Приказ ФСТ РФ от 22.12.2009 N 469-Э/8

"О внесении изменений и дополнений в Методические указания по расчету регулируемых тарифов и цен на электрическую (тепловую) энергию на розничном (потребительском) рынке, утвержденные Приказом Федеральной службы по тарифам от 6 августа 2004 г. N 20-Э/2"
Редакция от 22.12.2009 — Документ утратил силу, см. «Приказ ФАС РФ от 14.09.2020 N 836/20»

Зарегистрировано в Минюсте РФ 29 января 2010 г. N 16132


ФЕДЕРАЛЬНАЯ СЛУЖБА ПО ТАРИФАМ

ПРИКАЗ
от 22 декабря 2009 г. N 469-э/8

О ВНЕСЕНИИ ИЗМЕНЕНИЙ И ДОПОЛНЕНИЙ В МЕТОДИЧЕСКИЕ УКАЗАНИЯ ПО РАСЧЕТУ РЕГУЛИРУЕМЫХ ТАРИФОВ И ЦЕН НА ЭЛЕКТРИЧЕСКУЮ (ТЕПЛОВУЮ) ЭНЕРГИЮ НА РОЗНИЧНОМ (ПОТРЕБИТЕЛЬСКОМ) РЫНКЕ, УТВЕРЖДЕННЫЕ ПРИКАЗОМ ФЕДЕРАЛЬНОЙ СЛУЖБЫ ПО ТАРИФАМ ОТ 6 АВГУСТА 2004 Г. N 20-Э/2

В соответствии с Положением о Федеральной службе по тарифам, утвержденным Постановлением Правительства Российской Федерации от 30 июня 2004 г. N 332 (Собрание законодательства Российской Федерации, 2004, N 29, ст. 3049; 2006, N 3, ст. 301; N 23, ст. 2522; N 48, ст. 5032; N 50, ст. 5354; 2007, N 16, ст. 1912; N 25, ст. 3039; N 32, ст. 4145; 2008, N 7, ст. 597; 2008, N 17, ст. 1897; N 23, ст. 2719; N 38, ст. 4309; N 46, ст. 5337; 2009, N 1, ст. 142; N 3, ст. 378; N 6, ст. 738; N 9, ст. 1119, N 18 (часть II), ст. 2249), пунктом 3 Постановления Правительства Российской Федерации от 14 февраля 2009 г. N 121 "О внесении изменений в Постановление Правительства Российской Федерации от 26 февраля 2004 г. N 109" (Собрание законодательства Российской Федерации, 2009, N 8, ст. 982) приказываю:

1. Внести в Методические указания по расчету регулируемых тарифов и цен на электрическую (тепловую) энергию на розничном (потребительском) рынке, утвержденные Приказом Федеральной службы по тарифам от 6 августа 2004 года N 20-э/2 (зарегистрировано Минюстом России 20 октября 2004 года, регистрационный N 6076), с изменениями и дополнениями, внесенными Приказами ФСТ России от 23 ноября 2004 г. N 193-э/11 (зарегистрировано Минюстом России 16 декабря 2004 г., регистрационный N 6191), от 14 декабря 2004 г. N 289-э/15 (зарегистрировано Минюстом России 21 декабря 2004 г., регистрационный N 6213), от 28 ноября 2006 г. N 318-э/15 (зарегистрировано Минюстом России 8 декабря 2006 г., регистрационный N 8574), от 30 января 2007 г. N 14-э/14 (зарегистрировано Минюстом России 6 марта 2007 г., регистрационный N 9041), от 31 июля 2007 г. N 138-э/6 (зарегистрировано Минюстом России 20 августа 2007 г., регистрационный N 10030), от 23 ноября 2007 г. N 385-э/1 (зарегистрировано Минюстом России 29 ноября 2007 г., регистрационный N 10578), от 21 октября 2008 г. N 209-э/1 (зарегистрировано Минюстом России 6 ноября 2008 г., регистрационный N 12580), изменения и дополнения согласно приложению к настоящему Приказу.

2. Настоящий Приказ вступает в силу в установленном порядке.

Руководитель
Федеральной службы по тарифам
С.НОВИКОВ

Приложение
к Приказу
Федеральной службы по тарифам
от 22 декабря 2009 г. N 469-э/8

ИЗМЕНЕНИЯ И ДОПОЛНЕНИЯ В МЕТОДИЧЕСКИЕ УКАЗАНИЯ ПО РАСЧЕТУ РЕГУЛИРУЕМЫХ ТАРИФОВ И ЦЕН НА ЭЛЕКТРИЧЕСКУЮ (ТЕПЛОВУЮ) ЭНЕРГИЮ НА РОЗНИЧНОМ (ПОТРЕБИТЕЛЬСКОМ) РЫНКЕ, УТВЕРЖДЕННЫЕ ПРИКАЗОМ ФЕДЕРАЛЬНОЙ СЛУЖБЫ ПО ТАРИФАМ ОТ 6 АВГУСТА 2004 ГОДА N 20-Э/2

1. Пункт 8 дополнить абзацем следующего содержания:

"Установление и изменение (пересмотр) тепловых нагрузок потребителей тепловой энергии осуществляется в порядке, предусмотренном пунктом 61.2 Основ ценообразования.".

