Приказ ФСФР РФ от 09.11.2010 N 10-67/ПЗ-Н

"Об утверждении Порядка определения расчетной стоимости финансовых инструментов срочных сделок, не обращающихся на организованном рынке, в целях 25 главы Налогового кодекса Российской Федерации"
Редакция от 09.11.2010 — Документ не действует

Зарегистрировано в Минюсте РФ 29 ноября 2010 г. N 19063


ФЕДЕРАЛЬНАЯ СЛУЖБА ПО ФИНАНСОВЫМ РЫНКАМ

ПРИКАЗ
от 9 ноября 2010 г. N 10-67/пз-н

ОБ УТВЕРЖДЕНИИ ПОРЯДКА ОПРЕДЕЛЕНИЯ РАСЧЕТНОЙ СТОИМОСТИ ФИНАНСОВЫХ ИНСТРУМЕНТОВ СРОЧНЫХ СДЕЛОК, НЕ ОБРАЩАЮЩИХСЯ НА ОРГАНИЗОВАННОМ РЫНКЕ, В ЦЕЛЯХ 25 ГЛАВЫ НАЛОГОВОГО КОДЕКСА РОССИЙСКОЙ ФЕДЕРАЦИИ

В соответствии с пунктом 2 статьи 305 Налогового кодекса Российской Федерации (Собрание законодательства Российской Федерации, 2000, N 32, ст. 3340; 2009, N 48, ст. 5731) и Положением о Федеральной службе по финансовым рынкам, утвержденным Постановлением Правительства Российской Федерации от 30.06.2004 N 317 (Собрание законодательства Российской Федерации, 2004, N 27, ст. 2780; 2005, N 33, ст. 3429; 2006, N 13, ст. 1400; N 52, ст. 5587; 2007, N 12, ст. 1417; 2008, N 19, ст. 2192; N 46, ст. 5337; 2009, N 3, ст. 378; N 6, ст. 738; 2010, N 26, ст. 3350), приказываю:

утвердить прилагаемый Порядок определения расчетной стоимости финансовых инструментов срочных сделок, не обращающихся на организованном рынке, в целях 25 главы Налогового кодекса Российской Федерации <*>.

<*> Собрание законодательства Российской Федерации, 2000, N 32, ст. 3340; 2001, N 33, ст. 3413; 2002, N 22, ст. 2026; 2003, N 1, ст. 2, 6; N 28, ст. 2886; N 52, ст. 5030; 2004, N 27, ст. 2711; N 34, ст. 3520; 2005, N 1, ст. 30; N 24, ст. 2312; N 52, ст. 5581; 2006, N 31, ст. 3443; N 45, ст. 4627; 2007, N 1, ст. 39; N 22, ст. 2563; N 31, ст. 3991, 4013; N 49, ст. 6045, 6071; N 50, ст. 6237, 6245; 2008, N 27, ст. 3126; N 48, ст. 5519; N 49, ст. 5723; N 52, ст. 6237; 2009, N 1, ст. 31; N 11, ст. 1265; N 29, ст. 3598; N 48, ст. 5731; N 51, ст. 6153, 6155; N 52, ст. 6455; 2010, N 15, ст. 1733; N 31, ст. 4198; N 32, ст. 4298; N 40, ст. 4969.

И.о. руководителя
С.ХАРЛАМОВ

ПОРЯДОК
ОПРЕДЕЛЕНИЯ РАСЧЕТНОЙ СТОИМОСТИ ФИНАНСОВЫХ ИНСТРУМЕНТОВ СРОЧНЫХ СДЕЛОК, НЕ ОБРАЩАЮЩИХСЯ НА ОРГАНИЗОВАННОМ РЫНКЕ, В ЦЕЛЯХ 25 ГЛАВЫ НАЛОГОВОГО КОДЕКСА РОССИЙСКОЙ ФЕДЕРАЦИИ

1. Настоящий Порядок определения расчетной стоимости финансовых инструментов срочных сделок, не обращающихся на организованном рынке (далее - Порядок), устанавливает правила определения расчетной стоимости финансовых инструментов срочных сделок, которые в соответствии с требованиями пункта 3 статьи 301 Налогового кодекса Российской Федерации не признаются обращающимися на организованном рынке (далее - необращающиеся финансовые инструменты срочных сделок).

2. Расчетная стоимость необращающегося финансового инструмента срочных сделок определяется исходя из:

рыночной цены, определенной в соответствии с пунктами 3.1 - 3.4 настоящего Порядка, или

расчетной цены, определенной налогоплательщиком в соответствии с пунктами 4.1 - 4.13 настоящего Порядка, или

цены финансового инструмента срочных сделок, определенной оценщиком, или

в случаях, предусмотренных настоящим порядком цены финансового инструмента, определенной по методике, установленной в учетной политике налогоплательщика для целей налогообложения.

3. Рыночная цена, исходя из которой может быть определена расчетная стоимость финансового инструмента срочных сделок, определяется одним из следующих способов:

3.1. Как среднее арифметическое значение цен, содержащихся в предложениях заключить такие же договоры, являющихся производными финансовыми инструментами, объявленных кредитными организациями, брокерами, дилерами и (или) управляющими и (или) иностранными организациями, имеющими аналогичный статус, и отвечающих требованиям, установленным подпунктом 1 пункта 2 статьи 51.1 Федерального закона от 22.04.1996 N 39-ФЗ "О рынке ценных бумаг" <*>.

