Приказ Росстата от 09.02.2011 N 32

"Об утверждении методологических указаний по расчету потребления основного капитала"
Редакция от 09.02.2011 — Документ не действует

ФЕДЕРАЛЬНАЯ СЛУЖБА ГОСУДАРСТВЕННОЙ СТАТИСТИКИ

ПРИКАЗ
от 9 февраля 2011 г. N 32

ОБ УТВЕРЖДЕНИИ МЕТОДОЛОГИЧЕСКИХ УКАЗАНИЙ ПО РАСЧЕТУ ПОТРЕБЛЕНИЯ ОСНОВНОГО КАПИТАЛА

В соответствии с п. 5.5 Положения о Федеральной службе государственной статистики, утвержденного Постановлением Правительства Российской Федерации от 2 июня 2008 г. N 420, и во исполнение федерального плана статистических работ приказываю:

1. Утвердить прилагаемые Методологические указания по расчету потребления основного капитала, согласованные с Министерством экономического развития Российской Федерации (письмо от 03.02.2011 N ДОЗ-131), и ввести в действие с 1 июня 2011 года.

2. С введением указанных в п. 1 настоящего Приказа указаний признать утратившим силу Постановление Госкомстата России от 13 февраля 2001 г. N 14.

Временно исполняющий
обязанности руководителя
К.Э.ЛАЙКАМ

УТВЕРЖДЕНЫ
Приказом Росстата
от 09.02.2011 N 32

МЕТОДОЛОГИЧЕСКИЕ УКАЗАНИЯ
ПО РАСЧЕТУ ПОТРЕБЛЕНИЯ ОСНОВНОГО КАПИТАЛА

1. Общие положения

Настоящие методологические указания предназначены для расчета потребления основного капитала, используемого для построения показателей системы национальных счетов. Применяются для расчета потребления основного капитала за год по видам экономической деятельности на федеральном и региональном уровне с 1 июня 2011 г.

Потребление основного капитала в соответствии с методологическими положениями СНС определяется как снижение в течение отчетного периода текущей рыночной стоимости запаса основного капитала, находящегося в собственности и пользовании производителя, в результате физического износа, морального устаревания или нормальных случайных повреждений. В потребление основного капитала не включается стоимость активов, разрушенных в результате военных действий, стихийных бедствий, отражаемая на счете других изменений в объеме активов.

Величина потребления основного капитала зависит от степени снижения текущей экономической эффективности запаса основного капитала и от сокращения оставшегося срока его службы.

Потребление основного капитала представляет условно исчисленную стоимость, экономическая сущность которой отличается от записей в счетах, основанных преимущественно на рыночных операциях.

Расчет потребления основного капитала представляет собой прогнозную оценку, определяемую будущими событиями. В отличие от амортизации и износа, отражаемых в бухгалтерском, налоговом и статистическом учете, потребление основного капитала не является методом распределения издержек прошлых расходов на основной капитал по последующим отчетным периодам. Кроме того, отражаемый в учете износ ни по срокам начисления, ни по характеру изменения на протяжении этих сроков не совпадает с динамикой реального ухудшения текущей экономической эффективности основного капитала.

Потребление основного капитала исчисляется для всех его видов, для других экономических активов данный показатель не используется.

При исчислении потребления основного капитала используется "альтернативный" метод непрерывной инвентаризации (МНИ), рекомендуемый международными стандартами.

2. Метод, применяемый при расчете потребления основного капитала

В основе "альтернативного" метода непрерывной инвентаризации лежит процедура прямой оценки чистого запаса основного капитала, а потребление основного капитала за год для любой совокупности активов определяется как разность между оценками их чистого запаса на конец и начало года.

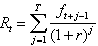
В СНС запас основного капитала рассматривается как элемент национального богатства и измеряется как сумма дисконтированных доходов, ожидаемых от их использования на протяжении оставшегося срока службы, и определяется по следующей формуле:

; (1)

где R_t - текущая рыночная стоимость основного капитала на начало года t;

f - рентные доходы в каждом периоде;

T - срок службы основного капитала в годах;

j - принимает значения 1, 2, 3 ... Т;

r - ставка дисконтирования.

По мере того как активы стареют, оценка ожидаемого потока доходов уменьшается, следовательно, уменьшается и оценка запаса основного капитала.

"Альтернативный" подход заключается в оценивании, для каждого вида основного капитала, зависимости его текущей эффективности от возраста, последующего расчета на этой основе зависимости цен от возраста и использования этих зависимостей для оценок чистых запасов основного капитала.

Потребление основного капитала при этом оценивается косвенным путем как уменьшение за год стоимости чистого запаса основного капитала, имевшегося на начало года.

При этом учитывается только то изменение, которое вызвано сокращением текущей эффективности запасов основного капитала и оставшегося срока его службы за год; другие факторы изменения стоимости основного капитала, такие, как накопление, другие изменения в объеме актива и влияние цен, во внимание не принимаются.

