Бетоны. Правила контроля и оценки прочности. ГОСТ р 53231-2008

(утв. Приказом Ростехрегулирования от 25.12.2008 N 760-СТ)
Редакция от 25.12.2008 — Документ не действует

Утвержден и введен в действие
Приказом Ростехрегулирования
от 25 декабря 2008 г. N 760-ст

НАЦИОНАЛЬНЫЙ СТАНДАРТ РОССИЙСКОЙ ФЕДЕРАЦИИ

БЕТОНЫ

ПРАВИЛА КОНТРОЛЯ И ОЦЕНКИ ПРОЧНОСТИ

Concretes. Rules for control and assessment of strength

ГОСТ Р 53231-2008

Группа Ж19

ОКС 91.100.30

Дата введения
1 января 2010 года

Предисловие

Цели и принципы стандартизации в Российской Федерации установлены Федеральным законом от 27 декабря 2002 г. N 184-ФЗ "О техническом регулировании", а правила применения национальных стандартов Российской Федерации - ГОСТ Р 1.0-2004 "Стандартизация в Российской Федерации. Основные положения".

Сведения о стандарте

1. Разработан Научно-исследовательским, проектно-конструкторским и технологическим институтом бетона и железобетона (НИИЖБ - филиал Федерального государственного унитарного предприятия "НИЦ Строительство").

2. Внесен Техническим комитетом по стандартизации ТК 465 "Строительство".

3. Утвержден и введен в действие Приказом Федерального агентства по техническому регулированию и метрологии от 25 декабря 2008 г. N 760-ст.

4. Введен впервые.

Информация об изменениях к настоящему стандарту публикуется в ежегодно издаваемом информационном указателе "Национальные стандарты", а текст изменений и поправок - в ежемесячно издаваемых информационных указателях "Национальные стандарты". В случае пересмотра (замены) или отмены настоящего стандарта соответствующее уведомление будет опубликовано в ежемесячно издаваемом информационном указателе "Национальные стандарты". Соответствующая информация, уведомление и тексты размещаются также в информационной системе общего пользования - на официальном сайте Федерального агентства по техническому регулированию и метрологии в сети Интернет.

1. Область применения

Настоящий стандарт распространяется на все виды бетонов, для которых нормируется прочность, и устанавливает правила контроля и оценки прочности готовой к применению бетонной смеси, бетона монолитных, сборно-монолитных и сборных бетонных и железобетонных конструкций.

Выполнение требований настоящего стандарта гарантирует обеспечение принятых при проектировании расчетных и нормативных сопротивлений бетона конструкций.

2. Нормативные ссылки

В настоящем стандарте приведены ссылки на следующие стандарты:

ГОСТ 7473-94. Смеси бетонные. Технические условия

ГОСТ 10180-90. Бетоны. Методы определения прочности по контрольным образцам

ГОСТ 13015-2003. Изделия железобетонные и бетонные для строительства. Общие технические требования. Правила приемки, маркировки, транспортирования и хранения

ГОСТ 17624-87. Бетоны. Ультразвуковой метод определения прочности

ГОСТ 22690-88. Бетоны. Определение прочности механическими методами неразрушающего контроля

ГОСТ 27006-86. Бетоны. Правила подбора состава

ГОСТ 28570-90. Бетоны. Методы определения прочности по образцам, отобранным из конструкций.

Примечание. При пользовании настоящим стандартом целесообразно проверить действие ссылочных стандартов в информационной системе общего пользования - на официальном сайте Федерального агентства по техническому регулированию и метрологии в сети Интернет или по ежегодно издаваемому информационному указателю "Национальные стандарты", который опубликован по состоянию на 1 января текущего года, и по соответствующим ежемесячно издаваемым информационным указателям, опубликованным в текущем году. Если ссылочный стандарт заменен (изменен), то при пользовании настоящим стандартом следует руководствоваться заменяющим (измененным) стандартом. Если ссылочный стандарт отменен без замены, то положение, в котором дана ссылка на него, применяется в части, не затрагивающей эту ссылку.