<*> Собрание законодательства Российской Федерации, 2002, N 52, ст. 5141; 2009, N 18, ст. 2154.

При этом таким же договором, являющимся производным финансовым инструментом, является финансовый инструмент срочных сделок того же вида, с тем же базисным (базовым) активом, его количеством (если указанный договор предусматривает количество базисного (базового) актива), с той же датой окончания срока исполнения договора, а также, если это опционный договор (контракт), той же ценой исполнения.

Для определения расчетной стоимости необращающегося финансового инструмента срочных сделок не может быть использовано значение цены, содержащейся в предложении заключить договор, предусматривающий операцию противоположной направленности по отношению к операции налогоплательщика.

Для определения расчетной стоимости необращающегося финансового инструмента срочных сделок могут быть использованы значения цен, содержащиеся в предложениях заключить договоры, адресованные как неограниченному, так и ограниченному кругу лиц, в том числе налогоплательщику по его запросу. При этом количество организаций, объявивших указанные цены, используемые для определения расчетной стоимости финансового инструмента срочных сделок, должно быть не менее трех. Налогоплательщик вправе закрепить в учетной политике для целей налогообложения перечень организаций, цены которых используются для определения расчетной стоимости необращающихся финансовых инструментов срочных сделок, в том числе для определения расчетной стоимости отдельных видов таких инструментов.

Для определения расчетной стоимости необращающегося финансового инструмента срочных сделок используются цены, объявленные в дату совершения налогоплательщиком операции с финансовым инструментом срочных сделок.

3.2. Как средневзвешенная цена такого же финансового инструмента срочных сделок, определенная по итогам торгов на российской бирже (далее - биржевой финансовый инструмент срочных сделок) в день совершения налогоплательщиком операции с финансовым инструментом срочных сделок. При этом биржевой финансовый инструмент срочных сделок признается таким же финансовым инструментом срочных сделок, если операция налогоплательщика с финансовым инструментом срочных сделок совершена на условиях спецификации указанного биржевого финансового инструмента срочных сделок, с таким же сроком исполнения и, если это опционный договор (контракт), такой же ценой исполнения.

В случае если средневзвешенная цена биржевого финансового инструмента срочной сделки была рассчитана более чем на одной бирже, налогоплательщик вправе использовать для определения расчетной цены финансового инструмента срочной сделки средневзвешенную цену, сложившуюся на любой из таких бирж.

3.3. Как цена закрытия по такому же финансовому инструменту срочных сделок, сложившаяся по итогам торгов на иностранной бирже (далее - иностранный биржевой финансовый инструмент срочных сделок) в день совершения налогоплательщиком операции с финансовым инструментом срочных сделок. При этом иностранный биржевой финансовый инструмент срочных сделок признается таким же финансовым инструментом срочных сделок, если он является финансовым инструментом срочных сделок того же вида, с тем же базисным (базовым) активом, его количеством (если указанный финансовый инструмент предусматривает количество базисного (базового) актива), с той же датой окончания срока исполнения договора, а также, если это опционный договор (контракт), той же ценой исполнения.

В случае если цена закрытия рынка иностранного биржевого финансового инструмента срочных сделок была рассчитана более чем на одной иностранной бирже, налогоплательщик вправе использовать для определения расчетной цены финансового инструмента срочных сделок цену закрытия по такому же финансовому инструменту срочных сделок, сложившуюся на любой из таких бирж.

3.4. Как цена такого же необращающегося финансового инструмента срочных сделок, раскрытая информационным агентством Томсон Рейтерс (Thomson Reuters), информационным агентством Блумберг (Bloomberg), рассчитанная по итогам дня, в который налогоплательщик совершил операцию с финансовым инструментом срочных сделок. При этом указанный необращающийся финансовый инструмент срочных сделок признается таким же финансовым инструментом срочных сделок, если он является финансовым инструментом срочных сделок того же вида, с тем же базисным (базовым) активом, его количеством (если указанный финансовый инструмент предусматривает количество базисного (базового) актива), с той же датой окончания срока исполнения договора, а также, если это опционный договор (контракт), той же ценой исполнения.

4. Расчетная цена, исходя из которой может быть определена расчетная стоимость необращающегося финансового инструмента срочных сделок, определяется в соответствии с требованиями пунктов 4.1 - 4.13 настоящего Порядка.

4.1. Расчетная цена форвардного договора (контракта), базисным (базовым) активом которого является товар, за исключением драгоценных металлов, определяется в следующем порядке:

4.1.1. , где:

P - расчетная цена форвардного контракта;

S - текущая цена товара на дату заключения форвардного договора (контракта) в соответствии с пунктами 7.1 - 7.4 настоящего Порядка;

Z - сумма обратно дисконтированных затрат на хранение товара, рассчитанная на дату заключения форвардного договора (контракта);

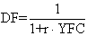
DF - дисконтный фактор для валюты, в которой выражена цена товара, определяемый по формуле:

4.1.2. , где:

r - процентная ставка, рассчитанная в соответствии с учетной политикой налогоплательщика для целей налогообложения, на основании индикаторов (котировок) Лондонской межбанковской ставки предложения (LIBOR) (в валюте денежного обязательства), Европейской межбанковской ставки предложения (EURIBOR), ставки предложения на Московском денежном рынке (MosPrime), своп договоров (контрактов), форвардных договоров (контрактов) или фьючерсных договоров (контрактов), базисным (базовым) активом которых является процентная ставка, и (или) иных индикаторов процентных ставок (в долях единицы), соответствующих сроку исполнения форвардного договора (контракта);

YFC - срок исполнения форвардного договора (контракта) в годах, рассчитанный по финансовой базе валюты, в которой выражена цена товара.

