Положение о порядке предоставления Банком России кредитов банкам, обеспеченных залогом государственных ценных бумаг

(утв. ЦБ РФ 06.03.98 N 19-П)
Редакция от 24.06.2002 — Документ утратил силу, см. «Указание ЦБ РФ от 04.08.2003 N 1315-У»
Показать изменения

ЦЕНТРАЛЬНЫЙ БАНК РОССИЙСКОЙ ФЕДЕРАЦИИ

6 марта 1998 г. N 19-П

ПОЛОЖЕНИЕ
О ПОРЯДКЕ ПРЕДОСТАВЛЕНИЯ БАНКОМ РОССИИ КРЕДИТОВ БАНКАМ, ОБЕСПЕЧЕННЫХ ЗАЛОГОМ ГОСУДАРСТВЕННЫХ ЦЕННЫХ БУМАГ

(в ред. Указаний ЦБ РФ от 04.06.98 N 250-У, от 25.12.98 N 450-У, от 15.04.99 N 544-У, от 26.11.99 N 689-У, от 24.06.2002 N 1169-У)

1. Общие положения

1.1. Настоящее Положение определяет порядок предоставления Банком России кредитов, обеспеченных залогом государственных ценных бумаг <*>, банкам и расчетным небанковским кредитным организациям <**> (далее по тексту - "банки").

<*> Далее по тексту - "кредиты Банка России".

<**> Определение и характеристика деятельности расчетных небанковских кредитных организаций даны в Положении Банка России "О пруденциальном регулировании деятельности небанковских кредитных организаций, осуществляющих операции по расчетам, и организаций инкассации" от 08.09.97 N 516.

Кредиты Банка России предоставляются в соответствии со статьями 4, 40, 45 и 46 Федерального закона "О Центральном банке Российской Федерации (Банке России)" банкам - резидентам Российской Федерации в валюте Российской Федерации в целях поддержания и регулирования ликвидности банковской системы.

Согласно статье 36 Федерального закона "О Центральном банке Российской Федерации (Банке России)" кредиты Банка России предоставляются банкам в пределах общего объема выдаваемых кредитов, определенного Банком России в соответствии с принятыми ориентирами единой государственной денежно - кредитной политики.

На основании статьи 42 Федерального закона "О Центральном банке Российской Федерации (Банке России)" Банк России вправе устанавливать лимиты рефинансирования банкам.

1.2. Кредиты Банка России выдаются на условиях обеспеченности, срочности, возвратности и платности.

1.3. Обеспечением кредитов Банка России является залог (блокировка) государственных ценных бумаг, включенных в Ломбардный список Банка России (далее по тексту - "Ломбардный список"). (в ред. Указания ЦБ РФ от 26.11.99 N 689-У)

Ломбардный список (изменения и дополнения к нему) утверждается Советом директоров Банка России по представлению Комитета Банка России по денежно - кредитной политике и официально публикуется в "Вестнике Банка России". (в ред. Указания ЦБ РФ от 26.11.99 N 689-У)

По решению Совета директоров Банка России в обеспечение кредитов Банка России могут приниматься ценные бумаги, не входящие в Ломбардный список. Предоставление кредитов Банка России, обеспеченных залогом таких ценных бумаг, осуществляется в соответствии с требованиями настоящего Положения. (в ред. Указания ЦБ РФ от 26.11.99 N 689-У)

<*> Далее по тексту - "генеральный кредитный договор".

1.4. Банк России предоставляет банкам следующие виды кредитов: внутридневные кредиты, однодневные расчетные кредиты (далее по тексту - "кредиты овернайт") и ломбардные кредиты (на сроки, устанавливаемые Банком России). (в ред. Указания ЦБ РФ от 04.06.98 N 250-У)

1.5. Возврат банками - заемщиками кредитов Банка России и уплата процентов по ним производится в установленные сроки. Изменение сроков погашения кредитов Банка России не допускается. Исключение из данной нормы может быть сделано только по решению Совета директоров Банка России (либо в случаях, установленных настоящим Положением).

1.6. Размер процентных ставок по кредитам овернайт устанавливается Рабочей группой Комитета Банка России по денежно - кредитной политике, размер ставки отсечения по результатам проведенного ломбардного аукциона устанавливается Комитетом Банка России по денежно - кредитной политике, размер процентных ставок по ломбардным кредитам, предоставляемых по фиксированной процентной ставке, и платы за право пользования внутридневными кредитами - Советом директоров Банка России по представлению Комитета Банка России по денежно - кредитной политике. Процентные ставки по кредитам Банка России (кредитам овернайт и ломбардным кредитам) и размер платы за право пользования внутридневными кредитами официально публикуются в "Вестнике Банка России". (в ред. Указания ЦБ РФ от 26.11.99 N 689-У)

1.7. При наличии достаточного обеспечения и соблюдении условий, установленных настоящим Положением, банк может получить несколько видов кредитов в один день, в том числе получить несколько ломбардных кредитов на различные либо одинаковые сроки и / или несколько внутридневных кредитов.

1.8. Кредиты Банка России от имени Банка России предоставляются банкам уполномоченными учреждениями (подразделениями) Банка России <*> в порядке, установленном настоящим Положением, на основании генерального кредитного договора.

Банк России не предоставляет кредиты филиалам банков <**>.

<*> Здесь и далее по тексту под уполномоченными учреждениями Банка России применительно к настоящему Положению понимаются территориальные учреждения Банка России и их расчетные подразделения (ГРКЦ, РКЦ). Уполномоченные подразделения Банка России назначаются распорядительным документом Банка России. (в ред. Указания ЦБ РФ от 26.11.99 N 689-У)

<**> В отдельных случаях Банк России вправе принять решение о перечислении суммы кредита Банка России на корреспондентский субсчет филиала того банка, с которым заключен генеральный кредитный договор, и / или о разрешении внутридневного дебетового сальдо по корреспондентскому субсчету филиала такого банка в установленном Банком России порядке (при наличии письменного ходатайства банка и заключения соответствующего дополнительного соглашения к генеральному кредитному договору).

2. Общие условия предоставления и погашения кредитов Банка России

2.1. Кредиты Банка России предоставляются банкам:

2.1.1. заключившим с Банком России следующие договоры <*>:

<*> Указанные документы должны быть подписаны должностными лицами банка, подписи которых соответствуют образцам подписей, представленным в карточке образцов подписей, находящейся в уполномоченном учреждении / подразделении Банка России.

1) генеральный кредитный договор, составленный по форме Приложения 1 к настоящему Положению. При заключении генерального кредитного договора банк самостоятельно выбирает, какими видами кредитов Банка России он будет пользоваться. Заключение генерального кредитного договора на получение внутридневного кредита одновременно требует заключения генерального кредитного договора на предоставление кредита овернайт;

2) дополнительное(ые) соглашение(я) к Договору(ам) корреспондентского счета (корреспондентского(их) субсчета(ов)): (в ред. Указания ЦБ РФ от 26.11.99 N 689-У)

а) о предоставлении Банку России права на списание с корреспондентского счета (корреспондентского(их) субсчета(ов)) банка в расчетных подразделениях Банка России денежных средств в объеме не погашенных в срок требований Банка России по предоставленным кредитам без распоряжения банка - владельца корреспондентского счета (корреспондентского(их) субсчета(ов)) на основании инкассового поручения уполномоченного учреждения Банка России в порядке очередности, установленной законодательством; (в ред. Указания ЦБ РФ от 26.11.99 N 689-У)

б) о предоставлении Банку России права на списание суммы платы за право пользования внутридневными кредитами без распоряжения банка - владельца корреспондентского счета на основании инкассового поручения уполномоченного учреждения Банка России в порядке очередности, установленной законодательством (если генеральным кредитным договором предусмотрено получение банком внутридневных кредитов);

в) о проведении в течение дня списания средств с корреспондентского счета банка по расчетным документам сверх имеющихся на нем средств (если генеральным кредитным договором предусмотрено получение банком внутридневных кредитов);

2.1.2. имеющим счет депо в уполномоченном Депозитарии (далее по тексту - "Депозитарий"). Процедура получения статуса Депозитария определена в Приложении 1д к настоящему Положению.

Информация о Депозитариях публикуется в "Вестнике Банка России";

2.1.3. заключившим дополнительное соглашение к Депозитарному договору с Депозитарием:

1) об открытии раздела "Блокировано Банком России" на своем счете депо и о праве Банка России присвоить полный номер этому разделу;

2) о праве Банка России открывать и присваивать номера следующим разделам на счете депо банка:

а) "Блокировано в залоге под ломбардные кредиты Банка России", "Блокировано для торгов по реализации ценных бумаг, заложенных под ломбардные кредиты Банка России" (если генеральным кредитным договором предусмотрено получение банком ломбардных кредитов); (в ред. Указания ЦБ РФ от 24.06.2002 N 1169-У)

б) "Блокировано в залоге под кредиты овернайт Банка России", "Блокировано для торгов по реализации ценных бумаг, заложенных по кредитам овернайт Банка России" (если генеральным кредитным договором предусмотрено получение банком кредитов овернайт);

3) о назначении Банка России оператором разделов счета депо банка <*>, указанных в пункте 2.1.3 настоящего Положения;

<*> Банк России является оператором разделов "Блокировано для торгов по реализации ценных бумаг, заложенных под ломбардные кредиты Банка России", "Блокировано для торгов по реализации ценных бумаг, заложенных по кредитам овернайт Банка России" счета депо Банка в период времени, не связанный с проведением торгов и осуществлением расчетов.

4) о праве Банка России закрывать разделы счета депо банка, указанные в пункте 2.1.3 настоящего Положения.

2.2. Кредиты Банка России предоставляются при условии предварительного блокирования банком государственных ценных бумаг (включенных в Ломбардный список) в разделе "Блокировано Банком России" счета депо банка в Депозитарии.

Банки самостоятельно определяют количество и выпуски государственных ценных бумаг, подлежащих предварительному блокированию, в целях получения при необходимости кредитов Банка России в порядке, определенном настоящим Положением.

2.3. Государственные ценные бумаги (предварительно блокируемые и принимаемые в залог) должны отвечать следующим требованиям:

1) должны быть включены в Ломбардный список;

2) учитываться на счете депо банка, открытом в Депозитарии;

3) принадлежать банку на праве собственности и не быть обремененными другими обязательствами банка;

4) иметь срок погашения не ранее чем через 10 календарных дней после наступления срока погашения предоставленного кредита Банка России;

5) не допускались случаи ареста ценных бумаг на счете "депо" банка в Депозитарии в течение последних 90 календарных дней. (в ред. Указания ЦБ РФ от 26.11.99 N 689-У)

2.4. Рыночная стоимость государственных ценных бумаг (учитываемых в разделе "Блокировано Банком России" счета депо банка), скорректированная на соответствующий поправочный коэффициент Банка России, является максимально возможной величиной (суммой) кредита(ов) (с учетом начисляемых процентов по кредиту(ам)), которую банк может получить у Банка России.

Поправочный коэффициент - числовой множитель (значение которого находится в интервале от 0 до 1), рассчитываемый исходя из возможных изменений (колебаний) цен государственных ценных бумаг на Организованном рынке ценных бумаг <*>, на который корректируется рыночная стоимость государственных ценных бумаг. Поправочный коэффициент устанавливается Банком России в целях снижения своих рисков, связанных с возможным обесценением государственных ценных бумаг, принимаемых в обеспечение кредитов Банка России.

<*> Далее по тексту - "ОРЦБ".

Размер поправочного коэффициента, используемого при проверке достаточности обеспечения суммы запрашиваемого / предоставляемого кредита и расчете цены заложенных (заблокированных) государственных ценных бумаг, устанавливается Советом директоров Банка России по представлению Комитета Банка России по денежно - кредитной политике и официально публикуется в "Вестнике Банка России". (в ред. Указания ЦБ РФ от 26.11.99 N 689-У)

2.5. Кредиты Банка России предоставляются банку, если на момент предоставления кредита одновременно выполняются четыре следующих условия: (в ред. Указания ЦБ РФ от 26.11.99 N 689-У)

1) банк отнесен к 1 - 2 классификационным группа м (исходя из критериев, установленных письмом Банка России от 28.05.97 N 457) на последние 3 отчетные даты; (в ред. Указания ЦБ РФ от 26.11.99 N 689-У)

2) банк выполнил требования и условия пп. 2.1 и 2.2 настоящего Положения и не допускались случаи ареста денежных средств на корреспондентском счете (корреспондентском(их) субсчете(ах)) банка в расчетных подразделениях Банка России в течение последних 90 календарных дней; (в ред. Указания ЦБ РФ от 26.11.99 N 689-У)

3) государственные ценные бумаги, предварительно заблокированные банком, отвечают требованиям пункта 2.3 настоящего Положения;

4) банк отвечает следующим критериям на начало дня, являющегося днем выдачи кредита / на момент предоставления кредита:

а) имеет достаточное обеспечение по кредиту;

б) в полном объеме выполняет обязательные резервные требования;

в) не допускались просроченная задолженность по кредитам, ранее предоставленным Банком России, и процентам по ним, а также другие просроченные денежные обязательства перед Банком России в течение последних 90 календарных дней. (в ред. Указания ЦБ РФ от 26.11.99 N 689-У)

2.6. Обеспечение кредита считается достаточным, если рыночная стоимость предварительно заблокированных банком государственных ценных бумаг, скорректированная на соответствующий поправочный коэффициент, установленный Банком России, больше или равна сумме запрашиваемого банком кредита (требуемой сумме кредита), включая сумму начисленных процентов за предполагаемый период пользования кредитом. (в ред. Указания ЦБ РФ от 26.11.99 N 689-У)

В качестве рыночной цены (стоимости) заблокированных государственных ценных бумаг принимается средневзвешенная цена каждого выпуска государственных ценных бумаг, сложившаяся на начало дня по итогам последней торговой сессии либо последнего проведенного аукциона по размещению государственных ценных бумаг на ОРЦБ. В случае, если на начало дня средневзвешенная цена какого-либо выпуска государственных ценных бумаг не определялась, в качестве рыночной цены (стоимости) заблокированных государственных ценных бумаг принимается средневзвешенная цена этого выпуска государственных ценных бумаг, сложившаяся в течение текущего дня по итогам торговой сессии либо проведенного аукциона по размещению государственных ценных бумаг на ОРЦБ. Средневзвешенная цена каждого выпуска государственных ценных бумаг официально публикуется в соответствии с правилами обращения государственных ценных бумаг. (в ред. Указания ЦБ РФ от 26.11.99 N 689-У)

Расчет достаточности обеспечения кредитов Банка России приведен в Приложении 4 к настоящему Положению.

2.7. Уполномоченные учреждения (подразделения) Банка России, в том числе кустовые уполномоченные учреждения Банка России <*>, до момента предоставления кредита контролируют соблюдение банками условий, установленных в пункте 2.5 настоящего Положения. При несоблюдении банком хотя бы одного из условий (указанных в пункте 2.5 настоящего Положения) уполномоченное учреждение (подразделение) Банка России не предоставляет кредит банку.

<*> Под кустовыми уполномоченными учреждениями Банка России применительно к настоящему Положению понимаются уполномоченные учреждения Банка России, которые организуют работу по предоставлению кредитов Банка России банкам не только своего региона, но и банкам прикрепленных регионов.

Невыполнение банком хотя бы одного из условий, указанных в пункте 2.5 настоящего Положения, приостанавливает обязательства Банка России, изложенные в генеральном кредитном договоре, с того рабочего дня (с момента времени), когда уполномоченным учреждением (подразделением) Банка России получено документальное подтверждение об этом. Обязательства Банка России по предоставлению новых кредитов возобновляются с того рабочего дня (с момента времени), когда уполномоченным учреждением (подразделением) Банка России получено документальное подтверждение об устранении банком установленных нарушений.

Недостаточное обеспечение либо возможность исчерпания лимита рефинансирования (в установленных Банком России случаях) является основанием для отказа в предоставлении запрашиваемой банком (требуемой банку) суммы кредита. В этом случае кредит Банка России может быть предоставлен в меньшем объеме, в том числе ломбардный кредит может быть предоставлен на основании нового заявления банка - заемщика, где указывается новая сумма кредита.

2.8. Документами, подтверждающими факт предоставления Банком России кредитов банку, являются:

1) при предоставлении ломбардных кредитов и / или кредитов овернайт: а) выписка по корреспондентскому счету банка (либо документ на бумажном носителе и / или в электронном виде, утвержденный в соответствующем уполномоченном учреждении Банка России, в зависимости от технологии осуществления расчетов внутри региона), официально подтверждающая зачисление средств на корреспондентский счет банка; б) выписка по ссудному счету банка (либо документ на бумажном носителе и / или в электронном виде); в) Извещение о предоставлении кредита Банка России, обеспеченного залогом государственных бумаг, являющееся неотъемлемой частью генерального кредитного договора (составленное по форме Приложения 5 к настоящему Положению) и оформленное Банком России (далее по тексту - "Извещение");

2) при предоставлении внутридневных кредитов - промежуточная выписка о состоянии корреспондентского счета банка (либо документ на бумажном носителе и / или в электронном виде), официально свидетельствующая о наличии внутридневного дебетового сальдо (в пределах разрешенной Банком России величины (установленного внутридневного лимита рефинансирования по данному виду кредита)).

2.9. Начисление процентов за пользование кредитами Банка России (ломбардным кредитом, кредитом овернайт) осуществляется по соответствующей процентной ставке, действующей на дату предоставления кредита (в процентах годовых) и указанной в Извещении (либо в заявлении банка - в случае, указанном в п. 4.1.6 настоящего Положения). Начисление и взимание процентов за пользование внутридневными кредитами не производится, за право пользования внутридневными кредитами взимается плата в порядке, установленном пунктом 4.3.4 настоящего Положения.

При изменении величины процентных ставок Банка России начисление и уплата процентов по ранее выданным кредитам осуществляются по процентной ставке, указанной в Извещении (либо в заявлении банка - в случае, указанном в пункте 4.1.6 настоящего Положения). Начисление и уплата процентов по вновь выдаваемым кредитам Банка России с применением новых процентных ставок осуществляются Банком России с даты вступления в силу решения Рабочей группы Комитета Банка России по денежно - кредитной политике или Комитета Банка России по денежно - кредитной политике или Совета директоров Банка России об изменении величины соответствующих процентных ставок по кредитам Банка России. (в ред. Указания ЦБ РФ от 26.11.99 N 689-У)

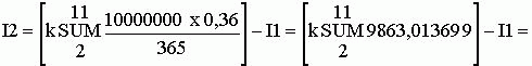
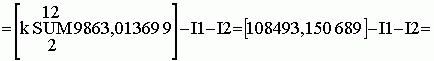
Начисление процентов на сумму основного долга производится по формуле простых процентов за период фактического пользования кредитом (до дня (даты) погашения кредита включительно), исходя из количества календарных дней в году (365 или 366 дней соответственно) <*>. Проценты начисляются на остаток задолженности по основному долгу, учитываемой на ссудном счете на начало операционного дня <**> (Приложение 1п к настоящему Положению). Если дни периода начисления процентов по кредиту Банка России приходятся на календарные годы с различным количеством дней (365 и 366 дней соответственно), то начисление процентов за дни, приходящиеся на календарный год с количеством дней 365, производится из расчета 365 календарных дней в году, а за дни, приходящиеся на календарный год с количеством дней 366, производится из расчета 366 календарных дней в году. (в ред. Указания ЦБ РФ от 26.11.99 N 689-У)

<*> В подсчет фактического числа календарных дней, в течение которых Банк пользовался кредитом Банка России, включаются установленные федеральными законами выходные и праздничные дни, а также выходные дни, перенесенные на рабочие дни по решению Правительства Российской Федерации.

<**> Дата (день) зачисления денежных средств на корреспондентский счет банка не учитывается при расчете суммы начисленных процентов.

Проценты за пользование кредитом Банка России уплачиваются банками до погашения суммы основного долга по кредиту.

2.10. Погашение банком задолженности по кредиту Банка России (по кредиту овернайт и по ломбардному кредиту) и уплата процентов по нему производятся в срок, указанный в Извещении (либо в заявлении банка - в случае, указанном в пункте 4.1.6 настоящего Положения).

Банк - заемщик обязан соблюдать следующую очередность удовлетворения требований Банка России по предоставленному кредиту: в первую очередь банк должен уплатить проценты за пользование кредитом, затем погасить сумму основного долга по кредиту.

Днем (датой) прекращения обязательств банка по возврату кредита Банка России и уплате процентов по нему считается:

1) при погашении ломбардного(ых) кредита(ов) и / или кредита овернайт: а) день (дата) списания денежных средств с корреспондентского счета банка в расчетном подразделении Банка России на основании платежного поручения банка в сумме, покрывающей объем требований Банка России; б) день (дата) поступления средств от реализации (приобретения Банком России) заложенных ценных бумаг, выручка от реализации (покупная цена) которых покрывает объем требований Банка России; в) день (дата) списания средств с корреспондентского счета (корреспондентского(их) субсчета(ов)) банка в расчетных подразделениях Банка России без распоряжения банка на основании инкассового поручения уполномоченного учреждения Банка России на сумму оставшихся непогашенными требований Банка России; (в ред. Указания ЦБ РФ от 26.11.99 N 689-У)

2) при погашении внутридневного кредита: а) момент зачисления средств на корреспондентский счет банка в сумме, покрывающей допущенное банком внутридневное разрешенное дебетовое сальдо; б) момент переоформления суммы допущенного внутридневного разрешенного дебетового сальдо в кредит овернайт в установленном настоящим Положением порядке (в конце операционного дня).

В случае, если в период пользования кредитом Банка России уполномоченным государственным органом выносится постановление (определение) об аресте денежных средств на корреспондентском счете (корреспондентском(их) субсчете(ах)) банка в расчетных подразделениях Банка России, последний вправе в одностороннем порядке потребовать досрочного погашения кредита. В случае невыполнения банком указанного требования в течение следующего рабочего дня Банк России приступает к осуществлению действий, предусмотренных в разделе 3 настоящего Положения. (в ред. Указания ЦБ РФ от 26.11.99 N 689-У)

При аресте ценных бумаг, принадлежащих банку и находящихся в залоге у Банка России на разделах счета депо банка, оператором которых является Банк России, банк в течение 3-х рабочих дней обязан произвести замену предмета залога на иное ликвидное имущество, перечень которого утверждается Советом директоров Банка России. В случае невыполнения банком указанного требования Банк России вправе в одностороннем порядке потребовать досрочного погашения кредита и списать денежные средства в погашение всей суммы требований Банка России по кредиту с корреспондентского счета (корреспондентского(их) субсчета(ов)) банка в расчетных подразделениях Банка России без распоряжения банка на основании инкассового поручения, выписываемого уполномоченным учреждением Банка России, в порядке очередности, установленной законодательством. (в ред. Указания ЦБ РФ от 26.11.99 N 689-У)

2.11. Процедура предоставления и погашения кредитов Банка России определена Регламентом (Приложение 6 к настоящему Положению).

