Приказ ЦБ РФ от 30.01.96 N 02-23

"О введении в действие Инструкции N 1 "О порядке регулирования деятельности кредитных организаций" (вместе с Инструкцией ЦБ РФ N 1)
Редакция от 28.03.1996 — Документ утратил силу, см. «Указание ЦБ РФ от 16.01.2004 N 1378-У»
Показать изменения

ЦЕНТРАЛЬНЫЙ БАНК РОССИЙСКОЙ ФЕДЕРАЦИИ

ПРИКАЗ
от 30 января 1996 г. N 02-23

О ВВЕДЕНИИ В ДЕЙСТВИЕ ИНСТРУКЦИИ N 1 "О ПОРЯДКЕ РЕГУЛИРОВАНИЯ ДЕЯТЕЛЬНОСТИ КРЕДИТНЫХ ОРГАНИЗАЦИЙ"

(в ред. письма ЦБ РФ от 28.03.96 N 263)

В целях обеспечения экономических условий устойчивого функционирования банковской системы Российской Федерации и в связи с принятием Государственной Думой нового Федерального закона "О Центральном банке Российской Федерации (Банке России)" приказываю:

1. В соответствии с решением Совета директоров Банка России (протокол от 22 декабря 1995 г. N 79) ввести в действие с 1 марта 1996 года новую Инструкцию N 1 "О порядке регулирования деятельности кредитных организаций".

2. Ввести новый порядок расчета обязательных экономических нормативов с баланса на 1 апреля 1996 года и распространить на все кредитные организации. Впредь до особых указаний не распространять действие Инструкции на Сберегательный банк РФ.

До 1 апреля 1996 года расчет экономических нормативов осуществлять по правилам Инструкции N 1 от 30 апреля 1991 года.

3. Главным управлениям (Национальным банкам) Центрального банка РФ анализировать практику применения новой Инструкции и по мере необходимости представлять в Департамент банковского надзора предложения по ее совершенствованию.

4. Главным управлениям (Национальным банкам) Центрального банка РФ в дополнение к письму Банка России от 7 сентября 1995 г. N 15-3-2/578 ежемесячно сообщать в Департамент банковского надзора числовые значения экономических нормативов, установленные ими для отдельных кредитных организаций (с указанием поквартально установленной нормы и фактически сложившихся значений).

5. Департаменту банковского надзора довести до Главных управлений (Национальных банков) ЦБ РФ программное обеспечение к расчетам обязательных экономических нормативов.

6. Довести настоящую Инструкцию до кредитных организаций.

7. В связи с введением новой Инструкции отменить действие:

- Инструкции N 1 "О порядке регулирования деятельности коммерческих банков" от 30 апреля 1991 г., введенной письмом Банка России от 5 мая 1991 г. N 763, с последующими дополнениями и изменениями к ней;

- указаний Банка России "О порядке формирования фонда обязательных резервов, фонда компенсации коммерческими банками разниц в процентных ставках, фонда страхования депозитов в коммерческих банках" от 30 апреля 1991 года, введенных письмом от 5 мая 1991 г. N 764;

- указаний Госбанка СССР от 18 января 1991 г. N 13-91 "О введении в действие временных правил о порядке выдачи коммерческим банкам лицензий на право совершения операций в иностранной валюте" (в части пункта 7).

Председатель
Центрального банка
Российской Федерации
С.К.ДУБИНИН

Приложение

ИНСТРУКЦИЯ N 1
О ПОРЯДКЕ РЕГУЛИРОВАНИЯ ДЕЯТЕЛЬНОСТИ КРЕДИТНЫХ ОРГАНИЗАЦИЙ

(в ред. письма ЦБ РФ от 28.03.96 N 263)

В целях обеспечения экономических условий устойчивого функционирования банковской системы Российской Федерации, защиты интересов вкладчиков и кредиторов и в соответствии с Федеральным законом Российской Федерации "О Центральном банке Российской Федерации (Банке России)" от 26 апреля 1995 года Центральный банк Российской Федерации устанавливает следующие обязательные экономические нормативы деятельности кредитных организаций:

- минимальный размер уставного капитала для вновь создаваемых кредитных организаций, минимальный размер собственных средств (капитала) для действующих кредитных организаций;

- нормативы достаточности капитала;

- нормативы ликвидности кредитной организации;

- максимальный размер риска на одного заемщика или группу связанных заемщиков;

- максимальный размер крупных кредитных рисков;

- максимальный размер риска на одного кредитора (вкладчика);

- максимальный размер кредитов, гарантий и поручительств, предоставленных кредитной организацией своим участникам (акционерам, пайщикам) и инсайдерам;

- максимальный размер привлеченных денежных вкладов (депозитов) населения;

- нормативы использования собственных средств кредитных организаций для приобретения долей (акций) других юридических лиц.

Обязательные нормативы - предельный размер неденежной части уставного капитала, минимальный размер резервов, создаваемых под высокорисковые активы, размеры валютного, процентного и иных рисков - устанавливаются другими нормативными актами Банка России.

1. Минимальный размер уставного капитала для вновь создаваемых кредитных организаций, минимальный размер собственных средств (капитала) для действующих кредитных организаций

1.1. Минимальный размер уставного капитала для вновь создаваемых кредитных организаций устанавливается соответственно:

на 1 апреля 1996 г. в сумме, эквивалентной 2,0 млн. ЭКЮ (для кредитных организаций с ограниченным кругом операций - 500 тыс. ЭКЮ);

на 1 января 1997 г. - 3,0 млн. ЭКЮ (для кредитных организаций с ограниченным кругом операций - 750 тыс. ЭКЮ);

на 1 января 1998 г. - 4,0 млн. ЭКЮ (для кредитных организаций с ограниченным кругом операций - 1,0 млн. ЭКЮ);

на 1 июля 1998 г. - 5,0 млн. ЭКЮ (для кредитных организаций с ограниченным кругом операций - 1,250 млн. ЭКЮ).

1.2. Минимальный размер собственных средств (капитала) кредитной организации, определяемых как сумма уставного капитала, фондов кредитной организации и нераспределенной прибыли, устанавливается в сумме, эквивалентной 5 млн. ЭКЮ (начиная с 1 января 1999 г.).

1.3. Минимальный размер собственных средств (капитала) кредитной организации с ограниченным кругом операций устанавливается в сумме, эквивалентной 1 млн. ЭКЮ (начиная с 1 января 1999 г.).

2. Собственные средства (капитал) кредитной организации, используемые при расчете обязательных экономических нормативов, определяются как сумма уставного капитала, фондов кредитной организации и нераспределенной прибыли, уменьшенная на затраты капитального характера, допущенные убытки, выкупленные собственные акции и дебиторскую задолженность длительностью свыше 30 дней.