3. Термины и определения

В настоящем стандарте применены следующие термины с соответствующими определениями:

3.1. Нормируемая прочность бетона: проектные классы бетона (B, B_tb, B_t) в проектном возрасте или их доля в промежуточном возрасте, установленные в нормативном или техническом документе, по которому изготавливают конструкцию или бетонную смесь, готовую к применению (далее - БСГ).

Примечание. B - класс бетона по прочности на сжатие, B_tb - класс бетона по прочности на растяжение при изгибе; B_t - класс бетона по прочности на осевое растяжение.

3.2. Требуемая прочность бетона R_т: минимально допустимое среднее значение прочности бетона в контролируемых партиях бетона или конструкций, соответствующее нормируемой прочности бетона и ее фактической однородности.

3.3. Фактический класс бетона В_ф: фактическое значение класса бетона в партии конструкций, рассчитанное по результатам определения фактической прочности бетона и ее однородности, которое может отличаться от значения параметрического ряда, установленного в нормативном или техническом документе на бетоны конкретных видов.

3.4. Фактическая прочность бетона R_m: среднее значение прочности бетона, рассчитанное по результатам ее определения по контрольным образцам или на участках конструкций.

3.5. Проба бетона: объем БСГ одного номинального состава, из которого одновременно изготавливают одну или несколько серий контрольных образцов.

3.6. Серия контрольных образцов: несколько образцов (от двух до шести), изготовленных из одной пробы БСГ или отобранных из одной конструкции, твердеющих в одинаковых условиях, для определения одного вида нормируемой прочности (см. 3.1).

3.7. Партия бетона: объем БСГ одного номинального состава, изготовленный и/или уложенный на одном технологическом комплексе за определенное время.

3.8. Партия (группа) конструкций: часть монолитной конструкции, одна или несколько монолитных или сборных конструкций, отформованных в течение суток из БСГ одного номинального состава, изготовленной на одном технологическом комплексе.

3.9. Контролируемый участок конструкции: часть конструкции, на которой проводят определение единичного значения прочности бетона неразрушающими методами.

3.10. Зона конструкции: часть контролируемой конструкции, прочность бетона которой отличается от средней прочности конструкции более чем на 15%.

3.11. Анализируемый период: период времени, за который вычисляют среднее значение коэффициента вариации прочности бетона для партий, изготовленных за этот период, для назначения требуемой прочности в течение следующего контролируемого периода.

3.12. Контролируемый период: период времени, в течение которого требуемая прочность бетона принимается постоянной в соответствии с коэффициентом вариации за предыдущий анализируемый период.

3.13. Текущий контроль: контроль прочности бетона конструкций, при котором значения фактической прочности и однородности бетона по прочности рассчитывают по результатам этого контроля.

3.14. Разрушающие методы определения прочности бетона: определение прочности бетона по контрольным образцам, изготовленным из бетонной смеси по ГОСТ 10180 или отобранным из конструкций по ГОСТ 28570.

3.15. Прямые неразрушающие методы определения прочности бетона, не требующие обязательной градуировки: определение прочности бетона по "отрыву со скалыванием" и "скалыванию ребра" по ГОСТ 22690.

3.16. Косвенные неразрушающие методы определения прочности бетона: методы определения прочности бетона по предварительно установленным градуировочным зависимостям между прочностью бетона, определенной одним из разрушающих или прямых неразрушающих методов, и косвенными характеристиками прочности, определяемыми по ГОСТ 22690 и ГОСТ 17624.

3.17. Захватка: объем бетона монолитной конструкции или ее части, уложенный при непрерывном бетонировании в течение не более суток, одной или нескольких партий БСГ.

3.18. Единичное значение прочности: значение нормируемого вида фактической прочности бетона, учитываемое при расчете характеристик однородности бетона.

4. Основные положения

4.1. Контроль и оценку прочности бетона на предприятиях и в организациях, производящих БСГ, сборные, сборно-монолитные и монолитные бетонные и железобетонные конструкции, следует проводить статистическими методами с учетом характеристик однородности бетона по прочности.