Зависимость текущей эффективности основного капитала от его возраста может быть различной (постоянная эффективность, линейное уменьшение, геометрическая и гиперболическая зависимость).

В рамках настоящих методологических указаний по расчету потребления основного капитала применяется гиперболическая зависимость, поскольку она ближе всего к реальному изменению эффективности основного капитала со временем.

Функция гиперболической зависимости имеет следующий вид:

(2);

где F_t и F_0 - соответственно эффективность основного капитала в году t и 0 - в первом году эксплуатации;

T - срок службы актива в годах;

t - годы 1, 2, ..., T,

и бета - коэффициент наклона, для машин и оборудования применяется коэффициент 0,5,

для зданий и сооружений - 0,7.

2.1. Порядок расчета потребления основного капитала

Порядок расчета состоит из следующих этапов:

1. На первом этапе по формуле гиперболической зависимости (2) определяются значения показателей изменения текущей эффективности основного капитала от его возраста и сроков службы (приложение, таблица 3).

2. Далее рассчитываются показатели всех дисконтированных предстоящих доходов, которые сводятся в матрицу в таблице 4 приложения. Расчет осуществляется по формуле 1 по данным таблицы 3 приложения и основан на предположении, что рентные доходы поступают в конце каждого года. Ставка дисконтирования принята равной 11% (определена оценщиками, исходя из средней за период безрисковой ставки, в качестве которой принимается средняя долгосрочная ставка рынка ГКО-ОФЗ).

Для получения данных по любой возрастной группе с определенным прошедшим и предстоящим сроком службы необходимо просуммировать продисконтированные значения доходов за каждый год предстоящего срока службы.

Так, например, для актива с прошедшим сроком службы 1 год и предполагаемым оставшимся - 5 лет предстоящие, дисконтированные по ставке 11%, доходы будут равны сумме значений таблицы 3 с координатами, соответствующими этому соотношению и его последующим изменениям, вызванным ежегодным увеличением на год возраста актива и соответствующим уменьшением предстоящего срока его службы (соответственно данные с координатами 1;5; 2;4; 3;3; 4;2; 5;1 лет).

.

3. На третьем этапе определяются отношения предстоящих до окончания срока службы дисконтированных доходов к общей сумме ожидаемых доходов в начале эксплуатации. Расчеты матрицы таблицы 5 приложения (модели зависимости цены основного капитала от его возраста и предстоящих сроков службы) строятся на данных матрицы таблицы 4 приложения. Значения показателей определяются как частное от деления на крайнее значение показателя по диагонали вверх и направо, т.е. "в прошлое, к началу эксплуатации". В рассматриваемом примере 2,455 / 3,112 = 0,79.

4. После построения моделей зависимости осуществляется оценка производительного запаса основного капитала для отдельных его видов. Производительные запасы основного капитала - это запасы, "выжившие" после прошедших периодов времени, скорректированные на потери в их текущей эффективности.

В качестве промежуточного шага в этой процедуре производится оценка его валовых запасов.

Основными требованиями при применении МНИ для оценки валовых запасов основного капитала являются:

- первоначальная базовая оценка запасов основного капитала (при отсутствии полных данных по инвестициям в основной капитал в пределах сроков службы актива);

- ретроспективные статистические данные об инвестициях в основной капитал после базовой оценки или, в отсутствие базовой оценки, распространяющиеся за пределы срока службы самого долговечного актива;

- индексы цен для пересчета инвестиций в основной капитал в сопоставимые цены;

- информация о средних сроках службы различных видов активов;

- информация о том, как осуществляется изъятие активов из эксплуатации в окрестностях среднего срока службы (функции выбытия).

При отсутствии базисной оценки валовой запас основного капитала в конкретный момент времени оценивается с помощью МНИ, как сумма годовых объемов инвестиций по отдельным видам основного капитала за средний период их службы, уменьшенная на сумму стоимостей активов, выбывших из состава основного капитала в течение того же периода. При этом каждая группа реальных (в сопоставимых ценах) инвестиционных затрат умножается на функцию выбытия (приложение, таблица 2).

Гипотезы выбытия (и выражающие их функции) описывают режим выбытия группы однородных активов на протяжении периода времени, равного максимальному сроку их службы.

Гипотезы (функции) дожития описывают динамику той части активов, которые останутся в эксплуатации через t лет после их ввода.

Функции выбытия основного капитала бывают различные: функция одновременного выбытия, линейная функция выбытия, линейная функция выбытия с задержкой, колоколообразная функция.

Наиболее правдоподобной из них является колоколообразная функция, которая предполагает, что выбытие актива начинается постепенно через несколько лет после их поступления, увеличивается до максимального уровня при достижении среднего срока службы и постепенно уменьшается до 0 через несколько лет после окончания среднего срока службы.

