Приказ Минрегиона РФ от 15.02.2011 N 47

"Об утверждении методических указаний по расчету тарифов и надбавок в сфере деятельности организаций коммунального комплекса"
Редакция от 15.02.2011 — Действует с 05.04.2011

Зарегистрировано в Минюсте РФ 4 марта 2011 г. N 19999


МИНИСТЕРСТВО РЕГИОНАЛЬНОГО РАЗВИТИЯ РОССИЙСКОЙ ФЕДЕРАЦИИ

ПРИКАЗ
от 15 февраля 2011 г. N 47

ОБ УТВЕРЖДЕНИИ МЕТОДИЧЕСКИХ УКАЗАНИЙ ПО РАСЧЕТУ ТАРИФОВ И НАДБАВОК В СФЕРЕ ДЕЯТЕЛЬНОСТИ ОРГАНИЗАЦИЙ КОММУНАЛЬНОГО КОМПЛЕКСА

В соответствии с пунктом 2 Постановления Правительства Российской Федерации от 14 июля 2008 г. N 520 "Об основах ценообразования и порядке регулирования тарифов, надбавок и предельных индексов в сфере деятельности организаций коммунального комплекса" (Собрание законодательства Российской Федерации, 2008, N 29), пунктом 25 Плана мероприятий по совершенствованию контрольно-надзорных и разрешительных функций и оптимизации предоставления государственных услуг в области градостроительной деятельности, утвержденного распоряжением Правительства Российской Федерации от 15 июня 2010 г. N 982-р (Собрание законодательства Российской Федерации, 2010, N 25, ст. 3220), приказываю:

1. Утвердить Методические указания по расчету тарифов и надбавок в сфере деятельности организаций коммунального комплекса согласно приложению к настоящему Приказу.

2. Департаменту жилищно-коммунального хозяйства (И.А. Булгакова) в течение 10 дней со дня подписания направить настоящий Приказ на государственную регистрацию в Министерство юстиции Российской Федерации.

3. Контроль за исполнением настоящего Приказа возложить на заместителя Министра регионального развития Российской Федерации А.А. Попова.

Министр
В.Ф.БАСАРГИН

Приложение
к Приказу Министерства
регионального развития
Российской Федерации
от 15 февраля 2011 г. N 47

МЕТОДИЧЕСКИЕ УКАЗАНИЯ
ПО РАСЧЕТУ ТАРИФОВ И НАДБАВОК В СФЕРЕ ДЕЯТЕЛЬНОСТИ ОРГАНИЗАЦИЙ КОММУНАЛЬНОГО КОМПЛЕКСА

I. Общие положения

1. Настоящие Методические указания по расчету тарифов и надбавок в сфере деятельности организаций коммунального комплекса (далее - Методические указания) разработаны в соответствии с Федеральным законом от 30 декабря 2004 г. N 210-ФЗ "Об основах регулирования тарифов организаций коммунального комплекса" (Собрание законодательства Российской Федерации, 2005, N 1, ст. 36; N 52, ст. 5597; 2007, N 1, ст. 21; N 43, ст. 5084; 2008, N 30, ст. 3616; N 52, ст. 6236; 2009, N 48, ст. 5711; N 52, ст. 6480; 2010, N 27, ст. 3436; N 31, ст. 4206) и Постановлением Правительства Российской Федерации от 14 июля 2008 г. N 520 "Об основах ценообразования и порядке регулирования тарифов, надбавок и предельных индексов в сфере деятельности организаций коммунального комплекса" (Собрание законодательства Российской Федерации, 2008, N 29, ст. 3518; 2009, N 38, ст. 4502; 2010, N 50, ст. 6698).

2. Методические указания предназначены для использования органами регулирования (органами исполнительной власти субъектов Российской Федерации в области государственного регулирования тарифов, органами местного самоуправления в области государственного регулирования тарифов и надбавок), регулируемыми организациями для расчета с применением регулируемых тарифов и надбавок в сфере деятельности организаций коммунального комплекса.

3. Понятия, используемые в настоящих Методических указаниях, соответствуют определениям, данным в Федеральном законе от 22 декабря 2004 г. N 210-ФЗ "Об основах регулирования тарифов организаций коммунального комплекса".

II. Виды регулируемых тарифов и надбавок, расчет, установление и применение которых производится в соответствии с настоящими Методическими указаниями

4. В соответствии с настоящими Методическими указаниями органами регулирования устанавливаются следующие тарифы и надбавки в сфере деятельности организаций коммунального комплекса:

4.1. Тарифы на товары и услуги организаций коммунального комплекса:

1) тарифы на холодную воду;

2) тарифы на горячую воду;

3) тарифы на водоотведение;

4) тарифы на очистку сточных вод;

5) тарифы на утилизацию (захоронение) твердых бытовых отходов.

4.2. Регулируемые надбавки к тарифам на товары и услуги организаций коммунального комплекса, регулируемые надбавки к ценам (тарифам) для потребителей товаров и услуг организаций коммунального комплекса:

1) надбавки к тарифам на холодную воду;

2) надбавки к тарифам на горячую воду;

3) надбавки к тарифам на водоотведение;

4) надбавки к тарифам на очистку сточных вод;

5) надбавки к тарифам на утилизацию (захоронение) твердых бытовых отходов;

6) надбавки к ценам (тарифам) на холодную воду для потребителей;

7) надбавки к ценам (тарифам) на горячую воду для потребителей;

8) надбавки к ценам (тарифам) на водоотведение для потребителей;

9) надбавки к ценам (тарифам) на очистку сточных вод для потребителей;

10) надбавки к ценам (тарифам) на утилизацию (захоронение) твердых бытовых отходов для потребителей.

4.3. Тарифы на подключение вновь создаваемых (реконструируемых) объектов недвижимости (зданий, строений, сооружений и иных объектов) к системе коммунальной инфраструктуры и тарифы организаций коммунального комплекса на подключение:

1) тарифы на подключение вновь создаваемых (реконструируемых) объектов недвижимости (зданий, строений, сооружений и иных объектов):

- к системе холодного водоснабжения;

- к системе горячего водоснабжения;

- к системе водоотведения;

- к объекту очистки сточных вод.

2) тарифы организаций коммунального комплекса на подключение:

- к системе холодного водоснабжения;

- к системе горячего водоснабжения;

- к системе водоотведения;

- к объекту очистки сточных вод.

5. Надбавки к ценам (тарифам) для потребителей товаров и услуг организаций коммунального комплекса (далее - регулируемые надбавки для потребителей) устанавливаются представительными органами местного самоуправления. При этом расчет величины надбавки для утверждения представительным органом местного самоуправления осуществляется органом местного самоуправления. Надбавки к тарифам на товары и услуги организаций коммунального комплекса (далее - регулируемые надбавки для организаций коммунального комплекса), тарифы на подключение вновь создаваемых (реконструируемых) объектов недвижимости (зданий, строений, сооружений, иных объектов) к системе коммунальной инфраструктуры и тарифов организаций коммунального комплекса на подключение (далее - тарифы на подключение) устанавливаются органами местного самоуправления.

6. Органы регулирования устанавливают один из следующих видов тарифов на холодную воду, водоотведение и очистку сточных вод:

1) одноставочный тариф, представляющий собой ставку платы за потребление холодной воды, водоотведение и очистку сточных вод из расчета платы за 1 куб. метр холодной воды, 1 куб. метр отводимых сточных вод и 1 куб. метр очищенных сточных вод соответственно;

2) двухставочный тариф состоит из:

- ставки платы за потребление холодной воды, водоотведение и очистку сточных вод из расчета платы за 1 куб. метр горячей воды, 1 куб. метр холодной воды, 1 куб. метр отводимых сточных вод и 1 куб. метр очищенных сточных вод соответственно;

- ставки платы за содержание системы холодного водоснабжения, водоотведения, объектов очистки сточных вод, 1 куб. метр холодной воды в час присоединенной мощности, 1 куб. метр отводимых сточных вод в час присоединенной мощности и 1 куб. метр очищенных сточных вод в час присоединенной мощности соответственно.

Выбор вида тарифа (одноставочный, двухставочный), устанавливаемого на товары и услуги организации коммунального комплекса, осуществляется органом регулирования по предложению регулируемой организации.

7. Тарифы на горячую воду и надбавки к таким тарифам устанавливаются для организаций коммунального комплекса, осуществляющих непосредственное производство горячей воды, в том числе с использованием центральных тепловых пунктов, и оказание услуг по горячему водоснабжению с использованием водяной системы теплоснабжения, в которой не предусматривается использование сетевой воды (теплоносителя) потребителем путем ее отбора из тепловой сети (далее - закрытая система теплоснабжения).

Абзац первый, в части слов "в которой не предусматривается использование сетевой воды (теплоносителя) потребителем путем ее отбора из тепловой сети" признан не соответствующим Федеральному закону от 30.12.2004 N 210-ФЗ "Об основах регулирования тарифов организаций коммунального комплекса" и Основам ценообразования в сфере деятельности организаций коммунального комплекса, утв. постановлением Правительства РФ от 14.07.2008 N 520, и недействующим (Решение ВАС РФ от 29.06.2012 N ВАС-4747/12).

Орган регулирования устанавливает одноставочный тариф, представляющий собой ставку платы за потребление горячей воды из расчета платы за 1 куб. метр горячей воды, в случаях, когда тарифы на холодную воду установлены также в виде одноставочных тарифов.

Если тарифы на холодную воду установлены в виде двухставочных тарифов, орган регулирования устанавливает тариф на горячую воду, который состоит из:

- ставки платы за потребление горячей воды из расчета платы за 1 куб. метр горячей воды;

Абзац четвертый признан не соответствующим Федеральному закону от 30.12.2004 N 210-ФЗ "Об основах регулирования тарифов организаций коммунального комплекса" и Основам ценообразования в сфере деятельности организаций коммунального комплекса, утв. постановлением Правительства РФ от 14.07.2008 N 520, и недействующим (Решение ВАС РФ от 29.06.2012 N ВАС-4747/12).

- ставки платы за содержание системы горячего водоснабжения за 1 Гкал в час присоединенной мощности.

Если горячее водоснабжение осуществляется в водяной системе теплоснабжения, в которой вся или часть сетевой воды (теплоносителя) используется путем ее отбора из тепловой сети для удовлетворения нужд потребителя в горячей воде (далее - открытая система теплоснабжения), потребители оплачивают:

- тепловую энергию (мощность), используемую для целей горячего водоснабжения, по тарифам, установленным в соответствии с законодательством Российской Федерации в сфере теплоснабжения;

- расход теплоносителя на цели горячего водоснабжения исходя из удельной стоимости подготовки 1 куб. метра воды в открытых системах теплоснабжения соответствующей теплоснабжающей организацией (производителем тепловой энергии).

