Приказ ФСТ РФ от 29.12.2010 N 652-С

"Об утверждении Порядка расчета тарифов на услуги общедоступной электросвязи по методу предельного ценообразования и правил их применения"
Редакция от 29.12.2010 — Документ утратил силу, см. «Приказ ФАС РФ от 05.02.2019 N 126/19»

Зарегистрировано в Минюсте РФ 9 марта 2011 г. N 20027


ФЕДЕРАЛЬНАЯ СЛУЖБА ПО ТАРИФАМ

ПРИКАЗ
от 29 декабря 2010 г. N 652-с

ОБ УТВЕРЖДЕНИИ ПОРЯДКА РАСЧЕТА ТАРИФОВ НА УСЛУГИ ОБЩЕДОСТУПНОЙ ЭЛЕКТРОСВЯЗИ ПО МЕТОДУ ПРЕДЕЛЬНОГО ЦЕНООБРАЗОВАНИЯ И ПРАВИЛ ИХ ПРИМЕНЕНИЯ

В соответствии с Федеральным законом от 17 августа 1995 года N 147-ФЗ "О естественных монополиях" (Собрание законодательства Российской Федерации, 1995, N 34, ст. 3426; 2001, N 33 (часть I), ст. 3429; 2002, N 1 (часть I), ст. 2; 2003, N 2, ст. 168; N 13, ст. 1181; 2004, N 27, ст. 2711; 2006, N 1, ст. 10; N 19, ст. 2063; 2007, N 1 (часть I), ст. 21; N 43, ст. 5084; N 46, ст. 5557; 2008, N 52 (часть I), ст. 6236), Постановлением Правительства Российской Федерации от 24 октября 2005 года N 637 "О государственном регулировании тарифов на услуги общедоступной электросвязи и общедоступной почтовой связи" (Собрание законодательства Российской Федерации, 2005, N 44, ст. 4561; 2007, N 40, ст. 4797), на основании Положения о Федеральной службе по тарифам, утвержденного Постановлением Правительства Российской Федерации от 30 июня 2004 года N 332 (Собрание законодательства Российской Федерации, 2004, N 29, ст. 3049; 2006, N 3, ст. 301; N 23, ст. 2522; N 48, ст. 5032; N 50, ст. 5354; 2007, N 16, ст. 1912; N 25, ст. 3039; N 32, ст. 4145; 2008, N 7, ст. 597; N 17, ст. 1897; N 23, ст. 2719; N 38, ст. 4309; N 46, ст. 5337; 2009, N 1, ст. 142; N 3, ст. 378; N 6, ст. 738; N 9, ст. 1119; N 18 (часть II), ст. 2249; N 33, ст. 4086; 2010, N 9, ст. 960; N 13, ст. 1514; N 25, ст. 3169; N 26, ст. 3350; N 30, ст. 4096; N 45, ст. 5851), приказываю:

1. Утвердить Порядок расчета тарифов на услуги общедоступной электросвязи по методу предельного ценообразования и правила их применения в соответствии с приложением.

2. Настоящий Приказ вступает в силу в установленном порядке.

Руководитель
Федеральной службы по тарифам
С.НОВИКОВ

Приложение
к Приказу
Федеральной службы по тарифам
от 29 декабря 2010 г. N 652-с

ПОРЯДОК
РАСЧЕТА ТАРИФОВ НА УСЛУГИ ОБЩЕДОСТУПНОЙ ЭЛЕКТРОСВЯЗИ ПО МЕТОДУ ПРЕДЕЛЬНОГО ЦЕНООБРАЗОВАНИЯ И ПРАВИЛА ИХ ПРИМЕНЕНИЯ

I. Общие положения

1. Порядок расчета тарифов на услуги общедоступной электросвязи по методу предельного ценообразования и правила их применения (далее - Порядок расчета тарифов и правила их применения) разработаны в соответствии с Федеральными законами от 17 августа 1995 года N 147-ФЗ "О естественных монополиях" (Собрание законодательства Российской Федерации, 1995, N 34, ст. 3426; 2001, N 33 (часть I), ст. 3429; 2002, N 1 (часть I), ст. 2; 2003, N 2, ст. 168, N 13, ст. 1181; 2004, N 27, ст. 2711; 2006, N 1, ст. 10, N 19, ст. 2063; 2007, N 1 (часть I), ст. 21, N 43, ст. 5084; N 46, ст. 5557; 2008, N 52 (часть I), ст. 6236), от 7 июля 2003 года N 126-ФЗ "О связи" (Собрание законодательства Российской Федерации, 2003, N 28, ст. 2895, N 52 (часть I), ст. 5038; 2004, N 35, ст. 3607, N 45, ст. 4377; 2005, N 19, ст. 1752; 2006, N 6, ст. 636, N 10, ст. 1069, N 31 (часть I), ст. 3431, N 31 (часть I), ст. 3452; 2007, N 1 (часть I), ст. 8, N 7, ст. 835; 2008, N 18, ст. 1941; 2009, N 29, ст. 3625; 2010, N 7, ст. 705, N 15, ст. 1737; N 27, ст. 3408; N 31, ст. 4190) и Постановлением Правительства Российской Федерации от 24 октября 2005 года N 637 "О государственном регулировании тарифов на услуги общедоступной электросвязи и общедоступной почтовой связи" (Собрание законодательства Российской Федерации, 2005, N 44, ст. 4561; 2007, N 40, ст. 4797).

