Приказ Минфина РФ от 29.06.2011 N 73Н

"Об утверждении методики проведения оценки результатов, достигнутых субъектами Российской Федерации в сфере повышения эффективности бюджетных расходов, и динамики данных результатов"
Редакция от 29.06.2011 — Документ утратил силу, см. «Приказ Минфина РФ от 26.07.2013 N 75Н»

Зарегистрировано в Минюсте России 15 августа 2011 г. N 21613


МИНИСТЕРСТВО ФИНАНСОВ РОССИЙСКОЙ ФЕДЕРАЦИИ

ПРИКАЗ
от 29 июня 2011 г. N 73н

ОБ УТВЕРЖДЕНИИ МЕТОДИКИ ПРОВЕДЕНИЯ ОЦЕНКИ РЕЗУЛЬТАТОВ, ДОСТИГНУТЫХ СУБЪЕКТАМИ РОССИЙСКОЙ ФЕДЕРАЦИИ В СФЕРЕ ПОВЫШЕНИЯ ЭФФЕКТИВНОСТИ БЮДЖЕТНЫХ РАСХОДОВ, И ДИНАМИКИ ДАННЫХ РЕЗУЛЬТАТОВ

В соответствий с постановлением Правительства Российской Федерации от 31 декабря 2010 г. N 1203 "Об утверждении Правил предоставления и распределения субсидий из федерального бюджета бюджетам субъектов Российской Федерации на реализацию региональных программ повышения эффективности бюджетных расходов" (Собрание законодательства Российской Федерации, 2011, N 2, ст. 371) приказываю:

утвердить прилагаемую методику проведения оценки результатов, достигнутых субъектами Российской Федерации в сфере повышения эффективности бюджетных расходов, и динамики данных результатов.

Заместитель
Председателя Правительства
Российской Федерации -
Министр финансов
Российской Федерации
A.Л.КУДРИН

УТВЕРЖДЕНА
Приказом Министерства финансов
Российской Федерации
от 29.06.2011 N 73н

МЕТОДИКА
ПРОВЕДЕНИЯ ОЦЕНКИ РЕЗУЛЬТАТОВ, ДОСТИГНУТЫХ СУБЪЕКТАМИ РОССИЙСКОЙ ФЕДЕРАЦИИ В СФЕРЕ ПОВЫШЕНИЯ ЭФФЕКТИВНОСТИ БЮДЖЕТНЫХ РАСХОДОВ, И ДИНАМИКИ ДАННЫХ РЕЗУЛЬТАТОВ

1. Общие положения

1.1. Сводный показатель оценки достигнутых субъектами Российской Федерации результатов в сфере повышения эффективности бюджетных расходов определяется в баллах по следующей формуле:

R   = 0,4 х K   + 0,6 х K   , где:
j li di

R_j, - сводный показатель оценки достигнутых субъектами Российской Федерации результатов в сфере повышения эффективности бюджетных расходов;

K_li - оценка достигнутого i-ым субъектом Российской Федерации уровня результатов в сфере повышения эффективности бюджетных расходов за последний отчетный год;

K_di - оценка динамики результатов в сфере повышения эффективности бюджетных расходов, достигнутых i-ым субъектом Российской Федерации за последний отчетный год и год, предшествующий отчетному.

Субъекту Российской Федерации, получившему наивысший сводный показатель оценки достигнутых результатов в сфере повышения эффективности бюджетных расходов, присваивается категория 1.

1.2. Оценка достигнутого субъектом Российской Федерации уровня результатов в сфере повышения эффективности бюджетных расходов за последний отчетный год осуществляется по следующей формуле:

K   = БИ г   , где
li   ji

БИ(г)_ji - балльная оценка значения j-го индикатора оценки достигнутых субъектом Российской Федерации результатов в сфере повышения эффективности бюджетных расходов за последний отчетный год.

1.3. Оценка динамики результатов в сфере повышения эффективности бюджетных расходов, достигнутых субъектом Российской Федерации за последний отчетный год и год, предшествующий отчетному, осуществляется по следующей формуле:

K   = (БИ г   - БИ г-1   ) , где
di   ji   ji

БИ(г-1)_ji - балльная оценка значения j-го индикатора оценки достигнутых субъектом Российской Федерации результатов в сфере повышения эффективности бюджетных расходов за год, предшествующий отчетному.

1.4. Расчет значений индикаторов оценки и оценка динамики достигнутых субъектами Российской Федерации результатов в сфере повышения эффективности бюджетных расходов осуществляются на основе отчетности об исполнении бюджета субъекта Российской Федерации (если иное не установлено настоящим приказом).

1.5. Значение по отдельным индикаторам достигнутых субъектами Российской Федерации результатов в сфере повышения эффективности бюджетных расходов принимается равным нулю в следующих случаях:

- выявление ошибок, допущенных при расчете значений индикатора;

- неполное представление в составе отчетности документов и (или) материалов, подтверждающих значение индикатора;

- использование в расчетах значения индикатора недостоверных данных.

1.6. Перечень индикаторов оценки достигнутых субъектами Российской Федерации результатов в сфере повышения эффективности бюджетных расходов и соответствующие им значения балльной оценки определяются в соответствии с нижеуказанной таблицей.

Таблица. Индикаторы оценки достигнутых субъектами Российской Федерации результатов в сфере повышения эффективности бюджетных расходов и соответствующие им значения балльной оценки

