП в Прайя | 8-10-238 | 262-27-38 | 262-27-38 | 9936016 EMB URSS CV |
| 262-27-39 | Embrus@cvtelecom.cv | ||||
| Казахстан (+5) | ГК в Алма-Ате | 8-10-72-72 | 74-52-64 | 74-71-68 | alma-ata@dks.ru |
| 74-71-72 | 74-52-64 | cons.rf@nursat.kz | |||
| 74-61-22 | |||||
| 74-50-87 | |||||
| КОП в Астане | 8-71-72 | 22-25-17 | 32-65-21 | rusposolstvo@at.kz | |
| 22-33-52 | |||||
| 22-16-18 | |||||
| К в Уральске | 8-71-12 | 50-85-21 | 24-24-86 | rusconsul@nursat.kz | |
| 51-16-26 | |||||
| Камерун (-2) | КОП в Яунде | 8-10-237-22 | 20-17-14 | 20-78-91 | 9708859 |
| 22-47-64 | consrus@camnet.cm | ||||
| Камбоджа (+4) | КОП в Пномпене | 8-10-855-23 | 21-76-94 | 21-67-76 | ressemba@online.com.kh |
| 21-76-94 | consul@online.com.kz | ||||
| 8-10-855-12-452-820 (моб.) | |||||
| 8-10-855-12-705-961 (моб.) | |||||
| Канада (-8) | КОП в Оттаве | 8-10-1-613 | 236-72-20 | 238-61-58 | 210533396 |
| 236-09-20 | ruscons@rogers.com | ||||
| 236-62-15 | |||||
| 236-14-83 | |||||
| ГК в Монреале | 8-10-1-514 | 843-59-01 | 842-20-12 | 2605560469 | |
| 842-53-43 | consulat_mtl@bellnet.ca | ||||
| consulat@dsuper.net | |||||
| ГК в Торонто | 8-10-1-416 | 962-99-11 | 962-66-11 | rusconsul@bellnet.ca | |
| 962-27-74 | |||||
| Катар | КОП в Дохе | 8-10-974 | 483-68-21 | 432-91-18 | 4771 |
| 483-62-31 | DOSP DH rusemb@qatar.net.ga | ||||
| Кения | КОП в Найроби | 8-10-254-20 | 272-87-00 | 72-18-88 | 98725261 |
| 272-24-62 | nbocoms@swiftkenya.com | ||||
| 734-796-713 (моб.) | russemb@swiftkenya.com | ||||
| Кипр (-1) | КОП в Никосии | 8-10-35-722 | 77-46-22 | 77-48-54 (п.) | 6055808 |
| 77-68-32 | 78-30-30 (к.) | SOVEMB SU | |||
| consul@cjlink.com.cj | |||||
| 8-10-357-996-142-11 (моб.) | |||||
| КНР (+6) | КОП в Пекине | 8-10-86-10 | 65-32-12-67 | 65-32-48-53 | 8522247 |
| 65-32-19-91 | SOVEN CN | ||||
| 65-32-50-21 (13-81) | text@russiaorg.cn | ||||
| 8-1086-136-010-28-024 (моб.) | embassy@russiaorg.cn | ||||
| (+5) | ГК в Шанхае | 8-10-86-21 | 63-24-83-83 | 63-06-99-82 | 85337020 |
| 63-24-26-82 | consul@online.sh.cn | ||||
| ruscon@online.sh.cn | |||||
| ГК в Шэньяне | 8-10-86-24 | 23-22-39-27 | 23-22-39-07 | 85804154 | |
| 8-10-86-13-901-017-443 | ruscons@mail.sy.ln.cn | ||||
| (моб.) | ruscons@pub.sy.lnpta.net.cn | ||||
| (+5) | ГК в Гонконге <*> | 8-10-852 | 28-77-50-24 | 28-77-71-66 | russia@hknet.com |
| 28-77-71-88 | cgrushk@hknet.com | ||||
| 902-655-39 (моб.) | |||||
| КНДР (+5) | КОП в Пхеньяне | 8-10-850-2 | 381-31-01 | 381-34-27 | 89935002 |
| 381-31-02 | |||||
| 193-801-87-05 (моб.) | |||||
| ГК в Чондине | 8-10-850-73 | 90-02-03 | 23-08-03 | 89924053 | |
| 90-08-03 | |||||
| 8-10-850-73-23-0203 (моб.) | |||||
| Республика Конго | КОП в Браззавиле | 8-10-242 | 81-50-85 | 816917 | 9815455 |
| 81-19-23 | amrussie@congonet.cg | ||||
| Демократическая Республика Конго (-2) | КОП в Киншасе | 8-10-243 | 760-20-52 | 0999-975-135 | ambrus@usan.cd |
| 0998-743-189 (моб.) | |||||
| Республика Корея (+5) | КОП в Сеуле | 8-10-82-02 | 318-21-19 | 563-35-89 | К 80129500 |
| 8-10-82-19-203-91-05 | 555-80-51 | SUCONSA | |||
| (моб.) | rusemb@kornet.net | ||||
| ГК в Пусане | 8-10-82-51 | 441-99-04 | 464-44-04 | 80152604 | |
| 441-99-05 | RUSCONS | ||||
| 441-11-04 | genconr5@kornet.net | ||||
| (8211) 839-99-04 | |||||
| Колумбия | КОП в Боготе | 8-10-571 | 310-07-28 | 2104694 | |
| Коста-Рика (-9) | КОП в Сан-Хосе | 8-10-506 | 221-16-39 | 221-20-54 | 3762299 |
| Кот-д'Ивуар (-3) | КОП в Абиджане | 8-10-22-52 | 243-03-90 | 243-03-90 | 98327178 |
| 243-09-59 | ambrus@qlobeaccess.net | ||||
| 243-03-90 | |||||
| Куба (-8) | ГК в Гаване | 8-10-537 | 204-10-38 | 204-10-38 | gkrfsdc@etecsa.cu |
| 204-10-74 | |||||
| 204-10-86 | |||||
| Кувейт | КОП в Эль-Кувейте | 8-10-965 | 256-01-59 | 252-49-69 | POSOLKT |
| 256-04-28 (27) | 49622945 КТ | ||||
| roskons@kuwait.net | |||||
| Киргизия (+2) | КОП в Бишкеке | 8-10-996-312 | 61-04-01 | 62-18-23 | ruscons@elcat.kg |
| 61-08-91 | 61-01-77 | ruscons@imfico.bishkek.su | |||
| 21-57-03 | |||||
| 21-77-00 | |||||
| 62-47-38 | |||||
| ГК в Ош | 8-10-996-3222 | 2-15-94 | 2-60-35 | genkon@ktnet.kg | |
| 2-44-49 | |||||
| 2-63-04 | |||||
| ЛНДР (+4) | КОП во Вьентьяне | 8-10-856-21 | 31-22-18 (19) | 31-22-10 | 8044323 |
| conslao@mail.ru | |||||
| Латвия (-1) | КОП в Риге | 8-10-371 | 721-01-23 | 721-01-23 | 538161222 |
| 721-25-79 | |||||
| 733-21-51 | |||||