Собственные средства (капитал) рассчитываются следующим образом: К = сч. 010 + 011 + часть 012 + 016 + 018 + 019(К - Д) + (часть 945 - 948) + 96 + 980(К) + 981(К) - 034 - часть 076(Д) - 901 - часть 904(Д) - часть 930 - часть 932(Д) - часть 933 - 950 - 951 - 97 - 980(Д) - 981(Д).

Примечания. 1) Остатки по балансовому счету 010 для паевых банков принимаются в расчет исходя из фактически оплаченного уставного капитала, но не выше зарегистрированного, а для акционерных банков - из фактически оплаченного уставного капитала (код 8965).

2) По балансовому счету 010 учитываются также фонды основных средств, не являющиеся частью паевых взносов в уставный капитал банка (код 8966).

3) Остатки по балансовому счету 012 принимаются в расчет за минусом средств на отдельном лицевом счете "Износ МБП" (код 8967).

4) Дебетовое сальдо по балансовому счету 019 уменьшает капитал.

5) Остатки по балансовому счету 945 принимаются в расчет исходя из той их части, которая сформирована под ссуды 1 и 2 групп риска (в соответствии с письмом Банка России от 20 декабря 1994 г. N 130а) (код 8968), за минусом средств на балансовом счете 948, но в пределах части остатков средств по балансовому счету 945 под ссуды 1 и 2 группы риска (код 8969).

6) Дебетовые остатки по балансовым счетам 076 и 904 принимаются в расчет по всем лицевым счетам в части сумм, числящихся на счетах более 30 дней с момента отражения на счете (т.е. уменьшают размер капитала на эту сумму). При этом дебетовый остаток по сч. 904 принимается в расчет за минусом суммы переплат налоговых платежей в бюджет (код 8970).

7) Дебетовые остатки по балансовым счетам 930, 932 и 933 (суммарно) принимаются в расчет в части сумм, превышающих источники на эти цели, числящиеся на балансовом счете 016 (код 8971).

Соответствующие уточнения имеются в Расшифровках отдельных балансовых счетов (Приложение 1).

3. Норматив достаточности капитала определяется как отношение собственных средств (капитала) кредитной организации к суммарному объему активов, взвешенных с учетом риска контрагентов.

3.1. Для оценки состояния активов кредитных организаций они подразделяются на 5 групп, исходя из степени риска вложений и возможной потери части стоимости.

Устанавливаются следующие коэффициенты риска по группам активов:

Коэффициент риска (в процентах)
I группа  
- средства на корреспондентском счете, открытом в Центральном банке РФ (сч. 161) 0
- средства на резервном счете в Центральном банке РФ (сч. 816 + 681) 0
- средства коммерческих банков для операций по расчетным чекам (сч. 821) 0
- вложения в государственные долговые обязательства (194) 0
- вложения в облигации внутреннего валютного займа (часть сч. 083) 0
- касса и приравненные к ней средства (сч. 031 + 032 + + 033 + 035 + 036 + 050 + 060 + 061 + 062 + 729(Д - К)) (в ред. письма ЦБ РФ от 28.03.96 N 263) 2
II группа  
- ссуды, гарантированные Правительством РФ 10
- ссуды под залог государственных ценных бумаг РФ 10
- ссуды под залог драгметаллов в слитках 10
- средства в расчетных центрах ОРЦБ (сч. 411 + 412) (введен письмом ЦБ РФ от 28.03.96 N 263) 10
III группа  
- вложения в долговые обязательства субъектов РФ и местных органов власти (сч. 192) 20
- средства на кор. счетах у банков - нерезидентов стран - членов ОЭСР в СКВ (часть сч. 072) 20
- средства, перечисленные на счета у банков - нерезидентов стран - членов ОЭСР (части сч. 075(А) + 615) 20
- ссуды под залог ценных бумаг субъектов РФ и местных органов власти 20
IV группа  
- средства на счетах у банков - резидентов РФ в иностранной валюте (сч. 080) 70
- средства на кор. счетах в рублях у банков - резидентов "Ностро" (сч. 167) 70
- средства на счетах у банков - нерезидентов стран - не членов ОЭСР (часть сч. 072 + часть 075(Д), исключая по данному счету страны ближнего зарубежья, + 615) 70
- собственные здания и сооружения за минусом переданных в залог (сч. 920 - код 8985) 70
- ценные бумаги для перепродажи (части сч. 059 + 083 + 191 + 193) 70
V группа  
- все прочие активы кредитной организации (активные остатки по балансовым счетам разделов III, V, VII, IX, X, XIV, XV, XVIII, XIX, XXI, XXII Плана счетов бухгалтерского учета) 100
- гарантии, поручительства, выданные кредитной организацией (забалансовый счет 9925) 50

Взвешивание активов по степени риска производится путем умножения остатка средств на соответствующем балансовом счете (счетах) или их части на коэффициент риска (в %), деленный на 100%.

Примечания. 1) Здесь и далее в расчет включены остатки средств на балансовых счетах (или их часть) согласно Плану счетов бухгалтерского учета, изложенному в письме Банка России от 21 ноября 1995 г. N 123-95, с последующими дополнениями и изменениями, а также с учетом Расшифровок отдельных балансовых счетов (Приложение 1).

2) Здесь и далее цифры означают номера балансовых счетов первого и второго порядка. Номер балансового счета первого порядка означает, что в расчет берутся остатки по всем входящим в него балансовым счетам второго порядка.

3) Обозначение (К) или (Д) после балансового счета означает, что в расчет берется либо кредитовый остаток данного балансового счета, либо дебетовый. Если после балансового счета стоит (Д - К) или (К - Д), то в расчет включается дебетовое либо кредитовое сальдо активно-пассивного счета.

4) Перечень стран - членов Организации экономического сотрудничества и развития (ОЭСР): Австралия, Австрия, Бельгия, Великобритания, Германия, Греция, Дания, Ирландия, Исландия, Испания, Италия, Канада, Люксембург, Мексика, Нидерланды, Новая Зеландия, Норвегия, Португалия, США, Турция, Финляндия, Франция, Чехия, Швейцария, Швеция, Япония.

5) Ценные бумаги для перепродажи (ценные бумаги со сроком нахождения на балансе банка менее 6 месяцев) (код 8980).

6) В V группе активов учитываются дебетовые остатки по всем балансовым счетам, входящим в эти разделы, без учета балансовых счетов (или части средств по ним), нашедших отражение в I - IV группах активов. Начисленные, но не полученные проценты по предоставленным кредитам (включая просроченные проценты) в расчет не принимаются.