3. Погашение кредитов Банка России в случае неисполнения банками своих обязательств

3.1. При неисполнении (ненадлежащем исполнении) банком обязательств по возврату кредита Банка России и уплате процентов по нему отсрочка платежа не производится и Банк России начинает процедуру реализации заложенных ценных бумаг (далее - "залог"). Банк России также вправе производить списания средств с корреспондентского счета (корреспондентского(их) субсчета(ов)) банка в расчетных подразделениях Банка России без распоряжения банка на основании инкассовых поручений, выписываемых уполномоченным учреждением Банка России, в порядке очередности, установленной законодательством, в погашение суммы требований Банка России. Сумма требований Банка России определяется по состоянию на начало операционного дня. (в ред. Указания ЦБ РФ от 26.11.99 N 689-У)

В этом случае уполномоченное учреждение (подразделение) Банка России, предоставившее кредит, в конце операционного дня (являющегося установленным днем (датой) погашения обязательств банка) переносит ссудную задолженность на счета по учету просроченной ссудной задолженности по основному долгу и просроченных процентов. Аналогичная запись по счетам делается в балансе банка - должника, составляемом на ту же отчетную дату.

Банк России вправе реализовать только часть заложенных ценных бумаг, если сумма выручки от их реализации достаточна для удовлетворения всей суммы требований Банка России. При этом Банк России самостоятельно производит выбор конкретных видов, а внутри вида - конкретных выпусков заложенных ценных бумаг. (в ред. Указания ЦБ РФ от 26.11.99 N 689-У)

3.2. За неисполнение (ненадлежащее исполнение) банком обязательств по возврату кредитов Банка России банк (кроме уплаты процентов за фактическое количество дней пользования кредитом) уплачивает пени, начисляемые на сумму просроченного основного долга. Пени начисляются на остаток по счету по учету просроченной ссудной задолженности по основному долгу на начало операционного дня за каждый календарный день просрочки (до дня (даты) удовлетворения всех требований Банка России включительно) <*> (Приложение 1п к настоящему Положению). Пени начисляются в размере 0,3 ставки рефинансирования Банка России, действующей на установленную дату исполнения обязательства, деленной на фактическое количество дней в текущем году (365 или 366 соответственно). Если дни периода начисления пеней по кредиту Банка России приходятся на календарные годы с различным количеством дней (365 и 366 дней соответственно), то начисление пеней за дни, приходящиеся на календарный год с количеством дней 365, производится из расчета 365 календарных дней в году, а за дни, приходящиеся на календарный год с количеством дней 366, производится из расчета 366 календарных дней в году. (в ред. Указания ЦБ РФ от 26.11.99 N 689-У)

<*> День (дата), являющий(ая)ся сроком исполнения обязательств по кредиту Банка России и указанный(ая) в Извещении (заявлении банка, согласованном с Банком России, в соответствии с п. 4.1.6 настоящего Положения), не учитывается при расчете суммы пеней.

3.3. Требования Банка России удовлетворяются из выручки от реализации залога без обращения в суд в порядке, установленном настоящим Положением и нормативными актами, регламентирующими обращение государственных ценных бумаг.

В объем требований Банка России по предоставленному кредиту, кроме суммы начисленных процентов по кредиту и суммы основного долга по кредиту Банка России, включаются сумма неустойки в виде пеней (начисляемая в порядке, указанном в п. 3.2 настоящего Положения), а также расходы Банка России, связанные с реализацией залога.

3.4. Залог выставляется Банком России (уполномоченным подразделением) на продажу на следующий рабочий день (после установленного срока исполнения обязательств по кредиту). Реализация залога производится на ОРЦБ в течение четырех торговых сессий подряд (без учета дней проведения аукционов по размещению государственных ценных бумаг).

3.5. За счет выручки от реализации заложенных государственных ценных бумаг в первую очередь возмещаются расходы Банка России, связанные с его реализацией, затем погашается задолженность банка по процентам и задолженность банка по кредиту (в сумме основного долга), в последнюю очередь - причитающаяся к уплате сумма неустойки (пеней) за неисполнение (ненадлежащее исполнение) обязательств банка по генеральному кредитному договору.

3.6. Сумма выручки от реализации заложенных государственных ценных бумаг, оставшаяся после удовлетворения всех требований Банка России, перечисляется на корреспондентский счет банка - заемщика в расчетном подразделении Банка России не позднее следующего дня после погашения требований Банка России по просроченному кредиту на основании мемориального ордера уполномоченного учреждения Банка России.

3.7. Исключен. - Указание ЦБ РФ от 26.11.99 N 689-У.

3.8. Если по окончании четвертого дня реализации залога <*> торги по реализации залога признаются несостоявшимися <**>, Банк России (на основании генерального кредитного договора) приобретает оставшиеся нереализованными заложенные государственные ценные бумаги (по средневзвешенной цене, сложившейся по итогам четвертого торгового дня) и засчитывает в счет покупной цены свои требования.

<*> Отсчет ведется начиная со дня первой торговой сессии на ОРЦБ после дня отнесения ссудной задолженности по кредиту Банка России на счета по учету просроченной ссудной задолженности по основному долгу и просроченных процентов (без учета дней проведения аукционов по размещению государственных ценных бумаг).

<**> К случаям признания торгов несостоявшимися относятся:

- признание торгов несостоявшимися в соответствии с Положением об обслуживании и обращении выпусков государственных краткосрочных бескупонных облигаций от 15.06.95 N 02-125 с учетом изменений и дополнений (пункт 4.28);

- невозможность реализации всех или части заложенных ценных бумаг в срок, установленный в Договоре, на ценовых условиях, предусмотренных для реализации заложенных ценных бумаг, в соответствии с Положением об обслуживании и обращении выпусков государственных краткосрочных бескупонных облигаций от 15.06.95 N 02-125 с учетом изменений и дополнений.

При этом Банк России вправе приобрести только часть оставшихся нереализованными заложенных ценных бумаг, если их стоимость (покупная цена) достаточна для удовлетворения всей суммы требований Банка России. Банк России самостоятельно производит выбор конкретных видов, а внутри вида - конкретных выпусков оставшихся нереализованными заложенных ценных бумаг. (в ред. Указания ЦБ РФ от 26.11.99 N 689-У)

3.9. В случае, если покупная цена приобретенных Банком России государственных ценных бумаг окажется выше объема требований Банка России к банку, уполномоченное учреждение Банка России перечисляет средства в размере незачтенной части покупной цены на корреспондентский счет банка на основании мемориального ордера.

3.10. Исключен. - Указание ЦБ РФ от 26.11.99 N 689-У.

3.11. В случае, если банк - должник после установленного срока исполнил свои обязательства перед Банком России (т.е. на основании платежного поручения банка - должника и / или инкассового поручения Банка России произведено списание денежных средств с его корреспондентского счета (корреспондентского(их) субсчета(ов)) в расчетном подразделении Банка России), и / или Банк России реализовал или приобрел весь залог или его часть, то не позднее следующего рабочего дня излишне поступившие в погашение требований Банка России денежные средства перечисляются на корреспондентский счет банка - должника и Банк России прекращает дальнейшую реализацию залога. В этом случае в течение двух рабочих дней уполномоченное подразделение Банка России направляет поручение "депо" Депозитарию на перевод нереализованной части залога соответственно из раздела "Блокировано для торгов по реализации ценных бумаг, заложенных под ломбардные кредиты Банка России" / "Блокировано для торгов по реализации ценных бумаг, заложенных по кредитам овернайт Банка России" в Основной раздел счета депо банка. (в ред. Указания ЦБ РФ от 26.11.99 N 689-У)

3.12. Не позднее следующего рабочего дня после реализации залога и / или после приобретения Банком России заложенных государственных ценных бумаг Банк России направляет банку Уведомление о взаиморасчетах по ссудной задолженности по форме Приложения 7 к настоящему Положению.

4. Особенности предоставления и погашения отдельных видов кредитов Банка России

4.1. Особенности предоставления и погашения ломбардных кредитов

4.1.1. Ломбардные кредиты предоставляются банкам на сроки, устанавливаемые Банком России. (в ред. Указания ЦБ РФ от 04.06.98 N 250-У)

4.1.2. Ломбардные кредиты предоставляются двумя способами:

1) по заявлениям банков. В этом случае ломбардный кредит предоставляется в любой рабочий день по фиксированной ломбардной процентной ставке, установленной Банком России; срок кредита определяется в заявлении банка;

Телеграммой ЦБ РФ от 08.07.98 N 282-У установлено, что с 8 июля 1998 года предоставление банкам ломбардных кредитов будет осуществляться только на сроки до 7 календарных дней включительно посредством кредитных аукционов. Предоставление банкам ломбардных кредитов по фиксированной процентной ставке приостановлено до особых указаний.

2) по результатам проведенного ломбардного кредитного аукциона. В этом случае ломбардные кредиты предоставляются после проведения аукциона по процентной ставке, определяемой условиями и итогами аукциона; срок кредита определяется Банком России в официальном сообщении о проведении аукциона.

4.1.3. Ломбардные кредиты предоставляются уполномоченным учреждением (подразделением) Банка России на основании следующих документов <*>:

<*> Указанные документы должны быть подписаны должностными лицами банка, подписи которых соответствуют образцам подписей, представленным в карточке образцов подписей, находящейся в уполномоченном учреждении / подразделении Банка России.

а) заключенного генерального кредитного договора, предусматривающего предоставление банку ломбардных кредитов;

б) заявления на получение ломбардного кредита по фиксированной процентной ставке (составленного по форме Приложения 8 к настоящему Положению) или удовлетворенной / частично удовлетворенной заявки на участие в ломбардном кредитном аукционе (составленной по форме Приложения 9 к настоящему Положению), в которой указывается как общая, так и минимальная сумма запрашиваемого банком ломбардного кредита (в случае частичного удовлетворения заявки).

4.1.4. Рассмотрение заявления банка на получение ломбардного кредита, а также осуществление необходимых проверок производится уполномоченным учреждением (подразделением) Банка России в течение одного рабочего дня с момента поступления заявления банка в уполномоченное учреждение (подразделение) Банка России. Исполнение заявления производится в сроки, установленные Регламентом (Приложение 6 к настоящему Положению).

4.1.5. Уполномоченные учреждения (подразделения) Банка России не принимают к исполнению заявления банков на получение ломбардного(ых) кредита(ов), в которых указана дата погашения кредита, приходящаяся на установленные федеральными законами выходные и праздничные дни, а также выходные дни, перенесенные на рабочие дни, по решению Правительства Российской Федерации.

4.1.6. В случае, если погашение предоставленного ломбардного кредита будет приходиться на нерабочий день (если соответствующее решение Правительства Российской Федерации будет принято после дня предоставления ломбардного кредита), Банк России по согласованию с банком - заемщиком может:

а) уменьшить (увеличить) срок, на который будет предоставлен кредит, на соответствующее количество нерабочих дней (один или несколько дней до ближайшего рабочего дня) без изменения величины процентной ставки, если срок пользования кредитом вписывается в тот же временной интервал. При этом количество дней пользования ломбардным кредитом не должно превышать сроки, установленные Банком России; (в ред. Указания ЦБ РФ от 04.06.98 N 250-У)

б) увеличить (уменьшить) срок, на который будет предоставлен кредит, на соответствующее количество нерабочих дней (один или несколько дней до ближайшего рабочего дня) и изменить величину процентной ставки, если срок пользования кредитом будет относиться к следующему или предыдущему временному интервалу, по которому установлена другая фиксированная процентная ставка. При этом количество дней пользования ломбардным кредитом не должно превышать сроки, установленные Банком России. (в ред. Указания ЦБ РФ от 04.06.98 N 250-У)

В этом случае банк представляет в уполномоченное учреждение (подразделение) Банка России заявление на продление (сокращение) срока пользования ломбардным кредитом (в письменном виде в произвольной форме в трех экземплярах), в котором указываются новая дата погашения кредита, новый размер процентной ставки по кредиту (при необходимости) и новая сумма причитающихся к уплате процентов по кредиту <*>. Указанное заявление (с отметкой уполномоченного учреждения (подразделения) Банка России о согласии) является неотъемлемой частью генерального кредитного договора. При этом начисление процентов за пользование ломбардным кредитом осуществляется по процентной ставке, указанной в этом заявлении за весь срок пользования ломбардным кредитом. Размер процентной ставки не подлежит изменению и действует до даты возврата банком ссудной задолженности, указанной в заявлении. Погашение банком задолженности по кредиту Банка России и уплата процентов по нему производятся в срок, указанный в этом же заявлении.

<*> Указанные документы должны быть подписаны должностными лицами банка, подписи которых соответствуют образцам подписей, представленным в карточке образцов подписей, находящейся в уполномоченном учреждении / подразделении Банка России.

В иных случаях (кроме указанных в настоящем пункте и в пункте 1.5 настоящего Положения) изменение срока пользования кредитом Банка России не допускается.

4.1.7. Днем предоставления ломбардного кредита является день зачисления суммы кредита на корреспондентский счет банка в расчетном подразделении Банка России.

4.1.8. Ломбардные кредитные аукционы проводятся Банком России (место их проведения - город Москва) как процентные конкурсы заявок банков на получение ломбардного кредита. Основанием для проведения аукциона является официальное сообщение Банка России о проведении ломбардного кредитного аукциона, в котором устанавливаются способ проведения аукциона и срок, на который предоставляется кредит. (в ред. Указания ЦБ РФ от 24.06.2002 N 1169-У)

4.1.9. Заявки банков, принятые к аукциону, ранжируются по уровню предложенной банками процентной ставки начиная с максимальной. При этом количество принимаемых к аукциону Заявок одного банка, в которых указаны одинаковые суммы запрашиваемого кредита и (или) одинаковые процентные ставки, ограничивается одной Заявкой.

Окончательное решение о ставке отсечения и об объеме ломбардных кредитов, предоставляемых по результатам аукциона, принимается Комитетом Банка России по денежно - кредитной политике после получения и анализа заявок банков на получение кредита.

Исчерпание объема кредита, выставляемого на аукцион, является основанием для пропорционального сокращения суммы каждой заявки банка, в которой указана ставка, принятая Банком России в качестве ставки отсечения, в списке удовлетворенных заявок. При этом заявки банков могут удовлетворяться частично (т.е. в этом случае сумма предоставляемого банку ломбардного кредита должна быть не выше сокращенной суммы по частично удовлетворенной заявке, но и не ниже минимальной, которая указана в заявке. Частично удовлетворенные заявки, по которым минимально запрашиваемая банками сумма не соответствует указанным критериям, Банком России не исполняются). (в ред. Указаний ЦБ РФ от 26.11.99 N 689-У, от 24.06.2002 N 1169-У)

4.1.10. Ломбардные кредитные аукционы проводятся одним из следующих способов:

1) по "американскому" способу, при котором заявки (вошедшие в список удовлетворенных заявок) удовлетворяются по процентным ставкам, предлагаемым банками в заявках, которые равны или превышают ставку отсечения, устанавливаемую Банком России по результатам аукциона;

2) по "голландскому" способу, при котором все заявки (вошедшие в список удовлетворенных заявок) удовлетворяются по последней процентной ставке, которая войдет в список удовлетворенных заявок банков (т.е. по ставке отсечения, устанавливаемой Банком России по результатам аукциона).

4.1.11. После проведения ломбардного кредитного аукциона Банк России публикует его итоги с указанием сложившейся ставки отсечения в "Вестнике Банка России".

4.1.12. Предоставление банкам ломбардных кредитов по удовлетворенным / частично удовлетворенным заявкам производится в порядке и в сроки, установленные Регламентом (Приложение 6 к настоящему Положению).

4.2. Особенности предоставления и погашения кредитов овернайт

4.2.1. Кредиты овернайт предоставляются Банком России банкам, расположенным в регионах, расчетная система которых позволяет осуществлять расчеты с учетом поступлений текущего операционного дня, путем проведения списания средств с корреспондентского счета банка по платежным документам при отсутствии либо недостаточности средств на счете банка в расчетном подразделении Банка России.

Предоставление кредитов овернайт банкам допускается в пределах лимитов рефинансирования, устанавливаемых Комитетом Банка России по денежно - кредитной политике по каждому банку в отдельности. Сумма установленного лимита рефинансирования по кредиту овернайт указывается в генеральном кредитном договоре. (в ред. Указаний ЦБ РФ от 04.06.98 N 250-У, от 26.11.99 N 689-У)

4.2.2. Кредиты овернайт предоставляются Банком России для завершения банком расчетов в конце операционного дня путем зачисления на корреспондентский счет банка суммы кредита и проведения списания средств с его корреспондентского счета по неисполненным платежным документам, находящимся в расчетном подразделении Банка России.

4.2.3. Основанием для предоставления Банком России банку кредита овернайт является:

1) наличие в конце операционного дня неисполненных платежных поручений банка и других платежных документов (предъявленных к корреспондентскому счету банка в соответствии с законодательством или договором) и / или наличие непогашенного внутридневного кредита, предоставленного банку в соответствии с генеральным кредитным договором (т.е. наличие дебетового сальдо по корреспондентскому счету банка в расчетном подразделении Банка России в пределах установленного лимита рефинансирования);

2) наличие у банка на момент предоставления кредита государственных ценных бумаг, учитываемых в разделе "Блокировано Банком России" своего счета депо, открытом в Депозитарии, стоимость которых достаточна для получения определенной суммы кредита овернайт с учетом начисленных процентов по нему.

При этом представление в Банк России заявления банка на получение кредита овернайт не требуется, кредит предоставляется, если банком выполняются условия, установленные пунктом 2.5 настоящего Положения.

4.2.4. Днем выдачи кредита овернайт является день зачисления суммы кредита на корреспондентский счет банка в расчетном подразделении Банка России.

4.2.5. Кредиты овернайт предоставляются Банком России на срок, исчисляемый от начала проведения кредитной операции (с даты зачисления денежных средств на корреспондентский счет банка) до ее завершения (до даты погашения кредита и уплаты процентов по нему).

4.2.6. Факт предоставления Банком России кредита овернайт банку подтверждается документами, указанными в подпункте 1) пункта 2.8 настоящего Положения, которые передаются банку - заемщику в установленном порядке.

4.2.7. Банк имеет право на получение очередной суммы кредита овернайт, если банком выполняются условия, установленные пунктом 2.5 настоящего Положения.

4.2.8. Процедура предоставления и погашения кредита овернайт определена Регламентом (Приложение 6 к настоящему Положению).

4.3. Особенности предоставления и погашения внутридневных кредитов

4.3.1. Внутридневные кредиты предоставляются Банком России банкам, расположенным в регионах с валовой (непрерывной) или порейсовой обработкой платежных документов в течение операционного дня, путем проведения списания средств с корреспондентского счета банка по платежным документам при отсутствии либо недостаточности средств на счете банка в расчетном подразделении Банка России.

4.3.2. Основанием для предоставления Банком России банку внутридневного кредита является наличие неисполненных платежных поручений банка и других платежных документов (предъявленных к корреспондентскому счету банка в соответствии с законодательством или договором) в течение операционного дня и выполнение банком условий, установленных пунктом 2.5 настоящего Положения (в т.ч. генеральным кредитным договором должно быть предусмотрено предоставление как минимум двух видов кредитов: внутридневных кредитов и кредитов овернайт, и при наличии на момент предоставления кредита государственных ценных бумаг, учитываемых в разделе "Блокировано Банком России" счета депо банка, рыночная стоимость которых (скорректированная на соответствующий поправочный коэффициент) достаточна для получения определенной суммы внутридневного кредита с учетом процентов из расчета процентной ставки по кредиту овернайт и предполагаемого периода пользования кредитом овернайт). При этом представление в Банк России заявления банка на получение внутридневного кредита не требуется.

4.3.3. Предоставление внутридневных кредитов банкам допускается в пределах лимитов рефинансирования, устанавливаемых Комитетом Банка России по денежно - кредитной политике по каждому банку в отдельности. Сумма установленного банку лимита рефинансирования по внутридневному кредиту указывается в генеральном кредитном договоре. (в ред. Указания ЦБ РФ от 26.11.99 N 689-У)

4.3.4. За право пользования внутридневными кредитами с банка взимается плата в пользу Банка России в фиксированном размере, устанавливаемая Банком России в порядке, изложенном в пункте 1.6 настоящего Положения.

Указанная плата взыскивается на следующий рабочий день после подписания с банком генерального кредитного договора и в дальнейшем - ежемесячно, в первый рабочий день текущего месяца за текущий месяц, с корреспондентского счета банка в установленной законодательством очередности на основании инкассового поручения уполномоченного учреждения Банка России. При этом в реквизит "Назначение платежа" включается текст следующего содержания: "Взыскание платы за право пользования внутридневным кредитом за __________ (указывается текущий месяц) в соответствии с п. _______ Договора корреспондентского счета N ___ от "__" ________ 199_ г.".

4.3.5. В случае, если по состоянию на первый рабочий день текущего месяца Банком России приостановлено выполнение своих обязательств, изложенных в генеральном кредитном договоре, в этот день с банка не взимается плата за право пользования внутридневным кредитом. Указанная плата за текущий месяц взыскивается с банка в полном объеме в тот рабочий день, когда Банк России возобновляет выполнение обязательств по предоставлению новых сумм кредитов Банка России.

4.3.6. Моментом предоставления внутридневного кредита является момент проведения расчетным подразделением Банка России расчетного документа банка сверх имеющихся на корреспондентском счете банка средств (момент образования дебетового сальдо по корреспондентскому счету банка). Максимальная величина внутридневного разрешенного дебетового сальдо по корреспондентскому счету банка не должна превышать ни установленный Комитетом Банка России по денежно - кредитной политике лимит рефинансирования, ни рыночную стоимость заблокированных ценных бумаг банка, скорректированную на соответствующий поправочный коэффициент Банка России. При этом открытие ссудного счета не требуется. (в ред. Указания ЦБ РФ от 26.11.99 N 689-У)

4.3.7. Внутридневной кредит погашается за счет текущих поступлений на корреспондентский счет банка (в сумме, покрывающей допущенное банком внутридневное разрешенное дебетовое сальдо) или переоформляется в конце текущего дня в кредит овернайт в установленном в разделе 4.2 настоящего Положения порядке (при этом обязательства банка по погашению внутридневного кредита прекращаются).