| 733-28-18 | |||||
| ГК в Лиепае | 8-10-371 | 342-25-17 | 348-63-70 | konsul_liepaja@delfi.lv | |
| 343-13-93 | |||||
| ГК в Даугавпилсе | 8-10-371 | 542-27-44 | 542-92-70 | Dgcons@mbox.latg.lu | |
| 542-16-44 | |||||
| 542-27-73 | |||||
| 940-55-77 | |||||
| Ливан (-1) | КОП в Бейруте | 8-10-961-1 | 30-00-41 (42) | 30-38-37 | consrus@cyberia.net.lb |
| 8-10-961-371-77-65 | 31-15-61 | ||||
| (моб.) | 386-71-98 | ||||
| Ливия (-2) | КОП в Триполи | 8-10-218-21 | 333-05-45 | 444-66-73 | 90122029 |
| 8-10-2189-252-71-549 | 444-92-61 | ||||
| (моб.) | |||||
| Литва (-1) | КОП в Вильнюсе | 8-10-370-5 | 272-17-63 | 272-38-77 | 303210 |
| 8-10-370-620-48-616 | 272-39-68 | 272-33-75 | kovatvu@rusemb.lt | ||
| (моб.) | 272-33-21 | ||||
| 272-33-48 | |||||
| 272-38-93 | |||||
| 272-33-76 | |||||
| 272-33-75 | |||||
| ГК в Клайпеде | 8-10-37-046 | 41-07-59 | 41-07-60 | Ruskonsul@klajpeda.omnetel.net | |
| 8-10-370-38-78-682 | 49-99-51 (53) | (61, 62) | |||
| (моб.) | 41-07-60 (61, 62) | ||||
| Люксембург (-2) | КОП в Люксембурге | 8-10-352 | 42-23-33 | 422-334 | 40260445 |
| 42-29-29 | AMB SU LU | ||||
| 26-68-74 (76) | |||||
| Маврикий (-1) | КОП в Порт-Луи | 8-10-230 | 696-15-45 | 696-50-27 | 9664826 |
| 696-55-33 | rusemb.mu@intnet.mu | ||||
| Мавритания (-3) | КОП в Нуакшоте | 8-10-222 | 525-17-45 | 525-52-96 | 9745711 |
| 525-22-72 | ambruss@opt.mr | ||||
| 525-18-45 | nuakchott@dks.ru | ||||
| Мадагаскар | КОП в Антананариву | 8-10-261-20 | 224-28-27 | 224-26-42 | 98622554 |
| 224-28-16 | seconamad@dts.mg | ||||
| Македония (-2) | КОП в Скопье | 8-10-38-92 | 311-71-60 | 11-78-08 | skopje@dks.ru |
| 311-74-03 | |||||
| Малайзия (+5) | КОП в Куала-Лумпуре | 8-10-60-03 | 4256-00-09 | 4252-91-39 | 8426073 |
| 8-10-6-017-373-28-26 | 4256-39-49 | 4257-60-91 | consulrf@tm.net.mj | ||
| (моб.) | |||||
| Мали (-3) | КОП в Бамако | 8-10-223 | 21-82-62 | 22-99-26 | 9852617 |
| 22-78-80 | consrus_mali@datatech.net.ml | ||||
| 221-85-40 | |||||
| 640-33-60 | |||||
| Мальта (-2) | КОП в Валетте | 8-10-356-21 | 371-906 | 37-21-31 | 4061545 SOVEMB MW |
| 8-10-356-994-56-814 (моб.) | 371-907 | rusconsul@onvol.net | |||
| Марокко (-3) | КОП в Рабате | 8-10-212-37 | 75-35-09 | 75-35-90 | AMSOV |
| 75-35-27 (45) | 40731602 M | ||||
| rabat@dks.ru | |||||
| consruss@ntds.com | |||||
| ГК в Касабланке | 8-10-212-22 | 25-57-08 | 98-93-57 | Vizarus@wanadoo.net.ma | |
| 8-10-61-454-216 | 25-18-73 | ||||
| (моб.) | |||||
| Мексика (-9) | КОП в Мехико | 8-10-525-55 | 273-16-05 | 273-15-45 | 221772516 |
| 273-13-05 | |||||
| 272-00-23 | |||||
| 271-48-56 | |||||
| Мозамбик (-1) | КОП в Мапуту | 8-10-258-21 | 41-77-07 | 41-74-77 | 9926635 |
| 41-73-72 | 42-87-14 | ||||
| 42-00-91 | |||||
| 42-06-26 | |||||
| Молдавия (-1) | КОП в Кишиневе | 8-10-3732-2 | 23-51-10 | 23-51-09 | domino@mdl.net |
| 24-73-04 | 21-07-11 | ||||
| 21-07-09 | |||||
| Монголия (+5) | КОП в Улан-Баторе | 8-10-976-11 | 32-61-83 | 32-44-25 | 800251 |
| 32-60-37 | 32-70-18 | cons_ru@mongol.net | |||
| 32-68-36 | consul_ru@mongol.net | ||||
| 32-51-53 | consul_ru@magicnet.mn | ||||
| 8-10-976-991-166-04 (моб.) | |||||
| ГК в Дархане | 8-10-976-013 | 722-39-96 | 722-34-06 | 800251 | |
| cons-dar@mongol.net | |||||
| 8-10-976-99-09-55-15 (моб.) | cons-dar@publica.up.mng.net | ||||
| ГК в Эрдэнэте | 8-10-976-1352 | 23-009 | 22-653 | 800051 | |
| 73-711; 73-882 | consulrus@mongol.net | ||||
| 8-10-976-993-557-93 (моб.) | |||||
| Мьянма (+3,5) | КОП в Янгоне | 8-10-951 | 241-955 | 24-19-53 | rusconsm@mptmail.net.mm |
| 254-161 | |||||
| 254-553 | |||||
| Намибия (-1) | КОП в Виндхуке | 8-10-264-81 | 22-86-71 | 228-671 | 908865 |
| 23-16-69 | 229-061 | rusconam@mweb.com.na | |||
| 23-16-89 | |||||
| 28-07-79 | |||||
| Непал (+2,5) | КОП в Катманду | 8-10-97-71 | 441-10-63 | 441-65-71 | 8912571 |
| 441-21-55 | rusconsul@mos.com.np | ||||
| ruspos@info.com.np | |||||
| Нигерия (-2) | КОП в Лагосе | 8-10-234-1 | 216-50-22 | 261-50-22 | 90522905 |
| 8-10-234-803-406-00-82 | 461-39-49 | 461-99-94 | rusConsul@intracom.net.ng. | ||
| (моб.) | 461-99-94 | ||||
| 461-99-95 | |||||
| 261-33-59 | |||||
| Нидерланды (-2) | КОП в Гааге | 8-10-31-70 | 364-64-73 | 365-86-34 | 4434585 |
| 8-10-31-653-633-19 | 364-07-80 | ambrucon@ambru.nl | |||
| (моб.) | 364-13-91 | ||||
| Никарагуа (-9) | КОП в Манагуа | 8-10-50-52 | 76-08-19 | 76-0179 | |