Приемка бетона путем сравнения его фактической прочности с нормируемой без учета характеристик однородности бетона по прочности не допускается, за исключением случаев, предусмотренных в 4.3 (схема Г).

4.2. Контролю подлежат все виды нормируемой прочности:

- отпускная и передаточная прочность - для сборных конструкций;

- прочность в промежуточном возрасте - для монолитных конструкций (при снятии несущей опалубки; нагружении конструкций до достижения ими проектной прочности и т.д.);

- прочность в проектном возрасте - для БСГ, сборных, сборно-монолитных и монолитных конструкций.

В случае, если нормируемая отпускная или передаточная прочность бетона сборных конструкций составляет 90% и более значения проектного класса, контроль прочности в проектном возрасте не проводят.

4.3. Контроль прочности бетона по каждому виду нормируемой прочности, указанному в 4.2, проводят по одной из следующих схем:

- схема А - определение характеристик однородности бетона по прочности, при котором используют не менее 30 единичных результатов определения прочности, полученных при контроле прочности бетона предыдущих партий в анализируемом периоде;

- схема Б - определение характеристик однородности бетона по прочности, при котором используют не менее 15 единичных результатов определения прочности в партии бетона или конструкций, подлежащей приемке, и предыдущих проконтролированных партиях;

- схема В - определение характеристик однородности бетона по прочности, при котором используют данные текущего неразрушающего контроля прочности бетона только одной партии конструкций; общее число участков испытаний должно соответствовать требованиям 5.7;

- схема Г - без определения характеристик однородности бетона по прочности, когда при изготовлении единичных конструкций или в начальный период производства невозможно получить число результатов определения прочности бетона, предусмотренное схемами А, Б и В.

4.4. Контроль прочности бетона проводят:

- для сборных конструкций - по схемам А, Б, В, Г;

- для БСГ - по схемам А, Б и Г.

Контроль прочности монолитных конструкций проводят по схеме В, при этом допускается:

- по согласованию с проектной организацией или организацией, осуществляющей научно-техническое сопровождение строительства, серии контрольных образцов для контроля нормируемой прочности бетона не изготавливать, а оценивать прочность бетона по данным сплошного неразрушающего контроля прочности бетона в конструкции;

- в случаях невозможности проведения неразрушающего контроля прочности бетона монолитных конструкций по схеме В проводить контроль либо по схеме Б по результатам испытания образцов, изготовленных на строительной площадке и твердевших по 5.4, либо по схеме Г.

4.5. При контроле и оценке прочности бетона сборных конструкций по схеме А:

- определяют прочность бетона в каждой партии конструкций, изготовленной в течение анализируемого периода;

- рассчитывают характеристики однородности бетона по прочности за анализируемый период;

- определяют требуемую прочность бетона для следующего контролируемого периода по характеристикам однородности бетона по прочности за анализируемый период по 7.1, формула (8);

- проводят оценку прочности бетона каждой партии конструкций, изготовленной в контролируемом периоде.

При контроле и оценке прочности бетона сборных конструкций по схеме Б:

- определяют прочность бетона в текущей контролируемой партии бетона или конструкций;

- рассчитывают характеристики однородности бетона по прочности (скользящий коэффициент вариации) в текущей контролируемой партии бетона или конструкций и предыдущих проконтролированных партиях;

- определяют требуемую прочность бетона в текущей контролируемой партии по 7.1, формула (9);

- проводят оценку прочности бетона в текущей контролируемой партии.

4.6. При контроле и оценке прочности бетона сборных конструкций неразрушающими методами по схеме В:

- определяют прочность бетона в текущей контролируемой партии конструкций с учетом 5.7;

- рассчитывают характеристики однородности бетона по прочности в текущей контролируемой партии конструкций;

- определяют фактический класс бетона в текущей контролируемой партии конструкций по 7.4, формула (11);

- проводят оценку прочности бетона в текущей контролируемой партии.