4.2. Расчетная цена форвардного договора (контракта), базисным (базовым) активом которого является драгоценный металл, определяется в следующем порядке:

4.2.1. , где:

P - расчетная цена форвардного договора (контракта);

S - текущая цена драгоценного металла на дату заключения форвардного договора (контракта) в соответствии с пунктами 7.1 - 7.4 настоящего Порядка;

DF - дисконтный фактор для валюты, в которой выражена цена драгоценного металла, определяемый по правилам пункта 4.1.2 настоящего Порядка;

DF(met) - дисконтный фактор для соответствующего драгоценного металла, определяемый по формуле:

4.2.2. , где:

r(met) - ставка доходности по банковским вкладам, которые размещаются на срок форвардного договора (контракта) и сумма требований по которым определяется исходя из текущей стоимости драгоценного металла. При этом указанная ставка доходности определяется в соответствии с учетной политикой налогоплательщика для целей налогообложения на дату заключения форвардного договора (контракта);

YFC(met) - срок исполнения форвардного договора (контракта) в годах, рассчитанный по финансовой базе драгоценного металла.

4.3. Расчетная цена форвардного договора (контракта), базисным (базовым) активом которого является ценная бумага, определяется в следующем порядке:

, где:

P - расчетная цена форвардного договора (контракта);

S - текущая цена ценной бумаги, определенная в соответствии с пунктами 5, 6, 6.1, 6.2 настоящего Порядка;

DF - дисконтный фактор для валюты, в которой выражена цена ценной бумаги, определяемый по правилам пункта 4.1.2 настоящего Порядка;

d - сумма обратно дисконтированных на дату заключения форвардного договора (контракта) дивидендов, процентов или иного дохода по ценной бумаге, который должен быть выплачен эмитентом ценной бумаги (лицом, обязанным по ценной бумаге) до истечения срока исполнения форвардного договора (контракта).

4.4. Расчетная цена форвардного договора (контракта), базисным (базовым) активом которого является иностранная валюта, определяется в следующем порядке:

, где:

P - расчетная цена форвардного договора (контракта);

S - курс валюты, являющейся базисным (базовым) активом форвардного договора (контракта), выраженный в валюте платежа по этому договору (контракту) в соответствии с требованиями пункта 8 настоящего Порядка;

DF(1) - дисконтный фактор для валюты, являющейся базисным (базовым) активом форвардного договора (контракта), определяемый по правилам пункта 4.1.2 настоящего Порядка;

DF(2) - дисконтный фактор для валюты платежа по форвардному договору (контракту), определяемый по правилам пункта 4.1.2 настоящего Порядка.

4.5. Расчетная цена своп договора (контракта), по условиям которого одна сторона уплачивает другой стороне денежные суммы, рассчитанные исходя из номинальной суммы и процентной ставки, величина которой поставлена в зависимость от обстоятельств, предусмотренных этим договором (контрактом) (далее - плавающая ставка процента), а другая сторона уплачивает первой стороне денежные суммы, рассчитанные исходя из номинальной суммы и процентной ставки, величина которой установлена этим договором (контрактом) (далее - фиксированная ставка процента), определяется в следующем порядке:

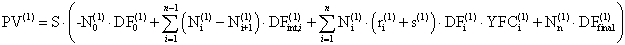
4.5.1. , где:

P - расчетная цена (фиксированная ставка процента) своп договора (контракта);

N - номинальная сумма своп договора (контракта);

n - количество выплат (процентных периодов) по фиксированной ставке процента до истечения срока договора (контракта);

DF(fixed)_i - дисконтный фактор для валюты своп договора (контракта) на дату окончания i-го процентного периода выплат по фиксированной ставке процента, определяемый по правилам пункта 4.1.2 настоящего Порядка;

YFC(fixed)_i - срок i-го процентного периода выплат по фиксированной ставке процента в годах, рассчитанный по финансовой базе валюты своп договора (контракта);

PV(float) - дисконтированная стоимость платежей по плавающей ставке процента, которая рассчитывается в следующем порядке:

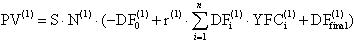
4.5.2. , где:

k - количество выплат (процентных периодов) по плавающей ставке процента до истечения срока договора (контракта);

DF(float)_j - дисконтный фактор для валюты своп договора (контракта) на дату окончания j-го процентного периода выплат по плавающей ставке процента, определяемый по правилам пункта 4.1.2 настоящего Порядка;

YFC(float)_j - срок j-го процентного периода выплат по плавающей ставке процента в годах, рассчитанный по финансовой базе валюты своп договора (контракта);

r(float)_j - определенное в соответствии с учетной политикой налогоплательщика для целей налогообложения расчетное значение плавающей ставки процента на j-й процентный период выплат по плавающей ставке процента (в долях единицы) на основании индикаторов (котировок) Лондонской межбанковской ставки предложения (LIBOR), Европейской межбанковской ставки предложения (EURIBOR), ставки предложения на Московском денежном рынке (MosPrime), форвардных договоров (контрактов), фьючерсных договоров (контрактов), базисным (базовым) активом которых является процентная ставка, и (или) иных индикаторов процентных ставок (в долях единицы);

N - номинальная сумма своп договора (контракта);

s - значение фиксированного спрэда к плавающей ставке (в долях единицы).