2. В пункте 28 абзац девятый исключить.

3. В пункте 33:

а) в абзаце первом после слов "экономически обоснованный" дополнить словами "средневзвешенный одноставочный";

б) в абзаце четвертом после слова "энергии" дополнить словом "(мощности)".

4. В пункте 37:

а) в абзаце первом слова "и (или)" заменить словом "или";

б) абзац третий дополнить следующим содержанием: "При установлении одноставочного тарифа (цены) на тепловую энергию в решении об установлении тарифа на тепловую энергию указывается топливная составляющая тарифа, определяемая по формулам (8) и (9) настоящих Методических указаний.".

5. Пункт 38.1 изложить в следующей редакции:

"Ставка платы за тепловую энергию:

- по k-й ступени параметров пара s-того источника пара

Т ТЭ = b   x Ц   x 10 -3 (руб./Гкал)   (8)
s, k s, k s  

- по I-му источнику горячей воды

Т ТЭ = b   x Ц   x 10 -3 (руб./Гкал)   (9)
i i i  

где:

b_s, k , b_i - удельные расходы условного топлива на тепловую энергию, отпускаемую соответственно в паре k-й ступени параметров s-м источником и в горячей воде i-м источником, кг у.т./Гкал;

Ц_s , Ц_i - цена условного топлива, используемого соответственно s-м и i-м источниками тепла, руб./т у.т.".

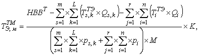
6. Пункт 38.2 изложить в следующей редакции:

"Ставка платы за тепловую мощность рассчитывается на едином уровне для всех генерирующих источников тепла (в паре и горячей воде) ПЭ (ЭСО) по формуле:

тыс. руб. в месяц (Гкал/ч) (10)

где:

НВВ(Т) - необходимая валовая выручка ПЭ (ЭСО) по отпуску тепловой энергии в паре и горячей воде, тыс. руб.;

Q_s, k , Q_i - количество тепловой энергии, отпускаемой соответственно s-м источником в паре k-й ступени параметров и i-м источником в горячей воде, тыс. Гкал;

p_s, k , p_i - соответственно установленные тепловые мощности s-го источника в теплоносителе "пар" k-й ступени параметров и i-го источника в теплоносителе "горячая вода", Гкал/ч;

L, m - количество соответственно ступеней параметров пара на s-м источнике и источников пара у ПЭ (ЭСО);

n, r - количество соответственно источников горячей воды в СЦТ и СЦТ у ПЭ (ЭСО).

K - соотношение суммарной установленной тепловой мощности генерирующих источников ПЭ (ЭСО) и суммарной тепловой нагрузки по совокупности договоров теплоснабжения потребителей тепловой энергии в паре и горячей воде, заключенных ПЭ (ЭСО) на регулируемый период, рассчитываемое по формуле:

(10.1)

где:

P - суммарная тепловая нагрузка по совокупности договоров

теплоснабжения потребителей тепловой энергии в паре и горячей

воде, заключенных с ПЭ (ЭСО) на регулируемый период, тыс.

Гкал/час.

В решении об установлении тарифов на тепловую энергию (мощность), поставляемую ПЭ (ЭСО) на розничный рынок, указывается величина коэффициента К, которая была принята при расчете тарифов.".

7. Пункт 39 исключить.

8. В пункте 59:

а) в формуле (16) показатель "Pi" заменить на "P";

б) абзац шестой изложить в следующей редакции:

"Р - суммарная тепловая нагрузка по совокупности договоров теплоснабжения потребителей тепловой энергии в паре или горячей воде, заключенных с энергоснабжающей организацией на регулируемый период, тыс. Гкал/час;";

в) дополнить абзацами 7 - 10 следующего содержания:

"В случае если в рамках одной СЦТ для ПЭ (ЭСО) устанавливаются одноставочные тарифы на тепловую энергию (мощность), то размер платы за услуги по передаче тепловой энергии по решению регулирующего органа на основании предложения регулируемой организации рассчитывается в виде тарифа на передачу по тепловым сетям единицы тепловой энергии по следующей формуле:

Т(1)_передi = НВВ(т)_сети ,   (16.1)
Q_отп сети

где:

Т(1)_передi - плата за услуги по передаче тепловой энергии, руб./Гкал;

Q_отп сети - плановый объем тепловой энергии, отпускаемой из сети в паре или горячей воде, тыс. Гкал.".

