Приказ ЦБ РФ от 30.03.96 N 02-77

"Об утверждении Положения "Об обязательных резервах кредитных организаций, депонируемых в Центральном банке Российской Федерации"
Редакция от 30.03.1996 — Документ утратил силу, см. «Указание ЦБ РФ от 27.04.2004 N 1424-У»
Показать изменения

ЦЕНТРАЛЬНЫЙ БАНК РОССИЙСКОЙ ФЕДЕРАЦИИ

ПРИКАЗ
от 30 марта 1996 г. N 02-77

ОБ УТВЕРЖДЕНИИ ПОЛОЖЕНИЯ "ОБ ОБЯЗАТЕЛЬНЫХ РЕЗЕРВАХ КРЕДИТНЫХ ОРГАНИЗАЦИЙ, ДЕПОНИРУЕМЫХ В ЦЕНТРАЛЬНОМ БАНКЕ РОССИЙСКОЙ ФЕДЕРАЦИИ"

(в ред. письма ЦБ РФ от 26.04.96 N 279)

В целях обеспечения денежно-кредитного регулирования путем поддержания на определенном уровне денежной массы в обращении и на основании решения Совета директоров Банка России (Протокол от 15.03.96 N 13) приказываю:

1. Утвердить Положение "Об обязательных резервах кредитных организаций, депонируемых в Центральном банке Российской Федерации" (прилагается).

2. Ввести в действие Положение "Об обязательных резервах кредитных организаций, депонируемых в Центральном банке Российской Федерации", начиная с регулирования обязательных резервов на 1 мая 1996 года.

3. Установить нормативы обязательных резервов кредитных организаций в зависимости от сроков и видов привлеченных денежных средств юридических и физических лиц:

- по счетам до востребования и срочным обязательствам до 30 дней включительно - 18 процентов;

- по срочным обязательствам от 31 дня до 90 дней включительно - 14 процентов;

- по срочным обязательствам от 91 дня и более - 10 процентов;

- по средствам на счетах в иностранной валюте - 1,25 процента.

4. Для обеспечения выполнения кредитными организациями установленных резервных требований управлениям инспектирования коммерческих банков Главных управлений (Национальных банков) Банка России осуществлять постоянный контроль за соответствием бухгалтерского учета в кредитных организациях нормативным актам Банка России, имея в виду недопущение отражения по балансовым счетам N 076, N 904, N 932 и другим балансовым счетам операций, не соответствующих правилам ведения бухгалтерского учета по указанным счетам.

5. Довести настоящее Положение до кредитных организаций.

6. Впредь до особых указаний не распространять действие Положения на Сберегательный банк Российской Федерации.

7. В связи с введением нового Положения отменить действие:

- Положения о порядке формирования фонда обязательных резервов коммерческих банков и кредитных учреждений в Центральном банке Российской Федерации, введенное в действие письмом Банка России от 15.02.94 N 13-1/190;

- Дополнения N 1 к Положению о порядке формирования фонда обязательных резервов коммерческих банков и кредитных учреждений в Центральном банке Российской Федерации - письмо Банка России от 31.12.94 N 135;

- Дополнения N 2 к Положению о порядке формирования фонда обязательных резервов коммерческих банков и кредитных учреждений в Центральном банке Российской Федерации - письмо Банка России от 29.03.95 N 135;

- телеграммы Росцентробанка от 29.03.95 N 2454/к;

- телеграммы Росцентробанка от 18.04.95 N 51-95;

- телеграммы Росцентробанка от 28.04.95 N 62-95;

- телеграммы Росцентробанка от 29.04.95 N 51к;

- телеграммы Росцентробанка от 01.06.95 N 4353/к;

- телеграммы Росцентробанка от 04.07.95 N 5438/к;

- телеграммы Росцентробанка от 01.08.95 N 6605/к;

- телеграммы Росцентробанка от 31.08.95 N 7663/к;

- телеграммы Росцентробанка от 29.09.95 N 8616/к;

- телеграммы Росцентробанка от 30.10.95 N 9635/к;

- телеграммы Росцентробанка от 01.12.95 N 10640;

- телеграммы Росцентробанка от 03.01.96 N 37/к;

- телеграммы Росцентробанка от 01.02.96 N 1101/к.

Председатель Центрального банка
Российской Федерации
С.К.ДУБИНИН

Приложение

УТВЕРЖДЕНО
Приказом Банка России
от 30 марта 1996 г. N 02-77

30 марта 1996 г. N 37

ПОЛОЖЕНИЕ
ОБ ОБЯЗАТЕЛЬНЫХ РЕЗЕРВАХ КРЕДИТНЫХ ОРГАНИЗАЦИЙ, ДЕПОНИРУЕМЫХ В ЦЕНТРАЛЬНОМ БАНКЕ РОССИЙСКОЙ ФЕДЕРАЦИИ

1. ОБЩИЕ ПОЛОЖЕНИЯ

В соответствии с Федеральным законом "О Центральном банке Российской Федерации (Банке России)" Банк России во взаимодействии с Правительством Российской Федерации разрабатывает и проводит денежно-кредитную политику, направленную на защиту и обеспечение устойчивости российского рубля, применяя методы и инструменты, установленные законом.

1.1. Обязательные резервы (резервные требования) - один из основных инструментов осуществления денежно-кредитной политики Банка России - представляют собой механизм регулирования общей ликвидности банковской системы, используемый для контроля денежных агрегатов посредством снижения денежного мультипликатора. Резервные требования устанавливаются в целях ограничения кредитных возможностей кредитных организаций и поддержания на определенном уровне денежной массы в обращении.

1.2. В соответствии со статьей 25 Федерального закона "О банках и банковской деятельности" кредитная организация обязана выполнять нормативы обязательных резервов, депонируемых в Банке России.

Обязанность выполнения резервных требований возникает с момента получения лицензии Банка России на право совершения соответствующих банковских операций и является необходимым условием их осуществления. Кредитная организация несет ответственность за соблюдение порядка депонирования обязательных резервов в Банке России. Обязательства кредитной организации перед третьими лицами не являются основанием освобождения от обязанностей по депонированию обязательных резервов в Банке России.

Порядок депонирования обязательных резервов осуществляется исключительно на основании настоящего Положения. При осуществлении депонирования правила расчетов и других банковских операций применяются в случаях, прямо указанных настоящим Положением.

1.3. В соответствии со статьей 38 Федерального закона "О Центральном банке Российской Федерации (Банке России)" размер обязательных резервов в процентном отношении к обязательствам кредитной организации, а также порядок их депонирования в Банке России устанавливаются Советом директоров Банка России. Нормативы обязательных резервов не могут превышать 20 процентов обязательств кредитной организации.

1.4. Нормативы обязательных резервов устанавливаются Советом директоров Банка России в зависимости от сроков и видов привлечения кредитными организациями денежных средств юридических и физических лиц.

1.5. Порядок депонирования части привлеченных денежных средств, установленный настоящим Положением, распространяется на все кредитные организации, действующие на территории Российской Федерации на основании лицензии (разрешения) Банка России с правом совершения соответствующих банковских операций.

1.6. Регулирование размера обязательных резервов, подлежащих депонированию кредитными организациями, производится учреждением Банка России по месту нахождения головной кредитной организации в целом по кредитной организации, включая филиалы, находящиеся на территории России.

Если кредитные организации, расположенные на территории Российской Федерации, имеют свои филиалы, открытые в установленном порядке за границей (в странах ближнего зарубежья либо на территориях государств дальнего зарубежья), то указанные филиалы самостоятельно депонируют часть привлеченных ими средств в национальном банке того государства, на территории которого открыт филиал, в порядке и по нормативам обязательных резервов, установленным национальным банком соответствующего государства.

В этом случае кредитная организация, расположенная на территории Российской Федерации, представляет в соответствующее учреждение Банка России, кроме сводного баланса в целом по кредитной организации, включая все ее филиалы, также баланс без включения в него филиалов, расположенных на территории зарубежных государств, самостоятельно депонирующих средства в обязательные резервы, с приложением Расчета обязательных резервов, заверенного центральным (национальным) банком соответствующего государства.

1.7. Регулирование размера обязательных резервов, подлежащих депонированию, производится всеми кредитными организациями ежемесячно (по состоянию на 1 число месяца, следующего за отчетным) путем сверки сумм фактически внесенных средств и подлежащих внесению, исходя из остатков на счетах привлеченных средств и действующих нормативов резервных требований.

Расчет размера средств, подлежащих резервированию на 1 число каждого месяца, и другие необходимые документы представляются соответствующему учреждению Банка России вместе с балансом в срок, установленный для представления баланса кредитной организации на 1 число месяца, следующего за отчетным.

1.8. Покрытие обязательных резервов различными видами приносящих доход активов не допускается.

1.9. На обязательные резервы, депонированные кредитными организациями в Банке России, проценты не начисляются.