| 8-10-505-853-80-60 | |||||
| (моб.) | |||||
| Н. Зеландия (+9) | КОП в Веллингтоне | 8-10-644 | 476-61-13 | 476-38-43 | 743670 |
| 8-10-64-25-283-26-04 | 476-67-42 | wltvisa@xtra.co.nz | |||
| (моб.) | embassyofrussia@xtra.co.nz | ||||
| Норвегия (-2) | КОП в Осло | 8-10-47 | 22-55-17-65 | 22-56-58-78 | 5674110 SON N |
| 22-60-30-35 | 22-55-17-64 | consul@online.no | |||
| 22-55-17-63 | |||||
| К в Баренцбурге (Шпицберген) | 8-10-47 | 79-02-17-85 | 79-02-17-85 | ksvalbar@online.no | |
| ГК в Киркенесе | 8-10-47 | 78-99-37-37 | 78-99-37-42 | 5664308 RUSGK # | |
| 8-10-47-48-21-36-38 | 78-99-37-38 | genkons@online.no | |||
| ОАЭ (+1) | КОП в Абу-Даби | 8-10-971-2 | 672-35-16 | 678 87 31 | 89324464 |
| 8-10-971-50641-93-17 | 672-17-97 | rusconsl@emirates.net.ae | |||
| (моб.) | |||||
| ГК в Дубае | 8-10-971-4 | 223-12-72 | 223-15-85 | rusoman@omantel.net.om | |
| 8-10-971-50-657-88-06 | 228-03-31 | ||||
| (моб.) | |||||
| 8-10-971-50-612-68-20 | |||||
| (моб.) | |||||
| Оман (+1) | КОП в Маскате | 8-10-968 | 2460-28-94 | 2460-41-89 | 4985493 |
| 2460-28-93 | resomav@gto.net.om | ||||
| 8-10-968-99-44-20-09 | rusoman@omantel.net.om | ||||
| (моб.) | |||||
| (968) 925-26-78 | |||||
| (моб.) | |||||
| Пакистан (+2) | КОП в Исламабаде | 8-10-92-51 | 227-86-69 | 220-62-17 | 8254241 |
| 227-46-03 | 282-65-52 | Russia@isb.comsats.net.pk | |||
| 227-46-06 | 260-08-14 | consulrf@cyber.net.pk | |||
| 260-08-11 | rfconsul@cyber.net.pk | ||||
| 260-08-12 | russia2@isb.comsats.net.pk | ||||
| 8-10-92-51-220-62-17 | |||||
| (моб.) | |||||
| ГК в Карачи | 8-10-92-21 | 586-13-36 | 586-14-04 | 8220687 | |
| 583-02-65 | GCRFEN PK | ||||
| 586-1336 | rfconsul@cyber.net.pk | ||||
| 8-10-92-300-829-17-83 (моб.) | |||||
| Панама (-8) | КОП в Панаме | 8-10-507 | 264-14-08 | 264-15-58 | emruspan@sinfo.net |
| 264-16-35 | |||||
| Перу (-8) | КОП в Лиме | 8-10-51-1 | 264-04-04 | 264-01-30 | rosconsul@infonegocio.net.pe |
| 264-00-36 | |||||
| 264-0038 | |||||
| 264-1170 | |||||
| Польша (-2) | КОП в Варшаве | 8-10-48-22 | 849-51-11 | 849-40-85 | 63812786 |
| 849-26-27 | 625-3016 | korfwaw@mail.ru | |||
| 621-3453 | rusemb_poland@mail.ru | ||||
| 621-5575 | |||||
| 621-5954 | |||||
| 8-10-48-50-71-46-510 | |||||
| (моб.) | |||||
| ГК в Гданьске | 8-10-48-58 | 341-10-88 | 341-62-00 | 63512380 KGFRG PL | |
| 341-40-92 | 341-40-92 | konsvisagdn@poczta.onet.pl | |||
| 341-96-39 | |||||
| ГК в Познани | 8-10-48-61 | 841-75-23 | 847-49-97 | konsulat-gfr | |
| 841-77-40 | poznan@pro.onet.pl | ||||
| 847-62-16 | |||||
| ГК в Кракове | 8-10-48-12 | 422-26-47 | 422-90-66 | ruskrk@poczta.onet.ru | |
| 634-06-66 | konskrk@pro.onet.pl | ||||
| 422-9055 | |||||
| Португалия (-3) | КОП в Лиссабоне | 8-10-351-21 | 846-44-76 | 847-93-27 | 40460233 |
| 847-93-26 | 846-30-08 | liconsul@mail.telepac.pt | |||
| 849-07-11 | mail@embaixadarussia.pt | ||||
| 846-24-24 | |||||
| 846-25-24 | |||||
| 846-24-23 | |||||
| Руанда (-1) | КОП в Кигали | 8-10-250 | 57-52-86 | 57-48-18 | 90922661 |
| 50-33-22 | ambruss@rwandatell.rwa | ||||
| Румыния (-1) | КОП в Бухаресте | 8-10-40-21 | 222-31-68 | 222-64-05 | 6510931 |
| 222-15-56 | 222-94-50 | ruscons2@euroweb.ro | |||
| 222-13-89 | |||||
| ГК в Констанце | 8-10-40-241 | 61-11-06 | 61-51-68 | consfr@euroweb.ro | |
| 61-51-68 | 61-89-23 | ||||
| Саудовская Аравия | КОП в Эр-Риаде | 8-10-966-1 | 481-18-75 | 481-18-90 | 495407890 |
| 481-14-32 | ruscons@anet.net.sa | ||||
| 481-18-44 | ruscons@zajil.net | ||||
| ГК в Джидде | 8-10-96-62 | 665-92-55 | 665-92-32 | 607397 | |
| 92-33, 92-12 | 660-41-91 | rusconsl@awalnet.net.sa | |||
| 503-61-02-62 (моб.) | ruscons@anet.net.sa | ||||
| Сейшельские острова (+1) | КОП в Виктории | 8-10-248 | 256-590 | 266-653 | 9652392 |
| 26-6122 | rfembsey@seychelles.net | ||||
| 26-65-90 | |||||
| Сенегал (-3) | КОП в Дакаре | 8-10-221 | 821-59-60 | 821-13-72 | 90621432 |
| 822-23-25 | consru@telecomplus.sn | ||||
| 822-40-21 | |||||
| 823-39-40 | |||||
| 8-10-221-644-71-74 | |||||
| (моб.) | |||||
| Сербия (-2) | КОП в Белграде | 8-10-38-11 | 657-533 | 361-39-64 | 6272716 |
| 361-39-64 | 657-845 | ambarusk@eunet.yu | |||
| 361-01-92 | 361-19-00 | ||||
| 063/367-354 (моб.) | |||||
| Сингапур (+5) | КОП в Сингапуре | 8-10-65 | 6235-18-34 | 6733-47-80 | 8723071 |
| 6235-18-32 | rospsol@pacific.net.sg | ||||
| 6737-00-48 | |||||
