Приказ ФМС РФ от 08.11.2007 N 430

"Об утверждении Административного регламента Федеральной миграционной службы по предоставлению государственной услуги по оформлению, выдаче, продлению срока действия, восстановлению и по исполнению государственной функции по аннулированию виз иностранным гражданам и лицам без гражданства"
Редакция от 29.11.2010 — Документ утратил силу, см. «Приказ ФМС РФ от 30.10.2013 N 430»
Показать изменения

Зарегистрировано в Минюсте РФ 23 января 2008 г. N 10988


ФЕДЕРАЛЬНАЯ МИГРАЦИОННАЯ СЛУЖБА

ПРИКАЗ
от 8 ноября 2007 г. N 430

ОБ УТВЕРЖДЕНИИ АДМИНИСТРАТИВНОГО РЕГЛАМЕНТА ФЕДЕРАЛЬНОЙ МИГРАЦИОННОЙ СЛУЖБЫ ПО ПРЕДОСТАВЛЕНИЮ ГОСУДАРСТВЕННОЙ УСЛУГИ ПО ОФОРМЛЕНИЮ, ВЫДАЧЕ, ПРОДЛЕНИЮ СРОКА ДЕЙСТВИЯ, ВОССТАНОВЛЕНИЮ И ПО ИСПОЛНЕНИЮ ГОСУДАРСТВЕННОЙ ФУНКЦИИ ПО АННУЛИРОВАНИЮ ВИЗ ИНОСТРАННЫМ ГРАЖДАНАМ И ЛИЦАМ БЕЗ ГРАЖДАНСТВА

(в ред. Приказа ФМС РФ от 29.11.2010 N 424)

1. Утвердить прилагаемый Административный регламент Федеральной миграционной службы по предоставлению государственной услуги по оформлению, выдаче, продлению срока действия, восстановлению и по исполнению государственной функции по аннулированию виз иностранным гражданам и лицам без гражданства.

2. Установить, что вкладной визовый бланк и машиночитаемый визовый бланк являются защищенной от подделок полиграфической продукцией с уровнем защиты "Б". (в ред. Приказа ФМС РФ от 29.11.2010 N 424)

3. Направить настоящий Приказ на государственную регистрацию в Министерство юстиции Российской Федерации.

4. Контроль за исполнением настоящего Приказа возложить на заместителя директора Федеральной миграционной службы по курируемому направлению деятельности. (в ред. Приказа ФМС РФ от 29.11.2010 N 424)

Директор
генерал-полковник милиции
К.О.РОМОДАНОВСКИЙ

УТВЕРЖДЕН
Приказом ФМС России
от 8 ноября 2007 г. N 430

АДМИНИСТРАТИВНЫЙ РЕГЛАМЕНТ
ФЕДЕРАЛЬНОЙ МИГРАЦИОННОЙ СЛУЖБЫ ПО ПРЕДОСТАВЛЕНИЮ ГОСУДАРСТВЕННОЙ УСЛУГИ ПО ОФОРМЛЕНИЮ, ВЫДАЧЕ, ПРОДЛЕНИЮ СРОКА ДЕЙСТВИЯ, ВОССТАНОВЛЕНИЮ И ПО ИСПОЛНЕНИЮ ГОСУДАРСТВЕННОЙ ФУНКЦИИ ПО АННУЛИРОВАНИЮ ВИЗ ИНОСТРАННЫМ ГРАЖДАНАМ И ЛИЦАМ БЕЗ ГРАЖДАНСТВА

(в ред. Приказа ФМС РФ от 29.11.2010 N 424)

I. Общие положения

1. Административный регламент Федеральной миграционной службы по предоставлению государственной услуги по оформлению, выдаче, продлению срока действия, восстановлению и по исполнению государственной функции по аннулированию виз иностранным гражданам и лицам без гражданства <*>, определяет сроки и последовательность действий (административных процедур) Федеральной миграционной службы <**>, территориальных органов ФМС России и их структурных подразделений при оформлении, выдаче, продлении срока действия и восстановлении виз иностранным гражданам, их аннулированию, учету и хранению, а также порядок взаимодействия ФМС России, территориальных органов ФМС России и их структурных подразделений при предоставлении государственной услуги по оформлению, выдаче, продлению срока действия и восстановлению виз иностранным гражданам и лицам без гражданства <***>.

<*> Далее - "Административный регламент".

<**> Далее - "ФМС России".

<***> Далее - "иностранные граждане".

2. Предоставление государственной услуги по оформлению, выдаче, продлению срока действия, восстановлению и по исполнению государственной функции по аннулированию виз иностранным гражданам осуществляется в соответствии с:

Федеральным законом от 15 августа 1996 г. N 114-ФЗ "О порядке выезда из Российской Федерации и въезда в Российскую Федерацию" <*>;

<*> Собрание законодательства Российской Федерации, 2002, N 30, ст. 3032; 2003, N 27, ст. 2700, N 46, ст. 4437; 2004, N 35, ст. 3607; N 45, ст. 4377; 2006, N 30, ст. 3286, N 31, ст. 3420; 2007, N 1, ст. 21.

Федеральным законом от 25 июля 2002 г. N 115-ФЗ "О правовом положении иностранных граждан в Российской Федерации" <*>;

<*> Собрание законодательства Российской Федерации, 1996, N 34, ст. 4029; 1998, N 30, ст. 3606; 1999, N 26, ст. 3175; 2003, N 2, ст. 159; N 27, ст. 2700; 2004, N 27, ст. 2711; 2006, N 27, ст. 2877; N 31, ст. 3420; 2007, N 1, ст. 29; N 3, ст. 410.

Федеральным законом от 18 июля 2006 г. N 109-ФЗ "О миграционном учете иностранных граждан и лиц без гражданства в Российской Федерации" <*>;

<*> Собрание законодательства Российской Федерации, 2006, N 30, ст. 3285.

Постановлением Правительства Российской Федерации от 9 июня 2003 г. N 335 "Об утверждении Положения об установлении формы визы, порядка и условий ее оформления и выдачи, продления срока ее действия, восстановления ее в случае утраты, а также порядка аннулирования визы" <*>.

<*> Собрание законодательства Российской Федерации, 2003, N 24, ст. 2329. Далее - "Положение".

3. ФМС России, территориальные органы ФМС России и их структурные подразделения при оформлении, выдаче, продлении срока действия, восстановлении и аннулировании виз иностранным гражданам также руководствуются:

Налоговым кодексом Российской Федерации <*>;

<*> Собрание законодательства Российской Федерации, 2000, N 32, ст. 3340.

Федеральным законом от 2 мая 2006 г. N 59-ФЗ "О порядке рассмотрения обращений граждан Российской Федерации" <*>;

<*> Собрание законодательства Российской Федерации, 2006, N 19, ст. 2060.

Приказом МИД России, МВД России и ФСБ России от 27 декабря 2003 г. N 19723А/1048/922 "Об утверждении Перечня "Цели поездок", используемого уполномоченными государственными органами Российской Федерации при оформлении приглашений и виз иностранным гражданам и лицам без гражданства" <*>;

<*> Зарегистрирован в Минюсте России 29 марта 2004 года, регистрационный N 5689. Бюллетень нормативных актов федеральных органов исполнительной власти, 2004, N 15.

и иными нормативными правовыми актами Российской Федерации.

4. ФМС России и ее территориальные органы выдают иностранным гражданам, находящимся на территории Российской Федерации, транзитные визы с кодом ТР1 и визы временно проживающего лица, продлевают срок действия, восстанавливают и аннулируют все виды виз иностранным гражданам, кроме дипломатических и служебных.

5. Оформление, выдача, продление срока действия, восстановление и аннулирование виз иностранным гражданам на территории Российской Федерации осуществляются ФМС России в пределах компетенции территориальными органами ФМС России и их структурными подразделениями <*>, которым данные полномочия делегированы в установленном порядке.

<*> Далее - "территориальные органы".

6. Территориальные органы при оформлении, выдаче, продлении срока действия, восстановлении и аннулировании виз иностранным гражданам взаимодействуют с:

органами внутренних дел Российской Федерации;

органами Федеральной службы безопасности Российской Федерации;

Министерством иностранных дел Российской Федерации <*>;

<*> Далее - "МИД России".

дипломатическими представительствами и консульскими учреждениями Российской Федерации;

налоговыми органами Российской Федерации.

Процедуры взаимодействия с указанными органами и организациями определяются Административным регламентом, а также иными нормативными правовыми актами Российской Федерации и соответствующими соглашениями.

7. За предоставление государственной услуги взимается государственная пошлина в порядке и размере, установленном главой 25.3 Налогового кодекса Российской Федерации <*>, за исключением случаев, предусмотренных международными договорами. (в ред. Приказа ФМС РФ от 29.11.2010 N 424)

<*> Собрание законодательства Российской Федерации, 2004, N 45, ст. 4377; 2005, N 1, ст. 29, 30; N 30, ст. 3117; N 52, ст. 5581; 2006, N 1, ст. 12; N 31, ст. 3436; 2007, N 31, ст. 4013; N 46, ст. 5554; N 49, ст. 6045, 6071; 2008, N 52, ст. 6218, 6219, 6236; 2009, N 1, ст. 19; N 29, ст. 3582, 3642; N 48, ст. 5733; N 52, ст. 6450; 2010, N 15, ст. 1737; N 18, ст. 2145.

II. Требования, предъявляемые к порядку предоставления государственной услуги по оформлению, выдаче, продлению срока действия, восстановлению и исполнения государственной функции по аннулированию визы иностранному гражданину

Порядок информирования об услуге

8. Информация о государственной услуге по выдаче, продлению срока действия и восстановлению виз <*> предоставляется непосредственно в помещениях территориальных органов, а также по телефону, электронной почте, посредством размещения информации на Интернет-сайтах ФМС России и территориальных органов (приложение N 9 к Административному регламенту).

<*> Далее - "государственная услуга".

Официальный Сайт ФМС России: www.fms.gov.ru.

9. Основными требованиями к информированию заявителей являются:

достоверность предоставляемой информации;

четкость в изложении информации;

полнота информирования;

наглядность форм предоставляемой информации;

удобство и доступность получения информации;

оперативность предоставления информации.

10. Информация о процедуре предоставления государственной услуги предоставляется бесплатно.