Если горячее водоснабжение обеспечивается с использованием индивидуальных тепловых пунктов, являющихся общедомовым имуществом, в том числе если с их использованием осуществляется поставка горячей воды в иные жилые дома и нежилые здания, стоимость коммунальной услуги горячего водоснабжения определяется в порядке, предусмотренном Постановлением Правительства Российской Федерации N 307 от 23 мая 2006 г. "О порядке предоставления коммунальных услуг гражданам" (Собрание законодательства Российской Федерации, 2006, N 23, ст. 2501; 2008, N 30, ст. 3635; 2010, N 31, ст. 4273).

8. Тарифы на утилизацию (захоронение) твердых бытовых отходов устанавливаются в виде одноставочного тарифа из расчета платы за 1 куб. метр или 1 тонну твердых бытовых отходов.

9. Надбавки к одноставочным тарифам устанавливаются в расчете на 1 куб. метр горячей воды, 1 куб. метр холодной воды, 1 куб. метр отводимых сточных вод, 1 куб. метр очищенных сточных вод, 1 куб. метр твердых бытовых отходов, 1 Гкал тепловой энергии соответственно.

Надбавки к двухставочным (многоставочным) тарифам устанавливаются в расчете на 1 Гкал в час присоединенной мощности, 1 куб. метр холодной воды в час присоединенной мощности, 1 куб. метр отводимых сточных вод в час присоединенной мощности и 1 куб. метр очищенных сточных вод в час присоединенной мощности соответственно.

10. Тарифы на подключение устанавливаются из расчета платы за единицу нагрузки ресурса, потребляемого объектом капитального строительства, - 1 куб. метр горячей воды в час присоединенной мощности, 1 куб. метр холодной воды в час присоединенной мощности, 1 куб. метр отводимых сточных вод в час присоединенной мощности, 1 куб. метр очищенных сточных вод в час присоединенной мощности, 1 Гкал тепловой энергии в час присоединенной мощности соответственно.

III. Методы регулирования тарифов и надбавок. Условия, с учетом которых осуществляется выбор метода регулирования тарифов на товары и услуги организаций коммунального комплекса

11. При регулировании тарифов на товары и услуги организаций коммунального комплекса применяются:

1) метод установления фиксированных тарифов;

2) метод установления предельных тарифов;

3) метод индексации установленных тарифов.

12. Для установления тарифов регулируемая организация вместе с заявлением об установлении тарифов на товары и услуги организации коммунального комплекса представляет предложение о выбранном методе регулирования и обоснованием целесообразности его применения, а также расчет тарифов в соответствии с предложенным методом. Решение о выборе метода регулирования принимает орган регулирования. В случае несогласия с предложенным регулируемой организацией методом регулирования орган регулирования может потребовать от регулируемой организации пересчет тарифов в соответствии с выбранным методом. Срок для пересчета тарифов не может составлять менее 30 дней.

О выборе регулирования методом установления предельных тарифов орган регулирования уведомляет регулируемую организацию за 60 дней до срока подачи документов на установление тарифов и предоставляет ей доступ к массиву данных мониторинга производственных программ в отношении организаций коммунального комплекса, отвечающих критериям сопоставимости для регулируемой организации, финансовые потребности которых являются основанием для установления предельных максимальных и предельных минимальных тарифов (далее - аналогичные организации), определенных органом регулирования.

13. Метод установления предельных тарифов применяется при соблюдении следующих условий:

1) наличие у органа регулирования данных мониторинга производственных программ по аналогичным организациям за 2 года (при установлении тарифов данным методом впервые - 2009 и 2010 года), предшествующих году, в котором осуществляется установление тарифов на очередной период регулирования;

2) для регулируемой организации, если регулируемый вид деятельности является для нее основным, может быть выбрано не менее 4 аналогичных организаций (отдельно по каждому из этапов производственного процесса). Если регулируемый вид деятельности является для организации не основным, необходимо наличие не менее 2 аналогичных организаций, одна из которых всегда является крупнейшей организацией коммунального комплекса в соответствующей сфере деятельности на территории муниципального образования, в границах которой регулируемая организация осуществляет поставку товаров (услуг) (далее - территория деятельности);

3) финансовые потребности по реализации производственной программы регулируемой организации, согласованной с органом регулирования, если регулируемый вид деятельности является для нее основным, отличаются от максимальных и минимальных финансовых потребностей, определенных по аналогичным организациям (с учетом приведения к сопоставимым объемам оказания товаров и услуг) не более чем на 15% в большую и меньшую сторону соответственно.

14. Метод установления фиксированных тарифов применяется органами регулирования до выбора метода установления предельных тарифов.

При установлении тарифов данным методом период регулирования составляет от 1 года и более по решению органа регулирования. Период регулирования должен соответствовать сроку реализации производственной программы.

При установлении тарифов данным методом в случае наличия концессионных соглашений финансовые потребности, срок реализации производственной программы, срок действия тарифов учитывают обязательства по концессионным соглашениям.

Регулирование методом установления фиксированных тарифов может сочетаться с регулированием методом индексации.

15. Метод индексации установленных тарифов применяется при установлении тарифов на товары (услуги) организаций коммунального комплекса в случае объективного изменения условий деятельности организации коммунального комплекса, определяемых в порядке, установленном Правилами определения условий деятельности организаций коммунального комплекса, объективное изменение которых влияет на стоимость товаров и услуг этих организаций, утвержденными Постановлением Правительства Российской Федерации от 24 мая 2007 г. N 316 (Собрание законодательства Российской Федерации, 2007, N 22, ст. 2648), влияющих на стоимость производимых ею товаров и услуг, в том числе при отклонении фактического роста потребительских цен и других показателей от потребительских цен и показателей, с учетом которых были установлены тарифы на товары и услуги организации коммунального комплекса на текущий период регулирования, и в иных случаях. При установлении тарифов данным методом в случае объективного изменения условий деятельности организации коммунального комплекса срок действия тарифов устанавливается до окончания первоначального периода регулирования тарифов.

16. Расчет надбавок к тарифам и тарифов на подключение осуществляется в порядке, аналогичном расчету фиксированных тарифов, исходя из величины финансовых потребностей регулируемой организации по реализации инвестиционной программы, финансируемой за счет данных источников.

В случае существенного изменения величины финансовых потребностей по реализации инвестиционной программы или объема товаров (услуг), величины подключаемой нагрузки (в результате объективного изменения условий деятельности организации коммунального комплекса) осуществляется пересмотр установленных надбавок и (или) тарифов на подключение.

17. В случае если регулирование тарифов осуществляется органами регулирования субъектов Российской Федерации, а надбавок - органами регулирования муниципальных образований, то тарифы и надбавки устанавливаются согласованно по периодам действия тарифов и надбавок в порядке, установленном законодательством Российской Федерации.

IV. Правила расчета финансовых потребностей

18. Правила определения финансовых потребностей по реализации производственной программы, установленный настоящим разделом, применяется при установлении тарифов методом фиксированных тарифов. Также настоящим разделом устанавливается порядок определения финансовых потребностей по реализации инвестиционной программы при установлении тарифов на подключение и регулируемых надбавок.

Особенности определения финансовых потребностей по реализации производственной программы при установлении тарифов методом предельных тарифов устанавливаются разделом V.II настоящих Методических указаний.

При установлении тарифов (надбавок) методом индексации не требуется определение полной величины финансовых потребностей. Для целей регулирования определяются существенные отклонения отдельных статей расходов, учтенных при установлении тарифов (надбавок), от их фактической величины.

19. Регулирование тарифов (цен) в сфере деятельности организаций коммунального комплекса основывается на принципе обязательности ведения раздельного учета организациями, осуществляющими регулируемую деятельность, объемов продукции (услуг), доходов и расходов по горячему водоснабжению, холодному водоснабжению, водоотведению, утилизации (захоронению) твердых бытовых отходов в соответствии с законодательством Российской Федерации, а также ведения раздельного учета финансовых потребностей по реализации производственной и инвестиционной программы.

При установлении тарифов и надбавок не допускается повторный учет одних и тех же расходов по указанным видам деятельности, отнесение их к финансовым потребностям по реализации производственной и инвестиционной программы.

Для организаций, осуществляющих регулируемые виды деятельности, которые не являются для них основным видом деятельности, распределение косвенных расходов между регулируемыми и нерегулируемыми видами деятельности осуществляется пропорционально прямым расходам.

20. Формирование финансовых потребностей (ФП) для целей регулирования тарифов и надбавок осуществляется исходя из величины прогнозируемого объема производства товаров и (или) оказываемых услуг, определяемого в установленном порядке в производственной и инвестиционной программе организации коммунального комплекса.

Для целей расчета тарифов и надбавок в сфере холодного водоснабжения, которое представляет собой технологический процесс, обеспечивающий забор, подготовку (очистку), транспортировку и передачу потребителям холодной воды, водоотведения, которое представляет собой технологический процесс, обеспечивающий прием, транспортировку (перекачку) сточных вод с последующей их очисткой, отведением сточных вод в водные объекты и обработку осадка сточных вод, прогнозируемый объем производства товаров (услуг) принимается как сумма следующих величин:

1) прогнозный объем реализации товаров (услуг) на предстоящий период регулирования (год, при установлении долгосрочных тарифов), определяемый регулируемой организацией на основании данных прошлых лет с учетом сложившейся динамики, а также прогнозов по подключению новых (реконструируемых) объектов капитального строительства (далее - расчетный объем реализации товаров (услуг));

2) величина потребления воды на хозяйственные нужды, величина потерь воды при добыче, в системах водоснабжения (неучтенного стока в системах водоотведения) в размере, определенном органом регулирования исходя из уровня потерь (неучтенного стока), сложившегося в периоды, предшествующие периоду регулирования, и заданных в производственной программе целевых параметров повышения эффективности деятельности регулируемой организации, в том числе целевых параметров сокращения потерь (неучтенного стока в системах водоотведения).

В случае превышения величины потерь в системах водоснабжения (неучтенного стока в системах водоотведения) над нормативными величинами (при их наличии) либо величинами потерь в системах водоснабжения аналогичных организаций на 20 и более процентов органы регулирования в обязательном порядке проверяют наличие в целевых индикаторах производственной программы показателя сокращения величины данных потерь (неучтенного стока), а также проверяют обоснованность расчетов величины нормативов потребления ресурсов, поставляемых организацией коммунального комплекса (путем сопоставления с фактическим потреблением ресурсов по объектам, оборудованным приборами учета).

При выявлении отклонения нормативов потребления ресурсов от величин, определенных с использованием данных о фактическом потреблении ресурсов по объектам, оборудованным приборами учета, на 20 и более процентов орган регулирования или регулируемая организация обращается с предложением об изменении нормативов потребления к установившему их органу.