2. Настоящий Порядок расчета тарифов и правила их применения предназначены для использования федеральным органом исполнительной власти по регулированию естественных монополий (далее - регулирующий орган) и операторами связи, являющимися субъектами естественных монополий в области связи и включенными в реестр субъектов естественных монополий (далее - операторы связи), при расчете тарифов на услуги общедоступной электросвязи по методу предельного ценообразования.

3. Понятия, используемые в настоящем документе, соответствуют определениям, данным в Федеральном законе от 7 июля 2003 года N 126-ФЗ "О связи" (Собрание законодательства Российской Федерации, 2003, N 28, ст. 2895, N 52 (часть I), ст. 5038; 2004, N 35, ст. 3607, N 45, ст. 4377; 2005, N 19, ст. 1752; 2006, N 6, ст. 636, N 10, ст. 1069, N 31 (часть I), ст. 3431, N 31 (часть I), ст. 3452; 2007, N 1 (часть I), ст. 8, N 7, ст. 835; 2008, N 18, ст. 1941; 2009, N 29, ст. 3625; 2010, N 7, ст. 705, N 15, ст. 1737; N 27, ст. 3408; N 31, ст. 4190) и Постановлении Правительства Российской Федерации от 24 октября 2005 года N 637 "О государственном регулировании тарифов на услуги общедоступной электросвязи и общедоступной почтовой связи" (Собрание законодательства Российской Федерации, 2005, N 44, ст. 4561; 2007, N 40, ст. 4797).

II. Основные принципы расчета тарифов на услуги общедоступной электросвязи по методу предельного ценообразования

4. Регулирование тарифов на услуги общедоступной электросвязи по методу предельного ценообразования осуществляется путем установления коэффициента, учитывающего максимально допустимое ежегодное изменение тарифов на определенный набор услуг связи, предоставляемых оператором связи (далее - коэффициент максимального допустимого изменения тарифов), исходя из прогнозного уровня инфляции, повышения эффективности деятельности оператора связи и состояния рынка услуг связи.

5. Для целей регулирования тарифов по методу предельного ценообразования устанавливаются следующие группы набора услуг связи:

первая группа:

- предоставление доступа к сети местной телефонной связи независимо от типа абонентской линии (проводная линия или радиолиния) сети фиксированной телефонной связи;

- предоставление местного телефонного соединения абоненту (пользователю) сети фиксированной телефонной связи для передачи голосовой информации, факсимильных сообщений и данных (кроме таксофонов);

- предоставление абоненту в постоянное пользование абонентской линии независимо от ее типа;

- предоставление внутризонового телефонного соединения абоненту (пользователю) сети фиксированной телефонной связи для передачи голосовой информации, факсимильных сообщений и данных;

вторая группа:

- предоставление междугородного телефонного соединения абоненту (пользователю) сети фиксированной телефонной связи для передачи голосовой информации, факсимильных сообщений и данных;

третья группа:

- передача внутренней телеграммы;

четвертая группа:

- распространение общероссийских телерадиопрограмм.

6. Учет уровня инфляции проводится по индексу потребительских цен, который определяется в соответствии с прогнозом социально-экономического развития Российской Федерации на среднесрочную перспективу, принимаемым Правительством Российской Федерации, а также по данным Федеральной службы государственной статистики.

7. Коэффициент максимального допустимого изменения тарифов на регулируемые услуги связи устанавливается регулирующим органом с учетом расчетов, проведенных в соответствии с главой III настоящего Порядка расчета тарифов и правил их применения.

8. Для расчета коэффициента максимального допустимого изменения тарифов для каждого оператора связи определяется коэффициент повышения эффективности деятельности оператора связи.

9. Коэффициент повышения эффективности деятельности оператора связи определяется на основании расчетов, проведенных в соответствии с главой III настоящего Порядка расчета тарифов и правил их применения, и сохраняется неизменным на три года.