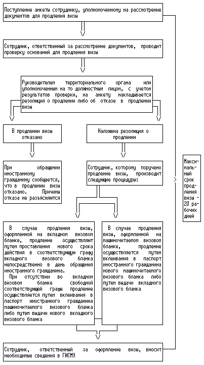
11. На стендах в помещениях территориальных органов, а также на Интернет-сайте ФМС России и территориальных органов размещается следующая информация:

режим работы соответствующего территориального органа;

адреса нахождения ближайших банковских учреждений, в которых можно произвести уплату государственной пошлины;

банковские реквизиты для уплаты государственной пошлины;

адреса официальных Интернет-сайтов ФМС России и территориальных органов;

номер телефона и адреса электронной почты справочной службы ФМС России и территориальных органов;

номер телефона, по которому можно осуществить предварительную запись;

о порядке предоставления государственной услуги.

Размещаются следующие формы документов:

форма заявления об оформлении (продлении, восстановлении) визы;

форма бланка оплаты государственной пошлины;

форма запроса на получение информации.

12. Посредством автоинформатора, который работает круглосуточно, потребитель информируется о:

режиме работы соответствующего территориального органа;

адресах нахождения ближайших банковских учреждений, в которых можно произвести уплату государственной пошлины;

банковских реквизитах для уплаты государственной пошлины;

адресах официальных Интернет-сайтов ФМС России и территориальных органов;

номерах телефонов и адресах электронной почты справочной службы ФМС России и территориальных органов;

номере телефона, по которому можно осуществить предварительную запись.

Порядок получения консультаций о предоставлении государственной услуги

13. Консультирование получателей государственной услуги о порядке ее предоставления проводится в рабочее время. Обеспечиваются личные консультации, письменные консультации и консультации по телефону.

Все консультации, а также предоставленные сотрудниками в ходе консультаций формы документов являются безвозмездными.

Заявитель может выбрать два варианта получения личной консультации: в режиме общей очереди или по записи (по телефону).

Определение времени проведения консультации по телефону является приоритетным способом организации консультирования.

14. Заявители должны обладать информацией о фамилии, имени, отчестве и должности сотрудников, которые их обслуживают. Для этого сотрудники обеспечиваются личными идентификационными карточками и (или) настольными табличками.

15. Сотрудник, осуществляющий индивидуальное устное консультирование, должен принять все необходимые меры для дачи полного и оперативного ответа на поставленные вопросы, в том числе с привлечением других сотрудников. Время ожидания заинтересованного лица при индивидуальном устном консультировании не может превышать 30 минут.

Индивидуальное устное консультирование каждого заинтересованного лица сотрудник территориального органа осуществляет не более 10 минут.

В случае если для подготовки ответа требуется продолжительное время, сотрудник, осуществляющий индивидуальное устное консультирование, может предложить заинтересованным лицам обратиться за необходимой информацией в письменном виде либо назначить другое удобное для заинтересованных лиц время для устного консультирования.

Для обеспечения индивидуального устного консультирования в территориальных органах выделяются отдельные сотрудники.

При устном обращении заинтересованных лиц (по телефону или лично) сотрудники, осуществляющие прием и консультирование, дают ответ самостоятельно. Если сотрудник, к которому обратился заявитель, не может ответить на вопрос самостоятельно, то он может предложить заявителю обратиться письменно либо назначить другое удобное для заинтересованного лица время для получения информации.

Звонки граждан принимаются в соответствии с графиком работы сотрудников и должностных лиц, которые непосредственно взаимодействуют с заявителями. Заявитель имеет право выбрать удобное для него время звонка. Время ожидания разговора не может превышать пяти звуковых сигналов.

При ответе на телефонные звонки сотрудник, осуществляющий прием и информирование, сняв трубку, должен назвать фамилию, имя, отчество, занимаемую должность и наименование территориального органа. Во время разговора необходимо произносить слова четко, избегать "параллельных разговоров" с окружающими людьми и не прерывать разговор по причине поступления звонка на другой аппарат. В конце консультирования сотрудник, осуществляющий прием и консультирование, должен кратко подвести итоги и перечислить меры, которые надо принять (кто именно, когда и что должен сделать).

16. В случае получения запроса на письменную консультацию заявителя территориальный орган обязан ответить на него в срок до 30 дней.

Ответы на письменные обращения направляются в письменном виде и должны содержать: ответы на поставленные вопросы, фамилию, инициалы и номер телефона исполнителя. Ответ подписывается руководителем территориального органа, а в случае отсутствия - заместителем или лицом, исполняющим его обязанности <*>.

<*> Далее - "руководитель".

17. Консультирование по электронной почте или через Интернет-сайт предоставляется в режиме вопросов-ответов каждому заявителю, задавшему вопрос, не позднее пяти рабочих дней, следующих за днем получения вопроса.

Требования к местам для информирования

18. Места для информирования, предназначенные для ознакомления заявителей с информационными материалами, оборудуются:

информационными стендами;

стульями и столами для возможного оформления документов.

Требования к графику и помещениям

19. Гражданам обеспечиваются комфортные условия прохождения формальностей, связанных с получением государственной услуги, в том числе гарантируются надлежащим образом оборудованные помещения, удобные графики работы территориальных органов, участвующих в предоставлении государственной услуги.

20. Часы приема сотрудников территориальных органов, участвующих в предоставлении государственной услуги, которые непосредственно взаимодействуют с заявителями:

- понедельник: 10.00 - 13.00 и 13.45 - 17.00;

- вторник: 10.00 - 13.00 и 13.45 - 17.00;

- среда: прием не осуществляется;

- четверг: 10.00 - 13.00 и 13.45 - 17.00;

- пятница: 10.00 - 13.00 и 13.45 - 17.00;

- суббота: 10.00 - 13.00;

- воскресенье - выходной день.

21. Часы работы иных сотрудников устанавливаются согласно служебному распорядку соответствующего территориального органа. Руководитель территориального органа в зависимости от ситуации перераспределяет в течение дня сотрудников, осуществляющих прием заявителей.

22. Время ожидания в очереди для передачи документов в случае предварительной записи устанавливается до 30 минут, а при получении визы - до 20 минут.

23. Время приема документов устанавливается до 15 минут, а получения визы - до 10 минут.

24. Прием граждан ведется либо с помощью электронной системы управления очередью или по предварительной записи по телефону. Для этого территориальные органы информируют граждан о номерах телефонов, по которым можно осуществить предварительную запись.

При определении времени приема по телефону сотрудник обязан назначить время на основе графика уже запланированного времени приема заявителей и времени, удобного заявителю.

25. Помещения для предоставления услуги должны быть размещены на нижних этажах зданий территориальных органов, участвующих в предоставлении государственной услуги. На территории, прилегающей к зданию, оборудуются места для парковки автотранспортных средств.

26. В помещении территориального органа оборудуются места для ожидания приема, имеющие стулья, столы (стойки) для возможности оформления документов, а также туалет и гардероб. В летнее время (с июня по август) в зависимости от климатических условий работает кондиционер.

27. Должны быть созданы условия для обслуживания инвалидов: помещения оборудованы пандусами, специальными ограждениями и перилами, обеспечиваются беспрепятственное передвижение и разворот инвалидных колясок, размещение столов для инвалидов в стороне от входа с учетом беспрепятственного подъезда и поворота колясок.

28. Прием получателей услуги и документов, необходимых для оформления, продления срока действия или восстановления визы, осуществляется в выделенных для этих целей залах обслуживания.

29. В помещениях территориальных органов на видном месте располагаются схемы средств пожаротушения и пути эвакуации посетителей и сотрудников территориального органа.

Плата за предоставление государственной услуги (в ред. Приказа ФМС РФ от 29.11.2010 N 424)

29.1. За оформление, продление срока действия и восстановление визы иностранному гражданину, временно пребывающему в Российской Федерации, взимается государственная пошлина в соответствии со статьей 333.28 главы 25.3 Налогового кодекса Российской Федерации:

для выезда из Российской Федерации - 600 рублей;

для многократного пересечения Государственной границы Российской Федерации - 1000 рублей.

За продление срока действия виз иностранным гражданам, прибывшим в Российскую Федерацию с целью осуществления благотворительной деятельности или доставки гуманитарной помощи либо в связи с обстоятельствами, связанными с необходимостью экстренного лечения, тяжелой болезнью или со смертью близкого родственника, государственная пошлина не взимается.

III. Административные процедуры

Условия и сроки по оформлению, выдаче, продлению срока действия и восстановлению визы иностранному гражданину

30. Получателями государственной услуги являются временно пребывающие и временно проживающие в Российской Федерации иностранные граждане, законно находящиеся на ее территории.

31. Сотрудники территориальных органов при предоставлении государственной услуги и исполнении государственной функции по аннулированию визы иностранному гражданину руководствуются положениями Административного регламента.

32. Сотрудники территориальных органов, участвующих в предоставлении услуги и исполнении государственной функции по аннулированию визы иностранному гражданину, несут персональную ответственность за исполнение административных процедур и соблюдение сроков, установленных Административным регламентом.

33. ФМС России и ее территориальные органы оформляют визы на машиночитаемом визовом бланке (с цифровым обозначением серии от 10 до 19).

Вкладные визовые бланки применяются до перехода на использование машиночитаемых визовых бланков.

34. Иностранному гражданину, прибывшему в Российскую Федерацию в целях обучения в образовательном учреждении по обыкновенной учебной визе либо в целях осуществления трудовой деятельности по обыкновенной рабочей визе, продление срока действия визы производится путем выдачи многократной визы.