При контроле и оценке прочности бетона сборных конструкций по схеме Г:

- определяют прочность бетона в текущей контролируемой партии бетона или конструкций;

- определяют требуемую прочность бетона по 7.2, формула (10);

- проводят оценку прочности бетона в текущей контролируемой партии.

4.7. При контроле и оценке прочности БСГ на предприятии-изготовителе по схеме А:

- определяют прочность бетона в каждой партии, изготовленной в течение анализируемого периода;

- рассчитывают характеристики однородности бетона по прочности за анализируемый период;

- определяют требуемую прочность бетона для следующего контролируемого периода по характеристикам однородности бетона по прочности за анализируемый период;

- проводят оценку прочности бетона каждой партии, изготовленной в контролируемом периоде.

4.8. При контроле и оценке прочности БСГ на предприятии-изготовителе по схеме Б:

- определяют прочность бетона в текущей контролируемой партии;

- рассчитывают характеристики однородности бетона по прочности (скользящий коэффициент вариации) в текущей контролируемой партии и предыдущих проконтролированных партиях;

- определяют требуемую прочность бетона для текущей контролируемой партии;

- проводят оценку прочности бетона в текущей контролируемой партии по схеме Г:

- определяют прочность бетона в каждой партии, изготовленной в контролируемом периоде;

- определяют требуемую прочность бетона по 7.2, формула (10);

- проводят оценку прочности бетона в текущей контролируемой партии.

4.9. При контроле и оценке прочности бетона партий монолитных конструкций по схеме Б:

- определяют прочность и характеристику однородности бетона по прочности в текущей контролируемой партии конструкций;

- рассчитывают характеристики однородности бетона по прочности (скользящий коэффициент вариации) в текущей контролируемой партии и предыдущих проконтролированных партиях конструкций;

- определяют фактический класс бетона по 7.4, формула (11);

- проводят оценку прочности бетона в текущей контролируемой партии.

При контроле и оценке прочности бетона партий монолитных конструкций по схеме В:

- определяют прочность бетона в текущей контролируемой партии конструкций;

- рассчитывают характеристики однородности бетона по прочности в текущей контролируемой партии конструкций с учетом погрешности применяемых неразрушающих методов;

- определяют фактический класс бетона по 7.4, формула (11);

- проводят оценку прочности бетона в текущей контролируемой партии.

При контроле и оценке прочности бетона партий монолитных конструкций по схеме Г:

- определяют прочность бетона в текущей контролируемой партии конструкций;

- определяют фактический класс бетона по 7.6, формула (13);

- проводят оценку прочности бетона в текущей контролируемой партии.

4.10. В качестве характеристики однородности бетона по прочности, используемой для определения требуемой прочности бетона R_т или фактического класса бетона В_ф, вычисляют коэффициент вариации прочности бетона:

- средний для всех партий бетона за анализируемый период - при контроле по схеме А и скользящий (вычисленный для контролируемой и последних предыдущих партий) - при контроле по схеме Б;

- текущий для партии (группы) контролируемых конструкций, отдельных конструкций или их контролируемых зон с учетом требований 5.7, V_m - при контроле по схеме В.

При контроле по схеме Г коэффициент вариации не вычисляют.

5. Определение прочности бетона

5.1. В состав партии бетона следует включать бетон одного номинального состава по ГОСТ 27006. При этом БСГ должна быть приготовлена, а сборные или монолитные конструкции отформованы на одном технологическом комплексе по одной технологии.

Продолжительность изготовления партии бетона должна быть не более:

- одной недели - для сборных конструкций;

- одного месяца - для БСГ;

- одних суток - для монолитных конструкций.

Допускается объединять бетоны одного класса по прочности и разного номинального состава в одну партию, если выполняются следующие условия:

- максимальный из средних значений коэффициент вариации прочности бетонов объединенных составов за анализируемый период не превышает 13%;

- разность между максимальными и минимальными значениями коэффициента вариации прочности бетонов объединенных составов за анализируемый период не превышает 2%;

- наибольшая крупность заполнителя и показатель удобоукладываемости бетонов объединенных составов отличаются не более чем в два раза, а расход цемента в этих составах отличается не более чем на 10% среднего значения.