4.3.8. Процедура предоставления и погашения внутридневного кредита определена Регламентом (Приложение 6 к настоящему Положению).

5. Депозитарные операции при предоставлении и погашении кредитов Банка России

5.1. Депозитарные операции с государственными ценными бумагами при кредитовании Банком России банков и учет этих операций на счетах депо баланса банков осуществляются в соответствии с настоящим Положением, Правилами ведения депозитарных операций кредитных организаций в Российской Федерации от 25.07.96 N 44, утвержденными Приказом Банка России от 25.07.96 N 02-259, Положением "О порядке депозитарного учета на организованном рынке ценных бумаг" от 28.02.96 N 35, утвержденным Приказом Банка России от 28 февраля 1996 г. N 02-51, а также иными нормативными актами, регламентирующими депозитарные операции с государственными ценными бумагами.

5.2. После заключения банком генерального кредитного договора банк дает поручение "депо" Депозитарию на перевод необходимого количества государственных ценных бумаг, которые могут выступать обеспечением кредитов Банка России (удовлетворяющих требованиям, указанным в пункте 2.3 настоящего Положения), из Основного раздела в раздел "Блокировано Банком России", открытого на счете депо банка в Депозитарии.

5.3. Государственные ценные бумаги, учитываемые в разделе "Блокировано Банком России" счета депо банка, являются обеспечением внутридневных кредитов.

5.4. Под каждый предоставляемый банку ломбардный кредит и / или кредит овернайт Депозитарий на основании поручения "депо" Банка России открывает соответствующий залоговый раздел на счете депо банка и переводит в залог необходимое количество государственных ценных бумаг из раздела "Блокировано Банком России" в специально открытый на счете депо банка залоговый раздел:

а) "Блокировано в залоге под ломбардные кредиты Банка России" при предоставлении ломбардного кредита;

б) "Блокировано в залоге под кредиты овернайт Банка России" при предоставлении кредита овернайт.

5.5. утратил силу. (в ред. Указания ЦБ РФ от 24.06.2002 N 1169-У)

5.6. Выбор конкретных видов, а внутри вида - конкретных выпусков государственных ценных бумаг для их перевода из раздела "Блокировано Банком России" в раздел "Блокировано в залоге под ломбардные кредиты Банка России" или "Блокировано в залоге под кредиты овернайт Банка России" счета депо банка производится уполномоченным учреждением (подразделением) Банка России самостоятельно. Залоговый портфель государственных ценных бумаг <*>, принимаемых в обеспечение кредита Банка России, формируется по принципу отбора государственных ценных бумаг, учитываемых в разделе "Блокировано Банком России", имеющих минимальный срок до погашения, а в случае равенства сроков до погашения государственных ценных бумаг принцип отбора основывается на минимальной рыночной стоимости государственных ценных бумаг.

<*> Государственные ценные бумаги, отобранные в обеспечение предоставляемого кредита Банка России, составляют залоговый портфель ценных бумаг. (в ред. Указания ЦБ РФ от 24.06.2002 N 1169-У)

5.7. При своевременном погашении банком задолженности по кредиту Банка России и уплате процентов по нему не позднее следующего рабочего дня Банк России подготавливает и направляет Депозитарию поручения "депо" на перевод государственных ценных бумаг соответственно из раздела "Блокировано в залоге под ломбардные кредиты Банка России" или "Блокировано в залоге под кредиты овернайт Банка России" в раздел "Блокировано Банком России" или в Основной раздел счета депо банка (на основании заявления банка <*> по форме Приложения 10 к настоящему Положению) <**> и о закрытии соответствующих залоговых разделов на счете депо банка.

<*> Указанные документы должны быть подписаны должностными лицами банка, подписи которых соответствуют образцам подписей, представленным в карточке образцов подписей, находящейся в уполномоченном учреждении / подразделении Банка России.

<**> Раздел, на который переводятся заложенные ценные бумаги после погашения ломбардного кредита или кредита овернайт Банка России, может быть указан: а) в генеральном кредитном договоре; б) в заявлении / заявке банка на получение ломбардного кредита; в) в заявлении банка по форме Приложения 10 к настоящему Положению. Перевод осуществляется на раздел, который был указан в последнем сообщении Банка (по умолчанию - в раздел "Блокировано Банком России").

5.8. При неисполнении (ненадлежащем исполнении) банком обязательств перед Банком России по возврату полученного кредита и / или уплате процентов по нему Банк России дает поручение "депо" Депозитарию о переводе всех государственных ценных бумаг, учитываемых в разделах "Блокировано в залоге под ломбардные кредиты Банка России" или "Блокировано в залоге под кредиты овернайт Банка России" соответственно, в разделы "Блокировано для торгов по реализации ценных бумаг, заложенных под ломбардные кредиты Банка России" или "Блокировано для торгов по реализации ценных бумаг, заложенных по кредитам овернайт Банка России" и о закрытии разделов "Блокировано в залоге под ломбардные кредиты Банка России" или "Блокировано в залоге под кредиты овернайт Банка России" на счете депо банка.

Банк России выставляет государственные ценные бумаги, переведенные в разделы "Блокировано для торгов по реализации ценных бумаг, заложенных под ломбардные кредиты Банка России" или "Блокировано для торгов по реализации ценных бумаг, заложенных по кредитам овернайт Банка России", на продажу в порядке, указанном в разделе 3 настоящего Положения. После реализации залога (либо при переводе бумаг в Основной раздел счета депо банка в установленном настоящим Положением порядке) разделы "Блокировано для торгов по реализации ценных бумаг, заложенных под ломбардные кредиты Банка России" или "Блокировано для торгов по реализации ценных бумаг, заложенных по кредитам овернайт Банка России" счета депо банка закрываются.

5.9. В тот рабочий день, когда в разделе "Блокировано Банком России" счетов депо банков учитываются государственные ценные бумаги, срок погашения которых наступает ранее чем через 11 календарных дней начиная со следующего рабочего дня, уполномоченное подразделение Банка России направляет в Депозитарий поручения "депо" на перевод таких бумаг из раздела "Блокировано Банком России" в Основной раздел счетов депо банков. (в ред. Указания ЦБ РФ от 26.11.99 N 689-У)

5.10. В любой рабочий день банк вправе обратиться с заявлением (составленным в электронной форме либо на бумажном носителе) по форме Приложения 10 к настоящему Положению <*> в уполномоченное учреждение (подразделение) Банка России о переводе части или всех государственных ценных бумаг (свободных от блокировки по предоставленному внутридневному кредиту) из раздела "Блокировано Банком России" в Основной раздел счета депо банка.

<*> Указанные документы должны быть подписаны должностными лицами банка, подписи которых соответствуют образцам подписей, представленным в карточке образцов подписей, находящейся в уполномоченном учреждении / подразделении Банка России.

5.11. Банк ведет депозитарный учет заложенных государственных ценных бумаг в разделах "Блокировано в залоге под ломбардные кредиты Банка России", "Блокировано в залоге под кредиты овернайт Банка России" либо "Блокировано для торгов по реализации ценных бумаг, заложенных под ломбардные кредиты Банка России", "Блокировано для торгов по реализации ценных бумаг, заложенных по кредитам овернайт" своего счета депо - по каждому Извещению.

Банк России является оператором указанных выше разделов, а также раздела "Блокировано Банком России" счетов депо банков <*>.

<*> Банк России является оператором разделов "Блокировано для торгов по реализации ценных бумаг, заложенных под ломбардные кредиты Банка России", "Блокировано для торгов по реализации ценных бумаг, заложенных по кредитам овернайт Банка России" счета депо Банка в период времени, не связанный с проведением торгов и осуществлением расчетов. (в ред. Указания ЦБ РФ от 24.06.2002 N 1169-У)

5.12. Банки получают отчеты о состоянии разделов, оператором которых является Банк России, своих счетов депо из Депозитария в порядке, определенном депозитарным договором.

5.13. Процедура подготовки и направления Депозитарию поручений "депо" Банка России определена Регламентом (Приложение 6 к настоящему Положению).

6. Заключительные положения

6.1. Порядок бухгалтерского и депозитарного учета операций банков, связанных с получением и погашением кредитов Банка России, изложен в Приложении 11 к настоящему Положению.

6.2. Нормативные акты Банка России, устанавливающие правила, формы, сроки и стандарты осуществления расчетов, действуют в части, не противоречащей Положению о порядке предоставления Банком России кредитов банкам, обеспеченных залогом государственных ценных бумаг.

6.3. Настоящее Положение подлежит официальному опубликованию в "Вестнике Банка России" и вводится в действие поэтапно по мере готовности региональных расчетных подразделений Банка России на основании приказов Банка России.

6.4. Уполномоченным учреждениям Банка России довести до сведения кредитных организаций Положение о порядке предоставления Банком России кредитов банкам, обеспеченных залогом государственных ценных бумаг.

Председатель Центрального банка
Российской Федерации
С.К.ДУБИНИН

Приложение 1
к Положению Банка России
"О порядке предоставления
Банком России кредитов
банкам, обеспеченных залогом
государственных ценных бумаг"
от 6 марта 1998 г. N 19-П

(в ред. Указаний ЦБ РФ от 04.06.98 N 250-У, от 26.11.99 N 689-У)

ГЕНЕРАЛЬНЫЙ КРЕДИТНЫЙ ДОГОВОР N ______ НА ПРЕДОСТАВЛЕНИЕ КРЕДИТОВ БАНКА РОССИИ, ОБЕСПЕЧЕННЫХ ЗАЛОГОМ (БЛОКИРОВКОЙ) ГОСУДАРСТВЕННЫХ ЦЕННЫХ БУМАГ

(типовая форма)
г. ________________ "__" ___________ 199_ г.
Центральный банк Российской Федерации, в дальнейшем именуемый "Банк России", в лице начальника Главного управления (председателя Национального банка) Центрального банка Российской Федерации по
 
 
(Ф.И.О.)
действующего на основании доверенности, с одной стороны, и
 
(наименование Банка)
в дальнейшем именуемый "Банк", в лице  
 
(Ф.И.О., должность)
действующего на основании
 
 
(Устава / Доверенности)
с другой стороны, заключили настоящий Договор о нижеследующем:

1. Предмет Договора

1.1. Банк России предоставляет Банку
 
(ломбардные кредиты, кредиты овернайт, внутридневные
кредиты <*> - нужное вписать)

в валюте Российской Федерации на условиях и в порядке, определенных Положением "О порядке предоставления Банком России кредитов банкам, обеспеченных залогом государственных ценных бумаг" от "__" _________ 199_ г. N ___ (далее - "Положение"), Регламентом предоставления Банком России кредитов банкам, обеспеченных залогом государственных ценных бумаг (далее - "Регламент") - Приложение 6 к Положению, и настоящим Договором.

<*> Заключение генерального кредитного договора на предоставление внутридневного кредита одновременно требует заключения генерального кредитного договора на предоставление кредита овернайт.

Кредиты Банка России (в зависимости от вида и способа предоставления кредита) предоставляются на основании следующих документов:

а) настоящего Договора;

б) заявления на получение ломбардного кредита (составленного по форме Приложения 8 к Положению);

в) удовлетворенной / частично удовлетворенной заявки на участие в ломбардном кредитном аукционе (составленной по форме Приложения 9 к Положению).

Представления в Банк России заявления Банка на получение кредита овернайт и внутридневного кредита не требуется, эти кредиты предоставляются, если Банком выполняются все условия, установленные в п. 2.5 Положения и в разделе 2 настоящего Договора.

Лимит кредитования по внутридневному кредиту устанавливается в
сумме       рублей <*>.
  (сумма цифрами)   (сумма прописью)  

<*> Заполняется при условии установления Банком России лимита конкретному Банку.

При наличии достаточного обеспечения сумма внутридневного кредита не должна превышать указанный лимит.

Лимит кредитования по кредиту овернайт устанавливается в
сумме       рублей <*>.
  (сумма цифрами)   (сумма прописью)  

(в ред. Указания ЦБ РФ от 04.06.98 N 250-У)

<*> Заполняется при условии установления Банком России лимита конкретному Банку.

При наличии достаточного обеспечения сумма кредита овернайт не должна превышать указанный лимит. (в ред. Указания ЦБ РФ от 04.06.1998 N 250-У)

1.2. Сумма кредита, размер процентной ставки за пользование кредитом, сумма причитающихся к уплате процентов, день (дата) получения и возврата кредита, список государственных ценных бумаг, переведенных в залог под предоставленный кредит, фиксируются в Извещении, являющемся неотъемлемой частью настоящего Договора (либо в заявлении Банка, согласованном с Банком России, в соответствии с п. 4.1.6 Положения - далее по тексту "заявление") Положения и являющемся неотъемлемой частью настоящего Договора). Извещения оформляются при каждой выдаче Банку ломбардного кредита и / или кредита овернайт.

1.3. Днем выдачи кредита является (нужное вписать): день (дата) зачисления суммы кредита на корреспондентский счет Банка в расчетном подразделении Банка России (при предоставлении ломбардного кредита или кредита овернайт); момент проведения расчетным подразделением Банка России расчетного документа Банка сверх имеющихся на корреспондентском счете Банка средств (момент образования дебетового сальдо по корреспондентскому счету Банка (при предоставлении внутридневного кредита).

1.4. Документами, подтверждающими факт предоставления кредита, являются (нужное вписать):

1) при предоставлении ломбардных кредитов и / или кредитов овернайт: а) выписка по корреспондентскому счету Банка (либо документ на бумажном носителе и / или в электронном виде, утвержденный Банком России в зависимости от технологии осуществления расчетов внутри региона), официально подтверждающая зачисление средств на корреспондентский счет Банка; б) выписка по ссудному счету Банка (либо документ на бумажном носителе и / или в электронном виде); в) Извещение (составленное по форме Приложения 5 к Положению), являющееся неотъемлемой частью настоящего Договора, и оформленное Банком России;

2) при предоставлении внутридневных кредитов - промежуточная выписка о состоянии корреспондентского счета Банка (либо документ на бумажном носителе и / или в электронном виде), официально свидетельствующая о наличии внутридневного дебетового сальдо (в пределах разрешенной Банком России величины (установленного внутридневного лимита рефинансирования по данному виду кредита).

1.5. Днем (датой) прекращения обязательств Банка по возврату кредита Банка России и уплате процентов по нему считается (нужное вписать):

1) при погашении ломбардного(ых) кредита(ов) и / или кредита овернайт: а) день (дата) списания денежных средств с корреспондентского счета Банка в расчетном подразделении Банка России на основании платежного поручения Банка в сумме, покрывающей объем требований Банка России по предоставленному кредиту; б) либо день (дата) поступления средств от реализации (либо день (дата) приобретения Банком России) заложенных ценных бумаг, выручка от реализации (покупная цена) которых покрывает объем требований Банка России по предоставленному кредиту; в) либо день (дата) списания средств с корреспондентского счета (корреспондентского(их) субсчета(ов)) Банка в расчетных подразделениях Банка России без распоряжения Банка на основании инкассового поручения уполномоченного учреждения Банка России на сумму оставшихся непогашенными требований Банка России; (в ред. Указания ЦБ РФ от 26.11.99 N 689-У)

2) при погашении внутридневного кредита: а) момент зачисления средств на корреспондентский счет Банка в сумме, покрывающей допущенное Банком внутридневное разрешенное дебетовое сальдо; б) либо момент переоформления суммы допущенного внутридневного разрешенного дебетового сальдо в кредит овернайт в установленном Положением порядке (в конце операционного дня).

1.6 <*>. Начисление процентов на сумму основного долга производится по формуле простых процентов за период фактического пользования кредитом (до даты погашения кредита и уплаты процентов по нему включительно) исходя из количества календарных дней в году (365 или 366 дней соответственно) <**>. Проценты начисляются на остаток средств на ссудном счете на начало операционного дня <***>.

<*> Указанный пункт Договора вписывается полностью или частично в зависимости от того, на предоставление каких видов кредитов Банка России заключается настоящий Договор (см. пункт 1.1 настоящего Договора).

<**> В подсчет фактического числа календарных дней, в течение которых Банк пользовался кредитом Банка России, включаются установленные федеральными законами выходные и праздничные дни, а также выходные дни, перенесенные на рабочие дни по решению Правительства Российской Федерации.

<***> День (дата) зачисления денежных средств на корреспондентский счет Банка не учитывается при расчете суммы начисленных процентов.

1.7 <*>. При неисполнении (ненадлежащем исполнении) обязательств по настоящему Договору и соответствующему Извещению / заявлению ссудная задолженность по кредитам Банка России в конце рабочего дня (являющегося датой погашения обязательств по кредиту в соответствии с Извещением / заявлением) переносится на счета по учету просроченной ссудной задолженности по основному долгу и по просроченным процентам.

<*> Указанный пункт Договора вписывается полностью или частично в зависимости от того, на предоставление каких видов кредитов Банка России заключается настоящий Договор (см. пункт 1.1 настоящего Договора).

При невосполнении Банком недостатка средств на своем корреспондентском счете в расчетном подразделении Банка России до завершения расчетов текущего дня уполномоченное подразделение Банка России переоформляет сумму внутридневного дебетового сальдо в кредит овернайт в установленном в разделе 4.2 Положения порядке (при этом обязательства Банка по погашению внутридневного кредита прекращаются).

2. Условия кредитования

2.1. Банк России предоставляет Банку кредиты под залог (блокировку) государственных ценных бумаг, включенных в Ломбардный список, в порядке, определенном Положением и настоящим Договором.

В случае, если в период пользования кредитом Банка России уполномоченным государственным органом выносится постановление (определение) об аресте денежных средств на корреспондентском счете (корреспондентском(их) субсчете(ах)) Банка в расчетных подразделениях Банка России, последний вправе в одностороннем порядке потребовать досрочного погашения кредита. В случае невыполнения Банком указанного требования в течение следующего рабочего дня Банк России приступает к осуществлению действий, предусмотренных в разделе 3 Положения. (в ред. Указания ЦБ РФ от 26.11.99 N 689-У)

При аресте ценных бумаг, принадлежащих Банку и находящихся в залоге у Банка России на разделах счета депо Банка, оператором которых является Банк России, Банк в течение 3-х рабочих дней обязан произвести замену предмета залога на иное ликвидное имущество, перечень которого утверждается Советом директоров Банка России. В случае невыполнения Банком указанного требования Банк России вправе в одностороннем порядке потребовать досрочного погашения кредита и списать денежные средства в погашение всей суммы требований Банка России по кредиту с корреспондентского счета (корреспондентского(их) субсчета(ов)) Банка в расчетных подразделениях Банка России без распоряжения Банка на основании инкассового поручения, выписываемого уполномоченным учреждением Банка России, в порядке очередности, установленной законодательством. (в ред. Указания ЦБ РФ от 26.11.99 N 689-У)

2.2. Одним из основных условий предоставления кредитов Банка России является предварительное блокирование Банком государственных ценных бумаг (отвечающих требованиям пункта 2.3 Положения) в разделе "Блокировано Банком России" счета депо Банка в уполномоченном Депозитарии, при этом Банк остается собственником заблокированных на указанном разделе счета депо Банка ценных бумаг.

Рыночная стоимость государственных ценных бумаг (учитываемых в разделе "Блокировано Банком России" счета депо Банка), скорректированная на соответствующий поправочный коэффициент Банка России, является максимально возможной величиной (суммой) кредита(ов) (с учетом начисляемых процентов по кредиту(ам)), которую Банк может получить у Банка России, если Банком выполняются условия, указанные в пункте 2.5 Положения.

Банк самостоятельно определяет количество и выпуски государственных ценных бумаг, подлежащих предварительному блокированию, в целях получения при необходимости кредитов Банка России в порядке, определенном Положением.

В любой рабочий день Банк вправе обратиться с заявлением (составленным в электронной форме либо на бумажном носителе) по форме Приложения 10 к Положению в Банк России о переводе части или всех государственных ценных бумаг (свободных от блокировки под внутридневной кредит <*>) из раздела "Блокировано Банком России" в Основной раздел счета депо Банка (в соответствии с Регламентом).

<*> Здесь: если предоставление Банку внутридневного кредита предусмотрено настоящим Договором.

В любой рабочий день Банк России самостоятельно подготавливает и направляет поручение "депо" в Депозитарий на перевод части или всех заблокированных государственных ценных бумаг из раздела "Блокировано Банком России" в Основной раздел счета депо Банка, срок погашения которых наступает ранее чем через 11 календарных дней начиная со следующего рабочего дня (в соответствии с Регламентом). (в ред. Указания ЦБ РФ от 26.11.99 N 689-У)

2.3 <*>. Банк России предоставляет Банку кредиты на следующие сроки:

1) кредит овернайт в конце рабочего дня - на число календарных дней от начала проведения кредитной операции (дата зачисления денежных средств на корреспондентский счет Банка) до ее завершения (дата погашения кредита и уплаты процентов по нему);

2) ломбардный кредит - на сроки, устанавливаемые Банком России; (в ред. Указания ЦБ РФ от 04.06.1998 N 250-У)

3) внутридневной кредит - в течение операционного дня.

<*> По пункту 2.3 вписываются либо три подпункта 1), 2) и 3), либо один подпункт 2), либо подпункты 1) и 3) - в зависимости от видов предоставляемых Банку кредитов Банка России.

2.4 <*>. При наличии достаточного обеспечения и соблюдении условий, установленных Положением, Банк может получать несколько видов кредитов в один день, в том числе получить (нужное вписать) несколько ломбардных кредитов на различные и одинаковые сроки и / или несколько внутридневных кредитов.

<*> Указанный пункт Договора заполняется при условии предоставления Банку внутридневного кредита и / или однодневного расчетного кредита, и / или ломбардного кредита.

Банк имеет право на получение очередной суммы кредита овернайт, если Банком выполняются условия, указанные в пункте 2.5 Положения.

2.5. Размер процентных ставок по кредитам устанавливается Банком России, указывается в Извещении / заявлении, не подлежит изменению и действует до даты возврата Банком ссудной задолженности.

2.6 <*>. Досрочное погашение ломбардных кредитов не допускается.

