Приказ Минфина РФ от 07.07.2010 N 68Н

"Об утверждении Административного регламента Федерального казначейства по исполнению государственной функции по ведению реестра государственных контрактов, заключенных от имени Российской Федерации по итогам размещения заказов"
Редакция от 07.07.2010 — Документ утратил силу, см. «Приказ Минфина РФ от 25.09.2014 N 102Н»

Зарегистрировано в Минюсте РФ 22 сентября 2010 г. N 18504


МИНИСТЕРСТВО ФИНАНСОВ РОССИЙСКОЙ ФЕДЕРАЦИИ

ПРИКАЗ
от 7 июля 2010 г. N 68н

ОБ УТВЕРЖДЕНИИ АДМИНИСТРАТИВНОГО РЕГЛАМЕНТА ФЕДЕРАЛЬНОГО КАЗНАЧЕЙСТВА ПО ИСПОЛНЕНИЮ ГОСУДАРСТВЕННОЙ ФУНКЦИИ ПО ВЕДЕНИЮ РЕЕСТРА ГОСУДАРСТВЕННЫХ КОНТРАКТОВ, ЗАКЛЮЧЕННЫХ ОТ ИМЕНИ РОССИЙСКОЙ ФЕДЕРАЦИИ ПО ИТОГАМ РАЗМЕЩЕНИЯ ЗАКАЗОВ

В соответствии с Постановлением Правительства Российской Федерации от 27 декабря 2006 г. N 807 "Об утверждении Положения о ведении реестров государственных или муниципальных контрактов, заключенных по итогам размещения заказов, и о требованиях к технологическим, программным, лингвистическим, правовым и организационным средствам обеспечения пользования официальным сайтом в сети Интернет, на котором размещаются указанные реестры" (Собрание законодательства Российской Федерации, 2007, N 1, ст. 265; 2008, N 29, ст. 3528) и пунктом 15 Порядка разработки и утверждения административных регламентов исполнения государственных функций (предоставления государственных услуг), утвержденного Постановлением Правительства Российской Федерации от 11 ноября 2005 г. N 679 (Собрание законодательства Российской Федерации, 2005, N 47, ст. 4933), приказываю:

1. Утвердить прилагаемый Административный регламент Федерального казначейства по исполнению государственной функции по ведению реестра государственных контрактов, заключенных от имени Российской Федерации по итогам размещения заказов.

2. Признать утратившим силу Приказ Министерства финансов Российской Федерации от 28 мая 2007 г. N 47н "Об утверждении Административного регламента Федерального казначейства по исполнению государственной функции по ведению реестра государственных контрактов, заключенных от имени Российской Федерации по итогам размещения заказов" (зарегистрирован в Министерстве юстиции Российской Федерации 15 августа 2007 г., регистрационный номер 9989; Бюллетень нормативных актов федеральных органов исполнительной власти, 2007, N 40).

3. Федеральному казначейству (Р.Е. Артюхин) обеспечить в трехмесячный срок со дня вступления в силу настоящего Приказа доработку прикладного программного обеспечения в целях реализации Административного регламента Федерального казначейства по исполнению государственной функции по ведению реестра государственных контрактов, заключенных от имени Российской Федерации по итогам размещения заказов.

4. Федеральному казначейству (Р.Е. Артюхин) обеспечить исполнение Административного регламента Федерального казначейства по исполнению государственной функции по ведению реестра государственных контрактов, заключенных от имени Российской Федерации по итогам размещения заказов.

5. Контроль за исполнением настоящего Приказа возложить на заместителя Министра финансов Российской Федерации Т.Г. Нестеренко.

Заместитель
Председателя Правительства
Российской Федерации -
Министр финансов
Российской Федерации
А.Л.КУДРИН

Приложение
к Приказу Министерства финансов
Российской Федерации
от 7 июля 2010 г. N 68н

АДМИНИСТРАТИВНЫЙ РЕГЛАМЕНТ
ФЕДЕРАЛЬНОГО КАЗНАЧЕЙСТВА ПО ИСПОЛНЕНИЮ ГОСУДАРСТВЕННОЙ ФУНКЦИИ ПО ВЕДЕНИЮ РЕЕСТРА ГОСУДАРСТВЕННЫХ КОНТРАКТОВ, ЗАКЛЮЧЕННЫХ ОТ ИМЕНИ РОССИЙСКОЙ ФЕДЕРАЦИИ ПО ИТОГАМ РАЗМЕЩЕНИЯ ЗАКАЗОВ

I. Общие положения

1. Административный регламент Федерального казначейства по исполнению государственной функции по ведению реестра государственных контрактов, заключенных от имени Российской Федерации по итогам размещения заказов (далее - Регламент), разработан в целях повышения качества исполнения и доступности результатов исполнения государственной функции по ведению реестра государственных контрактов, заключенных от имени Российской Федерации по итогам размещения заказов (далее - Реестр контрактов), и определяет сроки и последовательность действий (административных процедур) центрального аппарата Федерального казначейства, территориальных органов Федерального казначейства, их структурных подразделений и должностных лиц, а также порядок взаимодействия Федерального казначейства, территориальных органов Федерального казначейства и их должностных лиц с государственными заказчиками при осуществлении Федеральным казначейством полномочий по ведению Реестра контрактов.

Настоящий Регламент не распространяется на отношения, связанные с ведением реестра контрактов, в который включаются сведения, касающиеся размещения заказов и заключения контрактов и составляющие государственную тайну, а также на контракты и иные заключенные в соответствии с пунктом 14 части 2 статьи 55 Федерального закона от 21 июля 2005 г. N 94-ФЗ "О размещении заказов на поставки товаров, выполнение работ, оказание услуг для государственных и муниципальных нужд" гражданско-правовые договоры.

Государственную функцию по ведению Реестра контрактов исполняют центральный аппарат Федерального казначейства, управления Федерального казначейства по субъектам Российской Федерации (далее - Управление) и отделения управлений Федерального казначейства по субъектам Российской Федерации (далее - Отделение) на основании представленных государственными заказчиками в Управления и Отделения сведений о государственных контрактах, заключенных от имени Российской Федерации по итогам размещения заказов (далее - контракты), в целях:

расширения возможностей, а также стимулирования участия физических и юридических лиц в размещении заказов;

развития добросовестной конкуренции;

совершенствования деятельности органов государственной власти в сфере размещения заказов;

обеспечения гласности и прозрачности размещения заказов, способствующих предотвращению коррупции и других злоупотреблений в сфере размещения заказов.

Исполнение Федеральным казначейством государственной функции по ведению Реестра контрактов осуществляется с использованием программного обеспечения, отвечающего требованиям, установленным настоящим Регламентом (далее - информационная система).

Управление информационных систем Федерального казначейства обеспечивает техническую поддержку и контроль за работоспособностью информационной системы центрального аппарата Федерального казначейства, Управлений и Отделений.

2. Исполнение Федеральным казначейством государственной функции по ведению Реестра контрактов осуществляется на безвозмездной основе в соответствии с:

Федеральным законом от 21 июля 2005 г. N 94-ФЗ "О размещении заказов на поставки товаров, выполнение работ, оказание услуг для государственных и муниципальных нужд" (Собрание законодательства Российской Федерации, 2005, N 30, ст. 3105; 2006, N 1, ст. 18, N 31, ст. 3441; 2007, N 17, ст. 1929, N 31, ст. 4015, N 46, ст. 5553; 2008, N 30, ст. 3616, N 49, ст. 5723; 2009, N 1, ст. 16, N 1, ст. 31, N 18, ст. 2148, N 19, ст. 2283, N 27, ст. 3267, N 29, ст. 3584, N 29, ст. 3592, N 29, ст. 3601, N 48, ст. 5711, N 48, ст. 5723, N 51, ст. 6153, N 52, ст. 6441; 2010, N 19, ст. 2286);

Федеральным законом от 10 января 2002 г. N 1-ФЗ "Об электронной цифровой подписи" (Собрание законодательства Российской Федерации, 2002, N 2, ст. 127; 2007, N 46, ст. 5554);

Федеральным законом от 27 июля 2006 г. N 149-ФЗ "Об информации, информационных технологиях и о защите информации" (Собрание законодательства Российской Федерации, 2006, N 31, ст. 3448);

Постановлением Правительства Российской Федерации от 30 июня 2004 г. N 329 "О Министерстве финансов Российской Федерации" (Собрание законодательства Российской Федерации, 2004, N 31, ст. 3258, N 49, ст. 4908; 2005, N 23, ст. 2270, N 52, ст. 5755; 2006, N 32, ст. 3569, N 47, ст. 4900; 2007, N 23, ст. 2801, N 45, ст. 5491; 2008, N 5, ст. 411, N 46, ст. 5337; 2009, N 3, ст. 378, N 6, ст. 738, N 8, ст. 973, N 11, ст. 1312, N 26, ст. 3212, N 31, ст. 3954; 2010, N 5, ст. 531, N 9, ст. 967, N 11, ст. 1224);

Постановлением Правительства Российской Федерации от 1 декабря 2004 г. N 703 "О Федеральном казначействе" (Собрание законодательства Российской Федерации, 2004, N 49, ст. 4908; 2005, N 12, ст. 1042; 2006, N 47, ст. 4900; 2008, N 17, ст. 1895, N 46, ст. 5337);

Постановлением Правительства Российской Федерации от 3 марта 2006 г. N 117 "О федеральном органе исполнительной власти, уполномоченном на ведение реестра государственных контрактов, заключенных от имени Российской Федерации по итогам размещения заказов" (Собрание законодательства Российской Федерации, 2006, N 10, ст. 1110);

Положением о ведении реестров государственных или муниципальных контрактов, заключенных по итогам размещения заказов, и о требованиях к технологическим, программным, лингвистическим, правовым и организационным средствам обеспечения пользования официальным сайтом в сети Интернет, на котором размещаются указанные реестры, утвержденным Постановлением Правительства Российской Федерации от 27 декабря 2006 г. N 807 (далее - Положение N 807) (Собрание законодательства Российской Федерации, 2007, N 1, ст. 265; 2008, N 29, ст. 3528);

В связи с утратой силы Постановления Правительства РФ от 27.12.2006 N 807, следует руководствоваться принятым взамен Постановлением Правительства РФ от 29.12.2010 N 1191

Постановлением Правительства Российской Федерации от 10 марта 2007 г. N 147 "Об утверждении Положения о пользовании официальными сайтами в сети Интернет для размещения информации о размещении заказов на поставки товаров, выполнение работ, оказание услуг для государственных и муниципальных нужд и о требованиях к технологическим, программным, лингвистическим, правовым и организационным средствам обеспечения пользования указанными сайтами" (Собрание законодательства Российской Федерации, 2007, N 12, ст. 1412);

Приказом Федерального казначейства от 10 апреля 2006 г. N 5н "Об утверждении Регламента Федерального казначейства" (зарегистрирован в Министерстве юстиции Российской Федерации 11 мая 2006 г., регистрационный N 7795; Бюллетень нормативных актов федеральных органов исполнительной власти, 2006, N 21; 2007, N 38; 2009, N 9; 2010, N 6);

настоящим Регламентом.

3. Управления и Отделения принимают от государственных заказчиков "Сведения о государственном или муниципальном контракте (его изменении), заключенном государственным или муниципальным заказчиком" по форме согласно приложению N 1 к Положению N 807, и "Сведения об исполнении (о прекращении действия) государственного или муниципального контракта" по форме согласно приложению N 2 к Положению N 807 (далее - сведения о контракте):

в случае если государственным заказчиком является получатель средств федерального бюджета - по месту обслуживания открытого государственному заказчику лицевого счета получателя бюджетных средств;

в случае если государственным заказчиком является иной получатель средств федерального бюджета, имеющий право в соответствии с бюджетным законодательством Российской Федерации осуществлять операции со средствами федерального бюджета на счете, открытом ему в учреждении Банка России или кредитной организации (далее - иной получатель), - по признаку нахождения государственного заказчика на территории, обслуживаемой Отделением, либо Управлением, если на данной территории отсутствует Отделение (далее - по территориальному признаку);

в случае если государственным заказчиком является получатель средств федерального бюджета, расположенный за пределами Российской Федерации и имеющий право в соответствии с бюджетным законодательством Российской Федерации осуществлять операции со средствами федерального бюджета (далее - иной получатель за пределами Российской Федерации), - в Управлении Федерального казначейства по г. Москве;

в случае если государственным заказчиком является орган управления государственным внебюджетным фондом Российской Федерации, а также находящееся в его ведении учреждение или организация (за исключением территориального государственного внебюджетного фонда), - по территориальному признаку;

в случае если государственным заказчиком является избирательная комиссия по субъекту Российской Федерации - по территориальному признаку.

4. Центральный аппарат Федерального казначейства:

осуществляет координацию деятельности Управлений по участию в исполнении ими государственной функции по ведению Реестра контрактов;

получает в электронном виде от Управлений новые и обновленные реестровые записи, включенные Управлениями и Отделениями в Реестр контрактов;

осуществляет объединение включенных в Реестр контрактов реестровых записей;

размещает Реестр контрактов в актуальном состоянии на официальном сайте Российской Федерации в сети Интернет для размещения информации о размещении заказов на поставки товаров, выполнение работ, оказание услуг для государственных или муниципальных нужд по адресу www.zakupki.gov.ru (далее - Официальный сайт) и обеспечивает свободный и бесплатный доступ к нему.

Управление:

осуществляет координацию деятельности Отделений по участию в исполнении ими государственной функции по ведению Реестра контрактов;

взаимодействует с государственными заказчиками по вопросам исполнения государственной функции по ведению Реестра контрактов;

получает в электронном виде от Отделений новые и обновленные реестровые записи, включенные Отделениями в Реестр контрактов;

принимает от государственных заказчиков сведения о контракте и на основании их показателей формирует новые или обновляет существующие реестровые записи и включает их в Реестр контрактов;

сообщает государственным заказчикам о результатах обработки сведений о контракте;

направляет в электронном виде в центральный аппарат Федерального казначейства новые и обновленные реестровые записи, полученные от Отделений и сформированные Управлением и включенные в Реестр контрактов.

Отделение:

взаимодействует с государственными заказчиками по вопросам исполнения государственной функции по ведению Реестра контрактов;

принимает от государственных заказчиков сведения о контракте и на основании их показателей формирует новые или обновляет существующие реестровые записи и включает их в Реестр контрактов;

сообщает государственным заказчикам о результатах обработки сведений о контракте;

направляет в электронном виде в Управление новые и обновленные реестровые записи, сформированные Отделением и включенные в Реестр контрактов.

5. Исполнение государственной функции по ведению Реестра контрактов включает в себя следующие административные процедуры:

прием от государственного заказчика "Сведений о государственном или муниципальном контракте (его изменении), заключенном государственным или муниципальным заказчиком" по форме согласно приложению N 1 к Положению N 807 (далее - "Сведения о контракте (его изменении)");

прием от государственного заказчика "Сведений об исполнении (о прекращении действия) государственного или муниципального контракта" по форме согласно приложению N 2 к Положению N 807 (далее - "Сведения об исполнении (прекращении действия) контракта");

проверка наличия в представленных заказчиком "Сведениях о контракте (его изменении)" и "Сведениях об исполнении (прекращении действия) контракта" всех показателей, предусмотренных приложениями N 1 и 2 к Положению N 807, а также их соответствия друг другу;

принятие решения о включении показателей соответствующих требованиям настоящего Регламента сведений о контракте в Реестр контрактов;

принятие решения о возврате государственному заказчику не соответствующих требованиям настоящего Регламента сведений о контракте;

включение в Реестр контрактов соответствующих показателей сведений о контракте;

размещение на Официальном сайте в актуальном состоянии Реестра контрактов по форме согласно приложению N 3 к Положению N 807.

Конечным результатом исполнения Федеральным казначейством государственной функции по ведению Реестра контрактов является объединение включенных в Реестр контрактов реестровых записей, размещение и поддержание в актуальном состоянии Реестра контрактов на Официальном сайте.

6. При исполнении центральным аппаратом Федерального казначейства, Управлениями и Отделениями государственной функции по ведению Реестра контрактов в качестве заявителей выступают государственные заказчики.

II. Требования к порядку исполнения государственной функции по ведению Реестра контрактов

7. Реестр контрактов содержит сведения о государственных контрактах, заключенных государственными заказчиками от имени Российской Федерации по итогам размещения заказов на поставки товаров, выполнение работ, оказание услуг для государственных нужд.

Реестр контрактов размещается и ежедневно в начале рабочего дня до 12 часов 00 минут по московскому времени приводится центральным аппаратом Федерального казначейства на Официальном сайте в актуальное состояние. Доступ к Реестру контрактов осуществляется из раздела "Реестр государственных контрактов" Официального сайта. Реестр контрактов доступен для свободного просмотра и получения в виде электронного файла в формате таблиц MICROSOFT OFFICE EXCEL по установленной форме на Официальном сайте любым юридическим и физическим лицам, обратившимся через сеть Интернет к Официальному сайту, без взимания платы.

Пользовательский интерфейс Официального сайта позволяет осуществлять поиск сведений о контракте по показателям, предусмотренным приложениями N 1 и 2 к Положению N 807.

8. Место нахождения центрального аппарата Федерального казначейства: г. Москва, ул. Ильинка, д. 9.

Почтовый адрес для направления в центральный аппарат Федерального казначейства обращений по вопросам ведения Реестра контрактов: Федеральное казначейство, ул. Ильинка, д. 9, г. Москва, 109097.

Электронный адрес для направления в центральный аппарат Федерального казначейства электронных обращений по вопросам ведения Реестра контрактов: reestr@roskazna.ru.

Место нахождения отдела центрального аппарата Федерального казначейства, ответственного за прием и обработку входящей корреспонденции: г. Москва, ул. Ильинка, д. 10, кабинет 113, дополнительное место приема в центральном аппарате Федерального казначейства входящей корреспонденции: г. Москва, ул. Ильинка, д. 9, 5-й подъезд.

Часы работы центрального аппарата Федерального казначейства (по московскому времени):

Понедельник - четверг 9.00 - 18.00

Пятница 9.00 - 16.45

Суббота - воскресенье Выходной день.

Сведения о часах работы Управлений и Отделений размещаются:

на сайте соответствующего Управления по электронному адресу, указанному в приложении N 1 к настоящему Регламенту;

на информационных стендах Управлений и Отделений.

Часы приема Управлениями и Отделениями сведений о контракте, представленных на бумажном носителе представителем государственного заказчика непосредственно в Управление (Отделение) (по местному времени):

Понедельник - пятница 10.00 - 15.00

Суббота - воскресенье Выходной день.

Сведения о контракте, направленные государственным заказчиком на бумажном носителе в Управление (Отделение) посредством почтовой связи или в электронном виде с применением средств электронной цифровой подписи (далее - ЭЦП) посредством системы электронного документооборота Федерального казначейства (далее - СЭД), принимаются Управлениями и Отделениями в установленные часы работы соответственно Управлений и Отделений.

Часы перерыва во времени приема Управлениями и Отделениями сведений о контракте от государственных заказчиков (не более 60 минут) устанавливаются приказами Управлений и Отделений соответственно.

В предпраздничные дни продолжительность времени приема Управлениями и Отделениями сведений о контракте от государственных заказчиков сокращается на 1 час.

Продолжительность времени приема Управлениями и Отделениями сведений о контракте от государственных заказчиков может быть увеличена приказами Управлений и Отделений соответственно.

Часы работы центрального аппарата Федерального казначейства, Управлений и Отделений, часы приема Управлениями и Отделениями сведений о контракте от государственных заказчиков могут изменяться в соответствии с законодательством Российской Федерации.

Информация по ведению Реестра контрактов размещается на официальном сайте Федерального казначейства информационного портала Федерального казначейства по электронному адресу http://www.roskazna.ru, в подразделе "Реестр государственных контрактов" раздела "Информация для ГРБС" и в разделе "Новости".

Телефон справочной службы центрального аппарата Федерального казначейства (495) 748-45-61.

Телефон отдела центрального аппарата Федерального казначейства для консультаций по вопросам ведения Реестра контрактов (495) 648-35-11.

Сведения о местонахождении, почтовых и электронных адресах, контактных телефонах Управлений приводятся в приложении N 1 к настоящему Регламенту, а также размещаются:

на официальном сайте Федерального казначейства по электронному адресу http://www.roskazna.ru;

на сайте соответствующего Управления по электронному адресу, указанному в приложении N 1 к настоящему Регламенту;

на информационных стендах Управлений и Отделений.

9. Консультации по процедуре ведения Реестра контрактов предоставляются на безвозмездной основе соответственно центральным аппаратом Федерального казначейства, Управлением или Отделением в случае непосредственного обращения, обращения по телефону, письменного обращения и при поступлении обращений в форме электронных сообщений через Интернет.

При поступлении письменных обращений в центральный аппарат Федерального казначейства, Управление или Отделение ответ на обращение направляется посредством почтовой связи в адрес заявителя в срок, не превышающий 30 календарных дней с момента поступления письменного обращения.

При поступлении обращения в форме электронных сообщений через Интернет в центральный аппарат Федерального казначейства, Управление или Отделение ответ на обращение направляется посредством электронной почты в адрес заявителя в срок, не превышающий пяти рабочих дней с момента поступления электронного обращения.