2. ПОРЯДОК РАСЧЕТА ОБЯЗАТЕЛЬНЫХ РЕЗЕРВОВ, ДЕПОНИРУЕМЫХ В БАНКЕ РОССИИ

2.1. В состав обязательств кредитной организации включаются средства в валюте Российской Федерации и в иностранной валюте, учитываемые на расчетных, текущих и депозитных счетах, счетах бюджетов различных уровней и внебюджетных фондов - пассивные остатки по балансовым счетам N N 070, 071, 078, 079, 084, 088, 090, 100 (за минусом активных остатков по счету N 100), 120 (за минусом активных остатков по счету N 120), 130 - 134 <*>, 141, 142, 144, 145 (за минусом активных остатков по счету N 145), 157, 158, 17, кроме счета N 170 (за минусом активных остатков по сч. N 18, кроме счета N 180), 196, 199, 20, 22, 24, 26, 28, 30, 32, 34, 36, 38, 40, 42, 44, 46, 48, 50, 52, 54, 56, 58, 60 (кроме счета N 602), 605, 614, 631, 64, 671, 672 (за минусом активных остатков по счету 2N 672), 673, 690, 691, 692, 693, 694, 695, 696, 697, 698, 699, 70, 710, 711 (включая зачисленные во вклады проценты и компенсации), 713, 714, 715, 717, 718, 720, 722, 723, 724, 726, 730, 731, 732, 733, 734, 735, 736, 737, 738, 739, 74, 750, 751 (за минусом кредитов, полученных от иностранных банков), 807, 809 (за минусом активных остатков по счету N 808), 810 (за исключением средств, выделенных Министерством финансов Российской Федерации в 1992 году по решениям Правительства Российской Федерации для финансирования инвестиционных и конверсионных программ), 811, 812 (за минусом активных остатков по б/сч. N 411 и N 412 в сумме, не превышающей пассивных остатков по отдельным лицевым счетам, открытым для брокерских операций на ОРЦБ, б/сч. N 812), 817 (за минусом активных остатков по счету N 817), 818, 819, 900, 907 (за минусом активных остатков по счету N 907), 915.

Примечание. Кредитные организации ведут бухгалтерский учет по Плану счетов, изложенному в письме Госбанка СССР от 21.12.89 N 254 с учетом последующих изменений и дополнений.

<*> По Расчету размера обязательных резервов, подлежащих депонированию в Центральном банке Российской Федерации, на 1 января пассивные остатки по счетам N N 130 - 134 принимаются за минусом активных остатков по счетам N N 130 - 134 на 1 января.

2.2. При определении суммы средств по балансовым счетам N N 079, 731, 751, 810, 812, подлежащей включению в Расчет обязательных резервов, депонируемых в ЦБ РФ:

2.2.1. из пассивного остатка по балансовому счету N 079 следует исключать пассивные остатки отдельных лицевых счетов этого счета:

- гарантии, подтвержденные в иностранных банках (код обозначения 0792 - Приложение N 2/1 к настоящему Положению);

- депозиты, привлеченные под гарантии, в обеспечение которых требуется депонирование средств в банках - корреспондентах, включая страховые депозиты по кредитным картам и др. (код обозначения 0791 - Приложение N 2/3);

2.2.2. из пассивного остатка по балансовому счету N 731 следует исключать пассивные остатки отдельных лицевых счетов этого счета, на которых учитываются выпущенные кредитной организацией облигации со сроком погашения свыше 5 лет (код обозначения 7311 - Приложение N 2/3);

2.2.3. из пассивного остатка по балансовому счету N 751 следует исключать сумму кредитов, полученных от иностранных банков (код обозначения 7511 - Приложение N 2/3);

2.2.4. из пассивного остатка по балансовому счету N 810 следует исключать сумму средств, выделенных Минфином РФ в 1992 году по решениям Правительства РФ для финансирования инвестиционных и конверсионных программ (код обозначения 8101 - Приложение N 2/3);

2.2.5. из пассивного остатка по балансовому счету N 812 следует исключать сумму активных остатков по б/сч. N 411 и N 412 в размере, не превышающем суммы пассивных остатков по отдельным лицевым счетам, открытым для брокерских операций на ОРЦБ, балансового счета N 812 (код обозначения 8121 - Приложение N 2/2 к настоящему Положению). При этом следует иметь в виду, что балансовые счета N 411, N 412 могут быть открыты только на балансах кредитных организаций - участников Расчетных центров ОРЦБ, осуществляющих операции на ОРЦБ на основании заключенного договора с Банком России.

2.3. Сумма остатков привлеченных средств, используемых при расчете обязательных резервов, рассчитывается по формуле средней хронологической за отчетный период (месяц).

Средняя хронологическая ежедневных балансовых остатков привлеченных за отчетный месяц средств, учитываемых на счетах, участвующих в расчете обязательных резервов, рассчитывается по следующей формуле:

Ld - средние остатки привлеченных средств, используемых при расчете обязательных резервов, за отчетный период (месяц);

L1 - сумма остатков привлеченных средств, используемых при расчете обязательных резервов, на первое число отчетного периода (месяца);

Ln - сумма остатков привлеченных средств, используемых при расчете обязательных резервов, за последний календарный день отчетного периода (на первое число месяца, следующего за отчетным);

n - число календарных дней в расчетном периоде (с первого числа отчетного месяца по первое число месяца, следующего за отчетным, включительно), равное "31".

При расчете обязательных резервов количество дней в месяце условно принимается за 30. В месяцах, имеющих 31 день, 31 число в расчет не принимается, а в феврале остаток за последнее число повторяется столько раз, сколько дней недостает до 30.

2.4. Расчет размера обязательных резервов, подлежащих депонированию в Центральном банке Российской Федерации, составляется по форме Приложения N 1 к настоящему Положению с указанием фактически зарезервированной суммы на счетах обязательных резервов и приложением (в случае необходимости доперечисления средств на указанные счета) платежных поручений с отметкой "перечисление недовзноса в счет обязательных резервов" (выписанных в соответствии с банковскими правилами) на сумму недовзноса, а также Расшифровок по балансовым счетам N N 079, 731, 751, 810, 812.

Расчет должен содержать данные об остатках по каждому счету за каждый календарный день отчетного периода по форме Приложения N 2 к настоящему Положению. При этом сумма средств, подлежащих депонированию по счетам в валюте Российской Федерации, уменьшается на среднюю хронологическую величину наличных денежных средств в кассе кредитной организации (учитываемых на балансовых счетах N N 031, 033, 035 - в пределах установленного Банком России лимита - код обозначения 0315 (Приложение N 2/4 к настоящему Положению)).

2.5. Учреждение Банка России сверяет данные Расчета с размером фактически зарезервированных средств по соответствующей кредитной организации с учетом установленных нормативов обязательных резервов. При их соответствии требования считаются выполненными кредитной организацией. В случае их несоответствия учреждение Банка России в течение двух рабочих дней, не считая дня представления Расчета, производит соответствующий перерасчет с кредитной организацией.

2.5.1. При недовзносе средств кредитная организация производит доперечисление обязательных резервов с корреспондентского счета, открытого в учреждении Банка России, на основании платежного поручения с отметкой "перечисление недовзноса в счет обязательных резервов" (выписанного в соответствии с банковскими правилами). Включение сумм обязательных резервов в сводные платежные поручения запрещается.

2.5.2. В случае перевзноса средств учреждение Банка России возвращает кредитной организации излишне внесенную сумму обязательных резервов на основании соответствующего распоряжения.

2.5.3. Кредитной организации предоставляется право проведения зачета между причитающимися по результатам регулирования платежами по балансовым счетам N 815 и N 680 (N 816 и N 681) на основании ее письменного обращения в соответствующее учреждение Банка России, составленного в двух экземплярах по форме Приложения N 3.

При проведении зачета делаются следующие внутренние бухгалтерские проводки в РКЦ Банка России и кредитной организации:

- в РКЦ Банка России:

Д-т сч. 815

К-т сч. 680

или

Д-т сч. 680

К-т сч. 815

- в кредитной организации:

Д-т сч. 681

К-т сч. 816

или

Д-т сч. 816

Д-т сч. 816

К-т сч. 681

3. ПОРЯДОК БУХГАЛТЕРСКОГО УЧЕТА ОБЯЗАТЕЛЬНЫХ РЕЗЕРВОВ

3.1. Учет движения обязательных резервов кредитной организации, депонированных в Банке России, ведется в кредитной организации на балансовом счете N 816 "Обязательные резервы по счетам в валюте Российской Федерации, перечисленные в Банк России" - активный и балансовом счете N 681 "Обязательные резервы по счетам в иностранной валюте, перечисленные в Банк России" - активный.

В учреждениях Банка России учет поступающих и возвращаемых сумм средств обязательных резервов ведется на балансовом счете N 815 "Обязательные резервы по счетам в валюте Российской Федерации, депонированные в Банке России" - пассивный и балансовом счете N 680 "Обязательные резервы по счетам в иностранной валюте, депонированные в Банке России" - пассивный, по каждой кредитной организации в отдельности.

3.2. Формирование обязательных резервов производится путем перечисления денежных средств с корреспондентского счета кредитной организации, открытого в расчетно-кассовом центре Банка России, в валюте Российской Федерации. Указанные перечисления осуществляются до осуществления иных платежей в пределах остатка средств на корреспондентском счете отдельным платежным поручением с отметкой "формирование обязательных резервов" (выписанным в соответствии с банковскими правилами). Включение сумм обязательных резервов в сводные платежные поручения запрещается.

При это делаются следующие бухгалтерские проводки:

3.2.1. Если кредитная организация не имеет филиалов

1) при перечислении обязательных резервов Банку России

- в кредитной организации:

Д-т сч. 816, 681

К-т сч. 161

- в расчетно-кассовом центре Банка России:

Д-т сч. 161

К-т сч. 815, 680

2) при возврате кредитной организации излишне перечисленных обязательных резервов

- в кредитной организации:

Д-т сч. 161

К-т сч. 816, 681

- в расчетно-кассовом центре Банка России:

Д-т сч. 815, 680

К-т сч. 161

3.2.2. Если кредитная организация имеет филиалы, то при перечислении филиалом средств головной кредитной организации для депонирования обязательных резервов в Банке России делаются следующие бухгалтерские проводки:

1) филиалом кредитной организации (филиал также может открывать у себя на балансе счета N N 816, 681)

Д-т 816, 681

К-т 161

- в головной кредитной организации по получении платежа от филиала:

Д-т 161

К-т 904

2) при перечислении обязательных резервов Банку России

- в головной кредитной организации:

Д-т 904 - на сумму, перечисленную филиалом

Д-т сч. 816, 681 - на сумму обязательных резервов головной кредитной организации

К-т сч. 161 - на всю сумму обязательных резервов кредитной организации

- в расчетно-кассовом центре Банка России:

Д-т сч. 161

К-т сч. 815, 680

3) при возврате кредитной организации излишне перечисленных обязательных резервов

- в расчетно-кассовом центре Банка России:

Д-т сч. 815, 680

К-т сч. 161

- в головной кредитной организации:

Д-т сч. 161

К-т сч. 816, 681 - на сумму возврата обязательных резервов головной кредитной организации

и

Д-т 161

К-т 904 - на сумму возврата обязательных резервов филиалу кредитной организации

4) при возврате головной кредитной организацией филиалу излишне перечисленных обязательных резервов

- в головной кредитной организации:

Д-т 904

К-т 161

- в филиале кредитной организации:

Д-т 161

К-т 816, 681

3.4. Главные управления (Национальные банки) Банка России обеспечивают контроль за соответствием остатков средств по учету обязательных резервов балансовых счетов N 816 и N 815, а также на балансовых счетах N 681 и N 680. По кредитным организациям, имеющим филиалы, контроль осуществляется по сводному балансу.

