Приказ ФСТ РФ от 14.07.2011 N 165-Э/2

"Об утверждении Положения об определении формулы цены газа"
Редакция от 10.11.2011 — Не действует Перейти в действующую
Показать изменения

Зарегистрировано в Минюсте РФ 10 августа 2011 г. N 21593


ФЕДЕРАЛЬНАЯ СЛУЖБА ПО ТАРИФАМ

ПРИКАЗ
от 14 июля 2011 г. N 165-э/2

ОБ УТВЕРЖДЕНИИ ПОЛОЖЕНИЯ ОБ ОПРЕДЕЛЕНИИ ФОРМУЛЫ ЦЕНЫ ГАЗА

(в ред. Приказа ФТС РФ от 10.11.2011 N 263-э/1)

В соответствии с Постановлением Правительства Российской Федерации от 28 мая 2007 года N 333 "О совершенствовании государственного регулирования цен на газ" (Собрание законодательства Российской Федерации, 2007, N 23, ст. 2798; 2011, N 8, ст. 1109), Положением о Федеральной службе по тарифам, утвержденным Постановлением Правительства Российской Федерации от 30 июня 2004 года N 332 (Собрание законодательства Российской Федерации, 2004, N 29, ст. 3049; 2006, N 3, ст. 301; N 23, ст. 2522; N 48, ст. 5032; N 50, ст. 5354; 2007, N 16, ст. 1912; N 25, ст. 3039; N 32, ст. 4145; 2008, N 7, ст. 597; N 17, ст. 1897; N 23, ст. 2719; N 38, ст. 4309; N 46, ст. 5337; 2009, N 1, ст. 142, N 3, ст. 378, N 6, ст. 738; N 9, ст. 1119; N 18 (часть II), ст. 2249; N 33, ст. 4086; 2010, N 9, ст. 960; N 13, ст. 1514; N 25, ст. 3169; N 26, ст. 3350; N 30, ст. 4096; N 45, ст. 5851; 2011, N 14, ст. 1935), а также учитывая итоги рассмотрения данного вопроса на Правлении ФСТ России (протокол от 14 июля 2011 года N 42-э) приказываю:

1. Утвердить Положение об определении формулы цены газа согласно приложению 1 к настоящему Приказу.

2. Признать утратившим силу Приказ ФСТ России от 5 июля 2007 года N 156-э "Об утверждении Положения об определении формулы оптовой цены на газ" (зарегистрировано Минюстом России 26 июля 2007 года, регистрационный N 9912).

3. Дополнить абзац первый пункта 3 Временного положения о государственном регулировании дифференцированных оптовых цен на газ, утвержденного Постановлением ФЭК России от 29 мая 1998 г. N 22/1 (зарегистрировано Минюстом России 2 июля 1998 года, регистрационный N 1548), с изменениями и дополнениями, внесенными Постановлением ФЭК России от 28 января 2004 г. N 6-э/12 (зарегистрировано Минюстом России 17 февраля 2004 года, регистрационный N 5558), после слов "кроме населения" словами "а также потребителей, оптовые цены на газ для которых определяются на основе формулы цены газа, предусматривающей поэтапное достижение в переходной период равной доходности поставок газа на внешний и внутренний рынки и учитывающей стоимость альтернативных видов топлива".

4. Настоящий Приказ вступает в силу в установленном порядке.

Руководитель
Федеральной службы по тарифам
С.НОВИКОВ

Приложение 1
к Приказу
Федеральной службы по тарифам
от 14 июля 2011 г. N 165-э/2

ПОЛОЖЕНИЕ
ОБ ОПРЕДЕЛЕНИИ ФОРМУЛЫ ЦЕНЫ ГАЗА

(в ред. Приказа ФТС РФ от 10.11.2011 N 263-э/1)

I. Общие положения

1. Положение об определении формулы цены газа (далее - Положение) разработано во исполнение Постановления Правительства Российской Федерации от 28 мая 2007 года N 333 "О совершенствовании государственного регулирования цен на газ" (Собрание законодательства Российской Федерации, 2007, N 23, ст. 2798; 2011, N 8, ст. 1109), а также на основании Постановления Правительства Российской Федерации от 29 декабря 2000 года N 1021 "О государственном регулировании цен на газ и тарифов на услуги по его транспортировке на территории Российской Федерации" (Собрание законодательства Российской Федерации, 2001, N 2, ст. 175; 2002, N 21, ст. 2001; 2006, N 50, ст. 5354; 2007, N 23, ст. 2798; N 45, ст. 5504; 2008, N 50, ст. 5971; 2009, N 5, ст. 618; N 30, ст. 3842; 2010, N 49, ст. 6520; 2011, N 8, ст. 1109).