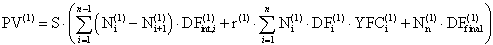
4.6. Расчетная цена амортизируемого своп договора (контракта), по условиям которого одна сторона уплачивает другой стороне денежные суммы, рассчитанные исходя из амортизируемой номинальной суммы и плавающей ставки процента, предусмотренных этим договором (контрактом), а другая сторона уплачивает первой стороне денежные суммы, рассчитанные исходя из амортизируемой номинальной суммы и фиксированной ставки, предусмотренных этим договором (контрактом), определяется в следующем порядке:

4.6.1. , где:

P, n, DF(fixed)_i, YFC(fixed)_i - величины, предусмотренные пунктом 4.5.1 настоящего Порядка;

N(fixed)_i - номинальная сумма своп договора (контракта) на начало i-го процентного периода по фиксированной ставке процента;

PV(float) - дисконтированная стоимость платежей по плавающей ставке процента, которая рассчитывается в следующем порядке:

4.6.2. , где:

N(float)_j - номинальная сумма своп договора (контракта) на начало j-го процентного периода по плавающей ставке процента;

k, DF(float)_j, YFC(float)_j, r(float)_j, s - величины, предусмотренные пунктом 4.5.2 настоящего Порядка.

4.7. Расчетная цена своп договора (контракта), базисным (базовым) активом которого является иностранная валюта, определяется как разница между курсом валюты на более позднюю дату валютирования (дату совершения операции в иностранной валюте, являющейся основанием для принятия к бухгалтерскому учету соответствующих активов и обязательств) и курсом валюты на ближайшую дату валютирования:

, где:

P - расчетная цена своп договора (контракта);

S - курс первой валюты, являющейся базисным (базовым) активом своп договора (контракта), выраженный во второй валюте, являющейся базисным (базовым) активом этого договора (контракта) в соответствии с требованиями пункта 10 настоящего Порядка;

DF(1)_1 - дисконтный фактор по первой валюте на ближайшую дату валютирования, определяемый по правилам пункта 4.1.2 настоящего Порядка;

DF(2)_1 - дисконтный фактор по второй валюте на ближайшую дату валютирования, определяемый по правилам пункта 4.1.2 настоящего Порядка;

DF(1)_2 - дисконтный фактор по первой валюте на более позднюю дату валютирования, определяемый по правилам пункта 4.1.2 настоящего Порядка;

DF(2)_2 - дисконтный фактор по второй валюте на более позднюю дату валютирования, определяемый по правилам пункта 4.1.2 настоящего Порядка.

4.8. Расчетная цена своп договора (контракта), по условиям которого стороны уплачивают друг другу денежные суммы, рассчитанные исходя из предусмотренных этим договором (контрактом) двух номинальных сумм, выраженных в разных валютах, фиксированных ставок процента и (или) плавающих ставок процента в соответствующих валютах, а также осуществляют приобретение (продажу) номинальной суммы в первой валюте за номинальную сумму во второй валюте с последующей продажей (приобретением) номинальной суммы в первой валюте за номинальную сумму во второй валюте, определяется в следующем порядке:

4.8.1. ,

если условия своп договора (контракта) предполагают уплату денежных сумм, рассчитанных исходя из номинальной суммы, выраженной во второй валюте, и фиксированной ставки процента (в долях единицы) во второй валюте; или

,

если условия своп договора (контракта) предполагают уплату денежных сумм, рассчитанных исходя из номинальной суммы, выраженной во второй валюте, и плавающей процентной ставки (в долях единицы) во второй валюте; где:

N(2) - номинальная сумма во второй валюте;

DF(2)_0, DF(2)_j, D(2)_final - дисконтные факторы по второй валюте, определяемые по правилам пункта 4.1.2 настоящего Порядка соответственно на дату приобретения (продажи) номинальной суммы, выраженной во второй валюте за номинальную сумму, выраженную в первой валюте, на дату окончания j-го процентного периода и на дату продажи (приобретения) номинальной суммы, выраженной во второй валюте за номинальную сумму, выраженную в первой валюте;

k - количество выплат (процентных периодов) по второй валюте до истечения срока своп договора (контракта);

YFS(2)_j - срок j-го процентного периода выплат по второй валюте в годах, рассчитанный по финансовой базе второй валюты;

r(2)_j - определенное в соответствии с учетной политикой налогоплательщика для целей налогообложения расчетное значение плавающей ставки процента по второй валюте на j-й процентный период (в долях единицы) на основании индикаторов (котировок) Лондонской межбанковской ставки предложения (LIBOR), Европейской межбанковской ставки предложения (EURIBOR), ставки предложения на Московском денежном рынке (MosPrime), форвардных договоров (контрактов), фьючерсных договоров (контрактов), базисным (базовым) активом которых является процентная ставка, и (или) иных индикаторов процентных ставок (в долях единицы);

PV(1) - дисконтированная стоимость платежей по первой валюте, которая рассчитывается в порядке, предусмотренном пунктами 4.8.2 и 4.8.3 настоящего Порядка.