| Сирия (-1) | КОП в Дамаске | 8-10-963-11 | 442-20-11 | 442-20-11 | 492411674 |
| 442-31-56 | 442-31-56 | ruscons@scs-net.org | |||
| 442-31-55 | |||||
| 442-31-65 | |||||
| 8-10-963-93-614-602 | |||||
| (моб.) | |||||
| ГК в Алеппо | 8-10-963-21 | 223-24-01 | 222-08-56 | 492331818 | |
| 8-10-963-0955-853-823 | 226-33-77 | gencons@scs-net.org | |||
| Словения (-2) | КОП в Любляне | 8-10-38-61 | 425-68-75 | 425-41-41 | ambrus.slo@siol.net |
| 425-68-75 | |||||
| 425-41-42 | |||||
| 422-49-20 | |||||
| 422-41-42 | |||||
| Сомали | КОП в Могадишо | 9003094 | |||
| Словакия (-2) | КОП в Братиславе | 8-10-4212 | 544-14-664 | 544-12-389 | 66692570 |
| 544-17-929 | 544-14-664 | konzulat@chello.sk | |||
| 544-12-389 | |||||
| США (-8) | КОП в Вашингтоне | 8-10-1-202 | 939-89-11 | 483-75-79 | 232248708 |
| 939-89-07 | 939-89-19 | wacons@prodigy.net | |||
| 939-89-00 | 939-89-09 | russianembassy@mindspring.com | |||
| 625-07-69 (66) | |||||
| 986-12-07 | |||||
| 338-66-92 | |||||
| 8-10-1-202-494-07-15 | |||||
| (моб.) | |||||
| 8-10-1-202-925-07-67 | |||||
| (моб.) | |||||
| ГК в Нью-Йорке | 8-10-1-212 | 348-09-26 | 831-91-62 | 2326734839 | |
| 348-57-62 | mail@ruscon.org | ||||
| 348-26-26 | |||||
| 348-17-17 | |||||
| ГК в Сан-Франциско | 8-10-1-415 | 928-68-78 | 929-03-06 | 336184945 | |
| 775-63-27 | conulsf@ix.netcom.cjm | ||||
| 474-58-47 | |||||
| ГК в Сиэтле | 8-10-1-206 | 728-02-32 | 728-18-71 | 2326505700941 | |
| 728-19-10 | consul@seanet.com | ||||
| 269-74-19 | |||||
| ГК в Хьюстоне | 8-10-1-713 | 840-97-57 (доб. 512) | 337-33-05 | info@rusconshousfon.org | |
| 337-33-00 (300) | |||||
| 8-10-832-452-42-69 (моб.) | |||||
| Судан (-1) | КОП в Хартуме | 8-10-249-183 | 45-10-42 | 47-12-39 | 98424304 |
| 47-10-42 | rfsudan@hotmail.com | ||||
| 91-236-46-21 (моб.) | |||||
| Таджикистан (+2) | КОП в Душанбе | 235-26-35 | 236-25-97 | rambtadjik@rambler.ru | |
| 236-24-41 | 235-88-06 | ognivo@sugdien.com | |||
| 235-98-27 | Dushanbe@dks.ru | ||||
| 8-10-992-917-71-41-04 | consrus@tajnet.com | ||||
| (моб.) | rambtadjik@rambler.ru | ||||
| ГК в Ходженте | 8-10-992-34-22 | 6-46-73 | 6-50-25 | ogniva@sugdien.com | |
| 4-01-85 | 6-51-43 | ||||
| 6-46-73 | 6-50-77 | ||||
| 8-10-992-34-51-59-872 (моб.) | |||||
| Таиланд (+4) | КОП в Бангкоке | 8-10-66-2 | 234-20-12 | 268-11-66 | 8621947 |
| 234-98-24 | consulru@cscoms.com | ||||
| 268-11-71 | |||||
| 8-10-661-921-32-80 (моб.) | |||||
| Тайвань (+5) | МТК в Тайбэе | 8-10-88-62 | 87-80-30-11 | 87-80-25-11 | mtcinfo@ms65.hinet.net |
| 87-80-26-50 | mtcvisa@ms65.hinet.net | ||||
| 8-10-886-987174347 (моб.) | |||||
| 8-10-886-917812018 (моб.) | |||||
| Танзания | КОП в Дар-эс-Саламе | 8-10-255-22 | 266-60-46 | 266-68-18 | 98941747 |
| 266-60-05 | dabconsul@intafrica.com | ||||
| Тунис (-2) | КОП в Тунисе | 8-10-216-71 | 882-757 | 882-478 | 40915465 |
| 882-458 | 882-757 | consul.Russie@Email.ati.tn | |||
| 882-446 | |||||
| Туркменистан (+2) | КОП в Ашхабаде | 8-10-993-12 | 35-70-41 | 51-02-62 | 228122 |
| 39-57-88 | 35-21-77 | konsul-rf@online.tm | |||
| 305-510 (моб.) | |||||
| 8-10-993-12-303-794 | |||||
| (моб.) | |||||
| Отделение к/о в г. Туркменбаши | 8-10-99-234 | 214-06 | 214-06 | kpre@online.tm | |
| 265-25 | 1-66-88 | ||||
| 166-88 | |||||
| Турция (-1) | КОП в Анкаре | 439-35-18 | 440-14-85 | 60746229 | ruskons@superonline.com |
| 440-94-85 | 442-90-20 | ||||
| 439-21-22 | |||||
| 8-10-90-532-317-28-62 | |||||
| (моб.) | |||||
| ГК в Анталье | 8-10-90-242 | 248-32-02 | 248-44-68 | rfconsulate@ttnet.net.tr | |
| 248-42-81 | |||||
| 8-10-90-533-744-18-75 (моб.) | |||||
| ГК в Стамбуле | 8-10-90-212 | 292-5101 | 249-05-07 | 60725556 | |
| 8-10-90-532 | (02), (03), (04) | 293-23-58 | visavi@turk.net | ||
| 561-98-67 | |||||
| ГК в Трабзоне | 8-10-90-462 | 326-26-00 | 326-26-01 | 60783059 | |
| 326-27-28 | rusconsulfrb@ttnet.net.tr | ||||
| 326-13-70 | baskonsolosl@gul.net.tr | ||||
| Уганда | КОП в Кампале | 8-10-256-41 | 34-56-98 | 35-47-98 | 98861518 |
| 24-38-08 | 34-57-98 | ruscon@imul.com | |||
| 23-36-76 | |||||
| Узбекистан (+2) | КОП в Ташкенте | 8-10-998-71 | 120-35-14 (20) | 120-35-18 | consul@albatros.vz |
| 152-59-29 | |||||
| 152-71-70 | |||||
| 8-10-998-71-172-20-08 | |||||
| 8-10-998-71 (2) | 52-29-48 | 152-21-45 | |||
| 54-36-41 | |||||
| 55-42-30 | |||||