35. Виза оформляется в срок не более 20 дней с даты обращения иностранного гражданина в территориальный орган и предоставления всех необходимых документов. (в ред. Приказа ФМС РФ от 29.11.2010 N 424)

36. Оформление, выдача и продление срока действия визы производится территориальными органами по месту постановки иностранного гражданина на миграционный учет по месту пребывания (проживания) либо по месту фактического пребывания иностранного гражданина. (в ред. Приказа ФМС РФ от 29.11.2010 N 424)

37. Виза иностранному гражданину не выдается, а выданная виза аннулируется в случаях, если: (в ред. Приказа ФМС РФ от 29.11.2010 N 424)

это необходимо в целях обеспечения обороноспособности или безопасности государства, либо общественного порядка, либо защиты здоровья населения; (в ред. Приказа ФМС РФ от 29.11.2010 N 424)

в период своего предыдущего пребывания в Российской Федерации иностранный гражданин или лицо без гражданства подвергались административному выдворению за пределы Российской Федерации, депортировались либо были переданы Российской Федерацией иностранному государству в соответствии с международным договором Российской Федерации о реадмиссии - в течение пяти лет со дня административного выдворения за пределы Российской Федерации, депортации либо передачи иностранному государству в соответствии с международным договором Российской Федерации о реадмиссии; (в ред. Приказа ФМС РФ от 29.11.2010 N 424)

иностранный гражданин имеет непогашенную или неснятую судимость за совершение тяжкого или особо тяжкого преступления на территории Российской Федерации либо за ее пределами, признаваемого таковым в соответствии с Федеральным законом; (в ред. Приказа ФМС РФ от 29.11.2010 N 424)

иностранный гражданин или лицо без гражданства не представили документы, необходимые для получения визы в соответствии с законодательством Российской Федерации, - до их представления; (в ред. Приказа ФМС РФ от 29.11.2010 N 424)

в отношении иностранного гражданина принято решение о нежелательности пребывания (проживания) в Российской Федерации. (в ред. Приказа ФМС РФ от 29.11.2010 N 424)

Перечень документов для выдачи, продления и восстановления визы и требования к ним

38. Для оформления, продления срока действия или восстановления визы иностранный гражданин либо сторона, принимающая иностранного гражданина в Российской Федерации (далее - принимающая сторона), представляет в территориальный орган следующие документы: (в ред. Приказа ФМС РФ от 29.11.2010 N 424)

38.1. Анкета установленного образца (приложение N 1 к Административному регламенту), заполненная разборчиво от руки или с использованием технических средств на русском языке либо на английском языке без использования сокращений и аббревиатур, с наклеенной фотографией.

Ответы на вопросы анкеты должны быть исчерпывающими.

Анкета подписывается иностранным гражданином лично.

38.2. Действительный заграничный паспорт либо иной документ, удостоверяющий личность иностранного гражданина и признаваемый в этом качестве Российской Федерацией <*>, и копии страниц паспорта, которые содержат сведения об иностранном гражданине и сроке действия паспорта, а также копию визы (при ее наличии).

<*> Далее - "паспорт".

Паспорт, представляемый иностранным гражданином, не должен вызывать сомнений в подлинности и принадлежности его владельцу, содержать отметок, оговорок, записей, подчисток и исправлений, не заверенных компетентными властями соответствующего иностранного государства, вырванных или расшитых страниц, должен иметь не менее двух чистых страниц, предназначенных для виз, срок его действия, как правило, не должен истекать ранее чем через 6 месяцев с даты окончания срока действия визы.

38.3. Отрывная часть уведомления о прибытии иностранного гражданина в место пребывания и ее копия.

38.4. Миграционная карта и ее копия. (в ред. Приказа ФМС РФ от 29.11.2010 N 424)

38.5. Квитанция об уплате государственной пошлины, за исключением случаев, предусмотренных абзацем седьмым пункта 7 Административного регламента. (в ред. Приказа ФМС РФ от 29.11.2010 N 424)

38.6. В случае оформления визы на вкладном визовом бланке представляются две фотографии размером 3 x 4 см (черно-белые либо цветные на матовой фотобумаге) с четким изображением лица анфас, без очков с затемненными стеклами и без головного убора, за исключением иностранных граждан, для которых постоянное ношение головного убора является обязательным атрибутом их национальной или религиозной принадлежности, при условии, что иностранный гражданин изображен в таком головном уборе на фотографии в паспорте. (в ред. Приказа ФМС РФ от 29.11.2010 N 424)

39. В случае невозможности предоставления документов для оформления, продления или восстановления визы иностранным гражданином либо пригласившей его стороной документы представляются принимающей стороной, с приложением документов, подтверждающих наличие причин, препятствующих иностранному гражданину лично обратиться в территориальный орган по вопросу оформления, продления либо восстановления визы.

40. Паспорт, виза, оформленная на вкладном визовом бланке, отрывная часть уведомления о прибытии иностранного гражданина в место пребывания возвращаются иностранному гражданину либо лицу, представившему документы, а их копии приобщаются к анкете.

Прием и регистрация документов

41. Основанием для начала процедуры приема и регистрации документов от иностранного гражданина по вопросу выдачи, продления и восстановления визы является обращение иностранного гражданина в территориальный орган с визовой анкетой <*> и необходимым комплектом документов.

<*> Далее - "анкета".

42. Сотрудник территориального органа <*>, ответственный за прием документов, проверяет своевременность обращения иностранного гражданина, сверяет сведения, указанные в паспорте, визе, миграционной карте, отрывной части уведомления о прибытии, с данными, содержащимися в анкете, действительность документа, удостоверяющего личность иностранного гражданина, тождественность лица, изображенного на представленных фотографиях, фотографии в паспорте иностранного гражданина и в анкете, а в случае непосредственного обращения иностранного гражданина - и его личности, оценивает качество и соответствие фотографий установленным требованиям Административного регламента. При этом на оборотной стороне фотографий простым карандашом указываются фамилия и инициалы владельца.

<*> Далее - "сотрудник".

43. Анкета от иностранного гражданина не принимается в случае непредставления документов, указанных в подпунктах 38.2 - 38.5 Административного регламента.

44. Если для оформления визы представлен паспорт, в котором имеется оттиск мастичного штампа "Принято" (приложение N 6 к Административному регламенту), документы к рассмотрению не принимаются.

45. Правильность заполнения анкеты и полнота представленных документов подтверждаются подписью сотрудника на оборотной стороне анкеты.

Иностранному гражданину выдается справка, подтверждающая прием анкеты к рассмотрению (приложение N 2 к Административному регламенту).

46. При оформлении машиночитаемой визы при приеме документов в паспорте на свободной странице проставляется мастичный штамп "Принято" (приложение N 6 к Административному регламенту). (в ред. Приказа ФМС РФ от 29.11.2010 N 424)

47. При наличии в паспорте иностранного гражданина мастичного штампа "Принято" ему разъясняется о необходимости обращения за оформлением визы в территориальный орган, проставивший указанный штамп.

48. Днем принятия документов считается день подачи всех надлежащим образом оформленных документов и фотографий, установленных Административным регламентом.

49. Принятая анкета подлежит в установленном порядке регистрации с проставлением регистрационного номера на бланке анкеты.

50. Иностранному гражданину возвращаются паспорт, виза, оформленная на вкладном визовом бланке, отрывная часть уведомления о прибытии иностранного гражданина в место пребывания и сообщается о дате выдачи, восстановлении либо продлении визы.

51. Максимальный срок выполнения действий составляет 15 минут.

Оформление транзитной визы и визы временно проживающего лица

52. Основанием для начала исполнения государственной услуги по оформлению визы является поступление анкеты и пакета документов с просьбой оформить визу сотруднику, ответственному за рассмотрение документов.

53. ФМС России и ее территориальные органы оформляют иностранным гражданам транзитные визы с кодом ТР1 и визы временно проживающего лица.

54. Транзитная виза с кодом ТР1 выдается иностранному гражданину для выезда из Российской Федерации в случае отсутствия у него действующей визы, а также при принятии территориальным органом ФМС России решения об аннулировании разрешения на временное проживание. Транзитная виза с кодом ТР1 может быть только однократной. (в ред. Приказа ФМС РФ от 29.11.2010 N 424)

55. Транзитная виза с кодом ТР1 выдается иностранному гражданину на срок до 10 суток.

56. Для оформления транзитной визы с кодом ТР1 иностранный гражданин помимо документов, указанных в подпунктах 38.1 - 38.5 Административного регламента, дополнительно представляет действительный для выезда из Российской Федерации проездной билет или подтвержденную гарантию его приобретения на территории Российской Федерации при наличии визы на въезд в сопредельное с Российской Федерацией по маршруту следования государство, либо визы государства назначения, либо паспорта этого государства, либо мотивированной просьбы и документов, подтверждающих необходимость остановки, если иное не предусмотрено международным договором Российской Федерации.

57. Виза временно проживающего лица выдается при получении иностранным гражданином разрешения на временное проживание в Российской Федерации, а также при ее использовании для выезда из Российской Федерации и въезда в Российскую Федерацию, если иное не предусмотрено международными договорами Российской Федерации.

Виза временно проживающего лица, выданная иностранному гражданину дипломатическим представительством или консульским учреждением Российской Федерации, и которому разрешен въезд на территорию Российской Федерации для временного проживания на основании решения территориального органа Федеральной миграционной службы, продлевается территориальным органом ФМС России по месту постановки на миграционный учет по месту проживания иностранного гражданина путем выдачи многократной визы на срок действия разрешения на временное проживание. (в ред. Приказа ФМС РФ от 29.11.2010 N 424)

В случае принятия территориальным органом решения об аннулировании разрешения на временное проживание действующая виза временно проживающего лица аннулируется. (в ред. Приказа ФМС РФ от 29.11.2010 N 424)

58. Виза временно проживающего лица выдается иностранному гражданину по месту разрешенного проживания.

59. Виза временно проживающего лица является многократной и выдается на срок действия разрешения на временное проживание. (в ред. Приказа ФМС РФ от 29.11.2010 N 424)

60. Для оформления визы временно проживающего лица иностранный гражданин предоставляет документы, указанные в подпунктах 38.1 - 38.5 Административного регламента, а также копию разрешения на временное проживание.

61. В случае если для оформления визы представлен паспорт, в котором имеется виза с мастичным штампом "Аннулировано", вопрос об оформлении новой визы согласуется с территориальным органом, его проставившим.

62. Сотрудником, ответственным за рассмотрение документов, проводится проверка иностранных граждан с целью выявления оснований, предусмотренных законодательством Российской Федерации, по которым выезд из Российской Федерации иностранному гражданину может быть ограничен, а также на наличие оснований, препятствующих въезду иностранного гражданина в Российскую Федерацию.

63. Решение о выдаче либо об отказе в выдаче визы принимается руководителем территориального органа или уполномоченным на то должностным лицом в виде резолюции на анкете.

64. Сотрудник, которому поручено оформление визы, при отсутствии оснований, препятствующих оформлению визы, производит процедуры, необходимые для заполнения бланка визы, и вносит необходимые сведения в Государственную информационную систему миграционного учета <*>.

<*> Далее - "ГИСМУ".

65. Машиночитаемый визовый бланк заполняется в соответствии с приложением N 1 к Положению с использованием персональной ЭВМ с применением соответствующего программного обеспечения.

66. Вкладной визовый бланк заполняется в соответствии с приложением N 2 к Положению с использованием персональной ЭВМ либо пишущей машинки. Заполнение бланка от руки не допускается.