2. Настоящее Положение определяет формулу, по которой определяется размер оптовых цен на газ (далее - цены на газ), поставляемый потребителям Российской Федерации (кроме населения и газа, реализуемого потребителям Российской Федерации, в отношении которого применяются принципы государственного регулирования, предусмотренные пунктами 15.1 - 15.3 Основных положений формирования и государственного регулирования цен на газ и тарифов на услуги по его транспортировке на территории Российской Федерации, утвержденных Постановлением Правительства Российской Федерации от 29 декабря 2000 года N 1021 "О государственном регулировании цен на газ и тарифов на услуги по его транспортировке на территории Российской Федерации" (Собрание законодательства Российской Федерации, 2001, N 2, ст. 175; 2002, N 21, ст. 2001; 2006, N 50, ст. 5354; 2007, N 23, ст. 2798; N 45, ст. 5504; 2008, N 50, ст. 5971; 2009, N 5, ст. 618; N 30, ст. 3842; 2010, N 49, ст. 6520; 2011, N 8, ст. 1109) (далее - Основные положения). Цены, рассчитанные в соответствии с настоящим Положением, применяются при реализации газа на выходе из системы магистрального газопроводного транспорта поставщиками газа (газоснабжающими организациями) непосредственно конечным потребителям, использующим газ в качестве топлива и (или) сырья, или организациям для дальнейшей продажи конечным потребителям (в случае отсутствия в схеме поставки газа магистральных газопроводов - утвержденная в установленном порядке цена на газ, по которой он должен реализовываться на входе в газораспределительные сети поставщиками газа (газоснабжающими организациями) непосредственно конечным потребителям, использующим газ в качестве топлива и (или) сырья, или организациям для дальнейшей продажи конечным потребителям).

3. Положение распространяется на газ, добываемый ОАО "Газпром" и его аффилированными лицами в рамках Единой системы газоснабжения (далее - ЕСГ).

4. Формула цены газа основывается на принципе поэтапного достижения в переходный период равной доходности поставок газа на внутренний и внешний рынки и учитывает стоимость альтернативных видов топлива.

II. Общие подходы к формированию цен на газ, определяемых по формуле цены газа

5. Дифференциация цен на газ осуществляется с учетом особенностей, приведенных в пунктах 6 - 8 настоящего Положения, по ценовым поясам применительно к административным границам субъектов Российской Федерации.

6. В случае если показатели средней протяженности транспортировки газа от мест добычи (производства) газа до точек выхода из системы магистральных газопроводов на территории ряда компактно расположенных субъектов Российской Федерации, и (или) показатели их социально-экономического развития являются схожими, то на базе указанных субъектов Российской Федерации формируется один ценовой пояс.

7. При определении состава ценовых поясов ФСТ России также учитываются:

- маршрутизация потоков газа, предназначенного для потребителей, расположенных на территории субъекта Российской Федерации;

- стоимость и степень использования альтернативных видов топлива;

- наличие на территории субъекта Российской Федерации обособленных друг от друга участков системы газоснабжения.

8. Регионы, поставка газа в которые осуществляется в результате проведения работ по расширению ЕСГ и для которых регулируемые оптовые цены на газ впервые были установлены не ранее 1 января 2007 г., выделяются в отдельные ценовые пояса. При поэтапной газификации субъектов Российской Федерации в результате проведения работ по расширению ЕСГ вновь газифицированная территория на определенном этапе проведения газификации может выделяться в отдельный ценовой пояс.

9. Цены рассчитываются для следующих стандартных параметров газа: (в ред. Приказа ФТС РФ от 10.11.2011 N 263-э/1)

- температура t = 20 °C;

- давление p = 760 мм рт. ст.;

- влажность = 0%;

- расчетная объемная теплота сгорания = 7900 ккал/м3 (33080 кДж/м3). (в ред. Приказа ФТС РФ от 10.11.2011 N 263-э/1)

В случае отклонения фактической объемной теплоты сгорания от 7900 ккал/м3 (33080 кДж/м3) перерасчет цен на газ осуществляется по следующей формуле:

(1),

где:

Ц_i - рассчитанная по формуле (2) цена для i-ого ценового пояса, руб./тыс. м3;

Q(P)_H факт - фактическая объемная теплота сгорания газа, ккал/м3 (кДж/м3);

Q(P)_H расчет - расчетная объемная теплота сгорания газа, ккал/м3 (кДж/м3).