В случае установления двухставочных тарифов регулируемая организация представляет сведения о величине присоединенной мощности потребителей товаров (услуг) на начало периода регулирования и ее ожидаемом приросте в течение периода регулирования. Порядок определения величины присоединенной мощности для целей установления и применения двухставочных тарифов устанавливается в соответствии с пунктами 50 и 56 настоящих Методических указаний.

21. Оценка экономической обоснованности расходов, включаемых в финансовые потребности, производится исходя из фактически достигнутых величин, плана мероприятий повышения эффективности деятельности регулируемой организации, с учетом положений законодательства Российской Федерации и нормативными правовыми актами, регулирующими отношения в сфере бухгалтерского учета и налогообложения.

При отсутствии нормативов по отдельным статьям расходов допускается использовать в расчетах экспертные оценки, основанные на отчетных данных, представляемых организацией, осуществляющей регулируемую деятельность. При необходимости, экспертиза осуществляется экспертной организацией, привлекаемой для этих целей регулирующим органом в порядке, установленном Правилами регулирования тарифов, надбавок и предельных индексов в сфере деятельности организаций коммунального комплекса.

В случае, если регулируемая организация по решению собственников, учредителей либо иных уполномоченных органов управления организацией заключает договоры, связанные со стратегическим управлением организацией (расходы на единый исполнительный орган, расходы на управленческий консалтинг, расходы на содержание управляющей организации), такие расходы, при наличии соответствующих договоров, учитываются в составе финансовых потребностей с учетом их экономической обоснованности и целесообразности.

Не допускается включение в финансовые потребности регулируемой организации расходов на оплату услуг банков и иных организаций по приему платежей.

Не допускается включение в финансовые потребности регулируемой организации расходов на оплату услуг по изготовлению и рассылке платежных документов собственникам (нанимателям) помещений в многоквартирных домах, управление которыми осуществляется управляющей организацией, товариществом собственников жилья, жилищным кооперативом или иным специализированным потребительским кооперативом.

В случае несоответствия рассчитанных тарифов на товары и услуги организации коммунального комплекса финансовым потребностям этой организации, необходимым для реализации ее производственной и (или) инвестиционной программы, орган регулирования производит расчет указанных тарифов.

В случае, если рассчитанные тарифы исключают обеспечение доступности для потребителей товаров и услуг организации коммунального комплекса, организация коммунального комплекса по согласованию с органом регулирования осуществляет изменение своей производственной и (или) инвестиционной программы и проводит перерасчет тарифов на свои товары и услуги.

22. Если организация осуществляет кроме регулируемой иные виды деятельности, расходы на их осуществление и полученные от этих видов деятельности доходы (убытки) не учитываются при расчете регулируемых тарифов и надбавок.

23. В величину финансовых потребностей по реализации производственной программы (ФП(произ)) при установлении фиксированных тарифов включаются планируемые на расчетный период регулирования расходы, уменьшающие налоговую базу налога на прибыль организаций (расходы, связанные с производством и реализацией продукции (услуг)) (ПР(проз)), внереализационные расходы (ВР(проз)) и расходы, не учитываемые при определении налоговой базы налога на прибыль (относимые на прибыль после налогообложения) (РП(проз)), определяемые в зависимости от вида деятельности в соответствии с пунктами 34 - 39, 42 - 43 настоящих Методических указаний.

ФП(произ) определяются с учетом достижения индикаторов деятельности организации коммунального комплекса, установленных на период действия производственной программы, характеризующих повышение эффективности и улучшение качества производимых товаров и услуг.

24. В случае, если по окончании периода регулирования на основании данных статистической и бухгалтерской отчетности и иных материалов выявлены экономически необоснованные расходы регулируемой организации за счет поступлений от регулируемой деятельности, регулирующий орган исключает эти расходы из величины финансовых потребностей, учитываемых при установлении тарифов на следующий после получения отчетности период регулирования (ДельтаФП(искл)). Данная величина определяется отдельно по расходам, связанным с реализацией производственной и инвестиционной программ.

В случае, если регулируемая организация в течение расчетного периода регулирования понесла экономически обоснованные расходы, не учтенные при установлении тарифов и надбавок, в том числе расходы, связанные с незапланированным ростом цен на товары (услуги), приобретаемые в течение расчетного периода регулирования, расходы, связанные с обслуживанием заемных средств, привлекаемых для покрытия недостатка средств, эти расходы учитываются при установлении тарифов и надбавок на следующий после получения отчетности период регулирования (ДельтаФП(вкл)). Данная величина определяется отдельно по расходам, связанным с реализацией производственной и инвестиционной программ.

Если орган регулирования при рассмотрении величины финансовых потребностей и результатов деятельности регулируемой организации за предшествующий период выявляет экономически необоснованные расходы, подлежащие исключению из величины финансовых потребностей, либо экономически обоснованные расходы, не учтенные в величине финансовых потребностей в предшествующий период, решение об исключении (включении) соответствующих расходов из (в) величины(у) финансовых потребностей публикуется органом регулирования одновременно с публикацией решения об установлении тарифов с указанием основания для исключения/включения.

Корректировка финансовых потребностей на период регулирования для покрытия обоснованных расходов на производство товаров и услуг по каждому регулируемому виду деятельности и виду товаров (услуг), с учетом исключения необоснованных расходов и возмещения недостатка средств, рассчитываются по формуле:

ДельтаФП = ДельтаФП(вкл) - ДельтаФП(искл), (1)

где:

ДельтаФП - корректировка финансовых потребностей.

Отнесение расходов, подлежащих включению либо исключению из величины финансовых потребностей, по осуществляемым видам регулируемой деятельности и поставляемым регулируемой организацией товарам и услугам, осуществляется в порядке, аналогичном определению состава финансовых потребностей по реализации производственной программы в соответствии с пунктами 31 - 43 настоящих Методических указаний.

Аналогичным образом осуществляется корректировка финансовых потребностей по реализации инвестиционной программы.

25. Для установления тарифов вместе с заявлением об установлении тарифов на поставляемые ею товары и услуги регулируемая организация представляет производственную программу и расчет финансовых потребностей для реализации производственной программы с расшифровкой затрат по видам деятельности.

26. В случае, если организация коммунального комплекса в результате реализации мер по повышению эффективности своей деятельности снизила фактические расходы по сравнению с величиной ФП(произ), учтенной при установлении тарифов, и мероприятия, запланированные в указанных программах, выполнены полностью, достигнутое снижение расходов не является основанием для досрочного пересмотра тарифов и надбавок и не подлежит исключению из состава финансовых потребностей в последующие периоды регулирования.

27. При осуществлении мероприятий по энергосбережению и повышению энергетической эффективности в целях реализации программ в области энергосбережения и повышения энергетической эффективности период, в течение которого в распоряжении организации коммунального комплекса сохраняется размер средств, соответствующий достигнутому в ходе реализации данной программы снижению расходов, определяется в соответствии со сроками окупаемости такой программы, но не может составлять менее 5 лет.

IV.I. Правила расчета финансовых потребностей по реализации производственной программы в сфере холодного водоснабжения и водоотведения

28. ФП(произ) в сфере холодного водоснабжения и водоотведения определяются по стадиям технологического процесса, осуществляемым данной организацией, отдельно по водоснабжению, отдельно по водоотведению, а также с выделением расходов, связанных с производством и реализацией отдельных видов товаров (услуг).

Планируемые расходы по каждой стадии технологического процесса каждого вида регулируемой деятельности, а также по каждому виду товаров (услуг) регулируемой организации рассчитываются как сумма прямых и косвенных расходов. Прямые расходы относятся непосредственно на соответствующую стадию технологического процесса по регулируемому виду и на каждый вид товаров (услуг). Прямые расходы на отдельных этапах технологического процесса, связанные с двумя и более видами товаров (услуг), распределяются по видам товаров (услуг) пропорционально объему товаров (услуг) с учетом принятых при регулировании тарифов собственных расходов, потерь воды (неучтенных стоков).

Распределение косвенных расходов между каждой стадией технологического процесса каждого вида регулируемой деятельности, а также по каждому виду товаров (услуг) регулируемой организации, по предложению регулируемой организации и по согласованию с органом регулирования производится в соответствии с одним из нижеследующих методов:

- согласно учетной политике, принятой в организации;

- пропорционально условно-постоянным расходам;

- пропорционально прямым расходам по регулируемым видам деятельности.

Для регулируемых организаций, у которых регулируемый вид деятельности не является основным, распределение косвенных расходов осуществляется пропорционально прямым расходам по регулируемым и нерегулируемым видам деятельности.

29. Выделяются следующие стадии технологического процесса:

1) в системах холодного водоснабжения:

- подъем воды;

- очистка воды;

- транспортирование воды.

2) в системах водоотведения:

- прием и транспортирование (перекачка) стоков;

- очистка стоков и утилизация сточной жидкости;

- утилизация осадка и его захоронение.

30. Выделяются следующие виды товаров (услуг):

1) в системах холодного водоснабжения:

- техническая вода;

- питьевая вода;

- услуги по подъему воды (для организаций, участвующих только на отдельных стадиях технологического процесса);

- услуги по очистке воды (для организаций, участвующих только на отдельных стадиях технологического процесса);

- услуги по транспортированию воды (для организаций, участвующих только на отдельных стадиях технологического процесса).

2) в системах водоотведения:

- водоотведение (включает полный цикл: от приема стоков до утилизации осадка);

- очистка стоков (включает короткий цикл: от очистки стоков до утилизации осадка). Применяется в случае самостоятельного отведения стоков потребителем услуг;

- услуги по транспортированию стоков (для организаций, участвующих только на отдельной стадии технологического процесса);

- услуги по очистке стоков и утилизации сточной жидкости (для организаций, участвующих только на отдельной стадии технологического процесса);

- услуги по утилизации осадка (для организаций, участвующих только на отдельной стадии технологического процесса).

31. При определении связанных с производством и реализацией товаров (услуг) расходов, уменьшающих налоговую базу налога на прибыль (ПР(произ)_r), отдельно по каждому виду регулируемой деятельности (r), используется соответствующая группировка затрат по стадиям производства.

31.1. В системах холодного водоснабжения:

1. Подъем воды (РПВ)

1.1. Прямые расходы:

- электроэнергия;

- амортизация;

- аренда основного оборудования;

- текущий ремонт и техническое обслуживание;

- капитальный ремонт;

- затраты на оплату труда;

- отчисления на социальные нужды;

- покупная вода;

- услуги по транспортированию неочищенной воды, оказываемые сторонними организациями;

- цеховые расходы;

- прочие прямые расходы.

1.2. Косвенные (прочие) расходы.