| Украина (-1) | КОП в Киеве | 8-10-380-44 | 284-79-36 | 284-65-16 | text@rucons.kiev.va |
| 284-67-01 | 284-79-36 | consul@rucons.kiev.ua | |||
| 286-45-04 | |||||
| 294-67-01 | |||||
| 284-64-31 | |||||
| ГК в Харькове | 8-10-380-57 | 715-78-34 | 706-34-03 | consul@online.kharkiv.com | |
| 715-78-31 | 45-41-16 | consul@sky.net.va | |||
| 715-74-70 | |||||
| 715-64-98 | |||||
| 700-00-56 | |||||
| 715-79-97 | |||||
| 8-050-323-03-99 | |||||
| (моб.) | |||||
| ГК во Львове | 8-10-380-32 | 240-37-80 | 244-25-25 | konsrus@lviv.farlep.net | |
| 240-37-81 (82) | 240-37-84 | ||||
| 244-26-28 | |||||
| 244-25-25 | |||||
| 244-26-24 | |||||
| 8-10-38-050-317-07-80 (моб.) | |||||
| ГК в Одессе | 8-10-380-652 | 25-24-67 | 42-88-57 | gencon.rf.od@farlep.net | |
| 22-28-57 | 22-01-02 | ||||
| 22-22-32 | 25-29-15 | ||||
| 36-77-27 (моб.) | |||||
| ГК в Симферополе | 8-10-38-050-244-06-25 (26) (моб.) | 24-82-19 | 24-82-18 | rucons@utel.net.ua | |
| 24-82-21 | |||||
| 8-10-38-050-324-27-88 | 24-82-17 | ||||
| (моб.) | 51-21-19 | ||||
| 8-10-59-82 | |||||
| Уругвай (-6) | КОП в Монтевидео | 8-10-63-2 | 708-18-84 | 708 6597 | embaru@montevideo.com.uy |
| 708-55-45 | |||||
| 708-38-79 | |||||
| Филиппины (+5) | КОП в Маниле | 8-10-091-789-967-825 | 810-95-81 | 810-95-81 | consdasmader@i-manila.com.ph |
| (моб.) | 817-54-06 | ||||
| 8-10-63-917-544-51-43 | |||||
| (моб.) | |||||
| 8-10-49-30 | |||||
| 8-10-49-163-680-82-53 (моб.) | |||||
| ФРГ (-2) | КОП в Берлине | 8-10-49-228 | 229-12-07 | 226 51999 | 41186353 |
| 8-10-49-228-386-79-25 | 229-94-68 | 41302534 | |||
| (моб.) | 22-65-11-83 | infokonsulat@russisehe-botshaft.de | |||
| 226-512-07 | |||||
| ГК в Бонне | 8-10-49-40 | 386-79-30 (31, 23) | 31-21-64 | 41885615 | |
| 619-60-76 | 31-15-63 | info@rusconsulatbonn.de | |||
| 6196063 сек | |||||
| 931-90-68 | |||||
| 619-60-57 | |||||
| 386-79-42 | |||||
| ГК в Гамбурге | 8-10-49-341 | 229-53-01 | 229 77 27 | 41211927 UDSSR D | |
| 229-52-01 | general.konsulat-hamburg@debitel.net | ||||
| 229-87-42 | |||||
| 8-10-49-178-182-19-66 (моб.) | |||||
| ГК в Лейпциге | 8-10-49-89 | 585-18-76 | 564-95-89 | 41311266 | |
| 590-29-23 | rusgenkon_leipzig@t-online.de | ||||
| 585-29-23 | |||||
| 564-95-28 | |||||
| 561-13-36 | |||||
| 8-10-49-162-903-52-98 (моб.) | |||||
| ГК в Мюнхене | 8-10-358-9 | 59-57-15 | 550-38-28 | 41523039 | |
| 55-76-57 | ruskonsmchn@t-online.de | ||||
| 59-25-03 | |||||
| 59-25-28 | |||||
| Финляндия (-1) | КОП в Хельсинки | 8-10-358-2 | 662-14-49 | 622-18-12 | 57125577 |
| 622-18-12 | rusembassy@co.inet.fi | ||||
| 8-10-358-468-100-288 | |||||
| (моб.) | |||||
| 8-10-358-46-812-1-812 | |||||
| (моб.) | |||||
| ГК в Турку | 8-10-35-85 | 233-64-41 | 231-97-79 | 5762671 | |
| 8-10-358-500-821-799 | ruscosul.turku@co.inet.fi | ||||
| (моб.) | |||||
| Канцелярия Посольства в Лаппеенранте | 8-10-358-40-834-43-43 | 872-07-22 (3) | 872-07-77 | text.kansl@lappeenr.inet.fi | |
| ГК в Мариенхамне (Аландские о-ва) | 8-10-331 | ||||
| Франция (-2) | КОП в Париже | 8-10-33-491 | 45-04-05-01 | 45-04-44-09 | 42642830 |
| 45-03-02-18 | conru@wanadoo.fr | ||||
| 45-04-13-31 | |||||
| ГК в Марселе | 8-10-333 | 77-15-25 | 77 34 54 | 42440272 CNLURSS F | |
| 76-26-79 | consrusmarseille@wanadoo.fr | ||||
| 8-10-336-18-19-68-85 | |||||
| (моб.) | |||||
| ГК в Страсбурге | 8-10-236 | 88-36-73-15 | 88 35 34 81 | 891006 COGERUS | |
| 88-25-68-10 | gkrfsfbg@wanadoo.fr | ||||
| 88-36-97-85 | rcacons@yahoo.fr | ||||
| ЦАР (-2) | КОП в Банги | 8-10-235 | 61-03-11 | 61 56 45 | 9715272 |
| ruscons@intnet.cf | |||||
| Чад (-2) | КОП в Нджамене | 8-10-381-81 | 52-57-19 | 52 31 72 | 9765241 |
| rusam@intnet.td | |||||
| Черногория | КОП в Подгорице | 8-10-420 | 272-460 | 272-460 | gencons.ru@cg.yu |
| 272-450 | |||||
| Чехия (-2) | КОП в Праге | 8-10-42-05 | 233-74-093 | 333-77-235 | 663122254 |
| 233-79-473 | 333-71-492 | ||||
| 233-75-650 | |||||
| 728-96-80-75 | |||||
| 233-37-40-93 | |||||
| ГК в Брно | 8-10-420 | 432-11-617 | 432-44-429 | gkbrno@iol.cz | |
| 432-32-157 | |||||
| ГК в Карловых-Варах | 8-10-562 | 353-222-441 | 353-226-261 | gkkv@iol.cz | |
| 359-112-201 | |||||
| 17-322-13-25 | |||||
| 17-322-24-41 | |||||
| Чили (-7) | КОП в Сантьяго | 8-10-4131 | 263-52-96 | 206-13-86 | santiago@dks.ru |
| 208-85-32 | 208-85-32 | ||||
| 206-13-86 | 263-52-95 | ||||
| 208-78-40 | |||||