Регламентируемые условия объединения составов бетона проверяют один раз в год по результатам определения статистических характеристик однородности бетона по прочности отдельно по каждому номинальному составу за два последних контролируемых периода.

При объединении в одну партию бетонов различных составов значение коэффициента вариации прочности бетона в первый контролируемый период определяют как среднее значение коэффициентов вариации по отдельным номинальным составам.

5.2. При контроле по образцам для определения прочности бетона из произвольно выбранных замесов отбирают не менее двух проб бетонной смеси от каждой партии бетона (за исключением ячеистого бетона) и не менее одной пробы:

- в смену - на предприятии - изготовителе сборных конструкций;

- в сутки - на предприятии - изготовителе БСГ и строительной площадке при изготовлении монолитных конструкций.

5.3. Из каждой пробы бетонной смеси изготавливают по одной серии контрольных образцов для контроля каждого вида нормируемой прочности, указанной в 4.2.

Допускается изготавливать серии контрольных образцов для определения прочности бетона сборных конструкций в проектном возрасте не из каждой пробы, а не менее чем из двух проб, отбираемых от одной партии бетона в неделю, - при классе бетона по прочности В30 и ниже и четырех проб, отбираемых от двух партий в неделю, - при классе бетона по прочности В35 и выше.

Для контроля прочности ячеистого бетона из готовых конструкций каждой партии или из блоков, изготовленных одновременно с этими конструкциями, выпиливают или выбуривают не менее двух серий образцов.

Число образцов в серии - по ГОСТ 10180.

5.4. Контрольные образцы бетона сборных конструкций должны твердеть в одинаковых с конструкциями условиях до определения отпускной или передаточной прочности. Последующее твердение образцов, предназначенных для определения прочности бетона в проектном возрасте, должно проходить в нормальных условиях при температуре (20 +/- 3) °C и относительной влажности воздуха (95 +/- 5)%.

Контрольные образцы БСГ, предназначенной для изготовления монолитных конструкций, должны твердеть на предприятии - изготовителе бетонной смеси в нормальных условиях. Контрольные образцы бетона, изготовленные на строительной площадке при осуществлении входного контроля прочности бетона партий БСГ, должны твердеть в нормальных условиях. Контрольные образцы бетона, изготовленные на строительной площадке для контроля и оценки прочности бетона партий монолитных конструкций (по схеме Б) должны твердеть в условиях, предусмотренных технологическим регламентом на производство монолитных бетонных и железобетонных конструкций.

5.5. Контроль прочности бетона косвенными неразрушающими методами проводят с обязательным использованием градуировочных зависимостей, предварительно установленных в соответствии с требованиями ГОСТ 22690 и ГОСТ 17624.

При контроле прочности бетона неразрушающими методами для определения отпускной прочности бетона сборных конструкций от партии отбирают не менее трех конструкций. Число участков для определения передаточной прочности указывают в технологической документации на производство работ (регламент или технологическая карта).

При определении прочности бетона монолитных конструкций неразрушающими методами в промежуточном возрасте контролируют не менее одной конструкции каждого вида (колонна, стена, перекрытие, ригель и т.д.) из партии бетона, уложенной в течение суток, или части конструкции в случае, если ее бетонирование проводят более суток.

5.6. При контроле прочности бетона сборных конструкций неразрушающими методами число контролируемых конструкций каждого вида принимают не менее 10% и не менее 12 штук из партии (см. ГОСТ 13015). Если партия состоит из 12 конструкций и менее, осуществляют сплошной контроль.