Абзац - Исключен. (в ред. Приказа ФТС РФ от 10.11.2011 N 263-э/1)

10. Цены рассчитываются по формуле (2) в рублях на 1000 м3 газа без учета налога на добавленную стоимость и округляются с точностью до рубля по следующему правилу: 50 и более копеек округляются в сторону увеличения, а 49 и менее копеек - в сторону уменьшения (в ред. Приказа ФТС РФ от 10.11.2011 N 263-э/1)

III. Определение цен на газ

11. Цены на газ определяются дифференцированно по ценовым поясам по следующей формуле:

(2),

где:

Ц_рд - средняя по ЕСГ расчетная цена на газ, обеспечивающая равную доходность поставок газа на внутренний и внешний рынки, руб./тыс. м3.

К_пониж - понижающий коэффициент, обеспечивающий соответствие изменения роста цен на газ средним параметрам ежегодного изменения цен на газ для всех категорий потребителей, кроме населения, устанавливаемых Правительством Российской Федерации, доли единиц;

Кi - коэффициент дифференциации, отражающий отклонение цены для i-го ценового пояса относительно средней по ЕСГ расчетной цены на газ, обеспечивающей равную доходность поставок газа на внутренний и внешний рынки, с учетом понижающего коэффициента, доли единиц.

12. Понижающий коэффициент, а также коэффициенты дифференциации устанавливаются с точностью до четвертого знака после запятой.

13. При применении понижающего коэффициента к цене, равной доходности поставок газа на внешний и внутренний рынки, средневзвешенный уровень дифференцированных по ценовым поясам цен на газ не должен превышать средний уровень цен, определенных на основании устанавливаемых Правительством Российской Федерации средних параметров ежегодного изменения цен на газ.

14. Средняя по ЕСГ расчетная цена на газ, обеспечивающая равную доходность поставок газа на внутренний и внешний рынки (Ц_РД), определяется по следующей формуле:

(3),

где:

Ц_ДЗ - расчетная цена реализации газа на экспорт, за исключением экспорта в страны - участники СНГ (далее - Дальнее Зарубежье), руб./тыс. м3;

С_т.п. - ставка экспортной таможенной пошлины на газ, %;

Р_ДЗ - удельная величина расходов, связанных с поставками газа в Дальнее Зарубежье, руб./тыс. м3;

ДельтаЕ(ср)_РФ - разница между средней стоимостью транспортировки газа от мест добычи до границы Российской Федерации и средней стоимостью транспортировки газа от мест добычи до потребителей Российской Федерации, руб./тыс. м3.

15. Расчетная цена реализации газа в Дальнее Зарубежье (Ц_ДЗ) определяется по следующей формуле:

(4),

где:

М - цена мазута с 1% содержанием серы, рассчитанная как среднеарифметическое непосредственно за девять календарных месяцев до месяца установления ФСТ России размера понижающего коэффициента, базирующаяся на среднеарифметическом между низшими и высшими значениями средних месячных цен на мазут по котировкам BARGES FOB ARA (поставка на условиях FOB Амстердам-Роттердам-Антверпен судами вместимостью до 50 000 баррелей), долларов США за 1 метрическую тонну;

G - цена на газойль с 0,1% содержанием серы, рассчитанная как среднеарифметическое непосредственно за девять календарных месяцев до месяца установления ФСТ России размера понижающего коэффициента, базирующаяся на среднеарифметическом между низшими и высшими значениями средних месячных цен на газойль по котировкам BARGES FOB ARA (поставка на условиях FOB Амстердам-Роттердам-Антверпен судами вместимостью до 50 000 баррелей), долларов США за 1 метрическую тонну;

К_вал - обменный курс рубля к доллару США, установленный Банком России на последний день периода расчета среднеарифметических значений цен мазута (М) и газойля (G).

16. Удельная величина расходов, связанных с поставками газа в Дальнее Зарубежье (Р_ДЗ), определяется как отношение соответствующих расходов (расходы на транспортировку и хранение газа, реализуемого в Дальнее Зарубежье, за пределами территории Российской Федерации, а также реализацию газа в Дальнем Зарубежье) к соответствующему объему реализации газа.