2. Очистка воды (РОВ)

2.1. Прямые расходы:

- материалы (химические реагенты);

- электроэнергия;

- амортизация;

- аренда основного оборудования;

- текущий ремонт и техническое обслуживание;

- капитальный ремонт;

- затраты на оплату труда;

- отчисления на социальные нужды;

- услуги холодного водоснабжения по очистке воды, оказываемые сторонними организациями;

- цеховые расходы;

- прочие прямые расходы.

2.2. Косвенные (прочие) расходы.

3. Транспортирование воды (РТВ)

3.1. Прямые расходы:

- электроэнергия;

- амортизация;

- аренда основного оборудования;

- текущий ремонт и техническое обслуживание;

- капитальный ремонт;

- затраты на оплату труда;

- отчисления на социальные нужды;

- услуги холодного водоснабжения по транспортированию воды, оказываемые сторонними организациями;

- цеховые расходы;

- прямые расходы.

3.2. Косвенные (прочие) расходы

31.2. В системах водоотведения:

1. Прием (перекачка) и транспортирование стоков (РПС)

1.1. Прямые расходы:

- электроэнергия;

- амортизация;

- аренда основного оборудования;

- текущий ремонт и техническое обслуживание;

- капитальный ремонт;

- затраты на оплату труда;

- отчисления на социальные нужды;

- услуги по транспортированию стоков, оказываемые сторонними организациями;

- цеховые расходы;

- прочие прямые расходы.

1.2. Косвенные (прочие) расходы

2. Очистка стоков и утилизация сточной жидкости (РОС)

2.1. Прямые расходы:

- материалы (химические реагенты);

- электроэнергия;

- теплоэнергия;

- амортизация;

- аренда основного оборудования;

- текущий ремонт и техническое обслуживание;

- капитальный ремонт;

- затраты на оплату труда;

- отчисления на социальные нужды;

- услуги по очистке стоков и утилизации сточной жидкости, оказываемые сторонними организациями;

- цеховые расходы;

- прочие прямые расходы.

2.2. Косвенные (прочие) расходы

3. Утилизация осадка и его захоронение (РУО)

3.1. Прямые расходы:

- электроэнергия;

- амортизация;

- аренда основного оборудования;

- текущий ремонт и техническое обслуживание;

- капитальный ремонт;

- затраты на оплату труда;

- отчисления на социальные нужды;

- услуги по утилизации осадка, оказываемые сторонними организациями;

- цеховые расходы;

- прочие прямые расходы.

3.2. Косвенные (прочие) расходы

- расходы по проведению аварийно-восстановительных работ;

- общеэксплуатационные расходы.

По соглашению между регулирующим органом и регулируемой организацией затраты могут быть сгруппированы по элементам затрат:

- покупная вода;

- электроэнергия;

- теплоэнергия;

- материалы;

- амортизация;

- аренда основного оборудования;

- аренда вспомогательного оборудования;

- аренда зданий и сооружений;

- текущий ремонт и техническое обслуживание;

- капитальный ремонт;

- затраты на оплату труда;

- отчисления на социальные нужды;

- услуги, оказываемые сторонними организациями, стоимость которых регулируется;

- прочие производственные услуги;

- прочие расходы (с дополнительной детализацией);

- налоги (по видам налогов).

32. Для определения расходов, составляющих материальные затраты, используются следующие данные:

1) регулируемые государством тарифы (цены) и их прогнозные значения;

2) цены, установленные на основании договоров, заключенных по результатам проведения торгов или по иным основаниям, предусмотренным законодательством Российской Федерации о размещении заказов на поставки товаров, выполнение работ и оказание услуг для государственных и муниципальных нужд;

3) опубликованные в установленном порядке прогнозные рыночные цены, установленные на расчетный период;

4) индекс потребительских цен, определяемый Министерством экономического развития Российской Федерации, и другие индексы, утверждаемые уполномоченными органами и публикуемые в установленном порядке;

5) данные, полученные по результатам экспертиз экспертных организаций, привлеченных в соответствии с законодательством Российской Федерации о размещении заказов на поставку товаров, выполнение работ и оказание услуг для государственных и муниципальных нужд.

33. Для определения расходов на электрическую энергию применяются регулируемые государством тарифы и прогнозные нерегулируемые цены, с учетом анализа динамики среднегодового роста нерегулируемых цен, в долях, определяемых в порядке, установленном законодательством Российской Федерации в области электроэнергетики.

При отсутствии опубликованных в установленном порядке прогнозных нерегулируемых цен на электрическую энергию регулируемая организация представляет собственный прогноз. Регулирующий орган вправе в таких случаях обратиться за экспертизой прогноза к поставщикам электрической энергии на розничном рынке.

34. Для определения расходов, составляющих затраты на оплату труда, органы регулирования руководствуются федеральными, региональными и территориальными отраслевыми тарифными соглашениями.

35. Внереализационные расходы ВР(произ)_r, отдельно по каждому виду регулируемой деятельности (r), рассчитываются с учетом внереализационных доходов и включают в себя в том числе резервы по сомнительным долгам. При этом в составе резерва по сомнительным долгам учитывается безнадежная дебиторская задолженность, возникшая при осуществлении соответствующего регулируемого вида деятельности. Уплата сомнительных долгов, для погашения которых был создан резерв, включенный в тариф в предшествующий период регулирования, признается доходом и исключается из величины финансовых потребностей в следующем периоде регулирования с учетом уплаты налога на прибыль организаций.

В состав внереализационных расходов включаются также расходы на консервацию основных производственных средств, используемых в регулируемых видах деятельности.

36. Расходы, не учитываемые при определении налоговой базы налога на прибыль РП(произ)_r, отдельно по каждому виду регулируемой деятельности (r), включают в себя следующие основные группы расходов:

1) капитальные вложения (реконструкция, модернизация, развитие), за исключением мероприятий, включенных в инвестиционную программу;

2) выплата дивидендов и других доходов из прибыли после уплаты налогов;

3) взносы в уставные (складочные) капиталы организаций;

4) уплата процентов и иные расходы по кредитам, привлеченным для осуществления капитальных вложений и пополнения оборотного капитала (за исключением расходов, относимых на уменьшение базы налога на прибыль);

5) прочие экономически обоснованные расходы, относимые на прибыль после налогообложения, включая затраты организаций на предоставление работникам льгот, гарантий и компенсаций в соответствии с отраслевыми тарифными соглашениями (коллективными договорами);

6) формирование фондов развития, фондов потребления и иных фондов в соответствии с решениями собственника;

7) налоги (по видам налогов).

37. В случае установления двухставочных тарифов при определении финансовых потребностей организаций коммунального комплекса в сфере холодного водоснабжения и водоотведения финансовые потребности организации представляются также с группировкой на расходы, связанные с текущей деятельностью (РТ(произ)_r,j), и расходы, обеспечивающие поддержание системы коммунальной инфраструктуры и ее совершенствование с целью максимального удовлетворения потребностей потребителей услуг в соответствии с целевыми параметрами (расходы, связанные с сохранением и развитием системы коммунальной инфраструктуры) (РР(произ)_r,j) (отдельно по каждому виду регулируемой деятельности (r) и по каждому j-тому виду товаров (услуг) регулируемой организации).

К расходам, связанным с сохранением и развитием системы коммунальной инфраструктуры РР(произ)_r,j, относятся:

- капитальный ремонт (включая материалы и оборудование);

- амортизация;

- расходы на аренду (в том числе лизинг) основных фондов и иных активов, непосредственно задействованных в осуществлении регулируемого вида деятельности;

- расходы капитального характера, осуществляемые в соответствии с концессионным соглашением (кроме расходов, учтенных в финансовых потребностях по реализации инвестиционной программы);

- плановые расходы из прибыли на развитие производства (с учетом налога на прибыль);

- расходы на регистрацию имущества и земельных отношений;

- налог на имущество;

- прочие расходы в соответствии с планом мероприятий по повышению эффективности деятельности организации коммунального комплекса, предусматривающим улучшение качества производимых ею товаров (оказываемых услуг) и проведение при необходимости мероприятий по реконструкции эксплуатируемой этой организацией системы коммунальной инфраструктуры, и (являющемся приложением к Производственной программе);

- расходы на уплату процентов на заемный капитал, если он был привлечен (будет привлечен в течение периода регулирования) для целей финансирования мероприятий, связанных с реконструкцией (модернизацией) и иных мероприятий, с повышением эффективности деятельности организации коммунального комплекса.

По решению органа регулирования в состав РР(произ)_r,j могут быть дополнительно включены (как по отдельным статьям, так и в совокупности):

- заработная плата основных производственных рабочих;

- расходы на текущий и профилактический ремонт (включая материалы и оборудование);

- расходы на обеспечение безопасности системы коммунальной инфраструктуры;

- производственные услуги (за исключением услуг, объем которых исчисляется и оплачивается в расчете на метры куб.);

- расходы на страхование;

- расходы на автоматизацию;

- обязательные платежи, связанные с сохранением экологии окружающей среды.

Прочие расходы, в том числе иные плановые расходы из прибыли, относятся к расходам, связанным с текущей деятельностью РТ(произ)_r,j.

IV.II. Правила расчета финансовых потребностей по реализации производственной программы при установлении фиксированных тарифов в сфере утилизации (захоронения) твердых бытовых отходов

38. ФП(произ) в сфере утилизации (захоронения) твердых бытовых отходов определяются на основании расходов на реализацию производственной программы организации коммунального комплекса.

39. При определении связанных с производством и реализацией товаров (услуг) расходов, уменьшающих налоговую базу налога на прибыль, (ПР(произ)) в сфере утилизации (захоронения) твердых бытовых используется следующая группировка затрат:

- расходы на оплату услуг, выполненных сторонними организациями;

- расходы на сырье и материалы;

- расходы на ремонт основных средств;

- расходы на оплату труда и отчисления на социальные нужды;

- амортизация основных средств и нематериальных активов;

- арендная плата;

- прочие расходы, связанные с утилизацией (захоронением) отходов.

40. Внереализационные расходы ВР(произ)_отх и расходы, не учитываемые при определении налоговой базы налога на прибыль РП(проз)_отх, рассчитываются в порядке, указанном в пунктах 35 - 36 настоящих Методических указаний.

IV.III. Правила расчета финансовых потребностей по реализации инвестиционной программы

41. Для установления надбавок к тарифам и тарифов на подключение регулируемая организация вместе с заявлением об установлении надбавок к тарифам и тарифов на подключение представляет инвестиционную программу и расчет финансовых потребностей для реализации инвестиционной программы ФП(инв) с распределением расходов по видам деятельности (r).

42. При определении величины финансовых потребностей для реализации регулируемой организацией инвестиционной программы по регулируемому виду деятельности r ФП(инв)_r, используемых при определении надбавок к тарифам и тарифов на подключение, учитываются полный размер финансовых потребностей по реализации инвестиционной программы ФП(инв)_r сов, за вычетом объема финансирования соответствующих мероприятий за счет средств бюджетов в размере, утвержденном представительным органом муниципального образования ФП(инв)_r бюдж.