Функции выбытия используются для расчета доли основного капитала, ликвидированного к началу года, за который осуществляется расчет потребления основного капитала, по годам его приобретения.

В рамках настоящих указаний для расчета доли ликвидируемого основного капитала в разном возрасте за период его срока службы применяется логарифмически-нормальная функция распределения (приложение, таблица 1).

Логарифмически-нормальное распределение является левоасимметричным и подразумевает нулевую вероятность ликвидации актива в первый год службы. Распределение имеет справа "хвост", то есть стремится к нулю, но никогда его не достигает, и должно быть принудительно сведено к нулю, когда вероятность становится маленькой.

Логарифмически-нормальное распределение задается формулой:

(3)

x - годы 1, 2, 3, ... Т

сигма - стандартное отклонение логарифмически-нормального распределения, рассчитываемое как:

, (4)

мю - медиана логарифмически-нормального распределения, рассчитываемая как:

.

Далее рассчитываются производительные запасы основного капитала для каждого вида активов. Расчет осуществляется путем перемножения каждого элемента в матрице для расчета валовых запасов основного капитала на показатель модели зависимости текущей эффективности от возраста (приложение, таблица 3).

5. На пятом этапе определяются чистые запасы основного капитала путем умножения каждого элемента в матрице для расчета производительного запаса основного капитала на показатель модели зависимости цены от возраста (приложение, таблица 5).

6. Абсолютное значение потребления основного капитала рассчитывается как разность между оценками чистых запасов основного капитала на конец и начало периода (без учета других изменений в объеме активов).

"Альтернативный" метод непрерывной инвентаризации имеет важное преимущество, заключающееся в том, что все данные о запасах и потоках обязательно согласованы друг с другом. Это происходит потому, что модели зависимости эффективности основного капитала от его возраста лежат в основе построения моделей зависимости цены актива от его возраста.

3. Источники исходной информации для расчета потребления основного капитала

Основными источниками информации являются:

- для данных о средних сроках службы основного капитала (т.е. о периоде времени, в течение которого актив эксплуатируется) и возрасте основного капитала - форма выборочного обследования N 11-ФСС "Сведения о сроках службы, возрасте объектов основных фондов".

В рамках обследования, проведенного в 2009 году по вышеуказанной форме, была получена информация о возрасте имеющихся основных фондов, об оценке предстоящих (ожидаемых) сроков их службы, о фактическом сроке службы ликвидированных в отчетном году активов по их видам (жилые, нежилые здания и сооружения, машины и оборудование, транспортные средства);

- для первоначальной базовой оценки запасов основного капитала (в настоящее время из-за отсутствия достаточно длинных динамических рядов данных по инвестициям в основной капитал по отдельным видам активов используется начало 2005 г.) - балансы основного капитала по полной учетной и остаточной балансовой и восстановительной стоимости в среднегодовых ценах отчетного года.

В настоящее время делается допущение, что для достаточно эффективно используемых активов полная восстановительная стоимость в среднегодовых ценах близка к текущей рыночной стоимости в начале эксплуатации (валовой). Однако, для основного капитала, не нашедшего эффективного применения в условиях современной рыночной экономики вследствие своего морального износа и не подлежащего эффективному использованию, валовая текущая рыночная стоимость, как правило, меньше полной восстановительной стоимости, и дальнейшим совершенствованием расчетов потребления основного капитала будет определение текущей рыночной стоимости основного капитала;

- для определения видовой структуры основного капитала и расчета их в границах системы национальных счетов - данные форм N 11 "Сведения о наличии и движении основных фондов (средств) и других нефинансовых активов", N 11 (краткая) "Сведения о наличии и движении основных фондов (средств) некоммерческих организаций".

Расчет ведется по зданиям и сооружениям, машинам и оборудованию, транспортным средствам, прочим активам в разрезе видов экономической деятельности.

В СНС активы учитываются в составе основного капитала с момента перехода их в собственность владельца, который предполагает использовать их в процессе производства в качестве основного капитала, т.е. неоднократно или постоянно. Таким образом, в составе компонентов основного капитала, являющихся результатом длительного цикла производства, учитывается стоимость незавершенных объектов, если они перешли в таком состоянии от производителя в собственность пользователя, или при их поэтапной оплате, или если производство таких объектов осуществляется самим пользователем. Это касается незавершенного строительства зданий и сооружений, скота-молодняка, многолетних насаждений, не достигших плодоносящего возраста, незавершенного производства оборудования при длительном цикле производства (судов, самолетов), неустановленного оборудования. Вышеуказанные активы отражаются в формах N 11 и N 11 (краткая) отдельно от основных фондов. На основании этих данных определяется коэффициент, используемый в пересчетах базовой оценки валового запаса основного капитала (на федеральном уровне);

- для данных по объему инвестиций в основной капитал - форма N П-2 (инвест) "Сведения об инвестиционной деятельности" с учетом досчета до полного круга организаций;

- для пересчета инвестиций в основной капитал в сопоставимые цены (отчетного года) индексы дефляторы инвестиций в основной капитал, рассчитываемые на базе индексов цен строительной продукции.