9. Пункт 61.3 дополнить абзацами 2 - 5 следующего содержания:

"В случае приобретения тепловой энергии (мощности) с целью компенсации потерь по двухставочным тарифам, расходы на компенсацию потерь, учитываемые в тарифе на услуги по передаче тепловой энергии по тепловым сетям, определяются с учетом стоимости использования мощности, величина которой определяется одним из следующих способов:

- в виде величины нормативного технологического расхода (потерь) тепловой энергии, деленной на число часов в периоде регулирования;

- равной договорной величине тепловой нагрузки, соответствующей договорному объему тепловой энергии, приобретаемой с целью компенсации потерь.

Выбор способа определения величины используемой мощности, соответствующей нормативному технологическому расходу (потерям) тепловой энергии, осуществляется регулирующим органом на основании предложения организации, осуществляющей регулируемую деятельность по передаче тепловой энергии по тепловым сетям".

10. В пункте 62:

а) в абзаце первом слова "тепловую энергию" заменить словами "услуги по передаче тепловой энергии";

б) абзац второй после слова "энергии" дополнить словом "(мощности)";

в) дополнить абзацем вторым следующего содержания:

"- расчет полезного отпуска тепловой энергии (Таблица П1.7);";

г) абзацы 2 - 11 считать абзацами 3 - 12 соответственно.

11. Пункт 72 изложить в следующей редакции:

"При установлении тарифов на тепловую энергию (мощность), поставляемую потребителям тепловой энергии (мощности), учитываются расходы ЭСО на производство (приобретение) и передачу тепловой энергии (мощности), а также расходы на сбыт тепловой энергии (мощности) потребителям.".

12. Дополнить пунктом 72.1 следующего содержания:

"Расчет одноставочных тарифов на тепловую энергию (мощность), поставляемую ЭСО потребителям тепловой энергии (мощности), осуществляется по каждому виду теплоносителя путем деления на суммарный плановый полезный отпуск тепловой энергии по совокупности договоров теплоснабжения соответствующих потребителей, получающих тепловую энергию в соответствующем виде теплоносителя, суммы следующих величин:

- совокупной стоимости производства (приобретения) тепловой энергии (мощности) у каждого ПЭ (ЭСО) в соответствующим виде теплоносителя;

- совокупной стоимости оплачиваемых услуг по передаче тепловой энергии по соответствующим водяным или паровым сетям;

- совокупной стоимости расходов по сбыту тепловой энергии (мощности).".

13. Дополнить пунктом 72.2 следующего содержания:

"При расчете двухставочных тарифов на тепловую энергию (мощность), поставляемую потребителям тепловой энергии (мощности):

- ставка платы за потребляемую тепловую энергию по каждому виду теплоносителя рассчитывается как отношение совокупной стоимости приобретаемой (производимой) у каждого ПЭ (ЭСО) тепловой энергии по ставке платы за тепловую энергию двухставочного тарифа, определяемой в соответствии с разделом VII настоящих Методических указаний, к суммарному плановому полезному отпуску тепловой энергии по совокупности договоров теплоснабжения соответствующих потребителей, получающих тепловую энергию в соответствующим виде теплоносителя;

- ставка платы за использование тепловой мощности по каждому виду теплоносителя определяется в одинаковом размере за каждый месяц периода регулирования как деленное на 12 отношение к суммарной тепловой нагрузке по совокупности договоров теплоснабжения соответствующих потребителей, получающих тепловую энергию в соответствующем виде теплоносителя, суммы следующих величин:

- совокупной стоимости использования тепловой мощности каждого ПЭ (ЭСО) в соответствующих видах теплоносителя, у которых приобретается (производится) тепловая энергия (мощность), по ставке платы за тепловую мощность двухставочного тарифа, рассчитываемой в соответствии с разделом VII настоящих Методических указаний;

- совокупной стоимости услуг по передаче тепловой энергии (мощности), приобретаемых (оказываемых) по тарифам на услуги по передаче тепловой энергии по соответствующим водяным или паровым сетям, рассчитываемым в соответствии с разделом IX настоящих Методических указаний;

- совокупной стоимости расходов по сбыту тепловой энергии (мощности).