Код Индикатор Баллы и соответствующие им значения индикаторов
0 1 2 3 4 5
ОС Группа индикаторов "Обеспечение сбалансированности и устойчивости региональных и местных бюджетов"
ОС1 Отношение дефицита бюджета субъекта Российской Федерации к доходам без учета объема безвозмездных поступлений, % 10 и более 7-10 5-7 3-5 0-3 0
ОС2 Отношение государственного долга (за вычетом выданных гарантий)субъекта Российской Федерации к доходам бюджета без учета объема безвозмездных поступлений, % 50 и более 30-50 10-30 10 и менее    
ОС3 Отношение объема просроченной кредиторской задолженности субъекта Российской Федерации к расходам бюджета, % 1 и более 0,75-1 0,5-0,75 0,25-05 менее 0,25 0
ОС4 Доля бюджетных инвестиций субъекта Российской Федерации в общем объеме расходов бюджета, % менее 5 5-12 12-20 20 и более    
ОС5 Процент абсолютного отклонения фактического объема доходов (без учета межбюджетных трансфертов) субъекта Российской Федерации за отчетный год от первоначального плана, % 12 и более 10-12 5-10 3-5 менее 3  
ОС6 Наличие утвержденной методики формализованного прогнозирования доходов бюджета субъекта Российской Федерации по основным налогам и сборам нет   да      
ОС7 Доля условно утвержденных на плановый период расходов бюджета субъекта Российской Федерации, %   7,5- 8,5 8,5- 9,5 9,5- 10,5 10,5- 11,5 11,5 и более
ОС8 Средняя долговая нагрузка на местные бюджеты, % 25 и более 15-25 5-15 менее 5    
ОС9 Отношение просроченной кредиторской задолженности местных бюджетов к расходам местных бюджетов, % 5 и более 3-5 1-3 менее 1    
ОС10 Среднее отношение дефицита местных бюджетов к доходам, % 7 и более 4-7 2-4 менее 2    
OC11 Доля условно утвержденных на плановый период расходов местных бюджетов, %   7,5- 8,5 8,5- 9,5 9,5- 10,5 10,5- 11,5 11,5 и более
ПР Группа индикаторов "Внедрение программно-целевых принципов организации деятельности органов государственной власти"
ПР1 Удельный вес расходов бюджета субъекта Российской Федерации, формируемых в рамках программ, % менее 10 10-20 20-30 30-40 40-50 50 и более
ПР2 Доля субсидий местным бюджетам,
предоставляемых в рамках целевых программ, %
менее 25 25-40 40-60 60-80 80- 100 100
ПР3 Доля расходов субъекта Российской Федерации на осуществление бюджетных инвестиций в рамках долгосрочных и ведомственных целевых программ, % менее 60 60-70 70-80 80-90 90- 100 100
ПР4 Наличие нормативного правового акта субъекта Российской Федерации, определяющего оплату труда руководителей органов исполнительной власти с учетом результатов их профессиональной деятельности нет   да      
РБ Группа индикаторов "Реструктуризация бюджетного сектора"
РБ1 Доля казенных учреждений субъекта Российской Федерации, для которых установлены
государственные задания, в общем числе казенных учреждений субъекта Российской Федерации (без учета органов государственной власти)
менее 55 55-75 75-95 95 и более    
РБ2 Доля государственных автономных и бюджетных учреждений субъекта Российской Федерации, оказывающих государственные услуги, в общем числе государственных учреждений субъекта Российской Федерации, % менее 50 50-65 65-80 80 и более    
РБ3 Доля государственных
учреждений субъекта Российской Федерации, для которых объем бюджетных ассигнований на оказание государственных услуг (выполнение работ) определен с учетом качества оказания государственных услуг (выполнения работ), %
менее 25 25-50 50-75 75-90 90 и более  
РБ4 Прирост объема доходов государственных автономных и бюджетных учреждений субъекта Российской Федерации от приносящей доход деятельности, % менее 5 5-10 10-20 20 и более    
ПА Группа индикаторов "Повышение эффективности распределения бюджетных средств"
ПА1 Наличие утвержденного бюджета субъекта Российской Федерации на очередной финансовый год и плановый период нет       да  
ПА2 Наличие утвержденного порядка и методики планирования бюджетных ассигнований субъекта Российской Федерации нет   да      
ПА3 Наличие установленного порядка определения предельных объемов бюджетных ассигнований субъекта Российской Федерации, доводимых до главных распорядителей бюджетных средств в процессе составления проекта бюджета нет   да      
ПА4 Доля ведомственных и долгосрочных целевых программ субъекта Российской Федерации, по которым утвержденный объем финансирования изменился в течение отчетного года более чем на 15 процентов от первоначального, % 50 и более 40-50 25-40 10-25 5-10 менее 5
ПА5 Процент абсолютного отклонения утвержденного объема расходов бюджета субъекта Российской Федерации на первый год планового периода от объема расходов соответствующего года при его утверждении на очередной финансовый год, % 15 и более 10-15 5-10 3-5 менее 3  
ПА6 Наличие нормативно установленной обязательности проведения публичных обсуждений проектов долгосрочных целевых программ субъекта Российской Федерации нет   Да      
ПА7 Доля долгосрочных целевых программ субъекта Российской Федерации, принятых в отчетном году, проекты которых прошли публичные обсуждения, % менее 5 5-25 25-50 50-75 75-100 100
ПА8 Наличие нормативного закрепления механизма распределения бюджета принимаемых обязательств между принимаемыми и действующими целевыми программами субъекта Российской Федерации нет   да      
ПА9 Публикация в средствах массовой информации и сети Интернет результатов распределения бюджета принимаемых обязательств между принимаемыми и действующими целевыми программами субъекта Российской Федерации нет   да      
ПА10 Наличие нормативного закрепления обязательности представления перечня долгосрочных и ведомственных целевых программ субъекта Российской Федерации в составе материалов, представляемых с проектом бюджета нет     да    
ПА11 Наличие нормативно утвержденного формульного порядка определения общего объема дотаций на выравнивание бюджетной обеспеченности муниципальных образований нет       Да  
ПА12 Наличие не меняющейся в течение отчетного года методики распределения дотаций на выравнивание бюджетной обеспеченности муниципальных образований нет       да  
ПА13 Соотношение объема дотаций на выравнивание бюджетной обеспеченности муниципальных образований и объема субсидий муниципальным образованиям из бюджета субъекта Российской Федерации менее 0,8 0,8-1 1-1,2 1,2- 1,5 1,5 и более  
ПА14 Эффективность выравнивания бюджетной обеспеченности муниципальных образований, раз более 5 2-5 2 и менее      
ГУ Группа индикаторов "Оптимизация функций государственного и муниципального управления, повышение эффективности их обеспечения"
ГУ1 Доля государственных услуг субъекта Российской Федерации по осуществлению юридически значимых действий, предоставляемых в электронной форме, % 0 0-10 10-30 30-40 40-50 50 и более
ГУ2 Публикация данных мониторинга качества финансового управления главных распорядителей бюджетных средств субъекта Российской Федерации нет да        
ГУ3 Доля функций исполнительных органов государственной власти субъекта Российской Федерации, в отношении которых утверждены административные
регламенты их исполнения, %
менее 20 20-50 50-80 80 и более    
ИС Группа индикаторов "Развитие информационной системы управления государственными (муниципальными) финансами"
ИС1 Создание специализированного сайта субъекта Российской Федерации в сети Интернет, на котором размещается информация о государственных и муниципальных финансах нет   да      
ИС2 Создание Интернет-портала оказания государственных услуг субъекта Российской Федерации по осуществлению юридически значимых действий в электронной форме нет   да      
ИС3 Создание сайта субъекта Российской Федерации в сети Интернет, имеющего функцию обратной связи с потребителями государственных услуг нет   да      
ИС4 Доля государственных учреждений субъекта Российской Федерации, информация о результатах деятельности которых за отчетный год размещена в сети Интернет, % 0 0-20 20-50 50-80 80- 100 100
ИС5 Доля исполнительных органов государственной власти субъекта Российской Федерации, информация о результатах деятельности которых размещена в сети Интернет, % менее 10 10-40 40-70 70-90 90- 100 100
МУ Группа индикаторов "Повышение эффективности бюджетных расходов на местном уровне"
МУ1 Наличие хотя бы одного муниципального образования, в котором все муниципальные учреждения являются казенными да нет        
МУ2 Доля расходов местных бюджетов, утвержденных на 3 года, % менее 20 20-30 30-45 45-60 60-75 75 и более
МУЗ Доля муниципальных образований, в которых фактические доходы местного бюджета за отчетный период превышают
первоначальный план, %
менее 20 20-40 40-60 60-70 70-80 80 и более
МУ4 Доля муниципальных услуг, в отношении которых нормативно установлены требования к качеству их оказания менее 20-40 40-60 60-70 70-80 80 и более