В состав ФП(инв)_r сов включаются следующие виды расходов:

- проектно-изыскательские работы, включая расходы по разработке инвестиционной программы;

- приобретение оборудования;

- приобретение сырья и материалов;

- расходы на оплату труда;

- отчисления на социальные нужды;

- расходы на оплату работ и услуг, выполненных сторонними организациями;

- платежи за регистрацию прав на недвижимое имущество, в том числе платежи за землю;

- расходы на привлечение и обслуживание займов и кредитов, привлекаемых с целью реализации инвестиционной программы, включая проценты по долговым обязательствам, планируемым к привлечению для финансирования мероприятий по инвестиционной программе в связи с возникновением разрывов между сроками поступления платежей от потребителей и необходимыми сроками финансирования мероприятий;

- арендные платежи;

- налог на прибыль;

- расходы на проведение конкурсов (аукционов, тендеров) с целью выбора оптимального поставщика товаров, работ, услуг.

43. Цены на товары (услуги), учитываемые для определения расходов, составляющих материальные затраты, определяются в порядке, указанном в пунктах 32 - 34 настоящих Методических указаний.

44. Расходы на привлечение и обслуживание займов и кредитов, привлекаемых с целью реализации инвестиционной программы, определяются исходя из договоров, на основании которых осуществляется привлечение кредитов, размещение займов.

Проценты по долговым обязательствам принимаются в величине, обоснованной расчетами финансовых потоков организации коммунального комплекса исходя из планируемых объемов поставки товаров (услуг), подключаемой нагрузки (в разбивке по месяцам каждого года в течение срока реализации инвестиционной программы), и планируемых сроков финансирования мероприятий по реализации инвестиционной программы (в разбивке по месяцам каждого года в течение срока реализации инвестиционной программы).

45. Налог на прибыль рассчитывается исходя из планируемой величины капитальных вложений, осуществляемых в результате реализации инвестиционной программы, и их распределении по кварталам каждого года в течение срока реализации инвестиционной программы.

46. ФП(инв)_r разделяется на расходы, финансируемые за счет надбавок к тарифам, и расходы, финансируемые за счет платы за подключение в следующем порядке:

1) Расходы на мероприятия инвестиционной программы, связанные с увеличением мощности и (или) пропускной способности соответствующей системы коммунальной инфраструктуры, учитываются при определении финансовых потребностей, финансируемых за счет тарифов организаций коммунального комплекса на подключение РП(инв)_r, и в размере, не покрываемом платой за подключение, учитываются при установлении надбавок к тарифам на товары (услуги) организаций коммунального комплекса РН(инв)_r подкл;

2) Расходы на мероприятия инвестиционной программы, не связанные с увеличением мощности и (или) пропускной способности соответствующей системы коммунальной инфраструктуры РН(инв)_r (модернизация, повышение качества, обеспечение соответствия санитарным нормам и экологическим требованиям и другие инвестиционные затраты), финансируются исключительно за счет надбавок к тарифам на товары и услуги организаций коммунального комплекса.

3) Величина финансовых потребностей по реализации инвестиционной программы, финансируемая за счет надбавок РН(инв)_r сов, складывается из РН(инв)_r и РН(инв)_r подкл.

Выбор способов обеспечения финансовых потребностей организации коммунального комплекса для реализации инвестиционной программы осуществляется органом регулирования.

V. Правила расчета тарифов на товары (услуги) организаций коммунального комплекса

V.I. Правила расчета фиксированных тарифов на товары и услуги

V.I.1. Холодное водоснабжение

47. В системах холодного водоснабжения устанавливаются следующие тарифы:

1) Тарифы на техническую воду. Рассчитываются для организации коммунального комплекса, осуществляющей водоснабжение потребителей, исходя из величины финансовых потребностей, связанных с подъемом и механической очисткой воды, транспортировкой неочищенной воды, а также с учетом расходов на покупку технической (неочищенной) воды и оплаты услуг сторонних организаций, связанных с транспортировкой технической воды.

2) Тарифы на питьевую воду. Рассчитываются для организации коммунального комплекса, осуществляющей водоснабжение потребителей, исходя из величины финансовых потребностей по всем стадиям технологического процесса, а также с учетом расходов на покупку воды питьевого качества и оплаты услуг сторонних организаций, связанных с очисткой воды, транспортировкой воды.

3) Тарифы на холодную воду для организаций, участвующих только на отдельных этапах производственного процесса, осуществляющих продажу воды организациям коммунального комплекса, оказывающих услуги по подъему воды, по транспортированию воды (включая услуги по повышению давления).

По решению органа регулирования тарифы могут дифференцироваться с учетом следующих критериев:

- различные технологии подъема/очистки;

- территории различных муниципальных образований с обособленными технологическими комплексами;

- качество очистки питьевой воды (при наличии в рамках одной регулируемой организации различных технологий очистки для разных территорий (зон) снабжения воды);

- различие способов поставки (поставка до водоразборных устройств потребителей или поставка на водоразборные колонки).

48. Одноставочные тарифы в сфере холодного водоснабжения рассчитываются путем деления величины финансовых потребностей по соответствующему виду товаров (услуг) на расчетный объем товаров (услуг):

, где

Тхвс_j - тариф на j-тый товар (услугу), устанавливаемый на предстоящий период регулирования, выражаемый в руб. за куб. м;

РПВ_j - расходы по подъему воды в части, относящейся к j-тому виду товара (услуги);

РОВ_j - расходы по очистке воды в части, относящейся к j-тому виду товара (услуги);

РТВ_j - расходы по транспортировке воды в части, относящейся к j-тому виду товара (услуги);

ВР(произ)_j - внереализационные расходы в части, относящейся к j-тому виду товара (услуги);

РП(произ)_j - расходы из прибыли в части, относящейся к j-тому виду товара (услуги);

ДельтаФП_j - корректировка величины финансовых потребностей по j-тому виду товара (услуги);

V_хвс,j- расчетный объем реализации j-того вида товара (услуги).

Состав расходов по отдельным видам товаров (услуг) устанавливается в соответствии с пунктами 28, 3 и 48 настоящих Методических указаний.

49. Для организаций, участвующих только на отдельных этапах производственного процесса, допускается установление тарифов по упрощенной формуле, без выделения отдельных составных частей по стадиям технологического процесса.

, где

Тхвс - тариф регулируемой организации на товар (услугу) по регулируемому виду деятельности, устанавливаемый на предстоящий период регулирования;

ПР - расходы, связанные с производством и реализацией товара (услуги) по регулируемому виду деятельности в сфере водоснабжения;

ВР(произ) - внереализационные расходы в части, относящейся к финансовым потребностям по реализации производственной программы в сфере водоснабжения;

РП(произ) - расходы из прибыли в части, относящейся к финансовым потребностям по реализации производственной программы в сфере водоснабжения;

ДельтаФП_j - корректировка величины финансовых потребностей по j-тому виду товара (услуги);

V_хвс - расчетный объем реализации товара (услуги) по регулируемому виду деятельности в сфере водоснабжения.

50. Двухставочные тарифы в сфере холодного водоснабжения рассчитываются следующим образом:

1) Тхвс(потр)_j - ставка платы за потребление (руб./куб. м) - путем деления величины финансовых потребностей по соответствующему j-тому виду товаров (услуг), связанных с текущей деятельностью (РТ(произ)_ес,j), с учетом корректировки ДельтаФП_j, на расчетный объем товаров (услуг) V_вс,j, выражаемый в куб. м;

2) Тхвс(сод)_j - ставка платы за содержание систем коммунальной инфраструктуры (тыс. руб. в месяц/куб. м в час) - путем деления величины финансовых потребностей по j-тому виду товаров (услуг), связанных с сохранением и развитием системы коммунальной инфраструктуры (РР(произ)_ес,j), на величину присоединенной мощности потребителей товаров (услуг) по данному виду товаров (услуг) N_хесj, выражаемую в куб. м в час, умноженную на длительность периода регулирования в месяцах.

3) Присоединенная мощность объектов капитального строительства определяется по каждому потребителю товаров (услуг) в сфере холодного водоснабжения. Единицей измерения для услуг холодного водоснабжения является величина метр куб. потребляемого ресурса (услуги) в час, которая определяет максимально возможную величину отбора питьевой воды.

В жилищном секторе потребителями товаров (услуг) организаций коммунального комплекса в сфере водоснабжения являются:

а) в многоквартирных домах - товарищества собственников жилья, жилищные кооперативы, жилищно-строительные кооперативы и иные специализированные потребительские кооперативы, управляющие организации, которые приобретают указанные выше товары (услуги) для предоставления коммунальных услуг лицам, пользующимся помещениями в данном многоквартирном доме, или непосредственно собственники помещений в многоквартирном доме в случае непосредственного управления многоквартирным домом;

б) в жилом доме - собственник этого дома или уполномоченное им лицо, предоставляющее коммунальные услуги.

4) Присоединенная мощность определяется исходя из технических условий (условий на подключение) объекта капитального строительства к системе коммунальной инфраструктуры. В случае отсутствия в документах на подключение данных о величине нагрузки, выраженной в кубических метрах в час, указанная величина принимается равной величине нагрузки, выраженной в кубических метрах в сутки, деленной на 24.

Если в отношении объекта потребления отсутствуют подтверждающие документы в виде технических условий и указанной в них величины нагрузки в расчете кубических метров в час либо кубических метров в сутки, то такая величина определяется в порядке, предусмотренном пунктами 3, 4 и 5 настоящего Порядка, и принимается для последующих расчетов при установлении тарифов и их применении.

5) В отношении объектов капитального строительства, по которым утрачены технические условия (условия подключения), либо в случае внесения существенных конструктивных изменений по отношению к данному объекту в ходе его реконструкции (модернизации, капитального ремонта), величина присоединенной мощности определяется через процедуру паспортизации (независимой экспертизы) объекта капитального строительства. Полученная при составлении паспорта дома величина присоединенной мощности по водопотреблению фиксируется в договоре.

5. При отсутствии подтверждающих документов по объекту потребления для жилого здания, в состав которого входят только жилые квартиры, расчет величины нагрузки по водопотреблению осуществляется исходя из степени благоустройства жилого здания, количества квартир в жилом здании, средней заселенности квартир в поселении и максимальных суточных нормативов потребления, установленные Постановлением Правительства Российской Федерации от 23 мая 2006 г. N 306 "Об утверждении Правил установления и определения нормативов потребления коммунальных услуг" (Собрание законодательства Российской Федерации, 2006, N 22, ст. 2338).

В электронном документе нумерация пунктов соответствует официальному источнику.