III. Порядок расчета коэффициента максимального допустимого изменения тарифов

11. Расчет коэффициента максимального допустимого изменения тарифов (К_ПИТ) на очередной период регулирования проводится по следующей формуле:

К_ПИТ = 1 + дельта J - X,

где

дельта J - прогнозируемый индекс потребительских цен в среднем по Российской Федерации на очередной период регулирования (в относительных единицах),

X - коэффициент повышения эффективности деятельности оператора связи (в относительных единицах).

В электронном документе нумерация пунктов соответствует официальному источнику.

12. Расчет коэффициента повышения эффективности деятельности оператора связи (X) проводится по следующей формуле:

Х = I_ВД - I_ПР,

где

I_ВД - среднегодовой индекс изменения валового дохода в целом по отрасли связи,

I_ПР - среднегодовой индекс изменения производительности оператора связи.

13. Для расчета коэффициента повышения эффективности деятельности оператора связи (X) проводится анализ изменения производительности оператора связи за 3 года (далее - расчетный период), предшествующих i-ому расчетному году, и рассчитывается среднегодовой индекс изменения производительности оператора связи.

14. В случае если величина коэффициента повышения эффективности деятельности оператора связи (X) по результатам расчетов примет отрицательное значение, то в расчете коэффициента максимального допустимого изменения тарифов ( ) в соответствии с пунктом 11 настоящего Порядка расчета тарифов и правил их применения величина коэффициента повышения эффективности деятельности оператора связи (X) принимается равной нулю.

15. Среднегодовой индекс изменения производительности оператора связи (I_ПР) определяется по следующей формуле:

I_ПР = I_ДОХ - 1 ,
I_РАСХ

где

I_ДОХ - среднегодовой индекс изменения доходов оператора связи по соответствующей группе набора услуг связи,

I_РАСХ - среднегодовой индекс изменения расходов оператора связи по соответствующей группе набора услуг связи.

16. Для оценки изменения производительности оператора связи по соответствующей группе набора услуг связи необходимо в каждом году расчетного периода исключить инфляционные факторы, влияющие на размер доходов и расходов оператора связи, но не относящиеся к изменению производительности оператора связи.

17. Среднегодовой индекс изменения доходов оператора связи по соответствующей группе набора услуг связи (I_ДОХ) определяется по следующей формуле:

I_ДОХ = ( ДП_(i-1) )^(1/2) ,
Д_Б

где

ДП_(i-1) - приведенные доходы оператора связи по соответствующей группе набора услуг связи в году, предшествующем i-ому расчетному году,

Д_Б - доходы оператора связи по соответствующей группе набора услуг связи в базовом году (первом году расчетного периода).

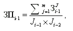
18. Приведенные доходы оператора связи по соответствующей группе набора услуг связи в году, предшествующем i-ому расчетному году (ДП_(i-1)), определяются по следующей формуле:

ДП_(i-1) = SUM(m)_(j=1) Д(j)_Б x Q(j)_(i-1) ,
Q(j)_Б

где

Д(j)_Б - доходы оператора связи от предоставления j-ой регулируемой услуги связи, включенной в соответствующую группу набора услуг связи, в базовом году, определяемые по данным раздельного учета доходов и расходов оператора связи,

Q(j)_Б - объем услуг в натуральном выражении j-ой регулируемой услуги связи, включенной в соответствующую группу набора услуг связи, в базовом году, определяемый по формам статистической отчетности,

Q(j)_(i-1) - объем услуг в натуральном выражении j-ой регулируемой услуги связи, включенной в соответствующую группу набора услуг связи, в году, предшествующем i-ому расчетному году, определяемый по формам статистической отчетности.

19. Доходы оператора связи по соответствующей группе набора услуг связи в базовом году (Д_Б) определяются по следующей формуле:

Д_Б = SUM(m)_(j=1) Д(j)_Б,

где

m - количество регулируемых услуг, включенных в соответствующую группу набора услуг связи,

Д(j)_Б - доходы оператора связи от предоставления j-ой регулируемой услуги связи, включенной в соответствующую группу набора услуг связи, в базовом году, определяемые по данным раздельного учета доходов и расходов оператора связи.

20. Среднегодовой индекс изменения расходов оператора связи по соответствующей группе набора услуг связи (I_РАСХ) определяется по следующей формуле:

где

ЗП_i-1 - приведенные расходы оператора связи по соответствующей группе набора услуг связи в году, предшествующем i-ому расчетному году,

З_Б - расходы оператора связи по соответствующей группе набора услуг связи в базовом году.