Примечание: если фактическое значение индикатора совпадает с верхней границей диапазона, то считается, что оно выходит за границы диапазона; если фактическое значение индикатора совпадает с нижней границей диапазона, считается, что оно входит в границы данного диапазона.

2. Порядок расчета значений отдельных индикаторов оценки достигнутых субъектами Российской Федерации результатов в сфере повышения эффективности бюджетных расходов

2.1. Индикатор ОС1 "Отношение дефицита бюджета субъекта Российской Федерации к доходам без учета объема безвозмездных поступлений" (согласно статье 92.1 Бюджетного кодекса Российской Федерации) рассчитывается по следующей формуле:

ДЕФ   - СКО   - ПА      
ОС1 = n n n x 100 , где
    Д   - БВП    
      n n      

ДЕФn - размер дефицита бюджета субъекта Российской Федерации;

СКОn - размер снижения остатков средств на счетах по учету средств бюджета субъекта Российской Федерации;

ПАn - объем поступлений от продажи акций и иных форм участия в капитале, находящихся в собственности субъекта Российской Федерации;

Дn - общий объем доходов бюджета субъекта Российской Федерации;

БВПn - объем безвозмездных поступлений в бюджет субъекта Российской Федерации из федерального бюджета.

До 1 января 2013 года в случае утверждения законом субъекта Российской Федерации о бюджете субъекта Российской Федерации в составе источников финансирования дефицита бюджета субъекта Российской Федерации разницы между полученными и погашенными субъектом Российской Федерации бюджетными кредитами, предоставленными бюджету субъекта Российской Федерации другими бюджетами бюджетной системы Российской Федерации, дефицит бюджета субъекта Российской Федерации может превысить ограничения, установленные статьей 92.1 Бюджетного кодекса Российской Федерации, в пределах указанной разницы.

2.2. Индикатор ОС2 "Отношение государственного долга (за вычетом выданных гарантий) субъекта Российской Федерации к доходам бюджета без учета объема безвозмездных поступлений" (согласно статье 107 Бюджетного кодекса Российской Федерации) рассчитывается по следующей формуле:

ГД   - ГАР      
ОС2 = n n x 100 , где:
Д   - БВП  
  n n    

ГДn - размер государственного долга субъекта Российской Федерации;

ГАРn - размер государственного долга субъекта Российской Федерации в части предоставленных государственных гарантий;

Дn - общий объем доходов бюджета субъекта Российской Федерации;

БВПn - объем безвозмездных поступлений в бюджет субъекта Российской Федерации из федерального бюджета.

До 1 января 2013 года в случае утверждения законом субъекта Российской Федерации о бюджете субъекта Российской Федерации в составе источников финансирования дефицита бюджета субъекта Российской Федерации бюджетных кредитов, привлекаемых в бюджет субъекта Российской Федерации от других бюджетов бюджетной системы Российской Федерации, предельный объем государственного долга субъекта Российской Федерации может превысить ограничения, установленные статьей 107 Бюджетного кодекса Российской Федерации, в пределах указанных кредитов.

Значения показателей ГДn, ГАРn определяются на основе долговой книги субъекта Российской Федерации.

2.3. Индикатор ОС3 "Отношение объема просроченной кредиторской задолженности субъекта Российской Федерации к расходам бюджета" рассчитывается по следующей формуле:

  ПКРЗ          
ОС3 =   n     x 100 , где:
Р   - РСУБВ  
  n n    

ПКРЗn - объем просроченной кредиторской задолженности по расходам бюджета субъекта Российской Федерации;

Рn - общий объем расходов бюджета субъекта Российской Федерации;

РСУБВn - объем расходов бюджета субъекта Российской Федерации, осуществляемых за счет субвенций, предоставляемых из бюджетов бюджетной системы Российской Федерации.

2.4. Индикатор ОС4 "Доля бюджетных инвестиций субъекта Российской Федерации в общем объеме расходов бюджета" рассчитывается по следующей формуле:

РБИ   + СУБИНВ      
ОС4 = n n x 100 , где:
Р   - РСУБВ  
  n n    

РБИn - объем расходов бюджета субъекта Российской Федерации на осуществление бюджетных инвестиций в объекты капитального строительства государственной собственности субъекта Российской Федерации за исключением расходов, производимых за счет межбюджетных трансфертов из федерального бюджета на бюджетные инвестиции;

СУБИНВn - объем субсидий, предоставляемых местным бюджетам на осуществление бюджетных инвестиций в объекты капитального строительства муниципальной собственности;

РСУБВn - объем расходов бюджета субъекта Российской Федерации, осуществляемых за счет субвенций, предоставляемых из бюджетов бюджетной системы Российской Федерации;

Рn - общий объем расходов бюджета субъекта Российской Федерации.

2.5. Индикатор ОС5 "Процент абсолютного отклонения фактического объема доходов (без учета межбюджетных трансфертов) субъекта Российской Федерации за отчетный год от первоначального плана" рассчитывается по следующей формуле:

ОС5 =   Д - МБТ - 1 x 100 , где:
  ППД(утв) - ППМБТ(утв)

Д - объем доходов бюджета субъекта Российской Федерации;

МБТ - объем поступлений в бюджет субъекта Российской Федерации межбюджетных трансфертов;

ППД(утв) - утвержденный на отчетный год объем доходов бюджета субъекта Российской Федерации (в редакции закона о бюджете субъекта Российской Федерации, действующей на 1 января отчетного года);

ППМБТ(утв) - утвержденный на отчетный год объем поступлений в бюджет субъекта Российской Федерации межбюджетных трансфертов (в редакции закона о бюджете субъекта Российской Федерации, действующей на 1 января отчетного года).

