Приказ Минрегиона РФ от 31.07.2008 N 117

"Об утверждении методики расчета показателей и применения критериев эффективности региональных инвестиционных проектов"
Редакция от 31.07.2008 — Документ утратил силу, см. «Приказ Минрегиона РФ от 30.10.2009 N 493»

Зарегистрировано в Минюсте РФ 5 августа 2008 г. N 12067


МИНИСТЕРСТВО РЕГИОНАЛЬНОГО РАЗВИТИЯ РОССИЙСКОЙ ФЕДЕРАЦИИ

ПРИКАЗ
от 31 июля 2008 г. N 117

ОБ УТВЕРЖДЕНИИ МЕТОДИКИ РАСЧЕТА ПОКАЗАТЕЛЕЙ И ПРИМЕНЕНИЯ КРИТЕРИЕВ ЭФФЕКТИВНОСТИ РЕГИОНАЛЬНЫХ ИНВЕСТИЦИОННЫХ ПРОЕКТОВ

Во исполнение подпункта "б" пункта 2 Постановления Правительства Российской Федерации от 23 июня 2008 г. N 468 "О внесении изменений в Постановление Правительства Российской Федерации от 1 марта 2008 г. N 134" (Собрание законодательства Российской Федерации, 2008, N 26, ст. 3064) приказываю:

Утвердить прилагаемую Методику расчета показателей и применения критериев эффективности региональных инвестиционных проектов.

Министр
Д.Н.КОЗАК

УТВЕРЖДЕНА
Приказом Министерства
регионального развития
Российской Федерации
от 31 июля 2008 г. N 117

МЕТОДИКА
РАСЧЕТА ПОКАЗАТЕЛЕЙ И ПРИМЕНЕНИЯ КРИТЕРИЕВ ЭФФЕКТИВНОСТИ РЕГИОНАЛЬНЫХ ИНВЕСТИЦИОННЫХ ПРОЕКТОВ

I. Общие положения

1. Настоящая Методика предназначена для оценки эффективности региональных инвестиционных проектов, претендующих на получение бюджетных ассигнований Инвестиционного фонда Российской Федерации (далее - Фонд), в соответствии с критериями, установленными Правилами формирования и использования бюджетных ассигнований Инвестиционного фонда Российской Федерации, утвержденными Постановлением Правительства Российской Федерации от 1 марта 2008 года N 134 (Собрание законодательства Российской Федерации, 2008, N 26, ст. 3064) (далее - Правила).

2. Методика используется в целях подготовки решений о предоставлении бюджетных ассигнований Фонда для реализации инвестиционных проектов. Методика может быть использована при подготовке технико-экономических обоснований (бизнес-планов) указанных инвестиционных проектов, а также при проведении экспертизы инвестиционных проектов.

3. Настоящая Методика устанавливает общие требования к расчету количественных показателей эффективности.

II. Показатели эффективности региональных инвестиционных проектов

4. Показатели экономической эффективности региональных инвестиционных проектов определяются как часть суммарного за все годы реализации регионального инвестиционного проекта произведенного объема валового регионального продукта в субъекте Российской Федерации, который может быть обеспечен в результате реализации указанного инвестиционного проекта.

Предельное значение указанного показателя определяется в соответствии с пунктом 8.9 настоящей Методики.

5. Показатели финансовой эффективности региональных инвестиционных проектов определяются как чистая приведенная стоимость проектов и внутренняя норма доходности проектов.

Предельное значение указанного показателя определяется в соответствии с пунктом 8.7 настоящей Методики.

6. Показатели бюджетной эффективности региональных инвестиционных проектов определяются как отношение дисконтированных налоговых поступлений в бюджеты различных уровней бюджетной системы Российской Федерации, обусловленные реализацией данных проектов, к объему бюджетных ассигнований Фонда.

Предельное значение указанного показателя определяется в соответствии с пунктом 8.8 настоящей Методики.