4.8.2. Если условия своп договора (контракта) предусматривают уплату денежных сумм, рассчитанных на основании номинальной суммы, выраженной в первой валюте, и фиксированной ставки процента (в долях единицы) в первой валюте, дисконтированная стоимость платежей по первой валюте рассчитывается в следующем порядке:

, где:

N(1) - номинальная сумма, выраженная в первой валюте;

S - курс первой валюты, выраженный во второй валюте в соответствии с требованиями пункта 8 настоящего Порядка;

n - количество выплат (процентных периодов) по первой валюте до истечения срока своп договора (контракта);

DF(1)_0, DF(1)_i, DF(1)_final - дисконтные факторы по первой валюте, определяемые по правилам пункта 4.1.2 настоящего Порядка, соответственно на дату приобретения (продажи) номинальной суммы, выраженной в первой валюте за номинальную сумму, выраженную во второй валюте, на дату окончания i-го процентного периода и на дату продажи (приобретения) номинальной суммы, выраженной в первой валюте за номинальную сумму, выраженную во второй валюте;

r(1)_i - определенное в соответствии с учетной политикой налогоплательщика для целей налогообложения расчетное значение плавающей ставки процента по первой валюте на i-й процентный период (в долях единицы) на основании индикаторов (котировок) Лондонской межбанковской ставки предложения (LIBOR), Европейской межбанковской ставки предложения (EURIBOR), ставки предложения на Московском денежном рынке (MosPrime), форвардных договоров (контрактов), фьючерсных договоров (контрактов), базисным (базовым) активом которых является процентная ставка, и (или) иных индикаторов процентных ставок (в долях единицы);

YFC(1)_i - срок i-го процентного периода выплат по первой валюте в годах, рассчитанный по финансовой базе первой валюты.

4.8.3. Если условия своп договора (контракта) предполагают уплату сумм, рассчитанных на основании номинальной суммы, выраженной в первой валюте, и плавающей процентной ставки (в долях единицы) в первой валюте, дисконтированная стоимость платежей по первой валюте, рассчитывается в следующем порядке:

, где:

N(1), S, n, DF(1)_0, DF(1)_i, DF(1)_final, r(1)_i, YFC(1)_i - величины, предусмотренные пунктом 4.8.2 настоящего Порядка;

s(1) - значение фиксированного спрэда к плавающей ставке (в долях единицы).

4.9. Расчетная цена своп договора (контракта), базисным (базовым) активом которого являются иностранная валюта и ставка процента, по условиям которого стороны уплачивают друг другу денежные суммы, рассчитанные исходя из предусмотренных своп договором (контрактом) двух номинальных сумм в разных валютах, фиксированных ставок процента и (или) плавающих ставок процента в соответствующих валютах, а также осуществляют приобретение (продажу) номинальной суммы в первой валюте за номинальную сумму во второй валюте, определяется в следующем порядке:

4.9.1. ,

если условия своп договора (контракта) предусматривают уплату денежных сумм, рассчитанных исходя из номинальной суммы, выраженной во второй валюте, и фиксированной ставки процента (в долях единицы) во второй валюте; или

,

если условия своп договора (контракта) предусматривают уплату денежных сумм, рассчитанных исходя из номинальной суммы, выраженной во второй валюте, и плавающей ставки процента (в долях единицы) во второй валюте, где:

N(2), k, DF(2)_j, DF(2)_final, r(2)_j, YFC(2)_j - величины, предусмотренные пунктом 4.8.1 настоящего Порядка;

PV(1) - дисконтированная стоимость платежей по первой валюте, которая рассчитывается в порядке, предусмотренном пунктами 4.9.2 и 4.9.3 настоящего порядка.

4.9.2. Если условия своп договора (контракта) предусматривают уплату денежных сумм по первой валюте, рассчитанных исходя из номинальной суммы, выраженной в первой валюте, и фиксированной ставки процента (в долях единицы) в первой валюте, дисконтированная стоимость платежей по первой валюте рассчитывается в следующем порядке:

, где:

N(1), S, n, DF(1)_i, DF(1)_final; r(1)_i, YFC(1)_i - величины, предусмотренные пунктом 4.8.2 настоящего Порядка;

4.9.3. Если условия своп договора (контракта) предусматривают уплату денежных сумм, рассчитанных исходя из номинальной суммы, выраженной в первой валюте и плавающей ставки процента (в долях единицы) в первой валюте, дисконтированная стоимость платежей по первой валюте, рассчитывается в следующем порядке:

, где:

N(1), S, n, DF(1)_i, DF(1)_final, r(1)_i, YFC(1)_i - величины, предусмотренные пунктом 4.8.2 настоящего Порядка;

s(1) - значение фиксированного спрэда к плавающей ставке (в долях единицы).