| Швейцария (-2) | КОП в Берне | 8-10-4122 | 352-04-25 | 352-64-60 | 45911297 |
| 352-77-76 | konsulat@datacomn.ch | ||||
| 352-05-67 (68) | |||||
| 79-301-83-70 (моб.) | |||||
| ГК в Женеве | 8-10-46-8 | 734-79-55 | 740-34-70 | 45412238 CH | |
| 734-90-83 | consulat.russie@bluewin.ru | ||||
| Швеция (-2) | КОП в Стокгольме | 8-10-46-31 | 619-04-70 | 656-44-85 | 5414830 |
| 619-04-05 | visa.consrust@telia.com | ||||
| 130-44-1/2/3 пос | consrust@algonet.se | ||||
| 656-67-92 служ | |||||
| ГК в Гетеборге | 8-10-94-11 | 40-80-84 | 40-89-00 | 5427637 SGK S | |
| 40-98-46 | visaconsrugt@telia.com | ||||
| consrugt@swipnet.se | |||||
| Шри-Ланка (+2,5) | КОП в Коломбо | 8-10-5932 | 257-35-55 | 257-49-57 | 80322751 |
| 257-49-59 | SUEMB | ||||
| 8-10-94-777-287-988 | rusemb@itmin.net | ||||
| (моб.) | |||||
| Эквадор (-8) | КОП в Кито | 8-10-29-11 | 250-50-89 | 250-50-89 | 308-22-170 SOVROS ED |
| 52-63-61 | 56-55-31 | ||||
| 52-63-75 | |||||
| Эритрея | КОП в Асмэре | 8-10-372 | 12-71-72 | 12-71-64 | rusemb@eol.com.er |
| 12-72-62 | embassy@rusemb.eol.co.er | ||||
| Эстония (-1) | КОП в Таллине | 8-10-372 | 646-42-56 | 646-41-30 | 537173511 |
| 646-41-31 | konsotd@hot.el | ||||
| 646-41-66 | |||||
| 8-10-372-646-41-31 | |||||
| (моб.) | |||||
| ГК в Нарве | 8-10-25-11 | 356-06-52 | 356-06-54 | narvacon@hot.el | |
| 356-00-80 | konsot@narvanet.ee | ||||
| 356-06-53 | |||||
| 359-13-67 | |||||
| Эфиопия | КОП в Аддис-Абебе | 8-10-27-12 | 61-20-54 | 61 37 95 | 98021534 |
| 61-18-28 | russemb@telecom.net.et | ||||
| ЮАР (-1) | КОП в Претории | 8-10-27-21 | 362-13-38 (37) | 343-86-36 | 95320088 |
| 362-68-72 | 124-328-42 | visaconsul@mweb.co.za | |||
| ГК в Кейптауне | 8-10-38-51 | 418-36-56 | 419-26-51 | 95521518 | |
| 374-05-18 | rusco@icon.co.za | ||||
| 418-36-57 | |||||
| Хорватия (-2) | КОП в Загребе | 8-10-876 | 375-50-38 | 375-50-40 | 6221343 |
| 375-59-04 | veleposlanstvo-ruske | ||||
| federacije@zg.htnet.hr | |||||
| Ямайка (-8) | КОП в Кингстоне | 8-10-81-3 | 924-10-48 | 925-82-90 | rusembja@colis.com |
| 969-85-46 | |||||
| 422-27-56 | |||||
| 8-108-190-323-905-41 | |||||
| (моб.) | |||||
| Япония (+6) | КОП в Токио | 8-10-81-090-323-905-41 | 3585-44-45 | 358-60-407 | 7224231 |
| (моб.) | 3586-04-08 | rosconsl@ma.kcom.ne.jp | |||
| 090-323-905-41 (моб.) | |||||
| ГК в Ниигате | 8-10-81-090-662-719-19 | 244-60-15 | 244-60-77 | niruscon@fsinet.or.jp | |
| (моб.) | 244-63-15 | ||||
| 8-10-81-66 | |||||
| ГК в Осаке | 8-10-090-697-390-33 | 848-34-51 | 848-34-53 | 7265908 | |
| (моб.) | 849-83-57 | SOVCON J | |||
| 8-10-81-906-973-90-33 | 848-34-52 | ruscons@mb.kcom.ne.jp | |||
| aat59340@par.odn.jp | |||||
| ГК в Саппоро | 8-10-81-090-311-647-88 | 561-31-71 | 561-88-97 | 720932305 | |
| (моб.) | 561-31-72 | SOVCONJ | |||
| 8-10-81-0138 | саа09680@рор01.odn.ne.jp | ||||
| ГК в Саппоро (отделение в Хакодатэ) | 090-015-22-91-84 (моб.) | 24-82-02 | hacon@ms7.ncv.ne.jp | ||
| 24-82-01 | |||||
ПРЕДСТАВИТЕЛЬСТВА МИД РОССИИ
(в ред. Приказа МИД РФ от 28.01.2010 N 1027)
| 1. Архангельск | 163000, ул. Карла Либкнехта, д. 2, каб. 229 |
| (Архангельская обл.) | Тел.: (8182) 21-11-13, 21-12-93, 20-10-22; |
| т/факс: 21-13-00, 21-11-13 | |
| E-mail: midarh@sanet.ru, midarh@atnet.ru | |
| 2. Астрахань | 414000, ул. Ленина, 20 |
| (Астраханская обл.) | Тел.: (8512) 39-05-00, 44-78-00; |
| факс: 44-78-01 | |
| E-mail: ast_mid@astrakhan.net (Visa) | |
| midtech@astrakhan.net | |
| 3. Барнаул | 656099, пр. Ленина, 41 |
| (Алтайский край, Р. Алтай, Томская обл.) | Тел.: (3852) 24-78-66, 24-18-02, 24-49-25; |
| факс: 24-79-18 | |
| + 3 часа (от московского времени) | E-mail: mid@itt.ru |
| Отделение представительства в Томске: | |
| пл. Ленина, 6 | |
| Тел.: (3822) 510-375 | |
| Отделение представительства в Горно-Алтайске: | |
| 649000, ул. Кирова, 16 | |
| Тел.: (388) 22-225-82 | |
| 4. Биробиджан | 279016, ул. Шолом-Алейхема, 16 |
| (Еврейская авт. обл.) | Тел.: (42622) 407-67, 602-29; |
| + 7 часов | тел/факс: 407-66 |
| E-mail: mid@on-line.jar.ru | |
| 5. Благовещенск | 675000, ул. Пионерская, 10 |
| (Амурская обл.) | Тел.: (4162) 53-50-70, 53-51-42, 53-54-52; |
| + 6 часов | факс: 53-52-91 |
| E-mail: mid@amur.ru | |
| 6. Владивосток | 690091, ул. Пушкинская, 25-А |
| (Приморский край) | Тел.: (4232) 22-17-29, 22-35-24, 22-42-47, |
| + 7 часов | 22-04-37; |
| факс: 22-81-58, E-mail: mfa@vlad.ru | |