7. Показателями социального эффекта, достигаемого в результате реализации регионального инвестиционного проекта, являются:

повышение уровня занятости населения в трудоспособном возрасте;

повышение уровня обеспеченности населения благоустроенным жильем;

улучшение состояния окружающей среды;

повышение доступности и качества услуг населению в сфере транспорта, здравоохранения, образования, физической культуры и спорта, культуры, жилищно-коммунального хозяйства.

III. Состав и порядок определения значений критериев эффективности региональных инвестиционных проектов, претендующих на получение бюджетных ассигнований Фонда

8. К критериям эффективности региональных инвестиционных проектов, претендующих на получение бюджетных ассигнований Фонда, относятся:

8.1. Соответствие регионального инвестиционного проекта стратегии социально-экономического развития субъекта Российской Федерации.

Оценка соответствия регионального инвестиционного проекта стратегии социально-экономического развития субъекта Российской Федерации осуществляется в части:

соответствия проекта приоритетным направлениям развития субъекта Российской Федерации, определенным в стратегии социально-экономического развития субъекта Российской Федерации;

соответствия целей и ожидаемых результатов реализации проекта количественным и качественным целевым индикаторам и планируемым результатам реализации стратегии социально-экономического развития субъекта Российской Федерации.

8.2. Наличие положительных социальных эффектов, связанных с реализацией регионального инвестиционного проекта.

Значения показателей, необходимых для оценки социальных эффектов, указанных в настоящем пункте, должны быть подтверждены соответствующими расчетами и обоснованиями и основываться на данных государственной статистической отчетности.

8.3. Невозможность реализации регионального инвестиционного проекта без государственной поддержки.

Невозможность реализации регионального инвестиционного проекта без государственной поддержки подтверждается одновременным выполнением следующих условий:

- необходимость создания и/или реконструкции в рамках реализации регионального инвестиционного проекта объектов, которые в соответствии с федеральными законами находятся в государственной собственности субъекта Российской Федерации или муниципальной собственности;

- отрицательное значение чистой приведенной стоимости регионального инвестиционного проекта, рассчитанной без учета использования государственной поддержки;

- невозможность привлечения заемных финансовых ресурсов ввиду длительного срока окупаемости регионального инвестиционного проекта.

8.4. Соответствие сметной стоимости региональных инвестиционных проектов минимальной стоимости регионального инвестиционного проекта.

Соответствие сметной стоимости региональных инвестиционных проектов минимальной стоимости регионального инвестиционного проекта (500 млн. рублей) определяется на основании данных технико-экономического обоснования регионального инвестиционного проекта, подтвержденных сводным заключением государственной экспертизы на проектную документацию по инвестиционному проекту.

8.5. Соответствие объема финансирования регионального инвестиционного проекта за счет средств бюджета субъекта Российской Федерации минимальному уровню такого финансирования проекта.

8.5.1. Значение минимального уровня финансирования проекта из средств бюджета субъекта Российской Федерации определяется по следующей формуле:

Yi = 0,20 + 0,60 x (БОi - БОмин) / (БОмакс - БОмин) ,

где

Yi - значение минимального уровня финансирования проекта из средств бюджета i-го субъекта Российской Федерации в общей сумме бюджетных ассигнований Фонда и средств бюджета i-го субъекта Российской Федерации, направляемых на финансирование проекта, в соответствующем финансовом году;

БОi - уровень расчетной бюджетной обеспеченности i-го субъекта Российской Федерации с учетом дотаций на выравнивание бюджетной обеспеченности субъектов Российской Федерации в соответствующем финансовом году, определенный в соответствии с Постановлением Правительства Российской Федерации от 22 ноября 2004 г. N 670 "О распределении дотаций на выравнивание бюджетной обеспеченности субъектов Российской Федерации" (Собрание законодательства Российской Федерации, 2004, N 48, ст. 4797; 2006, N 39, ст. 4088; 2007, N 46, ст. 5584).

