Приказ ФТС РФ от 25.10.2010 N 1957

"Об утверждении Административного регламента Федеральной таможенной службы и определяемых ею таможенных органов по предоставлению государственной услуги по принятию предварительных решений по классификации товаров по единой Товарной номенклатуре внешнеэкономической деятельности Таможенного союза"
Редакция от 25.10.2010 — Документ утратил силу, см. «Приказ ФТС РФ от 18.04.2012 N 760»

Зарегистрировано в Минюсте РФ 7 февраля 2011 г. N 19723


ФЕДЕРАЛЬНАЯ ТАМОЖЕННАЯ СЛУЖБА

ПРИКАЗ
от 25 октября 2010 г. N 1957

ОБ УТВЕРЖДЕНИИ АДМИНИСТРАТИВНОГО РЕГЛАМЕНТА ФЕДЕРАЛЬНОЙ ТАМОЖЕННОЙ СЛУЖБЫ И ОПРЕДЕЛЯЕМЫХ ЕЮ ТАМОЖЕННЫХ ОРГАНОВ ПО ПРЕДОСТАВЛЕНИЮ ГОСУДАРСТВЕННОЙ УСЛУГИ ПО ПРИНЯТИЮ ПРЕДВАРИТЕЛЬНЫХ РЕШЕНИЙ ПО КЛАССИФИКАЦИИ ТОВАРОВ ПО ЕДИНОЙ ТОВАРНОЙ НОМЕНКЛАТУРЕ ВНЕШНЕЭКОНОМИЧЕСКОЙ ДЕЯТЕЛЬНОСТИ ТАМОЖЕННОГО СОЮЗА

В соответствии со статьями 53 - 57 Таможенного кодекса Таможенного союза (Федеральный закон от 2 июня 2010 г. N 114-ФЗ "О ратификации Договора о Таможенном кодексе Таможенного союза" (Собрание законодательства Российской Федерации, 2010, N 23, ст. 2796), с Федеральным законом от 27 июля 2010 г. N 210-ФЗ "Об организации предоставления государственных и муниципальных услуг" (Собрание законодательства Российской Федерации, 2010, N 31, ст. 41 - 79), пунктом 5.2.8 Положения о Федеральной таможенной службе, утвержденного Постановлением Правительства Российской Федерации от 26 июля 2006 г. N 459 (Собрание законодательства Российской Федерации, 2006, N 32, ст. 3569; 2008, N 17, ст. 1883, N 24, ст. 2867, N 46, ст. 5337; 2009, N 6, ст. 738, N 12, ст. 1429; 2010, N 9, ст. 967, N 26, ст. 3350), приказываю:

1. Утвердить прилагаемый Административный регламент Федеральной таможенной службы и определяемых ею таможенных органов по предоставлению государственной услуги по принятию предварительных решений по классификации товаров по единой Товарной номенклатуре внешнеэкономической деятельности Таможенного союза.

2. Признать утратившими силу:

- Приказ ФТС России от 1 августа 2008 г. N 951 "Об утверждении Административного регламента Федеральной таможенной службы по предоставлению государственной услуги по принятию предварительных решений о классификации товаров в соответствии с Товарной номенклатурой внешнеэкономической деятельности" (зарегистрирован Минюстом России 08.08.2008, рег. N 12092);

- Приказ ФТС России от 17 февраля 2009 г. N 249 "О внесении изменений в Приказ ФТС России от 1 августа 2008 г. N 951" (зарегистрирован Минюстом России 18.03.2009, рег. N 13540).

3. Контроль за исполнением настоящего Приказа возложить на заместителя руководителя ФТС России Т.Н. Голендееву.

Настоящий Приказ вступает в силу по истечении 30 дней после дня его официального опубликования.

Руководитель
действительный государственный
советник таможенной службы
Российской Федерации
А.Ю.БЕЛЬЯНИНОВ

Приложение
к Приказу ФТС России
от 25 октября 2010 г. N 1957

АДМИНИСТРАТИВНЫЙ РЕГЛАМЕНТ
ФЕДЕРАЛЬНОЙ ТАМОЖЕННОЙ СЛУЖБЫ И ОПРЕДЕЛЯЕМЫХ ЕЮ ТАМОЖЕННЫХ ОРГАНОВ ПО ПРЕДОСТАВЛЕНИЮ ГОСУДАРСТВЕННОЙ УСЛУГИ ПО ПРИНЯТИЮ ПРЕДВАРИТЕЛЬНЫХ РЕШЕНИЙ ПО КЛАССИФИКАЦИИ ТОВАРОВ ПО ЕДИНОЙ ТОВАРНОЙ НОМЕНКЛАТУРЕ ВНЕШНЕЭКОНОМИЧЕСКОЙ ДЕЯТЕЛЬНОСТИ ТАМОЖЕННОГО СОЮЗА

I. Общие положения

1. Административный регламент Федеральной таможенной службы и определяемых ею таможенных органов по предоставлению государственной услуги по принятию предварительных решений по классификации товаров по единой Товарной номенклатуре внешнеэкономической деятельности Таможенного союза (далее - Регламент) разработан в целях повышения качества и обеспечения прозрачности принятия предварительных решений по классификации товаров, определения сроков и последовательности действий (административных процедур) Федеральной таможенной службы и уполномоченных ею таможенных органов при предоставлении данной услуги.

2. Государственная услуга по принятию предварительного решения по классификации товара по единой Товарной номенклатуре внешнеэкономической деятельности Таможенного союза (далее - государственная услуга) оказывается заявителю заблаговременно до совершения таможенных операций в целях сокращения времени проведения таможенных процедур, осуществления мер тарифного регулирования, соблюдения запретов и ограничений, установленных законодательством Таможенного союза и (или) законодательством Российской Федерации о государственном регулировании внешнеторговой деятельности, единообразного применения единой Товарной номенклатуры внешнеэкономической деятельности Таможенного союза (далее - ТН ВЭД ТС).

3. Заявителем является юридическое лицо, организация, не являющаяся юридическим лицом, созданные в соответствии с законодательством государства - члена Таможенного союза, а также физическое лицо, имеющее постоянное место жительства в государстве - члене Таможенного союза, в том числе индивидуальный предприниматель, зарегистрированный в соответствии с законодательством государства - члена Таможенного союза.

4. Предварительное решение по классификации товара по ТН ВЭД ТС (далее - предварительное решение) является обязательным при декларировании товаров на территории Российской Федерации.

5. Предварительное решение действует в течение трех лет со дня его принятия, если оно не изменено, не отозвано, либо его действие не прекращено в соответствии со статьей 56 Таможенного кодекса Таможенного союза.

6. По окончании срока, указанного в пункте 5 Регламента, предварительное решение автоматически утрачивает силу, что не препятствует обращению заявителя с заявлением о выдаче нового предварительного решения согласно порядку, установленному Регламентом.

7. Заявитель, получивший предварительное решение, представляет его оригинал и копию в таможенный орган одновременно с таможенной декларацией для таможенного декларирования товара.

Регистрационный номер и дату принятия предварительного решения декларант указывает в таможенной декларации в соответствии с правилами ее заполнения.

Должностное лицо таможенного органа после сверки копии предварительного решения с оригиналом возвращает оригинал заявителю, копия предварительного решения остается в таможенном органе.

8. При таможенном декларировании товара должностное лицо таможенного органа осуществляет контроль соответствия характеристик фактически представленного к декларированию товара сведениям о товаре в графе 7 принятого предварительного решения.

II. Стандарт предоставления государственной услуги

9. Наименование государственной услуги.

9.1. ФТС России и таможенные органы, определяемые ею, по запросу заинтересованного лица (заявителя) предоставляют государственную услугу по принятию предварительных решений по классификации товаров по единой Товарной номенклатуре внешнеэкономической деятельности Таможенного союза.

10. Наименование органа, предоставляющего государственную услугу.