Для жилого здания, в состав которого входят встроенно-пристроенные помещения, используемые для иных целей (не для целей проживания граждан), осуществляется расчет величины нагрузки по водопотреблению исходя из целей использования помещения на основании максимальных суточных нормативов потребления на технологические и иные нужды, установленные нормативными правовыми актами (СНиП 2.04.01-85* Внутренний водопровод и канализация зданий от 01.07.1986, официальное издание, М.: ГУП ЦПП, 2003 год. Дата редакции: 01.01.2003).

Рассчитанная таким образом величина фиксируется в договоре.

51. В случае если реализация отдельных мероприятий производственной программы превышает 1 год (в соответствии с предложениями регулируемой организации), а также в иных случаях по решению органов регулирования период регулирования фиксированных тарифов составляет от 2 до 5 лет. При этом тарифы на каждый год долгосрочного периода регулирования устанавливаются одним из следующих способов:

1) Финансовые потребности организации по реализации производственной программы рассчитываются на каждый год долгосрочного периода регулирования с учетом прогнозного изменения цен (тарифов, стоимости) материальных затрат, изменения фонда оплаты труда исходя из отраслевых тарифных соглашений, изменения расходов на капитальные и текущие ремонты исходя из потребности в их выполнении и прочих параметров, влияющих на стоимостную оценку расходов.

Расчетные объемы поставки товаров (услуг), а также величина присоединенной мощности потребителей товаров (услуг) рассчитываются на каждый год в отдельности.

Тарифы рассчитываются для каждого года исходя из величины финансовых потребностей на соответствующий год и расчетного объема оказания услуг.

Данный способ предпочтителен в случае ожидаемого существенного изменения объемов товаров (услуг) и (или) состава расходов.

2) Финансовые потребности организации по реализации производственной программы рассчитываются в сопоставимых ценах (ценах базового года) совокупно за весь период регулирования.

Расчетные объемы поставки товаров (оказания услуг), а также величина присоединенной мощности потребителей товаров (услуг) рассчитываются совокупно за весь период регулирования.

Рассчитываются базовые тарифы (тарифы первого года долгосрочного периода регулирования) исходя из совокупного размера финансовых потребностей в сопоставимых ценах.

На второй и последующие годы долгосрочного периода регулирования осуществляется индексация базового тарифа исходя из индивидуальных индексов изменения отдельных статей затрат (электроэнергия, топливо, теплоэнергия, фонд оплаты труда, расходы на капитальный и текущий ремонты) и прогнозного индекса изменения цен производителей или роста потребительских цен (в отсутствие индекса изменения цен производителей), применяемого ко всем остальным статьям затрат.

Тарифы, установленные на срок от 2 до 5 лет, в случае объективного изменения условий деятельности регулируемой организации могут корректироваться путем применения метода индексации.

V.I.2. Водоотведение

52. В системах водоотведения устанавливаются следующие тарифы:

1) Тарифы на водоотведение. Рассчитываются для организации коммунального комплекса, оказывающей потребителям услуги по водоотведению, исходя из величины финансовых потребностей по всем стадиям технологического процесса, а также с учетом оплаты услуг сторонних организаций, связанных с транспортированием стоков, очисткой стоков и утилизацией сточной жидкости, очисткой и утилизацией осадка сточных вод.

2) Тарифы на очистку сточных вод. Рассчитываются для организации коммунального комплекса, оказывающей потребителям услуги по очистке сточных вод, исходя из величины финансовых потребностей по очистке сточных вод и утилизации осадка, транспортировке очищенных стоков, а также с учетом оплаты услуг сторонних организаций, связанных указанными стадиями технологического процесса. Рассчитываются на объем услуг, соответствующий поступлению стоков от потребителей, самостоятельно осуществляющих их водоотведение.

3) Тарифы на водоотведение для организаций, участвующих только на отдельных этапах производственного процесса: оказывающих организациям коммунального комплекса услуги по транспортированию стоков, по очистке стоков и утилизации сточной жидкости, по обработке осадка, по утилизации осадка сточных вод.

По решению органа регулирования тарифы также могут дифференцироваться с учетом следующих критериев:

- территории различных муниципальных образований с обособленными технологическими комплексами;

- различие способов доставки стоков (самотечные или напорные системы).

53. Одноставочные тарифы в сфере водоотведения Тво_j рассчитываются в порядке, аналогичном порядку расчета одноставочных тарифов регулируемой организации в сфере водоснабжения, установленному пунктом 48 настоящих Методических указаний, исходя из величин РПС_j, РОС_j, РУО_j ВР(произ)_j, РП(произ)_j, ДельтаФП_j, V_во,j, где V_во,j - расчетный объем реализации j-того вида товара (услуги) в сфере водоотведения.

54. Для организаций, участвующих только на отдельных этапах производственного процесса, допускается установление тарифов по упрощенной формуле Тво без выделения отдельных составных частей по стадиям технологического процесса, в порядке, установленном пунктом 49 настоящих Методических указаний.

55. Двухставочные тарифы в сфере водоотведения (Тво(потр)_j и Тво(сод)_j) рассчитываются в порядке, аналогичном порядку расчета двухставочных тарифов регулируемой организации в сфере водоснабжения, установленному пунктом 50 настоящих Методических указаний, исходя из величин РТ(произ)_во,j, с учетом корректировки ДельтаФП_j, V_во,j, РР(произ)_во,j, N_во j, где N_во j - величина присоединенной мощности потребителей товаров (услуг) по данному виду товаров (услуг) в сфере водоотведения.

Присоединенная мощность объектов капитального строительства определяется по каждому потребителю товаров (услуг) в сфере водоотведения. Единицей измерения для услуг водоотведения является величина метр куб. потребляемого ресурса (услуги) в час, которая определяет максимально возможный объем водоотведения.

2. В жилищном секторе потребителями товаров (услуг) организаций коммунального комплекса в сфере водоотведения являются:

В электронном документе нумерация пунктов соответствует официальному источнику.

а) в многоквартирных домах - товарищества собственников жилья, жилищные кооперативы, жилищно-строительные кооперативы и иные специализированные потребительские кооперативы, управляющие организации, которые приобретают указанные выше товары (услуги) для предоставления коммунальных услуг лицам, пользующимся помещениями в данном многоквартирном доме, или непосредственно собственники помещений в многоквартирном доме в случае непосредственного управления многоквартирным домом;

б) в жилом доме - собственник этого дома или уполномоченное им лицо, предоставляющее коммунальные услуги.

3. Присоединенная мощность определяется исходя из технических условий (условий на подключение) объекта капитального строительства к системе коммунальной инфраструктуры. В случае отсутствия в документах на подключение данных о величине нагрузки, выраженной в кубических метрах в час, указанная величина принимается равной величине нагрузки, выраженной в кубических метрах в сутки, деленной на 24.

Если в отношении объекта потребления отсутствуют подтверждающие документы в виде технических условий и указанной в них величины нагрузки в расчете кубических метров в час либо кубических метров в сутки, то такая величина определяется в порядке, предусмотренном пунктами 3, 4 и 5 настоящего Порядка, и принимается для последующих расчетов при установлении тарифов и их применении.

4. В отношении объектов капитального строительства, по которым утрачены технические условия (условия подключения), либо в случае внесения существенных конструктивных изменений по отношению к данному объекту в ходе его реконструкции (модернизации, капитального ремонта), величина присоединенной мощности определяется через процедуру паспортизации (независимой экспертизы) объекта капитального строительства. Полученная при составлении паспорта дома величина присоединенной мощности водоотведению фиксируется в договоре.

5. При отсутствии подтверждающих документов по объекту потребления для жилого здания, в состав которого входят только жилые квартиры, расчет величины нагрузки по водопотреблению осуществляется исходя из степени благоустройства жилого здания, количества квартир в жилом здании, средней заселенности квартир в поселении и максимальных суточных нормативов потребления, установленные Постановлением Правительства Российской Федерации от 23 мая 2006 г. N 306 "Об утверждении Правил установления и определения нормативов потребления коммунальных услуг" (Собрание законодательства Российской Федерации, 2006, N 22, ст. 2338).

Для жилого здания, в состав которого входят встроенно-пристроенные помещения, используемые для иных целей (не для целей проживания граждан), осуществляется расчет величины нагрузки по водопотреблению исходя из целей использования помещения на основании максимальных суточных нормативов потребления на технологические и иные нужды, установленные нормативными правовыми актами (СНиП 2.04.01-85* Внутренний водопровод и канализация зданий от 01.07.1986, официальное издание, М.: ГУП ЦПП, 2003 год. Дата редакции: 01.01.2003).

Рассчитанная таким образом величина фиксируется в договоре.

6. Расчетная величина присоединенной мощности по водоотведению определяется в соответствии с балансом водопотребления по данному объекту, исходя из полученной величины присоединенной мощности по холодному водоснабжению, горячему водоснабжению и характеру деятельности потребителя.

Рассчитанная таким образом величина фиксируется в договоре.

56. В случае если реализация отдельных мероприятий производственной программы превышает 1 год, а также в иных случаях по решению органов регулирования тарифов период регулирования фиксированных тарифов составляет от 2 до 5 лет. При этом тарифы на каждый год долгосрочного периода регулирования устанавливаются в порядке, предусмотренном пунктом 51 настоящих Методических указаний.

V.I.3. Горячее водоснабжение

57. Тарифы на горячую воду в закрытых системах теплоснабжения по решению органа регулирования тарифов могут дифференцироваться с учетом организации поставки горячей воды (системы централизованного теплоснабжения, единый закупщик).