Кредиты, выданные кредитной организацией в рублях и иностранной валюте (краткосрочные и долгосрочные), принимаются в расчет за минусом ссуд, гарантированных Правительством РФ (код 8973), под залог государственных ценных бумаг (код 8974), под залог драгметаллов в слитках (код 8975), под залог ценных бумаг субъектов РФ и местных органов власти (код 8978). (в ред. письма ЦБ РФ от 28.03.96 N 263)

В разделе V балансовый счет 075(Д) принимается в расчет в части средств, размещенных в банках - нерезидентах стран ближнего зарубежья (код 8981), а балансовый счет 083 "Вложения в облигации и депозитные сертификаты" за минусом вложений в облигации внутреннего валютного займа и в ценные бумаги для перепродажи (код 8982). Балансовый счет 076(Д) принимается в расчет в части дебетовых остатков, числящихся на счете менее 30 дней (код 8983). Балансовый счет 089 в расчет не принимается.

Балансовые счета 059, 191 и 193 принимаются в расчет в части вложений в прочие ценные бумаги, то есть со сроком нахождения на балансе более 6 месяцев (код 8964).

(абзац введен письмом ЦБ РФ от 28.03.96 N 263)

В XIX разделе балансовый счет 817(Д - К) принимается в расчет по сальдо.

В XXI разделе сч. 904 учитывается в части сумм длительностью до 30 дней за минусом сумм, перечисленных на приобретение ГКО и ОФЗ (код 8984). Балансовый счет 901 в расчет не принимается.

В XXII разделе учитываются:

сч. 92 (сч. 920 в части переданных в залог зданий и сооружений: код 8985), 937, 940 за минусом сч. 015;

сч. 930, 932 и 933 в части остатков средств, не превышающих остатка по балансовому счету 016 (код 8986);

сч. 948 в расчет не принимается;

остальные счета этого раздела учитываются в расчете без корректировок.

3.2. Отношение капитала кредитной организации к суммарному объему активов, взвешенных с учетом риска:


Ар - активы кредитной организации, взвешенные с учетом риска.

Примечание. 1) Остатки по балансовому счету 945 принимаются в расчет исходя из той их части, которая сформирована под ссуды 3 - 5 групп риска в соответствии с письмом Банка России от 20 декабря 1994 г. N 130а (код 8987).

Остатки по балансовому счету 948 принимаются в расчет в части средств, не вошедших в расчет капитала (код 8988).

В целях приведения уровня достаточности капитала в соответствие с международными стандартами минимально допустимое значение норматива H1 устанавливается в размере:

с баланса на 01.07.96 - 5%

с баланса на 01.02.97 - 6%

с баланса на 01.02.98 - 7%

с баланса на 01.02.99 - 8%.

Вместе с тем, для кредитных организаций, не обеспечивших выполнение установленного на 01.07.96 значения норматива, на период до 01.07.97 определяется следующий порядок регулирования их деятельности. Главные управления (Национальные банки) ЦБ РФ устанавливают квартальные значения норматива H1 таким образом, чтобы постепенно (равными долями) от фактически сложившегося значения на 01.07.96 (но не ниже 4%) привести значение данного норматива к 6% по балансу на 01.07.97.

4. Нормативы ликвидности кредитной организации

Под ликвидностью понимается способность кредитной организации обеспечивать своевременное выполнение своих обязательств.

В целях контроля за состоянием ликвидности кредитной организации устанавливаются нормативы ликвидности (текущей, мгновенной и долгосрочной).

Нормативы ликвидности кредитных организаций определяются как:

- соотношение между активами и пассивами с учетом сроков, сумм и типов активов и пассивов и других факторов;

- соотношение ликвидных активов (наличные денежные средства, требования до востребования, краткосрочные ценные бумаги, другие легкореализуемые активы) и суммарных активов.

4.1. Норматив текущей ликвидности (H2) представляет собой отношение суммы ликвидных активов банка к сумме обязательств банка по счетам до востребования и на срок до 30 дней:

ЛАт - ликвидные активы - сч. 031 + 032 + 033 + 035 + 036 + 050 + 060 + 061 + 062 + часть 072 (код 8976) + часть 083 (код 8972) + 161 + 194 + 411 + 412 + 729(Д - К) + 821 + кредиты, выданные кредитной организацией в рублях и иностранной валюте, со сроком погашения в течение ближайших 30 дней (исключая пролонгированные хотя бы один раз и выданные в погашение ранее выданных ссуд), а также другие платежи в пользу кредитной организации, подлежащие перечислению в эти сроки (код 8989) - код 8990. (в ред. письма ЦБ РФ от 28.03.96 N 263)

Примечания. 1) Счет 161 принимается в расчет, если на него не наложен арест.

2) При наличии кредитового сальдо по сч. 729 ликвидные активы уменьшаются на эту сумму.

ОВт - обязательства до востребования и на срок до 30 дней: 071 + 073 + 076(К) + 078 + 079(К) + 081 + 087 + 090 + 100(К - Д) + 120(К - Д) + 13 + 141 + 142 + 144 + 145(К - Д) + 158 + 168 + (17 - 18) + 199 + 20 + 22 + 24 + 26 + 28 + 30 + 32 + 34 + 36 + 38 + 40 + 42 + 44 + 46 + 48 + 50 + 52 + 54 + 56 + 58 + 60 (без сч. 604) + 623 + 624 + 631 + 632 + 64 + 67(К - Д) + 69 + 70 + 710 + 711 + 713 + 714 + 715 + 717 + 718 + 720 + 722 + 723 + 724 + 726 + 74 + 750 + 807 + вклады и депозиты с истекающим сроком до одного месяца и выпущенные собственные векселя со сроками предъявления до 30-ти дней (код 8991) + 810 + 811 + 812 + 814 + 817(К - Д) + 818 + 819 + кредиты, полученные от других кредитных организаций (включая кредиты Центрального банка РФ), а также юридических лиц - нерезидентов, со сроком погашения в течение ближайших 30-ти дней (код 8992) + 900 + 904(К) + 932(К) + 50% гарантий и поручительств, выданных кредитной организацией, со сроком исполнения обязательств в течение ближайших 30-ти дней (код 8993) - код 8994.

Примечания. 1) При расчете по балансу на 1 января балансовые счета 130 - 134 принимаются в расчет по кредитовому сальдо (К - Д).

2) Счета 170 и 180 в расчет не принимаются.

Минимально допустимое значение норматива H2 устанавливается в размере:

с баланса на 01.07.96 - 20%

с баланса на 01.02.97 - 30%

с баланса на 01.02.98 - 50%

с баланса на 01.02.99 - 70%.