10.1. От имени ФТС России предварительные решения, а также решения о прекращении действия предварительного решения, его изменении или отзыве, об отклонении заявления от заявителя о принятии предварительного решения принимает Управление товарной номенклатуры, определяемое на принятие предварительных решений (далее - Управление), и определяемые ФТС России на принятие предварительных решений следующие таможенные органы - Дальневосточное таможенное управление, Приволжское таможенное управление, Северо-Западное таможенное управление, Сибирское таможенное управление, Уральское таможенное управление, Центральное таможенное управление, Южное таможенное управление (далее - таможенные органы).

Наделение полномочиями по принятию предварительных решений осуществляется приказом ФТС России, в котором указывается наименование таможенного органа и группы или разделы Товарной номенклатуры внешнеэкономической деятельности Таможенного союза (далее - ТН ВЭД ТС), по которым таможенный орган принимает предварительные решения.

11. Результат предоставления государственной услуги.

11.1. Результатом предоставления государственной услуги является предварительное решение по классификации товара по ТН ВЭД ТС, выданное Управлением (таможенным органом) и оформленное на специальном бланке (приложение N 1 к Регламенту) за подписью начальника Управления (начальника таможенного органа) или его заместителя (заместителя начальника таможенного органа).

12. Срок предоставления государственной услуги.

12.1. Государственная услуга предоставляется в течение 90 календарных дней со дня регистрации заявления заявителя о принятии предварительного решения по классификации товаров по ТН ВЭД ТС (далее - заявление) в Управлении делами ФТС России (в отделе документационного обеспечения таможенного органа).

12.2. При наличии в заявлении информации, достаточной для однозначного отнесения конкретного товара к определенной подсубпозиции ТН ВЭД ТС на уровне десятизначного кодового обозначения, предварительное решение принимается в более короткие сроки.

12.3. В случае необходимости предоставления дополнительной информации в соответствии с пунктом 29.1 Регламента течение срока, указанного в абзаце первом настоящего пункта, приостанавливается и возобновляется со дня регистрации в Управлении делами ФТС России (в отделе документационного обеспечения таможенного органа) последнего документа, содержащего запрашиваемые сведения, необходимые для принятия предварительного решения.

После получения дополнительной информации срок принятия предварительного решения не должен составлять более 60 дней.

13. Правовые основания для предоставления государственной услуги.

13.1. Предоставление государственной услуги осуществляется в соответствии:

со статьями 53 - 57 Таможенного кодекса Таможенного союза (далее - Кодекс) <*>;

<*> Федеральный закон от 2 июня 2010 г. N 114-ФЗ "О ратификации Договора о Таможенном кодексе Таможенного союза" (Собрание законодательства Российской Федерации, 2010, N 23, ст. 2796).

с Федеральным законом от 27 июля 2010 г. N 210-ФЗ "Об организации предоставления государственных и муниципальных услуг" <*>;

<*> Собрание законодательства Российской Федерации, 2010, N 31, ст. 41 - 79.

с Постановлением Правительства Российской Федерации от 26 июля 2006 г. N 459 "О Федеральной таможенной службе" <*>.

<*> Собрание законодательства Российской Федерации, 2006, N 32, ст. 3569; 2008, N 17, ст. 1883, N 24, ст. 2867, N 46, ст. 5337; 2009, N 6, ст. 738, N 12, ст. 1429; 2010, N 9, ст. 967, N 26, ст. 3350.

14. Исчерпывающий перечень документов, необходимых для предоставления государственной услуги.

14.1. Государственная услуга предоставляется на основании заявления заявителя в ФТС России или в таможенный орган, поданного в письменном виде или в виде электронного документа.

14.2. Заявление о принятии предварительного решения должно содержать полное коммерческое наименование, фирменное наименование, основные технические, коммерческие характеристики товаров и иную информацию, позволяющую однозначно классифицировать товары. При необходимости представляются фотографии, рисунки, чертежи, паспорта изделий, пробы и образцы товаров и другие документы для принятия этого предварительного решения.

15. Исчерпывающий перечень оснований для отказа в приеме документов, необходимых для предоставления государственной услуги.

15.1. В приеме документов отказывается, если:

- оформление заявителем заявления о принятии предварительного решения не соответствует требованиям пункта 26.2 Регламента;

- заявление о принятии предварительного решения направлено заявителем, который не является лицом, соответствующим требованиям, изложенным в пункте 3 Регламента.

16. Исчерпывающий перечень оснований для отказа (отклонения заявления) в предоставлении государственной услуги.

16.1. Основанием для отказа в предоставлении государственной услуги (отклонения заявления) является непредставление заявителем дополнительной информации о товаре в срок, указанный в уведомлении ФТС России (таможенного органа), направленного в адрес заявителя.

17. Размер платы, взимаемый с заявителя при предоставлении государственной услуги.

17.1. Государственная услуга предоставляется ФТС России и таможенными органами бесплатно.

18. Максимальный срок ожидания в очереди при подаче запроса о предоставлении государственной услуги и при получении результата предоставления государственной услуги.

18.1. Заявление о предоставлении государственной услуги направляется заявителем в ФТС России (таможенный орган) в письменном виде или в виде электронного документа.

Направление заявления о предоставлении государственной услуги в виде электронного документа осуществляется через Единый портал государственных и муниципальных услуг, размещенный в сети Интернет.

В случае решения заявителя доставить заявление непосредственно в экспедицию ФТС России (в таможенный орган) срок ожидания в очереди может составить не более 10 минут.

Результат предоставления государственной услуги направляется заявителю в письменном виде.

19. Срок регистрации заявления заявителя.

19.1. Заявление регистрируется (присваивается входящий номер) в Управлении делами ФТС России или в отделе документационного обеспечения таможенного органа не позднее дня, следующего за днем его получения

20. Требования к помещениям, в которых предоставляются государственные услуги, к залу ожидания, местам для заполнения заявлений, информационным стендам с образцами их заполнения и перечнем документов, необходимых для предоставления государственной услуги.

20.1. Для предоставления государственной услуги по принятию предварительных решений не требуются залы ожиданий и места для заполнения заявлений. Информация, размещаемая на информационных стендах таможенных органов, указана в пункте 24.3.2. Перечень документов, необходимых для предоставления государственной услуги, указан в пункте 14.2 Регламента. Информация о требованиях к заявлению указана в пункте 26.1.

21. Показатели доступности и качества государственных услуг.

21.1. Ограничений по доступности государственной услуги лицам Российской Федерации и других государств - членов Таможенного союза не имеется.

21.2. Показателями качества предоставления государственной услуги являются:

правильная классификация товара, указанного в заявлении заявителя, на уровне десятизначного кодового обозначения по ТН ВЭД ТС;

принятие предварительного решения в сроки, установленные Регламентом.

22. Иных требований не имеется.

III. Состав, последовательность и сроки выполнения административных процедур по принятию предварительных решений, требования к порядку их выполнения

23. Предоставление государственной услуги по принятию предварительного решения включает в себя следующие административные процедуры:

информирование о предоставлении государственной услуги;

прием заявления о принятии предварительного решения от заявителя;

уведомление заявителя о предоставлении дополнительной информации о товаре (при необходимости);

отклонение заявления о принятии предварительного решения;

принятие предварительного решения;

выдачу дубликата предварительного решения;

прекращение действия предварительного решения;

изменение предварительного решения;

отзыв предварительного решения.

24. Информирование о предоставлении государственной услуги.

24.1. Место нахождения Федеральной таможенной службы (ФТС России): Москва, ул. Новозаводская, д. 11/5.

Почтовый адрес для направления заявлений о принятии предварительных решений и документов, на основании которых принимается предварительное решение: ул. Новозаводская, д. 11/5, Москва, 121087, Федеральная таможенная служба.

Справочная телефонная служба ФТС России: +7 495 449 72 05.

Управление делами ФТС России, отдел документационного обеспечения деятельности центрального аппарата ФТС России:

отделение регистрации входящих документов, справочная: +7 495 449 72 35;

отделение регистрации исходящих документов: +7 495 449 83 92.