В случае расхождений остатков Главные управления (Национальные банки) Банка России изучают причины их образования и принимают меры к приведению в соответствие остатков средств на указанных счетах.

4. ПОРЯДОК ВЫПОЛНЕНИЯ ОБЯЗАТЕЛЬНЫХ РЕЗЕРВНЫХ ТРЕБОВАНИЙ КРЕДИТНЫМИ ОРГАНИЗАЦИЯМИ, ОТВЕЧАЮЩИМИ КРИТЕРИЯМ, УСТАНОВЛЕННЫМ БАНКОМ РОССИИ

В целях предоставления возможностей кредитным организациям по внутримесячному регулированию их ликвидности устанавливается следующий порядок выполнения обязательных резервных требований кредитными организациями.

4.1. Кредитная организация в любой рабочий день может обратиться в учреждение Банка России с просьбой (заявлением) о предоставлении ей в течение отчетного года права на внутримесячное (на один и более дней в период с 5 по 25 число каждого месяца) снижение нормативов обязательных резервов в размере не более 5% от суммы обязательных резервов, депонируемых в Банке России на балансовых счетах N 815 и N 680, исходя из Расчета обязательных резервов за отчетный месяц.

4.2. Указанное право предоставляется кредитной организации, имеющей ежедневный сводный баланс по кредитной организации в целом и выполняющей в течение не менее 6-ти месяцев до момента обращения в Банк России с указанной просьбой следующие требования:

а) своевременно и в полном объеме депонирующая обязательные резервы в Банке России;

б) соблюдающая обязательные экономические нормативы;

в) не имеющая просроченной задолженности по кредитам, предоставленным Банком России, и процентам по ним, а также просроченной задолженности по обязательным платежам, установленным законодательством, и другим обязательствам (не имеющая картотеки к внебалансовому счету N 9920 и N 9919);

г) имеющая аудиторское заключение по публикуемой годовой отчетности;

д) своевременно представляющая бухгалтерскую и статистическую отчетность Банку России;

е) не допускающая других нарушений банковского законодательства, нормативных актов и предписаний Банка России.

4.3. Для получения разрешения на внутримесячное снижение нормативов обязательных резервов кредитная организация представляет в Главное управление (Национальный банк) Банка России следующие документы:

1) Заявление с просьбой о внутримесячном снижении нормативов обязательных резервов в двух экземплярах по форме Приложения N 4;

2) Расчет обязательных резервов, подлежащих депонированию в Центральном банке РФ за отчетный период (месяц), в соответствии с п. 2.4 настоящего Положения;

3) Расчет (Прогноз) суммы остатков обязательных резервов, учитываемых на балансовых счетах N 815 и N 680 (N 816 и N 681), по формуле средней хронологической за текущий месяц - Приложение N 5;

4) Платежное поручение на доперечисление средств в обязательные резервы с отметкой "перечисление недовзноса в счет обязательных резервов", выписанное в соответствии с банковскими правилами (если кредитная организация должна доперечислить обязательные резервы по результатам регулирования за отчетный месяц), со сроком исполнения в день представления Расчета обязательных резервов (при необходимости).

4.4. Учреждение Банка России рассматривает заявление кредитной организации в случае представления ею всех необходимых документов (в соответствии с п. 4.3 настоящего Положения) и выносит свое решение в течение следующего рабочего дня.

При положительном решении учреждение Банка России заполняет вторую часть Заявления (в двух экземплярах) и передает один полностью оформленный экземпляр Заявления кредитной организации, второй оставляет у себя.

В случае принятия отрицательного решения учреждение Банка России обязано письмом (по форме Приложения N 6) сообщить кредитной организации о своем решении на следующий рабочий день (после принятия указанного решения).

4.5. Если кредитная организация выполняет все требования, указанные в п. 4.2 настоящего Положения, и представила все необходимые документы, указанные в п. 4.3 настоящего Положения, она получает право на временное снижение нормативов обязательных резервов внутри месяца отчетного года (на один и более дней в период с 5 по 25 число каждого месяца) в размере не более 5 процентов от суммы обязательных резервов, депонируемых в Банке России за отчетный период.

При этом Главное управление (Национальный банк) Банка России переводит средства в установленном размере (не более 5 процентов от суммы обязательных резервов, депонируемых в Банке России за отчетный период) на корреспондентский счет кредитной организации на основании Заявки кредитной организации (в двух экземплярах) по форме Приложения N 7 к настоящему Положению, к которой прилагается Справка об остатках обязательных резервов по форме Приложения N 7/1, и соответствующего распоряжения и информирует об этом Сводный экономический департамент Банка России (на следующий рабочий день).

4.6. Не позднее 26 числа каждого месяца кредитная организация обязана составлять Расчет (Окончательный) суммы остатков обязательных резервов, учитываемых на балансовых счетах N 815 и N 680 (N 816 и N 681), по формуле средней хронологической за текущий месяц (Приложение N 8).

В период с 26-го по 30-е число текущего месяца (по состоянию на 1 число следующего месяца) кредитная организация обязана внести платежным поручением с отметкой "перечисление недовзноса в счет обязательных резервов" (выписанным в соответствии с банковскими правилами) недостающую сумму обязательных резервов с тем, чтобы сумма остатков обязательных резервов (учитываемых на балансовых счетах N 815 и N 680 (N 816 и N 681)) в текущем месяце, рассчитанная по формуле средней хронологической (указываемая в Расчете (Окончательном) по форме Приложения N 8) была эквивалентна сумме, указанной в Расчете (Прогнозе) по форме Приложения N 5.

Допускается доперечисление средств обязательных резервов частями в несколько этапов.

В случае недоперечисления обязательных резервов в установленные сроки кредитная организация на 6 месяцев лишается предоставленного ей Банком России права внутримесячного снижения нормативов обязательных резервов.

4.7. Снижение нормативов резервирования для кредитной организации в период с 5 по 25 число месяца оформляется следующими бухгалтерскими проводками:

- в расчетно-кассовом центре Банка России:

Д-т сч. 815, 680

К-т сч. 161

- в кредитной организации:

Д-т сч. 161

К-т сч. 816, 681

4.8. Перевод средств, связанный с внутримесячным снижением нормативов обязательных резервов, кредитной организацией в учреждение Банка России оформляется следующими бухгалтерскими проводками:

- в расчетно-кассовом центре Банка России:

Д-т сч. 161

К-т сч. 815, 680

- в кредитной организации:

Д-т сч. 816, 681

К-т сч. 161

4.9. Ежемесячно кредитная организация, получившая право на внутримесячное снижение нормативов обязательных резервов, представляет в учреждение Банка России следующие документы:

1) Расчет обязательных резервов, подлежащих депонированию в учреждении Банка России за отчетный месяц, в соответствии с п. 2.4 настоящего Положения - в срок, установленный для регулирования обязательных резервов;

2) Расчет (Прогноз) суммы остатков обязательных резервов, учитываемых на балансовых счетах N 815 и N 680 (N 816 и N 681), по формуле средней хронологической на текущий месяц (Приложение N 5) - в срок, установленный для регулирования обязательных резервов;

3) Справку об остатках обязательных резервов в текущем месяце по форме Приложения N 7/1 - в срок, установленный для регулирования обязательных резервов;

4) Платежное поручение на доперечисление средств в обязательные резервы с отметкой "перечисление недовзноса в счет обязательных резервов", выписанное в соответствии с банковскими правилами (если кредитная организация должна доперечислить обязательные резервы по результатам регулирования за отчетный месяц), со сроком исполнения в день представления Расчета обязательных резервов - в срок, установленный для регулирования обязательных резервов;

5) Заявку (заявки) на внутримесячное снижение нормативов обязательных резервов в двух экземплярах в период с 5 по 25 числа месяца по форме Приложения N 7 - в течение текущего месяца;

6) Расчет (Окончательный) суммы остатков обязательных резервов, учитываемых на балансовых счетах N 815 и N 680 (N 816 и N 681), по формуле средней хронологической за текущий месяц по форме Приложения N 8 - к 26 числу каждого месяца.

5. ПОРЯДОК ПЕРЕОФОРМЛЕНИЯ ОБЯЗАТЕЛЬНЫХ РЕЗЕРВОВ ПРИ РЕОРГАНИЗАЦИИ КРЕДИТНОЙ ОРГАНИЗАЦИИ

5.1. При реорганизации кредитной организации (слиянии, присоединении, разделении, выделении, преобразовании), проводимой в соответствии со ст. 57 Гражданского кодекса Российской Федерации, депонированные ранее в Банке России обязательные резервы на корреспондентский счет кредитной организации не возвращаются.

5.2. При слиянии / разделении, выделении и преобразовании кредитной организации учреждения Банка России производят переоформление ранее депонированных обязательных резервов на вновь образованную кредитную организацию / вновь образованные кредитные организации соответствующими внутренними бухгалтерскими проводками по счетам балансового счета N 815 и N 680, если вновь образованная(ые) кредитная(ые) организация(и) обслуживается(ются) в одном РКЦ Банка России, либо на основании мемориальных ордеров и авизо между Расчетно-кассовыми центрами Банка России.