67. При оформлении вкладного визового бланка, после его заполнения, вклеенные фотографии иностранного гражданина и корешок визы скрепляются печатью "Для паспортно-визовых документов".

68. Корешок визы отрезается и подшивается в отдельное номенклатурное дело.

69. При оформлении транзитной визы корешок визы отрезается совместно с въездной частью визового бланка.

70. Максимальный срок исполнения процедуры - 20 дней.

Продление срока действия, восстановление визы

71. Основанием для начала исполнения государственной услуги по продлению, восстановлению визы является поступление анкеты и пакета документов с просьбой продлить либо восстановить визу сотруднику, ответственному за рассмотрение документов.

72. Срок действия визы во время пребывания иностранного гражданина в Российской Федерации продлевается: (в ред. Приказа ФМС РФ от 29.11.2010 N 424)

в случае возникновения необходимости - не более чем на 10 дней (при наличии документов, подтверждающих необходимость такого продления, и при условии, что суммарный срок пребывания иностранного гражданина в Российской Федерации по многократной визе не превышает 90 дней в течение каждого периода в 180 дней, за исключением случаев, предусмотренных Положением);

в случае отсутствия возможности для иностранного гражданина покинуть территорию Российской Федерации в связи с необходимостью его экстренного лечения, тяжелой болезнью или смертью близкого родственника, проживающего в Российской Федерации, - на срок, необходимый для принятия обусловленных сложившимися обстоятельствами мер и выезда иностранного гражданина из Российской Федерации (при предоставлении документа, подтверждающего наличие данных обстоятельств);

в случае отсутствия возможности для иностранного гражданина покинуть территорию Российской Федерации в связи с возникновением обстоятельств непреодолимой силы (чрезвычайные и непредотвратимые при данных условиях обстоятельства), а также явлений стихийного характера.

73. Продление срока действия визы допускается при сохранении категории, вида, количества разрешенных въездов и цели поездки иностранного гражданина.

Изменение количества разрешенных въездов и срока действия визы при ее продлении допускается только в случаях, указанных в пунктах 57, 82, 83.1, 83.2 и 83.3 Административного регламента. (в ред. Приказа ФМС РФ от 29.11.2010 N 424)

В случае, указанном в пункте 83.1, также допускается изменение вида визы и цели поездки иностранного гражданина при продлении срока действия визы. (в ред. Приказа ФМС РФ от 29.11.2010 N 424)

74. В случаях, предусмотренных пунктами 82 и 83 Административного регламента, необходимые для продления срока действия визы документы должны быть представлены в территориальный орган ФМС России не позднее чем за 20 дней до истечения срока ее действия. (в ред. Приказа ФМС РФ от 29.11.2010 N 424)

75. При продлении срока действия либо восстановлении визы срок оформления визы устанавливается с учетом окончания срока действия визы, подлежащей продлению либо восстановлению.

76. В случае продления срока действия либо восстановления визы помимо документов, указанных в подпунктах 38.1 - 38.5 Административного регламента, представляется письменное ходатайство организации, либо гражданина Российской Федерации, либо постоянно проживающего в Российской Федерации иностранного гражданина, по приглашению которых иностранный гражданин пребывает на территории Российской Федерации, в произвольной форме. В ходатайстве указываются обстоятельства, послужившие основанием для выдачи (продления, восстановления) визы, и сведения о ранее выданной визе.

77. Сотрудником, ответственным за рассмотрение документов, проводится проверка с целью выявления оснований, предусмотренных законодательством Российской Федерации, по которым выезд из Российской Федерации иностранному гражданину может быть ограничен, а также на наличие оснований, препятствующих въезду иностранного гражданина в Российскую Федерацию.

78. Решение о продлении, восстановлении либо об отказе в выдаче визы принимается руководителем территориального органа или уполномоченным на то должностным лицом в виде резолюции на анкете.

79. Продление срока действия визы, оформленной на машиночитаемом визовом бланке, осуществляется путем вклеивания в паспорт иностранного гражданина нового машиночитаемого визового бланка либо путем выдачи вкладного визового бланка.

80. Продление срока действия визы, оформленной на вкладном визовом бланке, осуществляется путем проставления нового срока действия в соответствующую графу вкладного визового бланка. (в ред. Приказа ФМС РФ от 29.11.2010 N 424)

При отсутствии во вкладном визовом бланке свободной соответствующей графы продление осуществляется путем вклеивания в паспорт иностранного гражданина машиночитаемого визового бланка либо путем выдачи нового вкладного визового бланка.

81. В случае если иностранный гражданин, имеющий действительную визу, в период пребывания в Российской Федерации оформил в дипломатическом представительстве или консульском учреждении государства своей гражданской принадлежности новый паспорт, а прежний паспорт погашен, виза может быть восстановлена в новом паспорте по письменному заявлению иностранного гражданина.

82. Иностранному гражданину, въехавшему в Российскую Федерацию для обучения в образовательном учреждении, обыкновенная учебная виза продлевается территориальным органом по месту постановки на учет путем выдачи многократной визы на срок действия договора на обучение, но не более чем на 1 год для каждой последующей визы.

83. Иностранному гражданину, въехавшему в Российскую Федерацию в целях осуществления трудовой деятельности, обыкновенная рабочая виза продлевается территориальным органом по месту постановки на учет путем выдачи многократной визы на срок действия трудового или гражданско-правового договора на выполнение работ (оказание услуг), но не более чем на 1 год для каждой последующей визы.

83.1. Иностранному гражданину, въехавшему в Российскую Федерацию в качестве высококвалифицированного специалиста в целях проведения переговоров с работодателем или заказчиком работ (услуг) и заключения трудового договора или гражданско-правового договора на выполнение работ (оказание услуг) по обыкновенной деловой визе, при условии, что сведения о нем как о высококвалифицированном специалисте размещены на официальном сайте Федеральной миграционной службы, имеющаяся виза аннулируется и ему одновременно оформляется обыкновенная рабочая виза на срок действия заключенного в соответствии с законодательством Российской Федерации трудового или гражданско-правового договора на выполнение работ (услуг), но не более чем на три года для каждой последующей визы, в случае удовлетворения ходатайства работодателя или заказчика работ (услуг) о привлечении данного иностранного гражданина в качестве высококвалифицированного специалиста. (в ред. Приказа ФМС РФ от 29.11.2010 N 424)

83.2. Иностранному гражданину, въехавшему в Российскую Федерацию в качестве высококвалифицированного специалиста и членам его семьи (супругу, детям, не достигшим возраста восемнадцати лет, а также нетрудоспособным детям, достигшим указанного возраста и находящимся на иждивении высококвалифицированного специалиста) по многократной рабочей визе, имеющаяся виза по истечении ее срока действия продлевается территориальным органом по месту постановки на учет путем выдачи многократной визы на срок действия трудового или гражданско-правового договора на выполнение работ (оказание услуг), но не более чем на 3 года для каждой последующей визы. (в ред. Приказа ФМС РФ от 29.11.2010 N 424)

В течение 30 рабочих дней со дня досрочного расторжения трудового договора или гражданско-правового договора на выполнение работ (оказание услуг) высококвалифицированный специалист вправе осуществить поиск другого работодателя или заказчика работ (услуг) и получить новое разрешение на работу. В течение указанного срока разрешение на работу, выданное высококвалифицированному специалисту, а также выданные ему и членам его семьи виза и вид на жительство считаются действительными. (в ред. Приказа ФМС РФ от 29.11.2010 N 424)

В случае заключения высококвалифицированным специалистом нового трудового договора или гражданско-правового договора на выполнение работ (услуг), срок действия обыкновенной рабочей визы продлевается на период рассмотрения ходатайства о выдаче разрешения на работу, поданного работодателем, с которым высококвалифицированный специалист заключил этот договор. (в ред. Приказа ФМС РФ от 29.11.2010 N 424)

Срок действия разрешения на работу, выданного высококвалифицированному специалисту, а также выданные ему и членам его семьи срок действия визы и вида на жительство, выданных высококвалифицированному специалисту и членам его семьи, продлевается на период рассмотрения ходатайства, поданного работодателем или заказчиком работ (услуг), с которыми высококвалифицированный специалист заключил новый трудовой договор или гражданско-правовой договор на выполнение работ (оказание услуг). (в ред. Приказа ФМС РФ от 29.11.2010 N 424)

В случае если высококвалифицированный специалист не заключил нового трудового договора или гражданско-правового договора на выполнение работ (оказание услуг) по истечении установленного абзацем четвертым настоящего пункта срока либо если ходатайство работодателя или заказчика работ (услуг) о привлечении высококвалифицированного специалиста отклонено, выданное высококвалифицированному специалисту разрешение на работу, а также выданные высококвалифицированному специалисту и членам его семьи виза и вид на жительство считаются действительными в течение 30 рабочих дней со дня истечения срока, указанного в абзаце четвертом настоящего пункта, либо со дня, когда принято решение об отклонении ходатайства работодателя или заказчика работ (услуг). В течение указанных 30 рабочих дней высококвалифицированный специалист и члены его семьи обязаны выехать из Российской Федерации. (в ред. Приказа ФМС РФ от 29.11.2010 N 424)

83.3. Иностранному гражданину, въехавшему в Российскую Федерацию в целях осуществления трудовой деятельности по обыкновенной рабочей визе и впоследствии получившему разрешение на работу высококвалифицированного специалиста, срок действия имеющейся у него обыкновенной рабочей визы продлевается территориальным органом Федеральной миграционной службы по месту постановки на миграционный учет по месту пребывания иностранного гражданина путем выдачи обыкновенной многократной рабочей визы на срок действия заключенного в соответствии с законодательством Российской Федерации трудового или гражданско-правового договора на выполнение работ (услуг), но не более чем на три года для каждой последующей визы. (в ред. Приказа ФМС РФ от 29.11.2010 N 424)

При этом сопровождающим иностранного гражданина членам семьи имеющиеся визы на основании полученного соответствующего разрешения на работу иностранного гражданина, на иждивении которого они находятся, продлеваются территориальным органом Федеральной миграционной службы по месту постановки на миграционный учет по месту пребывания путем выдачи обыкновенной многократной рабочей визы на срок действия заключенного в соответствии с законодательством Российской Федерации трудового или гражданско-правового договора на выполнение работ (услуг), но не более чем на три года для каждой последующей визы. (в ред. Приказа ФМС РФ от 29.11.2010 N 424)

84. В случае продления обыкновенной учебной или обыкновенной рабочей визы кроме документов, указанных в подпунктах 38.1 - 38.5 Административного регламента, представляется копия договора на обучение либо трудового договора или гражданско-правового договора.