Информацию о ходе рассмотрения заявления о принятии предварительного решения заявитель (уполномоченный представитель) получает в подразделении Управления по телефону +7 495 604 57 86.

График работы Управления, непосредственно осуществляющего принятие предварительных решений:

Понедельник 10-00 - 17-00 (перерыв 12-15 - 13-00)

Вторник 10-00 - 17-00 (перерыв 12-15 - 13-00)

Среда 10-00 - 17-00 (перерыв 12-15 - 13-00)

Четверг 10-00 - 17-00 (перерыв 12-15 - 13-00)

Пятница 10-00 - 15-45 (перерыв 12-15 - 13-00)

Суббота Выходной день

Воскресенье Выходной день

Официальный информационный сайт ФТС России: www.customs.ru.

Сведения о местонахождении, графиках работы, справочных телефонах таможенных органов содержатся в Справочнике региональных таможенных управлений (приложение N 2 к Регламенту).

24.2. Информация о порядке предоставления государственной услуги по принятию предварительных решений предоставляется уполномоченными должностными лицами Управления и таможенных органов:

по телефону;

по письменным обращениям.

24.2.1. При информировании по телефону уполномоченные должностные лица Управления и таможенных органов обязаны в соответствии с поступившим заявлением предоставлять следующую информацию:

- о группах или разделах ТН ВЭД ТС, по которым таможенный орган принимает предварительные решения;

- о ходе рассмотрения заявления заинтересованного лица о принятии предварительного решения;

- о результатах рассмотрения конкретного заявления о принятии предварительного решения;

- о размещении на официальном сайте ФТС России Сборника предварительных решений, а также справочных материалов по принятию предварительных решений.

Иная информация предоставляется Управлением (таможенными органами) на основании письменного обращения.

24.2.2. При информировании по письменным обращениям ответ на обращение направляется заявителю в письменном виде на бланке письма ФТС России (таможенного органа) по почтовому адресу, указанному в обращении, в срок, не превышающий 15 календарных дней с даты регистрации письменного обращения в Управлении делами ФТС России (отделе документационного обеспечения таможенного органа).

24.3. Информация, имеющая отношение к исполнению государственной услуги по принятию предварительных решений, предоставляется посредством ее размещения на официальном сайте ФТС России, а также непосредственно на информационных стендах таможенных органов, осуществляющих таможенное оформление и таможенный контроль товаров.

24.3.1. На сайте ФТС России, указанном в пункте 24.1 Регламента, размещается следующая информация:

- полное наименование и полный почтовый адрес ФТС России и таможенных органов;

- справочные номера телефонов ФТС России, Управления и таможенных органов;

- время работы Приемной ФТС России и графики работы Управления и таможенных органов;

- требования к письменному заявлению о принятии предварительного решения;

- электронная форма заявления о принятии предварительного решения;

- адрес сайта Единого портала государственных услуг;

- блок-схема, отображающая алгоритм принятия предварительного решения;

- наименование таможенных органов, которые наделяются ФТС России полномочиями по принятию предварительных решений, а также группы или разделы ТН ВЭД ТС, по которым таможенный орган принимает предварительные решения;

- перечень оснований для отклонения заявления заинтересованного лица о принятии предварительного решения;

- нормативные правовые акты ФТС России о порядке принятия предварительных решений (наименование, номер, дата принятия нормативного правового акта ФТС России).

На сайте ФТС России размещается Сборник предварительных решений, включающий в себя перечень принятых Управлением и таможенными органами предварительных решений в обезличенном виде, предназначенный для целей широкого информирования участников внешнеэкономической деятельности и заинтересованных организаций о принятых предварительных решениях.

24.3.2. На информационных стендах таможенных органов размещается следующая информация:

- полный почтовый адрес ФТС России и таможенного органа;

- справочные номера телефонов ФТС России, Управления и таможенного органа;

- время работы Приемной ФТС России, графики работы Управления и таможенного органа;

- адрес сайта ФТС России;

- адрес сайта Единого портала государственных и муниципальных услуг;

- требования к письменному заявлению о принятии предварительного решения, образец заявления о принятии предварительного решения;

- блок-схема, отображающая алгоритм принятия предварительного решения;

- группы или разделы ТН ВЭД ТС, по которым таможенный орган принимает предварительные решения;

- перечень оснований для отклонения заявления заявителя о принятии предварительного решения.

25. ФТС России обеспечивает опубликование нормативных правовых актов о процедуре принятия предварительных решений, о принятых предварительных решениях в обезличенном виде.

Опубликование осуществляется на сайтах ФТС России и Комиссии Таможенного союза (далее - КТС), а также в официальных изданиях ФТС России.

Официальный информационный сайт Комиссии Таможенного союза: www.tsouz.ru.

26. Прием заявления о принятии предварительного решения от заявителя.

26.1. Заявление составляется в письменном виде на русском языке в соответствии с ст. 54 Таможенного кодекса Таможенного союза по рекомендованному образцу (приложение N 3 к Регламенту) либо в виде электронного документа по форме, размещенной на официальном информационном сайте ФТС России.

Заявление в письменном виде может быть направлено по почте или доставлено заявителем непосредственно в экспедицию ФТС России по адресу, указанному в пункте 24.1 Регламента, или в таможенный орган по адресу, указанному в Справочнике региональных таможенных управлений (приложение N 2 к Регламенту).

Заявление (в письменном виде или в виде электронного документа) регистрируется (присваивается входящий номер) в Управлении делами ФТС России или в отделе документационного обеспечения таможенного органа и направляется:

- в ФТС России - в Управление;

- в таможенном органе - начальнику таможенного органа или его заместителю.

Документы, представленные для принятия предварительного решения, передаются в архив ФТС России (таможенного органа) и возврату заявителю не подлежат.

26.2. Заявление, поступающее от юридического лица, должно быть подписано руководителем (заместителем руководителя) организации с указанием фамилии, имени, отчества и должности, заверено печатью организации и содержать данные о наименовании организации, ее местонахождении, почтовом адресе, по которому осуществляется переписка с организацией, контактный телефон.

Приложения к заявлению должны быть пронумерованы, подписаны руководителем (заместителем руководителя) организации, заверены печатью организации.

Заявление, поступающее от физического лица, должно быть подписано указанным лицом и содержать следующие данные: адрес его места жительства, контактный телефон, а также номер, серию паспорта или иного документа, удостоверяющего личность, кем и когда выдан.

Приложения к заявлению должны быть пронумерованы, подписаны физическим лицом.

26.3. Для обеспечения непрерывности действия предварительного решения, трехлетний срок действия которого в отношении конкретного товара истекает, Управление (таможенный орган), которое принимало (который принимал) предварительное решение, рассматривает заявление в отношении этого же товара не ранее чем за 90 календарных дней до окончания срока действия ранее выданного предварительного решения.

27. После регистрации заявления в Управлении делами ФТС России (в отделе документационного обеспечения таможенного органа) начальник Управления (начальник таможенного органа) или его заместитель (заместитель начальника таможенного органа) принимает решение о его передаче на исполнение в соответствующий отдел Управления (отдел таможенного органа). Начальник отдела Управления (отдела таможенного органа), принявшего заявление к исполнению, или заместитель начальника отдела Управления (заместитель начальника отдела таможенного органа) назначает должностное лицо, ответственное за исполнение указанного заявления (далее - исполнитель заявления).

27.1. При поступлении заявления в Управление исполнитель заявления проверяет информацию по электронной базе предварительных решений с целью установления факта выдачи этому заявителю предварительного решения об указанном товаре, срок действия которого не истек.

27.2. При поступлении заявления в отдел таможенного органа исполнитель запроса устанавливает факт отнесения товара к группе или разделу ТН ВЭД ТС, по которым данному таможенному органу предоставлено право принимать предварительные решения.