2.6. Индикатор ОС6 "Наличие утвержденной методики формализованного прогнозирования доходов бюджета субъекта Российской Федерации по основным налогам и сборам" принимает положительное значение при выполнении следующих дополнительных условий:

- методика прогнозирования доходов бюджета субъекта Российской Федерации утверждена правовым актом финансового органа субъекта Российской Федерации или высшего исполнительного органа государственной власти субъекта Российской Федерации;

- применение методики при составлении проекта бюджета закреплено нормативным правовым актом высшего исполнительного органа государственной власти субъекта Российской Федерации, регламентирующим порядок составления проекта бюджета;

- методика прогнозирования доходов бюджета субъекта Российской Федерации содержит порядок расчета прогнозных доходов бюджета субъекта Российской Федерации по налогу на прибыль организаций, налогу на имущество организаций, налогу на доходы физических лиц, акцизам по подакцизным товарам, единому налогу на вмененный доход.

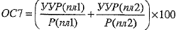
2.7. Индикатор ОС7 "Доля условно утвержденных на плановый период расходов бюджета субъекта Российской Федерации" рассчитывается по следующей формуле:

, где:

УУР(пл1) - утвержденный на первый год планового периода объем условно утвержденных расходов бюджета субъекта Российской Федерации;

Р(пл1) - утвержденный на первый год планового периода объем расходов бюджета субъекта Российской Федерации;

УУР(пл2) - утвержденный на второй год планового периода объем условно утвержденных расходов бюджета субъекта Российской Федерации;

Р(пл2) - утвержденный на второй год планового периода объем расходов бюджета субъекта Российской Федерации.

Значения показателей, используемых в расчете, указываются в соответствии с законом о бюджете субъекта Российской Федерации на текущий год и плановый период, в редакции, действовавшей на отчетную дату.

2.8. Индикатор ОС8 "Средняя долговая нагрузка на местные бюджеты" рассчитывается по следующей формуле:

, где:

МДi - размер муниципального долга i-го муниципального района (городского округа) субъекта Российской Федерации на 1 января текущего года;

Дi - объем доходов бюджета i-го муниципального района (городского округа) субъекта Российской Федерации;

РСУБВi - объем расходов бюджета i-го муниципального района (городского округа) субъекта Российской Федерации, осуществляемых за счет субвенций, предоставляемых из бюджетов бюджетной системы Российской Федерации.

2.9. Индикатор ОС9 "Отношение просроченной кредиторской задолженности местных бюджетов к расходам местных бюджетов" рассчитывается по следующей формуле:

, где:

КРЗi - объем просроченной кредиторской задолженности по расходам бюджета i-го муниципального района (городского округа) субъекта Российской Федерации;

Pi - объем расходов бюджета i-го муниципального района (городского округа) субъекта Российской Федерации;

РСУБВi - объем расходов i-го муниципального района (городского округа) субъекта Российской Федерации, осуществляемых за счет субвенций, предоставляемых из бюджетов бюджетной системы Российской Федерации.

2.10. Индикатор ОС10 "Среднее отношение дефицита местных бюджетов к доходам" (согласно статье 92.1 Бюджетного кодекса Российской Федерации) рассчитывается по следующей формуле:

, где:

ДЕФi - дефицит бюджета i-го муниципального района (городского округа) субъекта Российской Федерации;

СКОi - размер снижения остатков средств на счетах по учету средств бюджета i-го муниципального района (городского округа) субъекта Российской Федерации;

ПАi - объем поступлений от продажи акций и иных форм участия в капитале, находящихся в собственности i-го муниципального района (городского округа) субъекта Российской Федерации;

Дi - объем доходов бюджета i-го муниципального района (городского округа) субъекта Российской Федерации;

БВПi - объем безвозмездных поступлений, предоставляемых из бюджетов бюджетной системы Российской Федерации, в бюджет i-го муниципального района (городского округа) субъекта Российской Федерации.

До 1 января 2013 года в случае утверждения муниципальным правовым актом представительного органа муниципального образования о бюджете в составе источников финансирования дефицита местного бюджета разницы между полученными и погашенными муниципальным образованием бюджетными кредитами, предоставленными местному бюджету другими бюджетами бюджетной системы Российской Федерации, дефицит местного бюджета может превысить ограничения, установленные статьей 92.1 Бюджетного кодекса Российской Федерации, в пределах указанной разницы.

2.11. Индикатор ОС11 "Доля условно утвержденных на плановый период расходов местных бюджетов" рассчитывается по следующей формуле:

ОС11 = УУРМО(утв) x 100 , где:
РПМО(утв)

УУРМО(утв) - утвержденный на плановый период объем условно утвержденных расходов бюджетов муниципальных районов (городских округов). В случае утверждения муниципальным образованием местного бюджета на очередной финансовый год, объем условно утвержденных на плановый период расходов в отношении таких муниципальных образований принимается равным нулю;

РПМО(утв) - утвержденный на плановый период объем расходов бюджетов муниципальных районов (городских округов).

Значения показателей, используемых в расчете, указываются по состоянию на отчетную дату в соответствии с решениями представительных органов местного самоуправления о бюджете.

2.12. Индикатор ПР1 "Удельный вес расходов бюджета субъекта Российской Федерации, формируемых в рамках программ" рассчитывается по следующей формуле:

РП - РПРСУБ      
ПР1 = n x 100 , где:
Р - РСУБВ  
  n    

РП - объем расходов бюджета субъекта Российской Федерации на реализацию программ (государственных программ, ведомственных и долгосрочных целевых программ, иных программ), включая средства на обязательное медицинское страхование неработающего населения;

РПРСУБn - объем расходов бюджета субъектов Российской Федерации на реализацию программ, осуществляемых за счет субвенций из федерального бюджета;

РСУБВn - объем расходов бюджета субъекта Российской Федерации, осуществляемых за счет субвенций, предоставляемых из бюджетов бюджетной системы Российской Федерации;

Р - общий объем расходов бюджета субъекта Российской Федерации.

В случае, если расходы на реализацию одной программы полностью или частично учитываются в расходах на реализацию иных программ, в целях расчета такие расходы учитываются только по одному типу программ.