При осуществлении непосредственного консультирования должностные лица Управления или Отделения предоставляют информацию:

о входящих номерах, под которыми зарегистрированы в системе делопроизводства соответственно Управления или Отделения письменные обращения по вопросам ведения Реестра контрактов;

о принятом решении по конкретному письменному обращению;

о нормативных правовых актах по вопросам ведения Реестра контрактов (наименование, номер, дата принятия нормативного правового акта);

о процедурах принятия от государственных заказчиков сведений о контрактах, установленных настоящим Регламентом;

о месте размещения на Официальном сайте Реестра контрактов;

о месте размещения соответственно на официальном сайте Федерального казначейства, сайтах Управлений или Отделений справочных материалов по вопросам ведения Реестра контрактов;

о местонахождении, почтовых и электронных адресах и контактных телефонах центрального аппарата Федерального казначейства, Управления или Отделения;

о порядке обжалования действий (бездействия) и решений, осуществляемых и принимаемых в ходе исполнения государственной функции.

При осуществлении консультирования по телефону, а также при ответе на электронные обращения должностные лица центрального аппарата Федерального казначейства, Управления или Отделения в соответствии с поступившим запросом предоставляют информацию:

о входящих номерах, под которыми зарегистрированы в системе делопроизводства соответственно центрального аппарата Федерального казначейства, Управления или Отделения письменные обращения по вопросам ведения Реестра контрактов;

о принятом решении по конкретному письменному обращению;

о нормативных правовых актах по вопросам ведения Реестра контрактов (наименование, номер, дата принятия нормативного правового акта);

о процедурах принятия от государственных заказчиков сведений о контрактах, установленных настоящим Регламентом;

о месте размещения на Официальном сайте Реестра контрактов;

о месте размещения соответственно на официальном сайте Федерального казначейства, сайте Управления или Отделения справочных материалов по вопросам ведения Реестра контрактов;

о местонахождении, почтовых и электронных адресах и контактных телефонах соответственно центрального аппарата Федерального казначейства, Управлений или Отделений;

о порядке обжалования действий (бездействия) и решений, осуществляемых и принимаемых в ходе исполнения государственной функции.

Иные вопросы рассматриваются центральным аппаратом Федерального казначейства, Управлениями или Отделениями только на основании соответствующего письменного обращения.

При ответе на телефонные звонки, устные и письменные обращения должностные лица центрального аппарата Федерального казначейства, Управлений и Отделений отвечают вежливо и корректно.

10. Прием государственных заказчиков в Управлении или Отделении проводится в соответствии с установленными часами приема сведений о контракте от государственных заказчиков работниками отделов, положения о которых предусматривают прием, проверку и обработку сведений о контракте, в должностных регламентах которых предусмотрено выполнение указанных функций (далее - принимающий сведения специалист).

В помещении для приема государственных заказчиков размещается стенд с образцами заполненных документов, перечнем нормативных правовых актов, регулирующих ведение Реестра контрактов, сведениями о режиме работы Управления или Отделения, часами приема государственных заказчиков Управлением или Отделением и указанием почтовых и электронных адресов центрального аппарата Федерального казначейства, Управления или Отделения соответственно (далее - информационный стенд).

Документарное оформление информационного стенда и поддержание размещенной на информационном стенде информации в актуальном состоянии осуществляется работниками отделов Управления или Отделения, положения о которых предусматривают прием, проверку и обработку сведений о контракте, назначенными ответственными за оформление информационного стенда приказами Управления или Отделения соответственно.

Для ожидания приема государственным заказчикам отводятся места, оборудованные стульями, кресельными секциями или скамьями, столами (стойками) для возможности оформления документов.

11. Для включения в Реестр контрактов сведений о контракте Управления и Отделения в соответствии с пунктом 3 настоящего Регламента принимают от государственного заказчика:

"Сведения о контракте (его изменении)", заполненные в соответствии с Указаниями по заполнению формы документа "Сведения о государственном или муниципальном контракте (его изменении), заключенном государственным или муниципальным заказчиком" согласно приложению N 1 к Положению N 807;

карточку образцов подписей в одном экземпляре с указанием образцов подписей лиц, уполномоченных руководителем или иным уполномоченным лицом государственного заказчика на подписание сведений о контракте, подписанную руководителем государственного заказчика или уполномоченным руководителем лицом (дополнительного нотариального или заверения карточки образцов подписей руководителем организации, в ведении которой находится государственный заказчик (далее - вышестоящий участник бюджетного процесса), не требуется). Форма карточки образцов подписей должна соответствовать форме карточки, представляемой в Управление (Отделение) для открытия лицевого счета получателя бюджетных средств. При этом Управление (Отделение) не вправе отказывать государственному заказчику в приеме карточки образцов подписей, заверенной нотариально или вышестоящим участником бюджетного процесса (по инициативе заказчика).

Управления (Отделения) не требуют от государственных заказчиков представления новой карточки образцов подписей вместо карточки образцов подписей, ранее представленной государственным заказчиком и хранящейся в Управлении (Отделении), если состав лиц, уполномоченных на подписание сведений о контракте и указанных в карточке образцов подписей, не изменился.

Управления (Отделения) принимают карточку образцов подписей, оформленную государственным заказчиком с учетом следующих особенностей:

в поле "к лицевым счетам N" указывается текст "Для включения в Реестр контрактов сведений о контракте";

заголовочная часть и кодовая зона заполняются в порядке, установленном для карточки образцов подписей к лицевому счету получателя бюджетных средств;

в строке "Наименование клиента" указывается полное наименование государственного заказчика, указанное в учредительных документах (для государственного заказчика, являющегося федеральным органом государственной власти или его территориальным органом, государственным органом, входящим в судебную систему или систему органов прокуратуры Российской Федерации, федеральным бюджетным учреждением с условным наименованием - войсковая часть, не имеющего собственного положения (устава) и действующего на основании общего положения (устава), утвержденного в установленном порядке, - наименование, указанное в нормативных правовых актах, регулирующих деятельность такого государственного заказчика), при этом в случае открытия государственному заказчику в центральном аппарате Федерального казначейства или Управлении (Отделении) лицевого счета получателя (иного получателя) бюджетных средств - соответствующее также полному наименованию государственного заказчика, указанному в соответствующей реестровой записи Сводного реестра главных распорядителей, распорядителей и получателей средств федерального бюджета, главных администраторов и администраторов доходов федерального бюджета, главных администраторов и администраторов источников финансирования дефицита федерального бюджета (с учетом заглавных и строчных букв, кавычек, пробелов, тире, скобок, букв "е" и "е", знаков No и N"). При этом если государственным заказчиком является иной получатель за пределами Российской Федерации, избирательная комиссия по субъекту Российской Федерации, орган управления государственным внебюджетным фондом Российской Федерации, а также находящееся в его ведении учреждение или организация, Управления (Отделения) проверку наименования клиента, указанного в строке "Наименование клиента" карточки образцов подписей, не осуществляют;

в кодовой зоне строки "Наименование клиента" указывается код, присвоенный государственному заказчику в Сводном реестре главных распорядителей, распорядителей и получателей средств федерального бюджета, главных администраторов и администраторов доходов федерального бюджета, главных администраторов и администраторов источников финансирования дефицита федерального бюджета в случае открытия государственному заказчику в центральном аппарате Федерального казначейства или Управлении (Отделении) лицевого счета получателя (иного получателя) бюджетных средств, в случае если государственным заказчиком является иной получатель за пределами Российской Федерации, избирательная комиссия по субъекту Российской Федерации, орган управления государственным внебюджетным фондом Российской Федерации, а также находящееся в его ведении учреждение или организация - государственным заказчиком кодовая зона строки "Наименование клиента" при первом обращении не заполняется, при этом Управления (Отделения) проставляют в ней идентификационный код государственного заказчика, присвоенный Управлением (Отделением) самостоятельно;

в разделе "Образцы подписей должностных лиц клиента, имеющих право подписи платежных и иных документов при совершении операции по лицевому счету" указываются подписи лиц, наделенных правом подписи сведений о контрактах, при этом наименование должностей, фамилии, имена и отчества должностных лиц государственного заказчика должны быть указаны полностью;

карточка образцов подписей подписывается только руководителем (иным уполномоченным лицом) государственного заказчика (подписание карточки образцов подписей главным бухгалтером (иным уполномоченным лицом) государственного заказчика не требуется). При этом Управление (Отделение) не вправе отказывать государственному заказчику в приеме карточки образцов подписей, дополнительно подписанной главным бухгалтером (по инициативе заказчика).

Управление (Отделение) принимает от государственного заказчика новую карточку образцов подписей, оформленную и подписанную в соответствии с требованиями настоящего Регламента, в случае:

изменения наименования государственного заказчика или вышестоящего участника бюджетного процесса в Сводном реестре главных распорядителей, распорядителей и получателей средств федерального бюджета, главных администраторов и администраторов доходов федерального бюджета, главных администраторов и администраторов источников финансирования дефицита федерального бюджета или в случае изменения наименования иного получателя за пределами Российской Федерации, избирательной комиссии по субъекту Российской Федерации, органа управления государственным внебюджетным фондом Российской Федерации и находящегося в его ведении учреждения или организации;

смены руководителя государственного заказчика (иного уполномоченного лица);

изменения полномочий лиц, указанных в карточке образцов подписей;

изменения наименования и кода главного распорядителя средств федерального бюджета, в ведении которого находится государственный заказчик (далее - межведомственная реорганизация государственного заказчика);

перехода государственного заказчика на обслуживание из одного органа Федерального казначейства в другой орган Федерального казначейства;

изменения юридического адреса, идентификационного кода, ИНН, КПП государственного заказчика.

При предоставлении права на подписание сведений о контракте на определенный срок лицам, уполномоченным руководителем или иным уполномоченным лицом государственного заказчика, дополнительно представляется новая временная карточка образцов подписей только с образцом подписи такого лица.

При электронном документообороте с использованием ЭЦП, осуществляемом в соответствии с договорами (соглашениями) об обмене электронными документами, заключаемыми Управлениями (Отделениями) и государственными заказчиками, наличие образца подписи (подписей) уполномоченного лица (уполномоченных лиц), наделенного (наделенных) полномочиями по подписанию сведений о контракте в электронном виде, в карточке образцов подписей не требуется.

Не позднее рабочего дня, следующего за днем получения от государственного заказчика карточки образцов подписей, работники отдела Управления (Отделения), положение о котором предусматривает прием, проверку и обработку сведений о контракте, в должностных регламентах которых предусмотрено выполнение указанных функций (далее - специалист), осуществляют проверку предусмотренных к заполнению в карточке образцов подписей реквизитов в соответствии с требованиями настоящего Регламента.

Карточка образцов подписей, отвечающая требованиям настоящего Регламента, не позднее рабочего дня, следующего за днем ее получения от государственного заказчика, визируется с указанием даты визирования главным бухгалтером (уполномоченным руководителем лицом) Управления (Отделения) и специалистом Управления (Отделения), при этом в карточке образцов подписей не указываются номера открытых государственному заказчику лицевых счетов.

Карточка образцов подписей, не отвечающая требованиям настоящего Регламента, не позднее рабочего дня, следующего за днем ее проверки, возвращается специалистом Управления (Отделения) государственному заказчику с указанием причины возврата.

Проверенные карточки образцов подписей хранятся в отдельном деле, сформированном в соответствии с номенклатурой дел отдела Управления (Отделения), положение о котором предусматривает прием, проверку и обработку сведений о контракте.

В случае изменения в Сводном реестре главных распорядителей, распорядителей и получателей средств федерального бюджета, главных администраторов и администраторов доходов федерального бюджета, главных администраторов и администраторов источников финансирования дефицита федерального бюджета наименования органа Федерального казначейства, не вызванного его реорганизацией, представление от государственного заказчика новой карточки образцов подписей не требуется. При этом специалист Управления (Отделения) указывает в последней представленной государственным заказчиком в Управление (Отделение) карточке образцов подписей новое наименование органа Федерального казначейства и обеспечивает подтверждение указанного изменения проставлением подписи главного бухгалтера (уполномоченного руководителем лица) Управления (Отделения) с указанием даты изменения.

Для обновления включенных в Реестр контрактов реестровых записей Управления и Отделения в соответствии с пунктом 3 настоящего Регламента принимают от государственного заказчика:

"Сведения о контракте (его изменении)", заполненные в соответствии с Указаниями по заполнению формы документа "Сведения о государственном или муниципальном контракте (его изменении), заключенном государственным или муниципальным заказчиком" согласно приложению N 1 к Положению N 807;

"Сведения об исполнении (прекращении действия) контракта", заполненные в соответствии с Указаниями по заполнению формы документа "Сведения об исполнении (о прекращении действия) государственного или муниципального контракта", согласно приложению N 2 к Положению N 807.

При этом Управления (Отделения) принимают от государственного заказчика, реквизиты которого исключены из Сводного реестра главных распорядителей, распорядителей и получателей средств федерального бюджета, главных администраторов и администраторов доходов федерального бюджета, главных администраторов и администраторов источников финансирования дефицита федерального бюджета, "Сведения о контракте (его изменении)" и/или "Сведения об исполнении (прекращении действия) контракта" с указанием наименования государственного заказчика, соответствующего полному наименованию государственного заказчика в ранее зарегистрированных "Сведениях о контракте (его изменении)", в котором указан присвоенный Управлением (Отделением) номер реестровой записи с последним порядковым номером изменения.

В случае изменения реквизитов государственных заказчиков (например, юридический адрес, наименование заказчика, идентификационный код государственного заказчика, ИНН, КПП) Управления (Отделения) для обновления включенных в Реестр контрактов реестровых записей принимают от государственных заказчиков следующие документы:

карточку образцов подписей с измененными реквизитами государственного заказчика в одном экземпляре, оформленную и подписанную в соответствии с требованиями настоящего Регламента;

"Сведения о контракте (его изменении)", заполненные в соответствии с Указаниями по заполнению формы документа "Сведения о государственном или муниципальном контракте (его изменении), заключенном государственным или муниципальным заказчиком" согласно приложению N 1 к Положению N 807, с указанием новых реквизитов государственного заказчика, в строке "Тип сведений" - текста "измененные", в строке "Тип изменения" и в кодовой зоне строки "Тип изменения" - соответствующих текста и кода, в строке "Номер реестровой записи" - ранее присвоенного Управлением (Отделением) номера реестровой записи.

При реорганизации органов Федерального казначейства и/или при переходе государственного заказчика на обслуживание из одного органа Федерального казначейства в другой орган Федерального казначейства Управления (Отделения) для обновления включенных в Реестр контрактов реестровых записей принимают от государственных заказчиков, перешедших на новое место обслуживания:

карточку образцов подписей в одном экземпляре, оформленную и подписанную в соответствии с требованиями настоящего Регламента;

"Сведения о контракте (его изменении)", заполненные в соответствии с Указаниями по заполнению формы документа "Сведения о государственном или муниципальном контракте (его изменении), заключенном государственным или муниципальным заказчиком" согласно приложению N 1 к Положению N 807, с указанием в строке "Тип сведений" текста "измененные", в строке "Тип изменения" и в кодовой зоне строки "Тип изменения" соответствующих текста и кода и указанием ранее присвоенного Управлением (Отделением), по прежнему месту обслуживания государственного заказчика, номера реестровой записи;

"Сведения об исполнении (прекращении действия) контракта", заполненные в соответствии с Указаниями по заполнению формы документа "Сведения об исполнении (о прекращении действия) государственного или муниципального контракта", согласно приложению N 2 к Положению N 807, с указанием ранее присвоенного Управлением (Отделением), по прежнему месту обслуживания государственного заказчика, номера реестровой записи.

Управления и Отделения по мере поступления принимают к исполнению:

сведения о контракте на бумажном носителе, непосредственно представленные представителем государственного заказчика в соответствующее Управление или Отделение;

сведения о контракте на бумажном носителе, направленные государственным заказчиком посредством почтовой связи в соответствующее Управление или Отделение;

сведения о контракте в электронном виде с применением средств ЭЦП, направленные государственным заказчиком посредством СЭД в соответствующее Управление или Отделение в соответствии с договором (соглашением) об электронном обмене документами, заключенным между государственным заказчиком и Управлением (Отделением) в соответствии с требованиями, установленными законодательством Российской Федерации (далее - электронный вид). При этом при отсутствии у заключившего с Управлением (Отделением) договор (соглашение) об электронном обмене документами государственного заказчика технической возможности представления в Управление (Отделение) сведений о контракте в электронном виде указанные сведения принимаются Управлением (Отделением) на бумажном носителе.

12. Полученные Управлением или Отделением от государственного заказчика сведения о контракте проверяются специалистом Управления (Отделения) на соответствие требованиям настоящего Регламента.

В случае несоответствия сведений о контракте, представленных представителем государственного заказчика на бумажном носителе непосредственно в Управление (Отделение) или направленных государственным заказчиком на бумажном носителе в Управление (Отделение) посредством почтовой связи, требованиям настоящего Регламента специалист Управления (Отделения) не позднее третьего рабочего дня, следующего за днем получения от государственного заказчика сведений о контракте, возвращает не соответствующие требованиям настоящего Регламента сведения о контракте с указанием причины возврата непосредственно представителю государственного заказчика или посредством почтовой связи. При этом показатели сведений о контракте включению в Реестр контрактов не подлежат.

В случае несоответствия сведений о контракте, направленных государственным заказчиком в Управление (Отделение) посредством СЭД в электронном виде, требованиям настоящего Регламента специалист Управления (Отделения) не позднее третьего рабочего дня, следующего за днем получения от государственного заказчика сведений о контракте, уведомляет государственного заказчика посредством СЭД в электронном виде о возврате сведений о контракте с указанием причины возврата. При этом показатели сведений о контракте включению в Реестр контрактов не подлежат.

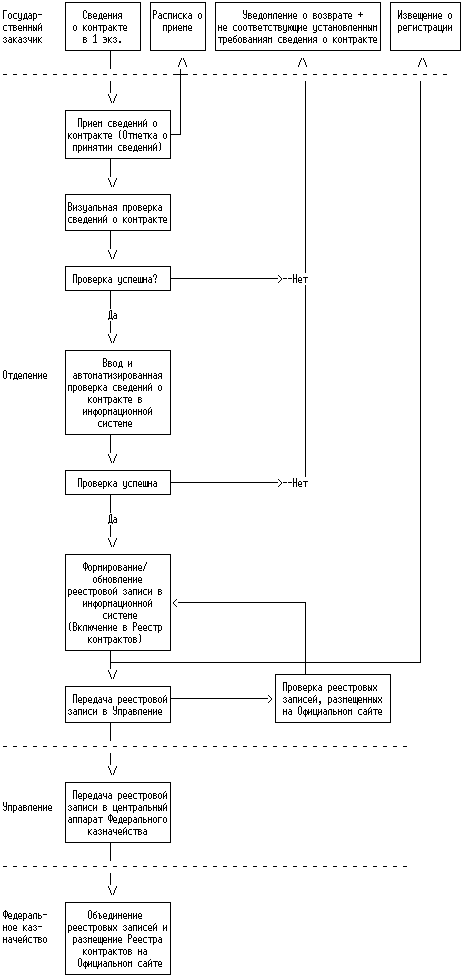
На основании соответствующих требованиям настоящего Регламента сведений о контракте специалистом Управления (Отделения) не позднее рабочего дня, следующего за днем получения от государственного заказчика сведений о контракте, осуществляется формирование новой или обновление существующей реестровой записи. Новой реестровой записи присваивается уникальный номер, обновленной реестровой записи присваивается порядковый номер изменения. Сформированные специалистом Управления (Отделения) новые или обновленные реестровые записи включаются в Реестр контрактов. Специалист Отделения не позднее рабочего дня, следующего за днем принятия от государственного заказчика сведений о контракте, направляет сформированные или обновленные и включенные в Реестр контрактов специалистами Отделения реестровые записи в электронном виде в вышестоящее Управление. Специалист Управления не позднее рабочего дня, следующего за днем принятия от государственного заказчика сведений о контракте, направляет сформированные или обновленные и включенные в Реестр контрактов специалистами Управления и полученные от специалистов Отделений реестровые записи в электронном виде в центральный аппарат Федерального казначейства.

Специалист Управления (Отделения) не позднее рабочего дня, следующего за днем включения в Реестр контрактов принятых от государственного заказчика сведений о контракте, извещает государственного заказчика о включении в Реестр контрактов сведений о контракте с указанием номера реестровой записи и/или номера ее изменения способом, аналогичным способу представления государственным заказчиком сведений о контракте.

На основании новых и обновленных реестровых записей, полученных от Управлений, центральный аппарат Федерального казначейства осуществляет актуализацию Реестра контрактов.

Актуализированный Реестр контрактов размещается центральным аппаратом Федерального казначейства на Официальном сайте.

При реорганизации органов Федерального казначейства и/или при переходе государственного заказчика на обслуживание из одного органа Федерального казначейства в другой орган Федерального казначейства полученные от государственного заказчика Управлением (Отделением), по новому месту обслуживания государственного заказчика, сведения о контракте проверяются специалистом Управления (Отделения) на соответствие требованиям настоящего Регламента и на наличие в актуализированном Реестре контрактов, размещенном на Официальном сайте, номера реестровой записи, указанной в представленных сведениях о контракте.