В случае, если товар не относится к группе или разделу ТН ВЭД ТС, по которым данному таможенному органу предоставлено право принимать предварительные решения, заявление заявителя с описью прилагаемых документов в течение 30 календарных дней со дня его регистрации в отделе документационного обеспечения таможенного органа направляется для исполнения в ФТС России с сопроводительным письмом таможенного органа, в котором обосновывается мнение таможенного органа о классификации данного товара.

27.2.1. Срок исполнения заявления в соответствии с положениями пункта 27.2 Регламента исчисляется со дня его регистрации в Управлении делами ФТС России и не превышает 60 календарных дней.

27.3. Если исполнителю заявления для установления факта отнесения товара к группе или разделу ТН ВЭД ТС, по которым данному таможенному органу предоставлено право принимать предварительные решения, необходима информация по товару, отсутствующая в заявлении, допускается на данном этапе направить заявителю в течение 30 календарных дней уведомление о представлении дополнительной информации в порядке, установленном пунктом 29 Регламента.

При получении дополнительной информации исполнитель заявления руководствуется положениями пункта 27.2 Регламента. В случае принятия решения о направлении заявления для исполнения в ФТС России срок исполнения заявления в Управлении не должен превышать 45 календарных дней со дня его регистрации в Управлении делами ФТС России.

27.4. При принятии решения о направлении заявления на исполнение в ФТС России таможенный орган уведомляет в письменном виде заявителя о передаче заявления на бланке письма таможенного органа по почтовому адресу, указанному в заявлении, сообщая заявителю дату и исходящий номер сопроводительного письма таможенного органа, которым заявление направлено в ФТС России.

27.5. При наличии действующего предварительного решения исполнитель заявления готовит проект письма ФТС России (проект письма таможенного органа) в адрес заявителя с информацией о действующем предварительном решении, в связи с чем заявление заявителя по данному товару не рассматривается.

27.6. Проект письма ФТС России (проект письма таможенного органа) в адрес заявителя представляется на визирование начальнику отдела Управления (отдела таможенного органа) или заместителю начальника отдела Управления (заместителю начальника отдела таможенного органа). Завизированный проект письма вместе с первым экземпляром письма ФТС России (таможенного органа) в адрес заявителя представляются на подпись начальнику Управления (начальнику таможенного органа) или его заместителю (заместителю начальника таможенного органа).

27.7. Подписанное начальником Управления (начальником таможенного органа) или его заместителем (заместителем начальника таможенного органа) письмо ФТС России (таможенного органа) регистрируется в Управлении делами (в отделе документационного обеспечения таможенного органа) в соответствии с порядком по делопроизводству в ФТС России (в таможенном органе).

27.8. После отправки первого экземпляра письма ФТС России (таможенного органа) в адрес заявителя визовый экземпляр формируется в дело в соответствии с номенклатурой дел Управления (таможенного органа).

27.9. Сроки подготовки письма ФТС России (таможенного органа), визирование, подпись и регистрация не должны превышать 30 дней с момента регистрации заявления в Управлении делами ФТС России (в отделе документационного обеспечения таможенного органа).

28. При отсутствии в электронной базе предварительных решений Управления и таможенных органов действующего решения, с заявлением о принятии которого обратился заявитель, исполнитель заявления готовит решение о классификации товара по ТН ВЭД ТС.

28.1. Исполнитель заявления проверяет представленную для принятия предварительного решения заявителем информацию, необходимую для однозначной классификации товара на уровне десятизначного кодового обозначения в соответствии с ТН ВЭД ТС, а также изучает критерии, заложенные в ТН ВЭД ТС.

При получении заявления проверяется следующая информация:

- по электронной базе предварительных решений о наличии предварительных решений по рассматриваемому товару;

- по электронной базе решений Всемирной таможенной организации (ВТО) о наличии решений по заявленному товару;

- по электронной базе нормативных правовых актов ФТС России о наличии решений и разъяснений по заявленному товару.

При проверке наличия информации, необходимой для однозначной классификации товара на уровне десятизначного кодового обозначения, рассматриваются:

- тексты товарных позиций, субпозиций, примечания к разделам, группам, товарным позициям, субпозициям и критерии, заложенные в них;

- описание товара, в том числе многокомпонентного, или перечень товаров, представленных в некомплектном или незавершенном виде, несобранном или разобранном виде, или перечень товаров, представленных в наборах и т.п., а также фотографии и рисунки;

- количественный и качественный состав товара (при представлении);

- чертежи, технологические схемы (при представлении);

- целевое использование;

- способы и виды упаковки товара;

- заключения экспертных организаций (при представлении) и другая информация, представленная заявителем для принятия предварительного решения.

28.2. В случае, если исполнитель заявления в таможенном органе при проверке информации по электронной базе предварительных решений о наличии предварительных решений по рассматриваемому товару установит, что в указанной электронной базе имеется предварительное решение на аналогичный товар, принятое другим таможенным органом, содержащее в графе 6 бланка предварительного решения десятизначное кодовое обозначение, правильность определения которого вызывает сомнение, заявление заявителя с описью прилагаемых документов в течение 30 календарных дней со дня его регистрации в отделе документационного обеспечения таможенного органа направляется для исполнения в ФТС России с сопроводительным письмом таможенного органа, в котором обосновывается мнение таможенного органа о классификации данного товара. Исполнение запроса в Управлении осуществляется в соответствии с пунктами 27 - 31 Регламента в течение 60 календарных дней со дня его регистрации в Управлении делами ФТС России.

29. Уведомление заявителя о представлении дополнительной информации о товаре (далее - уведомление).

29.1. Если представленные заявителем в заявлении сведения недостаточны для принятия предварительного решения, т.е. отсутствуют необходимые сведения о классификационных признаках товаров, позволяющих однозначно идентифицировать данный товар и определить его код на уровне десятизначного кодового обозначения, или представленная заявителем информация противоречива и не позволяет отнести товар к определенной подсубпозиции ТН ВЭД ТС на уровне десятизначного кодового обозначения, Управление (таможенный орган) уведомляет заявителя о необходимости предоставления дополнительной информации о товаре в течение 30 календарных дней со дня регистрации заявления в Управлении делами ФТС России (в отделе документационного обеспечения таможенного органа).

29.2. Уведомление направляется заявителю в письменном виде на бланке письма ФТС России (таможенного органа) по почтовому адресу, указанному в заявлении.

Дополнительная информация о товаре должна быть представлена в течение 60 календарных дней со дня регистрации в Управлении делами ФТС России (в отделе документационного обеспечения таможенного органа) уведомления о дополнительной информации, направленного заявителю.

Предоставление государственной услуги приостанавливается на срок, в течение которого заявитель должен представить дополнительную информацию о товаре, указанную в уведомлении (в течение 60 календарных дней со дня регистрации в Управлении делами ФТС России (в отделе документационного обеспечения таможенного органа) уведомления заявителю о дополнительной информации о товаре).

29.3. Запрашиваемые Управлением (таможенным органом) документы и сведения должны быть подписаны заявителем с указанием фамилии, имени и отчества, а если заявитель - юридическое лицо, то заверены печатью юридического лица с указанием должности подписавшего.

30. Отклонение заявления заинтересованного лица о принятии предварительного решения.

30.1. Основанием для отклонения заявления о принятии предварительного решения является непредставление дополнительной информации в срок, указанный в уведомлении.

30.2. Управление (таможенный орган) отклоняет заявление о принятии предварительного решения и направляет заявителю письмо с указанием причин отклонения на бланке ФТС России (таможенного органа) по почтовому адресу, указанному в заявлении, в день, следующий за днем истечения срока, установленного для представления дополнительной информации.

30.3. Отклонение заявления не препятствует повторному обращению заявителя с заявлением при условии устранения причин, послуживших основанием для отклонения указанного заявления.

30.4. Дополнительная информация, полученная ФТС России (таможенным органом) и зарегистрированная в Управлении делами ФТС России (в отделе документационного обеспечения таможенного органа) позднее указанного в уведомлении срока, не рассматривается.

31. Принятие предварительного решения.