<*> Указанный пункт Договора заполняется, если предоставление Банку ломбардного кредита предусмотрено настоящим Договором.

3. Обязанности и ответственность сторон

3.1. Стороны обязуются соблюдать условия, установленные Положением и Регламентом, настоящим Договором, другими нормативными актами, регулирующими обращение государственных ценных бумаг, предварительно заблокированных или заложенных на соответствующих разделах счета депо Банка.

3.2. Банк обязуется:

3.2.1 <*>. Погашать полученный кредит (ломбардный кредит и / или кредит овернайт) и уплачивать проценты по нему в срок, указанный в Извещении / заявлении, на счета уполномоченного учреждения Банка России в расчетном подразделении Банка России ________________________ (наименование расчетного подразделения), номера которых указаны в Извещении / заявлении.

<*> Указанный пункт Договора вписывается полностью или частично в зависимости от того, на предоставление каких видов кредитов Банка России заключается настоящий Договор (см. пункт 1.1 настоящего Договора).

3.2.2. Соблюдать очередность удовлетворения требований Банка России по предоставленному кредиту: в первую очередь Банк должен уплатить проценты за пользование кредитом, затем погасить сумму основного долга по кредиту.

3.2.3. За неисполнение (ненадлежащее исполнение) Банком обязательств по возврату кредиту Банка России (кроме уплаты процентов за фактическое количество дней пользования кредитом) уплачивать пени, начисляемые на сумму просроченного основного долга. Пени начисляются на остаток по счету по учету просроченной ссудной задолженности по основному долгу на начало операционного дня за каждый календарный день просрочки (до дня удовлетворения всех требований Банка России включительно) <*>. Пени начисляются в размере 0,3 ставки рефинансирования Банка России, действующей на установленную дату исполнения обязательства, деленной на фактическое количество дней в текущем году (365 или 366 соответственно).


<*> День (дата), являющий(ая)ся сроком исполнения обязательств по кредиту Банка России и указанный(ая) в Извещении / заявлении, не учитывается при расчете суммы пеней.

Сумма пеней уплачивается Банком на счет уполномоченного учреждения Банка России, открытый в
 
(указать расчетное подразделение Банка России)

3.2.4. Не менее чем за 30 календарных дней оповещать (в письменной форме) Банк России о планируемом изменении своих реквизитов.

3.2.5. Документы на получение кредита Банка России, на основании которых Банк России подготавливает поручения "депо" на осуществление депозитарных переводов (нужное вписать): заявление на получение ломбардного кредита, заявка на участие в ломбардном кредитном аукционе, заявление на перевод ценных бумаг по разделам счета депо Банка и другие, должны быть подписаны должностными лицами Банка, подписи которых соответствуют образцам подписей, представленным в карточке образцов подписей, находящейся в Банке России.

3.3. Банк России обязуется:

если Банк соблюдает условия, указанные в п. 2.5 Положения:

3.3.1. Выполнять условия предоставления  
  (ломбардного кредита, кредита овернайт,
внутридневного кредита - нужное вписать)

3.3.2 <*>. Перечислять на корреспондентский счет Банка
N   в расчетном подразделении Банка России
  запрашиваемую
(наименование расчетного подразделения)  

(максимально возможную) сумму кредита (согласно заявлению Банка на получение ломбардного кредита либо заявке Банка на участие в ломбардном кредитном аукционе и / или имеющейся у Банка потребности в получении кредита овернайт - ненужное исключить) при наличии государственных ценных бумаг, учитываемых в разделе "Блокировано Банком России" счета депо Банка в Депозитарии в размере, достаточном для его обеспечения в соответствии с условиями Банка России.

<*> Указанный пункт Договора вписывается полностью или частично в зависимости от того, на предоставление каких видов кредитов Банка России заключается настоящий Договор (см. пункт 1.1 настоящего Договора).

3.3.3. Соблюдать коммерческую тайну по кредитным операциям Банка России и Банка.

3.3.4. Давать распоряжения Депозитарию (подготавливать поручения "депо") по разделам, оператором которых является Банк России на основании Депозитарного договора, заключенного Банком с Депозитарием (ненужное исключить): "Блокировано Банком России", "Блокировано в залоге под кредиты овернайт Банка России", "Блокировано в залоге под ломбардные кредиты Банка России", "Блокировано под кредитный аукцион Банка России", "Блокировано для торгов по реализации ценных бумаг, заложенных под ломбардные кредиты Банка России", "Блокировано для торгов по реализации ценных бумаг, заложенных по кредитам овернайт Банка России" счета депо Банка, связанные только с переводом заблокированных либо заложенных ценных бумаг из одного раздела в другой раздел и наоборот, или с реализацией заложенных ценных бумаг, в случае неисполнения (ненадлежащего исполнения) Банком обязательств по настоящему Договору, либо переводом ценных бумаг в Основной раздел счета депо Банка, если срок погашения ценных бумаг наступает ранее чем через 11 календарных дней начиная со следующего рабочего дня в соответствии с п. 2.2 настоящего Договора, а также переводом ценных бумаг в Основной раздел счета депо Банка на основании заявления Банка (Приложение 10 к Положению), либо по другим основаниям, указанным в Положении. (в ред. Указания ЦБ РФ от 26.11.99 N 689-У)

4. Обеспечение обязательств по кредитам Банка России

4.1. Для обеспечения исполнения кредитных обязательств, предусмотренных настоящим Договором, стороны заключают настоящее соглашение о залоге (о блокировке) <*> государственных ценных бумаг, входящих в Ломбардный список.

<*> При предоставлении внутридневных кредитов обеспечением являются заблокированные государственные ценные бумаги, учитываемые в разделе "Блокировано Банком России" счета депо Банка.

4.2. Кредиты Банка России предоставляются под обеспечение принятых в залог государственных ценных бумаг, числящихся в разделе (ненужное исключить): "Блокировано в залоге под ломбардные кредиты Банка России", "Блокировано в залоге под кредиты овернайт Банка России" счета депо Банка N ____________ (указывается N счета депо Банка) в Депозитарии ________________________________________ (указывается наименование Депозитария).

4.3. Выбор конкретных видов, а внутри вида - конкретных выпусков государственных ценных бумаг производится Банком России самостоятельно. Залоговый портфель государственных ценных бумаг, принимаемых в обеспечение кредита Банка России, формируется по принципу отбора государственных ценных бумаг, учитываемых в разделе "Блокировано Банком России", имеющих минимальный срок до погашения. В случае равенства сроков до погашения государственных ценных бумаг принцип отбора основывается на минимальной рыночной стоимости государственных ценных бумаг <*>. Перевод ценных бумаг из раздела "Блокировано Банком России" в открываемый раздел (ненужное исключить): "Блокировано под кредитный аукцион Банка России", "Блокировано в залоге под ломбардные кредиты Банка России" или "Блокировано в залоге под кредиты овернайт Банка России" счета депо Банка производится на основании поручений "депо" Депозитарию, подготовленных Банком России.

<*> Указанное должно быть записано в соответствующих депозитарных договорах, заключенных между Банком России и Депозитарием, Банком и Депозитарием.

4.4. В период пользования кредитом Банка России заложенные Банком государственные ценные бумаги в разделе (ненужное исключить): "Блокировано в залоге под ломбардные кредиты Банка России", "Блокировано в залоге под кредиты овернайт Банка России", "Блокировано для торгов по реализации ценных бумаг, заложенных под ломбардные кредиты Банка России", "Блокировано для торгов по реализации ценных бумаг, заложенных по кредитам овернайт Банка России" счета депо Банка остаются в собственности Банка - заемщика.

4.5. Государственные ценные бумаги, учитываемые на указанных в п. 3.3.4 настоящего Договора разделах счета депо Банка, должны отвечать требованиям, предусмотренным в пункте 2.3 Положения.

4.6. Депозитарные переводы ценных бумаг между указанными в п. 3.3.4 настоящего Договора разделами, а также из раздела "Блокировано Банком России" в Основной раздел счета депо Банка производятся только на основании поручений "депо" Депозитарию, подготовленных Банком России.

4.7. Ценные бумаги, заблокированные в разделе "Блокировано Банком России" либо переведенные в залог в раздел (ненужное исключить): "Блокировано под кредитный аукцион Банка России", "Блокировано в залоге под ломбардные кредиты Банка России", "Блокировано в залоге под кредиты овернайт Банка России", "Блокировано для торгов по реализации ценных бумаг, заложенных под ломбардные кредиты Банка России", "Блокировано для торгов по реализации ценных бумаг, заложенных по кредитам овернайт Банка России" счета депо Банка в депозитарном учете учитываются в штуках и в тех единицах, в которых определен номинал ценных бумаг данного выпуска.

4.8. При надлежащем исполнении Банком обязательств по настоящему Договору Банк России не позднее следующего рабочего дня подготавливает поручение "депо", на основании которого осуществляется перевод государственных ценных бумаг из раздела (ненужное исключить): "Блокировано в залоге под ломбардные кредиты Банка России" или "Блокировано в залоге под кредиты овернайт Банка России" в раздел "Блокировано Банком России" счета депо Банка N __________________________ (указывается N счета депо Банка) в Депозитарии _____________________ (наименование Депозитария) либо на Основной раздел _______________________________ (указывается N Основного раздела счета депо Банка) счета депо Банка - на основании заявления Банка (Приложение 10 к Положению).

4.9. Банк не вправе заключать договор о последующем залоге государственных ценных бумаг, переданных в обеспечение обязательств Банка по настоящему Договору.

4.10. Право на получение доходов по заблокированным либо заложенным государственным ценным бумагам, учитываемым в указанных в п. 3.3.4 настоящего Договора разделах счета депо Банка, принадлежит Банку.

4.11. Стороны не обязаны страховать государственные ценные бумаги, переданные в залог в качестве обеспечения кредитов Банка России.

4.12. При неисполнении (ненадлежащем исполнении) обязательств по настоящему Договору (на следующий рабочий день после наступления срока погашения кредита, указанного в Извещении / заявлении) Банк России имеет право реализовать все или часть заложенных под этот кредит ценных бумаг, если сумма выручки от их реализации достаточна для удовлетворения всей суммы требований Банка России (Банк России самостоятельно производит выбор конкретных видов, а внутри вида - конкретных выпусков заложенных ценных бумаг), без обращения в суд в порядке, указанном в п. 4.15 настоящего Договора. Банк России также вправе производить списания средств с корреспондентского счета (корреспондентского(их) субсчета(ов)) банка в расчетных подразделениях Банка России без распоряжения банка на основании инкассовых поручений, выписываемых уполномоченным учреждением Банка России, в порядке очередности, установленной законодательством, в погашение суммы требований Банка России. Сумма требований Банка России определяется по состоянию на начало операционного дня. (в ред. Указания ЦБ РФ от 26.11.99 N 689-У)

Банк России производит реализацию заложенных государственных ценных бумаг с публичных торгов на ОРЦБ в течение четырех торговых сессий подряд (без учета дней проведения аукционов по размещению государственных ценных бумаг) после дня наступления срока погашения кредита, указанного в Извещении / заявлении.

4.13. В объем требований Банка России по предоставленному кредиту включается сумма начисленных процентов по кредиту и сумма основного долга по кредиту Банка России, сумма неустойки (пеней), начисляемой за каждый день просрочки возврата кредита (на сумму просроченного основного долга по кредиту), а также расходы Банка России, связанные с реализацией заложенных государственных ценных бумаг.

4.14. За счет выручки от реализации залога в первую очередь возмещаются расходы, связанные с реализацией заложенных государственных ценных бумаг, затем задолженность Банка по процентам и кредиту, в последнюю очередь - причитающаяся сумма неустойки (пеней) за неисполнение (ненадлежащее исполнение) обязательств по настоящему Договору.

4.15. Для реализации заложенных ценных бумаг Банк России не позднее следующего рабочего дня после наступления срока погашения задолженности по кредиту и уплате процентов по нему (указанному в Извещении / заявлении):

1) переводит все заложенные ценные бумаги из раздела (ненужное исключить): "Блокировано в залоге под ломбардные кредиты Банка России", "Блокировано в залоге под кредиты овернайт Банка России" в раздел "Блокировано для торгов по реализации ценных бумаг, заложенных под ломбардные кредиты Банка России", "Блокировано для торгов по реализации ценных бумаг, заложенных по кредитам овернайт Банка России" счета депо Банка N ___________________ (указывается N счета депо Банка) Депозитария ______________ (указывается наименование Депозитария), с которого заложенные ценные бумаги продаются с публичных торгов на ОРЦБ в установленном порядке;

2) выставляет заявки на продажу заложенных ценных бумаг в течение четырех торговых сессий подряд (без учета дней проведения аукционов по размещению государственных ценных бумаг);

3) вырученные средства Банк России направляет на удовлетворение своих требований, включая расходы по реализации заложенных ценных бумаг Банка, погашение задолженности Банка России по процентам и основному долгу по кредиту, а также причитающуюся сумму пеней.

Реализация заложенных государственных ценных бумаг производится в порядке, установленном Положением и нормативными актами, регламентирующими процедуру обслуживания и обращения указанных государственных ценных бумаг <*>.

<*> Реализация заложенных ценных бумаг с публичных торгов на ОРЦБ производится путем заключения сделок купли - продажи заложенных ценных бумаг, выставленных на торги по заявкам Банка России.

4.16. Исключен. - Указание ЦБ РФ от 26.11.99 N 689-У.

4.17. В том случае, если выручка, полученная от реализации заложенных ценных бумаг, превышает сумму, направленную на удовлетворение всех требований Банка России по настоящему Договору,

разница перечисляется Банком России на корреспондентский счет Банка N  
в расчетном подразделении Банка России   не позднее следующего
  (наименование расчетного подразделения)  

рабочего дня после погашения требований Банка России по просроченному кредиту на основании мемориального ордера Банка России.

4.18. Ежедневно, на следующий рабочий день после проведения торговой сессии на ОРЦБ и реализации всех либо части заложенных государственных ценных бумаг, Банк России направляет Банку Уведомление о взаиморасчетах по ссудной задолженности по форме Приложения 7 к Положению для осуществления Банком соответствующих бухгалтерских проводок у себя в балансе.

4.19. В случае, если Банк - должник после установленного срока исполнил свои обязательства по возврату кредита и уплате процентов по нему (т.е. на основании платежного поручения Банка - должника и / или инкассового поручения Банка России произведено списание денежных средств с корреспондентского счета (корреспондентского(их) субсчета(ов)) Банка в расчетных подразделениях Банка России) и / или уполномоченное подразделение Банка России в установленном порядке реализовало или приобрело все или часть заложенных под этот кредит ценных бумаг, не позднее следующего рабочего дня излишне поступившие в погашение требований Банка России денежные средства перечисляются на корреспондентский счет Банка - должника и прекращается дальнейшая реализация заложенных ценных бумаг. В этом случае в течение двух рабочих дней уполномоченное подразделение Банка России дает поручение "депо" Депозитарию на перевод нереализованных государственных ценных бумаг из раздела (ненужное исключить) "Блокировано для торгов по реализации ценных бумаг, заложенных под ломбардные кредиты Банка России" / "Блокировано для торгов по реализации ценных бумаг, заложенных по кредитам овернайт Банка России" в Основной раздел счета депо Банка. (в ред. Указания ЦБ РФ от 26.11.99 N 689-У)

4.20. Банк соглашается с тем, что в случае признания несостоявшейся четвертой торговой сессии, в течение которой реализуются заложенные ценные бумаги, Банк России имеет право приобрести у Банка заложенные последним по настоящему Договору ценные бумаги по средневзвешенной цене (сложившейся по итогам четвертой торговой сессии) в порядке, предусмотренном Положением об обслуживании и обращении выпусков государственных краткосрочных бескупонных облигаций.

К случаям признания торгов несостоявшимися в целях настоящего Договора относятся:

- признание торгов несостоявшимися в соответствии с Положением об обслуживании и обращении выпусков государственных краткосрочных бескупонных облигаций от 15.06.95 N 02-125 с учетом изменений и дополнений (пункт 4.28);

- невозможность реализации всех или части заложенных ценных бумаг в срок, установленный в Договоре на ценовых условиях, предусмотренных для реализации заложенных ценных бумаг в соответствии с Положением об обслуживании и обращении выпусков государственных краткосрочных бескупонных облигаций.

При этом Банк России имеет право приобрести все или часть заложенных ценных бумаг, находящиеся в разделах "Блокировано для торгов по реализации ценных бумаг, заложенных под ломбардные кредиты Банка России" и / или "Блокировано для торгов по реализации ценных бумаг, заложенных по кредитам овернайт Банка России" счета депо Банка N _______________ (указывается N счета депо Банка) в Депозитарии ______________________ (наименование Депозитария). (в ред. Указания ЦБ РФ от 26.11.99 N 689-У)

При этом Банк России самостоятельно производит выбор конкретных видов, а внутри вида - конкретных выпусков оставшихся нереализованными заложенных ценных бумаг. (в ред. Указания ЦБ РФ от 26.11.99 N 689-У)

В случае если Банк России реализовал или приобрел только часть заложенных ценных бумаг, то в течение двух рабочих дней после удовлетворения всей суммы требований Банка России уполномоченное подразделение Банка России направляет поручение "депо" Депозитарию на перевод оставшейся части залога соответственно из раздела (ненужное исключить) "Блокировано для торгов по реализации ценных бумаг, заложенных под ломбардные кредиты Банка России" / "Блокировано для торгов по реализации ценных бумаг, заложенных по кредитам овернайт Банка России" / в Основной раздел счета "депо" банка. (в ред. Указания ЦБ РФ от 26.11.99 N 689-У)

4.21. Стороны соглашаются с зачетом требований Банка России к Банку по настоящему Договору и соответствующему Извещению в счет покупной цены заложенных ценных бумаг по заключенной в соответствии с п. 4.20 настоящего Договора сделке купли - продажи. Зачет осуществляется в день исполнения указанной в п. 4.20 сделки купли - продажи.

В случае, если покупная цена за приобретенные в соответствии с п. 4.20 настоящего Договора ценных бумаг превышает объем требований Банка России к Банку по настоящему Договору, Банк России перечисляет незачтенную часть покупной цены Банку в том же порядке, который установлен в п. 4.17 настоящего Договора.

4.22. Осуществление зачета в соответствии с п. 4.21 прекращает обязательства Банка по просроченному кредиту Банка России. Проценты за пользование Банком кредитом Банка России и пени за неисполнение (ненадлежащее исполнение) Банком своих обязательств по настоящему Договору (соответствующему Извещению / заявлению) начисляются до даты приобретения Банком России заложенных ценных бумаг включительно.

В случае, если в результате осуществления зачета в соответствии с п. 4.21 настоящего Договора часть требований Банка России по просроченному кредиту осталась неудовлетворенной, последний продолжает действовать в отношении части суммы основного долга, процентов и пеней, начисляемых на оставшуюся просроченную задолженность по основному долгу до дня ее возврата включительно.

4.23. Не позднее дня, следующего за днем осуществления зачета в соответствии с п. 4.21 настоящего Договора, Банк России направляет Банку Уведомление (по форме Приложения 7 к Положению), содержащее расчет требований Банка России по настоящему Договору и Извещению / заявлению, а также стоимостную оценку ценных бумаг, приобретенных по указанной сделке, основанную на средневзвешенной цене, по которой они были приобретены Банком России, и уведомляет Банк о прекращении обязательств Банка по просроченному кредиту Банка России или о части суммы долга, в отношении которой они продолжают действовать.

4.24. Днем прекращения обязательств по предоставленному кредиту, вытекающих из настоящего Договора и Извещения / заявления, является день (дата) получения Банком России выручки от реализации (день (дата) приобретения Банком России) заложенных ценных бумаг в сумме, покрывающей объем всех требований Банка России, либо день (дата) списания средств с корреспондентского счета (корреспондентского(их) субсчета(ов)) банка в расчетных подразделениях Банка России в сумме, покрывающей объем непогашенных требований Банка России. (в ред. Указания ЦБ РФ от 26.11.99 N 689-У)

5. Действие Договора

5.1. Настоящий Договор вступает в силу с даты его подписания обеими сторонами и действует в течение неопределенного срока.

5.2. Обязательства Банка России по предоставлению кредита Банка России возникают с того дня, когда Банк, соблюдающий все условия, указанные в п. 2.5 Положения, переведет в раздел "Блокировано Банком России" счета депо Банка в Депозитарии государственные ценные бумаги (включенные в Ломбардный список либо принимаемые в залог по решению Совета директоров Банка России).

5.3. Обязательства Банка России по предоставлению Банку очередной суммы кредита Банка России приостанавливаются с того рабочего дня, когда Банком России получено документальное подтверждение о несоблюдении Банком хотя бы одного из условий, указанных в п. 2.5 Положения. Банк России возобновляет выполнение обязательств по предоставлению новых сумм кредитов с того рабочего дня (с того момента времени), когда Банком России получено документальное подтверждение об устранении Банком установленных нарушений.

6. Дополнительные условия Договора

6.1. Все изменения и дополнения к настоящему Договору считаются действительными только в том случае, если они совершены в письменной форме в виде дополнительного соглашения к настоящему Договору, которое является неотъемлемой частью настоящего Договора.

6.2. При намерении одной из сторон расторгнуть настоящий Договор инициативная сторона должна уведомить другую сторону о предстоящем расторжении настоящего Договора не менее чем за 30 календарных дней до даты расторжения настоящего Договора. Расторжение настоящего Договора производится в порядке, установленном Регламентом.

6.3. Банк России вправе расторгнуть настоящий Договор при несоблюдении Банком условий настоящего Договора.

6.4. Все вытекающие из настоящего Договора обязательства прекращаются по обоюдному согласию сторон по истечении 10 календарных дней после осуществления всех взаиморасчетов.

7. Порядок разрешения споров

7.1. Все споры и разногласия, возникшие из настоящего Договора или в связи с ним, подлежат разрешению путем переговоров.

7.2. Неурегулированные споры разрешаются в порядке, установленном действующим законодательством.

8. Заключительные положения

8.1. Настоящий Договор составлен в 3 экземплярах, каждый из которых имеет одинаковую юридическую силу и состоит из ___ страниц, на каждой из которых проставлены подписи представителей сторон. Один экземпляр передается Банку, два других остаются у Банка России.