| Отделение представительства в Находке: | |
| 692900, Находкинский пр., 24 | |
| Тел.: (42366) 469-80, 570-21, факс: 458-61 | |
| E-mail: mid@online.nakhodka.ru | |
| 7. Владикавказ | 362040, ул. Штыба, 2 |
| (Республика Северная | Тел./факс: (8672) 55-06-69, 55-07-40, |
| Осетия - Алания) | 55-07-42, 55-07-43,44-43-31; |
| факс: 55-07-45 | |
| E-mail: mid_alania@mail.ru | |
| 8. Воронеж | 394000, пр. Революции, 33, оф. 201 - 204, |
| (Воронежская обл., Белгородская обл., Липецкая обл., Тамбовская обл.) | Тел/факс: (473) 254-52-41, 253-04-46 |
| E-mail: midvoronezh@vmail.ru | |
| mid_voronezh@vmail.ru | |
| Отделение представительства в Белгороде: | |
| ул. Попова, 34, оф. 24. | |
| Т./факс: (472) 233-67-09 | |
| Отделение представительства в Липецке: | |
| пл. Плеханова, 1, каб. 517-б, | |
| тел. (474) 228-12-31 | |
| Отделение представительства в Тамбове: | |
| ул. Советская, 118, офис 371-372 | |
| Тел. (4752) 72-36-51, | |
| Kprokoshina@rcmc-tambov.ru | |
| 9. Екатеринбург | 620219, ГСП-540, ул. Д.Н. Мамина-Сибиряка, 111 |
| (Свердловская обл., Пермская обл., Тюменская обл., Ханты-Мансийский автон. окр.) | |
| Тел.: (343) 355-47-57, 355-40-87; | |
| тел/факс: 371-56-32, 371-54-84 | |
| + 2 часа | E-mail: ekat-mid@mail.ru |
| Отделение представительства в Тюмени: | |
| 625018, ул. Ленина, дом 69А | |
| Тел.: (3452) 46-36-71, 46-36-98; | |
| факс: 46-36-39 | |
| E-mail: mid@ttknet.ru | |
| 10. Ижевск | 426074, пл. 50 лет Октября, 15 |
| (Удмуртская Республика) | Тел.: (3412) 75-72-06, 75-24-39, 52-52-60; |
| + 1 час | тел/факс: 75-04-53 |
| E-mail: mid@udmnet.ru | |
| 11. Иркутск | 664025, ул. Чкалова, 38 |
| (Иркутская область) | Тел: (3952) 34-28-66, 25-60-34, 20-24-23, |
| + 5 час. | 24-17-75; |
| факс: 24-16-61 | |
| E-mail: mid_irkutsk@mail.ru | |
| 12. Йошкар-Ола | 424006, пр. Гагарина, 8 |
| (Республика Марий Эл) | Тел.: (8362) 45-39-77, 56-62-78; |
| факс: 45-39-78, 41-52-00 | |
| E-mail: newmid@mari-el.ru | |
| Сайт представительства: | |
| http://www.mari-el.mid.ru | |
| 13. Казань | 420014, Кремль, Спасская башня |
| (Республика Татарстан) | Тел.: (8432) 92-01-27, 92-01-41, 92-01-89; |
| факс: 92-01-57 | |
| E-mail: inv_kazan@c-tel.net | |
| 14. Калининград | 236000, ул. Кирова, 17 |
| (Калининградская обл.) | Тел.: (401) 221-37-12, 221-59-28, 221-16-68, |
| - 1 час | 221-22-03, 227-33-61, 227-93-03, 221-14-63, |
| 295-64-77, 295-62-66, 295-79-73, 295-82-02; | |
| факс: 221-06-26, 221-59-28 | |
| E-mail: postmaster@mid.koenig.ru | |
| 15. Краснодар | 350000, ул. Красная, 176 |
| (Краснодарский край) | Тел.: (861) 253-73-77; |
| тел/факс: 253-73-85; | |
| резервный факс: 259-04-54 | |
| E-mail: mid@mail.kubtelecom.ru | |
| 16. Красноярск | 660049, пр. Мира, 106 |
| (Красноярский край, Республика Тыва) | Тел.:(3912) 22-44-57, 22-44-85; |
| факс: 22-44-32 | |
| + 4 часа | E-mail: mid@morning.ru |
| Сайт: www.krsk.mid.ru | |
| Отделение представительства в Кызыле: | |
| 667000, г. Кызыл, ул. Чульдум, дом 40А | |
| Тел./факс: (3942) 21-37-00 | |
| 17. Майкоп | 385000, ул. Советская, 176 |
| (Республика Адыгея) | Тел.: (8772) 52-41-01, 52-38-28, 57-11-19, |
| 57-07-85, 57-00-09, 57-08-29; | |
| факс: 52-13-12, 57-03-72 | |
| E-mail: mid@maykop.ru | |
| 18. Махачкала | 367025, пр-т Шамиля, 44-а, |
| (Республика Дагестан) | Тел.: (8722) 64-64-21, 64-64-48, 64-64-51; |
| факс: 64-43-25 | |
| E-mail: konsul@xtreem.ru | |
| 19. Минеральные Воды | 357212, Ставропольский край, |
| (Ставропольский край) | г. Минеральные Воды, ул. Тбилисская, 57-а |
| Тел.: (87922) 6-27-02, 6-27-18; | |
| тел/факс: 5-40-21 | |
| E-mail: mid_kmw@mw.narzan.com | |
| Отделение представительства в Ставрополе: | |
| 355035, г. Ставрополь, ул. Лермонтова, 187 | |
| Тел/факс. (8652) 24-35-10 | |
| E-mail: otd_mid@statel.stavropol.ru | |
| 20. Мурманск | 183006, ул. Володарского, 6 |
| (Мурманская обл.) | Тел. (8152) 42-26-72; |
| факс: 42-34-71 | |
| E-mail: acopig@com.mels.ru | |
| 21. Нижний Новгород | 603082, Кремль, 1 |
| (Нижегородская обл., Кировская обл., Республика Мордовия, Чувашская Республика) | Тел.: (831) 439-13-45, 439-13-28, 439-12-28, |
| 439-12-09; | |
| факс: 439-13-52 | |
| E-mail: mid@mid.nnov.ru | |
| Отделение представительства в Саранске: | |
| ул. Коммунистическая, 33, кор. 3, каб. 108 | |
| Тел.(8342) 48-04-95; | |
| факс: 48-05-02 | |
| E-mail: mid@moris.ru | |