31.1. Предварительное решение принимается в течение 90 календарных дней со дня регистрации заявления в Управлении делами ФТС России (в отделе документационного обеспечения таможенного органа).

При наличии в заявлении информации, достаточной для однозначного отнесения конкретного товара к определенной подсубпозиции ТН ВЭД ТС на уровне десятизначного кодового обозначения, предварительное решение принимается в более короткие сроки.

В случае необходимости предоставления дополнительной информации в соответствии с пунктом 29.1 Регламента, течение срока, указанного в абзаце первом настоящего пункта, приостанавливается и возобновляется со дня регистрации в Управлении делами ФТС России (в отделе документационного обеспечения таможенного органа) последнего документа, содержащего запрашиваемые сведения, необходимые для принятия предварительного решения.

После получения дополнительной информации срок принятия предварительного решения не должен составлять более 60 дней.

31.2. Предварительное решение принимается на каждое наименование товара, включающее определенную марку, модель, артикул и модификацию.

В случаях, когда товары имеют разные марки, модели, артикулы, модификации, но одно наименование, а также обладают основными характеристиками, позволяющими классифицировать товары в одну десятизначную подсубпозицию, а описание позволяет однозначно идентифицировать их для таможенных целей, выдается одно предварительное решение, в котором указывается одно наименование товара с описанием при необходимости марки, модели, артикула, модификации товара.

31.3. При подготовке проекта предварительного решения изучаются:

- договор или внешнеэкономический контракт (при направлении заявителем), включая дополнения, соглашения к нему, имеющие отношение к классификации товара;

- тексты товарных позиций, субпозиций, примечания к разделам, группам, товарным позициям, субпозициям, положения Основных правил интерпретации ТН ВЭД ТС;

- алфавитный указатель Гармонизированной системы описания и кодирования товаров, пояснения к ТН ВЭД ТС;

- материалы сессий ВТО по вопросам классификации товаров;

- международные стандарты (ISO, Codex alimentarius, регламенты и др.);

- национальные стандарты, регламенты, технические условия;

- соглашения, включая соглашения по промышленной сборке моторных транспортных средств, их узлов и агрегатов;

- документы, подтверждающие целевое использование товара;

- описание товара;

- описание многокомпонентного товара для определения материала или составной части, которые в соответствии с Основными правилами интерпретации ТН ВЭД ТС придают товару основное свойство и определения, применим ли этот критерий в рассматриваемом случае;

- перечень товаров, представленных в наборах для определения составной части, которая в соответствии с Основными правилами интерпретации ТН ВЭД ТС придает товару основное свойство и определения, применим ли этот критерий в рассматриваемом случае;

- перечень товаров, представленных в некомплектном или незавершенном виде или несобранном или разобранном виде для определения возможности классификации их в соответствии с Основным правилом интерпретации 2а) ТН ВЭД ТС;

- технологические схемы и их описание, в том числе по промышленной сборке моторных транспортных средств, в соответствии с которыми товары будут перерабатываться (обрабатываться) на территории Российской Федерации;

- фотографии и рисунки (при необходимости);

- характеристики товара;

- количественный и качественный состав товара (при необходимости);

- чертежи, технологические схемы (при необходимости);

- применение товара (при необходимости);

- способы и виды упаковки товара (при необходимости);

- заключения экспертных организаций (при наличии) и другая информация, представленная заявителем для принятия предварительного решения.

31.4. После изучения представленной заявителем информации исполнитель заявления подбирает потенциально возможные подсубпозиции ТН ВЭД ТС для отнесения к ним рассматриваемого товара, рассматривает тексты этих товарных позиций, субпозиций, примечаний к соответствующим разделам, группам, товарным позициям, субпозициям, положения Основных правил интерпретации ТН ВЭД ТС.

31.5. Исполнитель заявления относит заявленный товар к определенной подсубпозиции ТН ВЭД ТС на уровне десятизначного кодового обозначения и готовит проект предварительного решения и проект сопроводительного письма ФТС России (таможенного органа) заявителю.

31.6. Начальник отдела Управления (начальник отдела таможенного органа) или его заместитель (заместитель начальника отдела таможенного органа) рассматривает проект предварительного решения и проект сопроводительного письма ФТС России (таможенного органа) заявителю и по результатам рассмотрения визирует их или направляет на доработку.

31.7. Согласованный начальником отдела или его заместителем проект предварительного решения вместе с первым экземпляром и проектом сопроводительного письма ФТС России (таможенного органа) заявителю представляются на рассмотрение начальнику Управления (начальнику таможенного органа) или его заместителю (заместителю начальника таможенного органа).

31.8. Начальник Управления (начальник таможенного органа) или его заместитель (заместитель начальника таможенного органа) рассматривает проект предварительного решения и проект сопроводительного письма ФТС России (таможенного органа) заявителю и по результатам рассмотрения подписывает их или направляет на доработку.

31.9. После подписания начальником Управления (начальником таможенного органа) или его заместителем (заместителем начальника таможенного органа) проект предварительного решения регистрируется в электронной базе предварительных решений Управления (таможенного органа). Регистрация сопроводительного письма ФТС России (таможенного органа) заявителю осуществляется в Управлении делами ФТС России (в отделе документационного обеспечения таможенного органа).

31.10. После отправки первых экземпляров предварительного решения и сопроводительного письма ФТС России (таможенного органа) заявителю визовые экземпляры формируются в дело в соответствии с номенклатурой дел Управления (таможенного органа).

31.11. При получении дополнительной информации от заявителя, которая была запрошена Управлением (таможенным органом) у заявителя в соответствии с пунктом 29.1 Регламента, выполняются действия, предусмотренные пунктами 31.1 - 31.10 Регламента.

31.12. Предварительное решение оформляется в двух экземплярах.

Первый экземпляр подписывается начальником Управления (начальником таможенного органа) или его заместителем (заместителем начальника таможенного органа) и с сопроводительным письмом направляется в адрес заявителя по почтовому адресу, указанному в запросе о принятии предварительного решения.

Копия первого экземпляра принятого таможенным органом предварительного решения с сопроводительным письмом направляется в Управление.

Второй экземпляр, завизированный должностным лицом и начальником соответствующего отдела Управления (отдела таможенного органа), подготовившим предварительное решение, остается в ФТС России (в таможенном органе), хранится в течение 5 лет и используется в целях предоставления необходимой информации для органов исполнительной и судебной власти, для осуществления процедур выдачи дубликата предварительного решения, прекращения действия, изменения или отзыва предварительного решения.

31.13. Предварительное решение по классификации товара по ТН ВЭД ТС заполняется в следующем порядке:

в графе 1 указывается полное наименование таможенного органа, принявшего предварительное решение;

в графе 2 указываются в именительном падеже для юридического лица - наименование и почтовый адрес организации, должность, фамилия и инициалы руководителя (заместителя руководителя); для физического лица - фамилия и инициалы, его почтовый адрес;

в графе 3 указывается регистрационный номер предварительного решения, который имеет следующую структуру:

ТС/КТООО/ГГ/ПППП,

где ТС - буквенный код Российской Федерации (2 знака);

КТООО - код таможенного органа (5 знаков);

ГГ - последние цифры года принятия предварительного решения (2 знака);

ПППП - порядковый исходящий номер предварительного решения (нумерация сквозная в течение одного календарного года);

в графе 4 указывается дата принятия предварительного решения;

в графе 5 указывается наименование товара, приведенное в заявлении заявителем;

в графе 6 указывается десятизначный код товара по ТН ВЭД ТС;

в графе 7 приводится подробное описание товара с указанием всех сведений, определяющих отнесение описываемого товара указанному в графе 6 десятизначному коду товара;

в графе 8 указываются Основные Правила интерпретации, примечания, пояснения к разделам, группам, товарным позициям ТН ВЭД ТС, на основании которых принято предварительное решение;

в графе 9 указывается информация, которую должен принять к сведению таможенный орган при таможенном декларировании товара, в отношении которого принято предварительное решение (разрешительные и иные документы уполномоченных органов исполнительной власти Российской Федерации, других государств - членов Таможенного союза, подтверждающие целевое назначение ввозимых товаров, а также сведения, разъясняющие условия применения данного решения при таможенном декларировании товара);

в графе 10 проставляется подпись должностного лица Управления (таможенного органа), уполномоченного подписывать предварительные решения в соответствии с пунктом 31.12 Регламента.