4.10. Расчетная цена амортизируемого своп договора (контракта), базисным (базовым) активом которого являются иностранная валюта и ставка процента, по условиям которого стороны уплачивают друг другу денежные суммы, рассчитанные исходя из предусмотренных договором (контрактом) двух номинальных сумм в разных валютах, фиксированных и (или) плавающих ставок процента в соответствующих валютах, а также осуществляют приобретение (продажу) номинальной суммы, выраженной в первой валюте за номинальную сумму, выраженную во второй валюте с последующей продажей (приобретением) номинальной суммы, выраженной в первой валюте за номинальную сумму, выраженную во второй валюте на условиях рассрочки оплаты, определяется в следующем порядке:

4.10.1. ,

если условия своп договора (контракта) предусматривают уплату денежных сумм, рассчитанных исходя из номинальной суммы, выраженной во второй валюте, и фиксированной ставки процента (в долях единицы) во второй валюте, или

,

если условия своп договора (контракта) предусматривают уплату денежных сумм, рассчитанных исходя из номинальной суммы, выраженной во второй валюте, и плавающей ставки процента (в долях единицы) во второй валюте, где:

k, DF(2)_0, DF(2)_j, r(2)_j, YFC(2)_j - величины, предусмотренные пунктом 4.8.1 настоящего Порядка;

N(2)_j, N(2)_j+1, N(2)_0, N(2)_k - номинальная сумма, выраженная во второй валюте на начало j-го, (j + 1)-го, начального и k-го процентного периода, по фиксированной ставке процента;

DF(2)_int,j и DF(2)_final - дисконтные факторы по второй валюте (в долях единицы), определяемые по правилам пункта 4.1.2 настоящего Порядка соответственно на дату j-го платежа, осуществляемого при продаже (приобретении) номинальной суммы, выраженной во второй валюте, за номинальную сумму, выраженную в первой валюте, на условиях рассрочки, и на дату окончательного платежа, осуществляемого при продаже (приобретении) номинальной суммы, выраженной во второй валюте за номинальную сумму, выраженную в первой валюте на условиях рассрочки;

PV(1) - дисконтированная стоимость платежей, осуществляемых в первой валюте, которая рассчитывается в порядке, предусмотренном пунктами 4.10.2 и 4.10.3 настоящего Порядка.

4.10.2. Если условия своп договора (контракта) предусматривают уплату денежных сумм, рассчитанных исходя из номинальной суммы, выраженной в первой валюте и фиксированной ставки процента (в долях единицы) в первой валюте, дисконтированная стоимость платежей, осуществляемая в первой валюте, рассчитывается в следующем порядке:

,

где: S, n, DF(1)_0, DF(1)_i, r(1)_i, YFC(1)_i - величины, предусмотренные пунктом 4.8.2 настоящего Порядка;

DF(1)_int,i и DF(1)_final - дисконтные факторы по первой валюте (в долях единицы), определяемые по правилам пункта 4.1.2 настоящего Порядка соответственно на дату i-го платежа, осуществляемого при продаже (приобретении) номинальной суммы, выраженной в первой валюте, за номинальную сумму, выраженную во второй валюте, на условиях рассрочки, и на дату окончательного платежа, осуществляемого при продаже (приобретении) номинальной суммы, выраженной в первой валюте за номинальную сумму, выраженную во второй валюте на условиях рассрочки;

N(1)_i, N(1)_i+1, N(1)_0, N(1)_n - номинальная сумма, выраженная в первой валюте на начало i-го, (i + 1)-го, начального и n-го процентного периода, по фиксированной ставке процента.

4.10.3. Если условия своп договора (контракта) предусматривают уплату денежных сумм, рассчитанных исходя из номинальной суммы, выраженной в первой валюте, и плавающей ставки процента (в долях единицы) в первой валюте, дисконтированная стоимость платежей, осуществляемая в первой валюте, рассчитывается в следующем порядке:

,

где: S, n, DF(1)_0, DF(1)_i, r(1)_i, YFC(1)_i - величины, предусмотренные пунктом 4.8.2 настоящего Порядка;

DF(1)_int,i, DF(1)_final, N(1)_i, N(1)_i+1, N(1)_0, N(1)_n - величины, предусмотренные пунктом 4.10.2 настоящего Порядка;

s(1) - значение фиксированного спрэда к плавающей ставке (в долях единицы).

4.11. Расчетная цена амортизируемого своп договора (контракта), базисным (базовым) активом которого являются иностранная валюта и ставка процента, по условиям которого стороны уплачивают друг другу денежные суммы, рассчитанные исходя из предусмотренных договором (контрактом) двух номинальных сумм, выраженных в разных валютах, фиксированных и (или) плавающих ставок процента в соответствующих валютах, а также осуществляют приобретение (продажу) номинальной суммы, выраженной в первой валюте за номинальную сумму, выраженную во второй валюте на условиях рассрочки оплаты, определяется в следующем порядке:

4.11.1. ,

если условия своп договора (контракта) предусматривают уплату денежных сумм во второй валюте, рассчитанных исходя из номинальной суммы, выраженной во второй валюте, и фиксированной ставки процента (в долях единицы) во второй валюте; или