58. Одноставочные тарифы на горячую воду в расчете на 1 куб. м в закрытых системах теплоснабжения рассчитываются по следующей формуле:

где:

Т_хес - тариф на холодную воду питьевого качества для соответствующей группы потребителей (руб./куб. м);

Т_т/э - тариф на тепловую энергию для соответствующей группы потребителей (руб./Гкал);

Кпв - коэффициент, учитывающий потери воды в закрытых системах теплоснабжения от центральных тепловых пунктов (ЦТП) до точки подключения, определяемые в соответствии с правилами учета отпуска тепловой энергии;

УСцтп - удельные расходы на содержание систем горячего водоснабжения от центральных тепловых пунктов до границ балансовой принадлежности потребителей (без учета потерь) в случае, если такие расходы не учтены в тарифах на тепловую энергию (мощность), в расчете на 1 куб. м;

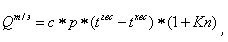
Q(т/э) - количество тепла, необходимого для приготовления одного кубического метра горячей воды, определяется по формуле (Гкал/куб. м):

где

c - удельная теплоемкость воды, 1*10^(-6) Гкал/кг x 1 град. C;

p - плотность воды при температуре, равной t(гес), и среднем по году давлении воды в трубопроводе;

t(гес) - средняя за год температура горячей воды, поступающей потребителям из систем централизованного горячего водоснабжения (град. C);

t(хес) - средняя за год температура холодной воды, поступающей потребителям из систем централизованного холодного водоснабжения (град. C);

Кп - коэффициент, учитывающий потери тепла трубопроводами систем централизованного горячего водоснабжения (СП 41-101-95 "Проектирование тепловых пунктов", приложение 2, табл. 1 от 01.07.1996, официальное издание, М.: ГУП ЦПП, 1997 год), рассчитывается по следующей формуле:

Kn = (N1 * K1 + N2 * K2 + N3 * K3 + N4 * K4)/N, где

N1 - количество строений с неизолированными стояками и полотенцесушителями;

N2 - количество строений с изолированными стояками и полотенцесушителями;

N3 - количество строений с неизолированными стояками и без полотенцесушителей;

N4 - количество строений с изолированными стояками и без полотенцесушителей;

N - количество строений с системами горячего водоснабжения (ГВС);

K1 - коэффициент для систем горячего водоснабжения с неизолированными стояками и полотенцесушителями, равен 0,35;

K2 - коэффициент для систем горячего водоснабжения с изолированными стояками и полотенцесушителями, равен 0,25;

K3 - коэффициент для систем горячего водоснабжения с неизолированными стояками и без полотенцесушителей, равен 0,25;

K4 - коэффициент для систем горячего водоснабжения с изолированными стояками и без полотенцесушителей, равен 0,15.

59. Двухставочные тарифы на горячую воду в закрытых системах теплоснабжения рассчитываются в случае установления в зоне деятельности организации коммунального комплекса двухставочных тарифов на холодную воду и на тепловую энергию (мощность).

Тарифы рассчитываются в виде следующих ставок:

1) Тгвс(потр)_закр - ставка платы за потребление (руб./куб. м), которая рассчитывается по формуле, указанной в пункте 58 настоящих Методических указаний, с подстановкой в нее значений ставки тарифа на холодную воду Т(потр)_хес (куб. м) и ставки тарифа на тепловую энергию Т(потр)_т/э для соответствующей группы потребителей (руб./Гкал).

2) Ставка платы за содержание системы горячего водоснабжения, которая рассчитывается по следующей формуле:

где:

Т(сод)_т/э - ставка платы за содержание системы горячего водоснабжения из расчета платы за 1 Гкал в час присоединенной мощности.

Р_гес - присоединенная мощность потребителей услуг систем горячего водоснабжения соответствующей регулируемой организации, Гкал в час.

Сцтп - расходы на содержание систем горячего водоснабжения от центральных тепловых пунктов до границ балансовой принадлежности потребителей (без учета потерь) в случае, если такие расходы не учтены в тарифах на тепловую энергию (мощность), руб.

Т(сод)_хес - тарифная ставка за содержание системы холодного водоснабжения, руб. за куб. м в час.

N(цтп)_хес - присоединенная мощность на границе балансовой принадлежности систем холодного водоснабжения и центральных тепловых пунктов, связанная с потребностью по обеспечению горячего водоснабжения, куб. м в час.

V.I.4. Услуги по утилизации твердых бытовых отходов

60. В сфере утилизации (захоронения) твердых бытовых отходов устанавливаются одноставочные тарифы в расчете на 1 куб. метр или 1 тонну твердых бытовых отходов.

Тарифы рассчитываются для организации коммунального комплекса, оказывающей потребителям услуги по утилизации (захоронения) твердых бытовых отходов, исходя из величины финансовых потребностей по реализации их производственной программы, определенных в соответствии с Разделом IV настоящих Методических указаний, и указанного в производственной программе расчетного объема реализации товаров и услуг V_отх:

V.II. Правила расчета тарифов на товары и услуги методом предельных тарифов

V.II.1. Критерии сопоставимости организаций коммунального комплекса и правила определения аналогичных организаций

61. Отбор аналогичных организаций коммунального комплекса для целей определения предельных максимальных и предельных минимальных финансовых потребностей, используемых для установления предельных тарифов, осуществляется по следующим критериям (в порядке убывания соответствия):

1) Показатели, характеризующие условия капитального строительства. Данные показатели определяются по сопоставлению применяемых на территории деятельности регулируемой организации и аналогичных организаций индексов изменения сметной стоимости строительно-монтажных работ и индексов изменения сметной стоимости проектных и изыскательских работ, устанавливаемых Министерством регионального развития Российской Федерации. Указанные индексы на территории деятельности регулируемой организации и на территории деятельности аналогичных организаций не должны отличаться более чем на 10 процентов.

2) Показатели, характеризующие состояние и технологические особенности систем коммунальной инфраструктуры, определяемые в соответствии с пунктом 62 настоящих Методических указаний. Данные показатели устанавливаются и анализируются по каждому этапу производственного процесса на основании данных мониторинга выполнения производственных и инвестиционных программ организаций коммунального комплекса. Аналогичной признается организация, значения показателей которой отклоняются от значений показателей регулируемой организации в пределах допустимых отклонений, установленных пунктом 62. По аналогичной организации, соответствующей критериям сопоставимости для регулируемой организации по отдельному этапу производственного процесса, к расчету принимается величина финансовых потребностей по соответствующему этапу производственного процесса. При наличии организации, соответствующей регулируемой организации по всем стадиям производственного процесса, ей отдается предпочтение при включении в перечень аналогичных организаций.

3) Показатели, характеризующие социально-экономическое развитие территории, к которым относятся:

- численность населения, проживающего в многоквартирных и жилых домах, подключенных к системам коммунальной инфраструктуры регулируемой организации (отклонения в пределах 30%);

- средний региональный уровень платежей граждан за содержание и ремонт жилого помещения и предоставленные коммунальные услуги, проценты (отклонения в пределах 5 процентных пунктов).

62. В сфере холодного водоснабжения и водоотведения используются следующие показатели, характеризующие состояние и технологические особенности систем коммунальной инфраструктуры, и пределы их допустимых отклонений:

62.1. В системах холодного водоснабжения:

1. Подъем воды:

- доля поверхностного забора воды в процентах (допустимые отклонения +/- 3 процента);

- соотношение годового объема подъема воды регулируемой организации и анализируемой организации. В пределах 90 - 110 процентов;

- соотношение мощности основного оборудования регулируемой организации и анализируемой организации. В пределах 90 - 110 процентов;

- износ основного оборудования, процентов (допустимые отклонения +/- 3%).

2. Очистка воды:

- качество забираемой воды (укрупненные характеристики);

- соотношение годового объема подъема воды регулируемой организации и анализируемой организации. В пределах 90 - 110 процентов;

- соотношение мощности основного оборудования регулируемой организации и анализируемой организации. В пределах 90 - 110 процентов;

- износ основного оборудования, процентов (допустимые отклонения +/- 3 процента).

3. Транспортирование воды:

- соотношение одиночного протяжения сети (всех видов) регулируемой организации и анализируемой организации. В пределах 90 - 110 процентов;

- соотношение мощности основного оборудования регулируемой организации и анализируемой организации. В пределах 90 - 110 процентов;

- износ основного оборудования, процентов (допустимые отклонения +/- 3 процента);

- соотношение аварийности систем коммунальной инфраструктуры, (ед./км) регулируемой организации и анализируемой организации, процентов (+/- 10 процентов).

62.2. В системах водоотведения:

1. Прием (перекачка) и транспортирование стоков:

- соотношение годового объема сточных вод регулируемой организации и анализируемой организации. В пределах 90 - 110 процентов;

- соотношение мощности основного оборудования регулируемой организации и анализируемой организации. В пределах 90 - 110 процентов;

- износ основного оборудования, % (допустимые отклонения +/- 3 процента).

2. Очистка стоков и утилизация сточной жидкости:

- отношение объема отведенных стоков, пропущенных через очистные сооружения, к объему отведенных стоков (допустимые отклонения +/- 10 процентов);

- соотношение мощности основного оборудования регулируемой организации и анализируемой организации в пределах 90 - 110 процентов;

- износ основного оборудования, процентов (допустимые отклонения +/- 3 процента).

3. Утилизация осадка и его захоронение:

- соотношение одиночного протяжения сети (всех видов) регулируемой организации и анализируемой организации. В пределах 90 - 110 процентов;

- соотношение мощности основного оборудования регулируемой организации и анализируемой организации. В пределах 90 - 110 процентов;

- износ основного оборудования, процентов (допустимые отклонения +/- 3 процента);

- соотношение аварийности систем коммунальной инфраструктуры, (ед./км) регулируемой организации и анализируемой организации, процента (+/- 10 процентов).

63. В сфере утилизации (захоронения) твердых бытовых отходов используются следующие основные показатели, характеризующие состояние и технологические особенности систем коммунальной инфраструктуры организации коммунального комплекса:

- отношение объема реализации товаров и услуг к численности населения, получающего услуги организации (допустимые отклонения +/- 10 процентов);

- отношение накопленного объема твердых бытовых отходов к проектной вместимости (допустимые отклонения +/- 5 процентных пунктов);

- отношение суммарной продолжительности пожаров на объектах к количеству дней в отчетном периоде (допустимые отклонения +/- 10 процентов).

64. Если регулируемый вид деятельности является для организации основным, должно быть выбрано не менее 4 аналогичных организаций (отдельно по каждому из этапов производственного процесса).

Если регулируемый вид деятельности является для организации не основным, необходимо наличие не менее 2 аналогичных организаций, одной из которых всегда является крупнейшая организация коммунального комплекса в соответствующей сфере деятельности на территории деятельности регулируемой организации, вне зависимости от ее соответствия указанным выше показателям.

V.II.2. Расчет тарифов на товары и услуги в границах максимальных и минимальных предельных тарифов

65. Исходя из данных о финансовых потребностях аналогичных организаций (по отдельным этапам производственного процесса или целиком по организации) за базисный 0-ой год в порядке, установленном разделом IV настоящих Методических указаний, формируются максимальные ФП0(произ)_макс и минимальные ФП0(произ)_мин финансовые потребности по реализации производственной программы.

66. ФПi(произ)_макс ФПi(произ)_мин и их составные элементы, устанавливаемые на каждый i-тый финансовый год периода действия тарифов, рассчитываются исходя из ФП0(произ)_макс и ФП0(произ)_мин соответственно с применением:

1) индексов цен промышленности, определяемых Министерством экономического развития Российской Федерации на каждый финансовый год периода действия тарифов, в процентах к предыдущему году;

2) индекса, отражающего изменение расходов, вызванное изменением объемов производства и реализации товаров и услуг (ИО(потреб)_i = V_i / V_(i-1)) в отношении переменных расходов и индекса изменения активов в отношении прочих расходов, учтенных в составе финансовых потребностей (ИКА_i).

V_i, V_(i-1) - объем услуг регулируемой организации в i-м и (i-1)-м году;

d(ПР)_i - доля переменных расходов в общей величине финансовых потребностей.