БОмин - минимальный уровень расчетной бюджетной обеспеченности субъектов Российской Федерации с учетом дотаций на выравнивание бюджетной обеспеченности субъектов Российской Федерации в соответствующем финансовом году, определенный в соответствии с Постановлением Правительства Российской Федерации от 22 ноября 2004 г. N 670 "О распределении дотаций на выравнивание бюджетной обеспеченности субъектов Российской Федерации".

БОмакс - максимальный уровень расчетной бюджетной обеспеченности субъектов Российской Федерации с учетом дотаций на выравнивание бюджетной обеспеченности субъектов Российской Федерации в соответствующем финансовом году, определенный в соответствии с Постановлением Правительства Российской Федерации от 22 ноября 2004 г. N 670 "О распределении дотаций на выравнивание бюджетной обеспеченности субъектов Российской Федерации".

8.5.2. Значение минимального уровня финансирования проекта из средств бюджета субъекта Российской Федерации должно соблюдаться в отношении каждого регионального инвестиционного проекта в субъекте Российской Федерации.

В отношении инвестиционных проектов, имеющих межрегиональное значение, значение указанной минимальной доли должно соблюдаться в каждом из соответствующих субъектов Российской Федерации.

8.6. Соответствие региональных инвестиционных проектов критериям финансовой и бюджетной эффективности регионального инвестиционного проекта.

Основным условием обеспечения финансовой эффективности регионального инвестиционного проекта является окупаемость инвестиций в период реализации проекта с учетом стоимости капитала во времени. Влияние структуры капитала учитывается через стоимость капитала, задействованного в региональном инвестиционном проекте.

Все параметры, описывающие региональный инвестиционный проект, должны быть сведены в финансовую модель регионального инвестиционного проекта, включающую связанные прогнозные отчетные формы, - отчет о прибылях и убытках, балансовый отчет и отчет о движении денежных средств, выполненные на срок прямого прогнозирования денежных потоков. Указанные отчеты составляются на основании установленных форм бухгалтерской отчетности. Результатом построения финансовой модели регионального инвестиционного проекта должны являться временные ряды показателей, требующихся для оценки финансовой, бюджетной и экономической эффективности регионального инвестиционного проекта.

Все риски (в том числе сырьевые, ценовые, валютные, проектные) должны быть учтены в параметрах финансовой модели.

Расчет показателей финансовой и бюджетной эффективности регионального инвестиционного проекта осуществляется на основе цен и валютных курсов, сложившихся по состоянию на 1 января года, в котором подается заявка на предоставление государственной поддержки для реализации регионального инвестиционного проекта.

8.7. Критерии финансовой эффективности регионального инвестиционного проекта.

Оценка финансовой эффективности осуществляется на основе построения финансовой модели регионального инвестиционного проекта.

8.7.1. Критерий чистой приведенной стоимости (Net Present Value, NPV). Под чистой приведенной стоимостью регионального инвестиционного проекта понимаются приведенные к моменту времени 0 с использованием средневзвешенной стоимости капитала прогнозные размеры свободных денежных потоков регионального инвестиционного проекта в период (0, T) и стоимости прав собственности на бизнес на момент времени T. Применение критерия основано на расчете показателя NPV:

        FCF             V        
NPV = FCF   + T
SUM
t=1
  t     +     T     ,
0 t
П
i=1
(1 + WACC   ) T
П
t=1
(1 + WACC   )
        i   t  

где

FCF_t - свободный денежный поток в периоде t,

FCF_0 - свободный денежный поток на начало реализации регионального инвестиционного проекта;

WACC_t - средневзвешенная требуемая доходность капитала, инвестированного в региональный инвестиционный проект, на начало периода t, в годовом исчислении;

V_T - оценка стоимости активов, созданных в ходе осуществления регионального инвестиционного проекта на момент времени T;

T - момент времени, ограничивающий срок прямого прогнозирования свободных денежных потоков регионального инвестиционного проекта.