85. В случае механического повреждения визы иностранного гражданина, приведшего к невозможности ее дальнейшего использования, либо ее утраты (хищения) виза должна быть восстановлена после проверки оснований и подтверждения факта ее выдачи.

86. При утрате (хищении) визы иностранный гражданин представляет письменное заявление, в котором указывается, где, когда и при каких обстоятельствах была утрачена (похищена) виза, а также документы, указанные в подпунктах 38.1 - 38.5 Административного регламента.

87. Сотрудник, которому согласно резолюции поручено продление либо восстановление визы, при отсутствии оснований, препятствующих оформлению визы, производит процедуры, необходимые для заполнения бланка визы либо проставления нового срока действия визы, и вносит необходимые сведения в ГИСМУ.

88. Максимальный срок исполнения процедуры - 20 дней.

Выдача визы

89. Основанием для выдачи визы является обращение иностранного гражданина за получением визы в территориальный орган.

90. Иностранный гражданин или лицо, представившее документы для оформления, продления или восстановления визы, проверяет правильность внесенных в визу сведений, отметок и записей. При обнаружении в визе ошибок, допущенных при ее оформлении, данная виза изымается, а иностранному гражданину в тот же день оформляется новая виза.

За испорченный при оформлении бланк визы государственная пошлина не взимается.

91. Оформленная виза выдается иностранному гражданину или лицу, представившему документы для оформления, продления или восстановления визы, под роспись в соответствующей графе бланка анкеты.

92. При использовании машиночитаемого визового бланка при обращении иностранного гражданина оформленный бланк открепляется от подложки и вклеивается в паспорт на страницу с проставленным штампом "Принято".

93. В случае если в документе иностранного гражданина уже имеется виза, срок действия которой не истек или которая не была использована, новая виза выдается при условии аннулирования прежней визы путем проставления на ней мастичного штампа "Погашено" (приложение N 8 к Административному регламенту).

94. Сотрудник, ответственный за выдачу визы, вносит соответствующую запись в журнал учета поступления виз и выдачи их гражданам (приложение N 3 к Административному регламенту).

95. Максимальный срок выполнения действий составляет 10 минут.

Результат предоставления государственной услуги

96. Конечным результатом предоставления государственной услуги является своевременная выдача, восстановление или продление визы иностранному гражданину либо отказ в выдаче визы.

Порядок аннулирования визы

97. В случае принятия ФМС России или ее территориальными органами решения о сокращении срока временного пребывания иностранного гражданина в Российской Федерации его виза аннулируется путем простановки мастичного штампа "Аннулировано" (приложение N 7 к Административному регламенту) либо изъятия действующей визы, оформленной на вкладном визовом бланке, после чего иностранному гражданину выдается транзитная виза с кодом ТР1 со сроком действия, достаточным для его выезда с территории Российской Федерации, но не более чем на 10 дней.

98. В случае принятия ФМС России или ее территориальными органами решения об аннулировании разрешения на временное проживание или вида на жительство территориальный орган принимает решение о выдаче иностранному гражданину транзитной визы с кодом ТР1.

При этом имеющаяся у иностранного гражданина действующая виза временно проживающего лица аннулируется путем простановки мастичного штампа "Аннулировано" (приложение N 7 к Административному регламенту).

99. В случае принятия судебного решения об административном выдворении за пределы Российской Федерации или решения о депортации иностранного гражданина имеющаяся у него действующая виза аннулируется путем простановки мастичного штампа "Аннулировано". При этом новая виза не выдается.

Учет оформленных виз и бланков виз

100. Бланки виз относятся к документам строгой отчетности.

101. Персональную ответственность за хранение и учет бланков виз, печатей и штампов несут руководители территориальных органов, а также сотрудники, непосредственно осуществляющие функции их учета и хранения.

102. В территориальном органе организуется журнальный и автоматизированный учет бланков виз.

103. Территориальный орган ведет учет оформленных виз по корешкам вкладных визовых бланков, а также бумажным подложкам машиночитаемых визовых бланков, сгруппированных по номерам и подшитых в отдельное номенклатурное дело, которое хранится в территориальном органе. Срок хранения таких дел - один год.

104. Анкеты с приложенными к ним документами, послужившими основанием для оформления и выдачи визы, подшиваются в самостоятельное номенклатурное дело.

105. Срок хранения номенклатурных дел составляет один год. Уничтожение дел и учетных документов производится по актам в установленном порядке.

106. Анкеты регистрируются по журналу учета принятых анкет. При наличии автоматизированной системы учета принятых анкет журнальный учет не ведется. Срок хранения журнала учета принятых анкет составляет 5 лет. (в ред. Приказа ФМС РФ от 29.11.2010 N 424)

107. Сведения о выданных, аннулированных и восстановленных визах в течение 24 часов передаются в ГИСМУ. До создания ГИСМУ информация передается в Центральный банк данных по учету иностранных граждан и лиц без гражданства, временно пребывающих и временно или постоянно проживающих на территории Российской Федерации, в том числе участников Государственной программы по оказанию содействия добровольному переселению в Российскую Федерацию соотечественников, проживающих за рубежом, на региональный уровень с последующей передачей на федеральный уровень.

108. Учет и хранение бланков виз организуются в порядке, обеспечивающем их надежную сохранность.

109. В территориальных органах бланки виз должны храниться в специально оборудованных складских помещениях, защищенных от проникновения влаги, с надежными запорами на дверях и установленными на окнах металлическими решетками. Эти помещения должны быть оборудованы пожарно-охранной сигнализацией, выведенной на пульт вневедомственной охраны при ОВД (УВД), на территории обслуживания которого расположено складское помещение.

На складе необходимо иметь исправные средства тушения пожаров.

110. В подразделениях территориальных органов бланки виз хранятся в отдельных сейфах или несгораемых шкафах (ящиках).

Склады и сейфы (шкафы, ящики) с бланками виз опечатываются руководителем или сотрудником, непосредственно осуществляющим функции учета и хранения бланков виз.

111. Право доступа в склады и места хранения бланков виз имеют только лица, ведающие учетом и хранением бланков, а также их непосредственные начальники и должностные лица, проверяющие состояние хранения и учета бланков (в присутствии сотрудников, ответственных за учет и хранение бланков).

112. При получении бланков виз сотрудниками, осуществляющими функции их учета и хранения, проверяются состояние и целостность упаковки и маркировочных этикеток (ярлыков) Федерального государственного унитарного предприятия "Гознак" <*>, соответствие количества полученных бланков количеству, указанному в сопроводительных документах, а также соответствие серий и номеров бланков виз, указанных на маркировочных этикетках (ярлыках) ФГУП "Гознак", сериям и номерам, указанным в сопроводительных документах.

<*> Далее - "ФГУП "Гознак".

Подтверждения о получении бланков направляются в ФМС России.

113. Бланки виз учитываются по книге учета поступления и выдачи бланков виз (приложение N 4 к Административному регламенту).

Израсходованные бланки виз списываются по этим же книгам. Основанием для списания бланков являются накладные (приложение N 5 к Административному регламенту).

Записи в книгах производятся фиолетовой или черной пастой четко и без помарок. Ошибки исправляются путем зачеркивания неправильных записей и внесения новых, о чем делаются соответствующие отметки за подписью сотрудников, ведущих книги. Подчистки в книгах не допускаются.

113.1. Технически испорченные и невостребованные бланки виз уничтожаются не реже одного раза в квартал. (в ред. Приказа ФМС РФ от 29.11.2010 N 424)

При этом комиссия проверяет каждый бланк визы, подлежащий уничтожению, а также устанавливает причину его порчи либо неполучения. (в ред. Приказа ФМС РФ от 29.11.2010 N 424)

Списанные бланки виз уничтожаются, о чем составляется акт, который утверждается начальником и хранится в делах территориального органа ФМС России. (в ред. Приказа ФМС РФ от 29.11.2010 N 424)

114. Отпуск бланков виз подразделениям со складов территориальных органов производится по накладным руководителям подразделений, а также сотрудникам, непосредственно осуществляющим функции учета и хранения бланков виз.

115. Пересылка бланков виз производится фельдсвязью или спецсвязью в упаковке, гарантирующей их сохранность.

116. В случае перевозки бланков виз сотрудниками, которым доверены их получение и перевозка, они предупреждаются, что после получения бланков они обязаны немедленно следовать к месту назначения. Им запрещается передоверять охрану и сопровождение бланков другим лицам, а также одновременно выполнять какие-либо иные поручения, хотя бы и служебного характера.

Перевозка бланков виз сотрудниками, не обеспеченными вооруженной охраной и служебным автотранспортом, категорически запрещается.

117. Вскрытие упаковок с бланками виз в подразделениях производится в присутствии комиссии, назначаемой приказом руководителей территориальных органов, а при невозможности создания комиссии - в вышестоящем по подчиненности подразделении или территориальном органе, где такая комиссия создана, которая пересчитывает и полностью просматривает поступившие бланки.

118. Бланки виз после вскрытия и просмотра вскрытой пачки полностью приходуются по журналу учета поступления виз и выдачи их гражданам (приложение N 3 к Административному регламенту).

118.1. Срок хранения журнала учета поступления виз и выдачи их гражданам составляет 5 лет. (в ред. Приказа ФМС РФ от 29.11.2010 N 424)

119. В случаях недостачи, излишков или обнаружения дефектных бланков виз (отсутствие или повреждение защитной сетки, печатного текста, наличие дублированных номеров, со скошенным шрифтом в тексте или не соответствующих номерам, указанным в маркировочных этикетках (ярлыках) ФГУП "Гознак" на пачках) составляются акты в 2 экземплярах. Первые экземпляры актов с приложением упаковок и маркировочных этикеток (ярлыков) ФГУП "Гознак", а также дефектных бланков виз направляются в территориальные органы для последующей пересылки поставщику (ФГУП "Гознак"). Копии писем направляются в ФМС России. Вторые экземпляры актов служат основанием для списания бланков виз по журналу учета поступления виз и их выдачи.

120. В случаях утраты или хищений бланков виз проводятся служебные проверки для установления причин и обстоятельств случившегося. Материалы служебной проверки не позднее 10-дневного срока со дня обнаружения факта утраты или хищения подлежат утверждению руководителем подразделения и представляются руководству территориального органа для последующего информирования ФМС России о принятых мерах.