Указанные операции оформляются следующими бухгалтерскими проводками:

1) При слиянии нескольких кредитных организаций в одну кредитную организацию происходит объединение остатков, числящихся на балансовых счетах N 815 и N 680.

а) если счета обязательных резервов велись в разных РКЦ Банка России, то:

- в расчетно-кассовом центре Банка России по месту ведения счетов ликвидируемых кредитных организаций:

Д-т 815, 680 - отдельные лицевые счета ликвидируемых кредитных организаций

К-т 830

- в расчетно-кассовом центре Банка России по месту открытия счета кредитной организации, созданной путем слияния:

Д-т 840

К-т 815, 680 - отдельный лицевой счет кредитной организации, созданный путем слияния

б) если счета обязательных резервов велись в одном расчетно-кассовом центре Банка России, то:

Д-т 815, 680 - отдельные лицевые счета ликвидируемых кредитных учреждений

К-т 815, 680 - отдельный лицевой счет кредитной организации, созданной путем слияния

2) При разделении, выделении и преобразовании кредитной организации производится разделение остатков, числящихся на балансовых счетах N N 815, 680.

а) если счета обязательных резервов будут вестись в разных расчетно-кассовых центрах Банка России, то:

- в расчетно-кассовом центре Банка России, где обслуживается основная кредитная организация:

Д-т 815, 680 - в части выделившегося подразделения

К-т 830

- в расчетно-кассовом центре Банка России по месту открытия счета вновь созданной кредитной организации:

Д-т 840

К-т 815, 680 - отдельный лицевой счет созданной кредитной организации

б) если счета обязательных резервов будут вестись в одном расчетно-кассовом центре Банка России, то:

Д-т 815, 680 - в части выделившегося подразделения

К-т 815, 680 - отдельный лицевой счет созданной кредитной организации

5.3. При присоединении одной кредитной организации к другой ранее депонированные обязательные резервы переоформляются на ту кредитную организацию, к которой присоединилась кредитная организация в порядке, изложенном в подпункте 1 п. 5.2 настоящего Положения.

6. КОНТРОЛЬ БАНКА РОССИИ ЗА ВЫПОЛНЕНИЕМ КРЕДИТНЫМИ ОРГАНИЗАЦИЯМИ ОБЯЗАТЕЛЬНЫХ РЕЗЕРВНЫХ ТРЕБОВАНИЙ

6.1. Учреждение Банка России (его уполномоченные подразделения) не реже одного раза в квартал производит сплошную или выборочную проверку правильности составления кредитной организацией Расчета размера обязательных резервов, подлежащих депонированию в ЦБ РФ, и достоверности представленных в нем сведений с использованием ежедневных балансов кредитной организации и других документов и материалов, имеющихся у кредитной организации.

Указанную проверку проводят соответствующие подразделения Главного управления (Национального банка) Банка России, на которые возложено исполнение этих обязанностей на основании соответствующего приказа (распоряжения) по Главному управлению (Национальному банку) Банка России.

Руководители Главных управлений (Национальных банков) Банка России их заместители вправе поручать проведение проверок кредитных организаций по вопросу правильности составления расчета обязательных резервов, подлежащих депонированию в Банке России, помимо лиц, уполномоченных проводить проверки кредитных организаций в соответствии с Инструкцией ЦБ РФ от 19 февраля 1996 г. N 34, также сотрудникам других структурных подразделений учреждения Банка России, которые осуществляют контроль за формированием обязательных резервов.

6.2. В соответствии со ст. 854 Гражданского кодекса Российской Федерации, ст. 38 Федерального закона "О Центральном банке Российской Федерации (Банке России)" в случае невыполнения кредитной организацией требований настоящего Положения учреждение Банка России взыскивает сумму недовзноса в обязательные резервы, а также штрафы за нарушение порядка резервирования в установленном им размере, но не более двойной ставки рефинансирования, на основании мемориального ордера с отметкой "взыскание недовзноса в обязательные резервы", "взыскание штрафа за нарушение порядка резервирования" соответственно.

6.2.1. В случае недоперечисления обязательных резервов по счетам привлеченных средств в рублях и иностранной валюте в установленный пунктом 2.5 настоящего Положения срок учреждение Банка России на следующий рабочий день до проведения иных операций по корреспондентскому счету взыскивает с корреспондентского счета кредитной организации сумму недовнесенных средств (в пределах имеющихся средств на корреспондентском счете). Взыскание недовзноса обязательных резервов производится до полного его возмещения.

6.2.2. С суммы недовнесенных средств в обязательные резервы учреждение Банка России взыскивает с кредитной организации штраф за каждый день недовзноса в порядке и размере, установленном пунктом 6.2.4 настоящего Положения. Взыскание с кредитной организации штрафа производится с ее корреспондентского счета (в пределах средств на корреспондентском счете) в порядке календарной очередности в пятой группе платежей.

6.2.3. Ежедневный учет сумм недовнесенных в счет обязательных резервов и начисленных, но неуплаченных штрафов, осуществляется внесистемно (без отражения в аналитическом и синтетическом учете). Начисление штрафа производится за каждый день недовзноса обязательных резервов до дня исполнения кредитной организацией требований по настоящему Положению. Расчет суммы штрафа приводится в Приложении N 9.

6.2.4. Размер штрафа устанавливается Главным управлением (Национальным банком) Банка России исходя из количества допущенных кредитной организацией нарушений сроков и полноты депонирования обязательных резервов в течение календарного года и длительности задолженности по обязательным резервам в днях:

а) при нарушении сроков и полноты депонирования обязательных резервов один раз сроком не свыше двух календарных дней - в размере 1,3 ставки рефинансирования Банка России, деленной на 360, за каждый день. За каждый день недовзноса, свыше двух календарных дней - 1,3 ставки рефинансирования Банка России, деленной на 360, за каждый из первых двух дней, 1,5 ставки рефинансирования Банка России, деленной на 360 - за каждый из всех последующих дней недовзноса;

б) при повторном нарушении сроков и полноты депонирования обязательных резервов штраф взыскивается в размере 1,5 ставки рефинансирования Банка России, деленной на 360, за каждый из первых двух дней недовзноса, двойной ставки рефинансирования, деленной на 360 - за каждый из всех последующих дней;

в) при третьем и последующих нарушениях штраф от суммы недовнесенных средств взыскивается в размере двойной ставки рефинансирования Банка России, деленной на 360, за каждый день недовзноса.

Если в течение периода, в котором кредитная организация имела недовзнос обязательных резервов, ставка рефинансирования Банка России изменялась, то с момента ее введения начисление штрафа производится исходя из новой ставки.

6.2.5. Кроме того, в случае невыполнения требований о своевременном и полном перечислении обязательных резервов Банк России имеет право:

а) не предоставлять таким банкам ломбардные и другие кредиты;

б) не принимать депозиты у таких кредитных организаций;

в) применять иные меры воздействия, предусмотренные статьями 74 и 75 Федерального закона "О Центральном банке Российской Федерации (Банке России)", вплоть до отзыва лицензии на осуществление банковских операций.

6.2.6. Сумма уплаченного штрафа отражается кредитной организацией на соответствующем лицевом счете балансового счета N 979 "Штрафы, пени, неустойки уплаченные".

Учреждения Центрального банка Российской Федерации суммы взысканного штрафа зачисляют на соответствующий лицевой счет балансового счета N 969 "Штрафы, пени, неустойки полученные".

Взысканная сумма недовнесенных обязательных резервов отражается соответственно на балансовых счетах N 816 и N 681 кредитной организации и на балансовых счетах N 815 и N 680 Банка России.

6.3. Главные управления (Национальные банки) Банка России представляют в Банк России отчет об обязательных резервах, депонированных кредитными организациями в Банке России, составляемый на основании получаемой от кредитных организаций информации по форме и в сроки, установленные Банком России.

7. ПОРЯДОК ВЫПОЛНЕНИЯ РЕЗЕРВНЫХ ТРЕБОВАНИЙ КРЕДИТНЫМИ ОРГАНИЗАЦИЯМИ, КОТОРЫМ НАПРАВЛЕНО ПРЕДПИСАНИЕ ОБ ОГРАНИЧЕНИИ КРУГА ВЫПОЛНЯЕМЫХ ОПЕРАЦИЙ ЛИБО ПОДГОТОВЛЕНЫ ДОКУМЕНТЫ НА ОТЗЫВ ЛИЦЕНЗИИ НА СОВЕРШЕНИЕ БАНКОВСКИХ ОПЕРАЦИЙ

7.1. После направления в Банк России Главным управлением (Национальным банком) Банка России предписания кредитной организации об ограничении круга выполняемых операций либо документов на отзыв лицензии на совершение банковских операций регулирование обязательных резервов не прекращается. Доперечисление или возврат средств производится в установленном настоящим Положением порядке.

7.2. В случае резкого снижения величины привлеченных средств за счет массового изъятия клиентами кредитной организации вкладов и депозитов (в размере более 15 процентов от валюты баланса, составленного на отчетную дату), кредитная организация имеет право обратиться в Банк России с просьбой о внеочередном регулировании обязательных резервов по состоянию на 5, 10, 15, 20, 25 и 30 числа месяца. При этом кредитная организация представляет Расчет регулирования обязательных резервов, подлежащих депонированию в ЦБ РФ, по форме Приложения N 1 к настоящему Положению за последние 30 календарных дней (например, при представлении указанного Расчета по состоянию на 10 число отчетного месяца - расчет средней хронологической производится по остаткам привлеченных средств в период с 10 числа предыдущего месяца по 10 число текущего месяца включительно; при представлении указанного Расчета по состоянию на 20 число текущего месяца - расчет средней хронологической производится по остаткам привлеченных средств в период с 20 числа предыдущего месяца по 20 число текущего месяца включительно).