2.13. Индикатор ПР2 "Доля субсидий местным бюджетам, предоставляемых в рамках целевых программ" рассчитывается по следующей формуле:

ПР2 = МСЦП x 100 , где:
МСУБ

МСЦП - объем расходов бюджета субъекта Российской Федерации на предоставление субсидий местным бюджетам, предусмотренных долгосрочными и (или) ведомственными целевыми программами. При определении значения показателя не учитываются расходы, предусмотренные в ведомственных целевых программах, которые не содержат целей программы, перечня программных мероприятий, плановых объемов расходов и не проходят процедур согласования и утверждения (далее - аналитические ведомственные целевые программы);

МСУБ - объем расходов бюджета субъекта Российской Федерации на предоставление субсидий местным бюджетам за исключением субсидий местным бюджетам на выравнивание бюджетной обеспеченности муниципальных образований.

В случае, если расходы на реализацию одной программы полностью или частично учитываются в расходах на реализацию иных программ, в целях расчета такие расходы учитываются только по одному типу программ.

2.14. Индикатор ПР3 "Доля расходов субъекта Российской Федерации на осуществление бюджетных инвестиций в рамках долгосрочных и ведомственных целевых программ" рассчитывается по следующей формуле:

ПР3 = РБИЦП x 100 , где:
РБИ

РБИЦП - объем расходов бюджета субъекта Российской Федерации на осуществление бюджетных инвестиций, включенных в состав долгосрочных и ведомственных целевых программ (за исключением аналитических ведомственных целевых программ) за исключением расходов, производимых за счет межбюджетных трансфертов из федерального бюджета на бюджетные инвестиции;

РБИ - объем расходов бюджета субъекта Российской Федерации на осуществление бюджетных инвестиций в объекты капитального строительства государственной собственности субъекта Российской Федерации за исключением расходов, производимых за счет межбюджетных трансфертов из федерального бюджета на бюджетные инвестиции

В случае, если расходы на реализацию одной программы полностью или частично учитываются в расходах на реализацию иных программ, в целях расчета такие расходы учитываются только по одному типу программ.

2.15. Индикатор ПР4 "Наличие нормативного правового акта субъекта Российской Федерации, определяющего оплату труда руководителей органов исполнительной власти с учетом результатов их профессиональной деятельности" принимает положительное значение, если нормативным правовым актом субъекта Российской Федерации установлена зависимость оплаты труда руководителей органов исполнительной власти субъекта Российской Федерации и показателей результативности их профессиональной служебной деятельности.

2.16. Индикатор РБ1 "Доля казенных учреждений субъекта Российской Федерации, для которых установлены государственные задания, в общем числе казенных учреждений субъекта Российской Федерации (без учета органов государственной власти)" рассчитывается по следующей формуле:

РБ1 = КГКУЗ x 100 , где:
КГКУ

КГКУЗ - количество государственных казенных учреждений субъекта Российской Федерации для которых установлены государственные задания (без учета казенных учреждений субъекта Российской Федерации, являющихся органами государственной власти субъекта Российской Федерации);

КГКУ - количество государственных казенных учреждений субъекта Российской Федерации (без учета казенных учреждений субъекта Российской Федерации, являющихся органами государственной власти субъекта Российской Федерации).

Данный индикатор учитывается при расчете комплексной балльной оценки с 1 января 2011 года.

2.17. Индикатор РБ2 "Доля государственных автономных и бюджетных учреждений субъекта Российской Федерации, оказывающих государственные услуги, в общем числе государственных учреждений субъекта Российской Федерации" рассчитывается по следующей формуле:

РБ2 = КГАУ + КГБУ x 100 , где:
КГУ

КГАУ - количество государственных автономных учреждений субъекта Российской Федерации, оказывающих государственные услуги;

КГБУ - количество государственных бюджетных учреждений субъекта Российской Федерации, оказывающих государственные услуги.

КГУ - общее количество государственных учреждений субъекта Российской Федерации (без учета казенных учреждений субъекта Российской Федерации, являющихся органами государственной власти субъекта Российской Федерации).

2.18. Индикатор РБ3 "Доля государственных учреждений субъекта Российской Федерации, для которых объем бюджетных ассигнований на оказание государственных услуг (выполнение работ) определен с учетом качества оказания государственных услуг (выполнения работ)" рассчитывается по следующей формуле:

РБ3 = КОГАУ + КОГБУ x 100 , где:
КГАУ + КГБУ

КОГАУ - количество государственных автономных учреждений субъекта Российской Федерации, для которых финансовое обеспечение государственного задания (в части оказания государственных услуг, выполнения работ) определено на основе формализованного расчета, использующего показатели, характеризующие качество оказания государственных услуг (выполнения работ);

КОГБУ - количество государственных бюджетных учреждений субъекта Российской Федерации, для которых финансовое обеспечение государственного задания (в части оказания государственных услуг, выполнения работ) определено на основе формализованного расчета, использующего показатели, характеризующие качество оказания государственных услуг (выполнения работ);

КГАУ - количество государственных автономных учреждений субъекта Российской Федерации;

КГБУ - количество государственных бюджетных учреждений субъекта Российской Федерации.

При определении значений показателей КОГАУ, КОГБУ в нормативном правовом акте высшего исполнительного органа государственной власти субъекта Российской Федерации и (или) в приказе главного распорядителя бюджетных средств, регулирующих вопросы финансового обеспечения государственных заданий соответствующего учреждения, должна содержаться методика расчета финансовых затрат на оказание государственных услуг (выполнение работ), в которой используются показатели, характеризующие качество оказания государственной услуги (выполнения работы) соответствующим государственным учреждением.

2.19. Индикатор РБ4 "Прирост объема доходов государственных автономных и бюджетных учреждений субъекта Российской Федерации от приносящей доход деятельности" рассчитывается по следующей формуле:

, где:

ДАГУ - доход государственных автономных учреждений субъекта Российской Федерации;

ДБГУ - доход государственных бюджетных учреждений субъекта Российской Федерации;

ДПД - общий объем доходов от приносящей доход деятельности;

г - последний отчетный год;

г-1 - год, предшествующий отчетному.

Данный индикатор учитывается при расчете комплексной балльной оценки с 1 января 2011 года.

2.20. Индикатор ПА1 "Наличие утвержденного бюджета субъекта Российской Федерации на очередной финансовый год и плановый период" принимает положительное значение, если закон субъекта Российской Федерации о бюджете (по состоянию на отчетную дату) утверждает параметры бюджета на трехлетний период.

В случае, если параметры планового периода не утверждены, либо признаны утратившими силу, индикатор принимает отрицательное значение.