31.14. Принятое предварительное решение направляется заявителю с сопроводительным письмом ФТС России (таможенного органа) по почтовому адресу, указанному в заявлении о принятии предварительного решения.

31.15. Блок-схема принятия предварительного решения приведена в приложении N 4 к Регламенту.

32. Выдача дубликата предварительного решения.

32.1. В случае утраты заявителем предварительного решения Управление (таможенный орган) выдает дубликат ранее полученного заявителем предварительного решения. Для получения дубликата заявитель направляет в Управление (таможенный орган), принявшее (принявший) предварительное решение, письменное заявление, подготовленное в произвольной форме и содержащее ссылку на утраченное предварительное решение, и указывает сведения о заявителе, наименование и краткое описание товара. Указываются, если известны, регистрационный номер предварительного решения и дата его принятия.

Управление (таможенный орган) в течение 15 календарных дней со дня регистрации в Управлении делами ФТС России (в отделе документационного обеспечения таможенного органа) письменного заявления об утере предварительного решения выдает дубликат данного решения.

32.2. Дубликат предварительного решения должен быть идентичен оригиналу (сохраняются все сведения, содержащиеся в оригинале предварительного решения, в том числе регистрационный номер и дата принятия предварительного решения). В графе 9 "Для служебных отметок" бланка предварительного решения Управление (таможенный орган) делает запись "Дубликат".

Дубликат подписывается начальником Управления (начальником таможенного органа) или его заместителем в соответствии с пунктом 31.12 Регламента.

Срок действия дубликата исчисляется со дня регистрации оригинала предварительного решения.

32.3. Дубликат предварительного решения направляется заявителю с сопроводительным письмом ФТС России (таможенного органа) по почтовому адресу, указанному в заявлении о выдаче дубликата.

32.4. Блок-схема выдачи дубликата предварительного решения приведена в приложении N 5 к Регламенту.

33. Прекращение действия предварительного решения.

33.1. Управление принимает решение о прекращении действия предварительного решения, принятого им либо таможенным органом.

Таможенный орган принимает решение о прекращении действия принятого им предварительного решения.

33.2. Решение о прекращении действия предварительного решения принимается, если установлено, что заявитель для принятия предварительного решения представил подложные документы, недостоверные и (или) неполные сведения.

33.3. Решение о прекращении действия предварительного решения направляется заявителю, которому выдано предварительное решение, в письменной форме не позднее дня, следующего за днем вынесения решения о прекращении действия предварительного решения.

Решением о прекращении действия предварительного решения является письмо ФТС России (таможенного органа), адресованное заявителю, в котором он информируется о наличии указанных в пункте 33.2 Регламента причин, вызвавших прекращение действия предварительного решения.

Решение Управления (таможенного органа) о прекращении действия предварительного решения доводится до сведения всех таможенных органов в письменной форме не позднее дня, следующего за днем вынесения решения о прекращении действия предварительного решения.

33.4. Решение о прекращении действия предварительного решения вступает в силу со дня принятия такого предварительного решения.

33.5. Предварительное решение, в отношении которого Управлением (таможенным органом) принято решение о прекращении действия, исключается из Сборника предварительных решений, размещенного на сайтах ФТС России и КТС.

33.6. Принятие Управлением (таможенным органом) решения о прекращении действия предварительного решения не препятствует повторному обращению заявителя с заявлением в соответствии с порядком, установленным Регламентом, и при условии устранения причин, послуживших основанием для прекращения действия предварительного решения.

34. Отзыв предварительного решения.

34.1. Управление принимает решение об отзыве предварительного решения, принятого им либо таможенным органом.

Таможенный орган принимает решение об отзыве принятого им предварительного решения.

34.2. Предварительное решение отзывается в случаях:

- внесения изменений в ТН ВЭД ТС, влияющих на классификацию товаров, в отношении которых принято предварительное решение;

- принятия Всемирной таможенной организацией решений по классификации товаров, применяемых Российской Федерацией;

- принятия КТС решений и разъяснений по классификации отдельных видов товаров.

34.3. Решение об отзыве предварительного решения принимается Управлением (таможенным органом) в течение 30 календарных дней после опубликования решений и разъяснений КТС и вступает в силу одновременно с ними.

Решение об отзыве предварительного решения направляется заявителю, которому выдано предварительное решение, в письменной форме не позднее дня, следующего за днем вынесения решения об отзыве предварительного решения.

Решением об отзыве предварительного решения является письмо ФТС России (таможенного органа) заявителю, в котором он информируется о причинах, указанных в пункте 34.2 Регламента, послуживших основанием для отзыва предварительного решения.

Решение Управления (таможенного органа) об отзыве предварительного решения доводится до сведения всех таможенных органов в письменной форме не позднее дня, следующего за днем принятия решения об отзыве предварительного решения.

34.4. Предварительные решения, в отношении которых Управлением (таможенным органом) принято решение об отзыве, исключаются из Сборника предварительных решений, размещенного на сайтах ФТС России и КТС.

34.5. Принятие Управлением (таможенным органом) решения об отзыве предварительного решения не препятствует повторному обращению заявителя с заявлением в соответствии с порядком, установленным Регламентом.

35. Изменение предварительного решения.

35.1. Управление принимает решение об изменении предварительного решения, принятого им либо таможенным органом.

Таможенный орган принимает решение об изменении принятого им предварительного решения.

35.2. Изменение предварительного решения производится в случаях:

- выявления Управлением (таможенным органом) или заявителем ошибок, допущенных при принятии предварительного решения;

- принятия ФТС России решений или разъяснений по классификации отдельных видов товаров, которые являются обязательными при таможенном декларировании товаров.

35.3. Решением об изменении предварительного решения является письмо ФТС России (таможенного органа) заявителю, в котором он информируется о наличии указанных в пункте 35.2 Регламента причин, вызвавших изменение предварительного решения.

Решение Управления (таможенного органа) об изменении предварительного решения доводится до сведения всех таможенных органов в письменной форме не позднее дня, следующего за днем вынесения решения об изменении предварительного решения.

35.4. Решение Управления (таможенного органа) об изменении предварительного решения вступает в силу в срок, указанный в решении об изменении предварительного решения.

В случае выявления неточностей технического характера, не влияющих на классификацию товара на уровне десятизначного кодового обозначения, изменение вступает в силу со дня принятия решения об изменении предварительного решения.

35.5. Предварительное решение, в отношении которого Управлением (таможенным органом) принято решение об изменении, исключается из Сборника предварительных решений, размещенного на сайтах ФТС России и КТС, и в него включается измененное предварительное решение.

IV. Формы контроля за исполнением Административного регламента

36. Текущий контроль за соблюдением и исполнением ответственными должностными лицами Управления (таможенного органа) положений Регламента осуществляется начальником Управления (начальником таможенного органа) или его заместителем (заместителем начальника таможенного органа), начальником соответствующего отдела Управления (таможенного органа) или заместителем начальника отдела Управления (заместителем начальника отдела таможенного органа).

37. Текущий контроль за соблюдением последовательности действий, определенных административными процедурами по предоставлению государственной услуги по принятию предварительного решения, принятием решений ответственными должностными лицами отдела Управления (таможенного органа) осуществляется начальником отдела Управления (отдела таможенного органа) или заместителем начальника отдела Управления (заместителем начальника отдела таможенного органа).

38. Текущий контроль осуществляется путем проведения проверок соблюдения ответственными должностными лицами Управления (таможенного органа) положений Регламента.