В случае несоответствия сведений о контракте, представленных в Управление (Отделение), по новому месту обслуживания государственного заказчика, требованиям настоящего Регламента и/или в случае отсутствия в актуализированном Реестре контрактов, размещенном на Официальном сайте, номера реестровой записи, указанной в представленных сведениях о контракте, специалист Управления (Отделения) не позднее третьего рабочего дня, следующего за днем получения от государственного заказчика сведений о контракте, возвращает государственному заказчику не соответствующие требованиям настоящего Регламента сведения о контракте с указанием причины возврата способом, аналогичным способу представления государственным заказчиком сведений о контракте. При этом показатели сведений о контракте включению в Реестр контрактов не подлежат.

На основании соответствующих требованиям настоящего Регламента сведений о контракте и в случае наличия номера реестровой записи, указанной в представленных сведениях о контракте, в актуализированном Реестре контрактов, размещенном на Официальном сайте, специалист Управления (Отделения), по новому месту обслуживания государственного заказчика, не позднее рабочего дня, следующего за днем получения от государственного заказчика сведений о контракте, осуществляет загрузку с Официального сайта в информационную систему Управления (Отделения), по новому месту обслуживания государственного заказчика, сведений о контракте, ранее представленных государственным заказчиком по прежнему месту обслуживания, при этом загрузка осуществляется последовательно, по порядку, начиная с первичных сведений о контракте. Специалистом Управления (Отделения) не позднее рабочего дня, следующего за днем получения от государственного заказчика сведений о контракте, осуществляется обновление существующей реестровой записи. Обновленной реестровой записи присваивается порядковый номер изменения, обновленная реестровая запись включается в Реестр контрактов.

Сведения, внесенные в Реестр контрактов, сохраняются в Реестре контрактов в течение трех лет со дня внесения в него показателей соответствующих "Сведений об исполнении (прекращении действия) контракта".

Реестр контрактов хранится в электронном виде в порядке, установленном законодательством об архивном деле в Российской Федерации.

Сведения о контракте, в зависимости от способа их представления государственным заказчиком, хранятся в электронном виде или на бумажном носителе в порядке, установленном законодательством об архивном деле в Российской Федерации.

13. Управление или Отделение не позднее третьего рабочего дня, следующего за днем получения от государственного заказчика сведений о контракте, возвращает государственному заказчику сведения о контракте, при этом показатели сведений о контракте не подлежат включению в Реестр контрактов, в случае:

непредставления государственным заказчиком карточки образцов подписей или представления государственным заказчиком неверно оформленной карточки образцов подписей;

несоответствия формы представляемых государственным заказчиком сведений о контракте форме согласно приложению N 1 к Положению N 807 или форме согласно приложению N 2 к Положению N 807;

отсутствия в представляемых государственным заказчиком сведениях о контракте показателей, предусмотренных приложениями N 1 и 2 к Положению N 807;

наличия в представляемых государственным заказчиком сведениях о контракте показателей, не предусмотренных приложениями N 1 и 2 к Положению N 807, обнаруженных специалистом Управления (Отделения) при визуальной и/или автоматизированной проверке сведений о контракте в соответствии с настоящим Регламентом;

заполнения показателей в представляемых государственным заказчиком сведениях о контракте по форме согласно приложениям N 1 и 2 к Положению N 807 не в соответствии с Указаниями по заполнению формы документа "Сведения о государственном или муниципальном контракте (его изменении), заключенном государственным или муниципальным заказчиком" согласно приложению N 1 и Указаниями по заполнению формы документа "Сведения об исполнении (о прекращении действия) государственного или муниципального контракта" согласно приложению N 2 к Положению N 807 соответственно;

несоответствия друг другу показателей в представляемых государственным заказчиком сведениях о контракте, предусмотренных приложениями N 1 и 2 к Положению N 807, обнаруженного специалистом Управления (Отделения) при визуальной и/или автоматизированной проверке сведений о контракте в соответствии с настоящим Регламентом;

несоответствия показателей в представляемых государственным заказчиком сведениях о контракте по форме согласно приложениям N 1 и 2 к Положению N 807 требованиям настоящего Регламента;

несоответствия наименования государственного заказчика полному наименованию в Сводном реестре главных распорядителей, распорядителей и получателей средств федерального бюджета, главных администраторов и администраторов доходов федерального бюджета, главных администраторов и администраторов источников финансирования дефицита федерального бюджета (с учетом заглавных и строчных букв, кавычек, пробелов, тире, скобок, букв "е" и "е", знаков No и N) в случае открытия государственному заказчику в центральном аппарате Федерального казначейства или в Управлении (Отделении) лицевого счета получателя (иного получателя) бюджетных средств, или, если государственным заказчиком является иной получатель за пределами Российской Федерации, избирательная комиссия по субъекту Российской Федерации, орган управления государственным внебюджетным фондом Российской Федерации, а также находящееся в его ведении учреждение или организация - полному наименованию государственного заказчика, указанному в представленной государственным заказчиком в Управление (Отделение) карточке образцов подписей;

представления государственным заказчиком сведений о контракте по форме согласно приложениям N 1 и 2 к Положению N 807, содержащих гриф секретности;

представления сведений о контракте от государственного заказчика, являющегося территориальным государственным внебюджетным фондом, а также находящимся в его ведении учреждением или организацией;

представления государственным заказчиком сведений о контракте, в которых не указано, что размещение заказов осуществляется от имени Российской Федерации, за счет средств федерального бюджета, внебюджетных средств получателей средств федерального бюджета, бюджета Пенсионного фонда Российской Федерации, внебюджетных средств Пенсионного фонда Российской Федерации, бюджета Федерального фонда обязательного медицинского страхования, внебюджетных средств Федерального фонда обязательного медицинского страхования, бюджета Фонда социального страхования Российской Федерации, внебюджетных средств Фонда социального страхования Российской Федерации;

представления государственным заказчиком, реквизиты которого изменились (например, юридический адрес, наименование заказчика, идентификационный код государственного заказчика, ИНН, КПП), "Сведений об исполнении (прекращении действия) контракта" без представления карточки образцов подписей с измененными реквизитами государственного заказчика, оформленной и подписанной в соответствии с требованиями настоящего Регламента, и "Сведений о контракте (его изменении)" с новыми реквизитами государственного заказчика и указанием в строке "Тип сведений" текста "измененные", в строке "Тип изменения" и в кодовой зоне строки "Тип изменения" соответствующих текста и кода и указанием ранее присвоенного Управлением (Отделением) номера реестровой записи;

представления государственным заказчиком, который является участником межведомственной реорганизации и лицевой счет получателя бюджетных средств которому открыт в Управлении (Отделении) по новой ведомственной подчиненности, "Сведений об исполнении (прекращении действия) контракта" без представления карточки образцов подписей с измененными реквизитами государственного заказчика, оформленной и подписанной в соответствии с требованиями настоящего Регламента, и "Сведений о контракте (его изменении)", в котором указаны в кодовой зоне строки "Наименование заказчика" код, присвоенный получателю средств федерального бюджета по новой ведомственной подчиненности, и в строке "Тип сведений" текст "измененные", в строке "Тип изменения" и в кодовой зоне строки "Тип изменения" - соответствующий текст и код, в строке "Номер реестровой записи" - ранее присвоенный Управлением (Отделением) номер реестровой записи;

несоответствия наименования государственного заказчика в "Сведениях об исполнении (прекращении действия) контракта" полному наименованию государственного заказчика в "Сведениях о контракте (его изменении)", в котором указан присвоенный Управлением (Отделением) номер реестровой записи с последним порядковым номером изменения - в случае исключения реквизитов государственного заказчика из Сводного реестра главных распорядителей, распорядителей и получателей средств федерального бюджета, главных администраторов и администраторов доходов федерального бюджета, главных администраторов и администраторов источников финансирования дефицита федерального бюджета;

отсутствия в актуализированном Реестре контрактов, размещенном на Официальном сайте, номера реестровой записи, указанного в сведениях о контракте, представленных государственным заказчиком, который является участником межведомственной реорганизации и лицевой счет получателя бюджетных средств которому открыт в Управлении (Отделении) по новой ведомственной подчиненности;

представления государственным заказчиком сведений о контракте в Управление или Отделение:

не по месту обслуживания открытого государственному заказчику лицевого счета получателя бюджетных средств;

не по территориальному признаку в случае, если государственным заказчиком является иной получатель, избирательная комиссия по субъекту Российской Федерации, орган управления государственным внебюджетным фондом Российской Федерации, а также находящееся в его ведении учреждение или организация;

не в Управление Федерального казначейства по г. Москве в случае, если государственным заказчиком является иной получатель за пределами Российской Федерации;

несоответствия подписи в сведениях о контракте на бумажном носителе образцу подписи, имеющемуся в карточке образцов подписей, представленной государственным заказчиком в Управление или Отделение в соответствии с пунктом 11 настоящего Регламента;

неподтверждения подлинности ЭЦП руководителя или иного уполномоченного лица государственного заказчика в сведениях о контракте в электронном виде;

наличия исправлений в представляемых государственным заказчиком сведениях о контракте на бумажном носителе.

14. Управление или Отделение не вправе требовать от государственного заказчика для включения в Реестр контрактов показателей сведений о контракте:

государственный контракт, конкурсную документацию и документацию об аукционе, извещение о проведении торгов, запросы котировок, результаты проведения предварительного отбора, протоколы комиссий по размещению заказов, акты и заключения Федеральной антимонопольной службы, выписки из реестров субъектов естественных монополий, письменные согласия единственного участника размещения заказа на заключение государственного контракта, акты государственной экспертизы в сфере градостроительной деятельности, копии публикаций в официальных печатных изданиях, осуществленных в рамках исполнения законодательства Российской Федерации о размещении заказов для государственных нужд, или иные документы, служащие основанием для государственного заказчика при подготовке сведений о контракте;

соответствия наименования товара, указанного в сведениях о контракте, наименованию товара по Общероссийскому классификатору продукции;

подтверждения идентичности сведений в государственном контракте, конкурсной документации, извещению о проведении торгов, запросу котировок, результатам предварительного отбора, протоколам комиссий по размещению заказов или иным документам, служащим основанием для государственного заказчика при подготовке сведений о контракте, и сведений о контракте, представленных государственным заказчиком в Управление или Отделение соответственно;

подтверждения выделения государственному заказчику бюджетных ассигнований, лимитов бюджетных обязательств, предельных объемов финансирования расходов федерального бюджета или сметных назначений, соответствующих цене заключенного государственного контракта;

выполнения государственным заказчиком процедур размещения заказов на поставки товаров, выполнение работ, оказание услуг для государственных нужд, установленных Федеральным законом от 21 июля 2005 г. N 94-ФЗ "О размещении заказов на поставки товаров, выполнение работ, оказание услуг для государственных и муниципальных нужд", в том числе в части соответствия даты подведения итогов конкурса, или итогов запроса котировок, или проведения аукциона дате заключения контракта, сроку исполнения контракта, соответствия способа размещения заказа цене контракта в рублях;

соблюдения государственным заказчиком сроков направления в Управление (Отделение) сведений о контракте;

выполнения иных не установленных настоящим Регламентом требований и условий.

III. Административные процедуры

15. "Сведения о контракте (его изменении)" принимаются Управлением или Отделением в соответствии с пунктом 3 настоящего Регламента в зависимости от способа оформления:

на бумажном носителе в одном экземпляре непосредственно от представителя государственного заказчика;

на бумажном носителе в одном экземпляре при направлении посредством почтовой связи;

в электронном виде при направлении посредством СЭД.

"Сведения о контракте (его изменении)" принимаются Управлением (Отделением) в электронном виде или на бумажном носителе соответственно в установленные часы работы или приема сведений о контракте от государственных заказчиков Управлением (Отделением).

В случае если "Сведения о контракте (его изменении)" поступили по окончании установленных часов работы или приема соответственно Управлением или Отделением сведений о контракте от государственных заказчиков, днем поступления "Сведений о контракте (его изменении)" считается следующий рабочий день.

16. При приеме непосредственно от представителя государственного заказчика "Сведений о контракте (его изменении)" на бумажном носителе принимающий сведения специалист Управления (Отделения) в присутствии представителя государственного заказчика:

проставляет в строке "Ответственный исполнитель" в поле "Отметки органа, уполномоченного на ведение реестра контрактов, о принятии сведений" "Сведений о контракте (его изменении)" должность, собственноручную подпись, расшифровку подписи в виде фамилии и инициалов, текущую дату или оттиск именного штампа с указанием должности, расшифровки подписи в виде фамилии и инициалов, текущей даты и собственноручную подпись (далее - оттиск именного штампа);

оформляет на бумажном носителе в двух экземплярах документ "Расписка о приеме в органе Федерального казначейства сведений о государственном контракте, заключенном от имени Российской Федерации по итогам размещения заказов" по образцу (приложение N 2 к настоящему Регламенту) (далее - "Расписка о приеме"), указывает в поле "Ответственный исполнитель" должность, собственноручную подпись, расшифровку подписи в виде фамилии и инициалов, номер телефона, текущую дату или проставляет оттиск именного штампа;

передает первый экземпляр "Расписки о приеме" непосредственно представителю государственного заказчика под подпись на втором экземпляре "Расписки о приеме" с указанием даты получения, должности и расшифровки подписи в виде фамилии и инициалов лица, ее получившего;

передает второй экземпляр "Расписки о приеме" специалисту Управления (Отделения).

При невозможности передачи в указанные сроки непосредственно представителю государственного заказчика первого экземпляра "Расписки о приеме" принимающий сведения специалист Управления (Отделения) в день приема от государственного заказчика "Сведений о контракте (его изменении)" передает два экземпляра "Расписки о приеме" специалисту Управления (Отделения).

Принимающий сведения специалист Управления (Отделения) в день приема от государственного заказчика "Сведений о контракте (его изменении)" передает специалисту Управления (Отделения) "Сведения о контракте (его изменении)" с заполненной строкой "Ответственный исполнитель" в поле "Отметки органа, уполномоченного на ведение реестра контрактов, о принятии сведений" "Сведений о контракте (его изменении)" и указанием текущей даты.

Специалист Управления (Отделения) при получении "Сведений о контракте (его изменении)" визуально проверяет:

наличие в Управлении (Отделении) открытого государственному заказчику лицевого счета получателя бюджетных средств, а в случае отсутствия у государственного заказчика лицевого счета получателя бюджетных средств - нахождение государственного заказчика на территории, обслуживаемой Управлением (Отделением) в соответствии с юридическим адресом государственного заказчика, указанным в карточке образцов подписей, представленной государственным заказчиком;

наличие в Управлении (Отделении) надлежаще оформленной государственным заказчиком карточки образцов подписей, представленной в соответствии с пунктом 11 настоящего Регламента;

соответствие подписи в "Сведениях о контракте (его изменении)" образцу подписи, имеющемуся в карточке образцов подписей, представленной государственным заказчиком в Управление (Отделение) в соответствии с пунктом 11 настоящего Регламента;

отсутствие в представленных государственным заказчиком "Сведениях о контракте (его изменении)" грифа секретности;

соответствие формы представляемых государственным заказчиком "Сведений о контракте (его изменении)" форме согласно приложению N 1 к Положению N 807;

заполнение представленных государственным заказчиком "Сведений о контракте (его изменении)" в соответствии с Указаниями по заполнению формы документа "Сведения о государственном или муниципальном контракте (его изменении), заключенном государственным или муниципальным заказчиком", согласно приложению N 1 к Положению N 807;

соответствие друг другу показателей в представляемых государственным заказчиком сведениях о контракте, предусмотренных приложением N 1 к Положению N 807, в том числе в части соответствия экономического содержания предмета контракта кодам классификации операций сектора государственного управления (КОСГУ), в соответствии с утвержденным порядком применения бюджетной классификации Российской Федерации;

отсутствие исправлений в представленных государственным заказчиком "Сведениях о контракте (его изменении)".

17. Не позднее рабочего дня, следующего за днем принятия от государственного заказчика "Сведений о контракте (его изменении)", специалист Управления (Отделения) вводит в информационную систему показатели прошедших в соответствии с пунктом 16 настоящего Регламента визуальную проверку "Сведений о контракте (его изменении)", осуществляет проверку соответствия введенных в информационную систему показателей с показателями представленных на бумажном носителе сведений о контракте и производит автоматизированную проверку указанных показателей в соответствии с приложением N 3 к настоящему Регламенту.

В случае выполнения автоматизированной проверки в информационной системе на основании введенных специалистом Управления (Отделения) показателей "Сведений о контракте (его изменении)", кодовая зона строки "Номер реестровой записи" заголовочной части которого не заполнена и в строке "Тип сведений" указан текст "первичные", формируется новая реестровая запись с уникальным номером реестровой записи.

Уникальный номер реестровой записи имеет следующую структуру:

1, 2, 3, 4, 5 - идентификационный код государственного заказчика, присвоенный ему в Сводном реестре главных распорядителей, распорядителей и получателей средств федерального бюджета, главных администраторов и администраторов доходов федерального бюджета, главных администраторов и администраторов источников финансирования дефицита федерального бюджета в случае открытия государственному заказчику в центральном аппарате Федерального казначейства или Управлении (Отделении) лицевого счета получателя (иного получателя) бюджетных средств, или, если государственным заказчиком является иной получатель за пределами Российской Федерации, орган управления государственным внебюджетным фондом Российской Федерации, а также находящееся в его ведении учреждение или организация, избирательная комиссия по субъекту Российской Федерации - идентификационный код государственного заказчика, присваиваемый Управлением (Отделением) самостоятельно:

первый знак кода является буквенным отличительным признаком (заглавная буква алфавита на русском языке) принадлежности к государственному внебюджетному фонду Российской Федерации или к избирательной комиссии по субъекту Российской Федерации: "П" - для Пенсионного фонда Российской Федерации, "М" - для Федерального фонда обязательного медицинского страхования, "С" - для Фонда социального страхования Российской Федерации; "И" - для избирательной комиссии по субъекту Российской Федерации;

второй, третий, четвертый и пятый знаки заполняются в соответствии с кодом, присвоенным Управлению (Отделению) в Ведомственном классификаторе территориальных органов Федерального казначейства (далее - КОФК). При этом в случае обращения в один орган Федерального казначейства двух и более органов государственного внебюджетного фонда Российской Федерации второй и третий знаки заполняются в аналогичном порядке, а решение о присвоении четвертого и пятого знаков принимается соответствующим Управлением, при этом дополнительно используются коды, не включенные в КОФК;

6, 7 - последние две цифры года, в котором показатели сведений о контракте были включены в Реестр контрактов;

8, 9, 10, 11, 12, 13 - порядковый номер реестровой записи, присваиваемый последовательно в соответствии со сквозной нумерацией, осуществляемой в пределах календарного года и государственного заказчика в соответствующем Управлении (Отделении).

При присвоении уникального номера реестровой записи государственному заказчику, которому в центральном аппарате Федерального казначейства или Управлении (Отделении) открыт лицевой счет иного получателя, используется идентификационный код государственного заказчика, присвоенный ему в Сводном реестре главных распорядителей, распорядителей и получателей средств федерального бюджета, главных администраторов и администраторов доходов федерального бюджета, главных администраторов и администраторов источников финансирования дефицита федерального бюджета, дополнительно доведенный центральным аппаратом Федерального казначейства до Управления (Отделения) по запросу Управления (Отделения) соответственно.

При присвоении уникального номера реестровой записи государственному заказчику, являющемуся иным получателем за пределами Российской Федерации, используется идентификационный код, дополнительно доведенный центральным аппаратом Федерального казначейства до Управления Федерального казначейства по г. Москве по запросу Управления Федерального казначейства по г. Москве.

В случае выполнения автоматизированной проверки в информационной системе на основании введенных специалистом Управления (Отделения) показателей "Сведений о контракте (его изменении)", в кодовой зоне строки "Номер реестровой записи" заголовочной части которого указан уникальный номер реестровой записи, присвоенный Управлением (Отделением), и в строке "Тип сведений" указан текст "измененные", осуществляется обновление существующей реестровой записи с присвоением порядкового номера изменения.

Включение в Реестр контрактов реестровых записей осуществляется в автоматизированном режиме при формировании новых или обновленных реестровых записей.

В случае выполнения автоматизированной проверки в информационной системе специалист Управления (Отделения) не позднее рабочего дня, следующего за днем включения в Реестр контрактов показателей полученных от государственного заказчика "Сведений о контракте (его изменении)", оформляет на бумажном носителе в двух экземплярах документ "Извещение о регистрации в органе Федерального казначейства сведений о государственном контракте (его изменении, исполнении, прекращении действия), заключенном от имени Российской Федерации по итогам размещения заказов" по образцу (приложение N 5 к настоящему Регламенту) (далее - "Извещение о регистрации"), указывает в поле "Ответственный исполнитель" должность, собственноручную подпись, расшифровку подписи в виде фамилии и инициалов, номер телефона, текущую дату или проставляет оттиск именного штампа и передает первые экземпляры "Расписки о приеме" (если первый экземпляр "Расписки о приеме" не был передан государственному заказчику ранее) и "Извещения о регистрации" непосредственно представителю государственного заказчика под подпись на вторых экземплярах "Расписки о приеме" и "Извещения о регистрации" с указанием даты получения, должности и расшифровки подписи в виде фамилии и инициалов лица, их получившего.