2.21. Индикатор ПА2 "Наличие утвержденного порядка и методики планирования бюджетных ассигнований субъекта Российской Федерации" принимает положительное значение, если:

- порядок (методика) планирования бюджетных ассигнований утверждает форму представления обоснований бюджетных ассигнований, предполагающую составление обоснований для отдельных расходных обязательств, либо выделение в сводной форме отдельных расходных обязательств;

- методика планирования бюджетных ассигнований утверждает методы (порядки) расчета для различных видов (типов) расходных обязательств;

- порядок и методика планирования бюджетных ассигнований утверждены правовым актом без ограничения срока действия.

2.22. Индикатор ПА3 "Наличие установленного порядка определения предельных объемов бюджетных ассигнований субъекта Российской Федерации, доводимых до главных распорядителей бюджетных средств в процессе составления проекта бюджета" принимает положительное значение, если:

- порядок определения предельных объемов бюджетных ассигнований на очередной финансовый год и плановый период, доводимых до главных распорядителей бюджетных средств в процессе составления проекта бюджета, установлен нормативным правовым актом субъекта Российской Федерации;

- порядок определения .предельных объемов бюджетных ассигнований, доводимых до главных распорядителей бюджетных средств, предполагает формульный метод их расчета, либо иной метод, предполагающий однозначность получения итоговых значений.

Порядок может предусматривать определение предварительных предельных объемов бюджетных ассигнований, доводимых до главных распорядителей бюджетных средств, с их последующим уточнением и корректировкой в процессе составления проекта бюджета.

В случае, если составление проекта бюджета субъекта Российской Федерации не предусматривает доведения до главных распорядителей бюджетных средств предельных плановых объемов бюджетных ассигнований, проверяется наличие аналогичного порядка доведения до главных распорядителей бюджетных средств предельных объемов бюджетных ассигнований на исполнение принимаемых обязательств.

2.23. Индикатор ПА4 "Доля ведомственных и долгосрочных целевых программ субъекта Российской Федерации, по которым утвержденный объем финансирования изменился в течение отчетного года более чем на 15 процентов от первоначального" рассчитывается по следующей формуле:

ПА4 = Q(ЦП15) x 100 , где:
Q(ЦП)

где:

Q(ЦП15) - число ведомственных и долгосрочных целевых программ (за исключением аналитических ведомственных целевых программ) субъекта Российской Федерации, расходы на реализацию которых осуществлялись в отчетном году, утвержденный объем расходов бюджета субъекта Российской Федерации на реализацию которых в отчетном году отклонился от утвержденного по состоянию на 1 января отчетного года объема более чем на 15 процентов (без учета расходов, осуществляемых за счет субсидий и субвенций, предоставляемых из бюджетов бюджетной системы Российской Федерации).

При расчете значения показателя учитывается отклонение, как в меньшую, так и в большую сторону от значения, утвержденного по состоянию на 1 января отчетного года.

Q(ЦП) - общее число ведомственных и долгосрочных целевых программ, расходы на реализацию которых осуществлялись в отчетном году (за исключением аналитических ведомственных целевых программ).

Значения показателей определяются на основе сопоставления редакций ведомственных и долгосрочных целевых программ по состоянию на 1 января отчетного года и по состоянию на 31 декабря отчетного года. При отсутствии утвержденной целевой программы на 1 января отчетного года первоначально утвержденный объем расходов по ней принимается в соответствии с первой редакцией программы.

2.24. Индикатор ПА5 "Процент абсолютного отклонения утвержденного объема расходов бюджета субъекта Российской Федерации на первый год планового периода от объема расходов соответствующего года при его утверждении на очередной финансовый год" рассчитывается по следующей формуле:

ПА5 =   РПП(ог) - 1 x 100 , где:
  Р(утв)

РПП(ог) - утвержденный на первый год планового периода общий объем расходов бюджета субъекта Российской Федерации за исключением расходов, источником которых являются межбюджетные трансферты, распределяемые в течение финансового года в соответствии с законом о бюджете субъекта Российской Федерации, исполнявшимся в отчетном году;

Р(утв) - утвержденный на текущий год общий объем расходов бюджета субъекта Российской Федерации за исключением расходов, источником которых являются межбюджетные трансферты, распределяемые в течение финансового года;

Значения показателей РПП(ог) указываются в соответствии с законом о бюджете субъекта Российской Федерации, в редакции, действовавшей на 31 декабря отчетного года.

Значения показателей Р(утв) указываются в соответствии с законом о бюджете субъекта Российской Федерации на текущий год и плановый период, в редакции, действовавшей на 1 января текущего года.

2.25. Индикатор ПА6 "Наличие нормативно установленной обязательности проведения публичных обсуждений проектов долгосрочных целевых программ субъекта Российской Федерации" принимает положительное значение, если:

- обязательность проведения публичных обсуждений проектов долгосрочных целевых программ установлена нормативным правовым актом высшего исполнительного органа государственной власти субъекта Российской Федерации, который закрепляет порядок составления, рассмотрения и утверждения долгосрочных целевых программ;

- нормативным правовым актом высшего исполнительного органа государственной власти субъекта Российской Федерации установлен порядок проведения публичных обсуждений проектов долгосрочных целевых программ;

- порядок проведения публичных обсуждений проектов долгосрочных целевых программ предусматривает открытое обсуждение, в том числе и возможность участия в обсуждении оппонентов данных программ.

2.26. Индикатор ПА7 "Доля долгосрочных целевых программ субъекта Российской Федерации, принятых в отчетном году, проекты которых прошли публичные обсуждения" рассчитывается по следующей формуле:

ПА7 = ПУБ x 100 , где:
ДЦП

ПУБ - число долгосрочных целевых программ субъекта Российской Федерации, принятых в отчетном году, проекты которых прошли публичные обсуждения;

ДЦП - число долгосрочных целевых программ субъекта Российской Федерации, принятых в отчетном году.

2.27. Индикатор ПА8 "Наличие нормативного закрепления механизма распределения бюджета принимаемых, обязательств между принимаемыми и действующими целевыми программами субъекта Российской Федерации" принимает положительное значение, если:

- механизм распределения бюджета принимаемых обязательств (далее - механизм распределения) между принимаемыми и действующими целевыми программами закреплен нормативным правовым актом высшего исполнительного органа государственной власти субъекта Российской Федерации, устанавливающим порядок составления проекта бюджета и (или) порядок составления, рассмотрения и утверждения соответствующих целевых программ;

- механизм распределения предполагает распределение бюджета принимаемых обязательств или его части между целевыми программами, в т.ч. проектами целевых программ и уже утвержденными целевыми программами (в части увеличения, начиная с очередного года, расходов на их реализацию за счет средств бюджета субъекта Российской Федерации);

- нормативным правовым актом высшего исполнительного органа государственной власти субъекта Российской Федерации установлен порядок определения (установления) объема бюджета принимаемых обязательств, подлежащего распределению между целевыми программами, в т.ч. проектами целевых программ и уже утвержденными целевыми программами;

- механизм распределения может регламентировать порядок распределения бюджета принимаемых обязательств между принимаемыми и действующими долгосрочными целевыми программами, либо между принимаемыми и действующими долгосрочными и ведомственными целевыми программами;

- механизм распределения предусматривает единовременное рассмотрение и принятие решений о распределении бюджета принимаемых обязательств между новыми целевыми программами и утвержденными целевыми программами (в части увеличения начиная с очередного года расходов на их реализацию).