8.7.2. Применение критерия внутренней нормы доходности (Internal Rate of Return, IRR) основано на расчете показателя IRR (с учетом использования государственной поддержки), удовлетворяющего следующему уравнению:

      FCF         V      
NPV (IRR) = 0 <-> FCF   + T
SUM
t=1
t   +   T   = 0
0 (1 + IRR) t (1 + IRR) T
               

8.7.3. В каждом периоде FCF_t = OCF_t + ICF_t , где OCF_t - операционный денежный поток регионального инвестиционного проекта в периоде t, а ICF_t - инвестиционный денежный поток в периоде t. Таким образом, оценка эффективности регионального инвестиционного проекта предполагает для каждого периода t = 0,...,T оценку операционного и инвестиционного денежных потоков регионального инвестиционного проекта.

8.7.4. Средневзвешенная требуемая доходность капитала, инвестированного в региональный инвестиционный проект, на начало периода t, - WACC_t , - рассчитывается следующим образом:

            E               D      
WACC   = r t     t   + ·r t     t   ,
t e D   + E   d D   + E  
          t t       t t  

где

r(t)_e - средневзвешенная стоимость собственного капитала регионального инвестиционного проекта <*> на начало периода t;

<*> Собственный капитал регионального инвестиционного проекта включает в себя средства Фонда.

r(t)_d - средневзвешенная стоимость заемных источников капитала регионального инвестиционного проекта на начало периода t;

E_t - величина собственного капитала на начало периода t;

D_t - величина заемных источников капитала на начало периода t.

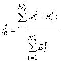
где

N(t)_e - число инвесторов - участников регионального инвестиционного проекта на начало периода t, t = 1 .. T;

E(t)_i - чистая (за вычетом изъятий) сумма инвестиций, осуществленных i-м инвестором-участником на начало периода t с начала реализации регионального инвестиционного проекта (сумма оплаченного уставного капитала, принадлежащего i-му инвестору-участнику на начало периода t);

e(t)_i - требуемая i-м инвестором-участником доходность инвестиций на начало периода t.

где

N(t)_d - число кредиторов регионального инвестиционного проекта на начало периода t, t = 1 .. T;

D(t)_i - чистая (за вычетом возврата) сумма кредитов, выданных i-м кредитором на начало периода t (сумма задолженности оператора регионального инвестиционного проекта перед i-м кредитором на начало периода t);

d(t)_i - требуемая i-м кредитором процентная ставка по выданным кредитам на начало периода t.

8.7.5. Срок прямого прогнозирования денежных потоков регионального инвестиционного проекта принимается равным длительности государственного долгосрочного прогнозирования (10 лет) (далее - Прогнозный период).

8.7.6. Оценка стоимости активов, созданных в ходе осуществления регионального инвестиционного проекта на момент времени T, выражается в оценке стоимости прав собственности на бизнес в момент T. Достоверность оценки будущей рыночной стоимости указанных прав на момент времени T подтверждается заключением инвестиционного консультанта.

8.7.7. Региональный инвестиционный проект признается соответствующим критерию финансовой эффективности в случае, если подтвержденное значение показателя чистой приведенной стоимости регионального инвестиционного проекта, рассчитанного с учетом использования государственной поддержки, положительно и внутренняя норма доходности, рассчитанная с учетом использования государственной поддержки, превышает средневзвешенную стоимость капитала регионального инвестиционного проекта за период (1..T).

    T
SUM
t=1
WACC   x (E   + D   )
WACC   = t t t
T   T
SUM
t=1
(E   + D   )    
        t t  

8.7.8. Наряду с показателями чистой приведенной стоимости регионального инвестиционного проекта и внутренней нормы доходности также рассчитываются:

~
8.7.8.1. Период окупаемости регионального инвестиционного проекта T.