7.3. При ликвидации кредитной организации после создания в установленном законодательством порядке ликвидационной комиссии и открытии ей (на основании письменного заявления) лицевого счета на балансовом счете N 161, Главное управление (Национальный банк) Банка России перечисляет на этот счет средства, депонированные в Банке России на балансовых счетах N 815, N 680 (после утверждения учредителями (участниками) кредитной организации промежуточного ликвидационного баланса и согласования его с Главным управлением (Национальным банком) Банка России). При этом проценты на остатки средств, учитываемые на счете ликвидационной комиссии, Банком России не начисляются.

Указанные средства в соответствии со ст. 38 Федерального закона "О Центральном банке Российской Федерации (Банке России)" используются для погашения обязательств кредитной организации перед вкладчиками и кредиторами. В других случаях, кроме перечисленных в пунктах 2.5.2, 7.3 и разделе 4 настоящего Положения, возврат депонируемых обязательных резервов не производится.

7.4. Наложение в установленном законодательством порядке ареста на корреспондентский счет кредитной организации в РКЦ Банка России не должно приостанавливать проведение учреждением Банка России регулирования обязательных резервов. В этом случае доперечисление средств в обязательные резервы производится кредитной организацией с корреспондентского счета, открытого в другой кредитной организации, на основании платежного поручения с отметкой "перечисление недовзноса в счет обязательных резервов" (выписанного в соответствии с банковскими правилами).

При этом делаются следующие бухгалтерские проводки:

- в кредитной организации, на корреспондентский счет в РКЦ Банка России которой наложен арест:

Д-т сч. 816, 681

К-т сч. 167

- в кредитной организации, осуществляющей платеж по поручению кредитной организации, у которой наложен арест на корреспондентский счет, открытый в РКЦ Банка России:

Д-т 168

К-т 161

- в расчетно-кассовом центре Банка России по месту открытия корреспондентского счета кредитной организации, осуществляющей платеж по поручению кредитной организации, у которой наложен арест на корреспондентский счет:

Д-т 161

К-т 830

- в расчетно-кассовом центре Банка России по месту ареста корреспондентского счета кредитной организации:

Д-т сч. 840

К-т сч. 815, 680

8. Главным управлениям (Национальным банкам) Банка России довести настоящее Положение до всех кредитных организаций; внести в установленном порядке изменения в договоры о расчетном и кассовом обслуживании.

Председатель Центрального банка
Российской Федерации
С.К.ДУБИНИН

Приложение N 1
к Положению
от 30 марта 1996 г. N 37

Представляется на 1 число месяца

одновременно с балансом

в установленные сроки

РАСЧЕТ РЕГУЛИРОВАНИЯ РАЗМЕРА
ОБЯЗАТЕЛЬНЫХ РЕЗЕРВОВ, ПОДЛЕЖАЩИХ ДЕПОНИРОВАНИЮ В ЦЕНТРАЛЬНОМ БАНКЕ РФ
___________________________________________
(наименование кредитной организации)
НА 1 ЧИСЛО ____________________________________ 199_ Г.
(месяц, следующий за отчетным)

(сумма в тыс. рублей)
1. Привлеченные средства на расчетных, текущих, депозитных и других счетах, рассчитанные по средней хронологической (согласно разд. 2 Положения) - Всего:  
в том числе:  
1.1. привлеченные средства по счетам до востребования и срочным обязательствам кредитной организации до 30 дней включительно  
1.2. привлеченные средства по срочным обязательствам кредитной организации от 31 дня до 90 дней включительно  
1.3. привлеченные средства по срочным обязательствам кредитной организации от 91 дня и более  
1.4. привлеченные средства по текущим счетам в иностранной валюте  
2. Средства, подлежащие депонированию в Банке России, исходя из установленных нормативов обязательных резервов - Всего (стр. 2.5 + стр. 2.6):  
в том числе:  
2.1. по счетам до востребования и срочным обязательствам кредитной организации до 30 дней включительно (стр. 1.1 * установленный норматив в %)
2.2. по срочным обязательствам кредитной организации от 31 дня до 90 дней включительно (стр. 1.2 * установленный норматив в %)  
2.3. по срочным обязательствам кредитной организации от 91 дня и более (стр. 1.3 * установленный норматив в %)  
2.4. Вычитаются: остатки кассы (в пределах установленного Банком России лимита), учитываемые на б/сч. N 031, N 033, N 035, рассчитанные по средней хронологической за расчетный период  
2.5. Итого (стр. 2.1 + 2.2 + 2.3 минус 2.4)  
2.6. по текущим счетам в иностранной валюте (стр. 1.4 * установленный норматив в %)  
3. Фактически внесено обязательных резервов на дату расчета - всего:  
3.1. по обязательствам в рублях  
3.2. по обязательствам в иностранной валюте  
4. Подлежат дополнительному перечислению средства обязательных резервов (стр. 2 минус стр. 3) - Всего:  
в том числе:  
4.1. по обязательствам в рублях ((стр. 2.1 + 2.2 + 2.3) минус стр. 3.1)
4.2. по обязательствам в иностранной валюте (стр. 2.4 минус стр. 3.2)  
5. Подлежат возврату излишне перечисленные средства обязательных резервов (стр. 3 минус стр. 2) - всего: в том числе:  
5.1. по обязательствам в рублях (стр. 3.1 минус (стр. 2.1 + 2.2 + 2.3))  
5.2. по обязательствам в иностранной валюте (стр. 3.2 минус стр. 2.4)  
Руководитель кредитной организации   М.П. Главный бухгалтер кредитной организации
       
(подпись, Ф.И.О.)     (подпись, Ф.И.О.)
"__" ___________ 199_ г.      
"Расчет проверен"      
Уполномоченное лицо учреждения Банка России     (подпись, Ф.И.О.)
(должность)     "__" ___________ 199_ г.

Приложение N 2
к Положению
от 30 марта 1996 г. N 37

Представляется на 1 число

месяца одновременно с балансом,

в сроки, установленные для баланса.

ДАННЫЕ О ЕЖЕДНЕВНЫХ ОСТАТКАХ
ПРИВЛЕЧЕННЫХ СРЕДСТВ, УЧАСТВУЮЩИХ В РАСЧЕТЕ ОБЯЗАТЕЛЬНЫХ РЕЗЕРВОВ
НА "__" _____________ 199_ Г.

(тыс. руб.)
N балансового счета Остаток по счету на каждый календарный день месяца
01... Дата Дата Дата ... ... Дата 01...
1. Счета в ин. валюте                
070                
071                
078                
079                
084                
088                
1.1. Итого                
Расшифровки по счетам (вычитаются):                
0791                
0792                
1.2. Итого                
                 
1.3. Всего (стр. 1.1 минус стр. 1.2):                
1.4. Средняя хронологическая ежедневных балансовых остатков  
   
2. Рублевые счета до востребования и срочные обязательства банка до 30 дней включительно                
090                
100(100 П - 100 А)                
120 (120 П - 120 А)                
130 <*>                
131 <*>                
132 <*>                
133 <*>                
134 <*>                
141                
142                
144                
145 (145 П - 145 А)                
157                
158                
17 (172 + 173 - 182)                
196                
199                
200                
204                
205                
206                
208                
220                
221                
222                
240                
242                
243                
244                
245                
246                
248                
260                
261                
262                
263                
264                
267                
268                
269                
280                
281                
282                
284                
285                
287                
288                
289                
300                
301                
320                
321                
323                
324                
340                
341                
342                
345                
360                
361                
362                
363                
364                
365                
366                
367                
381                
382                
383                
384                
385                
386                
387                
388                
389                
400                
401                
402                
403                
404                
405                
406                
407                
408                
409                
420                
421                
422                
423                
424                
425                
426                
427                
428                
429                
440                
441                
446                
460                
461                
465                
466                
467                
468                
480                
483                
500                
501                
508                
509                
520                
521                
526                
540                
541                
542                
560                
561                
562                
563                
564                
565                
566                
567                
568                
569                
580                
581                
582                
583                
584                
585                
586                
587                
600                
601                
602                
603                
605                
606                
607                
608                
609                
614                
631                
640                
641                
642                
643                
644                
671                
672 (672 П - 672 А)                
673                
690                
691                
692                
693                
694                
695                
696                
697                
698                
699                
700                
701                
702                
703                
704                
705                
706                
707                
708                
709                
710                
711                
713                
714                
715                
717                
718                
720                
722                
723                
724                
725                
741                
742                
743                
744                
745                
746                
747                
748                
749                
750                
751                
807                
809 (809 П - 808 А)                
810                
811                
812                
817 (817 П - 817 А)                
818                
819                
900                
907 (907 П - 907 А)                
915                
2.1. Итого                
Расшифровки по счетам (вычитаются): 7511                
8101                
8121                
2.2. Итого                
2.3. Всего (стр. 2.1 минус стр. 2.2)                
2.4. Средняя хронологическая ежедневных балансовых остатков  
   
3. Срочные обязательства от 31 дня до 90 включительно                
730                
732                
734                
735                
738                
3.1. Всего                
3.2. Средняя хронологическая ежедневных балансовых остатков  
   
4. Срочные обязательства от 91 дня и более                
731                
733                
735                
737                
739                
4.1. Итого                
Расшифровки по счетам (вычитаются): 7311                
4.2. Итого                
4.3. Всего (стр. 4.1 минус стр. 4.2)                
4.4. Средняя хронологическая ежедневных балансовых остатков  

<*> По Расчету обязательных резервов, подлежащих депонированию на 1 января, пассивные остатки по счетам N N 130 - 134 принимаются за минусом активных остатков по счетам N N 130 - 134 на 1 января.