8.2. Юридические адреса и реквизиты сторон:

Банк России  
 
Банк  
  (почтовой адрес, телефон, факс, e-mail, регистрационный
 
номер Банка, корреспондентский счет N, БИК N, счет депо N,
 
раздел "Блокировано Банком России" N, Основной раздел N, код
 
дилера / инвестора, наименование уполномоченного Депозитария
 
и др. реквизиты Банка)

Подпись уполномоченного   Подпись уполномоченного
должностного лица Банка России   должностного лица Банка
(Ф.И.О.)   (должность, Ф.И.О.)
     
Главный бухгалтер (Ф.И.О.)   Главный бухгалтер (Ф.И.О.)
     
М.П.   М.П.

Приложение 1л утратило силу. - Указание ЦБ РФ от 15.04.99 N 544-У.

Приложение 1д
к Положению Банка России
"О порядке предоставления
Банком России кредитов
банкам, обеспеченных залогом
государственных ценных бумаг"
от 6 марта 1998 г. N 19-П

ПРОЦЕДУРА ПОЛУЧЕНИЯ СТАТУСА УПОЛНОМОЧЕННОГО ДЕПОЗИТАРИЯ

1.1. Депозитарное обслуживание залоговых обременений прав на государственные ценные бумаги при осуществлении операций кредитования Банком России банков осуществляется: для банков - инвесторов - Дилерами на рынке государственных ценных бумаг, обслуживающими банки - инвесторы и получившими статус уполномоченного Депозитария, для банков - дилеров - Депозитарием Московской межбанковской валютной биржи / Национальным депозитарным центром при наличии в договоре с Банком России о выполнении функций Дилера следующих условий:

а) обязанности Банка России осуществлять официальное опубликование Ломбардного списка;

б) обязанности Депозитария осуществлять депозитарные переводы, связанные с залоговыми обременениями прав на государственные ценные бумаги, включенные в Ломбардный список, в соответствии с настоящим Положением;

в) обязанности Депозитария представлять банку - депоненту, а также Банку России отчеты по разделам счетов депо банков, оператором которых является Банк России.

1.2. Для получения статуса Депозитария организация должна представить в уполномоченное учреждение (подразделение) Банка России следующие документы:

а) заявление на получение статуса Депозитария (по форме Приложения 2 к Положению);

б) список банков, открывших счет депо в данном Депозитарии с указанием реквизитов их счетов депо (по форме Приложения 3 к Положению);

в) копию лицензии профессионального участника рынка ценных бумаг на право ведения депозитарной деятельности.

1.3. Дилеры / банки - инвесторы имеют право осуществлять депозитарные операции с государственными ценными бумагами по кредитным операциям банков с Банком России после подписания соответствующего дополнительного соглашения к депозитарному договору с Депозитарием и оформления других необходимых документов.

1.4. Банк России рассматривает заявку организации на получение статуса Депозитария в срок, не превышающий 30 календарных дней со дня подачи заявки, и заключает либо отказывает в заключении указанного соглашения.

Приложение 1п
к Положению Банка России
"О порядке предоставления
Банком России кредитов
банкам, обеспеченных залогом
государственных ценных бумаг"
от 6 марта 1998 г. N 19-П

(в ред. Указания ЦБ РФ от 26.11.99 N 689-У)

РАСЧЕТ НАРАЩЕННОЙ СУММЫ ДОЛГА ПО КРЕДИТУ БАНКА РОССИИ

Наращенная сумма долга по кредиту Банка России (S) рассчитывается по формуле:

O - сумма кредита;

I - сумма начисленных процентов за предполагаемый период пользования кредитом.

Сумма начисленных процентов за предполагаемый период пользования кредитом (I) рассчитывается по формуле:

Ok - остаток ссудной задолженности по предоставленному кредиту на начало k-го дня пользования кредитом;

k - день пользования кредитом (k = 1 - день предоставления кредита, k = N - день погашения кредита). Суммирование происходит от k = 2 до k = N, т.к. день (дата) зачисления денежных средств на корреспондентский счет банка не учитывается при расчете суммы начисленных процентов;

N - число календарных дней от начала кредитной операции (дата зачисления денежных средств на корреспондентский счет банка) до ее завершения (предполагаемая дата погашения кредита и процентов по нему);

Nk - число календарных дней в календарном году, на который приходится k-ый день пользования кредитом (365/366);

ik - процентная ставка по кредитному договору на начало k-го дня пользования кредитом;

[X] - операция округления суммы X с точностью до копеек.

РАСЧЕТ СУММЫ ПЕНЕЙ ПРИ НЕИСПОЛНЕНИИ (НЕНАДЛЕЖАЩЕМ ИСПОЛНЕНИИ) БАНКОМ ОБЯЗАТЕЛЬСТВ ПО КРЕДИТУ БАНКА РОССИИ

Сумма пеней по кредиту Банка России рассчитывается по формуле:

Ok - остаток просроченной ссудной задолженности по предоставленному кредиту на начало k-го дня неисполнения (ненадлежащего исполнения) обязательств по погашению кредита;

k - день неисполнения (ненадлежащего исполнения) обязательств по погашению кредита (k = 1 - день возникновения просроченной ссудной задолженности по кредиту, k = N - день полного погашения просроченной ссудной задолженности по кредиту). Суммирование происходит от k = 2 до k = N, т.к. день (дата), являющий(ая)ся сроком исполнения обязательств по кредиту Банка России и указанный(ая) в Извещении (заявлении Банка, согласованном с Банком России, в соответствии с п. 4.1.6 настоящего Положения), не учитывается при расчете суммы пеней;

N - число календарных дней со дня неисполнения (ненадлежащего исполнения) обязательств по погашению кредита до дня полного погашения просроченной ссудной задолженности по кредиту;

Nk - число календарных дней в календарном году, на который приходится k-й день пользования кредитом (365 / 366);

Koef - коэффициент пересчета ставки рефинансирования, действующий на установленную дату исполнения обязательств по кредиту;

Ref - ставка рефинансирования, действующая на установленную дату исполнения обязательств по кредиту;

[X] - операция округления суммы Х с точностью до копеек.

Условный пример 1

Расчет суммы начисленных процентов за пользование кредитом Банка России, даты предоставления и погашения которого приходятся на один и тот же месяц

День (дата) предоставления кредита (указывается в Извещении / заявлении Банка, согласованном с Банком России, в соответствии с п. 4.1.6 Положения, далее - заявление) - 2 августа 1999 года.

Срок, на который предоставляется кредит, - 10 календарных дней.

День (дата) погашения кредита (указывается в Извещении / заявлении) - 12 августа 1999 года.

Процентная ставка за пользование кредитом - 36% годовых.

Запрашиваемая сумма кредита - 10 млн. руб.

Остаток ссудной задолженности по предоставленному кредиту во все дни пользования кредитом равен 10 000 000 руб. Все дни пользования кредитом приходятся на календарный год с количеством календарных дней 365.

Производим следующий расчет:

Таблица N 1

(в рублях)

Кредит Сумма остатков по балансовым счетам на ...
02.08.99 03.08.99 ...
Остаток на начало дня Дебет Кредит Остаток на конец дня Остаток на начало дня Дебет Кредит Остаток на конец дня  
312 (кредит) 0 0 10000000 10000000 10000000 0 0 10000000  
70201 (пр-ты) 0 0 0 0 0 0 0 0  
47426 (об-ва по %) 0 0 0 0 0 0 0 0  
61401 (р-ды б.п.) 0 0 0 0 0 0 0 0  
Балансовые счета Сумма остатков по балансовым счетам на ...
... 11.08.99 12.08.99
  Остаток на начало дня Дебет Кредит Остаток на конец дня Остаток на начало дня Дебет Кредит Остаток на конец дня
312 (кредит)   10000000 0   10000000 10000000 10000000 0 0
70201 (пр-ты)   0 0 0 0 0 98630,14 0 98630,14
47426 (об-ва по %)   0 0 0 0 0 98630,14 98630,14 0
61401 (р-ды б.п.)   0 0 0 0 0 98630,14 98630,14 0
Внесистемный учет начисленных процентов Сумма на ...
02.08.99 03.08.99 04.08.99 05.08.99 06.08.99 07.08.99 08.08.99 09.08.99 10.08.99 11.08.99 12.08.99
  0 9863,01 19726,03 29589,04 39452,05 49315,07 59178,08 69041,1 78904,11 88767,12 98630,14

Условный пример 2

Расчет суммы начисленных процентов за пользование кредитом Банка России, дни периода начисления процентов которого приходятся на календарные годы с различным количеством дней

День (дата) предоставления кредита (указывается в Извещении / заявлении) - 28 декабря 1999 года.

Срок, на который предоставляется кредит, - 9 календарных дней.

День (дата) погашения кредита (указывается в Извещении / заявлении) - 6 января 2000 года.

Процентная ставка за пользование кредитом - 50% годовых.

Запрашиваемая сумма кредита - 10 млн. руб.

Остаток ссудной задолженности по предоставленному кредиту во все дни пользования кредитом равен 10 000 000 руб. Дни пользования кредитом со второго по четвертый приходятся на первый отчетный период (в календарном году 365 календарных дней), а с пятого по десятый - на второй отчетный период (в календарном году 366 календарных дней). Сумма процентов, начисляемых за второй отчетный период, рассчитывается как разница суммы процентов, начисляемых за весь период пользования кредитом, и суммы процентов, начисляемых за первый отчетный период.

Производим следующий расчет:

Таблица N 2

(в рублях)

Балансовые счета Сумма остатков по балансовым счетам на ...
28.12.1999 29.12.1999 ...
Остаток на начало дня Дебет Кредит Остаток на конец дня Остаток на начало дня Дебет Кредит Остаток на конец дня  
312 (кредит) 0   10000000 10000000 10000000 0 0 10000000  
70201 (пр-ты) 0 0 0 0 0 0 0 0  
47426 (об-ва по %) 0 0 0 0 0 0 0 0  
61401 (р-ды б.п.) 0 0 0 0 0 0 0 0  
Балансовые счета Сумма остатков по балансовым счетам на ...
... 31.12.1999 01.01.2000
  Остаток на начало дня Дебет Кредит Остаток на конец дня Остаток на начало дня Дебет Кредит Остаток на конец дня
312 (кредит)   10000000 0 0 10000000 10000000 0 0 10000000
70201 (пр-ты)   0 0 0 0 0 0 0 0
47426 (об-ва по %)   0 0 41095,89 41095,89 41095,89 0 0 41095,89
61401 (р-ды б.п.) 0 0 41095,89 0 41095,89 41095,89 0 0 41095,89
Балансовые счета Сумма остатков по балансовым счетам на ...
... 05.01.2000 06.01.2000
  Остаток на начало дня Дебет Кредит Остаток на конец дня Остаток на начало дня Дебет Кредит Остаток на конец дня
312 (кредит)   10000000 0 0 10000000 10000000 10000000 0 0
70201 (пр-ты)   0 0 0 0 0 123063,10 0 123063,10
47426 (об-ва по %)   41095,89 0 0 41095,89 41095,89 123063,10 81967,21 0
61401 (р-ды б.п.)   41095,89 0 0 41095,89 41095,89 81967,21 123063,10 0
Внесистемный учет начисленных процентов Сумма на ...
28.12.1999 29.12.1999 30.12.1999 31.12.1999 01.01.2000 02.01.2000 03.01.2000 04.01.2000 05.01.2000 06.01.2000
  0,00 13 698,63 27 397,26 41 095,89 54 757,09 68 418,29 82 079,50 95 740,70 109 401,90 123 063,10

Условный пример 3

Расчет суммы начисленных процентов за пользование кредитом Банка России, даты предоставления и погашения которого приходятся на разные месяцы

День (дата) предоставления кредита (указывается в Извещении / заявлении) - 28 июля 1999 года.

Срок, на который предоставляется кредит, - 7 календарных дней.

День (дата) погашения кредита (указывается в Извещении / заявлении) - 4 августа 1999 года.

Процентная ставка за пользование кредитом - 50% годовых.

Запрашиваемая сумма кредита - 10 млн. руб.

Остаток ссудной задолженности по предоставленному кредиту во все дни пользования кредитом равен 10 000 000 руб. Дни пользования кредитом со второго по четвертый приходятся на первый отчетный период, а с пятого по восьмой - на второй отчетный период. Все дни пользования кредитом приходятся на календарный год с количеством календарных дней 365. Сумма процентов, начисляемых за второй отчетный период, рассчитывается как разница суммы процентов, начисляемых за весь период пользования кредитом, и суммы процентов, начисляемых за первый отчетный период.

Производим следующий расчет:

Таблица N 3

(в рублях)

Балансовые счета Сумма остатков по балансовым счетам на ...
28.07.1999 29.07.1999
Остаток на начало дня Дебет Кредит Остаток на конец дня Остаток на начало дня Дебет Кредит Остаток на конец дня
312 (кредит) 0 0 10000000 10000000 10000000 0 0 10000000
70201 (пр-ты) 0 0 0 0 0 0 0 0
47426 (об-ва по %) 0 0 0 0 0 0 0 0
61401 (р-ды б.п.) 0 0 0 0 0 0 0 0

Сумма процентов за пользование кредитом в отчетном периоде начисляется в последний рабочий день этого периода.

Балансовые счета Сумма остатков по балансовым счетам на ...
30.07.1999 31.07.1999
Остаток на начало дня Дебет Кредит Остаток на конец дня Остаток на начало дня Дебет Кредит Остаток на конец дня
312 (кредит) 10000000 0 0 10000000 10000000 0 0 10000000
70201 (пр-ты) 0 0 0 0 0 0 0 0
47426 (об-ва по %) 0 0 41095,89 41095,89 41095,89 0 0 41095,89
61401 (р-ды б.п.) 0 41095,89 0 41095,89 41095,89 0 0 41095,89
Балансовые счета Сумма остатков по балансовым счетам на ...
... 03.08.1999 04.08.1999
  Остаток на начало дня Дебет Кредит Остаток на конец дня Остаток на начало дня Дебет Кредит Остаток на конец дня
312 (кредит)   10000000 0 0 10000000 10000000 10000000 0 0
70201 (пр-ты)   0 0 0 0 0 95890,41 0 95890,41
47426 (об-ва по %)   41095,89 0 0 41095,89 41095,89 95890,41 54794,52 0
61401 (р-ды б.п.)   41095,89 0 0 41095,89 41095,89 54794,52 95890,41 0
Внесистемный учет начисленных процентов Сумма на ...
28.07.1999 29.07.1999 30.07.1999 31.07.1999 01.08.1999 02.08.1999 03.08.1999 04.08.1999
  0,00 13 698,63 27 397,26 41 095,89 54 794,52 68 493,15 82 191,78 95 890,41

Условный пример 4

Расчет суммы просроченных процентов и суммы пеней (неустойки) при неисполнении (ненадлежащем исполнении) банком обязательств по кредиту Банка России, даты предоставления и погашения которого приходятся на один и тот же месяц

День (дата) предоставления кредита (указывается в Извещении / заявлении) - 2 августа 1999 года.

Срок, на который предоставляется кредит, - 10 календарных дней.

День (дата) погашения кредита (указывается в Извещении / заявлении) - 12 августа 1999 года.

Процентная ставка за пользование кредитом - 36% годовых.

Запрашиваемая сумма кредита - 10 млн. руб.

12 августа 1999 года в связи с непогашением банком кредита произведен перенос ссудной задолженности на счет по учету просроченного основного долга, и на счете по учету просроченных процентов отражаются начисленные внесистемно проценты.

13 августа 1999 года банк погашает просроченный основной долг по кредиту в сумме 3 000 000 руб. и уплачивает просроченные проценты в сумме - 108 493 руб. 15 коп.

День (дата) фактического погашения требований Банка России по кредиту - 16 августа 1999 года.

Фактический срок пользования кредитом - 14 календарных дней.

Пени (0,3 ставки рефинансирования) - 16,5% годовых.

Остаток ссудной задолженности по предоставленному кредиту в дни пользования кредитом со второго по одиннадцатый равен 10 000 000 руб., по окончании одиннадцатого дня происходит перенос ссудной задолженности на счет по учету просроченных ссуд и на счете по учету просроченных процентов отражаются начисленные внесистемно проценты.

Остаток просроченной ссудной задолженности по предоставленному кредиту на второй день неисполнения (ненадлежащего исполнения) обязательств по погашению кредита равен 10 000 000, а в остальные дни просрочки - 7 000 000. Все дни пользования кредитом приходятся на календарный год с количеством календарных дней 365.

Производим следующий расчет:

14.08.99 и 15.08.99 выходные дни, поэтому начисление просроченных процентов за эти дни происходит 16.08.99.

Таблица N 4

(в рублях)

Балансовые счета Сумма остатков по балансовым счетам на ...
02.08.99 03.08.99 ...
Остаток на начало дня Дебет Кредит Остаток на конец дня Остаток на начало дня Дебет Кредит Остаток на конец дня  
312 (кредит) 0 0 10000000 10000000 10000000 0 0 10000000  
31701 (пр. (кр-т) 0 0 0 0 0 0 0 0  
70201 (пр-ты) 0 0 0 0 0 0 0 0  
47426 (об-ва по %) 0 0 0 0 0 0 0 0 0
31801 (пр. %) 0 0 0 0 0 0 0 0  
70208 (пени) 0 0 0 0 0 0 0 0  
61401 (р-ды б.п.) 0 0 0 0 0 0 0 0  
Балансовые счета Сумма остатков по балансовым счетам на ...
... 12.08.99 13.08.99
  Остаток на начало дня Дебет Кредит Остаток на конец дня Остаток на начало дня Дебет Кредит Остаток на конец дня
312 (кредит)   10000000 10000000 0 0 0 0 0 0
31701 (пр. (кр-т)   0 0 10000000 10000000 10000000 3000000 0 7000000
70201 (пр-ты)   0 0 0 0 0 108493,15 0 108493,15
47426 (об-ва по %)   0 98630,14 98630,14 0 0 0 0 0
31801 (пр. %)   0 0 98630,14 98630,14 98630,14 108493,15 9863,01 0
70208 (пени)   0 0 0 0 0 0 0 0
61401 (р-ды б.п.)   0 98630,14 0 98630,14 98630,14 9863,01 108493,15 0
Балансовые счета Сумма остатков по балансовым счетам на ...
... 16.08.99
  Остаток на начало дня Дебет Кредит Остаток на конец дня
312 (кредит)   0 0 0 0
31701 (пр. (кр-т)   7000000 7000000 0 0
70201 (пр-ты)   108493,15 20712,33 0 129205,48
47426 (об-ва по %)   0 0 0 0
31801 (пр. %)   0 20712,33 20712,33 0
70208 (пени)   0 14013,70 0 14013,70
61401 (р-ды б.п.)   0 20712,33 20712,33 0
Внесистемный учет начисленных процентов и пеней Сумма на ...
02.08.99 03.08.99 04.08.99 05.08.99 06.08.99 07.08.99 08.08.99 09.08.99 10.08.99
Проценты 0 9 863,01 19 726,03 29 589,04 39 452,05 49 315,07 59 178,08 69 041,10 78 904,11
Пени 0 0 0 0 0 0 0 0 0
Внесистемный учет начисленных процентов и пеней Сумма на ...
11.08.99 12.08.99 13.08.99 14.08.99 15.08.99 16.08.99
Проценты 88 767,12 98 630,14 108 493,15 6 904,11 13 808,22 20 712,33
Пени 0 0 4 520,55 7 684,93 10 849,32 14 013,70

Условный пример 5

Расчет суммы просроченных процентов и суммы пеней (неустойки) при неисполнении (ненадлежащем исполнении) банком обязательств по кредиту Банка России, даты предоставления и погашения которого приходятся на разные месяцы

День (дата) предоставления кредита (указывается в Извещении / заявлении) - 27 августа 1999 года.

Срок, на который предоставляется кредит, - 10 календарных дней.

День (дата) погашения кредита (указывается в Извещении / заявлении) - 6 сентября 1999 года.

Процентная ставка за пользование кредитом - 36% годовых.

Запрашиваемая сумма кредита - 10 млн. руб.

6 сентября 1999 года в связи с непогашением банком кредита произведен перенос ссудной задолженности на счет по учету просроченного основного долга, и на счете по учету просроченных процентов отражаются начисленные проценты.

День (дата) фактического погашения требований Банка России по кредиту - 8 сентября 1999 года.

Фактический срок пользования кредитом - 12 календарных дней.

Пени (0,3 ставки рефинансирования) - 16,5% годовых.

Остаток ссудной задолженности по предоставленному кредиту в дни со второго по одиннадцатый равен 10 000 000 руб. Дни пользования кредитом со второго по пятый приходятся на первый отчетный период, а с шестого по одиннадцатый - на второй. По окончании одиннадцатого дня происходит перенос ссудной задолженности на счет по учету просроченных ссуд и на счете по учету просроченных процентов отражаются начисленные проценты. Остаток просроченной ссудной задолженности по предоставленному кредиту на второй и третий дни неисполнения (ненадлежащего исполнения) обязательств по погашению кредита равен 10 000 000 руб. Все дни пользования кредитом приходятся на календарный год с количеством календарных дней 365. Сумма процентов, начисляемых за второй отчетный период, вычисляется как разница суммы процентов, начисляемых за весь период пользования кредитом, и суммы процентов, начисляемых за первый отчетный период.