Расчет данного показателя осуществляется из условия:

        ~   FCF        
NPV( ~
T
) = 0 <-> FCF   + T
SUM
t=1
t     = 0
0 t
П
i=1
(1 + WACC   )
            i  

~  
При этом предполагается, что все инвестиции к моменту T. фактически осуществлены.

8.7.8.2. Удельная финансовая эффективность регионального инвестиционного проекта RFA.

RFA = NPV ,
    Inню    
  T
SUM
t=1
  t    
  t
П
i=1
(1 + пи   )  
    i  
             

где

пи_i - среднегодовой темп инфляции в i-м периоде, определяемый в соответствии с прогнозом социально-экономического развития Российской Федерации на Прогнозный период (далее - Прогноз);

Inню_t - суммарный объем инвестиций, осуществленных всеми участниками регионального инвестиционного проекта (инвесторами, кредиторами и государством) в региональный инвестиционный проект в периоде t.

Предельные значения по периоду окупаемости регионального инвестиционного проекта и его удельной финансовой эффективности не устанавливаются, и данные показатели носят справочный характер.

8.8. Критерий бюджетной эффективности регионального инвестиционного проекта.

Бюджетная эффективность регионального инвестиционного проекта оценивается через сопоставление объема инвестиций из средств Фонда в региональный инвестиционный проект и всей совокупности дисконтированных налоговых поступлений в бюджеты различных уровней бюджетной системы Российской Федерации, обусловленных реализацией проекта.

8.8.1. В качестве первого показателя бюджетной эффективности используется индекс бюджетной эффективности PI_B:

    T
SUM
t=1
BCF    
PI   = t , где
B Inню IF
           

Inню(IF) - объем государственной поддержки за счет средств Фонда.

Региональный инвестиционный проект признается соответствующим критерию бюджетной эффективности в случае, если подтвержденное значение индекса бюджетной эффективности PI_B превышает 1.

8.8.2. Дисконтированный бюджетный денежный поток BCF_t, генерируемый региональным проектом в период t, определяется по следующей формуле:

    TCF direct + TCF indirect + NTR    
BCF   = t t     t ,
t                    
      (1 + r ) t      
               

где

TCF(direct)_t - прямой налоговый денежный поток периода t - обусловленные реализацией регионального инвестиционного проекта налоговые поступления в бюджет субъекта Российской Федерации и местные бюджеты в течение периода t напрямую от бизнеса регионального инвестиционного проекта. Оценка данного показателя производится на основе данных производственной программы регионального инвестиционного проекта, прогнозной структуры активов бизнеса проекта инвестиционного и действующего налогового законодательства, а также действующих на момент расчета нормативов отчислений налоговых доходов в бюджеты субъектов Российской Федерации и местные бюджеты;

TCF(indirect)_t - косвенный налоговый денежный поток периода t - обусловленные реализацией регионального инвестиционного проекта налоговые поступления в бюджет субъекта Российской Федерации и местные бюджеты в течение периода t от экономических агентов, не являющихся инвесторами или участниками регионального инвестиционного проекта. Оценка данного показателя производится с использованием данных об объемах макроэкономических эффектов, полученных при расчете экономической эффективности регионального инвестиционного проекта и действующего налогового законодательства, а также действующих на момент расчета нормативов отчислений налоговых доходов в бюджеты субъектов Российской Федерации и местные бюджеты;

NTR_t - доходы от использования имущества субъекта Российской Федерации или муниципального имущества, создаваемого в ходе реализации регионального инвестиционного проекта. Данный показатель рассчитывается как:

- сумма доходов бюджета субъекта Российской Федерации и местных бюджетов от эксплуатации создаваемых в рамках регионального инвестиционного проекта объектов инфраструктуры в периоде t.

_  
r - требуемая доходность на вложение капитала из средств Фонда.
_  
Значение показателя r ежегодно рассчитывается Минфином России по согласованию с Минрегионом России.