Приложение N 2/1
к Положению
от 30 марта 1996 г. N 37

ЕЖЕДНЕВНАЯ РАСШИФРОВКА К БАЛАНСОВОМУ СЧЕТУ N 079 (КОД ОБОЗНАЧЕНИЯ 0792), ПРИНИМАЕМАЯ В РАСЧЕТ ОБЯЗАТЕЛЬНЫХ РЕЗЕРВОВ, ДЕПОНИРУЕМЫХ КРЕДИТНОЙ ОРГАНИЗАЦИЕЙ
_______________________________________
(наименование кредитной организации)
В БАНКЕ РОССИИ
НА "__" _______________ 199_ Г.
(отчетный месяц)

ГАРАНТИИ, ПОДТВЕРЖДЕННЫЕ В ИНОСТРАННЫХ БАНКАХ (ОТДЕЛЬНЫЕ ЛИЦЕВЫЕ СЧЕТА БАЛАНСОВОГО СЧЕТА N 079)

(в тыс. рублей)
NN пп Наименование принципала <*> Сальдо активное Сальдо пассивное Сальдо зачета
активное пассивное
1 2 3 4 5 6
  АААА        
  ББББ        
  ....        
  Всего        
  Исключается из расчета резервов по б/сч. N 079 (среднедневной остаток) код обозначения - 0792 x x x  

<*> Принципал - лицо, в пользу которого банк заключает договор гарантии с банком - нерезидентом или международной платежной системой.

Руководитель кредитной организации  
(подпись, Ф.И.О.)
   
Главный бухгалтер кредитной организации  
(подпись, Ф.И.О.)
М.П.  

Приложение N 2/2
к Положению
от 30 марта 1996 г. N 37

ЕЖЕДНЕВНАЯ РАСШИФРОВКА К БАЛАНСОВОМУ СЧЕТУ N 812 (КОД ОБОЗНАЧЕНИЯ 8121) ДЛЯ РАСЧЕТА ОБЯЗАТЕЛЬНЫХ РЕЗЕРВОВ, ДЕПОНИРУЕМЫХ КРЕДИТНОЙ ОРГАНИЗАЦИЕЙ
___________________________________________________
(наименование кредитной организации)
В БАНКЕ РОССИИ
НА "__" __________________ 199_ ГОДА
(отчетный месяц)

(в тыс. руб.)
Пассивный остаток по лицевым счетам балансового счета N 812, открытым для брокерских операций на ОРЦБ Активный остаток по балансовому счету N 411 Активный остаток по балансовому счету N 412 Остатки, исключаемые из расчета обязательных резервов по б/сч. N 812 (код обозначения 8121) (гр. 2 + гр. 3) в пределах гр. 1
1 2 3 4
       
Руководитель кредитной организации  
(подпись, Ф.И.О.)
   
Главный бухгалтер кредитной организации  
(подпись, Ф.И.О.)
М.П.  

Приложение N 2/3
к Положению
от 30 марта 1996 г. N 37

ЕЖЕДНЕВНАЯ РАСШИФРОВКА ОТДЕЛЬНЫХ БАЛАНСОВЫХ СЧЕТОВ ДЛЯ РАСЧЕТА ОБЯЗАТЕЛЬНЫХ РЕЗЕРВОВ, ДЕПОНИРУЕМЫХ КРЕДИТНОЙ ОРГАНИЗАЦИЕЙ
______________________________________
(наименование кредитной организации)
В БАНКЕ РОССИИ
НА "__" __________________ 199_ ГОДА
(отчетный месяц)

Наименование Код обозначения Сумма (в тыс. руб.)
1 2 3
1. Пассивный остаток по балансовому счету N 079 уменьшается на: - сумму депозитов, привлеченных под гарантии, в обеспечение которых требуется депонирование средств в банках - корреспондентах, включая страховые депозиты по кредитным картам и др. 0791  
2. Пассивный остаток по балансовому счету N 731 уменьшается на: - пассивные остатки отдельных лицевых счетов этого счета, на которых учитываются выпущенные кредитной организацией облигации со сроком погашения свыше 5 лет 7311  
3. Пассивный остаток по балансовому счету N 751 уменьшается на: - сумму кредитов, полученных от иностранных банков 7511  
4. Пассивный остаток по балансовому счету N 810 уменьшается на: - сумму средств, выделенных Минфином РФ в 1992 году по решениям Правительства РФ для финансирования инвестиционных и конверсионных программ 8101  
Руководитель кредитной организации  
(подпись, Ф.И.О.)
   
Главный бухгалтер кредитной организации  
(подпись, Ф.И.О.)
М.П.  

Приложение N 2/4
к Положению
от 30 марта 1996 г. N 37

РАСЧЕТ СРЕДНЕЙ ХРОНОЛОГИЧЕСКОЙ ВЕЛИЧИНЫ НАЛИЧНЫХ ДЕНЕЖНЫХ СРЕДСТВ В КАССЕ КРЕДИТНОЙ ОРГАНИЗАЦИИ (УЧИТЫВАЕМЫХ НА БАЛАНСОВЫХ СЧЕТАХ N N 031, 033, 035 - В ПРЕДЕЛАХ УСТАНОВЛЕННОГО БАНКОМ РОССИИ ЛИМИТА)
________________________________________________
(наименование кредитной организации)
НА "__" ____________________ 199_ Г.
(отчетный месяц)

(в тыс. рублей)
01... Дата ... ... Дата 01...
1. Лимит кассы, установленный Банком России  
2. Фактические остатки денежных средств в кассе, учитываемых на б/сч. N N 031, 033, 035
3. Фактические остатки денежных средств в кассе, учитываемых на б/сч. N N 031, 033, 035 в пределах установленного лимита (стр. 2 в пределах стр. 1)
4. Средние хронологические остатки денежных средств в кассе, учитываемых на б/сч. N N 031, 033, 035, в пределах установленного лимита за отчетный месяц (код обозначения 0315) x x x x x  

Руководитель кредитной организации  
(подпись, Ф.И.О.)
   
Главный бухгалтер кредитной организации  
(подпись, Ф.И.О.)
М.П.  

Приложение N 3
к Положению
от 30 марта 1996 г. N 37

В учреждение Банка России
(заполняется в двух экземплярах,
после надлежащего оформления
1 экз. остается у кредитной
организации, 2 экз. - в
учреждении Банка России)
"__" ______________ 199_ г.

 
    В связи  с  проведением  регулирования  размера   обязательных
резервов, подлежащих депонированию в ЦБ РФ на "__" ______ 199_ г.,
и в соответствии с пп. 2.5.3 Положения  об  обязательных  резервах
кредитных организаций, депонируемых в Центральном банке Российской
Федерации, утвержденного Приказом Банка России от 30 марта 1996 г.
N 02-77
__________________________________________________________________
            (наименование кредитной организации)
просит произвести зачисление излишне перечисленной суммы _________
_______________________________________ (сумма цифрами и прописью)
с б/сч. N 815 (N 680) на б/сч. N 680 (N 815).
 
 Руководитель кредитной
       организации                ______________ (подпись, Ф.И.О.)
 
 М.П.
 
__________________________________________________________________
   (заполняется Главным управлением (Национальным банком)
                       Банка России)
 
Принято "__" _______________ 199_ г.
 
Уполномоченное лицо Банка России
(должность)                     ________________ (подпись, Ф.И.О.)
 
Произвести зачисление излишне перечисленной кредитной организацией
__________________________________________________________________
            (наименование кредитной организации)
суммы обязательных резервов ______________________________________
                                   (сумма цифрами и прописью)
с отдельного  лицевого счета  N  _______  б/сч.  N  815 (N 680) на
отдельный лицевой счет N ________ б/сч. N 680 (N 815).
 
 Руководитель учреждения
 Банка России                ________________ (подпись, Ф.И.О.)
 
 "__" ______________ 199_ г.
 

 

Приложение N 4
к Положению
от 30 марта 1996 г. N 37

В Главное управление (Национальный банк)
Банка России по ________________________
(заполняется в двух экземплярах, после
надлежащего оформления 1 экз. остается
у кредитной организации, 2 экз. - в
учреждении Банка России)

                                ЗАЯВЛЕНИЕ
    НА ВНУТРИМЕСЯЧНОЕ СНИЖЕНИЕ НОРМАТИВОВ ОБЯЗАТЕЛЬНЫХ РЕЗЕРВОВ
              N _______ ОТ "__" ____________ 199_ Г.
 
__________________________________________________________________
            (наименование кредитной организации)
корреспондентский счет N __________________________ в РКЦ ГУ ЦБ РФ
по _______________________________________________________________
почтовый адрес: __________________________________________________
    В соответствии  с  разделом  4   Положения   об   обязательных
резервах,  депонируемых  кредитными  организациями  в  Центральном
банке Российской Федерации, утвержденного Приказом Банка России от
30   марта   1996   г.  N  02-77,  просим  предоставить  право  на
внутримесячное снижение нормативов обязательных резервов в 199_ г.
в  размере,  не  превышающем  5  процентов от суммы депонированных
обязательных резервов за  отчетный  месяц.  Кредитная  организация
выполняет требования, указанные в п. 4.2 Положения.
    Кредитная организация обязуется ежемесячно (к 26 числу каждого
месяца)  представлять  в  Главное  управление  (Национальный банк)
Банка  России  по  _________________  все  необходимые  документы,
указанные   в  п.  4.9  Положения,  и  производить  доперечисление
обязательных  резервов  в  период с 26  числа  каждого  месяца  до
1 числа следующего месяца.
 
 Руководитель кредитной
 организации                  __________________ (подпись, Ф.И.О.)
 
 М.П.
 
__________________________________________________________________
   (заполняется Главным управлением (Национальным банком)
                       Банка России)
 
Принято "__" ______________ 199_ г.
 
Уполномоченное лицо Банка России
(должность)                       ______________ (подпись, Ф.И.О.)
 