5.7. Неразрушающий контроль прочности бетона монолитных конструкций должен проводиться для каждого вида конструкций. При этом число участков испытаний должно быть не менее:

- трех на каждую захватку - для плоских конструкций (стена, перекрытие, фундаментная плита и т.д.);

- шести на каждую конструкцию - для линейных вертикальных конструкций (колонны, пилоны);

- одного на 4 м длины или трех на захватку каждой конструкции - для линейных горизонтальных конструкций (балки, ригели).

Число измерений, проводимых на каждом контролируемом участке, принимают по ГОСТ 17624 или ГОСТ 22690.

Общее число участков измерений для расчета характеристик однородности и прочности бетона партии (группы) конструкций (при контроле по схеме В) должно быть не менее 20. Для оценки класса бетона отдельных конструкций число участков измерений должно быть не менее шести.

5.8. Фактическую прочность бетона в партии R_m, МПа, рассчитывают по формуле

,   (1)

где R_i - единичное значение прочности бетона, МПа;

n - общее число единичных значений прочности бетона в партии.

За единичное значение прочности бетона принимают:

- при контроле по образцам - среднюю прочность серий образцов, изготовленных из одной пробы бетона, для контроля одного вида нормируемой прочности по 4.2;

- при контроле неразрушающими методами - среднюю прочность бетона контролируемого участка или зоны конструкции, или среднюю прочность бетона конструкции.

Указания по выбору единичного значения прочности бетона при применении неразрушающих методов определения прочности, в зависимости от вида конструкций, приведены в Приложении А.

5.9. Прочность бетона определяют по результатам испытаний образцов бетона по ГОСТ 10180 и ГОСТ 28570 или неразрушающими методами по ГОСТ 17624 и ГОСТ 22690.

Прочность на сжатие бетона сборных конструкций в проектном возрасте и прочность бетона на растяжение определяют только по образцам.

6. Определение характеристик однородности бетона по прочности

6.1. Продолжительность анализируемого периода для определения характеристик однородности бетона по прочности по схемам А и Б устанавливают от одной недели до 3 мес.

Число единичных значений прочности бетона в течение этого периода в зависимости от выбранной схемы контроля должно соответствовать требованиям 4.3.

6.2. Для каждой партии бетона или конструкций вычисляют среднеквадратическое отклонение S_m и коэффициент вариации прочности бетона V_m. Указанные характеристики вычисляют для всех видов нормируемой прочности по 4.2. Допускается для сборных конструкций не вычислять коэффициент вариации прочности бетона в проектном возрасте, а принимать равным 85% коэффициента вариации отпускной прочности.

6.3. Среднеквадратическое отклонение прочности бетона в партии S_m, МПа, рассчитывают по формуле

,   (2)

При числе единичных значений прочности бетона в партии от двух до шести допускается значение S_m рассчитывать по формуле

,   (3)

где W_m - размах единичных значений прочности бетона в контролируемой партии, определяемый как разность между максимальным и минимальным единичными значениями прочности, МПа;

a - коэффициент, зависящий от числа единичных значений прочности бетона n, принимаемый по таблице 1.

Таблица 1

Коэффициент

Число единичных значений n 2 3 4 5 6
Коэффициент альфа 1,13 1,69 2,06 2,33 2,5

6.4. Фактический класс бетона по прочности В_ф определяют по значению фактической средней прочности R_m и коэффициенту вариации или V_m.

6.5. При контроле прочности бетона неразрушающими методами, если в качестве единичного значения принимают прочность участка или зоны конструкции, среднеквадратическое отклонение рассчитывают S_m по формуле

,   (4)

где n - число участков определения прочности;

S_н.м - среднеквадратическое отклонение прочности бетона в контролируемой партии по результатам испытаний неразрушающими методами;

S_т - среднеквадратическая ошибка градуировочной зависимости, определяемая по формуле

,   (5)

где S_т.н.м - среднеквадратическая ошибка построенной градуировочной зависимости;

S_т.м.о.с - среднеквадратическая ошибка градуировочной зависимости метода отрыва со скалыванием, принимаемая равной 0,04 средней прочности бетона участков, использованных при построении градуировочной зависимости, при анкерном устройстве с глубиной заделки 48 мм; 0,05 средней прочности - глубиной 35 мм; 0,06 средней прочности - глубиной 30 мм и 0,07 средней прочности - глубиной 20 мм;

r - коэффициент корреляции градуировочной зависимости, определяемый при ее построении.