17. Разница между средней стоимостью транспортировки газа от мест добычи до границы Российской Федерации и средней стоимостью транспортировки газа от мест добычи до потребителей Российской Федерации определяется по следующей формуле:

(5),

где:

Т(ср)_эксп - средняя стоимость транспортировки газа, предназначенного для потребителей, расположенных за пределами территории Российской Федерации и государств - участников соглашений о Таможенном союзе, руб./тыс. м3;

Т(ср)_вн.р. - средняя стоимость транспортировки газа, предназначенного для потребителей, расположенных в пределах территории Российской Федерации, руб./тыс. м3.

Средняя стоимость транспортировки газа определяется исходя из соответствующих значений средних расстояний по транспортировке газа, добываемого ОАО "Газпром" и его аффилированными лицами, по магистральным газопроводам по территории Российской Федерации и ставок (удельных ставок) тарифов на услуги по транспортировке газа по магистральным газопроводам, установленных ФСТ России на период расчета оптовых цен на газ.

Средние расстояния по транспортировке газа, добываемого ОАО "Газпром" и его аффилированными лицами, по магистральным газопроводам по территории Российской Федерации определяются как средневзвешенные величины расстояний, принятых ФСТ России на соответствующий год при установлении ставок за пользование магистральными газопроводами тарифов на транспортировку газа независимых производителей по системе магистральных газопроводов, входящей в ЕСГ.

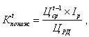
18. Понижающий коэффициент (К_пониж) рассчитывается по следующей формуле:

(6),

где:

Ц(t-1)_ср - средняя по ЕСГ расчетная цена на газ (кроме населения и потребителей, указанных в пункте 15.1 Основных положений) в предыдущем периоде регулирования, руб./тыс. м3;

l_р - определенный Правительством Российской Федерации средний параметр изменения цен на газ для всех категорий потребителей, кроме населения, на период регулирования, доли единиц.

19. Коэффициент дифференциации для i-го ценового пояса на год применения цен в переходный период определяется ФСТ России с учетом:

- необходимости достижения соответствия и единства в подходах к определению цен и регулируемых тарифов на услуги по транспортировке газа и их изменению в зависимости от удаленности ценовых поясов (зон выхода) от мест добычи (производства) газа, а также необходимости формирования сходных параметров социально-экономического развития территорий, не имеющих административных границ с другими субъектами Российской Федерации и не относящихся к территориям островов Российской Федерации и наиболее близко расположенных к ним субъектов Российской Федерации;

- средних удельных затрат на добычу (производство), транспортировку и хранение газа для газоснабжения потребителей конкретного ценового пояса;

- возможного темпа изменения цен для конкретного ценового пояса в году применения цен;

- цен на альтернативные топливно-энергетические ресурсы и цен на газ независимых поставщиков в ценовом поясе.

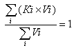
При установлении коэффициентов дифференциации должно выполняться следующее условие:

(7),

где V_i - объем реализации газа в i-ом ценовом поясе, млн. куб. м.

20. Перечень показателей, необходимых для проведения расчета цен на газ по формуле цены газа с указанием периодичности и источников их получения (в том числе перечень материалов, предоставляемых организациями, осуществляющими регулируемые виды деятельности), с указанием базовых периодов за (на) который определяются значения показателей, приведены в приложениях 1 и 2 к настоящему Положению.

Приложение 1
к Положению
об определении формулы цены
газа, утвержденному Приказом
Федеральной службы по тарифам
от 14 июля 2011 г. N 165-э/2