4.2. Норматив мгновенной ликвидности (H3) представляет собой отношение суммы высоколиквидных активов банка к сумме обязательств банка по счетам до востребования:

ЛАм - высоколиквидные активы - сч. 031 + 032 + 033 + 035 + 036 + 050 + 060 + 061 + 062 + часть 072 (код 8976) + часть 083 (код 8972) + 161 + 194 + 729(Д - К) + 821 - код 8990. (в ред. письма ЦБ РФ от 28.03.96 N 263)

Примечания. 1) Счет 161 принимается в расчет, если на него не наложен арест.

2) При наличии кредитового сальдо по сч. 729 ликвидные активы уменьшаются на эту сумму.

ОВм - обязательства до востребования - 20% от (071 + 073 + 076(К) + 078 + 079(К) + 081 + 087 + 090 + 100(К - Д) + 120(К - Д)+ 13 + 141 + 142 + 144 + 145(К - Д) + 158 + 168 + 20 + 22 + 24 + 26 + 28 + 30 + 32 + 34 + 36 + 38 + 40 + 42 + 44 + 46 + 48 + 50 + 52 + 54 + 56 + 58 + 60 (без сч. 604) + 623 + 624 + 631 + 632 + 64 + 67(К - Д) + 69 + 70 + 715 + 717 + 718 + 720 + 722 + 723 + 724 + 726 + 74 + 750 + 807 + 810 + 811 + 812 + 814 + 817(К - Д) + 818 + 819 + 904(К) + 932(К)) + вклады и депозиты до востребования и выпущенные кредитной организацией собственные векселя до востребования (код 8995) - код 8994.

Примечание. 1) При расчете по балансу на 1 января балансовые счета 130 - 134 берутся по кредитовому сальдо (К - Д).

Минимально допустимое значение норматива H3 устанавливается в размере:

с баланса на 01.07.96 - 10%

с баланса на 01.02.97 - 20%.

Вместе с тем, для кредитных организаций, не обеспечивших выполнение установленного на 01.07.96 значения норматива, на период до 01.07.97 определяется следующий порядок регулирования их деятельности. Главные управления (Национальные банки) ЦБ РФ устанавливают квартальные значения норматива H3 таким образом, чтобы постепенно (равными долями) от фактически сложившегося значения по балансу на 01.07.96 привести значение данного норматива к 20% по балансу на 01.07.97.

4.3. Норматив долгосрочной ликвидности (H4) представляет собой отношение выданных кредитной организацией кредитов сроком погашения свыше года к капиталу кредитной организации, а также обязательствам кредитной организации по депозитным счетам, полученным кредитам и другим долговым обязательствам на срок свыше года и рассчитывается по следующей формуле:

Крд - кредиты, выданные кредитной организацией, в рублях и иностранной валюте, с оставшимся сроком до погашения свыше года, а также 50% гарантий и поручительств, выданных кредитной организацией сроком действия свыше года (часть внебалансового сч. 9925) (код 8996);

ОД - обязательства кредитной организации по депозитным счетам, кредитам, полученным кредитной организацией, и обращающиеся на рынке долговые обязательства сроком погашения свыше года (в рублях и иностранной валюте) (код 8997).

Максимально допустимое значение норматива H4 устанавливается в размере 120%.

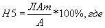
4.4. Соотношение ликвидных активов и суммарных активов кредитной организации (H5).

А - общая сумма всех активов по балансу кредитной организации за минусом дебетовых остатков балансовых счетов: 019, 145, 18, 681, 816, 817, 820, 89, 948, 950, 951, 970, 971, 979, 980, 981.

Минимально допустимое значение норматива H5 устанавливается в размере:

с баланса на 01.07.96 - 10%

с баланса на 01.02.97 - 20%.

Вместе с тем, для кредитных организаций, не обеспечивших выполнение установленного на 01.07.96 значения норматива, на период до 01.07.97 определяется следующий порядок регулирования их деятельности. Главные управления (Национальные банки) ЦБ РФ устанавливают квартальные значения норматива H5 таким образом, чтобы постепенно (равными долями) от фактически сложившегося значения по балансу на 01.07.96 привести значение данного норматива к 20% по балансу на 01.07.97.

5. Максимальный размер риска на одного заемщика или группу связанных заемщиков (H6)

Максимальный размер риска на одного заемщика или группу связанных заемщиков устанавливается в процентах от собственных средств (капитала) кредитной организации.

При определении размера риска учитывается совокупная сумма кредитов, выданных кредитной организацией данному заемщику или группе связанных заемщиков, а также гарантий и поручительств, предоставленных кредитной организацией одному заемщику (группе связанных заемщиков). При расчете используется следующая формула:

Крз - совокупная сумма требований кредитной организации к заемщику или группе взаимосвязанных заемщиков по кредитам в рублях и иностранной валюте и суммы, не взысканные по банковским гарантиям (сч. 728), а также 50% забалансовых требований (гарантий, поручительств) кредитной организации в отношении данного заемщика (заемщиков), предусматривающих исполнение в денежной форме (внебалансовый счет 9925). Эти требования, т.е. активы, взвешиваются по степени риска (рассчитывается по методике определения Ар).

Настоящий норматив рассчитывается также по совокупной сумме требований в рублях и иностранной валюте (в том числе и 50% забалансовых требований - гарантий, поручительств) к кредитной организации, выступающей заемщиком по межбанковским кредитам.

Норматив рассчитывается и в случае, если кредитная организация выступает только гарантом или поручителем (в размере 50%) в отношении какого-либо юридического или физического лица.

Примечания. 1) В совокупную сумму требований кредитной организации к заемщику (заемщикам) входят также просроченные ссуды, учитываемые по дебету: сч. 055, 056, 620, 627, 780 (без учета начисленных и просроченных процентов).

2) В совокупную сумму требований кредитной организации к заемщику (заемщикам) входят также приобретенные долговые обязательства заемщика: сч. 083, 085, 086, 193, 195, 197.

3) Под взаимосвязанными заемщиками понимаются юридические и физические лица - заемщики, связанные между собой экономически и юридически (т.е. имеющие общую собственность, и/или взаимные гарантии, и/или обязательства, и/или контролирующие имущество друг друга, а также совмещение одним физическим лицом руководящих должностей), таким образом, что финансовые трудности одного из заемщиков обуславливают или делают вероятным возникновение финансовых трудностей другого (других) заемщика (заемщиков). Под контролем понимается прямое или косвенное (через дочерние предприятия) владение более 50% голосов у стороны (лица) или способность контролировать больше половины голосов по специальной договоренности с другими его акционерами или согласно его уставу, т.е. одна сторона (лицо) способна контролировать другую и может существенно повлиять на ее финансовые и оперативные решения.

Максимально допустимое значение норматива H6 устанавливается в размере:

с баланса на 01.07.96 - 60%

с баланса на 01.02.97 - 40%

с баланса на 01.02.98 - 25%.