| Отделение представительства в Кирове: | |
| ул. К. Либкнехта, д. 69, здание 2 | |
| Тел. (8332) 38-18-21; | |
| факс: 62-86-74 | |
| E-mail: mid@otdelenye.kirov.ru | |
| Отделение представительства в Чебоксарах: | |
| ул. Ленинградская, 33, к. 22 | |
| Тел./факс: (8352) 62-72-93 | |
| E-mail: mid_cheb@cap.ru | |
| 22. Новосибирск | 630099, Новосибирск, ул. Державина, 7 |
| (Новосибирская обл., Эвенкийский автон. окр.) | Тел.: (3832) 17-22-25, 17-30-60, 21-84-19; |
| факс: 17-29-67 | |
| + 3 часа | E-mail: mid@cn.ru |
| 23. Омск (Омская обл.) | 644043, ул. Щербанева, 20, ком. 401 - 404, |
| + 3 часа | Тел. (3812) 24-72-37; |
| факс: 24-71-57 | |
| E-mail: mid@org.omskreg.ru | |
| 24. Оренбург | 460000, ул. 9 Января, 64 |
| (Оренбургская обл.) | Тел.: (3532) 77-11-48, 78-69-41, 78-69-42, |
| + 2 часа | 78-69-43 |
| тел./факс: 77-38-20 | |
| 25. Петрозаводск | 185028, ул. Андропова, 2/24 |
| (Республика Карелия) | Тел.: (8142) 785-555, 783-000, 765-701; |
| факс: 765-063 | |
| E-mail: mid@onego.ru | |
| 26. Петропавловск-Камчатский | 683000, ул. Советская, 35 |
| Тел./факс: (4152) 42-48-47 | |
| (Камчатская обл.) + 9 час. | E-mail: petkinv@mail.kamchatka.ru |
| 27. Псков | 180000, Октябрьский проспект, 23 "б" |
| (Псковская обл.) | Тел.: (8112) 66-14-37, 66-30-98, 66-36-28, |
| 66-23-30; | |
| факс: 66-14-37, 66-30-98 | |
| E-mail: pskovmid@ellink.ru | |
| 28. Ростов-на-Дону | 344022, ул. Пушкинская, 221 |
| (Ростовская обл.) | Тел.: (8632) 69-72-44, 69-72-55; |
| факс: 69-72-40 | |
| E-mail: midrostov@aaanet.ru | |
| midadmin@aaanet.ru | |
| 29. Самара | 443010, ул. Галактионовская, 132 |
| (Самарская, Пензенская, Ульяновская, Волгоградская обл., Саратовская обл.) | Тел.: (8462) 70-40-93, 70-45-21, 70-45-22; |
| факс: 70-40-94, 70-45-22 | |
| E-mail: mfasam@smrtlc.ru | |
| Отделение представительства в Ульяновске: | |
| 432063, ул. Радищева, д. 1 | |
| Тел. (842-2) 31-02-45 | |
| Отделение представительства в Пензе: | |
| 440025, ул. Московская, д. 75, офис 244 | |
| Тел.: (8412) 63-29-89 | |
| Отделение представительства в Волгограде: | |
| 400098, ул. Коммунистическая, 11, ком. 1309 | |
| Тел. (844-2) 33-23-42 | |
| Отделение представительства в Саратове: | |
| 410078, ул. Университетская, 28, | |
| Тел. (8452) 50-25-51 | |
| 30. Санкт-Петербург | 191187, наб. Кутузова, 34 |
| (г. Санкт-Петербург, Ленинградская и Новгородская обл.) | Тел.: (812) 272-00-76, 273-37-58; |
| факс: 272-60-22 | |
| E-mail: mid@predspfpb.spb.ru, | |
| pitermid@predspfpb.spb.ru | |
| angel@visa-document.spb.ru | |
| 31. Сочи | 354000, ул. Советская, 42/2 |
| (Краснодарский край) | Тел.: (8622) 64-91-55, 64-92-55; |
| факс: 64-83-55 | |
| E-mail: mid@sochi.ru | |
| 32. Сыктывкар | 167000, ул. Коммунистическая, 8 |
| (Республика Коми) | Тел.: (8212) 28-55-34, 28-55-33, |
| 28-55-35, 28-55-61, 28-55-44, 28-55-76 | |
| факс: 28-55-67 | |
| E-mail: midkomi@sltus.ru, conskomi@sltus.ru | |
| 33. Улан-Удэ | 670000, ул. Ленина, 54, Дом Правительства, к. 203 |
| (Республика Бурятия) | |
| + 5 часов | Тел.: (3012) 21-24-28, 21-25-51, 21-25-41; |
| факс: 21-80-79 | |
| E-mail: preduu@ns.buryatia.ru | |
| 34. Уфа | 450008, ул. Советская, 18, к. 413 |
| (Республика Башкортостан) | Тел.: (3472) 72-13-20, 72-49-74, 72-97-13, |
| + 2 часа | 73-53-50; |
| факс: 72-49-74 | |
| E-mail: ufa@dks.ru | |
| 35. Хабаровск | 680000, ул. Шевченко, 20 |
| (Хабаровский край) | Тел.: (4212) Тел/ф. 32-86-04, 30-55-73, |
| + 7 часов | 32-86-06, 32-86-02 |
| факс: 32-63-19 | |
| E-mail: olga@mid.kht.ru, virgo@mid.kht.ru. | |
| 36. Чита | 672002, ул. Амурская, 68 |
| (Читинская обл., Агинский Бурятский авт.округ) | Тел.: (3022) 35-59-09, 32-52-63, 26-12-83, |
| 35-34-91; | |
| + 6 часов | факс: 26-23-54 |
| E-mail: root@mfa-rf.chita.ru | |
| 37. Южно-Сахалинск | 693000, Коммунистический пр-т, 32, офис 430 |
| (Сахалинская обл.) | Тел./факс: (4242) 727-341, тел.: 727-497; |
| + 7 часов | факс: 727-116 |
| E-mail: sakhmid@snc.ru | |
| 38. Якутск | 677011, пр-т Ленина, 30 |
| (Республика Саха - Якутия) | Тел.: (4112) 34-28-55, 34-04-06; |
| + 6 часов | факс: 42-42-43 |
| E-mail: ndyakonov@inbox.ru |
БЛОК-СХЕМА ПОСЛЕДОВАТЕЛЬНОСТИ ДЕЙСТВИЙ (АДМИНИСТРАТИВНЫХ ПРОЦЕДУР) ПРИ ИСПОЛНЕНИИ ГОСУДАРСТВЕННОЙ ФУНКЦИИ
(в ред. Приказа МИД РФ от 28.01.2010 N 1027)
Условные обозначения
(в ред. Приказа МИД РФ от 03.06.2010 N 8281)