121. Проверки обеспечения учета и хранения бланков виз в территориальных органах осуществляются не реже одного раза в квартал комиссиями, ежегодно назначаемыми приказами руководителей территориальных органов.

В состав комиссии входят не менее трех сотрудников территориального органа, один из которых должен являться сотрудником финансового подразделения.

В подразделении, где создание комиссии невозможно, проверка обеспечения учета и хранения бланков виз осуществляется вышестоящим по подчиненности подразделением или территориальным органом, где такая комиссия создана.

122. Комиссия обязана проверить:

122.1. Состояние учета и хранения бланков виз, своевременность и полноту их оприходования, списания (выдачи), соответствие остатков бланков виз по журналам учета поступления виз и выдачи их гражданам фактическому их наличию, обеспечение сохранности бланков виз, а также печатей, штампов, спецклея и другой специальной продукции, правильность ведения журналов учета поступления виз и выдачи их гражданам, соблюдение правил пользования специальной продукцией.

122.2. Правильность оформления и обоснованность выдачи виз.

122.3. Наличие и правильность оформления анкет, порядок их хранения.

122.4. Своевременность аннулирования виз, признанных недействительными или выданных в нарушение установленного порядка, порядок их хранения и уничтожения.

122.5. Своевременность и полноту взимания государственной пошлины за выданные визы.

123. О результатах проверки составляются акты, в которых отмечаются недостатки и вносятся предложения по их устранению.

124. Акт утверждается председателем комиссии.

Члены комиссий несут ответственность за полноту проверки и правильность указанных в акте сведений.

125. Утвержденный акт с результатами проверки докладывается руководителю территориального органа для принятия соответствующего решения.

Контроль за предоставлением государственной услуги и исполнением государственной функции

126. Текущий контроль за соблюдением последовательности действий, определенных административными процедурами по оформлению, продлению срока действия и восстановлению виз, и принятием решений сотрудниками осуществляется должностными лицами ФМС России и ее территориальных органов, ответственными за организацию работы по предоставлению услуги.

127. Сотрудник, ответственный за прием документов и личных фотографий, несет персональную ответственность за соблюдение сроков и порядка приема документов.

Сотрудник, ответственный за рассмотрение документов, несет персональную ответственность за проверку документов, определение их подлинности и соответствия установленным требованиям.

Сотрудник, ответственный за оформление виз, несет персональную ответственность за соблюдение порядка оформления визы, достоверность и правильность внесенных в нее сведений.

Сотрудник, ответственный за выдачу виз, несет персональную ответственность за соблюдение порядка выдачи визы, правильность заполнения журнала учета поступления виз и выдачи их гражданам (приложение N 3 к Административному регламенту).

Сотрудник, ответственный за направление информации, несет персональную ответственность за соблюдение сроков и порядка представления информации.

Права иностранных граждан на обжалование решений и действий должностных лиц ФМС России по предоставлению государственной услуги и исполнению государственной функции

128. Заявители имеют право на обжалование решений и действий или бездействия должностных лиц ФМС и ее территориальных органов.

129. Заявители имеют право обратиться с жалобой лично (устно) или направить письменное предложение, заявление или жалобу (далее - письменное обращение).

130. Должностные лица ФМС России и ее территориальных органов проводят личный прием заявителей.

131. Письменное обращение подлежит обязательной регистрации в течение трех дней с момента поступления.

132. При обращении заявителей в письменной форме срок рассмотрения письменного обращения не должен превышать 30 дней с момента регистрации такого обращения.

133. Обращение заявителя в письменной форме должно содержать следующую информацию:

наименование государственного органа, в который направляется письменное обращение, либо должность, либо фамилию, имя, отчество соответствующего должностного лица;

фамилия, имя, отчество (последнее - при наличии), гражданство заявителя, почтовый адрес, по которому должен быть направлен ответ либо уведомление о переадресации обращения;

суть предложения, заявления или обжалуемого решения, действия (бездействия);

личная подпись заявителя и дата.

134. Дополнительно в жалобе могут указываться причины несогласия с обжалуемым решением, действием (бездействием), обстоятельства, на основании которых получатель государственной услуги считает, что нарушены его права, свободы и законные интересы, созданы препятствия к их реализации либо незаконно возложена какая-либо обязанность, требования (об отмене решения, о признании незаконным действия (бездействия)), а также иные сведения.

К жалобе могут быть приложены копии документов, подтверждающих изложенные в жалобе обстоятельства. В таком случае в жалобе приводится перечень прилагаемых к ней документов.

Если документы, имеющие существенное значение для рассмотрения жалобы, отсутствуют или не приложены к обращению, решение принимается без учета доводов, в подтверждение которых документы не представлены.

135. Обращение, поступившее по информационным системам общего пользования, подлежит рассмотрению в порядке, предусмотренном для письменных обращений.

136. По результатам рассмотрения обращения должностным лицом ФМС России либо ее территориального органа принимается решение об удовлетворении требований заявителя либо об отказе в его удовлетворении.

Письменный ответ, содержащий результаты рассмотрения письменного обращения, направляется заявителю.

137. Обращение заявителя не рассматривается в следующих случаях:

в случае если в письменном обращении не указаны фамилия гражданина, направившего обращение, и почтовый адрес, по которому должен быть направлен ответ, ответ на обращение не дается;

если в указанном обращении содержатся сведения о подготавливаемом, совершаемом или совершенном противоправном деянии, а также о лице, его подготавливающем, совершающем или совершившем, обращение подлежит направлению в государственный орган в соответствии с его компетенцией;

обращение, в котором обжалуется судебное решение, возвращается заявителю с разъяснением порядка обжалования данного судебного решения;

при получении письменного обращения, в котором содержатся нецензурные либо оскорбительные выражения, угрозы жизни, здоровью и имуществу должностного лица, а также членов его семьи, вправе оставить обращение без ответа по существу поставленных в нем вопросов и сообщить заявителю, направившему обращение, о недопустимости злоупотребления правом;

в случае если текст письменного обращения не поддается прочтению, ответ на обращение не дается, о чем сообщается заявителю, если его фамилия и почтовый адрес поддаются прочтению;

в случае если в письменном обращении содержится вопрос, на который заявителю многократно давались письменные ответы по существу в связи с ранее направляемыми обращениями, и при этом в обращении не приводятся новые доводы или обстоятельства, должностное лицо ФМС России или территориального органа вправе принять решение о безосновательности очередного обращения и прекращении переписки с гражданином по данному вопросу при условии, что указанное обращение и ранее направляемые обращения направлялись в один и тот же государственный орган или одному и тому же должностному лицу, и уведомить о данном решении заявителя;

в случае если ответ по существу поставленного в обращении вопроса не может быть дан без разглашения сведений, составляющих государственную или иную охраняемую федеральным законом тайну, заявителю сообщается о невозможности дать ответ по существу поставленного в нем вопроса в связи с недопустимостью разглашения указанных сведений.

138. Письменный ответ с указанием причин отказа в рассмотрении жалобы направляется заявителю не позднее 15 дней со дня ее получения.

139. Заявители вправе обжаловать решения, принятые в ходе исполнения государственной услуги, действия или бездействие должностных лиц ФМС России и ее территориальных органов в судебном порядке.

140. Ответственность за нарушение Административного регламента наступает в соответствии с законодательством Российской Федерации.

Приложение N 1
к Административному регламенту
Федеральной миграционной службы
по предоставлению государственной
услуги по оформлению, выдаче,
продлению срока действия,
восстановлению и по исполнению
государственной функции
по аннулированию виз иностранным
гражданам и лицам без гражданства

Регистрационный N ________
                          ВИЗОВАЯ АНКЕТА            

Прошу оформить (продлить, восстановить) визу
в связи с __________________________________________
____________________________________________________
          
Место
для
фотографии

                О себе сообщаю следующие сведения:
 
1. Фамилия ___________________________/___________________________
                  (кириллица)                 (латиница)
2. Имя, другие имена, отчество (согласно паспорту)/______________/
                                                    (кириллица)
__________________________________________________________________
                            (латиница)
3. Другие когда-либо использовавшиеся имена (до брака, псевдонимы,
религиозные саны и т.д.) _________________________________________
__________________________________________________________________
4. Дата рождения (дд/мм/гг) ______________________________________
5. Место рождения ________________________________________________
6. Гражданство ___________________________________________________
7. Серия паспорта ________________________ N паспорта ____________
8. Срок действия паспорта (дд/мм/гг) _____________________________
9. Пол _______ 10. Миграционная карта N __________________________
11. Дата въезда (дд/мм/гг) ___________ 12. КПП въезда ____________
13. Цель поездки _________________________________________________
14. Принимающая сторона (для  юр. лица - наименование,  населенный
пункт; для физ. лица - Ф.И.О., адрес проживания) _________________
15. Адрес постановки на миграционный учет ________________________
__________________________________________________________________
16. Маршрут предполагаемого пребывания (населенные пункты) _______
__________________________________________________________________
17. Адрес постоянного проживания, телефон, факс, E-mail __________
__________________________________________________________________
18. Место   работы   или   учебы,  должность (наименование, адрес,
телефон, факс, E-mail) ___________________________________________
__________________________________________________________________
19. Имеете ли вы родственников на территории РФ __________________
__________________________________________________________________
 (полное имя, степень родства, дата рождения, адрес проживания)
__________________________________________________________________
__________________________________________________________________
 
             Сведения об имеющейся (имевшейся) визе:
 
20. Серия бланка ____ номер бланка ___ 21. Идентификационный N ___
22. Срок действия: с ______________ по _________
23. Кратность     однократная 
визы:
 
 двукратная 
 
 многократная 
 
 
 
 
 
 
24. Вид визы (категория) ___________ 25. N приглашения ___________
26. Страна, город и дата получения визы __________________________
 
                                               (оборотная сторона)
 
     Прошу внести в визу данные о моих близких родственниках
      (несовершеннолетних детях, супруге, в случае вписания
                     их в паспорт заявителя):
 
Фамилия, имя
Дата рождения
Гражданство
    Адрес постоянного   
проживания
 
 
 
 
 
 
 
 
 
 
 
 
 
 
 
 
 
 
 
 
 
            К заявлению прилагаю следующие документы:
 
__________________________________________________________________
__________________________________________________________________
__________________________________________________________________
__________________________________________________________________
__________________________________________________________________
__________________________________________________________________
 
    Я  заявляю,  что  данные, указанные в визовой анкете, являются
достоверными.  Мне  разъяснено,  что  указание неправильных данных
может   повлечь   за   собой   отказ  в  выдаче  визы  (продлении,
восстановлении).
 