При невозможности передачи в указанные сроки непосредственно представителю государственного заказчика первых экземпляров "Расписки о приеме" и "Извещения о регистрации" специалист Управления (Отделения) не позднее рабочего дня, следующего за днем включения в Реестр контрактов показателей полученных от государственного заказчика "Сведений о контракте (его изменении)", обеспечивает в установленном в Управлении (Отделении) для отправки почтовой корреспонденции порядке направление государственному заказчику посредством почтовой связи первых экземпляров "Расписки о приеме" и "Извещения о регистрации" и ставит отметку о направлении на вторых экземплярах "Расписки о приеме" и "Извещения о регистрации" с указанием даты отправки, должности, собственноручной подписи, расшифровки подписи в виде фамилии и инициалов или проставляет оттиск именного штампа.

Вторые экземпляры "Расписки о приеме" и "Извещения о регистрации" вместе с соответствующими установленным настоящим Регламентом требованиям "Сведениями о контракте (его изменении)" специалист Управления (Отделения) помещает в дело с документами государственного заказчика, сформированное отдельно по каждому государственному заказчику (далее - дело государственного заказчика).

18. В случае обнаружения ошибок и/или несоответствий в "Сведениях о контракте (его изменении)" при проверках, установленных пунктами 16 или 17 настоящего Регламента, специалист Управления (Отделения) не позднее третьего рабочего дня, следующего за днем получения от государственного заказчика "Сведений о контракте (его изменении)", оформляет на бумажном носителе в двух экземплярах документ "Уведомление о возврате органом Федерального казначейства сведений о государственном контракте (его изменении, исполнении, прекращении действия), заключенном от имени Российской Федерации по итогам размещения заказа" по образцу (приложение N 6 к настоящему Регламенту) (далее - "Уведомление о возврате"), указывает в графе "Причина возврата" конкретную причину возврата, установленную пунктом 13 настоящего Регламента, в поле "Ответственный исполнитель" должность, собственноручную подпись, расшифровку подписи в виде фамилии и инициалов, номер телефона, текущую дату или проставляет оттиск именного штампа, подписывает "Уведомление о возврате" у начальника (иного уполномоченного лица) отдела Управления (Отделения), положение о котором предусматривает прием, проверку и обработку сведений о контракте, и передает первые экземпляры "Расписки о приеме" (если первый экземпляр "Расписки о приеме" не был передан государственному заказчику ранее) и "Уведомления о возврате" с приложением не соответствующих требованиям настоящего Регламента "Сведений о контракте (его изменении)" непосредственно представителю государственного заказчика под подпись на вторых экземплярах "Расписки о приеме" и "Уведомления о возврате" с указанием даты получения, должности и расшифровки подписи в виде фамилии и инициалов лица, их получившего.

При невозможности передачи в указанные сроки непосредственно представителю государственного заказчика первых экземпляров "Расписки о приеме" и "Уведомления о возврате" с приложением не соответствующих требованиям настоящего Регламента "Сведений о контракте (его изменении)" специалист Управления (Отделения) не позднее третьего рабочего дня, следующего за днем получения от государственного заказчика "Сведений о контракте (его изменении)", обеспечивает в установленном в Управлении (Отделении) для отправки почтовой корреспонденции порядке направление государственному заказчику посредством почтовой связи первых экземпляров "Расписки о приеме" и "Уведомления о возврате" и не соответствующих требованиям настоящего Регламента "Сведений о контракте (его изменении)" и ставит отметку о направлении на вторых экземплярах "Расписки о приеме" и "Уведомления о возврате" с указанием даты отправки, должности, собственноручной подписи, расшифровки подписи в виде фамилии и инициалов или проставляет оттиск именного штампа.

Вторые экземпляры "Расписки о приеме" и "Уведомления о возврате" вместе с копией не соответствующих требованиям настоящего Регламента "Сведений о контракте (его изменении)" специалист Управления (Отделения) помещает в дело государственного заказчика.

19. Управления (Отделения) при получении посредством СЭД от государственного заказчика сведений о контракте, представленных в электронном виде в соответствии с договором об обмене электронными документами между Управлением (Отделением) и государственным заказчиком, для проверки подписи уполномоченного лица государственного заказчика, подписавшего сведения о контракте в электронном виде, с ее образцом используют сертификат ЭЦП, выданный в установленном порядке подписывающему сведения о контракте в электронном виде уполномоченному лицу государственного заказчика.

При этом сведения о контракте в электронном виде могут быть подписаны ЭЦП любого уполномоченного лица государственного заказчика, получившего в установленном порядке сертификат ЭЦП в соответствии с указанным договором, из лиц, указанных в приказе государственного заказчика о наделении полномочиями по подписанию документов в электронном виде.

Сведения о контракте, представленные в Управление (Отделение) в электронном виде посредством СЭД, признаются подписанными надлежащим образом при положительном результате аутентификации ЭЦП на электронном документе соответствующему сертификату ЭЦП.

При представлении в Управление (Отделение) заявки на выдачу такого сертификата ЭЦП представляется подписанная в установленном порядке руководителем (иным уполномоченным лицом) государственного заказчика копия приказа государственного заказчика о наделении полномочиями по подписанию документов в электронном виде лица (лиц), которому (которым) необходимо выдать сертификат (сертификаты) ЭЦП.

Доведение информации в электронном виде о принятии Управлением (Отделением) от государственного заказчика посредством СЭД "Сведений о контракте (его изменении)" в электронном виде осуществляется автоматически при каждом сеансе связи Управления (Отделения) с государственным заказчиком в СЭД.

При получении посредством СЭД от государственного заказчика "Сведений о контракте (его изменении)" в электронном виде специалист Управления (Отделения):

в сроки, указанные в пункте 16 настоящего Регламента, в порядке, аналогичном установленному в пункте 16 настоящего Регламента, осуществляет визуальную проверку "Сведений о контракте (его изменении)" в электронном виде;

в сроки, указанные в пункте 17 настоящего Регламента, в порядке, аналогичном установленному в пункте 17 настоящего Регламента, осуществляет автоматизированную проверку и обработку прошедших визуальную проверку "Сведений о контракте (его изменении)" в электронном виде.

В случае выполнения автоматизированной проверки специалист Управления (Отделения) обеспечивает направление государственному заказчику "Извещения о регистрации" посредством СЭД в электронном виде с ЭЦП специалиста Управления (Отделения) в сроки, указанные в пункте 17 настоящего Регламента.

В случае обнаружения ошибок и/или несоответствий в "Сведениях о контракте (его изменении)" при визуальной или автоматизированной проверках, установленных настоящим Регламентом, специалист Управления (Отделения) обеспечивает направление государственному заказчику "Уведомления о возврате" посредством СЭД в электронном виде с ЭЦП специалиста Управления (Отделения) и с ЭЦП начальника (иного уполномоченного лица) отдела Управления (Отделения), положение о котором предусматривает прием, проверку и обработку сведений о контракте, в сроки, указанные в пункте 18 настоящего Регламента. При этом "Сведения о контракте (его изменении)", "Извещение о регистрации" и "Уведомление о возврате" подлежат хранению в электронном виде.

При невозможности передачи государственному заказчику посредством СЭД в электронном виде "Извещения о регистрации" или "Уведомления о возврате" специалист Управления (Отделения) в сроки, указанные в пунктах 17 - 18 настоящего Регламента, обеспечивает направление государственному заказчику "Извещения о регистрации" или "Уведомления о возврате" в порядке, аналогичном установленному в пунктах 17 - 18 настоящего Регламента.

20. При получении посредством почтовой связи от государственного заказчика "Сведений о контракте (его изменении)" на бумажном носителе работник Управления (Отделения), ответственный за прием и обработку входящей корреспонденции (далее - ответственный исполнитель), в день получения обеспечивает регистрацию "Сведений о контракте (его изменении)" на бумажном носителе в установленном в Управлении (Отделении) для регистрации почтовой корреспонденции порядке и передает их начальнику (иному уполномоченному лицу) отдела Управления (Отделения), положение о котором предусматривает прием, проверку и обработку сведений о контракте. Начальник (иное уполномоченное лицо) отдела Управления (Отделения), положение о котором предусматривает прием, проверку и обработку сведений о контракте, в тот же день передает "Сведения о контракте (его изменении)" на бумажном носителе принимающему сведения специалисту Управления (Отделения) для проставления отметки в строке "Ответственный исполнитель" в поле "Отметки органа, уполномоченного на ведение реестра контрактов, о принятии сведений" "Сведений о контракте (его изменении)" и последующей передачи специалисту Управления (Отделения).

Специалист Управления (Отделения) в сроки, указанные в пунктах 16 - 18 настоящего Регламента, в порядке, аналогичном установленному в пунктах 16 - 18 настоящего Регламента, осуществляет проверку и обработку "Сведений о контракте (его изменении)" на бумажном носителе, при этом направление государственному заказчику "Извещения о регистрации" или "Уведомления о возврате" осуществляется посредством почтовой связи в порядке, аналогичном установленному в пунктах 17 - 18 настоящего Регламента.

Второй экземпляр "Извещения о регистрации" вместе с соответствующими установленным настоящим Регламентом требованиям "Сведениями о контракте (его изменении)" или "Уведомления о возврате" вместе с копией не соответствующих требованиям настоящего Регламента "Сведений о контракте (его изменении)" специалист Управления (Отделения) помещает в дело государственного заказчика.

21. "Сведения об исполнении (прекращении действия) контракта" принимаются Управлением или Отделением в соответствии с пунктом 3 настоящего Регламента в зависимости от способа оформления:

на бумажном носителе в одном экземпляре непосредственно от представителя государственного заказчика;

на бумажном носителе в одном экземпляре при направлении посредством почтовой связи;

в электронном виде при направлении посредством СЭД.

"Сведения об исполнении (прекращении действия) контракта" принимаются Управлением (Отделением) в электронном виде или на бумажном носителе соответственно в установленные часы работы или приема сведений о контракте от государственных заказчиков Управлением (Отделением).

В случае если "Сведения об исполнении (прекращении действия) контракта" поступили по окончании установленных часов работы или приема соответственно Управлением или Отделением сведений о контракте от государственных заказчиков, днем поступления "Сведений об исполнении (прекращении действия) контракта" считается следующий рабочий день.

22. При приеме непосредственно от представителя государственного заказчика "Сведений об исполнении (прекращении действия) контракта" на бумажном носителе принимающий сведения специалист Управления (Отделения) в присутствии представителя государственного заказчика:

проставляет в строке "Ответственный исполнитель" в поле "Отметки органа, уполномоченного на ведение реестра контрактов, о принятии сведений" "Сведений об исполнении (прекращении действия) контракта" должность, собственноручную подпись, расшифровку подписи в виде фамилии и инициалов, текущую дату или оттиск именного штампа;

оформляет на бумажном носителе в двух экземплярах документ "Расписка о приеме", указывает в поле "Ответственный исполнитель" должность, собственноручную подпись, расшифровку подписи в виде фамилии и инициалов, номер телефона, текущую дату или проставляет оттиск именного штампа;

передает первый экземпляр "Расписки о приеме" непосредственно представителю государственного заказчика под подпись на втором экземпляре "Расписки о приеме" с указанием даты получения, должности и расшифровки подписи в виде фамилии и инициалов лица, ее получившего;

передает второй экземпляр "Расписки о приеме" специалисту Управления (Отделения).

При невозможности передачи в указанные сроки непосредственно представителю государственного заказчика первого экземпляра "Расписки о приеме" принимающий сведения специалист Управления (Отделения) в день приема от государственного заказчика "Сведений об исполнении (прекращении действия) контракта" передает два экземпляра "Расписки о приеме" специалисту Управления (Отделения).

Принимающий сведения специалист Управления (Отделения) в день приема от государственного заказчика "Сведений об исполнении (прекращении действия) контракта" передает специалисту Управления (Отделения) "Сведения об исполнении (прекращении действия) контракта" с заполненной строкой "Ответственный исполнитель" в поле "Отметки органа, уполномоченного на ведение реестра контрактов, о принятии сведений" "Сведений об исполнении (прекращении действия) контракта" и указанием текущей даты.

Специалист Управления (Отделения) при получении "Сведений об исполнении (прекращении действия) контракта" визуально проверяет:

соответствие подписи в "Сведениях об исполнении (прекращении действия) контракта" образцу подписи, имеющемуся в карточке образцов подписей, представленной государственным заказчиком в Управление (Отделение) в соответствии с пунктом 11 настоящего Регламента;

отсутствие в представленных государственным заказчиком "Сведениях о контракте (его изменении)" грифа секретности;

соответствие формы представляемых государственным заказчиком "Сведений об исполнении (прекращении действия) контракта" форме согласно приложению N 2 к Положению N 807;

заполнение представленных государственным заказчиком "Сведений об исполнении (прекращении действия) контракта" в соответствии с Указаниями по заполнению формы документа "Сведения об исполнении (о прекращении действия) государственного или муниципального контракта", согласно приложению N 2 к Положению N 807;

соответствие друг другу показателей в представляемых государственным заказчиком "Сведениях об исполнении (прекращении действия) контракта", предусмотренных приложением N 2 к Положению N 807;

отсутствие исправлений в представленных государственным заказчиком "Сведениях об исполнении (прекращении действия) контракта".

23. Не позднее рабочего дня, следующего за днем принятия от государственного заказчика "Сведений об исполнении (прекращении действия) контракта", специалист Управления (Отделения) вводит в информационную систему показатели прошедших визуальную проверку в соответствии с пунктом 22 настоящего Регламента "Сведений об исполнении (прекращении действия) контракта", осуществляет проверку соответствия введенных в информационную систему показателей с показателями представленных на бумажном носителе сведений о контракте и производит автоматизированную проверку показателей указанного документа в соответствии с приложением N 4 к настоящему Регламенту.

В случае выполнения автоматизированной проверки в информационной системе на основании введенных специалистом Управления (Отделения) показателей "Сведений об исполнении (прекращении действия) контракта" осуществляется обновление соответствующей реестровой записи с присвоением очередного номера изменения.

В случае выполнения автоматизированной проверки в информационной системе специалист Управления (Отделения) не позднее рабочего дня, следующего за днем включения в Реестр контрактов показателей полученных от государственного заказчика "Сведений об исполнении (прекращении действия) контракта", оформляет на бумажном носителе в двух экземплярах "Извещение о регистрации", указывает в поле "Ответственный исполнитель" должность, собственноручную подпись, расшифровку подписи в виде фамилии и инициалов, номер телефона, текущую дату или проставляет оттиск именного штампа и передает первые экземпляры "Расписки о приеме" (если первый экземпляр "Расписки о приеме" не был передан государственному заказчику ранее) и "Извещения о регистрации" непосредственно представителю государственного заказчика под подпись на вторых экземплярах "Расписки о приеме" и "Извещения о регистрации" с указанием даты получения, должности и расшифровки подписи в виде фамилии и инициалов лица, их получившего.

При невозможности передачи в указанные сроки непосредственно представителю государственного заказчика первых экземпляров "Расписки о приеме" и "Извещения о регистрации" специалист Управления (Отделения) не позднее рабочего дня, следующего за днем включения в Реестр контрактов показателей полученных от государственного заказчика "Сведений об исполнении (прекращении действия) контракта", обеспечивает в установленном в Управлении (Отделении) для отправки почтовой корреспонденции порядке направление государственному заказчику посредством почтовой связи первых экземпляров "Расписки о приеме" и "Извещения о регистрации" и ставит отметку о направлении на вторых экземплярах "Расписки о приеме" и "Извещения о регистрации" с указанием даты отправки, должности, собственноручной подписи, расшифровки подписи в виде фамилии и инициалов или проставляет оттиск именного штампа.

Вторые экземпляры "Расписки о приеме" и "Извещения о регистрации" вместе с соответствующими требованиям настоящего Регламента "Сведениями об исполнении (прекращении действия) контракта" специалист Управления (Отделения) помещает в дело государственного заказчика.

24. В случае обнаружения ошибок и/или несоответствий в "Сведениях об исполнении (прекращении действия) контракта" при проверках, установленных пунктами 22 или 23 настоящего Регламента, специалист Управления (Отделения) не позднее третьего рабочего дня, следующего за днем получения от государственного заказчика "Сведений об исполнении (прекращении действия) контракта", оформляет на бумажном носителе в двух экземплярах "Уведомление о возврате", указывает в графе "Причина возврата" конкретную причину возврата, установленную пунктом 13 настоящего Регламента, в поле "Ответственный исполнитель" должность, собственноручную подпись, расшифровку подписи в виде фамилии и инициалов, номер телефона, текущую дату или проставляет оттиск именного штампа, подписывает "Уведомление о возврате" у начальника (иного уполномоченного лица) отдела Управления (Отделения), положение о котором предусматривает прием, проверку и обработку сведений о контракте, и передает первые экземпляры "Расписки о приеме" (если первый экземпляр "Расписки о приеме" не был передан государственному заказчику ранее) и "Уведомления о возврате" с приложением не соответствующих требованиям настоящего Регламента "Сведений об исполнении (прекращении действия) контракта" непосредственно представителю государственного заказчика под подпись на вторых экземплярах "Расписки о приеме" и "Уведомления о возврате" с указанием даты получения, должности и расшифровки подписи в виде фамилии и инициалов лица, их получившего.

При невозможности передачи в указанные сроки непосредственно представителю государственного заказчика первых экземпляров "Расписки о приеме" и "Уведомления о возврате" с приложением не соответствующих требованиям настоящего Регламента "Сведений об исполнении (прекращении действия) контракта" специалист Управления (Отделения) не позднее третьего рабочего дня, следующего за днем получения от государственного заказчика "Сведений об исполнении (прекращении действия) контракта", обеспечивает в установленном в Управлении (Отделении) для отправки почтовой корреспонденции порядке направление государственному заказчику посредством почтовой связи первых экземпляров "Расписки о приеме" и "Уведомления о возврате" и не соответствующих требованиям настоящего Регламента "Сведений об исполнении (прекращении действия) контракта" и ставит отметку о направлении на вторых экземплярах "Расписки о приеме" и "Уведомления о возврате" с указанием даты отправки, должности, собственноручной подписи, расшифровки подписи в виде фамилии и инициалов или проставляет оттиск именного штампа.

Вторые экземпляры "Расписки о приеме" и "Уведомления о возврате" вместе с копией не соответствующих требованиям настоящего Регламента "Сведений об исполнении (прекращении действия) контракта" специалист Управления (Отделения) помещает в дело государственного заказчика.

25. Доведение информации в электронном виде о принятии Управлением (Отделением) от государственного заказчика посредством СЭД "Сведений об исполнении (прекращении действия) контракта" в электронном виде осуществляется автоматически при каждом сеансе связи Управления (Отделения) с государственным заказчиком в СЭД.

При получении посредством СЭД от государственного заказчика "Сведений об исполнении (прекращении действия) контракта" в электронном виде специалист Управления (Отделения):

в сроки, указанные в пункте 22 настоящего Регламента, в порядке, аналогичном установленному в пункте 22 настоящего Регламента, осуществляет визуальную проверку "Сведений об исполнении (прекращении действия) контракта" в электронном виде;

в сроки, указанные в пункте 23 настоящего Регламента, в порядке, аналогичном установленному в пункте 23 настоящего Регламента, осуществляет автоматизированную проверку и обработку прошедших визуальную проверку "Сведений об исполнении (прекращении действия) контракта" в электронном виде.

В случае выполнения автоматизированной проверки специалист Управления (Отделения) обеспечивает направление государственному заказчику "Извещения о регистрации" посредством СЭД в электронном виде с ЭЦП специалиста Управления (Отделения) в сроки, указанные в пункте 23 настоящего Регламента.

В случае обнаружения ошибок и/или несоответствий в "Сведениях об исполнении (прекращении действия) контракта" при визуальной или автоматизированной проверках, установленных настоящим Регламентом, специалист Управления (Отделения) обеспечивает направление государственному заказчику "Уведомления о возврате" посредством СЭД в электронном виде с ЭЦП специалиста Управления (Отделения) и с ЭЦП начальника (иного уполномоченного лица) отдела Управления (Отделения), положение о котором предусматривает прием, проверку и обработку сведений о контракте, в сроки, указанные в пункте 24 настоящего Регламента. При этом "Сведения об исполнении (прекращении действия) контракта", "Извещение о регистрации" и "Уведомление о возврате" подлежат хранению в электронном виде.

При невозможности передачи государственному заказчику посредством СЭД в электронном виде "Извещения о регистрации" или "Уведомления о возврате" специалист Управления (Отделения) в сроки, указанные в пунктах 23 - 24 настоящего Регламента, обеспечивает направление государственному заказчику "Извещения о регистрации" или "Уведомления о возврате" в порядке, аналогичном установленному в пунктах 23 - 24 настоящего Регламента.