39. Проверки могут быть плановыми и внеплановыми. Порядок и периодичность осуществления плановых проверок полноты и качества предоставления государственной услуги по принятию предварительного решения устанавливаются планом работы Управления (планом работы таможенного органа) и утверждаются начальником Управления (начальником таможенного органа).

План работы Управления должен предусматривать проведение должностными лицами Управления проверок таможенных органов по предоставлению ими государственных услуг по принятию предварительных решений.

Проверка также проводится по конкретному обращению заявителя.

40. Плановая проверка включает в себя следующие этапы:

- соблюдение сроков прохождения заявления о принятии предварительного решения с даты регистрации в Управлении делами (в отделе документационного обеспечения таможенного органа) до поступления на исполнение должностному лицу Управления (таможенного органа);

- соблюдение сроков исполнения заявления о принятии предварительного решения, в том числе при уведомлении заинтересованного лица о предоставлении дополнительной информации о товаре (при необходимости) и при отклонении запроса;

- правильность классификации товара в соответствии с ТН ВЭД ТС, то есть отнесения конкретного товара к определенной подсубпозиции ТН ВЭД ТС на уровне десятизначного кодового обозначения;

- полнота и правильность внесения сведений в бланк предварительного решения;

- обоснованность предложений должностного лица Управления (таможенного органа), исполняющего заявление заинтересованного лица, о принятии решения об отклонении заявления, прекращении действия, изменении или отзыве предварительного решения;

- соблюдение сроков при прекращении действия предварительного решения, его изменении или отзыве;

- полнота сведений о внесении соответствующих отметок в электронную базу предварительных решений Управления (таможенного органа) об отозванных, измененных и прекративших действие предварительных решениях;

- полнота сведений по принятым предварительным решениям, вносимым в Сборник предварительных решений, размещенный на сайте ФТС России;

- полнота сведений об удалении отозванных, измененных и прекративших действие предварительных решений из Сборника предварительных решений, размещенного на сайте ФТС России.

41. Результаты проверки оформляются в виде акта, в котором отмечаются выявленные недостатки и предложения по их устранению.

42. За несоблюдение положений Регламента должностные лица, принявшие предварительные решения, несут персональную ответственность в соответствии с должностным регламентом или должностной инструкцией.

V. Досудебный (внесудебный) порядок обжалования решений и действий (бездействия) Управления (уполномоченного таможенного органа), предоставляющего государственную услугу, а также должностных лиц, государственных служащих

43. Заявитель вправе обжаловать решение, действие (бездействие) Управления (таможенного органа) или его должностных лиц, государственных служащих при представлении государственной услуги по принятию предварительных решений (далее - решение, действие (бездействие)), если таким решением, действием (бездействием), по мнению заинтересованного лица, нарушены его права, свободы или законные интересы, ему созданы препятствия к их реализации либо незаконно возложена на него какая-либо обязанность.

44. Решение, действие (бездействие) может быть обжаловано в ФТС России (в таможенный орган) либо в суд, арбитражный суд.

Подача в ФТС России (в таможенный орган) жалобы на решение, действие (бездействие) не исключает возможности одновременной или последующей подачи жалобы аналогичного содержания в суд, арбитражный суд. Жалоба на решение, действие (бездействие), поданная в ФТС России (в таможенный орган) и в суд, арбитражный суд, рассматривается судом, арбитражным судом.

45. Жалоба на решение, действие (бездействие) может быть подана в течение трех месяцев:

- со дня, когда лицу стало известно или должно было стать известно о нарушении его прав, свобод или законных интересов, создании препятствий к их реализации либо незаконном возложении на него какой-либо обязанности;

- со дня истечения установленного срока для принятия ФТС России (таможенным органом) или ее (его) должностными лицами решения или совершения действия, принятие или совершение которых предусмотрено Регламентом.

46. В случае пропуска по уважительным причинам срока для обжалования этот срок по заявлению лица, обратившегося с жалобой на решение, действие (бездействие), может быть восстановлен ФТС России (таможенным органом).

47. Жалоба на решение, действие (бездействие) подается в письменной форме и должна быть подписана лицом, обратившимся с жалобой.

В жалобе на решение, действие (бездействие) должны быть указаны:

- наименование таможенного органа или должность, фамилия, имя и отчество должностного лица ФТС России (таможенного органа), если они известны, решение, действие (бездействие) которых обжалуется;

- фамилия, имя, отчество или наименование лица, подавшего жалобу, его место жительство или местонахождение;

- существо обжалуемого решения, действия (бездействия).

48. Подача жалобы на решение, действие (бездействие) не приостанавливает исполнения обжалуемого решения, действия.

49. ФТС России (таможенный орган) отказывает в рассмотрении жалобы на решение, действие (бездействие) ФТС России (таможенного органа) или ее (его) должностного лица по существу в случае, если:

- не соблюдены установленные сроки обжалования и лицо не обратилось с заявлением о восстановлении пропущенного срока для обжалования либо заявление о восстановлении пропущенного срока для обжалования отклонено;

- не соблюдены требования, установленные пунктом 47 Регламента;

- лицо уже обратилось с жалобой аналогичного содержания в суд и такая жалоба принята судом, арбитражным судом к рассмотрению либо по ней вынесено решение;

- предметом указанной жалобы являются решение, действие (бездействие) органа, не являющегося ФТС России (таможенным органом), или должностного лица органа, не являющегося ФТС России (таможенным органом).

50. Решение об отказе в рассмотрении жалобы на решение, действие (бездействие) ФТС России (уполномоченного таможенного органа) или ее (его) должностных лиц по существу должно быть принято не позднее трех дней со дня поступления указанной жалобы в ФТС России (в таможенный орган), а в случае, предусмотренном абзацем четвертым пункта 49 Регламента, - со дня получения ФТС России (таможенным органом) определения суда, арбитражного суда о принятии жалобы аналогичного содержания к рассмотрению или судебного решения.

51. Заявитель, обратившийся с жалобой на решение, действие (бездействие), может отозвать ее в любой момент до принятия решения по жалобе.

52. Повторная жалоба по тому же поводу может быть подана в пределах сроков, установленных пунктом 46 Регламента.

53. Жалоба на решение, действие (бездействие) должна быть рассмотрена ФТС России (таможенным органом) в течение одного месяца со дня ее поступления в ФТС России (в таможенный орган).

Если ФТС России (таможенный орган) признает необходимым продлить срок рассмотрения указанной жалобы, этот срок может быть продлен руководителем ФТС России (начальником таможенного органа) или лицами, их замещающими, но не более чем еще на один месяц, о чем сообщается лицу, подавшему эту жалобу, в письменной форме с указанием причин продления.

54. Копия решения, принятого по результатам рассмотрения жалобы на решение, действие (бездействие), направляется лицу, обратившемуся с жалобой.

55. Решение ФТС России (таможенного органа) по жалобе на решение, действие (бездействие), а также решение ФТС России (таможенного органа) об отказе в рассмотрении жалобы на решение, действие (бездействие) по существу может быть обжаловано в суд, арбитражный суд.

56. Порядок подачи, рассмотрения и разрешения жалоб, направляемых в суды и арбитражные суды, определяется законодательством Российской Федерации о гражданском судопроизводстве и судопроизводстве в арбитражных судах.

57. Заявитель вправе обжаловать действия (бездействие) должностного лица, а также принимаемые им решения при предоставлении государственной услуги по принятию предварительного решения в суд общей юрисдикции в порядке гражданского судопроизводства, в арбитражный суд в порядке судопроизводства в арбитражных судах в течение трех месяцев со дня, когда заявителю стало известно о нарушении его прав и свобод.