Расчет относительных показателей величины ликвидации основного капитала в пределах срока службы, величины снижения эффективности основного капитала и его цены в зависимости от возраста и предстоящих сроков службы основного капитала, рассчитываются на федеральном уровне и приводятся в приложении.

4. Пример расчета потребления основного капитала транспортных средств по виду экономической деятельности "сельское хозяйство, охота и лесное хозяйство" за 2008 г. (данные условные)

4.1. На первом этапе формируется исходная информация:

- Срок службы - 12 лет (гр. 1);

- Инвестиции в основной капитал за все годы службы данного актива (гр. 2);

- Инвестиции в основной капитал, пересчитанные в цены 2008 года (гр. 3 = гр. 2 * гр. 8);

- Информация о динамике той части активов, которые останутся в эксплуатации через t лет после их ввода (функция дожития, гр. 4 = 1 - данные таблицы 2 приложения);

- Информация о динамике снижения эффективности основного капитала от их возраста (гр. 5 = данным таблицы 3 приложения);

- Информация о динамике снижения цены основного капитала от их возраста (гр. 6 = данным таблицы 5 приложения);

- Индексы дефляторы для пересчета инвестиций в основной капитал в сопоставимые цены (цепные гр. 7, базисные в цены 2008 г. гр. 8).

Таблица 1

Исходные данные

Сроки службы Инвестиции в основной капитал (млн. руб.) Инвестиции в основной капитал, в сопоставимых ценах (млн. руб.) Функция дожития Зависимость "возраст-эффективность" Зависимость "возраст-цена" Индекс дефлятор инвестиций в основной капитал (цепной) Индекс дефлятор инвестиций в основной капитал (базисный)
1 2 3 4 5 6 7 8
0 891 891 1,0 1,0 1,0 1,0 1,0
1 969 862 1,0 0,957 0,903 1,124 1,12
2 965 703 0,9985 0,909 0,804 1,221 1,37
3 1589 551 0,954 0,857 0,703 2,1031 2,89
4 2762 790 0,8354 0,8 0,603 1,2118 3,50
5 3566 916 0,6326 0,737 0,504 1,1126 3,89
6 4154 965 0,4251 0,667 0,406 1,1062 4,30
7 4665 1004 0,2602 0,588 0,313 1,0789 4,64
8 6335 1241 0,1471 0,500 0,225 1,099 5,10
9 7729 1398 0,0768 0,400 0,146 1,0832 5,53
10 11374 1931 0,0357 0,286 0,079 1,0654 5,89
11 17938 2744 0,0126 0,154 0,030 1,1097 6,54
12 24785 3307 0,0 0,0 0,0 1,1467 7,50

4.2. На втором этапе оцениваем валовые запасы основного капитала, используя модель выбытия.

В таблице 2 приведен расчет валовых запасов основного капитала для транспортных средств: каждая группа реальных (в сопоставимых ценах) инвестиционных затрат умножается на функцию дожития.

Таблица 2

Расчет валовых запасов транспортных средств в сельском хозяйстве, охоте и лесном хозяйстве на конец 2008 г.

Сроки службы Инвестиции в основной капитал, в сопоставимых ценах Из них остаток на конец года
    0 1 2 3 4 5 6 7 8 9 10 11 12
0 891 891 891 890 850 744 564 379 232 131 68 32 11 0
1 862 - 862 862 861 822 720 545 366 224 127 66 31 11
2 703 - - 703 703 702 671 587 445 299 183 103 54 25
3 551 - - - 551 551 550 525 460 348 234 143 81 42
4 790       - 790 790 788 753 660 500 336 205 116
5 916         - 916 916 915 874 766 580 390 238
6 965           - 965 965 964 921 806 610 410
7 1004             - 1004 1004 1002 958 839 635
8 1241               - 1241 1241 1239 1184 1037
9 1398                 - 1398 1398 1396 1334
10 1931                   - 1931 1931 1928
11 2744                     - 2744 2744
12 3307                       - 3307
в сопоставимых ценах 891 1753 2455 2965 3610 4210 4706 5140 5745 6439 7592 9476 11828
в текущих ценах 891 1970 3369 8557 12626 16384 20259 23874 29323 35602 44721 61941 88655

4.3. На третьем этапе оцениваем производительные запасы основного капитала для транспортных средств. Каждый элемент в матрице для расчета валовых запасов основного капитала (таблица 2) умножается на показатель модели зависимости эффективности от возраста.

Таблица 3

Расчет производительного запаса основного капитала для транспортных средств в сельском хозяйстве, охоте и лесном хозяйстве на конец 2008 г.