"__" ___________ 20__ г.                __________________________
                                               (подпись)
 
Сведения,   указанные   в   заявлении,  сверены с предоставленными
документами:
"__" ______ 20__ г.   ____________________________________________
                        (Должность, фамилия, подпись сотрудника,
                                  принявшего заявление)
 
                    Расписка в получении визы
 
Я, _______________________________________________________________
            (фамилия, имя, отчество иностранного гражданина
                       или его принимающей стороны)
 
"__" ______________ 20__ г. получил(а) визу:
 
серия бланка ________________ номер бланка ________________,
 
идентификационный N ___________________________________.
 
    Мне   разъяснено   об   ответственности  за  нарушение  режима
пребывания в Российской Федерации.
 
"__" ____________ 20__ г.                   ______________________
                                                   (подпись)
 
 
 

Приложение N 2
к Административному регламенту
Федеральной миграционной службы
по предоставлению государственной
услуги по оформлению, выдаче,
продлению срока действия,
восстановлению и по исполнению
государственной функции
по аннулированию виз иностранным
гражданам и лицам без гражданства

           СПРАВКА N _________________________________
                      (регистрационный номер анкеты)
 
Дана _____________________________________________________________
        (фамилия, имя, отчество иностранного гражданина или его
                            принимающей стороны)
в том, что _______________________________________________________
                            (дата приема анкеты)
от   него   (нее)   принята   к рассмотрению анкета для оформления
(продления, восстановления) визы.
 
_____________________________________________    _________________
 (должность, Ф.И.О. сотрудника, наименование         (подпись)
     территориального органа ФМС России)
 
 
 

Приложение N 3
к Административному регламенту
Федеральной миграционной службы
по предоставлению государственной
услуги по оформлению, выдаче,
продлению срока действия,
восстановлению и по исполнению
государственной функции
по аннулированию виз иностранным
гражданам и лицам без гражданства

ЖУРНАЛ
УЧЕТА ПОСТУПЛЕНИЯ ВИЗ И ВЫДАЧИ ИХ ГРАЖДАНАМ
__________________________________
(наименование подразделения)

Серия и номера виз Дата выдачи Фамилия, имя иностранного гражданина Гражданство Примечание
поступление выдача
1 2 3 4 5
         
         
         
         
         

Приложение N 4
к Административному регламенту
Федеральной миграционной службы
по предоставлению государственной
услуги по оформлению, выдаче,
продлению срока действия,
восстановлению и по исполнению
государственной функции
по аннулированию виз иностранным
гражданам и лицам без гражданства

КНИГА УЧЕТА
ПОСТУПЛЕНИЯ И ВЫДАЧИ БЛАНКОВ ВИЗ

__________________________________
(наименование подразделения)

Поступили

N п/п N и дата приходной накладной Откуда поступили Кол-во Серия N N (с - по) Примечание
             

Выданы

N п/п N и дата расходной накладной Подразделение, которому отпущены Кол-во Серия N N (с - по) Прим.
             

Приложение N 5
к Административному регламенту
Федеральной миграционной службы
по предоставлению государственной
услуги по оформлению, выдаче,
продлению срока действия,
восстановлению и по исполнению
государственной функции
по аннулированию виз иностранным
гражданам и лицам без гражданства

                             Подразделение _______________________
                                              (наименование)
 
                    НАКЛАДНАЯ N _____________
 
    Кому отпущены бланки виз _____________________________________
 
N и дата документа, по которому отпущены бланки виз ______________
__________________________________________________________________
 N 
п/п
 Наименование 
 Ед. изм. 
 Количество 
 Серия 
N N (с - по) 
 
 
 
 
 
 
 
Начальник подразделения __________________________________________
 
Выдал _________________                 Принял ___________________
 
"__" __________ 20__ г.
 
Получение просим подтвердить
 
 
 

Приложение N 6
к Административному регламенту
Федеральной миграционной службы
по предоставлению государственной
услуги по оформлению, выдаче,
продлению срока действия,
восстановлению и по исполнению
государственной функции
по аннулированию виз иностранным
гражданам и лицам без гражданства

ОБРАЗЕЦ МАСТИЧНОГО ШТАМПА

           
  наименование подразделения  
             
  ПРИНЯТО  
             
             
  дата   подпись руководителя  

Ширина штампа 60 мм

Высота штампа 40 мм

Приложение N 7
к Административному регламенту
Федеральной миграционной службы
по предоставлению государственной
услуги по оформлению, выдаче,
продлению срока действия,
восстановлению и по исполнению
государственной функции
по аннулированию виз иностранным
гражданам и лицам без гражданства

ОБРАЗЕЦ МАСТИЧНОГО ШТАМПА

           
  наименование подразделения  
             
  АННУЛИРОВАНО  
             
             
  дата   подпись руководителя  

Ширина штампа 60 мм

Высота штампа 40 мм

Приложение N 8
к Административному регламенту
Федеральной миграционной службы
по предоставлению государственной
услуги по оформлению, выдаче,
продлению срока действия,
восстановлению и по исполнению
государственной функции
по аннулированию виз иностранным
гражданам и лицам без гражданства

ОБРАЗЕЦ МАСТИЧНОГО ШТАМПА

           
  наименование подразделения  
             
  ПОГАШЕНО  
             
             
  дата   подпись руководителя  

Ширина штампа 60 мм

Высота штампа 40 мм

Приложение N 9
к Административному регламенту
Федеральной миграционной службы
по предоставлению государственной
услуги по оформлению, выдаче,
продлению срока действия,
восстановлению и по исполнению
государственной функции
по аннулированию виз иностранным
гражданам и лицам без гражданства