Разрешается кредитной организации ________________________________
                                              (наименование)
внутримесячное снижение нормативов обязательных резервов в 199_ г.
в  размере  не  более  5 процентов от суммы обязательных резервов,
депонируемых в Банке России.
 
 Начальник Главного управления
 (Национального банка) Банка России _________ (подпись, Ф.И.О.)
 
 "__" ______________ 199_ г.
 
 
 

Приложение N 5
к Положению
от 30 марта 1996 г. N 37

В Главное управление
(Национальный банк)
Банка России по
________________________

РАСЧЕТ (ПРОГНОЗ) ОСТАТКОВ
ОБЯЗАТЕЛЬНЫХ РЕЗЕРВОВ, УЧИТЫВАЕМЫХ НА БАЛАНСОВЫХ СЧЕТАХ N 815 И N 680 (N 816 И N 681) ПО ФОРМУЛЕ СРЕДНЕЙ ХРОНОЛОГИЧЕСКОЙ
НА ___________________ 199_ Г.
(текущий месяц)
__________________________________________
(наименование кредитной организации

(сумма в тыс. рублей)
01... Дата ... ... Дата 01...
1. Остатки средств обязательных резервов, учитываемых на б/сч. N 815, N 680, на каждый календарный день с 1 числа текущего месяца по 1 число следующего месяца включительно  
2. Количество календарных дней в периоде с 1 числа текущего месяца по 1 число следующего месяца включительно = 31 x x x x x x
3. Средняя хронологическая остатков обязательных резервов, учитываемых на б/сч. N 815, N 680, на текущий месяц <*>  

 

<*> Средняя хронологическая остатков обязательных резервов, учитываемых на б/сч. N 815, N 680, за месяц (Lr) рассчитывается по следующей формуле:

L1 - сумма остатков обязательных резервов на первое число текущего месяца;

Ln - сумма остатков обязательных резервов за последний календарный день месяца (на первое число следующего месяца);

n - число календарных дней в период с 1 числа текущего месяца по 1 число следующего месяца включительно, равное 31.

Руководитель кредитной организации  
(подпись, Ф.И.О.)

Приложение N 6
к Положению
от 30 марта 1996 г. N 37

На бланке Главного управления (Национального банка) Банка России   Руководителю кредитной организации
     
  (наименование)
"__" ___________ 199_ г.    

Главное управление (Национальный банк) Банка России по _____________________ рассмотрело Заявление ______________________ (наименование кредитной организации) N ____ от "__" ______ 199_ г. с просьбой о предоставлении права на внутримесячное снижение в 199_ г. нормативов обязательных резервов в размере, не превышающем 5 процентов от суммы депонированных обязательных резервов за отчетный месяц, и сообщает, что она не может быть удовлетворена на основании пункта 4.2 Положения об обязательных резервах, депонируемых кредитными организациями в Центральном банке Российской Федерации, утвержденного Приказом Банка России от 30 марта 1996 г. N 02-77.

Начальник Главного управления (Национального банка) Банка России  
(подпись, Ф.И.О.)

Приложение N 7
к Положению
от 30 марта 1996 г. N 37

В Главное управление
(Национальный банк) Банка России
по _____________________________
(заполняется в двух экземплярах,
после надлежащего оформления
1 экз. остается у кредитной
организации, 2 экз. - в учреждении
Банка России)

                                 ЗАЯВКА
               НА ВНУТРИМЕСЯЧНОЕ СНИЖЕНИЕ НОРМАТИВОВ
                       ОБЯЗАТЕЛЬНЫХ РЕЗЕРВОВ
             N ________ ОТ "__" ______ 199_ Г.
 
__________________________________________________________________
            (наименование кредитной организации)
корреспондентский счет N __________________________ в РКЦ ГУ ЦБ РФ
по _______________________________________________________________
почтовый адрес: __________________________________________________
 
    На основании Заявления на внутримесячное  снижение  нормативов
обязательных  резервов от "__" ______________ 199_ г.  N _________
просим снизить нормативы обязательных резервов на период с "__" по
   "__" _______________ 199_ г. на ____ процентов.
  (текущий месяц)
    Обязательные резервы в сумме _________________________________
(цифрами  и  прописью)   просим   перечислить   на   вышеуказанный
корреспондентский счет.
 Кредитная организация обязуется к 26 _________________ 199_ г.
                                       (текущий месяц)
представить в Главное управление (Национальный банк) Банка  России
по  ___________________________ необходимые документы, указанные в
п.  4.9 Положения об обязательных резервах кредитных  организаций,
депонируемых    в    Центральном   банке   Российской   Федерации,
утвержденного Приказом Банка России от 30 марта 1996 г. N 02-77, и
произвести   доперечисление  обязательных  резервов  в  период   с
26 числа ___________ (текущий месяц) до 1 числа __________________
                                                 (следующий месяц)
199__ г. на счет учреждения Банка России N ____________.
 
 Руководитель кредитной
    организации                 ________________ (подпись, Ф.И.О.)
 
       М.П.
 
__________________________________________________________________
   (заполняется Главным управлением (Национальным банком)
                       Банка России)
 
Принято "__" _________________ 199_ г.
 
Уполномоченное лицо Банка России
(должность)                     ________________ (подпись, Ф.И.О.)
 
 Перечислить кредитной организации _______________________________
(наименование) обязательные резервы в сумме ______________________
(сумма цифрами и прописью) на корреспондентский счет N _________ в
РКЦ ГУ ЦБ РФ _____________________. При этом минимально допустимый
остаток обязательных резервов,  учитываемый на б/сч. N 815, N 680,
должен быть _________________(сумма цифрами и прописью).
 
 Начальник Главного управления
 (Национального банка) Банка России _________ (подпись, Ф.И.О.)
 
 "__" ______________ 199_ г.
 
 
 

Приложение N 7/1
к Положению
от 30 марта 1996 г. N 37

В Главное управление
(Национальный банк)
Банка России
по _____________________________

СПРАВКА
ОБ ОСТАТКАХ ОБЯЗАТЕЛЬНЫХ РЕЗЕРВОВ
_________________________________________________
(наименование кредитной организации)
НА "__" ___________________ 199_ Г.
(текущий месяц)

(сумма в тыс. рублей)
1. Фактические остатки обязательных резервов, учитываемые на б/сч. N 815, N 680 (N 816, N 681), с учетом произведенного регулирования за отчетный месяц  
2. Сумма обязательных резервов в размере 5% от фактических остатков обязательных резервов, учитываемых на б/сч. N 815, N 680 (N 816, N 681) (стр. 1 * 5%)  
3. Минимальная допустимая сумма остатков обязательных резервов, учитываемых на б/сч. N 815, N 680 (N 816, N 681) (стр. 1 минус стр. 2)  
4. Средняя хронологическая остатков обязательных резервов на текущий месяц, учитываемых на б/сч. N 815, N 680 (N 816, N 681), по Расчету (Прогнозу) (Приложение N 5 к Положению)  
Руководитель кредитной организации
 
(подпись, Ф.И.О.)
 
М.П.

Приложение N 8
к Положению
от 30 марта 1996 г. N 37

В Главное управление
(Национальный банк)
Банка России
по _____________________________

РАСЧЕТ (ОКОНЧАТЕЛЬНЫЙ) ОСТАТКОВ ОБЯЗАТЕЛЬНЫХ РЕЗЕРВОВ, УЧИТЫВАЕМЫХ НА БАЛАНСОВЫХ СЧЕТАХ N 815 И N 680 (N 816 И N 681) ПО ФОРМУЛЕ СРЕДНЕЙ ХРОНОЛОГИЧЕСКОЙ
ЗА __________________ 199_ Г.
(текущий месяц)
______________________________________
(наименование кредитной организации)

(сумма в тыс. рублей)
01... Дата ... ... Дата 01...
1. Остатки средств обязательных резервов, учитываемых на б/сч. N 815, N 680, на каждый календарный день месяца (фактические за месяц)            
2. Количество календарных дней в периоде с 1 числа текущего месяца по 1 число следующего месяца включительно = 31 x x x x x x
3. Средняя хронологическая остатков обязательных резервов, учитываемых на б/сч. N 815, N 680, за текущий месяц <*>            

 

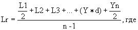
<*> Средняя хронологическая остатков обязательных резервов, учитываемых на б/сч. N 815, N 680, за текущий месяц (Lr) рассчитывается по следующей формуле:

L1 - сумма остатков обязательных резервов на первое число текущего месяца;

Y - сумма остатков обязательных резервов, которые должны учитываться на б/сч. N 815, N 680 (начиная с 5 числа текущего месяца по 1 число следующего месяца), с тем чтобы средняя хронологическая остатков обязательных резервов по настоящему Расчету (Окончательному) была эквивалентна средней хронологической остатков обязательных резервов по Расчету (Прогнозу);

d - количество календарных дней в расчетном периоде, в течение которых сумма остатков обязательных резервов (Y) учитывается на б/сч. N 815, N 680. При этом "d" меньше "n"

Yn - сумма остатков обязательных резервов на 1 число следующего месяца;

n - число календарных дней в периоде (с 1 числа текущего месяца по 1 число следующего месяца включительно), равное 31.

Руководитель кредитной организации  
(подпись, Ф.И.О.)