Сроки службы Инвестиции в основной капитал в сопоставимых ценах Из них остаток на конец года
    0 1 2 3 4 5 6 7 8 9 10 11 12
0 891 891 853 809 728 595 415 253 136 66 27 9 2 0
1 862   862 825 782 705 576 402 244 132 63 26 9 2
2 703     703 673 638 575 470 328 199 108 52 22 7
3 551       551 527 500 450 368 257 156 84 40 17
4 790         790 756 717 646 528 368 224 121 58
5 916           916 877 832 749 612 427 260 140
6 965             965 924 876 789 645 450 274
7 1004               1004 961 911 821 671 468
8 1241                 1241 1188 1126 1015 829
9 1398                   1398 1338 1269 1143
10 1931                     1931 1848 1753
11 2744                       2744 2626
12 3307                         3307
в сопоставимых ценах 891 1715 2337 2735 3256 3738 4133 4481 5008 5621 6684 8450 10624
в текущих ценах 891 1927 3207 7893 11388 14547 17791 20813 25562 31077 39370 55232 79631

4.4. На четвертом этапе рассчитываем чистые запасы основного капитала для транспортных средств. Определяем их путем умножения каждого элемента в матрице для расчета производительного запаса основного капитала (таблица 3) на показатель модели зависимости цены от возраста.

Таблица 4

Расчет чистых запасов транспортных средств в сельском хозяйстве, охоте и лесном хозяйстве на конец 2008 г.

Сроки службы Инвестиции в основной капитал в сопоставимых ценах Из них остаток на конец года
    0 1 2 3 4 5 6 7 8 9 10 11 12
0 891 891 770 650 512 359 209 103 43 15 4 1 0 0
1 862   862 745 629 496 347 203 99 41 14 4 1 0
2 703     703 608 513 404 283 165 81 34 12 3 1
3 551       551 476 402 316 222 130 63 26 9 2
4 790         790 683 576 454 318 185 91 38 13
5 916           916 792 669 527 369 215 106 44
6 965             965 834 704 555 389 227 111
7 1004               1004 868 732 577 405 236
8 1241                 1241 1073 905 714 500
9 1398                   1398 1208 1020 804
10 1931                     1931 1669 1409
11 2744                       2744 2371
12 3307                         3307
в сопоставимых ценах 891 1632 2098 2299 2633 2961 3238 3490 3925 4428 5359 6934 8798
в текущих ценах 891 1828 2875 6645 9216 11520 13925 16195 20015 24485 31566 45351 65986

4.5. На пятом этапе рассчитываем годовое значение потребления в основной капитал. Определяем как разность между оценками чистых запасов основного капитала на конец и начало года по таблице 4.

Таблица 5

Расчет потребления основного капитала по транспортным средствам в сельском хозяйстве, охоте и лесном хозяйстве

Сроки службы Инвестиции в основной капитал в сопоставимых ценах Из них остаток на конец года
    1 2 3 4 5 6 7 8 9 10 11 12
0 891 121 120 139 153 150 106 60 28 11 3 1 0
1 862 - 37 43 77 129 174 158 112 69 37 17 7
2 703   - 30 35 63 105 142 129 91 56 30 15
3 551     - 24 27 50 82 111 101 72 44 23
4 790       - 34 39 71 118 160 144 103 63
5 916         - 39 45 83 137 185 167 120
6 965           - 41 48 87 144 195 176
7 1004             - 43 50 90 150 203
8 1241               - 53 62 111 186
9 1398                 - 60 69 126
10 1931                   - 83 95
11 2744                     - 118
12 3307                       -
в сопоставимых ценах 121 157 212 289 403 513 599 672 759 853 970 1132
в текущих ценах 135 215 612 1011 1566 2208 2780 3426 4197 5026 6342 8490

Приложения

1. Распределение величины ликвидации по годам службы (таблица 1).

2. Величина ликвидации основного капитала за весь прошедший срок службы до конца соответствующего года (таблица 2).

3. Распределение значений изменения текущей эффективности основного капитала, рассчитанных по модели гиперболической зависимости эффективности актива, в зависимости от возраста и предстоящих сроков службы (таблица 3).

4. Распределение дисконтированных рентных доходов, которые ожидается получить в течение предстоящих лет службы (таблица 4).

5. Распределение значений изменения цены основного капитала в зависимости от возраста и предстоящих сроков службы (таблица 5).