ИКА_i - средневзвешенный прирост установленной мощности (в куб. м в час) основных фондов по каждой стадии производственного процесса в году i к году i-1. Принимает значение не выше 1,5 в случае роста основных производственных фондов и не ниже 0,8 в случае сокращения основных производственных фондов.

67. Исходя из величин ФПi(произ)_макс и ФПi(произ)_мин и их составных элементов, на каждый год долгосрочного периода регулирования рассчитываются соответственно предельные максимальные и предельные минимальные тарифы в порядке, установленном разделом V.II настоящих Методических указаний.

68. Тарифы на товары (услуги) организации коммунального комплекса устанавливаются на очередной финансовый год в размере не выше предельных максимальных и не ниже предельных минимальных тарифов (ставок тарифа) по каждому регулируемому виду деятельности, а также по видам товаров (услуг), поставляемых данной организацией потребителям. При этом в первый год первого долгосрочного периода регулирования методом установления предельных тарифов для регулируемой организации тарифы на товары (услуги) устанавливаются таким образом, чтобы плановая величина тарифной выручки отличалась от финансовых потребностей по реализации производственной программы регулируемой организации, рассчитанной в порядке, установленном разделом IV настоящих Методических указаний, не более чем на 3 процента.

69. Тарифы, устанавливаемые на очередной финансовый год по сравнению с предшествующим ему годом, корректируются с учетом достижения регулируемой организацией индикаторов деятельности, характеризующих повышение эффективности и улучшение качества производимых товаров и услуг, которые устанавливаются по результатам анализа деятельности аналогичных организаций коммунального комплекса.

Оценка эффективности деятельности регулируемой организации осуществляется исходя из анализа отклонений по качественным показателям (износ, аварийность), установленных пунктом 62 настоящих Методических указаний:

- если значение отклонения превышает 2/3 от величины интервала отклонений со знаком "+", эффективность деятельности регулируемой организации существенным образом отличается от эффективности аналогичной(ых) организации(ий);

- если значение отклонения составляет 2/3 или менее от величины интервала отклонений со знаком "+", эффективность деятельности регулируемой организации приближается к эффективности аналогичной(ых) организации(ий);

- если значение отклонения находится в пределах интервала отклонений со знаком "-", эффективность деятельности регулируемой организации превышает эффективность аналогичной(ых) организации(ий).

Корректировка осуществляется путем применения динамического коэффициента эффективности, который:

1) в случае, если эффективность регулируемой организации существенным образом отличается от эффективности аналогичной(ых) организации(ий), по которым рассчитывается величина ФП0(произ)_мин, принимает значение 0,975;

2) в случае, если эффективность регулируемой организации приближается к эффективности аналогичной(ых) организации(ий), по которым рассчитывается величина ФП0(произ)_мин, принимает значение от 0,985;

3) в случае, если эффективность регулируемой организации превышает эффективность аналогичной(ых) организации(ий), по которым рассчитывается величина ФП0(произ)_мин, принимает 1.

V.III. Метод индексации установленных тарифов на товары и услуги организаций коммунального комплекса

70. Установление тарифов на товары и услуги организаций коммунального комплекса с использованием метода индексации установленных тарифов осуществляется путем умножения тарифов на товары и услуги организаций коммунального комплекса, установленных в предшествующий период, на индексы, отражающие изменение условий деятельности организаций коммунального комплекса, которые рассчитываются с использованием индексов, определяемых Министерством экономического развития Российской Федерации.

71. Тарифы по регулируемому виду деятельности (r), по j-тому виду товаров (услуг) организации коммунального комплекса Т_i,r,j на i-й календарный год рассчитываются по формуле:

где:

V_(i-1,r,j), V_i,r,j - объем услуг регулируемой организации в i-м и (i-1)-м году по регулируемому виду деятельности (r), по j-тому виду товаров (услуг) (для ставок двухставочных тарифов на содержание в данном случае применяется соответствующая величина присоединенной мощности потребителей);

I_i - прогнозируемый Министерством экономического развития Российской Федерации индекс изменения цен производителей или роста потребительских цен (в отсутствие индекса изменения цен производителей) в i-й год периода регулирования;

d_(i-1,r,j) - не учтенные в dА_i,r,j, dИ_i,r,j, dН_i,r,j, dР_i,r,j удельные расходы в финансовых потребностях регулируемой организации (i-1)-го года по регулируемому виду деятельности r, по j-тому виду товаров (услуг) d_(i-1,r,j) рассчитывается как d_(i-1,r,j) = (ФП_(i-1,r,j) - А_(i-1,r,j) - И_(i-1,r,j) - Н_(i-1,r,j) - Р_(i-1,r,j)) / V_(i-1,r,j);

dА_i,r,j - прирост в финансовых потребностях регулируемой организации i-го года по регулируемому виду деятельности (r), по j-тому виду товаров (услуг) удельных расходов на амортизацию основных средств (в расчете на объем товаров (услуг) (i-1)-го года). dА_i,r,j рассчитывается как dА_i,r,j = (А_i,r,j - А_(i-1,r,j) / V_(i-1,r,j);

dИ_i,r,j - прирост в финансовых потребностях регулируемой организации i-го года по регулируемому виду деятельности (r), по j-тому виду товаров (услуг) удельных расходов на финансирование капитальных вложений из прибыли, в соответствии с согласованной производственной и инвестиционной программой, за счет данного вида деятельности (в расчете на объем товаров (услуг) (i-1)-го года). dИ_i,r,j рассчитывается как dИ_i,r,j = (И_i,r,j -И_(i-1,r,j)) / V_(i-1,r,j);

dН_i,r,j - при изменении ставок налогов либо налогооблагаемой базы до установления тарифов, прирост в финансовых потребностях регулируемой организации i-го года по регулируемому виду деятельности r, по j-тому виду товаров (услуг) удельных расходов на оплату налогов на прибыль, имущество и иных налогов (в расчете на объем товаров (услуг) (i-1)-го года). dН_i,r,j рассчитывается как dН_i,r,j = (Н_i,r,j - Н_(i-1,r,j)) / V_(i-1,r,j);

dР_i,r,j - прирост в финансовых потребностях регулируемой организации по регулируемому виду деятельности r, по j-тому виду товаров (услуг) удельных расходов на оплату продукции (услуг) организаций, осуществляющих регулируемые виды деятельности (в расчете на объем товаров (услуг) (i-1)-го года). dР_i,r,j рассчитывается как dР_i,r,j = (Р_i,r,j - Р_(i-1,r,j)) / V_(i-1,r,j);

dДельтаФП_i,r,j - прирост в финансовых потребностях регулируемой организации i-го года по регулируемому виду деятельности r, по j-тому виду товаров (услуг) удельных значений выпадающих доходов (со знаком "плюс") или полученного избытка (со знаком "минус"), выявленных по итогам предыдущих периодов, связанных в том числе с отклонениями фактического роста индекса потребительских цен и расходов на оплату продукции (услуг) организаций, осуществляющих регулируемые виды деятельности от прогнозных показателей (в расчете на объем товаров (услуг) (i-1)-го года).

VI. Правила расчета регулируемых надбавок и тарифов на подключение

72. Размер тарифа организации коммунального комплекса на подключение по регулируемому виду деятельности (r) определяется как отношение финансовых потребностей, финансируемых за счет тарифов организаций коммунального комплекса на подключение РН(инв)_r, к прогнозируемой присоединяемой нагрузке в период реализации инвестиционной программы.

73. Размер надбавок к тарифам на товары (услуги) организаций коммунального комплекса определяется как отношение финансовых потребностей, финансируемых за счет надбавок к тарифам на товары и услуги организаций коммунального комплекса РН(инв)_r сов, к расчетному объему реализуемых организацией коммунального комплекса товаров (услуг) соответствующего вида.

Надбавки к одноставочным тарифам устанавливаются в расчете на 1 куб. метр горячей воды, 1 куб. метр холодной воды, 1 куб. метр отводимых сточных вод, 1 куб. метр очищенных сточных вод, 1 куб. метр или 1 тонну твердых бытовых отходов, 1 гигакалорию тепловой энергии соответственно.

Надбавки к двухставочным тарифам устанавливаются в расчете на 1 Гкал в час присоединенной мощности, 1 куб. метр холодной воды в час присоединенной мощности, 1 куб. метр отводимых сточных вод в час присоединенной мощности и 1 куб. метр очищенных сточных вод в час присоединенной мощности соответственно.

74. В случае если реализация инвестиционной программы организации коммунального комплекса не влечет за собой необходимости реализации инвестиционных программ иных организаций коммунального комплекса, технологически связанных с этой организацией, тариф на подключение вновь создаваемых (реконструируемых) объектов недвижимости (зданий, строений, сооружений, иных объектов) к системе коммунальной инфраструктуры и надбавка к ценам (тарифам) для потребителей товаров и услуг организаций коммунального комплекса устанавливаются в размере, равном тарифу организации коммунального комплекса на подключение и надбавке к тарифам на товары и услуги организации коммунального комплекса соответственно.

75. В случае если для подключения к системе коммунальной инфраструктуры необходима реализация инвестиционных программ нескольких технологически связанных организаций коммунального комплекса, тарифы на подключение вновь создаваемых (реконструируемых) объектов недвижимости (зданий, строений, сооружений, иных объектов) к системе коммунальной инфраструктуры устанавливаются в размере, обеспечивающем удовлетворение финансовых потребностей для реализации всеми технологически связанными организациями инвестиционных программ в части, финансируемой за счет платы за подключение.

, где

РП(инв) - размер финансовых потребностей, финансируемых за счет платы за подключение k-ой организаций коммунального комплекса,

V_k - расчетный объем реализуемых k-ой организацией коммунального комплекса товаров и услуг соответствующего вида,

V(потреб) - расчетный объем реализуемых товаров и услуг соответствующего вида потребителям всеми технологически связанными организациями коммунального комплекса.

В случае если во исполнение программы комплексного развития систем коммунальной инфраструктуры требуется реализация инвестиционных программ нескольких технологически связанных организаций коммунального комплекса, надбавки к ценам (тарифам) для потребителей устанавливаются в размере, обеспечивающем удовлетворение финансовых потребностей для реализации инвестиционных программ всех технологически связанных организаций в части, финансируемой за счет надбавок к тарифам:

, где

РН(инв)_kсоб - размер финансовых потребностей, финансируемых за счет надбавок к тарифам на товары и услуги k-ой организаций коммунального комплекса,

V_k - расчетный объем реализуемых k-ой организацией коммунального комплекса товаров и услуг соответствующего вида,

V(потреб) - расчетный объем реализуемых товаров и услуг соответствующего вида потребителям всеми технологически связанными организациями коммунального комплекса.