2.28. Индикатор ПА9 "Публикация в средствах массовой информации и сети Интернет результатов распределения бюджета принимаемых обязательств между принимаемыми и действующими целевыми программами субъекта Российской Федерации" принимает положительное значение, если:

- публикация содержит информацию о: перечне целевых программ, между которыми осуществлялось распределение бюджета принимаемых обязательств; заявленных и распределенных между целевыми программами объемах бюджетных ассигнований; основных ожидаемых результатах, которые должны быть достигнуты по каждой целевой программе при выделении заявленного объема бюджетных ассигнований из бюджета принимаемых обязательств (для действующих целевых программ - в части изменения ожидаемых результатов при увеличении объема финансирования);

- публикация размещена в сети Интернет или средствах массовой информации в течение 30 дней после принятия соответствующего решения о распределении бюджета принимаемых обязательств.

2.29. Индикатор ПА10 "Наличие нормативного закрепления обязательности представления перечня долгосрочных и ведомственных целевых программ субъекта Российской Федерации в составе материалов, представляемых с проектом бюджета" принимает положительное значение, если законом субъекта Российской Федерации установлена обязательность представления перечня долгосрочных и ведомственных целевых программ в составе материалов, представляемых в законодательный орган государственной власти субъекта Российской Федерации с проектом бюджета.

2.30. Индикатор ПА11 "Наличие нормативно утвержденного формульного порядка определения общего объема дотаций на выравнивание бюджетной обеспеченности муниципальных образований" принимает положительное значение, если:

- порядок определения общего объема дотаций на выравнивание бюджетной обеспеченности муниципальных: образований установлен законом субъекта Российской Федерации без ограничения срока действия;

- порядок предусматривает раздельное нахождение общего объема дотаций на выравнивание бюджетной обеспеченности поселений и муниципальных районов (городских округов);

- порядок предусматривает расчет общего объема дотаций на выравнивание бюджетной обеспеченности муниципальных образований посредством формулы, использующей проверяемые и доступные исходные данные.

2.31. Индикатор ПА12 "Наличие не меняющейся в течение отчетного года методики распределения дотаций на выравнивание бюджетной обеспеченности муниципальных образований" принимает положительное значение, если:

- методика распределения дотаций на выравнивание бюджетной обеспеченности муниципальных образований не претерпела каких-либо изменений за отчетный период, не считая изменений технического характера, связанных с изменением федерального законодательства и (или) порядка статистического, налогового, бюджетного учета;

- методика распределения дотаций на выравнивание бюджетной обеспеченности не претерпела за отчетный период каких-либо изменений для всех типов муниципальных образований.

2.32. Индикатор ПА13 "Соотношение объема дотаций на выравнивание бюджетной обеспеченности муниципальных образований и объема субсидий муниципальным образованиям из бюджета субъекта Российской Федерации" рассчитывается по следующей формуле:

ПА13 = ДОТ , где:
СУБ

ДОТ - объем дотаций на выравнивание бюджетной обеспеченности муниципальных образований за счет средств бюджета субъекта Российской Федерации;

СУБ - объем субсидий муниципальным образованиям из бюджета субъекта Российской Федерации (за исключением субсидий, предоставленных муниципальным образованиям из федерального бюджета, а также поступивших от Фонда содействия реформированию жилищно-коммунального хозяйства).

2.33. Индикатор ПА14 "Эффективность- выравнивания бюджетной обеспеченности муниципальных образований" рассчитывается по следующей формуле:

ПА14 = Усрдо , где:
Усрп

Усрдо - средний уровень расчетной бюджетной обеспеченности 5 наиболее обеспеченных муниципальных образований после выравнивания бюджетной обеспеченности муниципальных образований;

Усрп - средний уровень расчетной бюджетной обеспеченности 5 наименее обеспеченных муниципальных образований после выравнивания бюджетной обеспеченности муниципальных образований.

2.34. Индикатор ГУ1 "Доля государственных услуг субъекта Российской Федерации по осуществлению юридически значимых действий, предоставляемых в электронной форме" рассчитывается по следующей формуле:

ГУ1 = УЭ x 100 , где:
УО

УЭ - число государственных услуг по осуществлению юридически значимых действий, предоставляемых в электронной форме;

УО - общее число государственных услуг субъекта Российской Федерации по осуществлению юридически значимых действий, утвержденных нормативным правовым актом субъекта Российской Федерации.

При определении значения индикатора УЭ учитываются только те государственные услуги по осуществлению юридически значимых действий, организация предоставления которых после осуществления предоставления услуги в электронном виде не предполагает необходимости личного контакта физического или юридического лица с органом или организацией, предоставляющими государственную услугу.

2.35. Индикатор ГУ2 "Публикация данных мониторинга качества финансового управления главных распорядителей бюджетных средств субъекта Российской Федерации" принимает положительное значение, если:

- порядок проведения мониторинга качества финансового управления главных распорядителей бюджетных средств установлен правовым актом высшего исполнительного органа государственной власти субъекта Российской Федерации;

- публикация результатов мониторинга качества финансового управления осуществлена в средствах массовой информации и (или) в сети Интернет (на официальных сайтах органов государственной власти субъекта Российской Федераций);

- опубликованные результаты мониторинга включают в себя оценку качества финансового управления всех главных распорядителей бюджетных средств регионального бюджета;

- мониторинг качества финансового управления главных распорядителей бюджетных средств проведен не ранее чем один год назад (по отношению к отчетной дате).

2.36. Индикатор ГУ3 "Доля функций исполнительных органов государственной власти субъекта Российской Федерации, в отношении которых утверждены административные регламенты их исполнения" рассчитывается по следующей формуле:

, где:

РГФi - число функций i-го исполнительного органа государственной власти субъекта Российской Федерации, в отношении которых утверждены административные регламенты исполнения данных функций, на 31 декабря отчетного года;

ГФi - общее число функций i-го исполнительного органа государственной власти субъекта Российской Федерации (в соответствии с положением об исполнительном органе государственной власти), на 31 декабря отчетного года.