Приложение

Таблица 1

Распределение величины ликвидации по годам службы (в долях)

0,0275 0,0297 0,0320 0,0375 0,0407 0,0443 0,0944 0,0989 0,1015 0,1011 0,0964 0,0697 0,0483 0,0259 0,0000 0,0000 15 Предстоящий срок службы, лет
0,0256 0,0276 0,0298 0,0351 0,0382 0,0416 0,0957 0,1018 0,1065 0,1085 0,1065 0,0833 0,0611 0,0353 0,0000 0,0000 14
0,0236 0,0255 0,0276 0,0325 0,0354 0,0388 0,0958 0,1035 0,1103 0,1151 0,1161 0,0984 0,0765 0,0477 0,0000 0,0000 13
0,0216 0,0233 0,0253 0,0299 0,0326 0,0357 0,0946 0,1038 0,1127 0,1203 0,1248 0,1147 0,0945 0,0638 0,0000 0,0000 12
0,0196 0,0212 0,0229 0,0271 0,0297 0,0326 0,0921 0,1026 0,1133 0,1236 0,1319 0,1314 0,1149 0,0840 0,0000 0,0000 11
0,0176 0,0190 0,0206 0,0244 0,0267 0,0326 0,0882 0,0995 0,1119 0,1247 0,1368 0,1477 0,1371 0,1089 0,0015 0,0000 10
0,0157 0,0170 0,0184 0,0217 0,0268 0,0294 0,0829 0,0947 0,1082 0,1231 0,1386 0,1620 0,1599 0,1380 0,0034 0,0000 9
0,0139 0,0149 0,0162 0,0218 0,0238 0,0262 0,0763 0,0881 0,1022 0,1185 0,1368 0,1728 0,1811 0,1701 0,0078 0,0000 8
0,0121 0,0130 0,0140 0,0191 0,0209 0,0230 0,0685 0,0799 0,0939 0,1108 0,1309 0,1781 0,1981 0,2026 0,0179 0,0000 7
0,0104 0,0112 0,0141 0,0166 0,0181 0,0198 0,0598 0,0704 0,0836 0,1001 0,1208 0,1761 0,2074 0,2306 0,0404 0,0000 6
0,0089 0,0112 0,0121 0,0142 0,0154 0,0169 0,0507 0,0599 0,0717 0,0869 0,1067 0,1653 0,2055 0,2479 0,0887 0,0013 5
0,0089 0,0095 0,0102 0,0119 0,0129 0,0141 0,0414 0,0490 0,0589 0,0720 0,0894 0,1457 0,1899 0,2469 0,1839 0,0068 4
0,0075 0,0080 0,0085 0,0098 0,0106 0,0115 0,0324 0,0383 0,0460 0,0563 0,0703 0,1184 0,1603 0,2223 0,3458 0,0363 3
0,0062 0,0066 0,0070 0,0079 0,0085 0,0092 0,0242 0,0284 0,0338 0,0411 0,0511 0,0869 0,1202 0,1744 0,5521 0,1869 2
0,0050 0,0053 0,0056 0,0063 0,0067 0,0072 0,0170 0,0197 0,0231 0,0276 0,0338 0,0559 0,0769 0,1128 0,6511 0,6572 1
0,0040 0,0042 0,0050 0,0049 0,0051 0,0055 0,0120 0,0126 0,0144 0,0167 0,0197 0,0300 0,0394 0,0552 0,3428 1,0000 0
28 27 26 24 23 22 13 12 11 10 9 7 6 5 2 1  
Прошедший срок службы (возраст), лет к концу года, за который определяется ликвидация    

Таблица 2

Величина ликвидации основного капитала за весь прошедший срок службы до конца соответствующего года (в долях)