Производим следующий расчет:

Таблица N 5

(в рублях)

Балансовые счета Сумма остатков по балансовым счетам на ...
27.08.99 28.08.99 ...
Остаток на начало дня Дебет Кредит Остаток на конец дня Остаток на начало дня Дебет Кредит Остаток на конец дня  
312 (кредит) 0 0 10000000 10000000 10000000 0 0 10000000  
31701 (пр. (кр-т) 0 0 0 0 0 0 0 0  
70201 (пр-ты) 0 0 0 0 0 0 0 0  
47426 (об-ва по %) 0 0 0 0 0 0 0 0  
31801 (пр. %) 0 0 0 0 0 0 0 0  
70208 (пени) 0 0 0 0 0 0 0 0  
61401 (р-ды б.п.) 0 0 0 0 0 0 0 0  
Балансовые счета Сумма остатков по балансовым счетам на ...
... 31.08.99 01.09.99
  Остаток на начало дня Дебет Кредит Остаток на конец дня Остаток на начало дня Дебет Кредит Остаток на конец дня
312 (кредит)   10000000 0 0 10000000 10000000 0 0 10000000
31701 (пр. (кр-т)   0 0 0 0 0 0 0 0
70201 (пр-ты)   0 0 0 0 0 0 0 0
47426 (об-ва по %)   0 0 39452,05 39452,05 39452,05 0 0 39452,05
31801 (пр. %)   0 0 0 0 0 0 0 0
70208 (пени)   0 0 0 0 0 0 0 0
61401 (р-ды б.п.) 10 0 39452,05 0 39452,05 39452,05 0 0 39452,05
Балансовые счета Сумма остатков по балансовым счетам на ...
... 06.09.99 07.09.99
  Остаток на начало дня Дебет Кредит Остаток на конец дня Остаток на начало дня Дебет Кредит Остаток на конец дня
312 (кредит)   10000000 10000000 0 0 0 0 0 0
31701 (пр. (кр-т)   0 0 10000000 10000000 10000000 0   10000000
70201 (пр-ты)   0 0 0 0 0 0    
47426 (об-ва по %)   39452,05 98630,14 59178,09 0 0 0 0 0
31801 (пр. %)   0 0 98630,14 98630,14 98630,14 0 9863,01 108493,15
70208 (пени)   0 0 0 0 0 0 0 0
61401 (р-ды б.п.)   39452,05 59178,09 0 98630,14 98630,14 9863,01 0 108493,15
Балансовые счета Сумма остатков по балансовым счетам на ...
... 08.09.99
  Остаток на начало дня Дебет Кредит Остаток на конец дня
312 (кредит)   0 0 0 0
31701 (пр. (кр-т)   10000000 10000000 0 0
70201 (пр-ты)   0 118356,16 0 118356,16
47426 (пр-ты)   0 0 0 0
31801 (пр. %)   108493,15 118356,16 9863,01 0
70208 (пени)   0 0 9041,10 9041,10
61401 (р-ды б.п.)   108493,15 9863,01 118356,16 0
Внесистемный учет начисленных процентов и пеней Сумма на ...
27.08.99 28.08.99 29.08.99 30.08.99 31.08.99 01.09.99 02.09.99 03.09.99 04.09.99
Проценты 0 9 863,01 19 726,03 29 589,04 39 452,05 49 315,07 59 178,08 69 041,10 78 904,11
Пени 0 0 0 0 0 0 0 0 0
Внесистемный учет начисленных процентов и пеней Сумма на ...
05.09.99 06.09.99 07.09.99 08.09.99
Проценты 88 767,12 98 630,14 108 493,15 118 356,16
Пени 0 0 4 520,55 9 041,10

Приложение 2
к Положению Банка России
"О порядке предоставления
Банком России кредитов
банкам, обеспеченных залогом
государственных ценных бумаг"
от 6 марта 1998 г. N 19-П

(на бланке организации)

В Уполномоченное учреждение
(подразделение) Банка России

ЗАЯВЛЕНИЕ - СОГЛАСИЕ

(наименование организации)

просит рассмотреть возможность заключения дополнительного соглашения к Договору от "__" _____________ 199_ г. N _________ о депозитарном учете залоговых обременений прав на государственные ценные бумаги, принимаемые Банком России в качестве обеспечения предоставляемых кредитов.

Руководитель (подпись) Ф.И.О.
организации    
М.П.    

Приложение 3
к Положению Банка России
"О порядке предоставления
Банком России кредитов
банкам, обеспеченных залогом
государственных ценных бумаг"
от 6 марта 1998 г. N 19-П

ПЕРЕЧЕНЬ
БАНКОВ, ОТКРЫВШИХ СЧЕТА ДЕПО В ДЕПОЗИТАРИИ
__________________________
(наименование организации)
ПО СОСТОЯНИЮ НА "__" ________ 199_ Г.

Наименование Банка Номер счета депо Банка
1 2
1.  
2.  
3.  
4.  
5.  

Руководитель (подпись) Ф.И.О.
организации    
М.П.    

Приложение 4
к Положению Банка России
"О порядке предоставления
Банком России кредитов
банкам, обеспеченных залогом
государственных ценных бумаг"
от 6 марта 1998 г. N 19-П

РАСЧЕТ ДОСТАТОЧНОСТИ ОБЕСПЕЧЕНИЯ КРЕДИТОВ БАНКА РОССИИ

(в ред. Указаний ЦБ РФ от 26.11.99 N 689-У, от 24.06.2002 N 1169-У)

1. Расчет достаточности обеспечения кредита Банка России производится Банком России перед каждой выдачей ломбардного кредита, или кредита овернайт, или внутридневного кредита.

2. Государственные ценные бумаги, учитываемые в разделе "Блокировано Банком России" счета депо банка и отобранные в обеспечение ломбардного кредита или кредита овернайт для перевода в разделы "Блокировано в залоге под ломбардные кредиты Банка России" или "Блокировано в залоге под кредиты овернайт Банка России" счета депо банка, составляют залоговый портфель государственных ценных бумаг. (в ред. Указания ЦБ РФ от 24.06.2002 N 1169-У)

3. Залоговый портфель государственных ценных бумаг, принимаемых в обеспечение ломбардного кредита или кредита овернайт, формируется по принципу отбора государственных ценных бумаг, учитываемых в разделе "Блокировано Банком России", имеющих минимальный срок до погашения. В случае равенства сроков до погашения государственных ценных бумаг принцип отбора основывается на минимальной рыночной стоимости государственных ценных бумаг.

4. Обеспечение ломбардного кредита или кредита овернайт считается достаточным, если в день выдачи ломбардного кредита или кредита овернайт рыночная стоимость государственных ценных бумаг всех выпусков, входящих в залоговый портфель, определяемая в соответствии с п. 2.6 Положения и скорректированная на установленный Банком России соответствующий поправочный коэффициент, равна или превышает (не больше чем на стоимость одной государственной ценной бумаги, имеющей максимальную средневзвешенную цену в залоговом портфеле, скорректированную на установленный Банком России соответствующий поправочный коэффициент) сумму испрашиваемого ломбардного кредита или максимально возможную сумму кредита овернайт, включая начисленные проценты за предполагаемый период пользования кредитом Банка России <*>. (в ред. Указания ЦБ РФ от 26.11.99 N 689-У)

<*> При предоставлении внутридневных кредитов обеспечением являются заблокированные государственные ценные бумаги, учитываемые в разделе "Блокировано Банком России" счета депо банка, рыночная стоимость которых (скорректированная на установленный Банком России соответствующий поправочный коэффициент) достаточна для получения определенной суммы внутридневного кредита с учетом процентов из расчета процентной ставки по кредиту овернайт и предполагаемого периода пользования кредитом овернайт.

То есть должно выполняться неравенство:

S - наращенная сумма долга по ломбардному кредиту или кредиту овернайт (Приложение 1п к Положению); (в ред. Указания ЦБ РФ от 26.11.99 N 689-У)

P - рыночная стоимость государственных ценных бумаг всех выпусков, вошедших в залоговый портфель, скорректированная на соответствующий поправочный коэффициент;

MaxP - стоимость одной государственной ценной бумаги, имеющей максимальную средневзвешенную цену в залоговом портфеле, скорректированная на соответствующий поправочный коэффициент.

Абзацы 7 - 15 исключены. - Указание ЦБ РФ от 26.11.99 N 689-У.

5. Расчет рыночной стоимости государственных ценных бумаг всех выпусков, входящих в залоговый портфель, определяемой в соответствии с п. 2.6 Положения, производится на основании биржевой информации о средневзвешенных ценах. (в ред. Указания ЦБ РФ от 26.11.99 N 689-У)

Рыночная стоимость государственных ценных бумаг всех выпусков в залоговом портфеле, скорректированная на соответствующий поправочный коэффициент (P), определяется по формуле:

t - порядковый номер выпуска государственных ценных бумаг в залоговом портфеле;

m - количество выпусков государственных ценных бумаг в залоговом портфеле;

Vt - рыночная цена государственных ценных бумаг t-го выпуска (в процентах к номиналу); (в ред. Указания ЦБ РФ от 26.11.99 N 689-У)

Qt - общее количество государственных ценных бумаг t-го выпуска, находящихся в залоговом портфеле;

Kt - соответствующий поправочный коэффициент Банка России, установленный по t-му выпуску государственных ценных бумаг;

Nt - номинальная стоимость государственных ценных бумаг t-го выпуска.

Приложение 5
к Положению Банка России
"О порядке предоставления
Банком России кредитов
банкам, обеспеченных залогом
государственных ценных бумаг"
от 6 марта 1998 г. N 19-П

(в ред. Указания ЦБ РФ от 26.11.99 N 689-У)


   (Настоящее Извещение заполняется в трех экземплярах, каждый
     из которых имеет одинаковую юридическую силу и является
      неотъемлемой частью генерального кредитного договора)
------------------------------------------------------------------
      (Заполняется уполномоченным учреждением Банка России)
 
                          ИЗВЕЩЕНИЕ <*>
              О ПРЕДОСТАВЛЕНИИ КРЕДИТА БАНКА РОССИИ,
        ОБЕСПЕЧЕННОГО ЗАЛОГОМ ГОСУДАРСТВЕННЫХ ЦЕННЫХ БУМАГ
 
 
 
    <*> Извещение  оформляется  по  каждому  выданному ломбардному
кредиту и кредиту овернайт.
 
       N _____________            от _____________ ____ г.
 
__________________________________________________________________
   (наименование Банка - заемщика и его регистрационный номер)
в соответствии с Заявлением на  получение  ломбардного  кредита по
фиксированной  процентной ставке / Заявкой на участие в ломбардном
кредитном аукционе от "__" __________ ____ г. N _____, генеральным
кредитным  договором  на  предоставление  кредитов  Банка  России,
обеспеченных залогом (блокировкой) государственных ценных бумаг от
"__" _______ ____ г. N ___ (далее - генеральный кредитный договор)
и  Положением Банка России "О порядке предоставления Банком России
кредитов  банкам,   обеспеченных  залогом  государственных  ценных
бумаг" от 6 марта 1998 г. N 19-П (далее Положение), "__" _________
____ г. предоставлен ломбардный кредит / кредит овернайт  в  сумме
_______________ ___________________________________________ рублей
(сумма цифрами)               (сумма прописью)
на срок ___ календарных дня(ей) под _____ процентов(а) годовых.
Сумма   кредита   перечислена   на  корреспондентский  счет  Банка
N ________________________________ в расчетном подразделении Банка
России __________________________________________________________.
              (БИК расчетного подразделения Банка России)
    В обеспечение    предоставленного    кредита   Банком   России
осуществлен депозитарный перевод государственных  ценных  бумаг  в
соответствующий   залоговый   раздел  счета  депо  Банка  согласно
Приложению 1 к настоящему Извещению.
    Банк обязан  погасить задолженность по кредиту и процентам  по
нему  в установленной  Банком  России  очередности  удовлетворения
требований по кредиту Банка России "__" ____________ ____ г.
на общую сумму _______________ ___________________________________
               (сумма цифрами)           (сумма прописью)
рублей, в том числе
сумма основного долга _______________ _____________________ рублей
                      (сумма цифрами)   (сумма прописью)
сумма процентов _______________ __________________________ рублей.
                (сумма цифрами)      (сумма прописью)
    Исполнение обязательств по настоящему Извещению осуществляется
на  основании  платежных  поручений  кредитной  организации  путем
списания  с ее  корреспондентского  счета  суммы  задолженности по
кредиту  и суммы процентов за пользование кредитом и зачисления их
на следующие счета:

 N 
п/п
                 Наименование платежа 
БИК уполномоченного 
учреждения Банка
России
      Номер 
счета,
открытого
в уполномоченном
учреждении Банка
России
   Сумма 
платежа
(руб.)
1 
Сумма основного долга 
 
 
 
Сумма прописью: 
____________________________________________
_________________________________ рублей _______ коп.
2 
Сумма процентов 
 
 
 
Сумма прописью: 
____________________________________________
_________________________________ рублей _______ коп.
 
 
    При   неисполнении   (ненадлежащем  исполнении)  Банком  своих
обязательств  по погашению кредита и уплате процентов по нему Банк
России   осуществляет   действия,    предусмотренные   генеральным
кредитным договором и Положением.
Сумма пени уплачивается Банком на счет Банка России N ___________,
открытый в ______________________________________________________.
               (БИК уполномоченного учреждения Банка России)
 
Уполномоченное должностное лицо
уполномоченного учреждения
Банка России                        (подпись)               Ф.И.О.
 
Главный бухгалтер                   (подпись)               Ф.И.О.
 
    М.П.
 
 
 

Приложение 1
к Извещению

Список государственных ценных бумаг, переведенных в раздел "Блокировано в залоге под ломбардные кредиты Банка России" / "Блокировано в залоге под кредиты овернайт Банка России" (ненужное зачеркнуть)
N   счета депо Банка  
  (название Банка) N  
в Депозитарии   (наименование Депозитария),
в обеспечение предоставленного кредита  
    (ломбардного кредита /
 
кредита овернайт - нужное вписать)

N п/п Гос. рег. номер выпуска ценных бумаг Номинал выпуска ценных бумаг Количество ценных бумаг (шт.) Рыночная стоимость ценных бумаг (в процентах) Соответствующий поправочный коэффициент, установленный Банком России Рыночная стоимость переведенных в залог ценных бумаг, скорректированная на соответствующий поправочный коэффициент 7 = 3 x 4 x x 5 x 6 (в рублях)
1 2 3 4 5 6 7
1.            
2.            
3.            
х х х х х Итого:  

Уполномоченное должностное лицо уполномоченного учреждения Банка России (подпись) Ф.И.О.

Приложение 6
к Положению Банка России
"О порядке предоставления
Банком России кредитов
банкам, обеспеченных залогом
государственных ценных бумаг"
от 6 марта 1998 г. N 19-П

РЕГЛАМЕНТ
ПРЕДОСТАВЛЕНИЯ БАНКОМ РОССИИ КРЕДИТОВ БАНКАМ, ОБЕСПЕЧЕННЫХ ЗАЛОГОМ ГОСУДАРСТВЕННЫХ ЦЕННЫХ БУМАГ <*>

(в ред. Указаний ЦБ РФ от 04.06.98 N 250-У, от 26.11.99 N 689-У, от 24.06.2002 N 1169-У)

<*> Банк России имеет право изменять время проведения операций по предоставлению (погашению) кредитов Банка России в зависимости от технических возможностей уполномоченных учреждений (подразделений) Банка России.

ПРОЦЕДУРА ЗАКЛЮЧЕНИЯ ГЕНЕРАЛЬНОГО КРЕДИТНОГО ДОГОВОРА НА ПРЕДОСТАВЛЕНИЕ КРЕДИТОВ БАНКА РОССИИ, ОБЕСПЕЧЕННЫХ ЗАЛОГОМ (БЛОКИРОВКОЙ) ГОСУДАРСТВЕННЫХ ЦЕННЫХ БУМАГ <*>

<*> Далее по тексту настоящего Регламента - генеральный кредитный договор.

А1. В любой рабочий день Банк, имеющий намерение пользоваться только ломбардными кредитами и / или кредитами овернайт и внутридневными кредитами и / или только кредитами овернайт, обращается в Экономическое управление (отдел) <*> ГУ (НБ) ЦБ РФ, в котором он обслуживается, с предложением (в письменной форме) заключить генеральный кредитный договор. Одновременно с этим Банк приносит в ЭУ (О) ГУ (НБ) ЦБ РФ: (в ред. Указаний ЦБ РФ от 26.11.99 N 689-У, от 24.06.2002 N 1169-У)

<*> Далее по тексту настоящего Регламента - ЭУ (О).

a) копию отчета по счету депо Банка на последнюю отчетную дату из Депозитария о количестве принадлежащих Банку на праве собственности и не обремененных другими обязательствами Банка государственных ценных бумаг (по их видам, а внутри вида - по сериям);

b) копию подписанного Банком и Депозитарием Дополнительного соглашения к Депозитарному договору (в трех экземплярах):

1) об открытии раздела "Блокировано Банком России" на счете депо Банка и о праве Банка России присвоить полный номер этому разделу счета депо Банка;

2) о праве Банка России открывать и присваивать номера следующим разделам на счете депо Банка:

- "Блокировано в залоге под ломбардные кредиты Банка России", "Блокировано для торгов по реализации ценных бумаг, заложенных под ломбардные кредиты Банка России" (при заключении генерального кредитного договора, предусматривающего право Банка на получение ломбардных кредитов);

- "Блокировано в залоге под кредиты овернайт Банка России", "Блокировано для торгов по реализации ценных бумаг, заложенных по кредитам овернайт Банка России" (при заключении генерального кредитного договора, предусматривающего право Банка на получение кредитов овернайт); (в ред. Указания ЦБ РФ от 24.06.2002 N 1169-У)

3) о назначении Банка России оператором разделов счета депо Банка <*>, указанных в подпунктах 1), 2) пункта b);

<*> Банк России является оператором разделов "Блокировано для торгов по реализации ценных бумаг, заложенных под ломбардные кредиты Банка России", "Блокировано для торгов по реализации ценных бумаг, заложенных по кредитам овернайт Банка России" счета депо Банка в период, не связанный с проведением торгов и осуществлением расчетов.

4) о праве Банка России закрывать разделы счета депо Банка, указанные в подпунктах 1), 2) пункта b).

В Дополнительном соглашении к Депозитарному договору должен быть указан депозитарный код типа раздела "Блокировано Банком России", используемый при формировании номера раздела "Блокировано Банком России";

c) подписанное Банком Дополнительное соглашение к Договору корреспондентского счета (в трех экземплярах). Указанное Дополнительное соглашение к Договору корреспондентского счета, а также Дополнительные соглашения к Договорам корреспондентских субсчетов банка, информация о заключении которых получена ГУ (НБ) ЦБ РФ в установленном Банком России порядке, должны содержать следующие условия: (в ред. Указания ЦБ РФ от 26.11.99 N 689-У)

1) о предоставлении Банку России права на списание с корреспондентского счета (корреспондентского(их) субсчета(ов)) банка в расчетных подразделениях Банка России денежных средств в объеме не погашенных в срок требований Банка России по предоставленным кредитам без распоряжения Банка - владельца корреспондентского счета (корреспондентского(их) субсчета(ов)) на основании инкассового поручения, подготавливаемого расчетным подразделением ГУ (НБ) ЦБ РФ / ОПЕРУ-1 при Банке России, в порядке очередности, установленной законодательством; (в ред. Указания ЦБ РФ от 26.11.99 N 689-У)

2) о предоставлении Банку России права на списание суммы платы за право пользования внутридневными кредитами без распоряжения Банка - владельца корреспондентского счета на основании инкассового поручения, подготавливаемого ГУ (НБ) ЦБ РФ, в порядке очередности, установленной законодательством (при заключении генерального кредитного договора, предусматривающего право Банка на получение внутридневного кредита);

3) о проведении в течение дня списания средств с корреспондентского счета Банка по расчетным документам сверх имеющихся на нем средств (при заключении генерального кредитного договора, предусматривающего право Банка на получение внутридневного кредита).

А2. До заключения генерального кредитного договора ЭУ (О) ГУ (НБ) ЦБ РФ осуществляет следующие действия:

a) предоставляет Банку типовую форму генерального кредитного договора для заполнения и оформления (в трех экземплярах, по заполнении со стороны Банка России имеющих одинаковую юридическую силу);

b) проверяет соответствие Банка условиям пп. 1), пп. 2) (кроме пп. 1) пп. 2.1.1) пп. 2.1 и пп. 2.2), пп. б) и в) пп. 4) п. 2.5 Положения.

После представления Банком в ЭУ (О) ГУ (НБ) ЦБ РФ подписанного со своей стороны генерального кредитного договора (в трех экземплярах) и при условии, что Банк соответствует условиям, указанным в пп. b) настоящего пункта, начальник ГУ (НБ) ЦБ РФ или лицо, которому передоверено право подписания кредитных договоров и договоров корреспондентского счета от имени Банка России, и главный бухгалтер ГУ (НБ) ЦБ РФ, или лицо, его заменяющее (и имеющее соответствующие полномочия), подписывают со своей стороны генеральный кредитный договор и Дополнительное соглашение к Договору корреспондентского счета. Каждый из трех экземпляров, подписанных со стороны Банка России, генерального кредитного договора и Дополнительного соглашения к Договору корреспондентского счета имеет одинаковую юридическую силу.

Один экземпляр подписанного генерального кредитного договора и один экземпляр Дополнительного соглашения к Договору корреспондентского счета хранятся у Банка, два других соответственно - в уполномоченных учреждениях Банка России. Один экземпляр копии подписанного Банком и Депозитарием Дополнительного соглашения к Депозитарному договору хранится в ГУ ЦБ РФ, второй и третий экземпляры копии направляются в уполномоченные учреждения (подразделения) Банка России. (в ред. Указания ЦБ РФ от 24.06.2002 N 1169-У)

А3. Исключен. - Указание ЦБ РФ от 26.11.99 N 689-У.

А4. Обо всех изменениях Депозитарного договора, касающихся проведения депозитарных операций по залоговым разделам счета депо Банка, оператором которых является Банк России, Депозитарий должен уведомлять в течение трех рабочих дней уполномоченное подразделение Банка России.

А5. Банк самостоятельно определяет количество и выпуски государственных ценных бумаг, подлежащих предварительному блокированию в разделе "Блокировано Банком России" своего счета депо в целях получения при необходимости кредитов Банка России в порядке, определенном Положением, и в соответствии с заключенным генеральным кредитным договором. Для этого Банк направляет поручение "депо" в Депозитарий на перевод определенного количества ценных бумаг из Основного раздела в раздел "Блокировано Банком России" своего счета депо.

А6. Если Банк не соответствует условиям, указанным в пп. b) п. А.2 настоящего Регламента, то Банк России: (в ред. Указания ЦБ РФ от 24.06.2002 N 1169-У)

а) не присваивает полный номер разделу "Блокировано Банком России" счета депо Банка;

б) не подписывает генеральный кредитный договор и Дополнительное соглашение к Договору корреспондентского счета.

А7. Ежедневно ЭУ (О) ГУ (НБ) ЦБ РФ до 10.00 <*> уведомляет Банк, который не отвечает условиям пп. 1), пп. 2) (кроме пп. 2.2), пп. б), в) пп. 4) п. 2.5 Положения, о приостановлении Банком России своих обязательств по генеральному кредитному договору. (в ред. Указания ЦБ РФ от 24.06.2002 N 1169-У)

<*> Здесь и далее по тексту настоящего Регламента время местное.