СПИСОК
ТЕРРИТОРИАЛЬНЫХ ОРГАНОВ ФМС РОССИИ, ИХ АДРЕСОВ, ТЕЛЕФОНОВ И САЙТОВ

N п/п Территориальный орган ФМС РФ Адрес Телефон справочной службы Адрес электронной почты, интернет-сайта
1 ФМС России 107078,г. Москва, ул. Верхняя Радищевская, д. 4, стр. 1 8(495) 698-00-78 www.fmsrf.ru
www.fms.gov.ru
2 УФМС России по г. Москве 115035, г. Москва, ул. Б. Ордынка, д. 16, стр. 4 8(495) 230-72-24, 230-72-64 www.fmsmoscow.ru
3 УФМС России по Московской области 140053, Московская обл., г. Люберцы, Новорязанское шоссе, д. 4 559-97-18 ufms@mso.mvd.ru
4 ОФМС России по Республике Адыгея 385000, г. Майкоп, ул. Краснооктябрьская, д. 12 8(8772) 52-10-17 нет
5 ОФМС России по Республике Алтай 649002, г. Горно-Алтайск, пр-т Коммунистический, д. 109 8(388-22) 6-20-12, 2-29-73 нет
6 УФМС России по Республике Башкортостан 450025, г. Уфа, ул. Пушкина, д. 63 8(347) 272-62-80 нет
7 УФМС России по Республике Бурятия 670009, г. Улан-Удэ, ул. Н. Нищенко, д. 19 8(3012) 55-95-27 mvdpvo@uld.mvd.ru
8 УФМС России по Республике Дагестан 367015, г. Махачкала, ул. Ирчи Казака, д. 2а 8(8722) 62-19-55 udm@mxc.mvd.ru
9 ОФМС России по Республике Ингушетия 386101, г. Назрань, пер. Ингушский, д. 2 8(8732) 22-15-18 udmmvdru@mail.ru
10 УФМС России по Кабардино-Балкарской Республике 360022, г. Нальчик, пер. Ленина, д. 67а 8(8662) 77-75-36 ufmskbr@mail.ru
11 ОФМС России по Республике Калмыкия 358000, г. Элиста, ул. Дармаева, д. 21 8(847-22) 5-44-18 нет
12 ОФМС России по Карачаево-Черкесской Республике 369000, г. Черкесск, ул. Пушкинская, д. 83 8(878-22) 9-27-85 нет
13 УФМС России по Республике Карелия 185005, г. Петрозаводск, пр. Александра Невского, д. 17 8(8142) 73-38-30 migrazia@onego.ru
14 УФМС России по Республике Коми 167981, г. Сыктывкар, ул. Советская, д. 63А 8(8212) 28-20-93, 28-24-31 нет
15 УФМС России по Республике Марий-Эл 424000, г. Йошкар-Ола, ул. Волкова, д. 103А 8(8362) 68-02-13 нет
16 УФМС России по Республике Мордовия 430003, г. Саранск, пр-т Ленина, д. 30 а 8(834-2) 47-85-12 www.fmsrm.ru
17 УФМС России по Республике Саха Якутия 677005, г. Якутск, ул. Лермонтова, д. 43 8(4112) 42-44-46 fmsvkt@mail.ru
18 УФМС России по Республике Северная Осетия - Алания 362040, г. Владикавказ, ул. Тхапсаева, д. 4 8(8672) 54-73-57 ufms-rso-a@yandex.ru
19 УФМС России по Республике Татарстан 420012, г. Казань, ул. Чехова, д. 8/2 8(843) 291-23-63 ufms.tatar.ru
20 ОФМС России по Республике Тыва 667000, г. Кызыл, ул. Ленина, д. 64 8(394-22) 1-32-90, 3-02-95 tyva-ool@yandex.ru
21 УФМС России по Удмуртской Республике 426076, г. Ижевск, ул. Пушкинская, д. 164 8(3412) 78-30-00, 78-19-53 нет
22 УФМС России по Республике Хакасия 655017, г. Абакан, ул. Советская, д. 35 8(390-22) 3-62-90 ufmsrh@mail.ru
23 УФМС России по Чеченской Республике 364060, г. Грозный, ул. Тухачевского, д. 11 А 8(8712) 33-21-29 нет
24 УФМС России по Чувашской Республике 428000, г. Чебоксары, ул. К. Маркса, д. 44 8(8352) 30-66-63 www.fmsch.cap.ru
25 УФМС России по Алтайскому Краю 656056, г. Барнаул, Комсомольский прт, д. 13 8(3852) 39-74-73 updmak@rambler.ru
26 УФМС России по Краснодарскому краю 350020, г. Краснодар, ул. Красная, д. 176 8(861) 255-69-30 ufmskrn@yandex.ru
27 УФМС России по Красноярскому краю 660017, г. Красноярск, ул. Дзержинского, д. 18 8(3912) 45-92-90 sekr@ufms.krs.mvd.ru
28 УФМС России по Пермскому краю 614990, г. Пермь, Комсомольский прт, д. 34-б 8(342) 237-78-21 нет
29 УФМС России по Приморскому краю 690002, г. Владивосток, ул. Мельниковская, д. 101 8(4232) 45-36-58, 45-19-18, факс 44-65-54 ufmspk@yandex.ru
30 УФМС России по Ставропольскому краю 355035, г. Ставрополь, пр. Кулакова, д. 4а 8(8652) 94-52-10, 95-65-79 нет
31 УФМС России по Хабаровскому краю 680000, г. Хабаровск, ул. Союзная, д. 64 8(4212) 52-09-03, 54-63-63 нет
32 УФМС России по Амурской области 675002, г. Благовещенск, ул. Чайковского, д. 2 8(4162) 52-51-76 нет
33 УФМС России по Архангельской области 163000, г. Архангельск, ул. Логинова, д. 31 8(8182) 20-80-55, факс 20-92-58 ufms@atnet.ru
34 УФМС России по Астраханской области 414000, г. Астрахань, ул. Калинина, д. 25 8(8512) 22-57-29 www.fmsao.astranet.ru
35 УФМС России по Белгородской области 308600, г. Белгород, ул. Князя Трубецкого, д. 32 8(472-2) 27-17-85 www.belfms.csn.ru
36 УФМС России по Брянской области 241050, г. Брянск, ул. Фокина, д. 10 8(4832) 74-04-18 нет
37 УФМС России по Владимирской области 600020, г. Владимир, ул. Б. Нижегородская, д. 80 Б 8(4922) 32-60-10 pvs@vlo.mvd.ru
38 УФМС России по Волгоградской области 400131, г. Волгоград, ул. Рокоссовского, д. 10 8(8442) 30-41-61 нет
39 УФМС России по Вологодской области 160009, г. Вологда, ул. Мальцева, д. 54 8(8172) 76-36-36, факс 76-36-30 ufms.vologda.ru
40 УФМС России по Воронежской области 394030, г. Воронеж, ул. 9 Января, д. 54 8(4732) 76-40-04, 77-68-22 fms.vrn@mail.ru
41 УФМС России по Ивановской области 153002, г. Иваново, ул. Октябрьская, д. 22 А 8(4932) 37-55-84 ivanovomgr@mail.ru
42 УФМС России по Иркутской области 664003, г. Иркутск, ул. Киевская, д. 1 8(395-2) 34-45-24 info@ufms.irkutsk.ru
43 УФМС России по Калининградской области 236000, г. Калининград, Советский пр-т, д. 13 8(4012) 56-38-36 klg@fms.westrussia.ru
44 УФМС России по Калужской области 248601, г. Калуга, ул. Кирова, д. 9а 8(4842) 74-96-33 www.fms.kaluga.ru
45 ОФМС России по Камчатской области 683024, г. Петропавловск-Камчатский, пр-т 50 лет Октября, д. 23/2 8(4152) 26-60-98, 27-14-63 нет
46 УФМС России по Кемеровской области 650099, г. Кемерово, ул. Кузбасская, д. 18 8(384-2) 36-58-45 fmsko@rambler.ru
47 УФМС России по Кировской области 610000, г. Киров, ул. Ленина, д. 71а 8(8332) 38-70-88 нет
48 УФМС России по Костромской области 156603, г. Кострома, ул. Петра Щербины, д. 4 8(494-2) 42-13-11 www.migrazia.jino-net.ru
49 УФМС России по Курганской области 640026, г. Курган, ул. Советская, д. 128 (352-2) 41-61-69 нет
50 УФМС России по Курской области 305016, г. Курск, ул. Чехова, д. 12а 8(4712) 55-86-70, 55-86-76 kurskpvo@kursknet.ru
51 УФМС России по Липецкой области 398024, г. Липецк, ул. Гагарина, д. 131 8(4742) 35-51-92 нет
52 УФМС России по Магаданской области 685000, г. Магадан, ул. Пролетарская, д. 39, корп. 2 8(4132) 69-64-80 нет
53 УФМС России по Мурманской области 183027, г. Мурманск, ул. Куйбышева, д. 12 8(8152) 25-78-88 udm@polarnet.ru
54 УФМС России по Нижегородской области 603001, г. Нижний Новгород, ул. Рождественская, д. 2 8(8312) 30-30-18 pvs@nno.mvd.ru
55 УФМС России по Новгородской области 173016, г. Великий Новгород, ул. Менделеева, д. 4а 8(816-2) 62-61-08 нет
56 УФМС России по Новосибирской области 630075, г. Новосибирск, ул. Дуси Ковальчук, д. 396 а 8(383) 226-63-14, 226-93-03 нет
57 УФМС России по Омской области 644009, г. Омск, ул. Лермонтова, д. 179 А 8(3812) 36-90-14 нет
58 УФМС России по Орловской области 302025, г. Орел, Московское шоссе, д. 120 8(486-2) 75-70-00, 75-72-90 нет
59 УФМС России по Оренбургской области 460000, г. Оренбург, пер. Матросский, д. 19 8(3532) 79-05-59 fms@orn.mvd.ru
60 УФМС России по Пензенской области 440061, г. Пенза, ул. Толстого, д. 5 8(8412) 47-45-52 нет
61 УФМС России по Псковской области 180007, г. Псков, ул. Петровская, д. 51 8(8122) 69-84-44, 62-98-90 inform@ufms.pskov.ru
62 УФМС России по Ростовской области 344082, г. Ростов-на-Дону, ул. Обороны, д. 8 8(863) 249-15-07 нет
63 УФМС России по Рязанской области 390000, г. Рязань, ул. Ленина, д. 49 8(4912) 29-90-98, 29-92-40 www.migration.ryazan.ru
64 УФМС России по Самарской области 443010, г. Самара, ул. Фрунзе, д. 112 8(846) 333-43-01 нет
65 УФМС России по Санкт-Петербургу и Ленинградской области 191028, г. Санкт-Петербург, ул. Кирочная, д. 4 8(812) 578-34-86 www.spb.ufms.ru
66 УФМС России по Саратовской области 410028, г. Саратов, ул. Радищева, д. 16 8(8452) 74-16-07 нет
67 УФМС России по Сахалинской области 693001, г. Южно-Сахалинск, пр-т Мира, д. 56 8(4242) 78-98-10 нет
68 УФМС России по Свердловской области 620028, г. Екатеринбург, ул. Крылова, д. 2 8(343) 216-85-96 www.ufms-ural.ru
69 УФМС России по Смоленской области 214004, г. Смоленск, ул. Багратиона, д. 13а 8(4812) 35-39-27 нет
70 УФМС России по Тамбовской области 392018, г. Тамбов, ул. Маяковского, д. 3 8(4752) 56-01-19, 56-01-18 нет
71 УФМС России по Тверской области 170100, г. Тверь, ул. Вагжанова, д. 13 8(4822) 31-00-44 нет
72 УФМС России по Томской области 634009, г. Томск, пр. Ленина, д. 122 8(3822) 51-55-48 нет
73 УФМС России по Тульской области 300045, г. Тула, ул. Ф. Энгельса, д. 137 8(4872) 32-37-24 нет
74 УФМС России по Тюменской области 625013, г. Тюмень, ул. 50-летия Октября, д. 63, корп. 1 8(3452) 79-32-90 ufmstyumen@mail.ru
75 УФМС России по Ульяновской области 432063, г. Ульяновск, ул. Гончарова, д. 24 8(8422) 41-04-21 нет
76 УФМС России по Челябинской области 454000, г. Челябинск, ул. Елькина, д. 36 8(351) 268-87-40, 265-26-76 www.fmschel.ru
77 УФМС России по Читинской области 672010, г. Чита, ул. Ингодинская, д. 72а 8(302-2) 26-86-02 ufmsl@cht.mvd.ru
78 УФМС России по Ярославской области 150000, г. Ярославль, ул. Собинова, д. 48 8(4852) 72-95-11, факс 32-84-39 нет
79 ОФМС России по Еврейской автономной области 679015, г. Биробиджан, ул. Невская, д. 6-а 8(426-22) 6-29-05 fms_eao@mail.ru
80 ОФМС России по Агинскому Бурятскому АО 687000, пгт Агинское, ул. Лазо, д. 19 (302-39) 3-44-80 нет
81 ОФМС России по Корякскому АО 688000, г. Палана, ул. Губарова, д. 1а (415-43) 31-8-45 нет
82 ОФМС России по Ненецкому автономному округу 166000, Архангельская обл., Ненецкий АО, г. Нарьян-Мар, ул. Выучейского, д. 15 8(818-53) 4-22-11, 4-57-10, 4-23-46 nenpvs@giz.mvd.ru
83 ОФМС России по Усть-Ордынскому Бурятскому АО 669001, Иркутская обл., п. Усть-Ордынский, ул. Первомайская, д. 7 (395-41) 3-29-62 нет
84 ОФМС России по Ханты-Мансийскому автономному округу - Югра 628012, Тюменская обл., г. Ханты-Мансийск, ул. Чехова, д. 12 а 8(34671) 9-88-48 нет
85 ОФМС России по Чукотскому автономному округу 698000, г. Анадырь, ул. Энергетиков, д. 7 8(427-22) 2-40-09 нет
86 ОФМС России по Ямало-Ненецкому автономному округу 629008, Тюменская обл., г. Салехард, ул. Зои Космодемьянской, д. 35 8(349-22) 3-51-11 ufms-yanao@yandex.ru

Приложение N 10
к Административному регламенту
Федеральной миграционной службы
по предоставлению государственной
услуги по оформлению, выдаче,
продлению срока действия,
восстановлению и по исполнению
государственной функции
по аннулированию виз иностранным
гражданам и лицам без гражданства

БЛОК-СХЕМЫ
ПОСЛЕДОВАТЕЛЬНОСТИ ДЕЙСТВИЙ ПРИ ВЫПОЛНЕНИИ АДМИНИСТРАТИВНЫХ ПРОЦЕДУР

Прием и регистрация документов

Оформление визы (ТР-1 и визы временно проживающего лица)

Продление визы

Восстановление визы

Выдача визы