0,9132 0,9093 0,8649 0,8565 0,8144 0,7278 0,7033 0,6420 0,6083 0,4826 0,3738 0,2493 0,1849 0,1238 0,0000 0,0000 15 Предстоящий срок службы, лет
0,9224 0,9188 0,8802 0,8727 0,8356 0,7580 0,7051 0,6773 0,6459 0,5263 0,4189 0,2913 0,2223 0,1544 0,0000 0,0000 14
0,9309 0,9278 0,8946 0,8892 0,8557 0,7599 0,7376 0,7122 0,6845 0,5713 0,4681 0,3385 0,2657 0,1914 0,0000 0,0000 13
0,9390 0,9373 0,9092 0,9037 0,8756 0,7892 0,7692 0,7476 0,7216 0,6171 0,5191 0,3906 0,3153 0,2354 0,0000 0,0000 12
0,9475 0,9452 0,9219 0,9172 0,8935 0,8172 0,8008 0,7808 0,7577 0,6641 0,5721 0,4473 0,3712 0,2884 0,0000 0,0000 11
0,9546 0,9526 0,9335 0,9295 0,9100 0,8449 0,8299 0,8126 0,7925 0,7099 0,6261 0,5079 0,4341 0,3488 0,0015 0,0000 10
0,9611 0,9638 0,9441 0,9408 0,9250 0,8699 0,8572 0,8425 0,8253 0,7545 0,6802 0,5727 0,5016 0,4171 0,0034 0,0000 9
0,9706 0,9704 0,9537 0,9520 0,9273 0,8929 0,8825 0,8703 0,8570 0,7971 0,7332 0,6384 0,5731 0,4926 0,0078 0,0000 8
0,9765 0,9756 0,9633 0,9613 0,9410 0,9138 0,9054 0,8966 0,8854 0,8368 0,7851 0,7040 0,6466 0,5734 0,0179 0,0000 7
0,9810 0,9802 0,9710 0,9695 0,9530 0,9323 0,9268 0,9195 0,9109 0,8730 0,8328 0,7674 0,7196 0,6566 0,0404 0,0000 6
0,9850 0,9844 0,9778 0,9766 0,9649 0,9496 0,9450 0,9396 0,9333 0,9062 0,8759 0,8263 0,7890 0,7398 0,0887 0,0013 5
0,9885 0,9880 0,9837 0,9791 0,9744 0,9639 0,9607 0,9569 0,9524 0,9342 0,9133 0,8784 0,8529 0,8169 0,1852 0,0068 4
0,9916 0,9911 0,9861 0,9853 0,9824 0,9758 0,9737 0,9713 0,9683 0,9573 0,9442 0,9232 0,9069 0,8840 0,3526 0,0363 3
0,9942 0,9949 0,9911 0,9904 0,9891 0,9856 0,9844 0,9828 0,9821 0,9758 0,9685 0,9580 0,9495 0,9376 0,5884 0,1869 2
0,9975 0,9974 0,9952 0,9960 0,9946 0,9934 0,9926 0,9929 0,9923 0,9896 0,9874 0,9833 0,9803 0,9760 0,8380 0,6572 1
0,9996 1,0002 0,9999 0,9998 0,9999 0,9996 1,0000 1,0000 0,9999 1,0001 1,0000 1,0000 0,9999 0,9997 1,0000 1,0000 0
40 39 29 28 24 19 18 17 16 13 11 9 8 7 2 1  
Прошедший срок службы (возраст), лет, к концу года    

Таблица 3

Распределение значений изменения текущей эффективности основного капитала, рассчитанных по модели гиперболической зависимости эффективности актива, в зависимости от возраста и предстоящих сроков службы (в долях)

                                      1,0 20
                                      0,974 1,0 19
                                    0,947 0,973 1,0 18
                                  0,919 0,944 0,971 1,0 17
                                0,889 0,914 0,941 0,970 1,0 16
                              0,857 0,882 0,909 0,938 0,968 1,0 15
                            0,824 0,848 0,875 0,903 0,933 0,966 1,0 14
                          0,788 0,813 0,839 0,867 0,897 0,929 0,963 1,0 13
                        0,750 0,774 0,800 0,828 0,857 0,889 0,923 0,960 1,0 12
                      0,710 0,733 0,759 0,786 0,815 0,846 0,880 0,917 0,957 1,0 11
                    0,667 0,690 0,714 0,741 0,769 0,8 0,833 0,870 0,909 0,952 1,0 10
                  0,621 0,643 0,667 0,692 0,72 0,750 0,783 0,818 0,857 0,900 0,947 1,0 9
                0,571 0,593 0,615 0,640 0,667 0,696 0,727 0,762 0,800 0,842 0,889 0,941 1,0 8
              0,519 0,538 0,560 0,583 0,609 0,636 0,667 0,700 0,737 0,778 0,824 0,875 0,933 1,0 7
            0,462 0,480 0,500 0,522 0,545 0,571 0,600 0,632 0,667 0,706 0,750 0,800 0,857 0,923 1,0 6
          0,400 0,417 0,435 0,455 0,476 0,500 0,526 0,556 0,588 0,625 0,667 0,714 0,769 0,833 0,909 1,0 5
        0,333 0,348 0,364 0,381 0,400 0,421 0,444 0,471 0,500 0,533 0,571 0,615 0,667 0,727 0,800 0,889 1,0 4
      0,261 0,273 0,286 0,300 0,316 0,333 0,353 0,375 0,400 0,429 0,462 0,500 0,545 0,600 0,667 0,750 0,857 1,0 3
    0,182 0,190 0,200 0,211 0,222 0,235 0,250 0,267 0,286 0,308 0,333 0,364 0,400 0,444 0,500 0,571 0,667 0,800 1,0 2
  0,095 0,100 0,105 0,111 0,118 0,125 0,133 0,143 0,154 0,167 0,182 0,200 0,222 0,250 0,286 0,333 0,400 0,500 0,667 1,0 1
20 19 18 17 16 15 14 13 12 11 10 9 8 7 6 5 4 3 2 1 0  
Прошедший срок службы (возраст), лет, к концу года  

Таблица 4

Распределение дисконтированных рентных доходов, которые ожидается получить в течение предстоящих лет службы