6.6. Коэффициент вариации прочности бетона в партии бетона или конструкций , %, рассчитывают по формуле

,   (6)

6.7. При контроле по схемам А и Б среднее значение коэффициента вариации прочности бетона за анализируемый период , %, рассчитывают по формуле

,   (7)

где V_mi - коэффициенты вариации прочности бетона в каждой i-й партии, определяемые по формуле (6);

n_i - число единичных значений прочности бетона в каждой i-й партии;

SUM(n)_(i=1) n_i - общее число единичных значений прочности бетона за анализируемый период.

6.8. Допускается при контроле нерегулярно выпускаемых партий БСГ и сборных конструкций коэффициент вариации прочности бетона принимать равным коэффициенту вариации прочности бетона другого состава при условии его изготовления по одной технологии, на одинаковых материалах и отличающегося по прочности не более чем на два класса.

7. Определение требуемой прочности и фактического класса прочности бетона

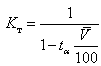
7.1. Требуемую прочность бетона каждого вида R_т, МПа, рассчитывают по формуле

R_т = К_тВ ,   (8)

где - коэффициент требуемой прочности, принимаемый по таблице 2 при контроле по схеме А;

B - нормируемое значение прочности бетона.

Таблица 2

Коэффициент требуемой прочности К_т

Коэффициент вариации прочности , V_m, % Коэффициент требуемой прочности K_т для
всех видов бетонов (кроме плотных силикатных и ячеистых) и конструкций (кроме массивных гидротехнических конструкций) плотного силикатного бетона ячеистого бетона бетона массивных гидротехнических конструкций
6 и менее 1,07 1,06 1,08 1,09
7 1,08 1,07 1,09 1,10
8 1,09 1,08 1,10 1,11
9 1,11 1,09 1,12 1,13
10 1,14 1,12 1,13 1,14
11 1,18 1,14 1,14 1,16
12 1,23 1,18 1,17 1,18
13 1,28 1,22 1,22 1,20
14 1,33 1,27 1,26 1,22
15 1,38 1,33 1,32 1,23
16 1,43 1,39 1,37 1,25
17   1,46 1,43 1,28
18     1,50 1,32
19     1,57 1,36
20 Область недопустимых значений   1,39
Более 20        

При контроле по схеме Б коэффициент требуемой прочности бетона рассчитывают по формуле

,   (9)

где t_альфа - коэффициент, принимаемый по таблице 3 в зависимости от числа единичных значений прочности бетона n, по которым рассчитан средний коэффициент вариаций прочности партий бетона или конструкций .

Таблица 3

Значение коэффициента t_aльфа

Число единичных значений прочности бетона n Коэффициент t_альфа
2 6,31
3 2,92
4 2,35
5 2,13
6 2,01
7 1,94
8 1,89
9 1,86
10 1,83
11 1,81
12 1,80
13 1,78
14 1,77
15 1,76
20 1,73
25 1,71
30 1,70
40 1,68
бесконечность 1,64

7.2. Требуемую прочность бетона R_т, МПа, при контроле по схеме Г рассчитывают по формуле

,   (10)

где К_дельта - коэффициент, принимаемый по таблице 4 в зависимости от вида бетона.

Таблица 4

Коэффициент К_дельта

Вид бетона Коэффициент K_дельта
Все виды бетонов (кроме плотного силикатного и ячеистого) 0,78
Плотный силикатный 0,75
Ячеистый 0,70

7.3. При контроле по схемам А и Б продолжительность контролируемого периода, в течение которого может использоваться значение требуемой прочности, следует принимать от одной недели до 3 мес.