Для потребителей тепловой энергии (мощности), рассчитывающихся по двухставочному тарифу, оплата стоимости тепловой энергии осуществляется ежемесячно исходя из величины фактически принятого потребителем количества тепловой энергии, умноженного на ставку платы за тепловую энергию, а оплата стоимости использования тепловой мощности объектов систем теплоснабжения осуществляется ежемесячно исходя из величины тепловой нагрузки потребителя, умноженной на ставку платы за тепловую мощность.".

14. Дополнить пунктом 72.3 следующего содержания:

"В случае если одной ЭСО в целях поставки потребителям тепловой энергии (мощности) осуществляется приобретение тепловой энергии у ПЭ (ЭСО) по одноставочному тарифу, то расчет двухставочного тарифа на тепловую энергию (мощность), поставляемую потребителям тепловой энергии (мощности), осуществляется следующим образом:

- ставка платы за потребляемую тепловую энергию определяется, исходя из стоимости приобретения тепловой энергии, определяемой с использованием топливных составляющих тарифов ПЭ (ЭСО), рассчитанных в соответствии с разделом VII настоящих Методических указаний, и плановых объемов приобретения тепловой энергии у каждого ПЭ (ЭСО);

- ставка платы за использование тепловой мощности определяется как деленное на 12 отношение суммы следующих величин к суммарной тепловой нагрузке по совокупности договоров теплоснабжения соответствующих потребителей:

- величины, полученной путем вычитания из совокупной стоимости приобретения тепловой энергии (мощности) у ПЭ (ЭСО) стоимости тепловой энергии, рассчитанной, исходя из топливной составляющей, принятой при расчете ставки платы за потребляемую тепловую энергию;

- совокупной стоимости услуг по передаче тепловой энергии;

- совокупной стоимости расходов по сбыту тепловой энергии (мощности).".

15. Дополнить пунктом 72.4 следующего содержания:

"При комплексном теплоснабжении, когда выработка тепловой энергии (мощности) и ее передача, распределение и реализация производится одним юридическим лицом при условии ведения раздельного учета расходов по регулируемым видам деятельности:

- при расчете одноставочных тарифов на тепловую энергию (мощность), поставляемую потребителям тепловой энергии (мощности), учитываются совокупные расходы ЭСО;

- при расчете двухставочных тарифов на тепловую энергию (мощность), поставляемую потребителям тепловой энергии (мощности), стоимость производства тепловой энергии, стоимость использования тепловой мощности и стоимость услуг по передаче и сбыту тепловой энергии определяется на основании расчетных тарифов, рассчитываемых в соответствии с разделами VII и IX настоящих Методических указаний.".

16. Дополнить пунктом 72.5 следующего содержания:

"При приобретении (производстве) ЭСО тепловой энергии (мощности), производимой на нескольких источниках тепла, приоритет в структуре приобретения (производства) тепловой энергии (мощности) должен отдаваться источникам с наименьшей топливной составляющей тарифа в случае установления одноставочного тарифа продажи или наименьшей ставкой платы за тепловую энергию в случае установления двухставочного тарифа продажи тепловой энергии (мощности), при условии соблюдения установленных в сводном прогнозном балансе объемов производства тепловой энергии на теплоэлектростанциях, осуществляющих производство тепловой и электрической энергии, а также при наличии необходимой теплосетевой инфраструктуры и мощности тепловых сетей с учетом стоимости их содержания и эксплуатации".

17. В Таблице N П1.8 названия таблиц после слова "энергии" дополнить словом "мощности".

18. В Таблице N П1.8 названия столбцов 3 и 5 изложить в следующей редакции:

"Суммарная тепловая нагрузка по совокупности договоров теплоснабжения, Гкал/час".

19. В Таблице N П1.24.1:

а) название строки 5 изложить в следующей редакции:

"Суммарная тепловая нагрузка по совокупности договоров теплоснабжения";

б) название строки 6 изложить в следующей редакции:

"Плата за услуги по передаче тепловой энергии согласно формуле (16) п. 59";

в) дополнить строкой 6.1 со следующим названием:

"Плата за услуги по передаче тепловой энергии согласно формуле (16.1) п. 59", с единицей измерения "руб./Гкал.".

20. В Таблице N П1.28.1:

а) название строки 1 изложить в следующей редакции:

"Общая составляющая постоянных расходов и прибыли энергоснабжающей организации, в том числе связанная с:";

б) дополнить строкой 1.1 со следующим названием:

"Производством (приобретением) мощности", с единицей измерения "тыс. руб.";

в) дополнить строкой 1.2 со следующим названием:

"Передачей тепловой энергии", с единицей измерения "тыс. руб.";

г) дополнить строкой 1.3 со следующим названием:

"Сбытом тепловой энергии (мощности)", с единицей измерения "тыс. руб.".

21. Таблицу N П1.28.3 из приложения N 1 к Методическим указаниям исключить.