Приложение N 1
к Административному регламенту
Федеральной таможенной службы
и определяемых ею таможенных
органов по предоставлению
государственной услуги
по принятию предварительных
решений по классификации товаров
по единой Товарной номенклатуре
внешнеэкономической деятельности
Таможенного союза

УТВЕРЖДЕНО
решением Комиссии Таможенного союза
от 20 мая 2010 г. N 260

ПРЕДВАРИТЕЛЬНОЕ РЕШЕНИЕ ПО КЛАССИФИКАЦИИ ТОВАРА ПО ТН ВЭД ТС <*>

1. Наименование таможенного органа, принявшего предварительное решение 2. Заявитель  
3. Регистрационный номер 4. Дата принятия (число, месяц, год)  
5. Наименование товара, указанное в запросе заявителем 6. Код товара по ТН ВЭД ТС  
7. Сведения о товаре, необходимые для классификации
8. Обоснование принятия решения
9. Для служебных отметок
10. Подпись должностного лица таможенного органа
             
  (должность)   (подпись)   (Ф.И.О.)

<*> Решение применяется при соответствии товара сведениям, указанным в графе 7.

Приложение N 2
к Административному регламенту
Федеральной таможенной службы
и определяемых ею таможенных
органов по предоставлению
государственной услуги
по принятию предварительных
решений по классификации товаров
по единой Товарной номенклатуре
внешнеэкономической деятельности
Таможенного союза

СПРАВОЧНИК РЕГИОНАЛЬНЫХ ТАМОЖЕННЫХ УПРАВЛЕНИЙ

N п/п Наименование таможенного органа Место нахождения Почтовый адрес для направления документов и обращений График работы Справочная телефонная служба Регистрация входящих документов (телефон) Регистрация исходящих документов (телефон) Информация о ходе рассмотрения запроса (телефон)
1 2 3 4 5 6 7 8 9
1 Дальневосточное таможенное управление Улица Гоголя, дом 48, город Владивосток, Приморский край, 690014 Улица Гоголя, дом 48, город Владивосток, Приморский край, 690014 Понедельник - четверг - 8.30 - 17.30. Пятница - 8.30 - 16.15. Перерыв 12.00 - 12.45. Выходной - суббота, воскресенье 8 4232 308 228, 8 4232 308 227 8 4232 308 279, 8 4232 308 269 8 4232 308 379 8 4232 308 342, 8 4232 308 937
2 Приволжское таможенное управление Улица Пушкина, дом 8, город Нижний Новгород, 603022 Улица Пушкина, дом 8, город Нижний Новгород, 603022 Понедельник - четверг - 8.30 - 17.30. Пятница - 8.30 - 16.15. Перерыв 12.00 - 12.45. Выходной - суббота, воскресенье 8 831 296 02 28 8 831 296 03 87 8 831 296 03 87 8 831 296 03 57, 8 831 296 04 57
3 Северо-Западное таможенное управление Набережная Кутузова, дом 20, город СанктПетербург, 191187 Набережная Кутузова, дом 20, город Санкт -Петербург, 191187 Понедельник - четверг - 9.00 - 17.42. Пятница - 9.00 - 16.42. Перерыв 13.00 - 13.30. Выходной - суббота, воскресенье 8 812 740 32 27 8 812 740 32 96, 8 812 740 32 97, 8 812 740 32 98 8 812 740 32 93, 8 812 740 32 99 8 812 740 33 69, 8 812 740 32 72, 8 812 740 33 55
4 Сибирское таможенное управление Улица Тимирязева, дом 74, город Новосибирск, 630082 Улица Тимирязева, дом 74, город Новосибирск, 630082 Понедельник - четверг - 8.30 - 17.30. Пятница - 8.30 - 16.30. Перерыв 13.00 - 13.48. Выходной - суббота, воскресенье 8 383 216 87 28, 8 383 228 14 15 8 383 216 86 37, 8 383 216 87 48 8 383 216 86 42 8 383 228 78 62
5 Центральное таможенное управление Комсомольская площадь, дом 1А, город Москва, 107140 Комсомольская площадь, дом 1А, город Москва, 107140 Понедельник - четверг - 9.00 - 18.00. Пятница - 9.00 - 16.45. Перерыв 12.30 - 13.15. Выходной - суббота, воскресенье 8 499 975 19 18 8 499 975 19 18 8 499 263 35 78 8 499 263 84 66
6 Южное таможенное управление Улица Береговая, дом 21/2, город Ростов-на-Дону, 344002 Улица Береговая, дом 21/2, город Ростов-на-Дону, 344002 Понедельник - четверг - 8.30 - 17.30. Пятница - 8.30 - 16.15. Перерыв 12.30 - 13.15. Выходной - суббота, воскресенье 8 863 240 54 84, 8 863 250 92 27, 8 863 250 92 29 8 863 250 92 77, 8 863 250 94 45, 8 863 25 93 06 8 863 250 93 89 8863 250 93 90
7 Уральское таможенное управление Улица Шейкмана, дом 31, город Екатеринбург, 620014 Улица Шейкмана, дом 31, город Екатеринбург, 620014 Понедельник - пятница - 9.00 - 18.00. Перерыв 13.00 - 13.45. Выходной - суббота, воскресенье 8 343 261 35 30 8 343 3 595 382, 8 343 3 595 354 8 343 3 595 263, 8 343 261 42 72 8 343 3 595 293, 8 343 371 95 46

Приложение N 3
к Административному регламенту
Федеральной таможенной службы
и определяемых ею таможенных
органов по предоставлению
государственной услуги
по принятию предварительных
решений по классификации товаров
по единой Товарной номенклатуре
внешнеэкономической деятельности
Таможенного союза

(Образец)
     
              Начальнику (заместителю начальника)
               Управления товарной номенклатуры
    (Начальнику (заместителю начальника) таможенного органа)
 
                           ЗАЯВЛЕНИЕ
  о принятии предварительного решения по классификации товара
 
__________________________________________________________________
фамилия, имя, отчество заявителя (для физических лиц)/название 
         организации, фамилия, имя, отчество руководителя 
                     (для юридических лиц)
__________________________________________________________________
  полный почтовый адрес (для физических лиц)/местонахождение
          юридического лица и его почтовый адрес
__________________________________________________________________
                  ИНН (для юридических лиц)
__________________________________________________________________
  серия, номер паспорта, кем и когда выдан (для физических лиц)
 
Прошу выдать предварительное решение по классификации по ТН ВЭД ТС
                    указанного ниже товара.
 
                   Подробное описание товара
 
    Указывается   полное   коммерческое   наименование,  фирменное
наименование,  основные  технические,  коммерческие характеристики
товара  и иная информация, позволяющая однозначно классифицировать
товар,   например:   назначение,   стандарт,  сорт, марка, модель,
артикул,  материал,  из  которого  изготовлен  товар,  выполняемые
товаром  функции, описание индивидуальной и транспортной тары. При
необходимости   представляются   фотографии,   рисунки,   чертежи,
паспорта  изделий,  пробы  и образцы товара и другие документы для
принятия предварительного решения.
 
Дата _________________                   _________________________
                            Печать            (подпись заявителя)
 
 
 

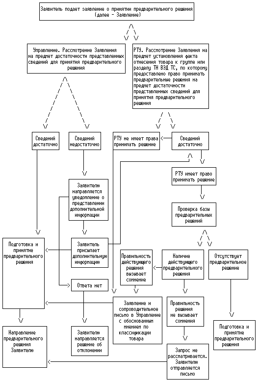
Приложение N 4
к Административному регламенту
Федеральной таможенной службы
и определяемых ею таможенных
органов по предоставлению
государственной услуги
по принятию предварительных
решений по классификации
товаров по ТН ВЭД ТС

БЛОК-СХЕМА ПРИНЯТИЯ ПРЕДВАРИТЕЛЬНОГО РЕШЕНИЯ

Приложение N 5
к Административному регламенту
Федеральной таможенной службы
и определяемых ею таможенных
органов по предоставлению
государственной услуги
по принятию предварительных
решений по классификации товаров
по единой Товарной номенклатуре
внешнеэкономической деятельности
Таможенного союза

БЛОК-СХЕМА ВЫДАЧИ ДУБЛИКАТА ПРЕДВАРИТЕЛЬНОГО РЕШЕНИЯ