ПОКАЗАТЕЛИ, ИСПОЛЬЗУЕМЫЕ ПРИ РАСЧЕТЕ ЦЕНЫ НА ГАЗ ПО ФОРМУЛЕ ЦЕНЫ ГАЗА

Показатели Единицы измерения Источник/метод определения показателя Период, за/на который определяется значение показателя
среднеарифметическая цена мазута с 1% содержанием серы долл. США за 1 метрическую тонну определяется как среднеарифметическое между низшими и высшими значениями средних месячных цен на мазут непосредственно за девять календарных месяцев до месяца установления ФСТ России размера понижающего коэффициента
низшие и высшие значения средних месячных цен на мазут долл. США за 1 метрическую тонну по информации котировальных агентств непосредственно за девять календарных месяцев до месяца установления ФСТ России размера понижающего коэффициента
среднеарифметическая цена на газойль с 0,1% содержанием серы долл. США за 1 метрическую тонну определяется как среднеарифметическое между низшими и высшими значениями средних месячных цен на газойль непосредственно за девять календарных месяцев до месяца установления ФСТ России размера понижающего коэффициента
низшие и высшие значения средних месячных цен на газойль долл. США за 1 метрическую тонну по информации котировальных агентств непосредственно за девять календарных месяцев до месяца установления ФСТ России размера понижающего коэффициента
официальный курс рубля к доллару США руб./долл. США установленный ЦБ РФ на последний день периода расчета среднеарифметических значений цен мазута (М) и газойля (G)
ставка экспортной таможенной пошлины на газ % утвержденная в установленном порядке действующее значение на момент установления ФСТ России размера понижающего коэффициента
удельная величина расходов, связанных с поставками газа в Дальнее Зарубежье руб./тыс. м3 определяется в соответствии с п. 16 настоящего Положения фактические данные за 4 полных квартала до месяца установления ФСТ России размера понижающего коэффициента, а если расчет размера понижающего коэффициента производится в первом месяце квартала, то фактические данные за 4 полных квартала, отсчитываемых от только что завершившегося квартала
расходы на транспортировку, хранение и реализацию газа в Дальнее Зарубежье, осуществляемые за пределами РФ млн. руб. фактические данные фактические данные за 4 полных квартала до месяца установления ФСТ России размера понижающего коэффициента, а если расчет размера понижающего коэффициента производится в первом месяце квартала, то фактические данные за 4 полных квартала, отсчитываемых от только что завершившегося квартала
объем реализации газа в Дальнее Зарубежье млрд. м3 фактические данные фактические данные за 4 полных квартала до месяца установления ФСТ России размера понижающего коэффициента, а если расчет размера понижающего коэффициента производится в первом месяце квартала, то фактические данные за 4 полных квартала, отсчитываемых от только что завершившегося квартала
понижающий коэффициент, обеспечивающий темп роста цен на газ в расчетном календарном году доли единиц определяется в соответствии с п. 18 настоящего Положения на период регулирования
коэффициент дифференциации, отражающий отклонение цены для i-го пояса относительно цены базового пояса доли единиц определяется ФСТ России в соответствии с п. 19 настоящего Положения на период регулирования
разница между средней стоимостью транспортировки газа от мест добычи до границы Российской Федерации и средней стоимостью транспортировки газа от мест добычи до потребителей Российской Федерации руб./тыс. м3 определяется по формуле (5) п. 17 настоящего Положения на период регулирования
средние расстояния по транспортировке газа, добываемого ОАО "Газпром" и его аффилированными лицами, соответственно на экспорт и на внутренний рынок по магистральным газопроводам по территории Российской Федерации км определяются ФСТ России как средневзвешенные величины расстояний, принятых ФСТ России на соответствующий год при установлении ставок за пользование магистральными газопроводами тарифов на услуги по транспортировке газа по магистральным газопроводам ОАО "Газпром" для независимых организаций на период регулирования
ставки (удельные ставки) тарифов на услуги по транспортировке газа по магистральным газопроводам   утвержденные ФСТ России на период регулирования
расчетное средневзвешенное значение цены руб./тыс. м3 рассчитанное ФСТ России на основании утвержденных (определенных в соответствии с настоящим Положением) цен на газ и объемов поставки газа по ценовым поясам за предыдущий период регулирования цен на газ
индекс изменения цен на газ, реализуемый потребителям Российской Федерации (кроме населения) доли единиц определяется Правительством Российской Федерации на период регулирования

Приложение 2
к Положению
об определении формулы цены
газа, утвержденному Приказом
Федеральной службы по тарифам
от 14 июля 2011 г. N 165-э/2

ПЕРЕЧЕНЬ НЕОБХОДИМЫХ МАТЕРИАЛОВ, ПРЕДОСТАВЛЯЕМЫХ ОРГАНИЗАЦИЯМИ, ОСУЩЕСТВЛЯЮЩИМИ РЕГУЛИРУЕМЫЕ ВИДЫ ДЕЯТЕЛЬНОСТИ

Показатели Единицы измерения Периодичность представления данных Источник получения данных Срок предоставления данных
Расходы на транспортировку, хранение и реализацию газа в Дальнее Зарубежье, осуществляемые за пределами Российской Федерации млн. руб. ежеквартально ОАО "Газпром" 40 дней по истечении квартала