2.37. Индикатор ИС1 "Создание специализированного сайта субъекта Российской Федерации в сети Интернет, на котором размещается информация о государственных и муниципальных финансах" принимает положительное значение, если:

- на сайте размещена актуальная информация об исполнении бюджета субъекта Российской Федерации, актуальные редакции законов субъектов Российской Федерации о бюджете, актуальные редакции ведомственных и долгосрочных целевых программ, информация об исполнении целевых программ, информация об объеме и структуре государственного долга субъекта Российской Федерации, информация об объеме кредиторской задолженности по расходам бюджета субъекта Российской Федерации, последняя версия реестра расходных обязательств субъекта Российской Федерации, материалы и документы, представляемые в законодательный орган государственной власти субъекта Российской Федерации вместе с проектом бюджета субъекта Российской Федерации;

- принят нормативный правовой акт субъекта Российской Федерации, устанавливающий перечень и периодичность размещения информации о государственных и муниципальных финансах в сети Интернет.

2.38. Индикатор ИС2 "Создание Интернет-портала оказания государственных услуг субъекта Российской Федерации по осуществлению юридически значимых действий в электронной форме" принимает положительное значение, если на отчетную дату Интернет-портал позволяет получить в электронной форме две и более государственных услуги субъекта Российской Федерации (предоставление которых не предполагает необходимости личного контакта физического или юридического лица с органом или организацией, предоставляющими государственную услугу).

2.39. Индикатор ИС3 "Создание сайта субъекта Российской Федерации в сети Интернет, имеющего функцию обратной связи с потребителями государственных услуг" принимает положительное значение, если:

- на сайте представлена информация о порядке получения всех государственных услуг, оказываемых государственными учреждениями субъекта Российской Федерации;

- предусмотрена возможность оценки пользователями сайта качества оказания отдельных государственных услуг (для всех государственных услуг, оказываемых государственными учреждениями субъекта Российской Федерации);

- предусмотрена возможность подачи жалобы на качество отдельных государственных услуг (для всех государственных услуг, оказываемых государственными учреждениями субъекта Российской Федерации).

2.40. Индикатор ИС4 "Доля государственных учреждений субъекта Российской Федерации, информация о результатах деятельности которых за отчетный год размещена в сети Интернет" рассчитывается по следующей формуле:

ИС4 = КГУ(инф) x 100 , где:
КГУ

КГУ(инф) - число государственных учреждений субъекта Российской Федерации, информация о результатах деятельности которых за отчетный год размещена в сети Интернет (без учета казенных учреждений субъекта Российской Федерации, являющихся органами государственной власти субъекта Российской Федерации);

КГУ - общее число государственных учреждений субъекта Российской Федерации (без учета казенных учреждений субъекта Российской Федерации, являющихся органами государственной власти субъекта Российской Федерации).

При расчете значения индикатора информация о результатах деятельности государственных учреждений должна:

- быть размещена на сайте (портале) оказания государственных услуг, либо на сайте высшего исполнительного органа государственной власти субъекта Российской Федерации, либо на сайте раскрытия информации о государственных и муниципальных финансах;

- содержать плановые и фактические значения показателей, характеризующих результаты деятельности отдельных учреждений, в т.ч. объемы и качество оказания учреждением отдельных государственных услуг (выполнения работ).

2.41. Индикатор ИС5 "Доля исполнительных органов государственной власти субъекта Российской Федерации, информация о результатах деятельности которых размещена в сети Интернет" рассчитывается по следующей формуле:

ИС5 = КОГВ(инф) x 100 , где:
КОГВ

КОГВ (инф) - количество исполнительных органов государственной власти субъекта Российской Федерации, информация о плановых и фактических результатах деятельности которых за отчетный год размещена на сайте высшего исполнительного органа государственной власти субъекта Российской Федераций и (или) соответствующего органа исполнительной власти субъекта Российской Федерации";

КОГВ - общее число исполнительных органов государственной власти субъекта Российской Федерации.

При расчете значения индикатора информация о результатах деятельности исполнительных органов государственной власти субъекта Российской Федерации должна:

- быть размещена на сайте высшего исполнительного органа государственной власти субъекта Российской Федерации и (или) соответствующего органа исполнительной власти субъекта Российской Федерации;

- содержать плановые и фактические значения показателей, характеризующих реализацию долгосрочных, ведомственных и иных целевых программ, ответственность за реализацию которых закреплена за соответствующими органами.

2.42. Индикатор МУ1 "Наличие хотя бы одного муниципального образования субъекта Российской Федерации, в котором все муниципальные учреждения являются казенными" принимает положительное значение, если хотя бы в одном муниципальном образовании субъекта Российской Федерации все муниципальные учреждения являются казенными.

Данный индикатор учитывается при расчете комплексной балльной оценки с 1 января 2011 года.

2.43. Индикатор МУ2 "Доля расходов местных бюджетов, утвержденных на 3 года" рассчитывается по следующей формуле:

МУ2 = СРМО(утв) x 100 , где:
РМО(утв)

СРМО(утв) - утвержденный на текущий год объем расходов бюджетов муниципальных районов (городских округов), утвержденных в рамках трехлетних бюджетов;

РМО(утв) - утвержденный на текущий год объем расходов бюджетов муниципальных районов (городских округов).

2.44. Индикатор МУ3 "Доля муниципальных образований, в которых фактические доходы местного бюджета за отчетный период превышают первоначальный план" рассчитывается по следующей формуле:

МУ3 = МО(кпд) x 100 , где:
МО

МО(кпд) - число муниципальных районов (городских округов) субъекта Российской Федерации, у которых фактические доходы бюджета в отчетном году превысили первоначальный план (без учета безвозмездных поступлений);

МО - число муниципальных районов (городских округов) субъекта Российской Федерации.

2.45. Индикатор МУ4 "Доля муниципальных услуг, в отношении которых нормативно установлены требования к качеству их оказания" рассчитывается по следующей формуле:

МУ4 = МУ(стд) x 100 , где:
МУ

МУ(стд) - количество муниципальных услуг, оказываемых за счет средств бюджетов городских округов и муниципальных районов субъекта Российской Федерации, в отношении которых муниципальными правовыми актами были установлены требования к качеству оказания (без учета муниципальных услуг по осуществлению юридически значимых действий);

МУ - общее количество муниципальных услуг, оказываемых за счет средств бюджетов городских округов и муниципальных районов субъекта Российской Федерации (по всем городским округам и муниципальным районам субъекта Российской Федерации), на отчетную дату (без учета муниципальных услуг по осуществлению юридически значимых действий).