26. При получении посредством почтовой связи от государственного заказчика "Сведений об исполнении (прекращении действия) контракта" на бумажном носителе ответственный исполнитель в день получения обеспечивает регистрацию "Сведений об исполнении (прекращении действия) контракта" на бумажном носителе в установленном в Управлении (Отделении) для регистрации почтовой корреспонденции порядке и передает их начальнику (иному уполномоченному лицу) отдела Управления (Отделения), положение о котором предусматривает прием, проверку и обработку сведений о контракте. Начальник (иное уполномоченное лицо) отдела Управления (Отделения), положение о котором предусматривает прием, проверку и обработку сведений о контракте, в тот же день передает "Сведения об исполнении (прекращении действия) контракта" на бумажном носителе принимающему сведения специалисту Управления (Отделения) для проставления отметки в строке "Ответственный исполнитель" в поле "Отметки органа, уполномоченного на ведение реестра контрактов, о принятии сведений" "Сведений об исполнении (прекращении действия) контракта" и последующей передачи специалисту Управления (Отделения).

Специалист Управления (Отделения) в сроки, указанные в пунктах 22 - 23 настоящего Регламента, в порядке, аналогичном установленному в пунктах 22 - 23 настоящего Регламента, осуществляет проверку и обработку "Сведений об исполнении (прекращении действия) контракта" на бумажном носителе, при этом направление государственному заказчику первых экземпляров "Извещения о регистрации" или "Уведомления о возврате" осуществляется посредством почтовой связи или в порядке, аналогичном установленному в пунктах 23 - 24 настоящего Регламента.

Второй экземпляр "Извещения о регистрации" вместе с соответствующими установленным настоящим Регламентом требованиям "Сведениями об исполнении (прекращении действия) контракта" или "Уведомления о возврате" вместе с копией не соответствующих требованиям настоящего Регламента "Сведений об исполнении (прекращении действия) контракта" специалист Управления (Отделения) помещает в дело государственного заказчика.

27. Не позднее 15 часов 00 минут местного времени рабочего дня, следующего за днем принятия от государственного заказчика сведений о контракте, реестровая запись с присвоенным уникальным номером (обновленная реестровая запись с присвоенным порядковым номером изменения) в электронном виде подписывается ЭЦП работника Отделения, уполномоченного руководителем (иным уполномоченным лицом) Отделения на отправку реестровых записей в Управление, и по существующим каналам связи передается специалистом Отделения в Управление. Специалист Отделения проверяет своевременность доставки реестровых записей до Управления. Проверка отсутствия искажений при доставке реестровых записей из Отделения в Управление осуществляется в автоматизированном режиме.

28. Не позднее 17 часов 00 минут местного времени рабочего дня, следующего за днем принятия от государственного заказчика сведений о контракте, реестровые записи, сформированные в информационной системе специалистами Управления, и реестровые записи, полученные специалистом Управления от специалистов Отделений в электронном виде, подписываются ЭЦП работника Управления, уполномоченного руководителем (иным уполномоченным лицом) Управления на отправку реестровых записей в центральный аппарат Федерального казначейства, и передаются специалистом Управления по существующим каналам связи в центральный аппарат Федерального казначейства. Специалист Управления проверяет своевременность доставки реестровых записей до центрального аппарата Федерального казначейства. Проверка отсутствия искажений при доставке реестровых записей из Управления в центральный аппарат Федерального казначейства осуществляется в автоматизированном режиме.

Сведения о контракте, полученные от Отделений в электронном виде по существующим каналам связи после 15-00 местного времени, обрабатываются и направляются Управлением в центральный аппарат Федерального казначейства на следующий рабочий день.

29. Не позднее 12 часов 00 минут московского времени рабочего дня, следующего за днем получения от Управлений в электронном виде с ЭЦП специалистов Управлений реестровых записей, работник Операционного управления Федерального казначейства, назначенный приказом Федерального казначейства ответственным за размещение и приведение в актуальное состояние Реестра контрактов на Официальном сайте (далее - ответственный работник Операционного управления Федерального казначейства), в автоматизированном режиме осуществляет объединение указанных реестровых записей в актуализированный Реестр контрактов. Актуализированный Реестр контрактов размещается ответственным работником Операционного управления Федерального казначейства на Официальном сайте. Ответственный работник Операционного управления Федерального казначейства проверяет полноту размещения на Официальном сайте актуализированного Реестра контрактов, сформированного на основании полученных центральным аппаратом Федерального казначейства от специалистов Управлений реестровых записей. Работники отделов Управления информационных систем Федерального казначейства, положения о которых предусматривают обеспечение технической поддержки и контроля за работоспособностью информационной системы (далее - обеспечивающий специалист), обеспечивают работоспособность информационной системы центрального аппарата Федерального казначейства при размещении и приведении в актуальное состояние Реестра контрактов на Официальном сайте.

30. Специалист Управления (Отделения) не позднее трех рабочих дней, следующих за днем направления Управлением (Отделением) реестровых записей в центральный аппарат Федерального казначейства (Управление), проверяет в автоматизированном режиме соответствие размещенных на Официальном сайте показателей сведений о контракте и показателей соответствующих сведений о контракте, ранее принятых Управлением (Отделением) от государственных заказчиков и направленных в центральный аппарат Федерального казначейства (Управление) в виде реестровых записей.

В случае обнаружения специалистом Управления (Отделения) несоответствия в размещенных на Официальном сайте показателях реестровых записей и показателях соответствующих сведений о контракте, ранее представленных в Управление (Отделение) государственным заказчиком, и/или в случае письменного обращения государственного заказчика в Управление (Отделение) при выявлении им аналогичных несоответствий специалист Управления (Отделения) не позднее рабочего дня, следующего за днем обнаружения несоответствий и/или поступления письменного обращения государственного заказчика:

заново вводит в информационную систему показатели сведений о контракте, соответствующие показателям в ранее представленных государственным заказчиком в Управление (Отделение) сведениях о контракте, с сохранением соответствующего ранее присвоенного Управлением (Отделением) номера реестровой записи и порядкового номера изменения и проставлением в поле "Отметки органа, уполномоченного на ведение реестра контрактов, о принятии сведений" сведений о контракте в строке "Ответственный исполнитель" должности и расшифровки подписи в виде фамилии и инициалов, в строке "Руководитель или иное уполномоченное лицо" должности и расшифровки подписи в виде фамилии и инициалов руководителя или иного уполномоченного лица Управления (Отделения), текущей даты;

распечатывает на бумажный носитель из информационной системы сведения о контракте:

в поле "Отметки органа, уполномоченного на ведение реестра контрактов, о принятии сведений" сведений о контракте в строке "Ответственный исполнитель" проставляет собственноручную подпись и обеспечивает проставление руководителем или иным уполномоченным лицом Управления (Отделения) в строке "Руководитель или иное уполномоченное лицо" собственноручной подписи.

Специалист Отделения не позднее 15 часов 00 минут местного времени рабочего дня, следующего за днем обнаружения несоответствий и/или поступления письменного обращения государственного заказчика в порядке, аналогичном установленному в пункте 27 настоящего Регламента, направляет в электронном виде по существующим каналам связи в Управление заново сформированные в информационной системе реестровые записи с устраненным несоответствием.

Специалист Управления не позднее 17 часов 00 минут местного времени рабочего дня, следующего за днем обнаружения несоответствий и/или поступления письменного обращения государственного заказчика в порядке, аналогичном установленному в пункте 28 настоящего Регламента, направляет в электронном виде по существующим каналам связи в центральный аппарат Федерального казначейства реестровые записи с устраненным несоответствием, полученные специалистом Управления от специалистов Отделений, и реестровые записи с устраненным несоответствием, заново сформированные в информационной системе специалистами Управления.

Ответственный работник Операционного управления Федерального казначейства в сроки, указанные в пункте 29 настоящего Регламента, в порядке, аналогичном установленному в пункте 29 настоящего Регламента, осуществляет объединение реестровых записей с устраненным несоответствием в актуализированный Реестр контрактов и размещает его на Официальном сайте.

Распечатанные на бумажный носитель из информационной системы сведения о контракте с проставленными в поле "Отметки органа, уполномоченного на ведение реестра контрактов, о принятии сведений" сведений о контракте собственноручными подписями специалиста Управления (Отделения) и руководителя или иного уполномоченного лица Управления (Отделения), текущей даты специалист Управления (Отделения) помещает в дело государственного заказчика.

31. Управление (Отделение) принимает от государственных заказчиков подписанные уполномоченными на подписание сведений о контракте лицами письменные обращения государственных заказчиков об отзыве сведений о контракте, ранее представленных в Управление (Отделение), с указанием в обращении даты заполнения сведений о контракте, наименования заказчика, типа сведений, даты заключения контракта, номера контракта, цены контракта в рублях, срока исполнения контракта, присвоенного Управлением (Отделением) номера реестровой записи (при наличии) (далее - Обращение госзаказчика об отзыве сведений).

Обращение госзаказчика об отзыве сведений принимается Управлением (Отделением) на бумажном носителе - непосредственно от представителя государственного заказчика или при направлении посредством почтовой связи, в электронном виде - при направлении посредством СЭД.

При поступлении в Управление (Отделение) Обращения госзаказчика об отзыве сведений специалист Управления (Отделения) не позднее рабочего дня, следующего за днем получения Обращения госзаказчика об отзыве сведений, проверяет:

соответствие подписи в Обращении госзаказчика об отзыве сведений на бумажном носителе образцу подписи, имеющемуся в карточке образцов подписей, представленной государственным заказчиком в Управление (Отделение) в соответствии с пунктом 11 настоящего Регламента;

в автоматизированном режиме подтверждение подлинности ЭЦП лиц государственного заказчика, уполномоченных на подписание сведений о контракте, в Обращении госзаказчика об отзыве сведений в электронном виде.

В случае выполнения проверки специалист Управления (Отделения) проверяет:

наличие в Управлении (Отделении) на бумажном носителе или в электронном виде сведений о контракте с показателями, соответствующими показателям сведений о контракте, указанными в Обращении госзаказчика об отзыве сведений;

отсутствие факта включения в Реестр контрактов сведений о контракте, указанных в Обращении госзаказчика об отзыве сведений.

В случае выполнения проверок, установленных настоящим пунктом, специалист Управления (Отделения) не позднее третьего рабочего дня, следующего за днем принятия Обращения госзаказчика об отзыве сведений, обеспечивает направление государственному заказчику способом, аналогичным способу представления Обращения госзаказчика об отзыве сведений, в порядке, аналогичном установленному в пункте 18 и пункте 19 настоящего Регламента, "Уведомления о возврате" с указанием в графе "Причина возврата" текста "На основании Обращения госзаказчика об отзыве сведений" с указанием даты и номера Обращения и с приложением соответствующих сведений о контракте, в случае представления Обращения государственного заказчика об отзыве сведений на бумажном носителе.

В случае несоответствия Обращения госзаказчика об отзыве сведений требованиям настоящего Регламента специалист Управления (Отделения) не позднее третьего рабочего дня, следующего за днем осуществления проверок, извещает об этом государственного заказчика способом, аналогичным способу представления Обращения госзаказчика об отзыве сведений, при этом Обращение госзаказчика об отзыве сведений исполнению не подлежит.

Обращение госзаказчика об отзыве сведений на бумажном носителе с приложением копии сведений о контракте специалист Управления (Отделения) помещает в дело государственного заказчика, Обращение госзаказчика об отзыве сведений, поступившее посредством СЭД, подлежит хранению в электронном виде.

32. Блок-схема последовательности действий при исполнении государственной функции по ведению Реестра контрактов приведена в приложениях N 8, 9, 10, 11, 12 и 13 к настоящему Регламенту.

33. Реестр контрактов доступен для свободного просмотра и получения в виде электронного файла в формате таблиц MICROSOFT OFFICE EXCEL по установленной форме на Официальном сайте.

IV. Порядок и формы контроля

34. Текущий контроль за соблюдением и исполнением работниками центрального аппарата Федерального казначейства, Управлений и Отделений положений Регламента и иных законодательных и нормативных правовых актов, устанавливающих требования к исполнению государственной функции по ведению Реестра контрактов, а также принятием решений ответственными должностными лицами центрального аппарата Федерального казначейства, Управления, Отделения осуществляют соответственно начальник и/или заместитель начальника отдела центрального аппарата Федерального казначейства, положение о котором предусматривает размещение и поддержание в актуальном состоянии Реестра контрактов, начальник и/или заместитель начальника отдела Управления, Отделения, положение о котором предусматривает прием, проверку и обработку сведений о контракте.

Контроль за полнотой и качеством исполнения работниками центрального аппарата Федерального казначейства, Управлений и Отделений государственной функции по ведению Реестра контрактов осуществляется в форме последующего контроля Управлением внутреннего контроля и аудита Федерального казначейства, в соответствии с правилами проведения проверок деятельности территориальных органов Федерального казначейства, утвержденными в установленном порядке.

Внеплановые проверки проводятся по конкретным обращениям заявителей на действия Управлений (Отделений) и их должностных лиц Управлением внутреннего контроля и аудита Федерального казначейства.

Ответственные должностные лица центрального аппарата Федерального казначейства, Управлений и Отделений, указанные в Регламенте, несут персональную, дисциплинарную, гражданско-правовую, административную и уголовную ответственность за решения и действия (бездействие), принимаемые (осуществляемые) в ходе исполнения Федеральным казначейством государственной функции по ведению Реестра контрактов.

V. Порядок обжалования действий (бездействия) должностных лиц, а также принимаемых ими решений при исполнении государственной функции по ведению Реестра контрактов

35. Решения должностных лиц центрального аппарата Федерального казначейства, Управлений или Отделений, принятые в рамках исполнения государственной функции по ведению Реестра контрактов, а также их действия или бездействие могут быть обжалованы в досудебном и судебном порядке.

Контроль деятельности Отделений осуществляет Управление.

Контроль деятельности Управлений осуществляет центральный аппарат Федерального казначейства.

Контроль деятельности Федерального казначейства осуществляет Министерство финансов Российской Федерации.

В досудебном порядке могут обжаловаться действия (бездействие) и решения должностных лиц центрального аппарата Федерального казначейства, Управлений или Отделений:

Заявитель может обжаловать действия или бездействие должностных лиц центрального аппарата Федерального казначейства:

руководителю Федерального казначейства;

в Министерство финансов Российской Федерации.

Заявитель может обжаловать действия или бездействие должностных лиц Управления:

руководителю Управления;

в центральный аппарат Федерального казначейства;

в Министерство финансов Российской Федерации.

Заявитель может обжаловать действия или бездействие должностных лиц Отделения:

руководителю Отделения;

в вышестоящее Управление;

в центральный аппарат Федерального казначейства;

в Министерство финансов Российской Федерации.

36. Заявитель вправе обратиться с жалобой лично (устно) или направить письменное предложение, заявление или жалобу (далее - письменное обращение).

Должностные лица центрального аппарата Федерального казначейства, Управлений и Отделений проводят личный прием заявителей.

Места, дни и время приема заявителей должностными лицами центрального аппарата Федерального казначейства, Управлений и Отделений устанавливаются приказами Федерального казначейства, Управлений и Отделений соответственно. Указанная информация размещается на официальных сайтах Федерального казначейства, Управлений и Отделений (при наличии официального сайта) соответственно, а также на информационных стендах.

При письменном обращении заявителя срок его рассмотрения не превышает 30 календарных дней со дня регистрации письменного обращения.

В исключительных случаях (в том числе при принятии решения о проведении проверки деятельности Управления или Отделения, направлении центральным аппаратом Федерального казначейства запроса в соответствующее Управление о представлении дополнительных документов и материалов), а также в случае направления запроса другим государственным органам и иным должностным лицам для получения необходимых для рассмотрения письменного обращения документов и материалов руководитель, заместитель руководителя Федерального казначейства, министр финансов Российской Федерации, его заместитель, иное уполномоченное должностное лицо вправе продлить срок рассмотрения письменного обращения не более чем на 30 календарных дней, уведомив о продлении срока его рассмотрения заявителя.

37. Заявитель в своем письменном обращении в обязательном порядке указывает либо наименование органа, в который направляет письменное обращение, либо фамилию, имя, отчество соответствующего должностного лица, либо должность соответствующего лица, а также свои фамилию, имя, отчество (последнее - при наличии), полное наименование для юридического лица, почтовый адрес, по которому должны быть направлены ответ или уведомление о переадресации письменного обращения, излагает суть предложения, заявления или жалобы, ставит личную подпись и дату.

Дополнительно в письменном обращении могут быть указаны:

наименование Управления или Отделения, должность, фамилия, имя и отчество работника центрального аппарата Федерального казначейства, Управления или Отделения, действия (бездействие) которого обжалуются;

суть обжалуемого действия (бездействия);

обстоятельства, на основании которых заявитель считает, что нарушены его права, свободы и законные интересы, созданы препятствия к их реализации либо незаконно возложена какая-либо обязанность;

иные сведения, которые заявитель считает необходимым сообщить.

В случае необходимости в подтверждение своих доводов заявитель прилагает к письменному обращению документы и материалы либо их копии.

По результатам рассмотрения письменного обращения должностным лицом центрального аппарата Федерального казначейства, Управления или Отделения принимается решение об удовлетворении требований заявителя либо об отказе в удовлетворении жалобы.

Письменный ответ, содержащий результаты рассмотрения письменного обращения, направляется заявителю.

38. Если в письменном обращении не указаны фамилия заявителя, направившего письменное обращение, и почтовый адрес, по которому должен быть направлен ответ, ответ на письменное обращение не дается.

Центральный аппарат Федерального казначейства, Управление или Отделение при получении письменного обращения, в котором содержатся нецензурные либо оскорбительные выражения, угрозы жизни, здоровью и имуществу должностного лица, а также членов его семьи, вправе оставить письменное обращение без ответа по существу поставленных в нем вопросов и сообщить заявителю, направившему письменное обращение, о недопустимости злоупотребления правом.

Если текст письменного обращения не поддается прочтению, ответ на письменное обращение не дается, о чем сообщается заявителю, направившему письменное обращение, если его фамилия и почтовый адрес поддаются прочтению.

Если в письменном обращении заявителя содержится вопрос, на который заявителю многократно давались письменные ответы по существу в связи с ранее направляемыми письменными обращениями, и при этом в письменном обращении не приводятся новые доводы или обстоятельства, руководитель Федерального казначейства, Управления или Отделения, иное уполномоченное на то должностное лицо вправе принять решение о безосновательности очередного письменного обращения и прекращении переписки с заявителем по данному вопросу при условии, что указанное письменное обращение и ранее направляемые письменные обращения направлялись в центральный аппарат Федерального казначейства, одно и то же Управление или Отделение или одному и тому же должностному лицу. О данном решении уведомляется заявитель, направивший письменное обращение.

Если причины, по которым ответ по существу поставленных в письменном обращении вопросов не мог быть дан, в последующем были устранены, заявитель вправе вновь направить письменное обращение в Министерство финансов Российской Федерации, центральный аппарат Федерального казначейства, Управление или Отделение или к соответствующему должностному лицу Министерства финансов Российской Федерации, центрального аппарата Федерального казначейства, Управления или Отделения.

Заявители вправе обжаловать решения, принятые в ходе исполнения Федеральным казначейством государственной функции по ведению Реестра контрактов, действия или бездействие должностных лиц Министерства финансов Российской Федерации, центрального аппарата Федерального казначейства, Управления или Отделения в судебном порядке.

39. Заявители могут сообщить о нарушении своих прав и законных интересов, неправомерных решениях, действиях (бездействии) должностных лиц центрального аппарата Федерального казначейства, Управления или Отделения, нарушении положений настоящего Регламента, некорректном поведении или нарушении служебной этики:

по номерам телефонов, указанных в настоящем Регламенте;

на Интернет-сайт и посредством электронной почты Федерального казначейства, Управлений или Отделений.

Сообщение заявителя должно содержать следующую информацию:

фамилию, имя, отчество (последнее - при наличии) гражданина (наименование юридического лица), которым подается сообщение, его место жительства или пребывания;

наименование органа, должность, фамилию, имя и отчество работника центрального аппарата Федерального казначейства, Управления или Отделения (при наличии информации), решение, действия (бездействие) которого нарушили права и законные интересы заявителя;

суть нарушенных прав и законных интересов, противоправного решения, действия (бездействия);

сведения о способе информирования заявителя о принятых мерах по результатам рассмотрения его сообщения.

40. Центральный аппарат Федерального казначейства в пределах своих полномочий обеспечивает рассмотрение жалоб граждан и организаций, поступивших непосредственно в адрес центрального аппарата Федерального казначейства, принятых или направленных ему по принадлежности, в соответствии с Регламентом Федерального казначейства, утвержденным Приказом Федерального казначейства от 10.04.2006 N 5н.

41. Действия (бездействие) и решения должностных лиц центрального аппарата Федерального казначейства, Управлений или Отделений, связанные с исполнением государственной функции по ведению Реестра контрактов, могут быть обжалованы в судебном порядке в сроки, установленные в соответствии с законодательством Российской Федерации.