21. Приведенные расходы оператора связи по соответствующей группе набора услуг связи в году, предшествующем i-ому расчетному году ( ), определяются по следующей формуле:

где

З(J)_i-1 - расходы оператора связи от предоставления j-ой регулируемой услуги связи, включенной в соответствующую группу набора услуг связи, в году, предшествующем i-ому расчетному году, определяемые по данным раздельного учета доходов и расходов оператора связи,

J_i-1 - коэффициент инфляции в году, предшествующем i-ому расчетному году, по данным Федеральной службы государственной статистики,

J_i-2 - коэффициент инфляции во втором году расчетного периода по данным Федеральной службы государственной статистики.

22. Расходы оператора связи по соответствующей группе набора услуг связи в базовом году (З_Б) определяются по следующей формуле:

где

З(j)_Б - расходы оператора связи от предоставления j-ой регулируемой услуги связи, включенной в соответствующую группу набора услуг связи, в базовом году, определяемые по данным раздельного учета доходов и расходов оператора связи и включающие расходы по оплате труда, амортизационные отчисления, расходы на материалы, использованные в производственной деятельности, расходы по оплате услуг присоединения и пропуска трафика, расходы по оплате товаров, работ, услуг сторонних организаций, расходы на налоги, сборы и неналоговые платежи, прочие расходы, включаемые в состав расходов по обычным видам деятельности.

23. Среднегодовой индекс изменения валового дохода в целом по отрасли связи (I_BД) рассчитывается по следующей формуле:

где

ВД_i-1 - валовый доход в целом по отрасли связи в году, предшествующем i-ому расчетному году, по данным Федеральной службы государственной статистики,

ВД_Б - валовый доход в целом по отрасли связи в базовом году по данным Федеральной службы государственной статистики,

J_i-1 - коэффициент инфляции в году, предшествующем i-ому расчетному году, по данным Федеральной службы государственной статистики,

J_i-2 - коэффициент инфляции во втором году расчетного периода по данным Федеральной службы государственной статистики.

IV. Правила применения коэффициента максимального допустимого изменения тарифов

24. Операторы связи для рассмотрения и утверждения регулируемых тарифов на услуги общедоступной электросвязи представляют документы и расчеты среднегодового индекса изменения производительности оператора связи по соответствующей группе набора услуг связи, проведенные в соответствии с главой III настоящего Порядка расчета тарифов и правил их применения.

25. Регулирующий орган на основе представленных оператором связи документов и расчетов устанавливает коэффициент максимального допустимого изменения тарифов на очередной период регулирования.

26. Операторы связи применяют тарифы на услуги общедоступной электросвязи с учетом коэффициента максимального допустимого изменения тарифов, установленного регулирующим органом по соответствующей группе набора услуг связи на очередной период регулирования, на основе расчетов, проведенных в соответствии с пунктами 27 - 30 настоящего Порядка расчета тарифов и правил их применения.

27. Тариф на регулируемую услугу связи (Т_j) в общем виде рассчитывается по следующей формуле:

Т_j = T_jД * К_ПИТ ,

где

T_jД - тариф на j-ую регулируемую услугу связи, действующий на дату рассмотрения, установленный регулирующим органом,

К_ПИТ - коэффициент максимального допустимого изменения тарифов, установленный регулирующим органом по соответствующей группе набора услуг связи на очередной период регулирования.

28. Среднегодовой индекс изменения тарифов по каждой услуге, входящей в соответствующую группу набора услуг связи, в том числе по тарифным планам, не должен превышать индекса потребительских цен более чем на 20%.

В случае установления нескольких тарифов на одну услугу общедоступной электросвязи, дифференцированных по часам суток, дням недели, объему оказанных услуг связи, способам обслуживания, а также по иным основаниям, среднегодовой индекс изменения каждого такого тарифа также не должен превышать индекса потребительских цен более чем на 20%.

29. Средневзвешенный среднегодовой индекс изменения тарифов, установленных оператором связи в целом по соответствующей группе набора услуг связи, не должен превышать коэффициент максимального допустимого изменения тарифов на очередной период регулирования.

30. Средневзвешенный индекс изменения тарифов, установленных оператором связи, по соответствующей группе набора услуг связи (I_ср) определяется по следующей формуле:

где

I_j_ОП - индекс изменения тарифов, установленных оператором связи по j-ой регулируемой услуге связи, включенной в соответствующую группу набора услуг связи,

d_j - удельный вес доходов от предоставления j-ой регулируемой услуги в общих доходах от регулируемых услуг, включенных в соответствующую группу набора услуг связи, рассчитываемый по формуле:

где

Д_j - доходы от предоставления j-ой регулируемой услуги связи, .

31. Операторы связи в течение 10 календарных дней после установления тарифов на регулируемые услуги общедоступной электросвязи представляют в регулирующий орган данные об установленных тарифах и индексе изменения тарифов по каждой регулируемой услуге, включенной в соответствующую группу набора услуг связи, и в целом по группе набора услуг связи.