Вместе с тем, для кредитных организаций, не обеспечивших выполнение установленного на 01.07.96 значения норматива, на период до 01.07.97 определяется следующий порядок регулирования их деятельности. Главные управления (Национальные банки) ЦБ РФ устанавливают квартальные значения норматива H6 таким образом, чтобы постепенно (равными долями) от фактически сложившегося значения по балансу на 01.07.96 (но не выше ранее действовавших значений прежней инструкции) привести значение данного норматива к 40% по балансу на 01.07.97.

6. Максимальный размер крупных кредитных рисков (H7)

Максимальный размер крупных кредитных рисков устанавливается как процентное соотношение совокупной величины крупных кредитных рисков и собственных средств (капитала) кредитной организации.

Совокупная сумма требований, взвешенных с учетом риска, к одному заемщику (или группе связанных заемщиков) кредитной организации по кредитам с учетом 50% сумм забалансовых требований (гарантий, поручительств), имеющихся у кредитной организации в отношении одного заемщика (или группы связанных заемщиков), превышающая 5% капитала кредитной организации, рассматривается в качестве крупного кредита.

Решение о выдаче крупных кредитов должно в обязательном порядке приниматься Правлением банка либо его кредитным комитетом с учетом заключения кредитного отдела банка. Решение о выдаче должно быть оформлено соответствующими документами.

Сведения о крупных кредитах ежемесячно представляются (по форме Приложения 2) в Главное управление (Национальный банк) Центрального банка РФ по месту нахождения корреспондентского счета одновременно с представлением баланса и расчетами экономических нормативов. Главные управления (Национальные банки) ЦБ РФ обобщают информацию по крупным кредитам и формируют базу данных для осуществления контроля за концентрацией рисков в банковской системе путем анализа займов одним юридическим или физическим лицом в различных кредитных организациях. Одновременно указанные сведения направляются в Главный центр информатизации Банка России в электронном виде по системе БАНКОМ для формирования реестра крупных кредитных рисков банковской системы. Порядок и дата начала передачи информации по системе БАНКОМ будут сообщены дополнительно.

В случае возникновения у кредитной организации отрицательного (или нулевого) капитала форма Приложения 2 не заполняется. В Департамент банковского надзора Главные управления (Национальные банки) ЦБ РФ в составе аналитической записки сообщают о мерах, принимаемых по выходу кредитных организаций из критического положения, и перспективах их дальнейшей деятельности.

Устанавливается, что совокупная величина крупных кредитов, выданных кредитной организацией, включая взаимосвязанных заемщиков, с учетом 50% забалансовых требований (гарантий, поручительств) не может превышать размер капитала кредитной организации более, чем:

1996 г. - в 12 раз
1997 г. - в 10 раз
1998 г. - в 8 раз

S Кркр - совокупная величина крупных кредитов, выданных кредитной организацией (код 8998).

7. Максимальный размер риска на одного кредитора (вкладчика) (H8)

Устанавливается как процентное соотношение величины вклада или полученного кредита, полученных гарантий и поручительств данной кредитной организацией, остатков по счетам одного или связанных между собой кредиторов (вкладчиков) и собственных средств кредитной организации:

Овкл - совокупная сумма обязательств кредитной организации в рублях и иностранной валюте по вкладам, полученным кредитам, гарантиям и поручительствам (50%) и остаткам по расчетным, текущим счетам и счетам по операциям с ценными бумагами одного или взаимосвязанных кредиторов (вкладчиков). Остатки по бюджетным счетам в расчет не принимаются.

Настоящий норматив рассчитывается также по совокупной сумме обязательств перед другой кредитной организацией, выступающей кредитором (вкладчиком) по отношению к данной кредитной организации.

Максимально допустимое значение норматива H8 устанавливается в размере:

с баланса на 01.07.96 - 60%

с баланса на 01.02.97 - 40%

с баланса на 01.02.98 - 25%.

Вместе с тем, для кредитных организаций, не обеспечивших выполнение установленного на 01.07.96 значения норматива, на период до 01.07.97 определяется следующий порядок регулирования их деятельности. Главные управления (Национальные банки) ЦБ РФ устанавливают квартальные значения норматива H8 таким образом, чтобы постепенно (равными долями) от фактически сложившегося значения по балансу на 01.07.96 привести значение данного норматива к 40% по балансу на 01.07.97.

8. Максимальный размер кредитов, гарантий и поручительств, предоставленных банком своим участникам (акционерам) (H9)

8.1. Максимальный размер риска на одного заемщика - акционера (пайщика) банка:

Кра - совокупная сумма требований банка в рублях и иностранной валюте, взвешенная с учетом риска, в отношении одного акционера (пайщика) (юридического лица) банка и забалансовые требования (50% гарантий и поручительств) банка в отношении данного заемщика.

(абзац в ред. письма ЦБ РФ от 28.03.96 N 263)

Максимально допустимое значение норматива H9 устанавливается в размере:

с баланса на 01.07.96 - 60%

с баланса на 01.10.96 - 40%

с баланса на 01.01.97 - 20%.

При этом совокупная величина кредитов (H9.1), выданных акционерам (пайщикам) кредитной организации, не может превышать с 1 января 1998 года 50% собственных средств (капитала) банка.

8.2. Максимальный размер кредитов, гарантий и поручительств, предоставленных кредитной организацией своим инсайдерам.

Кри - совокупная сумма требований (в том числе, забалансовых требований - 50% гарантий и поручительств) кредитной организации в рублях и иностранной валюте в отношении инсайдера кредитной организации и связанных с ним лиц.

В соответствии с международной практикой к категории инсайдеров относятся физические лица: акционеры, имеющие более 5% акций, директора (президенты, председатели и их заместители), члены Совета, члены кредитного совета (комитета), руководители дочерних и материнских структур и другие лица, которые могут повлиять на решение о выдаче кредита, а также родственники инсайдеров, бывшие инсайдеры и другие лица, участвующие в сторонних структурах, в которых также участвуют инсайдеры.

Максимально допустимое значение H10 на одного инсайдера и связанного с ним лица устанавливается в размере:

с баланса на 01.07.96 - 10%

с баланса на 01.07.97 - 2%.

При этом совокупная величина кредитов, выданных инсайдерам, начиная с баланса на 1 июля 1997 г. не может превышать 3% собственных средств (капитала) кредитной организации.

Вместе с тем, для кредитных организаций, не обеспечивших выполнение установленного на 01.07.96 значения норматива, на период до 01.07.97 определяется следующий порядок регулирования их деятельности. Главные управления (Национальные банки) ЦБ РФ устанавливают квартальные значения норматива H10 таким образом, чтобы постепенно (равными долями) от фактически сложившегося значения по балансу на 01.07.96 привести значение данного норматива к 2% по балансу на 01.07.97.