Приложение N 9
к Положению
от 30 марта 1996 г. N 37

УСЛОВНЫЙ ПРИМЕР РАСЧЕТА СУММЫ ШТРАФА ЗА НЕДОВЗНОС В ОБЯЗАТЕЛЬНЫЕ РЕЗЕРВЫ

Исходные данные:  
Сумма недовзноса в обязательные резервы - 100 млн. руб.;
Просрочка платежа - 12 дней;
Ставка рефинансирования Банка России - 120% годовых;
1,3 ставки рефинансирования - 156% годовых
(120% x 1,3 = 156% годовых);
1,5 ставки рефинансирования - 180% годовых
(120% x 1,5 = 180% годовых);
2,0 ставки рефинансирования - 240% годовых
(120% x 2,0 = 240% годовых)

РАСЧЕТ СУММЫ ШТРАФА ЗА НЕДОВЗНОС В ОБЯЗАТЕЛЬНЫЕ РЕЗЕРВЫ

Количество допущенных нарушений кредитной организацией Размер штрафа
Первое нарушение за первые 2 дня (1,3 ставки рефинансирования): 100 млн. руб. x 156% x(2 дня / 360 дней) = 0,867 млн. руб.
  за следующие 10 дней (1,5 ставки рефинансирования): 100 млн. руб. x 180% x (10 дней / 360 дней) = 5,0 млн. руб.
Итого штраф за 12 дней просрочки: 0,867 млн. руб. + 5,0 млн. руб. = 5,867 млн. руб.
Второе нарушение за первые 2 дня (1,5 ставки рефинансирования): 100 млн. руб. x 180% x (2 дня /360 дней )= 1,0 млн. руб.
  за следующие 10 дней (2,0 ставки рефинансирования): 100 млн. руб. x 240% x (10 дней / 360 дней ) = 6,667 млн. руб.
Итого штраф за 12 дней просрочки: 1,0 млн. руб. + 6,667 млн. руб. = 7,667 млн. руб.
Третье и последующие нарушения за первые 2 дня (2,0 ставки рефинансирования): 100 млн. руб. x 240% x (2 дня / 360 дней) = 1,333 млн. руб.
  за последующие 10 дней (2,0 ставки рефинансирования): 100 млн. руб. x 240% x (10 дней / 360 дней ) = 6,667 млн. руб.
Итого штраф за 12 дней просрочки: 1,333 млн. руб. + 6,667 млн. руб. = 8,0 млн. руб.

Приложение N 10
к Положению
от 30 марта 1996 г. N 37

УСЛОВНЫЙ ПРИМЕР РАСЧЕТА СУММЫ СРЕДСТВ, ПОДЛЕЖАЩИХ ДОПЕРЕЧИСЛЕНИЮ
КРЕДИТНОЙ ОРГАНИЗАЦИЕЙ В ОБЯЗАТЕЛЬНЫЕ РЕЗЕРВЫ ПРИ ИСПОЛЬЗОВАНИИ ПРАВА ВНУТРИМЕСЯЧНОГО СНИЖЕНИЯ НОРМАТИВОВ ОБЯЗАТЕЛЬНЫХ РЕЗЕРВОВ

ОБЩИЕ ПОЛОЖЕНИЯ

Кредитная организация получила разрешение Банка России на внутримесячное снижение нормативов обязательных резервов в течение 1996 г. В феврале 1996 г. у кредитной организации периодически возникала необходимость воспользоваться этой льготой для поддержания текущей ликвидности.

Срок представления в Банк России Расчета обязательных резервов за отчетный месяц - 4-й рабочий день месяца, следующего за отчетным, т.к. кредитная организация имеет сеть филиалов.

Срок перечисления средств в обязательные резервы по Расчету обязательных резервов за отчетный месяц (балансовые счета N 815 и N 680 - в расчетно-кассовом центре Банка России; N 816 и N 681 - в кредитной организации) - 4-й рабочий день месяца, следующего за отчетным.

Расчет (Прогноз) - Приложение N 5 к Положению средней хронологической остатков обязательных резервов, учитываемых на балансовых счетах N 815 и N 680, - на текущий месяц производится по формуле:

L1 - остаток средств кредитной организации на балансовых счетах N 815 и N 680 на 1-е число текущего месяца (за последний день отчетного месяца);

L2 - остаток средств кредитной организации на балансовых счетах N 815 и N 680 на 2-е число текущего месяца (за 1 день месяца, следующего за отчетным);

Ln - остаток средств кредитной организации на балансовых счетах N 815 и N 680 на 1-е число месяца, следующего за текущим (за последний день месяца, следующего за отчетным);

n - число календарных дней в расчетном периоде (с 1-го числа текущего месяца по 1-е число месяца, следующего за текущим, включительно), равное 31. При расчете обязательных резервов количество дней в месяце условно принимается равным 30. Если в месяце 31 день, 31 число в расчет не принимается, а в феврале остаток за последнее число повторяется столько раз, сколько дней недостает до 30.

Кредитная организация, воспользовавшаяся правом внутримесячного снижения нормативов обязательных резервов, должна довнести в обязательные резервы необходимую сумму средств в период с 26-го по 30-е число текущего месяца (по состоянию на 1-е число следующего месяца), исходя из средней хронологической остатков обязательных резервов за текущий месяц в соответствии с Расчетом (Окончательным) - Приложение N 8 к Положению.

При этом средняя хронологическая остатков обязательных резервов по Расчету (Прогнозу) - Приложение N 5 к Положению - должна быть равна величине средней хронологической остатков обязательных резервов по Расчету (Окончательному) - Приложение N 8 к Положению.

Расчет за февраль:

1. Исходные данные:

1.1. Срок представления Расчета обязательных резервов за отчетный месяц (январь 1996 г.) - 06.02.96.

1.2. Срок перечисления средств в обязательные резервы по Расчету обязательных резервов за отчетный месяц - 06.02.96.

1.3. У кредитной организации на балансовых счетах N 815 и N 680 сформированы обязательные резервы в следующих размерах:

на 01.02.96 - 1800 млн. руб. (по расчету за декабрь 1995 г.);

на 07.02.96 - 2000 млн. руб. (по расчету за январь 1996 г.).

1.4. Максимальное снижение нормативов обязательных резервов на льготный период текущего месяца (с 07.02.96 по 25.02.96) не должно превышать 5% от фактической суммы обязательных резервов за отчетный месяц (январь), т.е. 100 млн. руб. (2000 x 5% = 100). Поэтому остаток средств кредитной организации на балансовых счетах N 815 и N 680 в течение льготного периода не должен быть меньше 1900 млн. руб. (2000 - 100 = 1900).

1.5. Средняя хронологическая остатков обязательных резервов, учитываемых на балансовых счетах N 815 и N 680, на февраль 1996 г. составляет 1963,33 млн. руб. (по Расчету (Прогнозу) - Приложение N 5):

Так как в феврале 1996 г. 29 календарных дней, а при расчете обязательных резервов количество дней в месяце условно принимается равным 30, то остаток 2000 млн. руб. за 29.02.96 должен повториться еще один раз.

1.6. Кредитная организация воспользовалась в феврале правом на внутримесячное снижение нормативов обязательных резервов в установленной сумме - 100 млн. руб. два раза в следующие периоды:

с 08.02.96 по 12.02.96 (в течение 4 дней);

с 19.02.96 по 22.02.96 (в течение 3 дней).

1.7. Кредитная организация 26.02.96 довносит обязательные резервы в такой сумме, что средняя хронологическая фактических остатков обязательных резервов, учитываемых на балансовых счетах N 815 и N 680, в феврале (с 01.02.96 по 01.03.96 включительно) - по Расчету (Окончательному) - Приложение N 8 к Положению - эквивалентна средней хронологической остатков обязательных резервов по Расчету (Прогнозу) - Приложения N 5 к Положению. В нашем примере этот расчет произведен в п. 1.5 и расчетная средняя хронологическая на февраль 1996 г. составляет 1963,33 млн. руб.

2. Расчет суммы доперечисления в обязательные резервы:

Сумма - S, которая должна быть довнесена кредитной организацией 26.02.96 на балансовые счета N 815 и N 680 (т.е. на оставшиеся 5 календарных дней) при внутримесячном снижении нормативов обязательных резервов (исходя из средней хронологической, равной 1963,33 млн. руб.), рассчитывается с применением следующего уравнения:

S = 2155,56 млн. руб.

Кредитной организации 26.02.96 подлежит довнести в обязательные резервы 155,56 млн. руб. (2155,56 - 2000 = 155,56).

Таблица N 1

ДАННЫЕ ОБ ОБЯЗАТЕЛЬНЫХ РЕЗЕРВАХ
КРЕДИТНОЙ ОРГАНИЗАЦИИ, ИСПОЛЬЗУЕМЫЕ ДЛЯ СОСТАВЛЕНИЯ РАСЧЕТА (ПРОГНОЗА) И РАСЧЕТА (ОКОНЧАТЕЛЬНОГО) ЗА ФЕВРАЛЬ 1996 Г.

По балансу на дату Расчет (Прогноз) на дату Расчет (Окончательный) на дату Расчетные данные
01.02.96 1800 1800 кол-во фактических календарных дней в феврале 29
02.02.96 1800 1800
03.02.96 1800 1800 кол-во календарных дней для расчета суммы доперечисления средств 30
04.02.96 1800 1800
05.02.96 1800 1800 средняя хронологическая за февраль 1963,33
06.02.96 1800 1800    
07.02.96 2000 2000    
08.02.96 2000 2000    
09.02.96 2000 1900    
10.02.96 2000 1900    
11.02.96 2000 1900    
12.02.96 2000 1900    
13.02.96 2000 2000    
14.02.96 2000 2000    
15.02.96 2000 2000    
16.02.96 2000 2000    
17.02.96 2000 2000    
18.02.96 2000 2000    
19.02.96 2000 2000    
20.02.96 2000 1900    
21.02.96 2000 1900    
22.02.96 2000 1900    
23.02.96 2000 2000    
24.02.96 2000 2000    
25.02.96 2000 2000    
26.02.96 2000 2000 дата доперечисления средств 26.02.96
27.02.96 2000 2155,56 сумма доперечисления средств 155,56
28.02.96 2000 2155,56  
29.02.96 2000 2155,56
добавленный день <*> 2000 2155,56    
01.03.96 2000 2155,56    
-выходные дни

<*> В феврале остаток на 29 число в расчет принимается дважды.