,

если условия своп договора (контракта) предусматривают уплату денежных сумм во второй валюте, рассчитанных исходя из номинальной суммы, выраженной во второй валюте и плавающей ставки процента (в долях единицы) во второй валюте, где:

k, DF(2)_j, r(2)_j, YFC(2)_j - величины, предусмотренные пунктом 4.8.1 настоящего Порядка;

N(2)_j, N(2)_j+1, N(2)_k, DF(2)_int,j, DF(2)_final - величины, предусмотренные пунктом 4.10.1 настоящего Порядка;

PV(1) - дисконтированная стоимость платежей, осуществляемых в первой валюте, которая рассчитывается в порядке, предусмотренном пунктами 4.11.2 и 4.11.3 настоящего Порядка.

4.11.2. Если условия своп договора (контракта) предусматривают уплату денежных сумм, рассчитанных исходя из номинальной суммы, выраженной в первой валюте, и фиксированной ставки процента (в долях единицы) в первой валюте, дисконтированная стоимость платежей, осуществляемых в первой валюте, рассчитывается в следующем порядке:

, где:

S, n, DF(1)_i, r(1)_i, YFC(1)_i - величины, предусмотренные пунктом 4.8.2 настоящего Порядка;

DF(1)_int,i, DF(1)_final, N(1)_i, N(1)_i+1, N(1)_n - величины, предусмотренные пунктом 4.10.2 настоящего Порядка.

4.11.3. Если условия своп договора (контракта) предусматривают уплату денежных сумм, рассчитанных исходя из номинальной суммы, выраженной в первой валюте, и плавающей ставки процента (в долях единицы) в первой валюте, дисконтированная стоимость платежей, осуществляемых в первой валюте, рассчитывается в следующем порядке:

, где:

S, n, DF(1)_i, r(1)_i, YFC(1)_i - величины, предусмотренные пунктом 4.8.2 настоящего Порядка;

DF(1)_int,i, DF(1)_final, N(1)_i, N(1)_i+1, N(1)_i - величины, предусмотренные пунктом 4.10.2 настоящего Порядка;

s(1) - значение фиксированного спрэда к плавающей ставке (в долях единицы).

4.12. Расчетная цена опционного договора (контракта), предусматривающего право одной стороны в день, определенный таким договором, потребовать у другой стороны продажи (передачи) первой стороне базисного (базового) актива, определяется в следующем порядке:

4.12.1. , где:

P - расчетная цена опционного договора (контракта);

DF - дисконтный фактор по валюте, в которой устанавливается цена исполнения опционного договора (контракта), определяемый по правилам пункта 4.1.2 настоящего Порядка;

F - определенная в соответствии с подпунктами 4.1 - 4.4 настоящего Порядка расчетная цена форвардного договора (контракта), базисный (базовый) актив и срок исполнения которого является также базисным (базовым) активом и сроком исполнения опционного договора (контракта);

N(·) - функция стандартного нормального распределения;

K - цена исполнения опционного договора (контракта);

d_1и d_2 - величины, рассчитанные в следующем порядке:

4.12.2. ;
, где:

ln - натуральный логарифм;

YFC - срок опционного договора (контракта) в годах, рассчитанный по финансовой базе валюты, в которой устанавливается цена исполнения опционного договора (контракта);

сигма- величина волатильности (подразумеваемой волатильности), рассчитанная для базисного (базового) актива опционного договора (контракта) в соответствии с требованиями пункта 10 настоящего Порядка.

4.13. Расчетная цена опционного договора (контракта), предусматривающего право одной стороны в день, установленный таким договором (контрактом) требовать от другой стороны купить (оплатить) у первой стороны базисный (базовый) актив, определяется в следующем порядке:

4.13.1. , где:

P - расчетная цена опционного договора (контракта);

DF - дисконтный фактор по валюте, в которой устанавливается цена исполнения опционного договора (контракта), определяемый по правилам пункта 4.1.2 настоящего Порядка;

F - определенная в соответствии с подпунктами 4.1 - 4.4 настоящего Порядка расчетная цена форвардного договора (контракта), базисный (базовый) актив и срок исполнения которого является также базисным (базовым) активом и сроком исполнения опционного договора (контракта);

N(·) - функция стандартного нормального распределения;

K - цена исполнения опционного договора (контракта);

d_1 и d_2 - величины, рассчитанные в следующем порядке:

4.13.2. ;

ln - натуральный логарифм;

YFC - срок опционного контракта в годах, рассчитанный по финансовой базе валюты, в которой устанавливается цена исполнения опционного договора (контракта);

сигма - величина волатильности (подразумеваемой волатильности), рассчитанная для базисного (базового) актива опционного договора (контракта) в соответствии с требованиями пункта 10 настоящего Порядка.

5. Текущая цена ценной бумаги, не обращающейся на организованном рынке ценных бумаг, используемая при определении расчетной цены финансовых инструментов срочных сделок, принимается равной расчетной стоимости соответствующей ценной бумаги, определенной в соответствии с Порядком определения расчетной цены ценных бумаг, не обращающихся на организованном рынке ценных бумаг, в целях 25 главы Налогового кодекса Российской Федерации.