9. Максимальный размер привлеченных денежных вкладов (депозитов) населения (H11)

Устанавливается как процентное соотношение общей суммы денежных вкладов (депозитов) граждан и величины собственных средств (капитала) банка.

Вкл нас. - совокупная сумма вкладов населения в рублях и иностранной валюте (сч. 605 + 710 + 711 + 718 + 732 + 733 + 734 + 735 + код 8999 (части сч. 070 + 084 + 088 + 196 + 199 + 730 + 731)).

Максимально допустимое значение норматива H11 устанавливается в размере 100%.

При этом для кредитных организаций, превышающих данное соотношение, Главные управления (Национальные банки) ЦБ РФ устанавливают квартальные значения данного норматива таким образом, чтобы постепенно (равными долями) от фактически сложившегося значения по балансу на 01.04.96 привести значение данного норматива к 100% по балансу на 1 января 1999 года.

10. Норматив использования собственных средств кредитных организаций для приобретения долей (акций) других юридических лиц (H12)

Устанавливается в форме процентного соотношения размеров инвестируемых и собственных средств кредитной организации.

Кин - собственные средства кредитной организации, инвестируемые на приобретение долей (акций) других юридических лиц (сч. 059 + 191 + 825).

Примечание. Внесенные кредитной организацией средства в паи и акции других банков - резидентов в иностранной валюте должны учитываться на балансовых счетах 825 и 191 соответственно.

Максимально допустимое значение норматива H12 устанавливается в размере:

с баланса на 01.07.96 - 45%

с баланса на 01.10.96 - 35%

с баланса на 01.01.97 - 25%.

При этом устанавливается, что собственные средства кредитной организации, инвестируемые на приобретение долей (акций) одного юридического лица (H12.1) не могут превышать с баланса на 1 января 1997 года 10% собственных средств (капитала) банка (данные представляются кредитными организациями в Главные управления ЦБ РФ по форме Приложения 3).

11. Для вновь создаваемых кредитных организаций, отработавших шесть месяцев с момента регистрации, устанавливаются следующие значения обязательных экономических нормативов:

H1 - минимально 8%   H8 - максимально 25%
H2 - минимально 70%   H9 - максимально 20%
H3 - минимально 20%   H9.1 - максимально 50%
H4 - максимально 120%   H10 - максимально 2%
H5 - минимально 20%   H11 - максимально 100%
H6 - максимально 25%   H12 - максимально 25%
H7 - 8 раз   H12.1 - максимально 10%.

12. Отчетность по выполнению обязательных нормативов

Отчетность по выполнению обязательных нормативов H6, H8, H9, H10 и H12.1 кредитные организации представляют по форме, предложенной региональным Главным управлением (Национальным банком) ЦБ РФ, которое в Департамент банковского надзора по системе РЕМАРТ направляет сводную справку по форме Приложения 4 по каждой кредитной организации, нарушившей указанные нормативы.

13. О контроле за соблюдением экономических нормативов

Контроль за соблюдением кредитными организациями обязательных экономических нормативов возлагается на Главные управления (Национальные банки) Центрального банка РФ по месту нахождения корреспондентского счета кредитной организации.

Контроль осуществляется на основании месячных балансов кредитных организаций, к которым прилагаются справки с расчетами фактических значений обязательных экономических нормативов и расшифровками отдельных балансовых счетов, подписанные руководителем кредитной организации и главным бухгалтером. По результатам рассмотрения месячных балансов и справок в течение 10 дней после представления их в Главное управление (Национальный банк) последнее составляет соответствующее заключение, которое рассматривается руководителем Главного управления (Национального банка) Центрального банка РФ с принятием соответствующего решения.

Кредитные организации, у которых отозвана лицензия на совершение банковских операций, обязательные экономические нормативы не рассчитывают.

В случае нарушения кредитной организацией обязательных экономических нормативов Главное управление (Национальный банк) ЦБ РФ применяет меры воздействия к кредитной организации в соответствии со статьей 75 Федерального закона "О Центральном банке Российской Федерации (Банке России)" и адекватных указаний Банка России.

При этом в целях предотвращения ухудшения финансового положения кредитных организаций, утративших собственные средства (капитал), такая мера воздействия как взыскание штрафа не применяется.

Учитывая особенности действия данной Инструкции в 1996 - 1997 годах, на указанный период устанавливается следующий порядок контроля за выполнением обязательных экономических нормативов:

- в течение II квартала 1996 г. кредитные организации не имеют права допускать ухудшение фактически сложившихся по балансу на 01.04.96 значений нормативов. В противном случае к кредитным организациям применяются санкции в установленном порядке;

- к кредитным организациям, не обеспечившим выполнение поквартальных значений обязательных нормативов, установленных Главным управлением (Национальным банком) ЦБ РФ, также применяются санкции, начиная с результата по балансу на 01.08.96. Контроль осуществляется ежемесячно.

В случае нарушения кредитными организациями обязательных экономических нормативов, предусмотренных настоящей Инструкцией, Главное управление (Национальный банк) ЦБ РФ не должно поддерживать их просьбы об открытии филиалов (дополнительных филиалов), о расширении круга операций. Банк России не рассматривает ходатайства кредитных организаций на получение аккредитации для участия в международных программах Мирового банка реконструкции и развития и Европейского банка реконструкции и развития, в случае нарушения ими обязательных экономических нормативов.

Кредитные организации в соответствии с законодательством несут ответственность за достоверное и правильное составление расчетов обязательных экономических нормативов и расшифровок отдельных балансовых счетов для расчета нормативов. Главные управления (Национальные банки) Центрального банка РФ имеют право проводить проверки кредитных организаций по вопросам правильности и достоверности представляемых кредитными организациями сведений для расчетов обязательных экономических нормативов.