8.9. Критерий экономической эффективности регионального инвестиционного проекта

8.9.1. Экономическая эффективность регионального инвестиционного проекта оценивается по его способности влиять на формирование валового регионального продукта субъекта Российской Федерации и обеспечивать динамику экономического роста.

8.9.2. Оценка экономической эффективности регионального инвестиционного проекта основывается на определении добавленной стоимости, генерируемой региональным инвестиционным проектом.

8.9.3. Длительность временного периода, на котором осуществляется оценка добавленной стоимости, соответствует длительности Прогнозного периода.

8.9.4. Годовой индекс экономической эффективности регионального инвестиционного проекта Эгt характеризует влияние регионального инвестиционного проекта на рост валового регионального продукта и оценивается по соотношению совокупного макроэкономического эффекта в ценах предыдущего года к объему валового регионального продукта предыдущего года, рассчитанного в условиях отказа от реализации инвестиционного проекта:

             
Э t = VA t / ВРП /\ t-1 ,
г c  
               

где

ВРП(/\ t-1) - объем валового регионального продукта предыдущего года в текущих ценах в условиях отказа от реализации инвестиционного проекта.

ВРП /\ t = ВРП t - VA t ,
     

где

ВРП(t) - прогнозируемый объем валового регионального продукта периода t в текущих ценах (на основе данных Прогноза);

VA(t)_c - добавленная стоимость, генерируемая региональным инвестиционным проектом, оцененная в сопоставимых ценах предыдущего года.

8.9.5. В качестве основного показателя экономической эффективности инвестиционного проекта используется интегральный индикатор экономической эффективности инвестиционного проекта Э_T, характеризующий часть суммарного за все годы расчетного периода прогнозируемого реального объема валового регионального продукта, которая может быть обеспечена реализацией инвестиционного проекта. Интегральный индикатор экономической эффективности инвестиционного проекта рассчитывается как соотношение суммы годовых реальных объемов добавленной стоимости, генерируемой региональным инвестиционным проектом и суммы годовых объемов валового регионального продукта, приведенных к сопоставимому виду с использованием индексов реальной динамики, оцениваемых в макроэкономическом прогнозе:

Э   = 100 x (Э 1 + T
SUM
j=2
Э j j-1
П
t=1
I /\ t ) / T
SUM
j=1
j
П
t=1
I t ,
T г г    

где

t и j - индексы рассматриваемых лет Прогнозного периода;

I(t) - индекс экономического роста в периоде t по данным Прогноза;

I(/\ t) - индекс экономического роста в периоде t при условии отказа от реализации инвестиционного проекта,

I /\ t = ВРП /\ t / ВРП /\ t-1 ,
  c  

где

ВРП(/\ t)_c - оценка ВРП(/\ t) в сопоставимых ценах предыдущего года,

ВРП /\ t = ВРП t - VA t = ВРП t-1 x I t - VA t
c c c     c

Инвестиционный проект признается соответствующим критерию экономической эффективности в случае, если подтвержденное значение интегрального индикатора экономической эффективности Э_T превышает 0,012%.

9. Финансовая модель, описывающая региональный инвестиционный проект, и временные ряды используемых в ней данных должны обеспечивать потребности модели при оценке финансовой, бюджетной и экономической эффективности регионального инвестиционного проекта на срок, соответствующий длительности Прогноза, и содержать основные характеристики инвестиционной и производственной программы регионального инвестиционного проекта (в том числе объемы производства в натуральном и стоимостном выражении, объемы и цены реализации на внутреннем и внешнем рынке, объемы инвестиций в основной капитал, объемы привлеченных кредитов и график их погашения, объемы закупок импортной продукции в рамках реализации инвестиционной и производственной программы).

10. При оценке всех видов эффективности регионального инвестиционного проекта должны использоваться данные основного (умеренно-оптимистического) сценария Прогноза, опубликованного в установленном порядке на момент осуществления оценки эффективности регионального инвестиционного проекта.