Приложение N 1
к Административному регламенту
Федерального казначейства
по исполнению государственной
функции по ведению реестра
государственных контрактов,
заключенных от имени
Российской Федерации
по итогам размещения заказов

СВЕДЕНИЯ О МЕСТОНАХОЖДЕНИИ, ПОЧТОВЫХ И ЭЛЕКТРОННЫХ АДРЕСАХ, КОНТАКТНЫХ ТЕЛЕФОНАХ УПРАВЛЕНИЙ ФЕДЕРАЛЬНОГО КАЗНАЧЕЙСТВА ПО СУБЪЕКТАМ РОССИЙСКОЙ ФЕДЕРАЦИИ

Управление Федерального казначейства по Республике Адыгея (Адыгея)

Адрес: 385000, Республика Адыгея, г. Майкоп,

Телефон: 8-8772-52-48-00, 57-05-00

Адрес сайта: adygeya.roskazna.ru

Управление Федерального казначейства по Республике Алтай

Адрес: 649000, г. Горно-Алтайск, ул. Чаптынова, 4

Телефон: 8-38822-28-4-28, 2-79-26

Адрес сайта: r-altay.roskazna.ru

Управление Федерального казначейства по Республике Башкортостан

Адрес: 450076, г. Уфа, ул. Гоголя, 62

Телефон: 8-3472-51-50-99

Адрес сайта: ufa.roskazna.ru

Управление Федерального казначейства по Республике Бурятия

Адрес: 670000, г. Улан-Удэ, ул. Ермаковского, 12

Телефон: 8-3012-22-27-95

Адрес сайта: buryatia.roskazna.ru

Управление Федерального казначейства по Республике Дагестан

Адрес: 367015, Республика Дагестан, г. Махачкала, ул. Ярагского, 93

Телефон: 8-8722-67-24-81

Адрес сайта: dagestan.roskazna.ru

Управление Федерального казначейства по Республике Ингушетия

Адрес: 386001, г. Магас, ул. А. Горчханова, 7

Телефон: 8-8734-55-14-56

Адрес сайта: ufk14.roskazna.ru

Управление Федерального казначейства по Кабардино-Балкарской Республике

Адрес: 360000, г. Нальчик, ул. Ногмова, 37

Телефон: 8-8662-42-29-48

Адрес сайта: kabardino-balkaria.roskazna.ru

Управление Федерального казначейства по Республике Калмыкия

Адрес: 358000, г. Элиста, ул. Ленина, 242

Телефон: 8-84722-4-01-39

Адрес сайта: kalmykia.roskazna.ru

Управление Федерального казначейства по Карачаево-Черкесской Республике

Адрес: 369000, г. Черкесск, ул. Красноармейская, 70а

Телефон: 8-87822-5-00-21

Адрес сайта: karachaevocherkessia.roskazna.ru

Управление Федерального казначейства по Республике Карелия

Адрес: 185035, г. Петрозаводск, ул. Куйбышева, 21

Телефон: 8-8142-79-16-00

Адрес сайта: karelia.roskazna.ru

Управление Федерального казначейства по Республике Коми

Адрес: 167031, г. Сыктывкар, ул. Громова, 45

Телефон: 8-8212-25-78-09

Адрес сайта: komi.roskazna.ru

Управление Федерального казначейства по Республике Марий Эл

Адрес: 424000, г. Йошкар-Ола, ул. Вознесенская, 85

Телефон: 8-8362-68-48-00

Адрес сайта: mariy-el.roskazna.ru

Управление Федерального казначейства по Республике Мордовия

Адрес: 430005, г. Саранск, ул. Коммунистическая, 33/1

Телефон: 8-8342-28-10-01, 47-52-80

Адрес сайта: mordovia.roskazna.ru

Управление Федерального казначейства по Республике Саха (Якутия)

Адрес: 677000, г. Якутск, ул. Дзержинского, 22/7

Телефон: 8-4112-45-37-67

Адрес сайта: yakutia.roskazna.ru

Управление Федерального казначейства по Республике Северная Осетия - Алания

Адрес: 362008, г. Владикавказ, ул. Коцоева, 24

Телефон: 8-8672-75-06-27

Адрес сайта: alania.roskazna.ru

Управление Федерального казначейства по Республике Татарстан

Адрес: 420043, г. Казань, ул. Вишневского, 31

Телефон: 8-843-221-97-00, 96-34, 98-01

Адрес сайта: tatarstan.roskazna.ru

Управление Федерального казначейства по Республике Тыва

Адрес: 667000, г. Кызыл, ул. Красноармейская, 76а

Телефон: 8-39422-3-59-78

Адрес сайта: ufk12.roskazna.ru

Управление Федерального казначейства по Удмуртской Республике

Адрес: 426003, г. Ижевск, ул. Карла Либкнехта, 8

Телефон: 8-3412-48-08-01

Адрес сайта: udmurtia.roskazna.ru

Управление Федерального казначейства по Республике Хакасия

Адрес: 655017, г. Абакан, ул. Советская, 41

Телефон: 8-3902-22-11-66

Адрес сайта: hakasia.roskazna.ru

Управление Федерального казначейства по Чеченской Республике

Адрес: 364051, г. Грозный, ул. Космонавтов, 15

Телефон: 8-8712-22-33-63

Адрес сайта: chechnya.roskazna.ru

Управление Федерального казначейства по Чувашской Республике

Адрес: 428004, г. Чебоксары, Президентский бульвар, 6

Телефон: 8-8352-62-10-44, 39-21-02

Адрес сайта: chuvashia.roskazna.ru

Управление Федерального казначейства по Алтайскому краю

Адрес: 656049, г. Барнаул, Красноармейский пр., 9

Телефон: 8-3852-39-22-01, 39-22-61

Адрес сайта: altay.roskazna.ru

Управление Федерального казначейства по Забайкальскому краю

Адрес: 672002, г. Чита, ул. Профсоюзная, 17

Телефон: 8-3022-26-23-58, 32-54-23

Адрес сайта: chita.roskazna.ru

Управление Федерального казначейства по Камчатскому краю

Адрес: 683003, г. Петропавловск-Камчатский, ул. Ленинградская, д. 89

Телефон: 8-4152-41-98-05, 41-98-56, 46-81-40

Адрес сайта: kamchatka.roskazna.ru

Управление Федерального казначейства по Краснодарскому краю

Адрес: 350000, г. Краснодар, ул. Карасунская, 155

Телефон: 8-861-268-50-47

Адрес сайта: www.krasnodar.roskazna.ru

Управление Федерального казначейства по Красноярскому краю

Адрес: 660021, г. Красноярск, пр. Мира, 103

Телефон: 8-391-211-00-40

Адрес сайта: krasnoyarsk.roskazna.ru

Управление Федерального казначейства по Пермскому краю

Адрес: 614990, г. Пермь, Петропавловская, 55а

Телефон: 8-3422-12-10-33, 12-22-05, 12-17-84

Адрес сайта: perm.roskazna.ru

Управление Федерального казначейства по Приморскому краю

Адрес: 690091, г. Владивосток, ул. Светланская, д. 69

Телефон: 8-4232-20-50-26, 20-93-86, 21-07-23

Адрес сайта: vladivostok.roskazna.ru

Управление Федерального казначейства по Ставропольскому краю

Адрес: 355002, г. Ставрополь, ул. Артема, 20

Телефон: 8-8652-37-29-20

Адрес сайта: stv.roskazna.ru

Управление Федерального казначейства по Хабаровскому краю

Адрес: 680000, г. Хабаровск, ул. Дзержинского, д. 41

Телефон: 8-4212-30-22-05, 74-78-59

Адрес сайта: khabarovsk.roskazna.ru

Управление Федерального казначейства по Амурской области

Адрес: 675000, г. Благовещенск, ул. Ленина, 108, подъезд 1

Телефон: 8-4162-44-28-02

Адрес сайта: amur.roskazna.ru

Управление Федерального казначейства по Архангельской области

Адрес: 163000, г. Архангельск, ул. Карла Либкнехта, дом 2

Телефон: 8-8182-65-10-83

Адрес сайта: arhangelsk.roskazna.ru

Управление Федерального казначейства по Астраханской области

Адрес: 414056, г. Астрахань, ул. Латышева, 6г

Телефон: 8-8512-54-02-21, 54-02-58

Адрес сайта: astrahan.roskazna.ru

Управление Федерального казначейства по Белгородской области

Адрес: 308010, г. Белгород, пр. Б. Хмельницкого, д. 139

Телефон: 8-4722-34-40-96, 34-56-41

Адрес сайта: belgorod.roskazna.ru

Управление Федерального казначейства по Брянской области

Адрес: 241037, г. Брянск, ул. Красноармейская, 158

Телефон: 8-4832-41-64-25, 41-16-55

Адрес сайта: bryansk.roskazna.ru

Управление Федерального казначейства по Владимирской области

Адрес: 600000, г. Владимир, Октябрьский пр., д. 3

Телефон: 8-4922-40-30-81, 32-52-69

Адрес сайта: vladimir.roskazna.ru

Управление Федерального казначейства по Волгоградской области

Адрес: 400131, г. Волгоград, ул. Коммунистическая, 28-а

Телефон: 8-8442-33-30-83, 33-30-28

Адрес сайта: volgograd.roskazna.ru

Управление Федерального казначейства по Вологодской области

Адрес: 160000, г. Вологда, ул. Предтеченская, 10

Телефон: 8-8172-75-35-72, 72-21-66

Адрес сайта: vologodskaya.roskazna.ru

Управление Федерального казначейства по Воронежской области

Адрес: 394006, г. Воронеж, ул. Куцыгина, 15 а

Телефон: 8-4732-69-70-00, 69-70-01

Адрес сайта: 31vrn.roskazna.ru

Управление Федерального казначейства по Ивановской области

Адрес: 153038, г. Иваново, пр. Строителей, д. 21

Телефон: 8-4932-56-53-02, 56-54-48

Адрес сайта: ivanovskaya.roskazna.ru

Управление Федерального казначейства по Иркутской области

Адрес: 664003, г. Иркутск, ул. Фурье, д. 1

Телефон: 8-3952-26-87-05, 26-88-26

Адрес сайта: irkutsk.roskazna.ru

Управление Федерального казначейства по Калининградской области

Адрес: 236000, г. Калининград, ул. Зоологическая, 27-а

Телефон: 8-4012-99-06-61, 99-06-46

Адрес сайта: kaliningrad.roskazna.ru

Управление Федерального казначейства по Калужской области

Адрес: 248009, г. Калуга, Грабцевское шоссе, 39

Телефон: 8-4842-54-50-85, 54-50-59

Адрес сайта: kaluga.roskazna.ru

Управление Федерального казначейства по Кемеровской области

Адрес: 650993, г. Кемерово, ул. Мичурина, 54

Телефон: 8-3842-71-90-01, 58-74-00, 71-90-94, 58-60-86

Адрес сайта: kemerovskaya.roskazna.ru

Управление Федерального казначейства по Кировской области

Адрес: 610019, г. Киров, ул. Карла Либкнехта, 69

Телефон: 8-8332-48-70-20, 48-70-17

Адрес сайта: kirov.roskazna.ru

Управление Федерального казначейства по Костромской области

Адрес: 156961, г. Кострома, ул. Красноармейская, 8

Телефон: 8-4942-35-66-44, 35-66-44

Адрес сайта: kostroma.roskazna.ru

Управление Федерального казначейства по Курганской области

Адрес: 640018, г. Курган, ул. Савельева, 23, а/я 2216

Телефон: 8-3522-41-75-16, 41-29-43

Адрес сайта: kurgan.roskazna.ru

Управление Федерального казначейства по Курской области

Адрес: 305000, г. Курск, ул. Володарского, д. 22

Телефон: 8-4712-36-39-04, 36-39-20

Адрес сайта: kursk.roskazna.ru

Управление Федерального казначейства по Ленинградской области

Адрес: 196066, г. Санкт-Петербург, ул. Варшавская, 63, корп. 1, а/я 144

Телефон: 8-812-375-37-52, 374-17-08

Адрес сайта: leningrad.roskazna.ru

Управление Федерального казначейства по Липецкой области

Адрес: 398050, г. Липецк, ул. Интернациональная, 5

Телефон: 8-4742-42-03-03, 42-03-73

Адрес сайта: lipetsk.roskazna.ru

Управление Федерального казначейства по Магаданской области

Адрес: 685050, г. Магадан, ул. Пролетарская, 25, корп. 1

Телефон: 8-413262-66-53, 2-66-93

Адрес сайта: magadan.roskazna.ru

Управление Федерального казначейства по Московской области

Адрес: 115114, г. Москва, ул. Дербеневская, 5

Телефон: 8-495-235-01-16, 235-15-11

Адрес сайта: mo.roskazna.ru

Управление Федерального казначейства по Мурманской области

Адрес: 183010, г. Мурманск, пр. Кирова, 14/2

Телефон: 8-8152-25-42-29, 23-17-17

Адрес сайта: murmansk.roskazna.ru

Управление Федерального казначейства по Нижегородской области

Адрес: 603082, г. Нижний Новгород, Кремль, кор. 1 "А"

Телефон: 8-8314-39-05-36, 439-03-05,

Адрес сайта: nizhegorodskaya.roskazna.ru

Управление Федерального казначейства по Новгородской области

Адрес: 173015, г. Великий Новгород, ул. Нехинская, 10

Телефон: 8-8162-98-69-05; 76-37-74

Адрес сайта: novgorod.roskazna.ru

Управление Федерального казначейства по Новосибирской области

Адрес: 630011, г. Новосибирск-11, ул. Кирова, 3/1

Телефон: 8-3832-18-00-40, 18-08-07

Адрес сайта: novosibirsk.roskazna.ru

Управление Федерального казначейства по Омской области

Адрес: 644043, г. Омск, ул. Красногвардейская, 9

Телефон: 8-3812-25-16-55, 25-04-60

Адрес сайта: omsk.roskazna.ru

Управление Федерального казначейства по Оренбургской области

Адрес: 460000, г. Оренбург, ул. Ленинская, 23

Телефон: 8-3532-78-68-00, 77-23-63

Адрес сайта: orenburg.roskazna.ru

Управление Федерального казначейства по Орловской области

Адрес: 302030, г. Орел, ул. Московская, 38

Телефон: 8-4862-55-25-96, 55-59-55

Адрес сайта: orel.roskazna.ru

Управление Федерального казначейства по Пензенской области

Адрес: 440008, г. Пенза, ул. Ставского, 11

Телефон: 8-8412-54-15-10, 54-18-77,

Адрес сайта: penza.roskazna.ru

Управление Федерального казначейства по Псковской области

Адрес: 180000, г. Псков, ул. Гоголя, д. 55/78

Телефон: 8-8112-69-62-02, 69-62-80, 69-62-96

Адрес сайта: pskov.roskazna.ru

Управление Федерального казначейства по Ростовской области

Адрес: 344019, г. Ростов-на-Дону, пл. Свободы, 7/2

Телефон: 8-863-244-09-64, 244-09-55

Адрес сайта: rostov.roskazna.ru

Управление Федерального казначейства по Рязанской области

Адрес: 390000, г. Рязань, ул. Петрова, д. 3

Телефон: 8-4912-28-94-89, 29-64-20

Адрес сайта: ryazan.roskazna.ru

Управление Федерального казначейства по Самарской области

Адрес: 443110, г. Самара, ул. Ново-Садовая, д. 24 "А"

Телефон: 8-846-334-52-50, 265-79-02, 334-52-50

Адрес сайта: samara.roskazna.ru

Управление Федерального казначейства по Саратовской области

Адрес: 410056, г. Саратов, Ильинская площадь, 1/6

Телефон: 8-8452-51-80-20, 51-79-72

Адрес сайта: saratov.roskazna.ru

Управление Федерального казначейства по Сахалинской области

Адрес: 693000, г. Южно-Сахалинск, А. Буюклы ул., 34

Телефон: 8-4242-46-06-12, 46-06-00, 46-06-02

Адрес сайта: sakhalin.roskazna.ru

Управление Федерального казначейства по Свердловской области

Адрес: 620142, г. Екатеринбург, ул. Фурманова, 34

Телефон: 8-343-359-90-01, 359-90-50

Адрес сайта: sverdlovsk.roskazna.ru

Управление Федерального казначейства по Смоленской области

Адрес: 214000, г. Смоленск, ул. Докучаева, д. 7

Телефон: 8-4812-38-97-32, 38-45-72

Адрес сайта: smolensk.roskazna.ru

Управление Федерального казначейства по Тамбовской области

Адрес: 392000, г. Тамбов, ул. К. Маркса, 132

Телефон: 8-4752-72-45-23, 71-53-09

Адрес сайта: tambov.roskazna.ru

Управление Федерального казначейства по Тверской области

Адрес: 170036, г. Тверь, Петербургское шоссе, 53а

Телефон: 8-4822-55-26-24, 50-96-47, 55-07-32

Адрес сайта: tver.roskazna.ru

Управление Федерального казначейства по Томской области

Адрес: 634034, г. Томск, пр. Ленина, д. 27

Телефон: 8-3822-42-67-06, 42-67-10

Адрес сайта: tomsk.roskazna.ru

Управление Федерального казначейства по Тульской области

Адрес: 300041, г. Тула, ул. Сойфера, д. 18

Телефон: 8-4872-36-50-56, 36-51-85

Адрес сайта: tula.roskazna.ru

Управление Федерального казначейства по Тюменской области

Адрес: 625000, г. Тюмень, ул. Урицкого, 36

Телефон: 8-3452-59-01-00, 46-88-55

Адрес сайта: tumen.roskazna.ru

Управление Федерального казначейства по Ульяновской области

Адрес: 432063, г. Ульяновск, ул. Гончарова, 50/1

Телефон: 8-8422-42-75-00, 42-75-01, 42-75-25

Адрес сайта: ulyanovsk.roskazna.ru

Управление Федерального казначейства по Челябинской области

Адрес: 454080, г. Челябинск, ул. Тернопольская, 4

Телефон: 8-3512-65-73-00, 65-73-01

Адрес сайта: chelyabinsk.roskazna.ru

Управление Федерального казначейства по Ярославской области

Адрес: 150000, г. Ярославль, ул. Свободы, 46

Телефон: 8-4852-72-19-69, 72-13-92

Адрес сайта: yaroslavl.roskazna.ru

Управление Федерального казначейства по г. Москве

Адрес: 109240, г. Москва, ул. Верхняя Радищевская, 11, стр. 1

Телефон: 8-495-915-04-98, 915-04-98

Адрес сайта: moscow.roskazna.ru

Управление Федерального казначейства по г. Санкт-Петербургу

Адрес: 197101, г. Санкт-Петербург, ул. Котовского, 1/10

Телефон: 8-812-235-19-72, 235-10-00

Адрес сайта: piter.roskazna.ru

Управление Федерального казначейства по Еврейской автономной области

Адрес: 679016, ЕАО, г. Биробиджан, ул. Миллера, 1

Телефон: 8-426224-14-90, 4-14-60

Адрес сайта: birobidzhan.roskazna.ru

Управление Федерального казначейства по Ненецкому автономному округу

Адрес: 166004, Архангельская обл., г. Нарьян-Мар, ул. Ленина, 34

Телефон: 8-818534-21-23, 4-12-80

Адрес сайта: nenetskiy.roskazna.ru

Управление Федерального казначейства по Ханты-Мансийскому автономному округу - Югре

Адрес: 628012, Ханты-Мансийский автономный округ - Югра, г. Ханты-Мансийск, ул. Карла Маркса, 12

Телефон: 8-346737-20-00, 37-20-05

Адрес сайта: hantymansiysk.roskazna.ru

Управление Федерального казначейства по Чукотскому автономному округу

Адрес: 689000, Чукотский автономный округ, г. Анадырь, ул. Мира, 10

Телефон: 8-427222-80-71, 2-36-50

Адрес сайта: chukotka.roskazna.ru

Управление Федерального казначейства по Ямало-Ненецкому автономному округу

Адрес: 629008, Ямало-Ненецкий АО, г. Салехард, ул. Республики, д. 43

Телефон: 8-349223-80-00, 3-81-20

Адрес сайта: yamalo-nenetskiy.roskazna.ru

Приложение N 2
к Административному регламенту
Федерального казначейства
по исполнению государственной
функции по ведению реестра
государственных контрактов,
заключенных от имени
Российской Федерации
по итогам размещения заказов

(ОБРАЗЕЦ)

РАСПИСКА О ПРИЕМЕ В ОРГАНЕ ФЕДЕРАЛЬНОГО КАЗНАЧЕЙСТВА СВЕДЕНИЙ О ГОСУДАРСТВЕННОМ КОНТРАКТЕ, ЗАКЛЮЧЕННОМ ОТ ИМЕНИ РОССИЙСКОЙ ФЕДЕРАЦИИ ПО ИТОГАМ РАЗМЕЩЕНИЯ ЗАКАЗОВ

    Коды
Наименование заказчика   Код  
Наименование органа Федерального казначейства   по КОФК  
Количество представленных сведений о контракте:
  "Сведения о контракте (его изменении)"  
  "Сведения об исполнении (прекращении действия) контракта"  

Ответственный исполнитель              
  (должность)   (подпись)   (расшифровка подписи)   (телефон)
               
  от "__" ________ 20__ г.