Председатель
Центрального банка
Российской Федерации
С.К.ДУБИНИН

Приложение 1

РАСШИФРОВКИ ОТДЕЛЬНЫХ БАЛАНСОВЫХ СЧЕТОВ ДЛЯ РАСЧЕТА ОБЯЗАТЕЛЬНЫХ ЭКОНОМИЧЕСКИХ НОРМАТИВОВ КРЕДИТНОЙ ОРГАНИЗАЦИИ "___"

Наименование Код обозначения Сумма (в тыс. руб.) Данные используются при расчете нормативов
1 2 3 4
При расчете собственных средств (капитала) используются следующие расшифровки:      
1. Остатки по балансовому счету 010 принимаются исходя из:      
а) - для паевых кредитных организаций 8965   H1, H4, H6
- фактически оплаченного уставного фонда, но не выше зарегистрированного;     - H12
- для акционерных кредитных организаций - фактически оплаченного уставного капитала в соответствии с п. 11.15 Инструкции Банка России от 11 февраля 1994 г. N 8     H1, H4, H6 - H12
б) фонда основных средств, учитываемого на сч. 010, но не являющегося частью паевых взносов в уставный капитал банка 8966   H1, H4, H6 - H12
2. "Специальные фонды" (сч. 012) за минусом остатков средств, учитываемых на отдельном лицевом счете "Износ МБП" 8967   H1, H4, H6 - H12
3. Остатки средств на сч. 945 под ссуды 1 и 2 группы 8968   H1, H4, H6 - H12
4. Остатки средств на сч. 948 в пределах суммы, указанной по коду 8968 8969   H1, H4, H6 - H12
5. Дебетовые остатки сч. 076 + 904 в части сумм, числящихся на счетах более 30 дней с момента отражения на счете. Кроме того, остатки счета 904 уменьшаются на сумму переплат налоговых платежей в бюджет 8970   H1, H4, H6 - H12
6. Сумма дебетовых остатков по сч. 930, 932 и 933 в части средств, превышающих остаток сч. 016 8971   H1, H4, H6 - H12
Вложения в облигации внутреннего валютного займа (часть сч. 083) 8972   H1 I группа активов
Ссуды, гарантированные Правительством РФ 8973   H1 II группа активов
Ссуды под залог государственных ценных бумаг 8974   H1 II группа активов
Ссуды под залог драгоценных металлов в слитках 8975   H1 II группа активов
Средства на кор. счетах у банков - нерезидентов стран - членов ОЭСР в СКВ (часть сч. 072) 8976   H1, H2, H3, H5 III группа активов
Средства, перечисленные на счета банков - нерезидентов стран - членов ОЭСР (части сч. 075(Д) + 615) 8977   H1 III группа активов
Ссуды под залог ценных бумаг субъектов РФ и местных органов власти 8978   H1 III группа активов
Средства на счетах у банков - нерезидентов стран - не членов ОЭСР (часть сч. 072 + части 075(Д) и 615, исключая по данным счетам страны ближнего зарубежья) 8979   H1 IV группа активов
Ценные бумаги для перепродажи - со сроком нахождения на балансе менее 6 месяцев (части сч. 059 + 083 + 191 + 193) 8980   H1 IV группа активов
Средства, размещенные в банках - нерезидентах стран ближнего зарубежья (части сч. 075(Д) + 615) 8981   H1 V группа активов
Дебетовый остаток сч. 083 "Вложения в облигации и депозитные сертификаты" за минусом вложений в облигации внутреннего валютного займа и в ценные бумаги данного счета для перепродажи 8982   H1 V группа активов
Вложения в прочие ценные бумаги (т.е. со сроком нахождения на балансе более 6 месяцев) (части счетов 059, 191 и 193) 8964    
(введен письмом ЦБ РФ от 28.03.96 N 263)
Дебетовый остаток балансового сч. 076 в части средств, числящихся на счете менее 30 дней с момента отражения на счете 8983   H1 V группа активов
Дебетовый остаток сч. 904 в части сумм, числящихся на счете менее 30 дней с момента отражения на счете, за минусом сумм, перечисленных на приобретение ГКО и ОФЗ 8984   H1 V группа активов
Дебетовые остатки по счету 920 в части зданий и сооружений, переданных в залог 8985   H1 V группа активов
Сумма дебетовых остатков по счетам 930, 932 и 933 в части средств, не превышающих остаток сч. 016 8986   H1 V группа активов
Остатки средств по балансовому счету 945 под ссуды 3 - 5 групп 8987   H1
Остаток средств по балансовому счету 948 за минусом сумм, указанных по коду 8969 8988   H1
Кредиты, выданные кредитной организацией в рублях и иностранной валюте, со сроком погашения в течение ближайших 30 дней (не принимая в расчет пролонгированные хотя бы один раз и выданные в погашение ранее выданных ссуд), другие платежи в пользу кредитной организации, подлежащие перечислению в эти сроки. Части счетов: 054(Д) + 074 + 075(Д) + 076 в части операций, аналогичных ссудным + 079(Д) + 21 + 23 + 25 + 27 + 29 + 31 + 33 + 35 + 37 + 39 + 41 + 43 + 45 + 47 + 51 + 53 + 55 + 57 + 61 + 630 + 65 + 712 + 716 + 76 + 77 + 79 + 806 + 822, а также другие счета с остатками платежей в пользу кредитной организации, подлежащие перечислению в эти сроки, а именно: части сч. 083 + 085 + 193 + 195 + 907 + 924 и в части, относящейся к дебиторской задолженности: сч. 076 + 904 + 932; суммы переплаты, подлежащие возврату кредитной организации на данную отчетную дату из фонда обязательных резервов (части сч. 681 и 816) 8989   H2, H5
Суммы, исключаемые из ликвидных активов: 8990   H2, H3, H5
а) отражаемые по отдельному лицевому счету "Средства, поступающие от реализации ценных бумаг" балансового счета 161;
б) поступающие в оплату акций валютные средства, отражаемые на балансовом счете 072 по отдельному субсчету "Валютные средства, внесенные в оплату акций"
Вклады и депозиты с истекающим сроком до одного месяца, оформленные договором сроком свыше 30 дней: части сч. 070 + 075(К) + 605 + 730 + 731 + 732 + 733 + 734 + 735 + 736 + 737 + 738 + 739. 8991   H2
Вклады и депозиты до востребования (части сч. 070 + 075(К)).
Остатки средств в части текущих и транзитных счетов клиентов (часть сч. 070).
Выпущенные банками собственные векселя, облигации и депозитные сертификаты в рублях и иностранной валюте сроками по предъявлении и до 30 дней, а также векселя, выпущенные со сроками более 30 дней, но имеющих срок к предъявлению до одного месяца: части сч. 084 + 088 + 196
Кредиты в рублях и иностранной валюте, полученные от других кредитных организаций (резидентов и нерезидентов), а также фирм - нерезидентов, со сроком погашения в течение ближайших 30 дней: части сч. 823 + 824 (за минусом сч. 820, но при условии положительной разницы) + 054(К) + 075(К) + 604 + 614 + 751 8992   H2
(в ред. письма ЦБ РФ от 28.03.96 N 263)
Гарантии и поручительства, выданные кредитной организацией со сроком исполнения обязательств в течение ближайших 30 дней: часть внебалансового счета 9925 (50%) 8993   H2
Средства, исключаемые из обязательств банка по счетам до востребования: 8994   H2, H3
а) по счету 904:
- суммы, находящиеся на накопительном счете кредитной организации, поступившие в оплату ее ценных бумаг и учитываемые на отдельном лицевом счете "Покупатели акций";
- суммы, подлежащие оплате более чем через 30 дней (в частности, дивиденды, налоги и т.д.);
б) по счету 076:
- суммы, находящиеся на накопительном счете кредитной организации, поступившие в оплату его ценных бумаг и учитываемые на отдельном лицевом счете "Покупатели акций, внесшие в их оплату иностранную валюту";
- суммы в иностранной валюте, приобретенные за счет собственных средств банка, учитываемые на отдельном лицевом счете;
в) средства, выделенные по решениям Правительства на инвестиционные нужды, конверсионные программы, а также крестьянским, фермерским хозяйствам (в соответствии с телеграммой Росцентробанка от 4 августа 1992 г. N 171-92)
Вклады и депозиты до востребования, а также выпущенные собственные векселя 8995   H3
- в рублях и иностранной валюте - 20% от остатков по счетам: части сч. 070 + 075(К) + 710 + 711 + 713 + 714 + 084 + 196 + 199
Долгосрочные ссуды в рублях и иностранной валюте (кредиты, выданные банком, включая сч. 716, сроком погашения свыше года, за исключением той части, срок погашения которой истекает в течение ближайших 12 месяцев), включая просроченную задолженность, за минусом ссуд, гарантированных Правительством РФ (код 8973), под залог государственных ценных бумаг (код 8974), под залог драгметаллов (код 8975), под залог ценных бумаг субъектов РФ и местных органов власти (код 8978), кроме того, учитывается 50% гарантий и поручительств, выданных кредитной организацией сроком действия свыше года (часть внебалансового счета 9925) 8996   H4
(в ред. письма ЦБ РФ от 28.03.96 N 263)
Обязательства кредитной организации в рублях и иностранной валюте со сроком погашения свыше года: 8997   H4
а) по депозитным счетам (части 070 + 075(К) + 733 + 735 + 737 + 739);
б) по кредитам, полученным банком - части сч. 823 + 824 (за минусом сч. 820, но при условии положительной разницы) + 054(К) + 075(К) + 604 + 614;
в) по средствам, выделенным в соответствии с решением Правительства на инвестиционные нужды, конверсионные программы, а также крестьянским, фермерским хозяйствам (в соответствии с телеграммой Банка России от 4 августа 1992 г. N 171-92);
г) по обращающимся на рынке долговым обязательствам со сроком погашения свыше года (части сч. 088 + 731);
д) по выпущенным банками собственным векселям со сроком погашения свыше года (части сч. 084 + 196)
Совокупная величина крупных кредитов (более 5% капитала) кредитной организации с учетом 50% забалансовых требований (гарантий, поручительств) 8998   H7
Обязательства кредитной организации в части средств физических лиц (части сч. 070 + 084 + 088 + 196 + 199 + 730 + 731) 8999   H11
       