А8. Обязательства Банка России по генеральному кредитному договору приостанавливаются с того рабочего дня (с того момента времени), когда уполномоченным учреждением Банка России получено документальное подтверждение о несоблюдении Банком хотя бы одного из условий или критериев п. 2.5 Положения. Банк России возобновляет выполнение обязательств по предоставлению новых сумм кредитов с того рабочего дня (с того момента времени), когда уполномоченным учреждением Банка России получено документальное подтверждение об устранении Банком установленных нарушений.

А9. Банк России вправе расторгнуть генеральный кредитный договор при несоблюдении Банком условий Положения, генерального кредитного договора, настоящего Регламента.

ПРОЦЕДУРА РАСТОРЖЕНИЯ ГЕНЕРАЛЬНОГО КРЕДИТНОГО ДОГОВОРА

В1. За 30 календарных дней (Тд-30) Банк / ГУ (НБ) ЦБ РФ, подписавший генеральный кредитный договор и имеющий намерение его расторгнуть, представляют в ЭУ (О) ГУ (НБ) ЦБ РФ / Банк уведомление на его расторжение (форма произвольная).

В2. ЭУ (О) ГУ (НБ) ЦБ РФ, получив / представив уведомление на расторжение генерального кредитного договора от Банка / Банку, на следующий рабочий день передает в уполномоченное подразделение Банка России сообщение об этом с указанием даты расторжения договора (Тд + 0).

В3. При соблюдении Банком условий п. 2.5 Положения он имеет право получать кредиты Банка России в период до расторжения генерального кредитного договора, но с таким расчетом, чтобы сроки их погашения наступали не позднее чем за 1 рабочий день до дня расторжения генерального кредитного договора (Тд - 1). (в ред. Указания ЦБ РФ от 24.06.2002 N 1169-У)

В4. Накануне дня фактического расторжения с Банком генерального кредитного договора (в день (Тд - 1)) производятся следующие действия:

- уполномоченное учреждение (подразделение) Банка России исключает Банк, представивший / получивший уведомление на расторжение генерального кредитного договора, из списка банков - потенциальных получателей кредитов Банка России;

- уполномоченное подразделение Банка России формирует и передает в Депозитарий поручения "депо" на осуществление депозитарных переводов всех государственных ценных бумаг из раздела "Блокировано Банком России" в Основной раздел и на закрытие раздела "Блокировано Банком России" счета депо Банка;

- уполномоченное подразделение Банка России передает в ГУ (НБ) ЦБ РФ распоряжение о расторжении генерального кредитного договора.

В5. Уполномоченное подразделение Банка России начиная с рабочего дня, предшествующего дню расторжения генерального кредитного договора (со дня (Тд - 1), до дня расторжения генерального кредитного договора (Тд + 0) при погашении <*> ранее предоставленных <**> кредитов Банка России формирует и передает в Депозитарий поручения "депо" на осуществление депозитарных переводов всех государственных ценных бумаг из разделов "Блокировано в залоге под кредиты овернайт Банка России" / "Блокировано в залоге под ломбардные кредиты Банка России" в Основной раздел счета депо Банка.

<*> Погашение кредитов Банка России производится в порядке, установленном настоящим Регламентом.

<**> Кредиты Банка России, предоставленные Банку до дня исключения его из списка банков - потенциальных получателей кредитов Банка России.

В6. ГУ (НБ) ЦБ РФ по получении от уполномоченного подразделения Банка России распоряжения о расторжении генерального кредитного договора в тот же день (Тд + 0) расторгает указанный генеральный кредитный договор (делает отметку на генеральном кредитном договоре о его расторжении).

В этот же день аналогичная отметка ставится и в тот экземпляр генерального кредитного договора, который хранится в уполномоченном подразделении Банка России.

В7. За Банком сохраняется право в любой рабочий день обратиться в ГУ (НБ) ЦБ РФ с предложением заключить новый генеральный кредитный договор при условии выполнения всех установленных условий Банка России.

ПОДПИСАНИЕ ДОПОЛНИТЕЛЬНОГО СОГЛАШЕНИЯ К ГЕНЕРАЛЬНОМУ КРЕДИТНОМУ ДОГОВОРУ

С1. В любой рабочий день Банк, с которым заключен генеральный кредитный договор на предоставление внутридневных и кредитов овернайт / кредитов овернайт / ломбардных кредитов и имеющий намерение пользоваться ломбардными кредитами / внутридневными и кредитами овернайт / кредитами овернайт, обращается в ЭУ (О) ГУ (НБ) ЦБ РФ с предложением заключить Дополнительное соглашение к генеральному кредитному договору на предоставление ломбардных кредитов / внутридневных и кредитов овернайт / кредитов овернайт. Одновременно с этим Банк приносит в ЭУ (О) ГУ (НБ) ЦБ РФ (в зависимости от вида кредита / видов кредитов Банка России, который / которые Банк хочет получать, - ломбардные кредиты / внутридневные и кредиты овернайт / кредиты овернайт):

- подписанное Банком Дополнительное соглашение к Договору корреспондентского счета, содержащее необходимые условия в соответствии с п. А1 настоящего Регламента (в трех экземплярах);

- копию подписанного Банком и Депозитарием Дополнительного соглашения к Депозитарному договору, содержащего необходимые условия в соответствии с п. А1 настоящего Регламента (в трех экземплярах).

С2. После представления Банком в ЭУ (О) ГУ (НБ) ЦБ РФ подписанного со своей стороны Дополнительного соглашения к генеральному кредитному договору (в трех экземплярах) начальник ГУ (НБ) ЦБ РФ или лицо, которому передоверено право подписания кредитных договоров и договоров корреспондентского счета от имени Банка России, и главный бухгалтер ГУ (НБ) ЦБ РФ или лицо, его заменяющее (и имеющее соответствующие полномочия), подписывают со своей стороны Дополнительное соглашение к генеральному кредитному договору и Дополнительное соглашение к Договору корреспондентского счета. Каждый из трех экземпляров, подписанных со стороны Банка России, Дополнительного соглашения к генеральному кредитному договору является неотъемлемой частью генерального кредитного договора и имеет одинаковую юридическую силу.

С3. Один экземпляр подписанного Дополнительного соглашения к генеральному кредитному договору и один экземпляр подписанного Дополнительного соглашения к Договору корреспондентского счета хранятся у Банка, два других соответственно - в уполномоченных учреждениях Банка России.

С4. Предоставление Банку ломбардных кредитов / внутридневных и кредитов овернайт / кредитов овернайт в соответствии с Дополнительным соглашением к генеральному кредитному договору осуществляется с даты, указанной в этом Дополнительном соглашении, при условии соблюдения Банком условий п. 2.5 Положения. (в ред. Указания ЦБ РФ от 24.06.2002 N 1169-У)

ОСНОВНЫЕ ПОЛОЖЕНИЯ

D1. Предоставление Банку кредитов Банка России осуществляется уполномоченным учреждением (подразделением) Банка России на основании генерального кредитного договора. Инициатором осуществления операций ломбардного кредитования по фиксированной процентной ставке является Банк, проведения ломбардных кредитных аукционов, предоставления кредитов овернайт и внутридневных кредитов - Банк России.

D2. За право пользования внутридневным кредитом с Банка взимается плата в соответствии с пп. 4.3.4 и 4.3.5 Положения.

D3. Банк получает Извещения и выписки по ссудному счету вместе с выписками по корреспондентскому счету (промежуточные выписки о состоянии корреспондентского счета Банка) в расчетном подразделении Банка России по месту ведения корреспондентского счета Банка (в РКЦ, ГРКЦ ГУ (НБ) ЦБ РФ).

D4. Ломбардные кредитные аукционы проводятся в уполномоченном подразделении Банка России (г. Москва).

D5. Реализация заложенных ценных бумаг на ОРЦБ при неисполнении Банком обязательств по погашению кредита Банка России и уплате процентов по нему производится уполномоченным подразделением Банка России (г. Москва).

D6. Уполномоченное подразделение Банка России в соответствии с принятым Комитетом Банка России по денежно - кредитной политике решением о: предоставлении / изменении существующих условий предоставления внутридневных кредитов / кредитов овернайт / ломбардных кредитов по фиксированной процентной ставке за 1 рабочий день / при проведении ломбардного кредитного аукциона за 2 рабочих дня / до даты начала проведения операции готовит официальное сообщение о предоставлении / изменении существующих условий предоставления внутридневных кредитов / кредитов овернайт / ломбардных кредитов по фиксированной процентной ставке / проведении ломбардного кредитного аукциона для опубликования в "Вестнике Банка России", по Рейтеру и в других средствах массовой информации. (в ред. Указания ЦБ РФ от 26.11.99 N 689-У)

D7. ЭУ (О) ГУ (НБ) ЦБ РФ в соответствии с полученным сообщением об условиях / изменении условий: предоставления внутридневных кредитов / кредитов овернайт / ломбардных кредитов по фиксированной процентной ставке за 1 рабочий день / при проведении ломбардного кредитного аукциона за 2 рабочих дня / до даты начала проведения операции доводят вышеуказанную информацию до банков.

1. Предоставление Банком России внутридневного кредита банкам <*>

<*> Указанные кредиты предоставляются банкам, с которыми подписан генеральный кредитный договор, предусматривающий право Банка на получение кредита овернайт.

1.1. В день предоставления внутридневного кредита (То + 0):

Расчетное подразделение ГУ (НБ) ЦБ РФ (Региональный центр информатизации <*>, Межрегиональный центр информатизации при Банке России <**>) во время проведения расчетов текущего операционного дня проводит платежи Банка, имеющего картотеку отложенных платежей текущего операционного дня и соответствующего условиям п. 2.5 Положения, сверх имеющихся на корреспондентском счете Банка средств, допуская дебетовое сальдо (предоставляя ему тем самым внутридневной кредит) в пределах установленного лимита рефинансирования по данному виду кредита и достаточного обеспечения. (в ред. Указания ЦБ РФ от 24.06.2002 N 1169-У)

<*> Далее по тексту "РЦИ".

<**> Далее по тексту "МЦИ".

Документом, подтверждающим факт предоставления Банком России внутридневного кредита Банку, является промежуточная выписка о состоянии корреспондентского счета данного Банка (либо документ на бумажном носителе и / или в электронном виде), официально свидетельствующая о наличии внутридневного дебетового сальдо (в пределах разрешенной Банком России величины (установленного внутридневного лимита рефинансирования по данному виду кредита)).

1.1.1. Внутридневной кредит погашается в течение текущего операционного дня за счет текущих поступлений денежных средств на корреспондентский счет Банка в сумме, покрывающей допущенное Банком разрешенное внутридневное дебетовое сальдо.

1.1.2. При невосполнении Банком недостатка средств на своем корреспондентском счете до завершения расчетов текущего операционного дня расчетное подразделение ГУ (НБ) ЦБ РФ (РЦИ, МЦИ) переоформляет сумму внутридневного дебетового сальдо в кредит овернайт, осуществляя действия, аналогичные указанным в п. 2 настоящего Регламента (при этом обязательства Банка по погашению внутридневного кредита прекращаются).

2. Предоставление Банком России кредита овернайт банкам <*>

<*> Указанные кредиты предоставляются банкам, с которыми подписан генеральный кредитный договор, предусматривающий право Банка на получение кредита овернайт.

2.1. В день предоставления Банком России кредита овернайт банкам (То + 0):

2.1.1. Расчетное подразделение ГУ (НБ) ЦБ РФ (РЦИ, МЦИ) во время проведения окончательных расчетов по итогам текущего операционного дня <*> предоставляет банкам кредит овернайт в пределах установленного лимита рефинансирования по данному виду кредита и при наличии достаточного обеспечения путем: (в ред. Указания ЦБ РФ от 04.06.98 N 250-У)

<*> При многорейсовой обработке - во время обработки результатов окончательного рейса.

1) проведения платежей Банка, имеющего картотеку отложенных платежей текущего операционного дня и соответствующего условиям п. 2.5 Положения в пределах размера залогового портфеля государственных ценных бумаг, находящихся в разделе "Блокировано в залоге под кредиты овернайт Банка России", сформированного в соответствии с Приложением 4 к Положению; (в ред. Указания ЦБ РФ от 24.06.2002 N 1169-У)

2) зачисления на корреспондентский счет Банка денежных средств для покрытия внутридневного разрешенного дебетового сальдо по корреспондентскому счету Банка в расчетном подразделении Банка России (переоформления внутридневного кредита в кредит овернайт).

2.2. На следующий рабочий день после предоставления Банком России кредита овернайт банкам (То + 1):

2.2.1. До 12.00 уполномоченный сотрудник Расчетного подразделения ГУ (НБ) ЦБ РФ выдает уполномоченному сотруднику Банка (под расписку) оформленные в установленном порядке документы:

1) Извещение (Приложение 5 к Положению);

2) выписки по корреспондентскому и ссудному счетам данного Банка.

Факт передачи Банку Извещения фиксируется уполномоченным сотрудником Расчетного подразделения ГУ (НБ) ЦБ РФ в специальном журнале.

2.2.2. Один экземпляр Извещения остается в Расчетном подразделении ГУ (НБ) ЦБ РФ, второй - передается в ГУ (НБ) ЦБ РФ (ОПЕРУ-1 при Банке России), третий - хранится у Банка - заемщика. Все экземпляры Извещения (оформленные в установленном порядке) имеют одинаковую юридическую силу.

2.2.3. Документами, подтверждающими факт предоставления Банком России кредита овернайт Банку, являются:

1) выписки по корреспондентскому и ссудному счетам данного Банка;

2) оформленное и подписанное Банком России Извещение.

2.2.4. Документами, подтверждающими факт обеспечения залогом предоставленного Банком России кредита овернайт, являются оформленное и подписанное со стороны Банка России Приложение 1 к Извещению и отчет о состоянии разделов счета депо Банка из Депозитария <*>.

<*> Банк получает отчет о результатах произведенного депозитарного перевода государственных ценных бумаг в Депозитарии.

3. Предоставление Банком России ломбардных кредитов банкам по фиксированной ломбардной процентной ставке <*>

<*> Указанные кредиты предоставляются Банку, с которым подписан генеральный кредитный договор, предусматривающий право Банка на получение ломбардного кредита.

3.1. В день предоставления ломбардного кредита (Тф - 0) осуществляются следующие действия:

3.1.1. Для получения ломбардного кредита Банк направляет в уполномоченное учреждение Банка России (банки Московского региона - в Сводный экономический департамент Банка России (г. Москва) Банка России заявление <*> на получение ломбардного кредита по форме Приложения 8 к Положению (на бумажном носителе) с 11.00 до 15.00. Ломбардный кредит предоставляется банкам, отвечающим условиям п. 2.5 Положения. Заявления на получение ломбардного кредита, поступившие до 15.00, исполняются в установленном порядке в течение этого рабочего дня, заявления на получение ломбардного кредита, поступившие после 15.00, не рассматриваются и исполняются в установленном порядке на следующий рабочий день. (в ред. Указания ЦБ РФ от 24.06.2002 N 1169-У)

<*> Заявление должно быть подписано должностными лицами Банка, подписи которых соответствуют образцам подписей, представленным в карточке образцов подписей, находящейся в уполномоченном учреждении / подразделении Банка России.

3.1.2. При выполнении Банком условий п. 2.5 Положения и в пределах размера залогового портфеля государственных ценных бумаг, находящихся в разделе "Блокировано в залоге под ломбардные кредиты Банка России", сформированного в соответствии с Приложением 4 к Положению, уполномоченное учреждение Банка России (для банков Московского региона - Сводный экономический департамент Банка России (г. Москва) зачисляет сумму предоставляемого ломбардного кредита на корреспондентский счет Банка. (в ред. Указания ЦБ РФ от 24.06.2002 N 1169-У)

3.1.3. При недостаточности обеспечения запрашиваемой суммы ломбардного кредита уполномоченное учреждение Банка России (для банков Московского региона - Сводный экономический департамент Банка России (г. Москва) до 15.30 направляет сообщение Банку об отказе в предоставлении Банку ломбардного кредита (Банк вправе прислать новое заявление на предоставление ломбардного кредита в меньшем объеме или перевести недостающее количество ценных бумаг в раздел "Блокировано Банком России"). (в ред. Указания ЦБ РФ от 24.06.2002 N 1169-У)

3.2. На следующий рабочий день после предоставления ломбардного кредита осуществляются действия, аналогичные описанным в п. 2.2 настоящего Регламента (Тф + 1).

4. Проведение Банком России ломбардных кредитных аукционов <*>

<*> В ломбардных кредитных аукционах вправе участвовать Банки, с которыми подписан генеральный кредитный договор, предусматривающий право Банка на получение ломбардного кредита.

4.1. В день проведения ломбардного кредитного аукциона (та+0) осуществляются следующие действия: (в ред. Указания ЦБ РФ от 24.06.2002 N 1169-У)

4.1.1. Для участия в ломбардном кредитном аукционе Банк направляет в уполномоченное учреждение Банка России (банки Московского региона - в Сводный экономический департамент Банка России (г. Москва) до 14.00 заявку по форме Приложения 9 к Положению (на бумажном носителе). Заявка должна быть подписана должностными лицами Банка, подписи которых соответствуют образцам подписей, представленным в карточке образцов подписей и оттиска печати, находящейся в Банке России. (в ред. Указания ЦБ РФ от 24.06.2002 N 1169-У)

4.1.2. Уполномоченное учреждение Банка России (для банков Московского региона - Сводный экономический департамент Банка России (г. Москва) проверяет выполнение Банком условий п. 2.5 Положения. (в ред. Указания ЦБ РФ от 24.06.2002 N 1169-У)

4.1.3. При положительном результате проверки условий п. 2.5 Положения и при достаточности обеспечения запрашиваемой суммы кредита (наличия необходимого количества государственных ценных бумаг в разделе "Блокировано Банком России" счета депо Банка с учетом предоставленного внутридневного кредита / кредита овернайт) уполномоченное учреждение Банка России (для банков Московского региона - Сводный экономический департамент Банка России (г. Москва) допускает Банк к участию в ломбардном кредитном аукционе. (в ред. Указания ЦБ РФ от 24.06.2002 N 1169-У)

4.1.4. Уполномоченное учреждение Банка России (для банков Московского региона - Сводный экономический департамент Банка России (г. Москва) до 16.00 направляет сообщение банкам, не допущенным к участию в ломбардном кредитном аукционе (несоответствие Банка критерию, указанному в пп. а) пп. 4) п. 2.5 Положения). (в ред. Указания ЦБ РФ от 24.06.2002 N 1169-У)

4.1.5. До 16.45 московского времени Комитет Банка России по денежно - кредитной политике анализирует поступившие от банков заявки, принимает окончательное решение о ставке отсечения и об объеме кредита, выставленного на данный аукцион, и в соответствии с принятым решением проводит ломбардный кредитный аукцион, который должен быть завершен к 17.00 московского времени. (в ред. Указания ЦБ РФ от 24.06.2002 N 1169-У)

4.1.6. Сводный экономический департамент Банка России (г. Москва) передает в уполномоченное учреждение Банка России сообщение об итогах проведенного ломбардного кредитного аукциона. (в ред. Указания ЦБ РФ от 24.06.2002 N 1169-У)

4.2. На следующий рабочий день после проведения ломбардного кредитного аукциона (та+1) осуществляются следующие действия: (в ред. Указания ЦБ РФ от 24.06.2002 N 1169-У)

4.2.1. Уполномоченное учреждение Банка России (для банков Московского региона - Сводный экономический департамент Банка России (г. Москва) до 10.00 направляет сообщения банкам, которым отказано в предоставлении ломбардного кредита по результатам проведенного ломбардного кредитного аукциона. (в ред. Указаний ЦБ РФ от 26.11.99 N 689-У, от 24.06.2002 N 1169-У)

4.2.2. Уполномоченное учреждение Банка России (для банков Московского региона - Сводный экономический департамент Банка России (г. Москва) при выполнении банком, заявка которого удовлетворена (в том числе частично удовлетворена - в случае частичного удовлетворения заявки банка кредит банку может быть предоставлен, если сумма, которая может быть предоставлена банку, не меньше минимальной суммы кредита, указанной банком в заявке на участие в ломбардном кредитном аукционе), условий п. 2.5 Положения и в пределах размера залогового портфеля государственных ценных бумаг, находящихся в разделе "Блокировано в залоге под ломбардные кредиты Банка России", сформированного в соответствии с Приложением 4 к Положению, зачисляет сумму предоставляемого ломбардного кредита на корреспондентский счет банка. В случае если по итогам ломбардного кредитного аукциона удовлетворено несколько заявок банка, ломбардные кредиты предоставляются в первую очередь по удовлетворенной заявке, в которой указана максимальная процентная ставка, и далее по другим удовлетворенным заявкам, ранжированным по мере уменьшения указанных в них процентных ставок.

При наличии технической возможности действия, указанные в подпунктах 4.2.1 и 4.2.2, осуществляются в день проведения ломбардного кредитного аукциона. (в ред. Указания ЦБ РФ от 24.06.2002 N 1169-У)

4.3. На следующий рабочий день после предоставления ломбардного кредита (та+2) осуществляются действия, аналогичные описанным в п. 2.2 настоящего регламента. (в ред. Указания ЦБ РФ от 24.06.2002 N 1169-У)

5. Погашение банками кредитов Банка России без реализации заложенных ценных бумаг

5.1. В день наступления срока исполнения обязательств по выданным кредитам Банка России осуществляются следующие действия (Тп + 0):

5.1.1. Погашение кредита Банка России и уплата процентов по нему производятся путем направления Банком - заемщиком платежных поручений (на уплату процентов, на погашение кредита) в электронном виде / на бумажном носителе на списание средств с корреспондентского счета Банка в расчетное подразделение ГУ (НБ) ЦБ РФ в течение операционного дня в интервалы времени, установленные нормативными актами Банка России. Банк обязан соблюдать очередность погашения требований Банка России, в первую очередь уплачиваются проценты по кредиту, затем - сумма основного долга по кредиту. (в ред. Указания ЦБ РФ от 26.11.99 N 689-У)

5.2. На следующий рабочий день после наступления срока исполнения обязательств по выданным кредитам Банка России осуществляются следующие действия (Тп + 1):

5.2.1. До 9.30 московского времени уполномоченное подразделение Банка России на основании информации о погашенных Банками по итогам прошедшего дня кредитах Банка России в разрезе банков:

- подготавливает и направляет в Депозитарий поручения "депо" на осуществление депозитарных переводов <*> заложенных под кредит государственных ценных бумаг из раздела "Блокировано в залоге под кредиты овернайт Банка России" / "Блокировано в залоге под ломбардные кредиты Банка России" в раздел "Блокировано банком России" либо в Основной раздел (указывается Банком <**>) счетов депо банков и соответственно на закрытие разделов "Блокировано в залоге под кредиты овернайт Банка России" / "Блокировано в залоге под ломбардные кредиты Банка России" на счетах депо Банков, погасивших кредит овернайт / ломбардный кредит.