Приложение N 3
к Административному регламенту
Федерального казначейства
по исполнению государственной
функции по ведению реестра
государственных контрактов,
заключенных от имени
Российской Федерации
по итогам размещения заказов

УСЛОВИЯ ВЫПОЛНЕНИЯ АВТОМАТИЗИРОВАННОЙ ПРОВЕРКИ ПОКАЗАТЕЛЕЙ "СВЕДЕНИЙ О ГОСУДАРСТВЕННОМ ИЛИ МУНИЦИПАЛЬНОМ КОНТРАКТЕ (ЕГО ИЗМЕНЕНИИ), ЗАКЛЮЧЕННОМ ГОСУДАРСТВЕННЫМ ИЛИ МУНИЦИПАЛЬНЫМ ЗАКАЗЧИКОМ"

Указание даты заполнения в заголовочной части "Сведений о контракте (его изменении)" в текстовом формате в виде цифрового двузначного числа месяца, буквенного названия месяца на русском языке заглавными и/или строчными буквами и цифрового четырехзначного числа года;

указание даты заполнения в заголовочной части "Сведений о контракте (его изменении)" в кодовой зоне в формате "день, месяц, год" (00.00.0000, например, 28.10.2006);

соответствие даты заполнения в заголовочной части "Сведений о контракте (его изменении)" в текстовом формате и в кодовой зоне;

непревышение даты заполнения в заголовочной части "Сведений о контракте (его изменении)" даты текущего рабочего дня;

соответствие наименования государственного заказчика в строке "Наименование заказчика" в заголовочной части "Сведений о контракте (его изменении)" полному наименованию государственного заказчика в Сводном реестре главных распорядителей, распорядителей и получателей средств федерального бюджета, главных администраторов и администраторов доходов федерального бюджета, главных администраторов и администраторов источников финансирования дефицита федерального бюджета (с учетом заглавных и строчных букв, кавычек, пробелов, тире, скобок, букв "е" и "е", знаков No и N) в случае открытия государственному заказчику в центральном аппарате Федерального казначейства или Управлении (Отделении) лицевого счета получателя (иного получателя) бюджетных средств, или, если государственным заказчиком является иной получатель за пределами Российской Федерации, избирательная комиссия по субъекту Российской Федерации, орган управления государственным внебюджетным фондом Российской Федерации, а также находящееся в его ведении учреждение или организация - полному наименованию государственного заказчика, указанному в справочнике корреспондентов Управления (Отделения), заполненном на основании представленной государственным заказчиком в Управление (Отделение) карточки образцов подписей (с учетом заглавных и строчных букв, кавычек, пробелов, тире, скобок, букв "е" и "е", знаков No и N);

В случае исключения из Сводного реестра главных распорядителей, распорядителей и получателей средств федерального бюджета, главных администраторов и администраторов доходов федерального бюджета, главных администраторов и администраторов источников финансирования дефицита федерального бюджета реквизитов государственного заказчика - соответствие наименования государственного заказчика в строке "Наименование заказчика" в заголовочной части "Сведений о контракте (его изменении)" полному наименованию государственного заказчика в "Сведениях о контракте (его изменении)", которому Управлением (Отделением) присвоен номер реестровой записи с последним порядковым номером изменения;

соответствие кода в кодовой зоне строки "Наименование заказчика" заголовочной части "Сведений о контракте (его изменении)" коду, присвоенному государственному заказчику в Сводном реестре главных распорядителей, распорядителей и получателей средств федерального бюджета, главных администраторов и администраторов доходов федерального бюджета, главных администраторов и администраторов источников финансирования дефицита федерального бюджета в случае открытия государственному заказчику лицевого счета получателя (иного получателя) бюджетных средств, или, если государственным заказчиком является иной получатель за пределами Российской Федерации, избирательная комиссия по субъекту Российской Федерации, орган управления государственным внебюджетным фондом Российской Федерации, а также находящееся в его ведении учреждение или организация - идентификационному коду заказчика, присвоенному Управлением (Отделением) самостоятельно при первом обращении государственного заказчика в Управление (Отделение);

соответствие идентификационного номера налогоплательщика государственного заказчика в кодовой зоне строки "ИНН" заголовочной части "Сведений о контракте (его изменении)" идентификационному номеру налогоплательщика государственного заказчика в справочнике корреспондентов Управления (Отделения), заполненном на основании представленной государственным заказчиком в Управление (Отделение) для открытия лицевого счета получателя бюджетных средств копии документа о постановке на учет юридического лица в налоговом органе, а в случае отсутствия у государственного заказчика лицевого счета получателя бюджетных средств - представленной государственным заказчиком в Управление (Отделение) в соответствии с пунктом 11 настоящего Регламента карточки образцов подписей;

соответствие кода причины постановки на учет в налоговом органе государственного заказчика в кодовой зоне строки "КПП" заголовочной части "Сведений о контракте (его изменении)" коду причины постановки на учет в налоговом органе государственного заказчика в справочнике корреспондентов Управления (Отделения), заполненном на основании представленной государственным заказчиком в Управление (Отделение) для открытия лицевого счета получателя бюджетных средств копии документа о постановке на учет юридического лица в налоговом органе в случае открытия государственному заказчику в центральном аппарате Федерального казначейства или Управлении (Отделении) лицевого счета получателя (иного получателя) бюджетных средств, или, если государственным заказчиком является иной получатель за пределами Российской Федерации, избирательная комиссия по субъекту Российской Федерации, орган управления государственным внебюджетным фондом Российской Федерации, а также находящееся в его ведении учреждение или организация - на основании представленной государственным заказчиком в Управление (Отделение) в соответствии с пунктом 11 настоящего Регламента карточки образцов подписей;

указание в строке "Тип сведений" заголовочной части "Сведений о контракте (его изменении)" текста "первичные", если представление сведений о контракте государственным заказчиком осуществляется в первый раз, или текста "измененные" при последующих представлениях;

указание в подстроке "Российская Федерация, субъект Российской Федерации, муниципальное образование" строки "Источник финансирования контракта" заголовочной части "Сведений о контракте (его изменении)" текста "Российская Федерация";

указание в подстроке "наименование бюджета" строки "Источник финансирования контракта" заголовочной части "Сведений о контракте (его изменении)" текста "федеральный бюджет", "бюджет Пенсионного фонда Российской Федерации", "бюджет Федерального фонда обязательного медицинского страхования" или "бюджет Фонда социального страхования Российской Федерации" (неуказание текста возможно только при выполнении условия указания текста в подстроке "вид внебюджетных средств" строки "Источник финансирования контракта" заголовочной части "Сведений о контракте (его изменении)";

указание в кодовой зоне подстроки "наименование бюджета" строки "Источник финансирования контракта" заголовочной части "Сведений о контракте (его изменении)" кода 01, 04, 05 или 06 (неуказание кода возможно только при выполнении условия указания соответствующего кода в кодовой зоне подстроки "вид внебюджетных средств" строки "Источник финансирования контракта" заголовочной части "Сведений о контракте (его изменении)";

одновременное заполнение или одновременное незаполнение подстроки "наименование бюджета" и кодовой зоны подстроки "Наименование бюджета" строки "Источник финансирования контракта" заголовочной части "Сведений о контракте (его изменении)";

соответствие текста в подстроке "наименование бюджета" и кода в кодовой зоне подстроки "наименование бюджета" строки "Источник финансирования контракта" заголовочной части "Сведений о контракте (его изменении)";

указание в подстроке "вид внебюджетных средств" строки "Источник финансирования контракта" заголовочной части "Сведений о контракте (его изменении)" текста "внебюджетные средства получателей средств федерального бюджета", "внебюджетные средства Пенсионного фонда Российской Федерации", "внебюджетные средства Федерального фонда обязательного медицинского страхования" или "внебюджетные средства Фонда социального страхования Российской Федерации" (неуказание текста возможно только при выполнении условия указания текста в подстроке "наименование бюджета" строки "Источник финансирования контракта" заголовочной части "Сведений о контракте (его изменении)");

указание в кодовой зоне подстроки "вид внебюджетных средств" строки "Источник финансирования контракта" заголовочной части "Сведений о контракте (его изменении)" кода 11, 14, 15 или 16 (неуказание кода возможно только при выполнении условия указания соответствующего кода в кодовой зоне подстроки "наименование бюджета" строки "Источник финансирования контракта" заголовочной части "Сведений о контракте (его изменении)");

одновременное заполнение или одновременное незаполнение подстроки "вид внебюджетных средств" и кодовой зоны подстроки "вид внебюджетных средств" строки "Источник финансирования контракта" заголовочной части "Сведений о контракте (его изменении)";

соответствие текста в подстроке "вид внебюджетных средств" и кода в кодовой зоне подстроки "вид внебюджетных средств" строки "Источник финансирования контракта" заголовочной части "Сведений о контракте (его изменении)";

указание в строке "Способ размещения заказа" заголовочной части "Сведений о контракте (его изменении)" текста "открытый конкурс"; "открытый аукцион"; "открытый аукцион в электронной форме"; "торги на товарных биржах"; "запрос котировок"; "предварительный отбор и запрос котировок при чрезвычайных ситуациях"; "единственный поставщик (исполнитель, подрядчик)";

указание в кодовой зоне строки "Способ размещения заказа" заголовочной части "Сведений о контракте (его изменении)" кода 1, 2, 3, 4, 5, 6 или 7;

соответствие текста в строке "Способ размещения заказа" и кода в кодовой зоне строки "Способ размещения заказа" заголовочной части "Сведений о контракте (его изменении)";

указание в строке "Тип изменения" заголовочной части "Сведений о контракте (его изменении)" текста "изменение контракта" или "исправление сведений", если в строке "Тип сведений" заголовочной части "Сведений о контракте (его изменении)" указан текст "измененные";

указание в кодовой зоне строки "Тип изменения" заголовочной части "Сведений о контракте (его изменении)" кода 1 или 2, если в строке "Тип сведений" заголовочной части "Сведений о контракте (его изменении)" указан текст "измененные";

одновременное незаполнение строки "Тип изменения" и кодовой зоны строки "Тип изменения" заголовочной части "Сведений о контракте (его изменении)", если в строке "Тип сведений" заголовочной части "Сведений о контракте (его изменении)" указан текст "первичные";

одновременное заполнение строки "Тип изменения" и кодовой зоны строки "Тип изменения" заголовочной части "Сведений о контракте (его изменении)", если в строке "Тип сведений" заголовочной части "Сведений о контракте (его изменении)" указан текст "измененные";

соответствие текста в строке "Тип изменения" и кода в кодовой зоне строки "Тип изменения" заголовочной части "Сведений о контракте (его изменении)";

указание в кодовой зоне строки "Дата проведения аукциона (подведения итогов конкурса, итогов запроса котировок или итогов торгов на товарной бирже)" заголовочной части "Сведений о контракте (его изменении)" даты в формате "день, месяц, год" (00.00.0000). Дата может не указываться, если в строке "Способ размещения заказа" и в кодовой зоне строки "Способ размещения заказа" заголовочной части "Сведений о контракте (его изменении)" указан соответственно текст "единственный поставщик (исполнитель, подрядчик)" и код 7;

непревышение даты в кодовой зоне строки "Дата проведения аукциона (подведения итогов конкурса, итогов запроса котировок или итогов торгов на товарной бирже)" заголовочной части "Сведений о контракте (его изменении)" даты в кодовой зоне строки "Дата заключения контракта" заголовочной части "Сведений о контракте (его изменении)";

непревышение даты в кодовой зоне строки "Дата проведения аукциона (подведения итогов конкурса, итогов запроса котировок или итогов торгов на товарной бирже)" заголовочной части "Сведений о контракте (его изменении)" даты заполнения в заголовочной части "Сведений о контракте (его изменении)" в кодовой зоне;

указание в строке "Реквизиты документа, подтверждающего основание заключения контракта" заголовочной части "Сведений о контракте (его изменении)" даты в формате "день, месяц, год" (00.00.0000) и текста;

непревышение даты в строке "Реквизиты документа, подтверждающего основание заключения контракта" даты заполнения в заголовочной части "Сведений о контракте (его изменении)" в кодовой зоне;

непревышение даты в кодовой зоне строки "Дата проведения аукциона (подведения итогов конкурса, итогов запроса котировок или итогов торгов на товарной бирже)" даты в строке "Реквизиты документа, подтверждающего основание заключения контракта", в случае если в кодовой зоне строки "Способ размещения заказа" не указан код 7;

указание в кодовой зоне строки "Дата заключения контракта" заголовочной части "Сведений о контракте (его изменении)" даты в формате "день, месяц, год" (00.00.0000);

непревышение даты в кодовой зоне строки "Дата заключения контракта" заголовочной части "Сведений о контракте (его изменении)" даты заполнения в заголовочной части "Сведений о контракте (его изменении)" в кодовой зоне;

указание в кодовой зоне строки "Номер контракта" заголовочной части "Сведений о контракте (его изменении)" текста;

указание в кодовой зоне строки "Цена контракта в рублях" заголовочной части "Сведений о контракте (его изменении)" числа (нуля), в котором дробная часть отделяется точкой, в формате (0.00);

указание в кодовой зоне строки "Код валюты контракта по ОКВ" заголовочной части "Сведений о контракте (его изменении)" цифрового кода валюты контракта в соответствии с Общероссийским классификатором валют;

указание в кодовой зоне строки "Срок исполнения контракта" заголовочной части "Сведений о контракте (его изменении)" даты в формате "месяц, год" (00.0000);

превышение или равенство даты в кодовой зоне строки "Срок исполнения контракта" заголовочной части "Сведений о контракте (его изменении)" даты (месяц, год) в кодовой зоне строки "Дата заключения контракта" заголовочной части "Сведений о контракте (его изменении)";

указание в кодовой зоне строки "Номер извещения о проведении торгов" заголовочной части "Сведений о контракте (его изменении)" текста, если в строке "Способ размещения заказа" и в кодовой зоне строки "Способ размещения заказа" заголовочной части "Сведений о контракте (его изменении)" указан соответственно текст "открытый конкурс"; "открытый аукцион", "открытый аукцион в электронной форме"; "запрос котировок"; "предварительный отбор и запрос котировок при чрезвычайных ситуациях"; "единственный поставщик (исполнитель, подрядчик)" (в случае если контракт с единственным поставщиком (исполнителем, подрядчиком) заключается по результатам несостоявшихся торгов) и соответствующий тексту код 1, 2, 3, 5, 6, 7;

одновременное заполнение или незаполнение кодовой зоны строки "Номер извещения о проведении торгов" и кодовой зоны строки "Дата проведения аукциона" заголовочной части "Сведений о контракте (его изменении)";

незаполнение или указание в кодовой зоне строки "Номер извещения о проведении торгов" заголовочной части "Сведений о контракте (его изменении)" текста, если в строке "Способ размещения заказа" и в кодовой зоне строки "Способ размещения заказа" заголовочной части "Сведений о контракте (его изменении)" указан соответственно текст "единственный поставщик, (исполнитель, подрядчик)" и соответствующий тексту код 7;

указание в кодовой зоне строки "Номер реестровой записи" заголовочной части "Сведений о контракте (его изменении)" уникального номера реестровой записи, присвоенного Управлением (Отделением), если в строке "Тип сведений" указано "измененные". Уникальный номер реестровой записи не указывается, если в строке "Тип сведений" указано "первичные";

наличие в информационной системе соответствующих "Сведений о контракте (его изменении)" в части номера реестровой записи, если в строке "Тип сведений" заголовочной части "Сведений о контракте (его изменении)" указан текст "измененные";

заполнение раздела I "Сведений о контракте (его изменении)" в случае заполнения подстроки "наименование бюджета" и кодовой зоны подстроки "наименование бюджета" строки "Источник финансирования контракта" заголовочной части "Сведений о контракте (его изменении)";

непревышение года, указанного в дате в кодовой зоне строки "Дата заключения контракта" заголовочной части "Сведений о контракте (его изменении)" первого года оплаты контракта, указанного в разделе I "Сведений о контракте (его изменении)";

непревышение последнего года оплаты контракта, указанного в разделе I "Сведений о контракте (его изменении)" года, указанного в дате в кодовой зоне строки "Срок исполнения контракта" заголовочной части "Сведений о контракте (его изменении)";

указание в графе 1 раздела I "Сведений о контракте (его изменении)" 20-значного детализированного кода бюджетной классификации Российской Федерации или кода классификации источников внутреннего финансирования дефицита бюджета бюджетной классификации Российской Федерации, действующего на момент представления в Управление (Отделение) сведений о контракте;

указание в графах 2 - 11 раздела I "Сведений о контракте (его изменении)" числа (или нуля), в котором дробная часть отделяется точкой, в формате (0.00);

указание в графе 12 раздела I "Сведений о контракте (его изменении)" кода 1, если в графе 1 раздела I "Сведений о контракте (его изменении)" указан 20-значный код классификации источников внутреннего финансирования дефицита бюджета бюджетной классификации Российской Федерации, или незаполнение графы 12 раздела I "Сведений о контракте (его изменении)", если в графе 1 раздела I "Сведений о контракте (его изменении)" указан 20-значный код бюджетной классификации расходов бюджетов Российской Федерации;

указание в строке "Итого" раздела I "Сведений о контракте (его изменении)" итоговых сумм планируемых платежей на соответствующие годы по всем кодам бюджетной классификации Российской Федерации, действующим на момент представления в Управление (Отделение) сведений о контракте, числа (или нуля), в котором дробная часть отделяется точкой, в формате (0.00);

заполнение раздела II "Сведений о контракте (его изменении)" в случае заполнения подстроки "вид внебюджетных средств" и кодовой зоны подстроки "вид внебюджетных средств" строки "Источник финансирования контракта" заголовочной части "Сведений о контракте (его изменении)";

указание в графе 1 раздела II "Сведений о контракте (его изменении)" 3-значного детализированного кода классификации операций сектора государственного управления Российской Федерации, действующего на момент представления в Управление (Отделение) сведений о контракте;

непревышение года, указанного в дате в кодовой зоне строки "Дата заключения контракта" заголовочной части "Сведений о контракте (его изменении)" первого года оплаты контракта, указанного в разделе II "Сведений о контракте (его изменении)";

непревышение последнего года оплаты контракта, указанного в разделе II "Сведений о контракте (его изменении)" года, указанного в дате в кодовой зоне строки "Срок исполнения контракта" заголовочной части "Сведений о контракте (его изменении)";

указание в графах 2 - 10 раздела II "Сведений о контракте (его изменении)" числа (или нуля), в котором дробная часть отделяется точкой, в формате (0.00);

указание в строке "Итого" раздела II "Сведений о контракте (его изменении)" итоговых сумм планируемых платежей на соответствующие годы по всем кодам классификации операций сектора государственного управления Российской Федерации, действующим на момент представления в Управление (Отделение) сведений о контракте, в виде числа (или нуля), в котором дробная часть отделяется точкой, в формате (0.00);

равенство числа в кодовой зоне строки "Цена контракта в рублях" заголовочной части "Сведений о контракте (его изменении)" и итоговых сумм планируемых платежей на соответствующие годы по всем кодам бюджетной классификации Российской Федерации, действующим на момент представления в Управление (Отделение) сведений о контракте, указанных в строке "Итого" разделов I и II "Сведений о контракте (его изменении)";

указание в графе 1 раздела III "Сведений о контракте (его изменении)" целого числа;

указание в графе 2 раздела III "Сведений о контракте (его изменении)" текста;

указание в графе 3 раздела III "Сведений о контракте (его изменении)" шестизначного кода в соответствии с Общероссийским классификатором продукции. При отсутствии кода закупаемых товаров в Общероссийском классификаторе продукции данная графа не заполняется;

указание в графе 4 раздела III "Сведений о контракте (его изменении)" национального кодового буквенного обозначения единицы измерения товаров, поименованных в графе 2 раздела III "Сведений о контракте (его изменении)", в соответствии с Общероссийским классификатором единиц измерения или незаполнение указанной графы;

указание в графе 5 раздела III "Сведений о контракте (его изменении)" числа (или нуля), в котором дробная часть отделяется точкой, в формате (0.00) или незаполнение указанной графы;

указание в графе 6 раздела III "Сведений о контракте (его изменении)" положительного числа (или нуля), в котором дробная часть отделяется точкой, в формате (0.00...) или незаполнение указанной графы;

одновременное заполнение граф 4 - 6 при заполнении графы 3 раздела III "Сведений о контракте (его изменении)", одновременное заполнение или одновременное незаполнение граф 4 - 6 при незаполнении графы 3 раздела III "Сведений о контракте (его изменении)";

указание в графе 7 раздела III "Сведений о контракте (его изменении)" числа (или нуля), в котором дробная часть отделяется точкой, в формате (0.00);

указание в строке "Итого" графы 7 раздела III "Сведений о контракте (его изменении)" числа (или нуля), в котором дробная часть отделяется точкой, в формате (0.00);

равенство числа в строке "Итого" графы 7 раздела III и суммы чисел в графе 7 раздела III "Сведений о контракте (его изменении)";

равенство числа в строке "Итого" графы 7 раздела III "Сведений о контракте (его изменении)" и числа в кодовой зоне строки "Цена контракта в рублях" заголовочной части "Сведений о контракте (его изменении)";

указание в графе 1 раздела IV "Сведений о контракте (его изменении)" целого числа;

указание в графе 2 раздела IV "Сведений о контракте (его изменении)" текста;

указание в графе 3 раздела IV "Сведений о контракте (его изменении)" краткого или полного наименования страны на русском языке заглавными и/или строчными буквами в соответствии с Общероссийским классификатором стран мира;

указание в графе 4 раздела IV "Сведений о контракте (его изменении)" цифрового кода страны в соответствии с Общероссийским классификатором стран мира;

соответствие графы 3 и графы 4 раздела IV "Сведений о контракте (его изменении)";

указание в графе 5 раздела IV "Сведений о контракте (его изменении)" текста;

указание в графе 6 раздела IV "Сведений о контракте (его изменении)" целого числа (10-значного или 12-значного) или незаполнение графы 6 раздела IV "Сведений о контракте (его изменении)";

указание в графе 7 раздела IV "Сведений о контракте (его изменении)" целого числа (9-значного) или незаполнение графы 7 раздела IV "Сведений о контракте (его изменении)";

указание в графе 8 раздела IV "Сведений о контракте (его изменении)" числа 1, 2 или 3 или незаполнение графы 8 раздела IV "Сведений о контракте (его изменении)";

указание в графе 9 раздела IV "Сведений о контракте (его изменении)" целого числа или текста или незаполнение графы 9 раздела IV "Сведений о контракте (его изменении)";

указание в строке "Руководитель или иное уполномоченное лицо" "Сведений о контракте (его изменении)" текста;

указание даты подписания "Сведений о контракте (его изменении)" в текстовом формате в виде цифрового двузначного числа месяца, буквенного названия месяца на русском языке заглавными и/или строчными буквами и цифрового четырехзначного числа года;

указание даты подписания "Сведений о контракте (его изменении)" не ранее даты, указанной в заголовочной части "Сведений о контракте (его изменении)";

непревышение даты подписания "Сведений о контракте (его изменении)" даты текущего рабочего дня.