6. Текущая цена ценной бумаги, обращающейся на организованном рынке ценных бумаг, используемая при определении расчетной стоимости финансовых инструментов срочных сделок признается равной:

6.1. Рыночной цене ценной бумаги, рассчитанной организатором торговли на рынке ценных бумаг, включая фондовую биржу, по итогам дня, в который налогоплательщик совершил операцию с финансовым инструментом срочных сделок, - для ценных бумаг, допущенных к торгам российского организатора торговли на рынке ценных бумаг, включая фондовую биржу.

В случае если рыночная цена ценной бумаги, являющейся базисным (базовым) активом финансового инструмента срочных сделок, была рассчитана более чем одним организатором торговли на рынке ценных бумаг, включая фондовую биржу, для определения текущей цены ценной бумаги допускается использование рыночной цены ценной бумаги, рассчитанной любым из таких организаторов торговли, включая фондовую биржу.

6.2. Цене закрытия рынка по ценной бумаге, рассчитанной иностранной фондовой биржей, по итогам дня, в который налогоплательщик совершил операцию с финансовым инструментом срочных сделок, - для ценных бумаг, допущенных к торгам иностранной фондовой биржи.

В случае если цена закрытия рынка по ценной бумаге, являющейся базисным (базовым) активом финансового инструмента срочных сделок, была рассчитана более чем одной иностранной фондовой биржей, для определения текущей цены ценной бумаги допускается использование цены закрытия рынка по ценной бумаге, сложившейся на любой из таких иностранных фондовых бирж.

7. Текущая цена соответствующего товара, используемая для определения расчетной цены финансовых инструментов срочных сделок, признается равной одной из следующих цен:

7.1. Средневзвешенной цене товара, рассчитанной российской биржей по итогам дня, в который налогоплательщик совершил операцию с финансовым инструментом срочных сделок, на основании сделок, предусматривающих обязанность поставить товар не позднее 2 дней с даты их заключения (включительно).

В случае если средневзвешенная цена товара, являющегося базисным (базовым) активом финансового инструмента срочных сделок, была рассчитана более чем одной биржей, для определения текущей цены товара допускается использование средневзвешенной цены товара, сложившейся на любой из таких бирж.

7.2. Цене товара на рынке "спот" (spot price, cash price), рассчитанной иностранной биржей по итогам дня, в который налогоплательщик совершил операцию с финансовым инструментом срочных сделок, при условии, что российская биржа не осуществляла расчет (раскрытие) средневзвешенной цены товара в соответствующий день.

В случае если цена товара на рынке "спот" была рассчитана более чем одной иностранной биржей, то для определения текущей цены товара допускается использование цены товара на рынке "спот", рассчитанной любой из таких иностранных бирж.

7.3. Текущему курсу (учетным ценам) Банка России, установленному в отношении аффинированных драгоценных металлов.

7.4. Рыночной стоимости товара, определенной оценщиком, в случае если средневзвешенная цена товара и цена товара на рынке "спот" не рассчитывались российской и иностранной биржами.

8. Если иное не установлено настоящим порядком, курс иностранной валюты к российскому рублю (другой иностранной валюте), используемый для определения расчетной цены финансовых инструментов срочных сделок, может принимать значение официального курса, установленного Банком России на дату заключения финансового инструмента срочной сделки, или курса иностранной валюты к другой иностранной валюте, рассчитанной на основании официальных курсов валют, установленных Банком России, курсов валют по сделкам с условиями исполнения сегодня (TOD), завтра (TOM), или срочной сделки (SPOT), раскрытых на день совершения операции с финансовым инструментом срочных сделок информационным агентством Томсон Рейтерс (Thomson Reuters) или информационным агентством Блумберг (Bloomberg) или рассчитанных российской или иностранной валютной биржей.

9. Налогоплательщик вправе самостоятельно устанавливать в учетной политике для целей налогообложения порядок определения источников данных, а также методики расчета процентных ставок (процентных кривых), используемых для определения расчетной стоимости финансовых инструментов срочных сделок в соответствии с настоящим Порядком.

В случае отсутствия обеспечения по финансовому инструменту срочной сделки, налогоплательщик вправе корректировать расчетные значения процентных ставок с учетом кредитного риска по финансовому инструменту срочных сделок, рассчитанного на основании оценки рыночной конъюнктуры на дату определения расчетной цены в соответствии с порядком, закрепленным учетной политикой для целей налогообложения.

10. Налогоплательщик вправе самостоятельно устанавливать в учетной политике для целей налогообложения порядок определения источников данных, а также методики расчета величины волатильности (подразумеваемой волатильности), используемой для определения расчетной стоимости финансовых инструментов срочных сделок (в том числе опционных контрактов) в соответствии с настоящим Порядком.

11. Налогоплательщик вправе самостоятельно устанавливать в учетной политике для целей налогообложения методику определения расчетной стоимости необращающихся финансовых инструментов срочных сделок, условия которых не позволяют определить их расчетную стоимость в соответствии с пунктами 3.1 - 3.4, 4.1 - 4.13 настоящего Порядка.

12. Способы определения расчетной стоимости финансовых инструментов срочных сделок, установленные настоящим Порядком, условия применения организацией указанных способов устанавливаются в учетной политике организации для целей налогообложения.