<*> Банк получает отчет о результатах произведенного депозитарного перевода ценных бумаг в Депозитарии.

<**> Раздел, в который переводятся заложенные ценные бумаги после погашения ломбардного кредита или кредита овернайт Банка России, может быть указан: а) в генеральном кредитном договоре; б) в заявлении / заявке Банка на получение ломбардного кредита; в) в заявлении Банка по форме Приложения 10 к настоящему Положению. Перевод осуществляется в раздел, который был указан в последнем сообщении Банка (по умолчанию - в раздел "Блокировано Банком России").

6. Осуществление операций в случае неисполнения (ненадлежащего исполнения) Банком обязательств по погашению кредита Банка России с реализацией заложенных ценных бумаг

6.1. В день наступления установленного срока возврата выданного кредита Банка России (указанного в извещении либо в заявлении Банка в соответствии с п. 4.1.6 Положения) осуществляются следующие действия (Тп + 0):

6.1.1. В случае невыполнения Банком - должником обязательств перед Банком России расчетное подразделение ГУ (НБ) ЦБ РФ (РЦИ, МЦИ) во время проведения окончательных расчетов производит:

- открытие программным путем счетов по учету просроченной задолженности по кредиту Банка России и просроченным процентам с присвоением им уникальных номеров;

- перенос остатка ссудной задолженности на счет по учету просроченных ссуд;

- отражение суммы просроченных процентов.

Оформление необходимых документов производится программным способом.

6.2. На следующий рабочий день после наступления установленного срока исполнения обязательств по выданным кредитам Банка России осуществляются следующие действия (Тп + 1):

6.2.1. До 9.30 московского времени уполномоченное подразделение Банка России на основании информации, полученной от ЭУ (О) ГУ (НБ) ЦБ РФ (РЦИ, МЦИ), о Банках, срок исполнения обязательств которых по кредитам Банка России наступил в день Тп + 0:

- подготавливает и направляет в Депозитарий поручения "депо" на открытие раздела "Блокировано Банком России для торгов по реализации ценных бумаг, заложенных по кредитам овернайт Банка России" / "Блокировано Банком России для торгов по реализации ценных бумаг, заложенных под ломбардные кредиты Банка России" и перевод в указанный раздел заложенных под непогашенный кредит ценных бумаг из раздела "Блокировано в залоге под кредиты овернайт Банка России" / "Блокировано в залоге под ломбардные кредиты Банка России" счета депо Банка - должника.

6.2.2. Реализация заложенных ценных бумаг осуществляется уполномоченным подразделением Банка России (г. Москва) в соответствии с условиями генерального кредитного договора и в срок, в нем оговоренный <*>.

<*> Реализация заложенных ценных бумаг с публичных торгов на ОРЦБ производится в течение четырех торговых сессий подряд (за исключением дней проведения аукционов по размещению государственных ценных бумаг) путем заключения сделок купли - продажи заложенных ценных бумаг, выставленных на торги по заявкам Банка России, по средневзвешенной цене, сложившейся на момент выставления заявки Банка России на продажу.

6.2.3. Ежедневно после реализации всех или части заложенных под данный просроченный кредит ценных бумаг уполномоченное подразделение Банка России через расчетное подразделение Банка России не позднее следующего рабочего дня после проведения торговой сессии на ОРЦБ направляет Банку - должнику Уведомление о взаиморасчетах по ссудной задолженности по форме Приложения 7 к Положению для осуществления Банком в своем балансе соответствующих бухгалтерских проводок.

6.2.4. Все денежные расчеты по реализации заложенных ценных бумаг осуществляются уполномоченными подразделениями Банка России в установленном Банком России порядке.

6.2.5. Уполномоченное учреждение (подразделение) Банка России подготавливает расчетные документы (инкассовые поручения и мемориальные ордера), необходимые для осуществления действий, указанных в п. п. 3.1, 3.6, 3.7, 3.9, 3.10 и 3.11 Положения. (в ред. Указания ЦБ РФ от 26.11.99 N 689-У)

7. Осуществление операций по переводу ценных бумаг из раздела "Блокировано Банком России" в Основной раздел счета депо Банка

7.1. Банк направляет заявление <*> по форме Приложения 10 к Положению на перевод ценных бумаг (свободных от блокировки по предоставленному внутридневному кредиту) из раздела "Блокировано Банком России" в Основной раздел счета депо Банка в уполномоченное учреждение Банка России (банки Московского региона - в Сводный экономический департамент Банка России (г. Москва). (в ред. Указания ЦБ РФ от 24.06.2002 N 1169-У)

<*> Заявление должно быть подписано должностными лицами Банка, подписи которых соответствуют образцам подписей, представленным в карточке образцов подписей, находящейся в уполномоченном учреждении / подразделении Банка России.

7.1.1. Если указанное заявление Банка поступит в уполномоченное учреждение Банка России (банки Московского региона - в Сводный экономический департамент Банка России (г. Москва) до 8.30 по московскому времени, то уполномоченное подразделение Банка России подготовит и направит в Депозитарий поручение "депо" на осуществление депозитарного перевода ценных бумаг в Основной раздел счета депо Банка до начала торговой сессии на ОРЦБ текущего рабочего дня. (в ред. Указания ЦБ РФ от 24.06.2002 N 1169-У)

7.1.2. Если указанное заявление Банка поступит в уполномоченное учреждение Банка России (банки Московского региона - в Сводный экономический департамент Банка России (г. Москва) после 8.30 по московскому времени, то уполномоченное подразделение Банка России подготовит и направит в Депозитарий поручение "депо" на осуществление депозитарного перевода ценных бумаг в Основной раздел счета депо Банка после окончания торговой сессии на ОРЦБ текущего рабочего дня. (в ред. Указания ЦБ РФ от 24.06.2002 N 1169-У)

7.1.3. В тот рабочий день, когда в разделе "Блокировано Банком России" счетов депо банков учитываются государственные ценные бумаги, срок погашения которых наступает ранее чем через 11 календарных дней начиная со следующего рабочего дня, уполномоченное подразделение Банка России самостоятельно подготавливает и направляет в Депозитарий поручение "депо" на перевод таких бумаг из раздела "Блокировано Банком России" в Основной раздел счетов депо банков <*>. (в ред. Указания ЦБ РФ от 26.11.99 N 689-У)

<*> Банк получает отчет о результатах произведенного депозитарного перевода ценных бумаг в Депозитарии.

Приложение 7
к Положению Банка России
"О порядке предоставления
Банком России кредитов
банкам, обеспеченных залогом
государственных ценных бумаг"
от 6 марта 1998 г. N 19-П

на бланке уполномоченного учреждения  
Банка России Руководителю Банка
N ______ от "__" ______ 199_ г.  

УВЕДОМЛЕНИЕ
О ВЗАИМОРАСЧЕТАХ ПО ССУДНОЙ ЗАДОЛЖЕННОСТИ ПО КРЕДИТУ (КРЕДИТ ОВЕРНАЙТ / ЛОМБАРДНЫЙ КРЕДИТ)
N ___ ОТ "__" _____ 199_ Г.

(в рублях)

N п/п Дата реализации Государственный регистрационный номер выпуска ценных бумаг Количество реализованных ценных бумаг (шт.) Цена реализации Сумма выручки от реализации Сумма основного долга по кредиту Сумма процентов по кредиту Пеня (неустойка) за неисполнение обязательств по кредиту Сумма комиссии, удержанной Торговой системой за реализацию Объем требований Банка России Всего
1 2 3 4 5 6 7 8 9 10 11
1                    
2                    
ИТОГО                

В случае, если кол. 6 больше кол. 11, то разница перечисляется на корреспондентский счет Банка.

В случае, если кол. 6 меньше кол. 11, то разница списывается с корреспондентского счета Банка без распоряжения владельца счета.

Уполномоченное должностное (подпись) Ф.И.О.
лицо уполномоченного    
учреждения Банка России    

Приложение 8
к Положению Банка России
"О порядке предоставления
Банком России кредитов
банкам, обеспеченных залогом
государственных ценных бумаг"
от 6 марта 1998 г. N 19-П

 
        (направляется Банком по специальным каналам связи
              с подтверждением на бумажном носителе)
 
(на бланке банка)
 
                            ЗАЯВЛЕНИЕ
                 НА ПОЛУЧЕНИЕ ЛОМБАРДНОГО КРЕДИТА
                ПО ФИКСИРОВАННОЙ ПРОЦЕНТНОЙ СТАВКЕ
                N ___ ОТ "__" ___________ 199_ Г.
 
__________________________________________________________________
                       (наименование Банка)
    регистрационный номер Банка __________________________________
    корреспондентский счет N __________ в РКЦ ГУ (НБ) ЦБ РФ ______
    БИК N ________________________________________________________
    генеральный кредитный договор от "__" __________ 199_ г. N ___
    раздел "Блокировано Банком России" N ____ счета депо N _______
    в Депозитарии ________________________________________________
                    (наименование уполномоченного депозитария)
    телефон __________ e-mail ________ факс ______________________
    Просим предоставить "__" ___________ 199_ г. ломбардный кредит
в сумме _________________ _________________________________ рублей
         (сумма цифрами)         (сумма прописью)
на срок ___ календарных дня(ей) по  ломбардной  процентной  ставке
___ (в процентах годовых)
    дата погашения кредита "__" __________ 199_ г.
    После погашения  кредита и уплаты процентов по нему переведите
заблокированные ценные бумаги в ________ (указать Основной раздел;
по умолчанию  -  в  раздел "Блокировано Банком России") счета депо
нашего Банка.
 
    Подпись уполномоченного
    должностного лица Банка <*>       (подпись)             Ф.И.О.
 
    М.П.
 

    <*> Заявление должно быть подписано должностными лицами Банка,
подписи которых соответствуют образцам подписей,  представленным в
карточке   образцов   подписей,   находящейся   в   уполномоченном
учреждении / подразделении Банка России.
 
__________________________________________________________________
    (заполняется уполномоченным учреждением / подразделением
                          Банка России)
 
    Регистрационный N Заявления __________________
    Дата поступления Заявления "__" ______ 199_ г.
    Время поступления Заявления __ часов __ мин.
    Подпись ответственного лица за прием документов ______________
    (должность, Ф.И.О.)
 
 
 

Приложение 9
к Положению Банка России
"О порядке предоставления
Банком России кредитов
банкам, обеспеченных залогом
государственных ценных бумаг"
от 6 марта 1998 г. N 19-П

 
        (направляется Банком по специальным каналам связи
              с подтверждением на бумажном носителе)
 
(на бланке банка)
 
                              ЗАЯВКА
      НА УЧАСТИЕ В ЛОМБАРДНОМ КРЕДИТНОМ АУКЦИОНЕ, ПРОВОДИМОМ
                  "__" _________________ 199_ Г.
                N ___ ОТ "__" ___________ 199_ Г.
 
__________________________________________________________________
                       (наименование Банка)
    регистрационный номер Банка __________________________________
    корреспондентский счет N __________ в РКЦ ГУ (НБ) ЦБ РФ ______
    БИК N ________________________________________________________
    генеральный кредитный договор от "__" __________ 199_ г. N ___
    раздел "Блокировано Банком России" N ____ счета депо N _______
    в Депозитарии ________________________________________________
                     (наименование уполномоченного депозитария)
    телефон __________ e-mail ________ факс ______________________
    объем запрашиваемой суммы ломбардного кредита
_________________________ _________________________________ рублей
     (сумма цифрами)              (сумма прописью)
    минимальный запрашиваемый объем ломбардного кредита  в  случае
частичного удовлетворения заявки
_________________________ _________________________________ рублей
     (сумма цифрами)              (сумма прописью)
на срок  ___  календарных  дня(ей), заявленная  процентная  ставка
___ (в процентах годовых)
    дата погашения кредита "__" __________ 199_ г.
    После погашения  кредита и уплаты процентов по нему переведите
заблокированные ценные бумаги в _______ (указать Основной  раздел;
по умолчанию  -  в  раздел "Блокировано Банком России") счета депо
нашего Банка.
 
    Подпись уполномоченного
    должностного лица Банка <*>      (подпись)              Ф.И.О.
 
    М.П.
 

    <*> Заявка  должна  быть  подписана должностными лицами Банка,
подписи которых соответствуют образцам подписей,  представленным в
карточке   образцов   подписей,   находящейся   в   уполномоченном
учреждении / подразделении Банка России.
 
__________________________________________________________________
     (заполняется уполномоченным учреждением / подразделением
                          Банка России)
 
    Регистрационный N Заявки __________________
    Дата поступления Заявки "__" ______ 199_ г.
    Время поступления Заявки __ часов __ мин.
    Подпись ответственного лица за прием документов ______________
    (должность, Ф.И.О.)
 
 
 

Приложение 10
к Положению Банка России
"О порядке предоставления
Банком России кредитов
банкам, обеспеченных залогом
государственных ценных бумаг"
от 6 марта 1998 г. N 19-П

 
        (направляется Банком по специальным каналам связи
              с подтверждением на бумажном носителе)
 
(на бланке банка)
 
                                                  В уполномоченное
                                        учреждение / подразделение
                                                      Банка России
 
                            ЗАЯВЛЕНИЕ
 
    N ______________                      от "__" ________ 199_ г.
 
    Просим осуществить перевод следующих ценных бумаг, находящихся
в разделе _______________________________ N ______________________
            (вписать название раздела)
счета депо Банка _________________________________ N _____________
                         (название Банка)
в  Депозитарии  ______________________________  в  Основной раздел
                  (наименование Депозитария)
N ____________ счета депо Банка:
 
 N 
п/п
Государственный 
регистрационный
номер выпуска
ценных бумаг
    Количество 
ценных бумаг
конкретного выпуска
1 
        2 
          3 
1. 
 
 
2. 
 
 
3. 
 
 
 
ИТОГО: 
 
 
    Подпись уполномоченного
    должностного лица Банка <*>           (подпись)         Ф.И.О.
 
    М.П.
 
 

    <*> Заявление должно быть подписано должностными лицами Банка,
подписи которых соответствуют образцам подписей,  представленным в
карточке   образцов   подписей,   находящейся   в   уполномоченном
учреждении / подразделении Банка России.
 
 
 

Приложение 11
к Положению Банка России
"О порядке предоставления
Банком России кредитов
банкам, обеспеченных залогом
государственных ценных бумаг"
от 6 марта 1998 г. N 19-П

УЧЕТ ОПЕРАЦИЙ
ПО ПРЕДОСТАВЛЕНИЮ БАНКОМ РОССИИ КРЕДИТОВ БАНКАМ, ОБЕСПЕЧЕННЫХ ЗАЛОГОМ ГОСУДАРСТВЕННЫХ ЦЕННЫХ БУМАГ

(в ред. Указаний ЦБ РФ от 04.06.98 N 250-У, от 25.12.98 N 450-У)

I. Бухгалтерский учет операций

Порядок бухгалтерского учета операций предоставления и погашения кредитов Банка России (внутридневных кредитов, кредитов овернайт, ломбардных кредитов) в банке установлен Указанием ЦБ РФ от 25.12.98 N 450-У.

Раздел утратил силу. - Указание ЦБ РФ от 25.12.98 N 450-У.

II. Депозитарный учет операций

1. Банки - владельцы государственных ценных бумаг (инвесторы / дилеры) <*> ведут учет этих ценных бумаг на счетах депо в уполномоченном депозитарии.

<*> 1. Настоящим разделом Приложения регламентируется депозитарный учет операций (по счетам синтетического и аналитического учета), проводимых банками - дилерами (в том числе являющимися уполномоченными депозитариями) и по счетам синтетического учета банков - инвесторов.

2. Банкам - инвесторам рекомендуется вести депозитарный учет операций по счетам аналитического учета (на счете депо N 98070) в порядке, изложенном в настоящем Приложении.

3. Банки - дилеры, в том числе уполномоченные депозитарии, ведут депозитарный учет на основании отчетов (выписок) по своим счетам депо, официально получаемых из Депозитария Московской межбанковской валютной биржи / Национального депозитарного центра.

Государственные ценные бумаги банка учитываются в главе Д "Счета депо" на счете депо N 98070 "Ценные бумаги, обремененные обязательствами" - по выпускам государственных ценных бумаг. К счету N 98070 ведутся следующие разделы: "Блокировано Банком России", "Блокировано под кредитный аукцион Банка России", "Блокировано в залоге под ломбардные кредиты Банка России", "Блокировано в залоге под кредиты овернайт Банка России", "Блокировано для торгов по реализации ценных бумаг, заложенных под ломбардные кредиты Банка России", "Блокировано для торгов по реализации ценных бумаг, заложенных по кредитам овернайт" <*>.

<*> Указанные разделы счета депо банка ведутся при предоставлении банку кредитов Банка России.

Банки (инвесторы / дилеры) учитывают государственные ценные бумаги, принадлежащие самому банку или депонентам на счетах депо:

Д-т счета N 98010 "Ценные бумаги на хранении в ведущем депозитарии (НОСТРО депо базовый)

К-т счета N 98050 "Ценные бумаги, принадлежащие депозитарию" или

К-т счета N 98040 "Ценные бумаги владельцев".

2. У банков - дилеров депозитарный учет ценных бумаг, переведенных в обеспечение по кредитам Банка России (предварительно заблокированных, заложенных), ведется в разрезе отдельных лицевых счетов по учету собственных ценных бумаг и ценных бумаг клиентов.

3. При предварительном блокировании государственных ценных бумаг, принадлежащих банку, в целях получения в дальнейшем кредитов Банка России, делаются следующие депозитарные проводки по счетам депо банка (дилера, инвестора):

3.1. у банка - владельца ценных бумаг

Д-т счета N 98050 "Ценные бумаги, принадлежащие депозитарию"

К-т счета N 98070 "Ценные бумаги, обремененные обязательствами" (раздел "Блокировано Банком России);

3.2. у банка - дилера при переводе ценных бумаг клиентов:

Д-т счета N 98040 "Ценные бумаги владельцев"

К-т счета N 98070 "Ценные бумаги, обремененные обязательствами" (раздел "Блокировано Банком России").

4. При блокировке ценных бумаг Банком России в день проведения ломбардного кредитного аукциона делаются следующие проводки по разделам счета депо банка (дилера / инвестора):

Д-т счета N 98070 "Ценные бумаги, обремененные обязательствами" (раздел "Блокировано Банком России")

К-т счета N 98070 "Ценные бумаги, обремененные обязательствами" (раздел "Блокировано под кредитный аукцион Банка России").

5. При приеме Банком России в залог ценных бумаг, принадлежащих банку, в день предоставления кредита Банка России (кредита овернайт / ломбардного кредита) делаются следующие проводки по разделам счета депо банка (дилера / инвестора):

Д-т счета N 98070 "Ценные бумаги, обремененные обязательствами" (раздел "Блокировано Банком России")

К-т счета N 98070 "Ценные бумаги, обремененные обязательствами" (раздел "Блокировано в залоге под кредиты овернайт Банка России" / "Блокировано в залоге под ломбардные кредиты Банка России").

6. После погашения кредита Банка России (кредита овернайт / ломбардного кредита) и уплаты процентов по нему делаются следующие проводки по разделам счета депо банка (дилера / инвестора):

6.1. при переводе ценных бумаг в раздел "Блокировано Банком России" счета депо банка

Д-т счета N 98070 "Ценные бумаги, обремененные обязательствами" (раздел "Блокировано в залоге под кредиты овернайт Банка России" / "Блокировано в залоге под ломбардные кредиты Банка России")

К-т счета N 98070 "Ценные бумаги, обремененные обязательствами" (раздел "Блокировано Банком России");

6.2. при снятии с ценных бумаг обременения обязательствами (при их разблокировании и переводе в Основной раздел счета депо банка):

- у банка - владельца ценных бумаг (дилера / инвестора)

Д-т счета N 98070 "Ценные бумаги, обремененные обязательствами" (раздел "Блокировано в залоге под кредиты овернайт Банка России" / "Блокировано в залоге под ломбардные кредиты Банка России")

К-т счета N 98050 "Ценные бумаги, принадлежащие депозитарию";

- у банка - дилера при переводе ценных бумаг клиентов

Д-т счета N 98070 "Ценные бумаги, обремененные обязательствами" (раздел "Блокировано в залоге под кредиты овернайт Банка России" / "Блокировано в залоге под ломбардные кредиты Банка России")

К-т счета N 98040 "Ценные бумаги владельцев".

7. В случае неисполнения банком обязательств по возврату кредита Банка России и уплате процентов по нему заложенные ценные бумаги подлежат реализации на торгах ОРЦБ, при этом делаются следующие проводки по разделам счета депо банка (дилера / инвестора):

Д-т счета N 98070 "Ценные бумаги, обремененные обязательствами" (раздел "Блокировано в залоге под кредиты овернайт Банка России" / "Блокировано в залоге под ломбардные кредиты Банка России")

К-т счета N 98070 "Ценные бумаги, обремененные обязательствами" (раздел "Блокировано для торгов по реализации ценных бумаг, заложенных под ломбардные кредиты Банка России" / "Блокировано для торгов по реализации ценных бумаг, заложенных по кредитам овернайт").

8. После реализации Банком России ценных бумаг на торгах ОРЦБ делаются следующие проводки по счетам депо банка (дилера / инвестора):

Д-т счета N 98070 "Ценные бумаги, обремененные обязательствами" (раздел "Блокировано для торгов по реализации ценных бумаг, заложенных под ломбардные кредиты Банка России" / "Блокировано для торгов по реализации ценных бумаг, заложенных по кредитам овернайт")

К-т счета N 98010 "Ценные бумаги на хранении в ведущем депозитарии (НОСТРО депо базовый)" или

К-т счета N 98040 "Ценные бумаги владельцев".

9. При разблокировании части или всех ценных бумаг банка (дилера / инвестора):

Д-т счета N 98070 "Ценные бумаги, обремененные обязательствами" (раздел "Блокировано Банком России")

К-т счета N 98040 "Ценные бумаги владельцев"

либо

К-т счета N 98050 "Ценные бумаги, принадлежащие депозитарию".