Приложение N 4
к Административному регламенту
Федерального казначейства
по исполнению государственной
функции по ведению реестра
государственных контрактов,
заключенных от имени
Российской Федерации
по итогам размещения заказов

УСЛОВИЯ ВЫПОЛНЕНИЯ АВТОМАТИЗИРОВАННОЙ ПРОВЕРКИ ПОКАЗАТЕЛЕЙ "СВЕДЕНИЙ ОБ ИСПОЛНЕНИИ (ПРЕКРАЩЕНИИ ДЕЙСТВИЯ) ГОСУДАРСТВЕННОГО ИЛИ МУНИЦИПАЛЬНОГО КОНТРАКТА"

Указание даты заполнения в заголовочной части "Сведений об исполнении (прекращении действия) контракта" в текстовом формате в виде цифрового двузначного числа месяца, буквенного названия месяца на русском языке заглавными и/или строчными буквами и цифрового четырехзначного числа года;

указание даты заполнения в заголовочной части "Сведений об исполнении (прекращении действия) контракта" в кодовой зоне в формате "день, месяц, год" (00.00.0000, например, 28.10.2006);

соответствие даты заполнения в заголовочной части "Сведений об исполнении (прекращении действия) контракта" в текстовом формате и в кодовой зоне;

непревышение даты заполнения в заголовочной части "Сведений об исполнении (прекращении действия) контракта" даты текущего рабочего дня;

соответствие наименования государственного заказчика в строке "Наименование заказчика" в заголовочной части "Сведений об исполнении (прекращении действия) контракта" полному наименованию государственного заказчика в Сводном реестре главных распорядителей, распорядителей и получателей средств федерального бюджета, главных администраторов и администраторов доходов федерального бюджета, главных администраторов и администраторов источников финансирования дефицита федерального бюджета (с учетом заглавных и строчных букв, кавычек, пробелов, тире, скобок, букв "е" и "е", знаков No и N) в случае открытия государственному заказчику в центральном аппарате Федерального казначейства или Управлении (Отделении) лицевого счета получателя (иного получателя) бюджетных средств, или, если государственным заказчиком является иной получатель за пределами Российской Федерации, избирательная комиссия по субъекту Российской Федерации, орган управления государственным внебюджетным фондом Российской Федерации, а также находящееся в его ведении учреждение или организация - полному наименованию государственного заказчика, указанному в справочнике корреспондентов Управления (Отделения), заполненном на основании представленной государственным заказчиком в Управлении (Отделении) в соответствии с пунктом 11 настоящего Регламента карточки образцов подписей (с учетом заглавных и строчных букв, кавычек, пробелов, тире, скобок, букв "е" и "е", знаков No и N). В случае исключения из Сводного реестра главных распорядителей, распорядителей и получателей средств федерального бюджета, главных администраторов и администраторов доходов федерального бюджета, главных администраторов и администраторов источников финансирования дефицита федерального бюджета реквизитов государственного заказчика - соответствие наименования государственного заказчика в строке "Наименование заказчика" в заголовочной части "Сведений об исполнении (прекращении действия) контракта" полному наименованию государственного заказчика в "Сведения о контракте (его изменении)", которому Управлением (Отделением) присвоен номер реестровой записи с последним порядковым номером изменения;

соответствие кода в кодовой зоне строки "Наименование заказчика" заголовочной части "Сведений об исполнении (прекращении действия) контракта" коду, присвоенному государственному заказчику в Сводном реестре главных распорядителей, распорядителей и получателей средств федерального бюджета, главных администраторов и администраторов доходов федерального бюджета, главных администраторов и администраторов источников финансирования дефицита федерального бюджета в случае открытия государственному заказчику лицевого счета получателя (иного получателя) бюджетных средств, или, если государственным заказчиком является иной получатель за пределами Российской Федерации, избирательная комиссия по субъекту Российской Федерации, орган управления государственным внебюджетным фондом Российской Федерации, а также находящееся в его ведении учреждение или организация, - идентификационному коду заказчика, присвоенному Управлением (Отделением) самостоятельно при первом обращении государственного заказчика в Управление (Отделение);

соответствие идентификационного номера налогоплательщика государственного заказчика в кодовой зоне строки "ИНН" заголовочной части "Сведений об исполнении (прекращении действия) контракта" идентификационному номеру налогоплательщика государственного заказчика в справочнике корреспондентов Управления (Отделения), заполненном на основании представленной государственным заказчиком в Управление (Отделение) для открытия лицевого счета получателя бюджетных средств копии документа о постановке на учет юридического лица в налоговом органе, а в случае отсутствия у государственного заказчика лицевого счета получателя бюджетных средств - представленной государственным заказчиком в Управление (Отделение) в соответствии с пунктом 11 настоящего Регламента карточки образцов подписей;

соответствие кода причины постановки на учет в налоговом органе государственного заказчика в кодовой зоне строки "КПП" заголовочной части "Сведений об исполнении (прекращении действия) контракта" коду причины постановки на учет в налоговом органе государственного заказчика в справочнике корреспондентов Управления (Отделения), заполненном на основании представленной государственным заказчиком в Управление (Отделение) для открытия лицевого счета получателя бюджетных средств копии документа о постановке на учет юридического лица в налоговом органе в случае открытия государственному заказчику в центральном аппарате Федерального казначейства или Управлении (Отделении) лицевого счета получателя (иного получателя) бюджетных средств, или, если государственным заказчиком является иной получатель за пределами Российской Федерации, избирательная комиссия по субъекту Российской Федерации, орган управления государственным внебюджетным фондом Российской Федерации, а также находящееся в его ведении учреждение или организация - представленной государственным заказчиком в Управление (Отделение) в соответствии с пунктом 11 настоящего Регламента карточки образцов подписей;

соответствие реквизитов государственного заказчика (наименование государственного заказчика, идентификационный код государственного заказчика, ИНН, КПП), даты заключения контракта, номера контракта соответствующим реквизитам государственного заказчика, дате заключения контракта, номеру контракта в документе "Сведения о контракте (его изменении)", которому Управлением (Отделением) присвоен номер реестровой записи с последним порядковым номером изменения;

указание в кодовой зоне строки "Дата заключения контракта" заголовочной части "Сведений об исполнении (прекращении действия) контракта" даты в формате "день, месяц, год" (00.00.0000);

непревышение даты в кодовой зоне строки "Дата заключения контракта" заголовочной части "Сведений об исполнении (прекращении действия) контракта" даты заполнения в заголовочной части "Сведений об исполнении (прекращении действия) контракта" в кодовой зоне;

соответствие даты в кодовой зоне строки "Дата заключения контракта" заголовочной части "Сведений об исполнении (прекращении действия) контракта" соответствующей дате, указанной в кодовой зоне строки "Дата заключения контракта" заголовочной части "Сведений о контракте (его изменении)" с присвоенным номером реестровой записи с последним порядковым номером изменения;

указание в кодовой зоне строки "Номер контракта" заголовочной части "Сведений об исполнении (прекращении действия) контракта" текста;

соответствие текста в кодовой зоне строки "Номер контракта" заголовочной части "Сведений об исполнении (прекращении действия) контракта" соответствующему тексту, указанному в кодовой зоне строки "Номер контракта" заголовочной части "Сведений о контракте (его изменении)" с присвоенным номером реестровой записи с последним порядковым номером изменения;

наличие в информационной системе соответствующего в части номера реестровой записи "Сведений о контракте (его изменении)";

указание в графе 1 раздела I "Сведений об исполнении (прекращении действия) контракта" даты в формате "день, месяц, год" (00.00.0000) или незаполнение указанной графы;

непревышение даты в графе 1 раздела I "Сведений об исполнении (прекращении действия) контракта" даты заполнения в заголовочной части "Сведений об исполнении (прекращении действия) контракта";

непревышение даты в кодовой зоне строки "Дата заключения контракта" заголовочной части "Сведений об исполнении (прекращении действия) контракта" даты в графе 1 раздела I "Сведений об исполнении (прекращении действия) контракта";

указание в графе 2 раздела I "Сведений об исполнении (прекращении действия) контракта" текста или незаполнение указанной графы;

указание в графе 1 раздела II "Сведений об исполнении (прекращении действия) контракта" числа (нуля), в котором дробная часть отделяется точкой, в формате (0.00) или незаполнение указанной графы;

непревышение числа в графе 1 раздела II "Сведений об исполнении (прекращении действия)" числа, указанного в строке "Цена контракта в рублях" заголовочной части "Сведений о контракте (его изменении)", которому Управлением (Отделением) присвоен номер реестровой записи с последним порядковым номером изменения;

указание в графе 2 раздела II "Сведений об исполнении (прекращении действия) контракта" даты в формате "день, месяц, год" (00.00.0000) или незаполнение указанной графы;

непревышение даты в графе 2 раздела II "Сведений об исполнении (прекращении действия) контракта" даты заполнения в заголовочной части "Сведений об исполнении (прекращении действия) контракта";

непревышение даты в кодовой зоне строки "Дата заключения контракта" заголовочной части "Сведений об исполнении (прекращении действия) контракта" даты в графе 2 раздела II "Сведений об исполнении (прекращении действия) контракта";

указание в графе 3 раздела II "Сведений об исполнении (прекращении действия)" текста или незаполнение указанной графы;

одновременное заполнение или одновременное незаполнение граф 1 - 3 раздела II "Сведений об исполнении (прекращении действия) контракта";

указание показателей или в разделе I или в разделе II "Сведений об исполнении (прекращении действия) контракта" (одновременное заполнение раздела I и раздела II не допускается);

указание в строке "Руководитель или иное уполномоченное лицо" "Сведений об исполнении (прекращении действия) контракта" текста;

указание даты подписания "Сведений об исполнении (прекращении действия) контракта" в текстовом формате в виде цифрового двузначного числа месяца, буквенного названия месяца на русском языке заглавными и/или строчными буквами и цифрового четырехзначного числа года;

указание даты подписания "Сведений об исполнении (прекращении действия) контракта" не ранее даты, указанной в заголовочной части "Сведений об исполнении (прекращении действия) контракта";

непревышение даты подписания "Сведений об исполнении (прекращении действия) контракта" даты текущего рабочего дня.

Приложение N 5
к Административному регламенту
Федерального казначейства
по исполнению государственной
функции по ведению реестра
государственных контрактов,
заключенных от имени
Российской Федерации
по итогам размещения заказов

(ОБРАЗЕЦ)

ИЗВЕЩЕНИЕ О РЕГИСТРАЦИИ В ОРГАНЕ ФЕДЕРАЛЬНОГО КАЗНАЧЕЙСТВА СВЕДЕНИЙ О ГОСУДАРСТВЕННОМ КОНТРАКТЕ (ЕГО ИЗМЕНЕНИИ, ИСПОЛНЕНИИ, ПРЕКРАЩЕНИИ ДЕЙСТВИЯ), ЗАКЛЮЧЕННОМ ОТ ИМЕНИ РОССИЙСКОЙ ФЕДЕРАЦИИ ПО ИТОГАМ РАЗМЕЩЕНИЯ ЗАКАЗОВ

    Коды
  от "__" __________ 20__ г. Дата  
Наименование заказчика   Код  
Наименование органа Федерального казначейства   по КОФК  

Дата сведений о контракте "__" __________ 20__

Дата заключения контракта "__" __________ 20__

Дата исполнения (прекращения действия) контракта "__" __________ 20__

Номер контракта _________________________

Цена контракта _________________________ рублей

Номер реестровой записи _______________________________

Дата регистрации сведений о государственном контракте (его изменении, исполнении, прекращении действия) "__" __________ 20__

Номер изменения _____________________

Ответственный исполнитель              
  (должность)   (подпись)   (расшифровка подписи)   (телефон)
               
  от "__" ________ 20__ г.

Приложение N 6
к Административному регламенту
Федерального казначейства
по исполнению государственной
функции по ведению реестра
государственных контрактов,
заключенных от имени
Российской Федерации
по итогам размещения заказов

(ОБРАЗЕЦ)

УВЕДОМЛЕНИЕ О ВОЗВРАТЕ ОРГАНОМ ФЕДЕРАЛЬНОГО КАЗНАЧЕЙСТВА СВЕДЕНИЙ О ГОСУДАРСТВЕННОМ КОНТРАКТЕ (ЕГО ИЗМЕНЕНИИ, ИСПОЛНЕНИИ, ПРЕКРАЩЕНИИ ДЕЙСТВИЯ), ЗАКЛЮЧЕННОМ ОТ ИМЕНИ РОССИЙСКОЙ ФЕДЕРАЦИИ ПО ИТОГАМ РАЗМЕЩЕНИЯ ЗАКАЗОВ

    Коды
  от "__" __________ 20__ г. Дата  
Наименование заказчика   Код  
Наименование органа Федерального казначейства   по КОФК  

Дата сведений о контракте "__" __________ 20__

Дата заключения контракта "__" __________ 20__

Номер контракта ______________________

Номер реестровой записи (при его наличии) ______________________

N п/п Причина возврата
   
   
   
Начальник отдела или иное уполномоченное лицо            
      (подпись)   (расшифровка подписи)   (телефон)
               
  от "__" ________ 20__ г.
               
Ответственный исполнитель              
  (должность)   (подпись)   (расшифровка подписи)   (телефон)
               
  от "__" ________ 20__ г.

Приложение N 7
к Административному регламенту
Федерального казначейства
по исполнению государственной
функции по ведению реестра
государственных контрактов,
заключенных от имени
Российской Федерации
по итогам размещения заказов

ВЫПИСКА ИЗ РЕЕСТРА КОНТРАКТОВ ПО РОССИЙСКОЙ ФЕДЕРАЦИИ

Номер реестровой записи Номер изменения Дата последнего изменения записи Заказчик Источник финансирования контракта Способ размещения заказа Номер извещения о проведении торгов Дата проведения аукциона (подведения итогов конкурса, или итогов запроса котировок, или итогов торгов на товарной бирже) Реквизиты документа, подтверждающего основание заключения контракта Контракт
наименование ИНН КПП дата номер
1 2 3 4 5 6 7 8 9 10 11 12 13
                         
Предмет контракта Информация о поставщиках (исполнителях, подрядчиках) по контракту
наименование товаров, работ, услуг код продукции по ОКП единица измерения по ОКЕИ цена за единицу, рублей количество сумма, рублей наименование юридического лица (ф.и.о. физического лица) место нахождения (место жительства) ИНН КПП статус телефон (факс)
14 15 16 17 18 19 20 21 22 23 24 25
                       
Дата исполнения контракта Прекращение действия контракта
по контракту фактически фактически оплачено заказчиком, рублей дата основание и причина
26 27 28 29 30
         
Руководитель (уполномоченное лицо)          
  (должность)   (подпись)   (расшифровка подписи)
           
"__" ________ 20__ г.  

Приложение N 8
к Административному регламенту
Федерального казначейства
по исполнению государственной
функции по ведению реестра
государственных контрактов,
заключенных от имени
Российской Федерации
по итогам размещения заказов

БЛОК-СХЕМА ПОСЛЕДОВАТЕЛЬНОСТИ ДЕЙСТВИЙ ПРИ ИСПОЛНЕНИИ ГОСУДАРСТВЕННОЙ ФУНКЦИИ ПО ВЕДЕНИЮ РЕЕСТРА КОНТРАКТОВ (СВЕДЕНИЯ О КОНТРАКТЕ ПРЕДСТАВЛЯЮТСЯ НЕПОСРЕДСТВЕННО ПРЕДСТАВИТЕЛЕМ ГОСУДАРСТВЕННОГО ЗАКАЗЧИКА В ОТДЕЛЕНИЕ)

Приложение N 9
к Административному регламенту
Федерального казначейства
по исполнению государственной
функции по ведению реестра
государственных контрактов,
заключенных от имени
Российской Федерации
по итогам размещения заказов

БЛОК-СХЕМА ПОСЛЕДОВАТЕЛЬНОСТИ ДЕЙСТВИЙ ПРИ ИСПОЛНЕНИИ ГОСУДАРСТВЕННОЙ ФУНКЦИИ ПО ВЕДЕНИЮ РЕЕСТРА КОНТРАКТОВ (СВЕДЕНИЯ О КОНТРАКТЕ ПРЕДСТАВЛЯЮТСЯ НЕПОСРЕДСТВЕННО ПРЕДСТАВИТЕЛЕМ ГОСУДАРСТВЕННОГО ЗАКАЗЧИКА В УПРАВЛЕНИЕ)

Приложение N 10
к Административному регламенту
Федерального казначейства
по исполнению государственной
функции по ведению реестра
государственных контрактов,
заключенных от имени
Российской Федерации
по итогам размещения заказов

БЛОК-СХЕМА ПОСЛЕДОВАТЕЛЬНОСТИ ДЕЙСТВИЙ ПРИ ИСПОЛНЕНИИ ГОСУДАРСТВЕННОЙ ФУНКЦИИ ПО ВЕДЕНИЮ РЕЕСТРА КОНТРАКТОВ (СВЕДЕНИЯ О КОНТРАКТЕ НАПРАВЛЯЮТСЯ ГОСУДАРСТВЕННЫМ ЗАКАЗЧИКОМ ПОСРЕДСТВОМ ПОЧТОВОЙ СВЯЗИ В ОТДЕЛЕНИЕ)

Приложение N 11
к Административному регламенту
Федерального казначейства
по исполнению государственной
функции по ведению реестра
государственных контрактов,
заключенных от имени
Российской Федерации
по итогам размещения заказов

БЛОК-СХЕМА ПОСЛЕДОВАТЕЛЬНОСТИ ДЕЙСТВИЙ ПРИ ИСПОЛНЕНИИ ГОСУДАРСТВЕННОЙ ФУНКЦИИ ПО ВЕДЕНИЮ РЕЕСТРА КОНТРАКТОВ (СВЕДЕНИЯ О КОНТРАКТЕ НАПРАВЛЯЮТСЯ ГОСУДАРСТВЕННЫМ ЗАКАЗЧИКОМ ПОСРЕДСТВОМ ПОЧТОВОЙ СВЯЗИ В УПРАВЛЕНИЕ)

Приложение N 12
к Административному регламенту
Федерального казначейства
по исполнению государственной
функции по ведению реестра
государственных контрактов,
заключенных от имени
Российской Федерации
по итогам размещения заказов

БЛОК-СХЕМА ПОСЛЕДОВАТЕЛЬНОСТИ ДЕЙСТВИЙ ПРИ ИСПОЛНЕНИИ ГОСУДАРСТВЕННОЙ ФУНКЦИИ ПО ВЕДЕНИЮ РЕЕСТРА КОНТРАКТОВ (СВЕДЕНИЯ О КОНТРАКТЕ ПРЕДСТАВЛЯЮТСЯ ГОСУДАРСТВЕННЫМ ЗАКАЗЧИКОМ ПОСРЕДСТВОМ СЭД В ЭЛЕКТРОННОМ ВИДЕ В ОТДЕЛЕНИЕ)

Приложение N 13
к Административному регламенту
Федерального казначейства
по исполнению государственной
функции по ведению реестра
государственных контрактов,
заключенных от имени
Российской Федерации
по итогам размещения заказов

БЛОК-СХЕМА ПОСЛЕДОВАТЕЛЬНОСТИ ДЕЙСТВИЙ ПРИ ИСПОЛНЕНИИ ГОСУДАРСТВЕННОЙ ФУНКЦИИ ПО ВЕДЕНИЮ РЕЕСТРА КОНТРАКТОВ (СВЕДЕНИЯ О КОНТРАКТЕ ПРЕДСТАВЛЯЮТСЯ ГОСУДАРСТВЕННЫМ ЗАКАЗЧИКОМ ПОСРЕДСТВОМ СЭД В ЭЛЕКТРОННОМ ВИДЕ В УПРАВЛЕНИЕ)