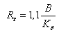
7.4. Фактический класс бетона В_ф при контроле конструкций рассчитывают по формуле

,   (11)

где R_m - средняя фактическая прочность бетона партии (группы) конструкций по данным испытаний, МПа;

К_т - коэффициент требуемой прочности, принимаемый по таблице 2 или определяемый по 7.1, формула (9).

7.5. Значение фактического класса бетона В_ф зоны, партии или отдельной конструкции, в которой невозможно осуществить число испытаний, требуемое по 5.7, а единичное значение прочности бетона отклоняется от средней прочности бетона не более чем на 5%, рассчитывают по формуле

,   (12)

где t_бета - коэффициент, принимаемый по таблице 5 в зависимости от числа измерений; при отклонении более 5% - по 7.6, формула (13).

Таблица 5

Коэффициент t_бета

Число единичных значений прочности бетона n Коэффициент t_бета
2 12,70
3 4,30
4 3,18
5 2,78
6 2,57
7 2,45
8 2,36
9 2,31
10 2,26
11 2,23
12 2,20
13 2,18
14 2,16
15 2,14
16 2,13
17 2,12
18 2,11
19 2,10

7.6. При контроле по схеме Г при условии, что единичное значение прочности бетона не ниже значения нормируемого класса, приближенное значение фактического класса прочности бетона В_ф рассчитывают по формуле

В_ф = 0,8 х R_m ,   (12)

8. Приемка бетона по прочности

8.1. Приемку партий бетона и конструкций проводят по следующим нормируемым видам прочности:

- фактической прочности в проектном возрасте - для БСГ;

- фактическим отпускной, передаточной и проектной прочности - для бетона сборных конструкций;

- фактическому классу прочности бетона в промежуточном и проектном возрасте - для монолитных конструкций.

8.2. Партия бетона подлежит приемке, если фактическая прочность бетона в партии R_m будет не ниже требуемой прочности R_т (R_mR_т), а минимальное единичное значение прочности R_min - не менее величины (R_т - 4) МПа.

Партия (группа) монолитных конструкций подлежит приемке, если фактический класс бетона в партии и каждой отдельной конструкции этой партии В_ф не ниже проектного класса бетона B (В_ф В).

8.3. Контроль обеспечения прочности бетона сборных конструкций в проектном возрасте проводят периодически по 5.3 сравнением требуемой прочности в проектном возрасте со средней прочностью бетона в этом возрасте всех проконтролированных за неделю партий.

Прочность бетона сборных конструкций в проектном возрасте признают соответствующей требованиям, если выполняются условия по 8.2. Результаты проверки относятся ко всем партиям бетона, изготовленным за неделю.

В случае нарушения указанных условий изготовитель обязан в трехдневный срок после окончания всех испытаний сообщить об этом потребителю.

8.4. Возможность использования партий конструкций, фактическая прочность или фактический класс прочности бетона которых не соответствует требованиям 8.2, должна быть согласована с проектной организацией объекта строительства.

8.5. Значения требуемой прочности бетона БСГ и сборных конструкций должны быть указаны в документе о качестве партий сборных конструкций по ГОСТ 13015 или БСГ по ГОСТ 7473.

8.6. Значения фактического класса прочности монолитных конструкций должны быть приведены в заключении по результатам текущего контроля.

Приложение А

(обязательное)

ВЫБОР ЕДИНИЧНОГО ЗНАЧЕНИЯ ПРОЧНОСТИ БЕТОНА ПРИ НЕРАЗРУШАЮЩЕМ КОНТРОЛЕ

За единичное значение прочности бетона при неразрушающем контроле принимают:

- среднюю прочность бетона конструкции, вычисленную как среднеарифметическое значение прочности бетона контролируемых участков конструкции, - при контроле плоских и многопустотных плит перекрытий и покрытий, дорожных плит, панелей внутренних несущих стен, стеновых блоков, а также напорных и безнапорных труб;

- среднюю прочность бетона контролируемого участка или зоны конструкции, или части монолитной и сборно-монолитной конструкции - для других видов конструкций.