11. Все экзогенно задаваемые прогнозные данные, необходимые для оценки эффективности регионального инвестиционного проекта (в том числе Прогноз), публикуются на официальных сайтах Министерства регионального развития Российской Федерации и Министерства экономического развития Российской Федерации в сети Интернет.

IV. Порядок определения предельного размера бюджетных ассигнований Фонда, который может быть предоставлен в течение одного финансового года для реализации региональных инвестиционных проектов в отношении субъекта Российской Федерации

12. Размер бюджетных ассигнований Фонда, которые могут быть направлены на софинансирование региональных инвестиционных проектов в отношении субъекта Российской Федерации (далее - Квота), определяется с учетом численности постоянного населения субъектов Российской Федерации, бюджетной обеспеченности субъекта Российской Федерации и дифференциации субъектов Российской Федерации по стоимости потребительской корзины.

12.1. Размер Квоты для субъекта Российской Федерации на соответствующий финансовый год определяется по следующей формуле:

Кi = Ор x (НСi x ИБРi / БОi) / SUM(НСi x НБРi / БОi) ,

где

Кi - размер квоты для i-го субъекта Российской Федерации на соответствующий финансовый год;

НСi - коэффициент отклонения численности населения i-субъекта Российской Федерации от среднего по субъектам Российской Федерации показателя численности населения (при этом коэффициент отклонения численности населения нормируется в диапазоне от 0,9 до 1,1);

ИБРi - индекс бюджетных расходов i-субъекта Российской Федерации на соответствующий финансовый год, определенный в соответствии с Постановлением Правительства Российской Федерации от 22 ноября 2004 г. N 670 "О распределении дотаций на выравнивание бюджетной обеспеченности субъектов Российской Федерации" (при этом индекс бюджетных расходов нормируется в диапазоне от 0,9 до 1,1);

БОi - уровень расчетной бюджетной обеспеченности i-го субъекта Российской Федерации с учетом дотаций на выравнивание бюджетной обеспеченности субъектов Российской Федерации в соответствующем финансовом году, определенный в соответствии с Постановлением Правительства Российской Федерации от 22 ноября 2004 г. N 670 "О распределении дотаций на выравнивание бюджетной обеспеченности субъектов Российской Федерации" (при этом уровень расчетной бюджетной обеспеченности нормируется в диапазоне от 0,9 до 1,1);

12.2. Коэффициент отклонения численности населения i-субъекта Российской Федерации от среднего по субъектам Российской Федерации показателя численности населения определяется по следующей формуле:

НСi = Нi / SUM Нi / С ,

где

Нi - численность постоянного населения i-го субъекта Российской Федерации на конец отчетного финансового года;

С - количество субъектов Российской Федерации, имеющих право на получение средств Фонда;

12.3. Размер Квоты может быть изменен для субъектов Российской Федерации в отношении инвестиционных проектов, имеющих межрегиональное значение, в пределах соответствующих размеров Квот для каждого из субъектов Российской Федерации, на территории которого реализуется инвестиционный проект, имеющий межрегиональное значение.

Указанное перераспределение осуществляется при соблюдении следующего условия по субъектам Российской Федерации, на территории которых реализуется инвестиционный проект, имеющий межрегиональное значение:

SUM(Каi + Кmi) = SUM(Кбi - Кmi) ,

где

Каi - размер Квоты для субъектов Российской Федерации на соответствующий финансовый год, на территории которых реализуется инвестиционный проект, имеющий межрегиональное значение, для которых размер Квоты увеличивается;

Кmi - размер увеличения (сокращения) Квоты;

Кбi - размер Квоты для субъектов Российской Федерации на соответствующий финансовый год, на территории которых реализуется инвестиционный проект, имеющий межрегиональное значение, для которых размер Квоты сокращается.