                                      6,219 20
                                      5,903 6,083 19
                                    5,578 5,752 5,937 18
                                  5,244 5,411 5,590 5,782 17
                                4,902 5,062 5,234 5,418 5,616 16
                              4,552 4,705 4,869 5,044 5,233 5,438 15
                            4,196 4,340 4,495 4,662 4,841 5,036 5,247 14
                          3,833 3,969 4,114 4,271 4,441 4,624 4,824 5,042 13
                        3,467 3,593 3,728 3,874 4,032 4,204 4,392 4,597 4,823 12
                      3,099 3,214 3,338 3,473 3,619 3,778 3,952 4,142 4,353 4,587 11
                    2,730 2,834 2,947 3,069 3,202 3,347 3,506 3,681 3,875 4,091 4,334 10
                  2,364 2,456 2,557 2,666 2,785 2,915 3,059 3,217 3,393 3,589 3,810 4,061 9
                2,003 2,084 2,171 2,267 2,371 2,486 2,612 2,752 2,909 3,084 3,282 3,508 3,768 8
              1,652 1,720 1,795 1,876 1,966 2,064 2,173 2,293 2,429 2,581 2,754 2,953 3,183 3,453 7
            1,315 1,371 1,432 1,499 1,573 1,655 1,745 1,846 1,959 2,087 2,234 2,403 2,599 2,832 3,112 6
        0,998 1,042 1,090 1,143 1,201 1,265 1,337 1,417 1,508 1,611 1,729 1,867 2,028 2,221 2,455 2,745 5
        0,708 0,740 0,775 0,814 0,857 0,904 0,957 1,017 1,085 1,163 1,253 1,358 1,482 1,632 1,816 2,047 2,348 4
      0,452 0,473 0,497 0,522 0,551 0,583 0,618 0,659 0,705 0,758 0,819 0,892 0,979 1,084 1,215 1,383 1,606 1,916 3
    0,241 0,253 0,266 0,280 0,296 0,313 0,333 0,356 0,382 0,412 0,448 0,490 0,541 0,603 0,682 0,785 0,925 1,127 1,442 2
  0,091 0,095 0,100 0,106 0,112 0,119 0,127 0,136 0,147 0,159 0,173 0,190 0,212 0,238 0,272 0,317 0,381 0,476 0,635 0,952 1
20 19 18 17 16 15 14 13 12 11 10 9 8 7 6 5 4 3 2 1 0  

Таблица 5

Распределение значений изменения цены основного капитала в зависимости от возраста и предстоящих сроков службы (в долях)

                                      1,0 20
                                      0,949 1,0 19
                                    0,897 0,946 1,0 18
                                  0,843 0,890 0,942 1,0 17
                                0,788 0,832 0,882 0,937 1,0 16
                              0,732 0,773 0,820 0,872 0,932 1,0 15
                            0,675 0,714 0,757 0,806 0,862 0,926 1,0 14
                          0,616 0,652 0,693 0,739 0,791 0,850 0,919 1,0 13
                        0,558 0,591 0,628 0,670 0,718 0,773 0,837 0,912 / 1,0 12
                      0,498 0,528 0,562 0,601 0,644 0,695 0,753 0,822 / 0,903 1,0 11
                    0,439 0,466 0,496 0,531 0,570 0,616 0,668 0,730 / 0,804 0,892 1,0 10
                  0,380 0,404 0,431 0,461 0,496 0,536 0,583 0,638 / 0,703 0,782 0,879 1,0 9
                0,322 0,343 0,366 0,392 0,422 0,457 0,498 0,546 / 0,603 0,672 0,757 0,864 1,0 8
              0,272 0,283 0,302 0,325 0,350 0,380 0,414 0,455 / 0,504 0,563 0,636 0,727 0,845 1,0 7
            0,211 0,231 0,241 0,259 0,28 0,304 0,333 0,366 / 0,406 0,455 0,515 0,592 0,690 0,820 1,0 6
          0,160 0,171 0,189 0,198 0,214 0,233 0,255 0,281 / 0,313 0,351 0,399 0,460 0,538 0,643 0,789 1,0 5
        0,114 0,122 0,131 0,145 0,153 0,166 0,182 0,202 / 0,225 0,254 0,289 0,334 0,393 0,473 0,583 0,746 1,0 4
      0,073 0,078 0,084 0,090 0,101 0,107 0,118 0,131 / 0,146 0,165 0,189 0,220 0,260 0,314 0,390 0,504 0,684 1,0 3
    0,039 0,042 0,045 0,048 0,053 0,060 0,064 0,071 / 0,079 0,090 0,103 0,121 0,143 0,175 0,219 0,286 0,394 0,588 1,0 2
  0,015 0,016 0,017 0,018 0,020 0,022 0,025 0,027 / 0,030 0,035 0,040 0,047 0,056 0,069 0,087 0,116 0,162 0,249 0,440 1,0 1
20 19 18 17 16 15 14 13 12 11 10 9 8 7 6 5 4 3 2 1 0