Руководитель кредитной организации (Ф.И.О.)    
Главный бухгалтер (Ф.И.О.)    

Приложение 2

СВЕДЕНИЯ
О КРУПНЫХ КРЕДИТАХ, ВЫДАННЫХ КРЕДИТНОЙ ОРГАНИЗАЦИЕЙ "____"

N п/п Ссудозаемщик, получатель гарантии (поручительства) Остаток задолженности по крупным кредитам Срок погашения ссуды, гарантии
1 2 3 4
1.      
2.      
3.      
...      

I. Итого по гр. 3    
       
II. Капитал банка (К) =    
III.   Итого по гр. 3 =
    К
Руководитель кредитной организации (Ф.И.О.)
Главный бухгалтер (Ф.И.О.)

Приложение 3

СОБСТВЕННЫЕ СРЕДСТВА
КРЕДИТНОЙ ОРГАНИЗАЦИИ, ИНВЕСТИРУЕМЫЕ НА ПРИОБРЕТЕНИЕ ДОЛЕЙ (АКЦИЙ) ОДНОГО ЮРИДИЧЕСКОГО ЛИЦА (H12)

Наименование предприятия, организации сч. 059 сч. 191 сч. 825 Итого в тыс. руб. Доля в капитале, %
....................          
....................          
....................          
....................          

Итого по кредитной

организации

Руководитель кредитной организации (Ф.И.О.)
Главный бухгалтер (Ф.И.О.)

Приложение 4

СВОДНАЯ СПРАВКА
ПО КРЕДИТНОЙ ОРГАНИЗАЦИИ "________" О НОРМАТИВАХ H6, H8, H9, H10, H12.1, НЕ СООТВЕТСТВУЮЩИХ УСТАНОВЛЕННЫМ НОРМАТИВНЫМ ЗНАЧЕНИЯМ

I. Максимальный размер риска на одного заемщика или группу связанных заемщиков (H6)

Кол-во заемщиков, по которым нарушен H6 Сумма кредитов, выданных данным заемщикам, млн. руб. Общая сумма кредитов, выданных кредитной организацией, млн. руб. Уд. вес в общей сумме кредитов гр. 2 / гр. 3 x 100%
1 2 3 4

II. Максимальный размер риска на одного кредитора (вкладчика) (H8)

Кол-во кредиторов (вкладчиков), по которым нарушен H8 Сумма обязательств кред. организации по данным кредиторам (вкладчикам), млн. руб. Общая сумма обязательств кред. орг., млн. руб. Уд. вес к общей сумме обязательств гр. 2 / гр. 3 x 100%
1 2 3 4

III. Максимальный размер кредитов, гарантий и поручительств, предоставленных банком своим участникам (акционерам) и инсайдерам (H9) и (H10)

A

Кол-во акционеров (пайщ.), по которым нарушен H9 Сумма кредитов, выданных данным акционерам (пайщ.), млн. руб. Общая сумма кредитов, выданных акционерам (пайщ.), млн. руб. Уд. вес в общей сумме кредитов гр. 2 / гр. 3 x 100%
1 2 3 4

B

Кол-во инсайдеров, по которым нарушен H10 Сумма кредитов, выданных данным инсайдерам, млн. руб. Общая сумма кредитов, выданных инсайдерам, млн. руб. Уд. вес в общей сумме кредитов гр. 2 / гр. 3 x 100%
1 2 3 4

IV. Максимально допустимая величина собственных средств кредитной организации, инвестируемых на приобретение долей (акций) одного юридического лица (H12.1)

Кол-во юр. лиц, по которым нарушен H12.1 Сумма долей (акций) юр. лиц, по которым нарушен норматив, млн. руб. Общая сумма долей (акций), приобретенных кредитн. организацией, млн. руб. Уд. вес в общей сумме кредитов гр. 2 / гр. 3 x 100%
1 2 3 4